Next Article in Journal
Highly Active Cerium Oxide Supported Solution Combustion Cu/Mn Catalysts for CO-PrOx in a Hydrogen-Rich Stream
Previous Article in Journal
Emerging Catalytic Strategies Driven by External Field for Heavy Metal Remediation
Previous Article in Special Issue
Impact of Oxygen-Containing Groups on Pd/C in the Catalytic Hydrogenation of Acetophenone and Phenylacetylene
 
 
Font Type:
Arial Georgia Verdana
Font Size:
Aa Aa Aa
Line Spacing:
Column Width:
Background:
Article

Alloying and Segregation in PdRe/Al2O3 Bimetallic Catalysts for Selective Hydrogenation of Furfural

Department of Chemical and Biomolecular Engineering, North Carolina State University, Raleigh, NC 27695-7905, USA
*
Author to whom correspondence should be addressed.
Catalysts 2024, 14(9), 604; https://doi.org/10.3390/catal14090604
Submission received: 22 July 2024 / Revised: 27 August 2024 / Accepted: 4 September 2024 / Published: 7 September 2024
(This article belongs to the Special Issue Heterogeneous Catalysis for Selective Hydrogenation)

Abstract

X-ray absorption fine structure (XAFS) spectroscopy, temperature-programmed reduction (TPR), and temperature-programmed hydride decomposition (TPHD) were employed to elucidate the structures of a series of PdRe/Al2O3 bimetallic catalysts for the selective hydrogenation of furfural. TPR evidenced low-temperature Re reduction in the bimetallic catalysts consistent of the migration of [ReO4] (perrhenate) species to hydrogen-covered Pd nanoparticles on highly hydroxylated γ-Al2O3. TPHD revealed a strong suppression of β-PdHx formation in the reduced catalysts prepared by (i) co-impregnation and (ii) [HReO4] impregnation of the reduced Pd/Al2O3, indicating the formation of Pd-rich alloy nanoparticles; however, reduced catalysts prepared by (iii) [Pd(NH3)4]2+ impregnation of calcined Re/Al2O3 and subsequent re-calcination did not. Re LIII X-ray absorption edge shifts were used to determine the average Re oxidation states after reduction at 400 °C. XAFS spectroscopy and high-angle annular dark field (HAADF)-scanning transmission electron microscopy (STEM) revealed that a reduced 5 wt.% Re/Al2O3 catalyst contained small Re clusters and nanoparticles comprising Re atoms in low positive oxidation states (~1.5+) and incompletely reduced Re species (primarily Re4+). XAFS spectroscopy of the bimetallic catalysts evidenced Pd-Re bonding consistent with Pd-rich alloy formation. The Pd and Re total first-shell coordination numbers suggest that either Re is segregated to the surface (and Pd to the core) of alloy nanoparticles and/or segregated Pd nanoparticles are larger than Re nanoparticles (or clusters). The Cowley short-range order parameters are strongly positive indicating a high degree of heterogeneity (clustering or segregation of metal atoms) in these bimetallic catalysts. Catalysts prepared using the Pd(NH3)4[ReO4]2 double complex salt (DCS) exhibit greater Pd-Re intermixing but remain heterogeneous on the atomic scale.

Graphical Abstract

1. Introduction

Over the past 10 to 15 years, rhenium has been investigated extensively in monometallic and bimetallic heterogeneous catalysts for (selective) hydrogenation reactions [1]. Concurrently, catalytic production of fuels and chemicals from biomass became an area of intense research. Pyrolysis of hemicellulose leads to furfural and related compounds, and furfuryl alcohol (FA) is a monomer for resins with many applications [2]. Selective hydrogenation of furfural to FA poses the challenge of selective aldehyde hydrogenation without either decarbonylation to furan or ring-opening to diols. Determining the nature of the active site in Re catalysts poses a challenge, as it is difficult to reduce oxophilic Re completely, especially on γ-Al2O3. In most cases, metallic Re species coexist with ReOx species, e.g., Re4+ and Re7+. A detailed study of a 0.7 wt.% Re/MOR/Al2O3 catalyst by Bare et al. used X-ray absorption fine structure (XAFS) spectroscopy, scanning transmission electron microscopy (STEM), X-ray photoelectron spectroscopy (XPS), and temperature-programmed reduction (TPR) in conjunction with density functional theory (DFT) calculations to develop a model of supported Re species (perrhenate ions, Re atoms, and metal clusters) in the calcined and reduced catalysts [3]. Dumesic and coworkers have studied hydrogenolysis and ring-opening of tetrahydrofurfuryl alcohol and the related compound tetrahydropyran-2-methanol over RhRe/SiO2 [4]. Coupled with the DFT calculations, their experimental results indicated that in an aqueous reaction, medium ReOx species are hydroxylated and because of the strong Re-O bond, Re-OH effectively acts as a Bronsted acid and the adjacent Rh sites provide the hydrogenation–dehydrogenation function. Tomishige and coworkers have studied several Group VIII–Re bimetallic catalysts using XAFS spectroscopy and XPS, including Rh-Re [5,6], Ir-Re [7], Pt-Re [8], and, in particular, Pd-Re/SiO2 for the selective hydrogenation of fatty acids to alcohols [9]. They inferred that the active sites were at the interface between ReOx clusters and Group VIII metal nanoparticles. Previous research has shown that PdRe/Al2O3 catalysts prepared using a variety of precursors and preparation methods exhibit much higher activity for selective hydrogenation of furfural to FA than either of the respective monometallic catalysts [10,11,12]. We inferred from the results of TPR, H2, and CO chemisorption, CO diffuse reflectance infrared Fourier transform spectroscopy (DRIFTS) and high-angle annular dark field (HAADF)-STEM with energy-dispersive X-ray (EDX) spectroscopy that Re clusters decorate the surfaces of supported Pd nanoparticles in these catalysts.
The structures of PdRe/Al2O3 catalysts are expected to be highly heterogeneous based on the large asymmetric miscibility gap in the palladium–rhenium phase diagram [13,14]. Alloys containing up to 16% Re-84% Pd are reported, and two solid solutions are present above 14% Re-86% Pd. X-ray diffraction (XRD) data are only reported for 88 at.% Pd-12 at.% Re alloy [13]. The solid solubility of Pd in Re is much lower (<5% and some authors claim <1% [15]). The strong interaction of Re with γ-Al2O3 provides another driving force for Re segregation. Early research on PdRe/Al2O3 catalysts was performed contemporaneously by Ziemecki et al. [15,16] and Meitzner et al. [17]. Ziemecki et al. prepared catalysts using a sequential impregnation method wherein an aqueous solution of the Re precursor (Re2O7) was added to a reduced and passivated Pd/Al2O3 catalyst [16]. Ziemecki et al., observed decreased H/Pd ratios for β-PdHx formed during cooling after TPR in H2 and repeating the ramp [15]. The decreased desorption of H2 was correlated with alloy formation in a PdRe/Al2O3 catalyst as well as bulk samples made by the impregnation of Pd black with Re2O7 and KReO4. In situ XRD spectra suggested that two PdRe solid solutions had formed [16]. Using EXAFS spectroscopy, Meitzner et al. [17] inferred alloy formation in a 1:1 atomic ratio Pd-Re catalyst prepared by the incipient wetness co-impregnation using a solution of Pd(NO3)2 and HReO4. Karpinski and coworkers [18,19,20] investigated a series of PdRe/Al2O3 catalysts prepared by sequential impregnation for hydrodechlorination and alkane reforming. Their work also relied heavily on the suppression of hydride formation and XRD to detect alloy formation.
In this work, we investigated a series of PdRe/Al2O3 catalysts prepared by co-impregnation (CI) and sequential impregnation (SI) using pulse CO chemisorption, TPR, temperature-programmed hydride decomposition (TPHD), X-ray absorption near edge structure (XANES) spectroscopy, and extended X-ray absorption fine structure (EXAFS) spectroscopy. These catalysts (with one exception) are the same ones described in our previous publications on selective furfural hydrogenation [10,11]. Increased furfural hydrogenation activity and selectivity was hypothesized to result from Re adatoms (and clusters) on the surfaces of Pd metal particles, as evidenced by CO and H2 chemisorption, CO DRIFTS, and HAADF-STEM with EDX mapping. Herein, TPHD and EXAFS spectroscopy provide complementary evidence of PdRe alloy formation and Re segregation in this series of catalysts.

2. Results and Discussion

2.1. Catalyst Composition and Pulse CO Chemisorption

The metal precursor(s), calcination conditions, and metal loadings (as determined by ICP-OES) of the catalysts are provided in Table 1. These catalysts (except Pd3Re5-SI*) are the same ones described in our previous publications on selective furfural hydrogenation [10,11]. The catalyst nomenclature is consistent with that used in previous publications [10,12] and indicates the metal(s), nominal weight loadings, precursors (monometallics and DCS), and order of impregnation (for SI catalysts only). The BET surface areas of selected catalysts (Table 2) are equivalent (or nearly so) to that of the γ-Al2O3 support (183 ± 10 m2/g).
Pulse CO chemisorption data (Table 2) were measured after in situ reduction in flowing 5% H2/He at 400 °C for 1 h and cooling to 35 °C to avoid potential re-oxidation of the Re during in vacuo heating for volumetric chemisorption measurements. When compared to previous volumetric CO chemisorption results [10,11], the CO/M values are ~25% greater for the Pd/Al2O3 and PdRe/Al2O3 catalysts; however, the pulse CO/Re value for Re5-H is ~100% higher than the volumetric value (0.098). The CO/Re ratio of the Re5-H suggests a low dispersion and relatively large support for the Re particles; however, we will demonstrate (vide infra) that the low CO/Re ratio is because of other factors (e.g., incomplete reduction, metal–support interactions). In situ CO DRIFTS experiments (Figure S1, Supplementary Materials) indicate that heating the reduced Re5-H catalyst to 400 °C in flowing He results in ~50% loss of CO chemisorption capacity. This behavior is consistent with the oxidation of the supported Re nanoparticles by surface hydroxyl groups [21,22]. We suggest in vacuo heating to 400 °C during the volumetric chemisorption experiments similarly results in oxidation of supported Re nanoparticles and the loss of CO chemisorption capacity. Previous in situ DRIFTS studies have evidenced linear and doubly bridged CO species on Pd and linear CO species on Re [10,11]. The pulse CO chemisorption uptakes also include contributions from segregated Re species (atoms, clusters, nanoparticles) on γ-Al2O3, which were not included in volumetric uptake measurements. We speculate that Re associated with Pd particles mainly contributed to volumetric CO chemisorption by the bimetallic catalysts [10,11].
The pulse CO chemisorption data reveal that the Pd precursor has a determining influence on the dispersions of the Pd/Al2O3 and PdRe/Al2O3 catalysts. The CO/Pd ratios for Pd3-TA and Pd3-N indicate that the former has a much higher dispersion that we attribute to the strong electrostatic adsorption of [Pd(NH3)4]2+ [23]. The smaller Pd particle size in Pd3-TA was confirmed by HAADF-STEM imaging of the catalysts (Figure S2, Supplemental Materials). The Pd3-N catalyst contains 10-nm and larger Pd nanoparticles, whereas the Pd3-TA catalyst contains a bimodal distribution of small 1- and ~4-nm Pd nanoparticles. For Pd1.5-TA, the combined effects of the TA precursor and its lower loading result in the highest dispersion. The CO uptakes of the bimetallic catalysts prepared from the N precursor are greater than that of the Pd3-N, but less than the sum of the CO uptakes of the respective monometallic catalysts (Pd3-N and Re5-H). In contrast, the CO uptakes of the bimetallic catalysts prepared from the TA precursor are equivalent to (or slightly less than) that of the respective Pd/Al2O3 catalysts (Pd3-TA and Pd1.5-TA). Consequently, the CO/M (M = Pd + Re) ratios of the Pd3Re5-CI and Pd3Re5-SI catalysts are equivalent to that of Pd3-N, whereas the CO/M values for Re5Pd3-SI and Re5Pd1.5-DCS are lower than that of Pd3-TA and Pd1.5-TA, respectively. Moreover, the Pd3Re5-CI and Pd3Re5-SI catalysts have lower CO/M ratios than the Re5Pd3-SI and Re5Pd1.5-DCS catalysts. Interestingly, the CO/Pd ratios of Re5Pd3-SI and Re5Pd1.5-DCS are closely similar to those of Pd3-TA and Pd1.5-TA, respectively.

2.2. Temperature-Programmed Reduction (TPR)

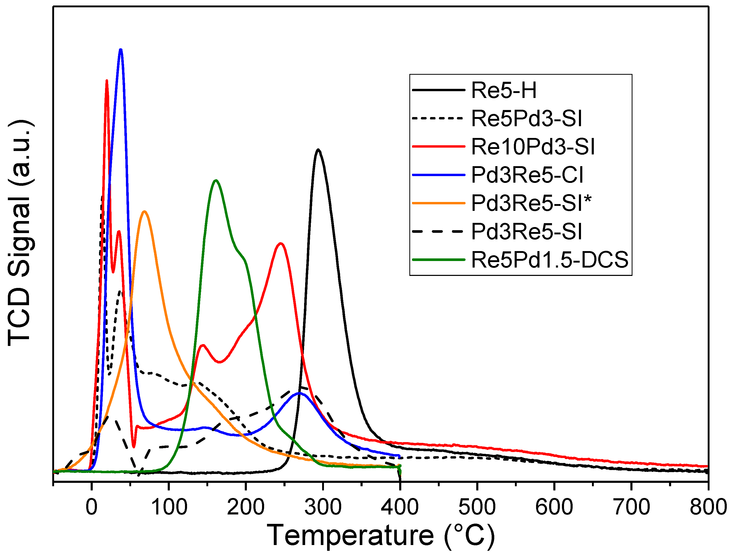
The TPR profiles of the PdRe/Al2O3 catalysts (Figure 1) exhibit a wide range of strong H2 uptake features between 0 and 400 °C. TPR profiles for these catalysts (except for Pd3Re5-SI*) have been reported elsewhere [10,11]; however, some important comparisons were omitted and H2 uptakes were not quantified. The remarkable diversity of the profiles belies the closely similar catalyst compositions. The low-temperature TPR peaks (0–50 °C) are assigned a Pd reduction, as verified by the profiles of monometallic Pd catalysts [10]. The TPR peak temperature for Re5-H is ~295 °C; however, H2 uptake continues above 400 °C indicating a reduction of the isolated Re ions interacting strongly with γ-Al2O3 support [3,24]. Re reduction in the bimetallic catalysts occurs at lower temperatures than in Re/Al2O3. This effect has been explained by the migration of [ReO4] (perrhenate) species to hydrogen-covered Pd nanoparticles on highly hydroxylated γ-Al2O3 [16]. For example, Pd3Re5-SI*, which contains small Pd nanoparticles derived from the TA precursor and was not calcined after the aqueous HReO4 addition, exhibits a single broad TPR peak centered at ~70 °C. In contrast, Pd3Re5-SI which was similarly prepared, except it contained larger Pd nanoparticles derived from the N precursor, has Re reduction features at higher temperatures that are closely similar to those of Pd3Re5-CI. All of the bimetallic catalysts, except for Re5Pd1.5-DCS, contain low-temperature Pd reduction peaks (or contained pre-reduced Pd nanoparticles) and Re reduction features at higher temperatures. Thus, Pd nanoparticles are formed (or present) first and, subsequently, Re reduction occurs via the migration of perrhenate ions to hydrogen-covered Pd particles. As reported previously, the reductive decomposition of the DCS precursor in Re5Pd1.5-DCS begins at ~100 °C and peaks at ~160 °C with shoulders at ~200 and ~250 °C, evidencing the nearly simultaneous and complete reduction of the Pd2+ and Re7+ species [11].
Quantitative H2 uptake data for the PdRe/Al2O3 and Re/Al2O3 catalysts during TPR to 400 °C in 5% H2/Ar are given in Table 3. The average Re oxidation state (n+) after TPR was estimated by assuming that Pd reduction was complete (consuming 2H/Pd) and that the remaining H2 consumption went toward the reduction of Re7+ to Ren+. The resulting values decrease from +2.3 for Re5-H to -0.4 for Re5Pd1.5-DCS in the following order: Re5-H > Re10Pd3-SI > Re5Pd3-SI > Pd3Re5-SI* > Pd3Re5-SI > Pd3Re5-CI > Re5Pd1.5-DCS. Bare et al. [3] reported similar quantitative TPR results for Re/MOR/Al2O3 after reduction at 500 and 700 °C. The Re5Pd1.5-DCS catalyst was completely reduced, and Pd3Re5-CI was nearly completely reduced. The small negative Re oxidation state obtained for Re5Pd1.5-DCS simply reflects the 5–10% uncertainty in the H2 uptake measurements. The Re5Pd3-SI and Re10Pd3-SI catalysts contain more Re in higher oxidation states after reduction. The final Re oxidation states for Pd3Re5-SI and Pd3Re5-SI* may be overestimated because of the initial presence of reduced Pd. The percentage Re7+ reduction for each catalyst was calculated as follows: (1 − n+/7) × 100% (Table 3).

2.3. Temperature-Programmed Hydride Decomposition (TPHD)

Supported Pd nanoparticles form bulk hydride phases (α- and β-PdHx) [25]. The stoichiometry depends on the particle surface-to-volume ratio, hence the particle size [26]. The H/Pd ratio increases with the Pd particle size [26,27], ultimately saturating at the bulk value (β-PdHx~0.65). The H/Pd ratio is diminished by alloying Pd with another transition metal, such as Au, Ag, or Re [15,25]. Ziemecki and coworkers first exploited this effect to infer that PdRe alloy particles were formed in PdRe/Al2O3 catalysts [15]; however, Re and Pd are only partially miscible in the bulk, and the bulk PdRe alloy phase(s) contains a maximum of ~16% Re. More recently, Malinowski et al. [19] used TPHD (referred to as differential TPR) to characterize a series of PdRe/Al2O3 catalysts having a wide range of compositions prepared by SI using a procedure similar to that employed for Pd3Re5-SI. In this section, we use TPHD to detect the disruption of β-PdHx formation associated with Pd-Re interactions (i.e., alloy and near-surface alloy formation) in a series of PdRe/Al2O3 catalysts.
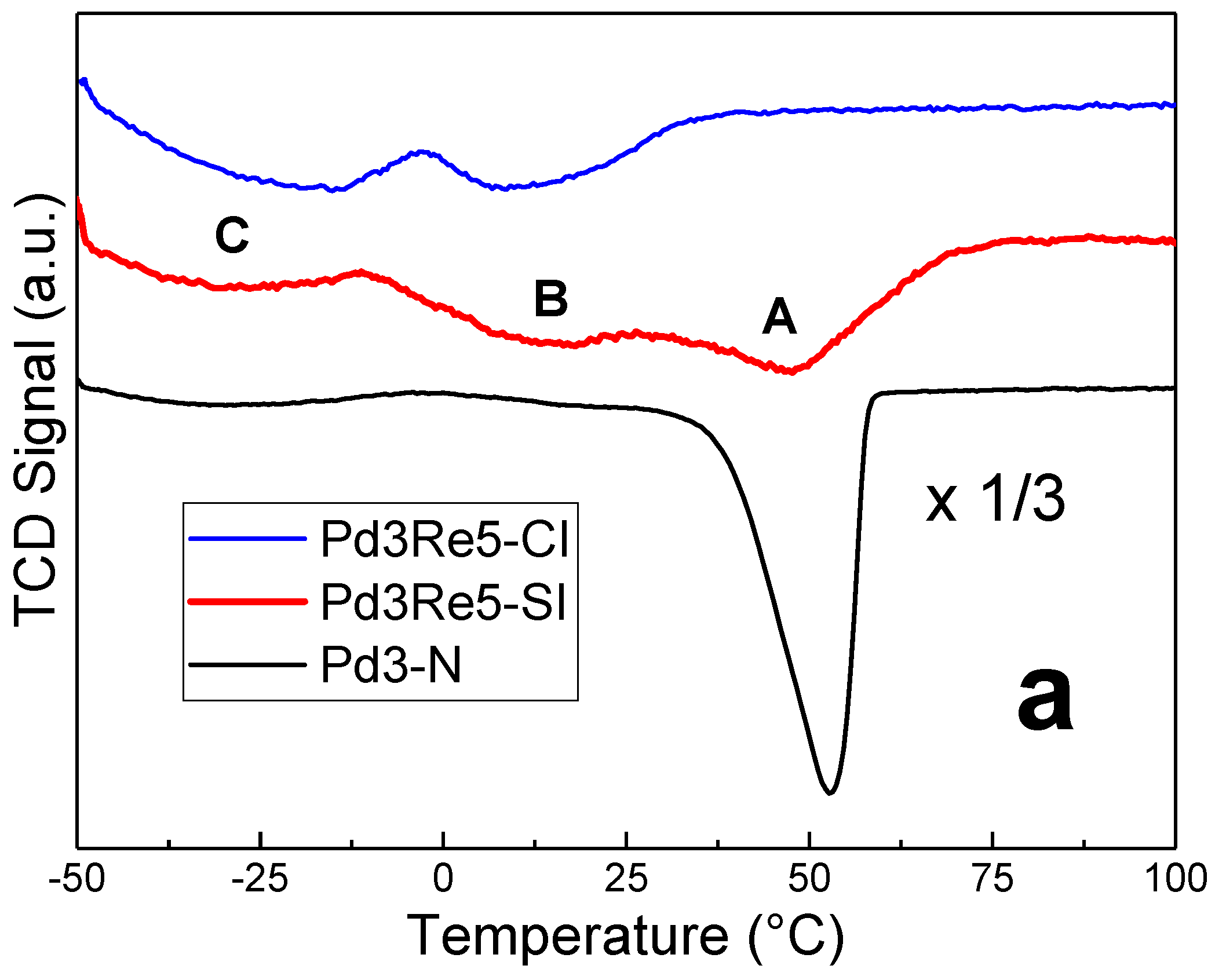
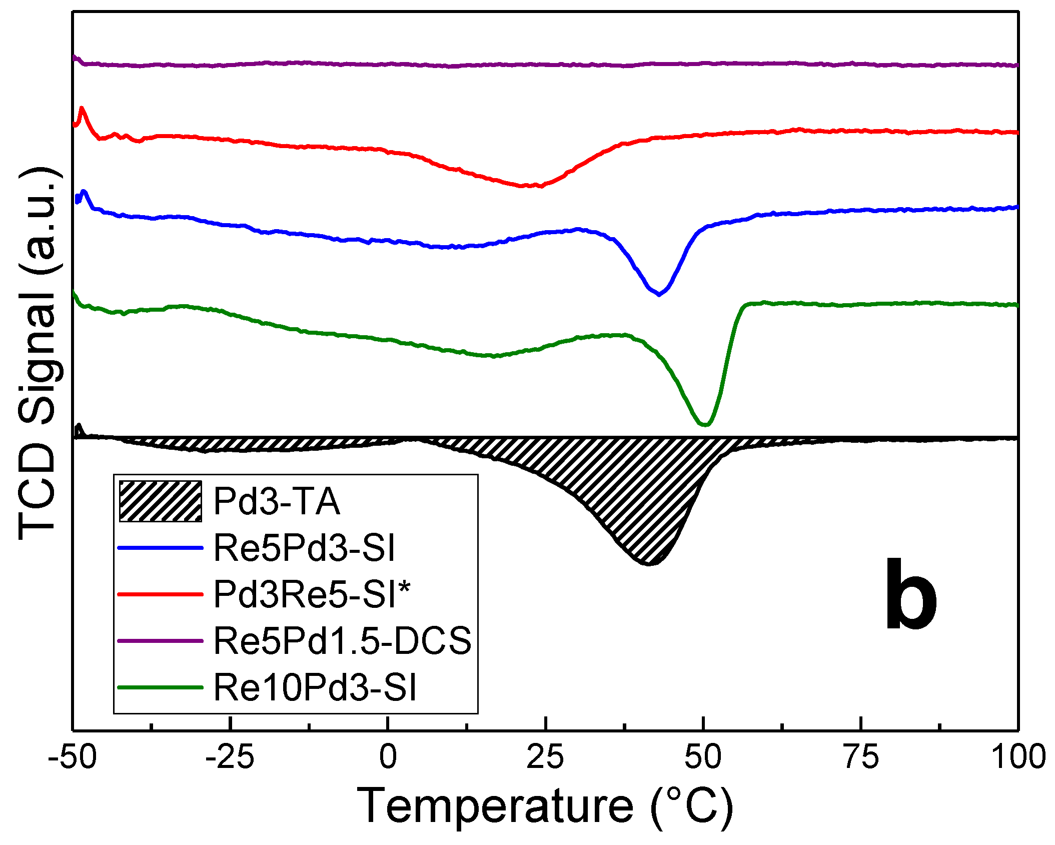
The large asymmetric H2 evolution peak at 50–55 °C in the TPHD profile of Pd3-N (Figure 2a) is assigned to β-PdHx decomposition [15,19]. The corresponding peak for Pd3-TA (Figure 2b) is smaller, and the hydride decomposes at a lower temperature (~40 °C), indicating lower stability, which is consistent with a smaller Pd particle size. Moreover, the main peak is broad and strongly skewed toward lower temperatures, and there is a weak low-temperature H2 evolution feature at approximately −25 °C. The TPHD spectrum of Pd1.5-TA [11] contains an even smaller β-PdHx decomposition peak at ~45 °C. The quantitative H/Pd ratios for the main β-PdHx decomposition peak (at >0 °C) and the total hydrogen evolved in TPHD are given in Table 3. Because Peaks A and B (Figure 2a) overlap in some catalysts (e.g., Pd3-TA), we have chosen to combine the areas and report the sum (as >0 °C) in Table 3. For the Pd/Al2O3 catalysts, there is a very strong linear correlation between the H/Pd (>0 °C) ratio and the pulse chemisorption CO/Pd ratio with a slope of −1.0 and an intercept of 0.71 (near bulk maximum)—consistent with the expected Pd particle size effect [26,27].
The TPHD spectra of the PdRe/Al2O3 catalysts prepared using the N precursor (Figure 2a) show a strong suppression of Peak A (when compared to Pd3-N) and the appearance Peaks B and C at approximately 15 and −25 °C, respectively. The H2 evolution at these low temperatures evidences the decomposition of less stable hydrides, e.g., those associated with Pd-Re alloy or bimetallic nanoparticles. For Pd3Re5-SI (prepared by impregnating a reduced Pd3-N catalyst with HReO4), Peak A is strongly suppressed but not completely eliminated, indicating that some unalloyed Pd particles remain in this catalyst; however, the ~2/3 reduction in the H/Pd ratio (Peak A) indicates that these are a minority. In contrast, Peak A is entirely eliminated in the TPHD spectrum of Pd3Re5-CI, leaving only Peaks B and C, which we infer are associated with Pd-Re alloy nanoparticles with different compositions. Thus, co-impregnation provides for better intermixing of Pd and Re in this catalyst; however, the alloy particles are relatively large, consistent with the pulse CO chemisorption data and as seen previously in HAADF-STEM images [10].
As reported previously, the TPHD spectrum of Re5Pd1.5-DCS (Figure 2b) does not contain any peaks indicating complete suppression of Pd hydride formation in the very small bimetallic (alloy) clusters [11]. In contrast, the β-PdHx decomposition feature at ~45 °C (Figure 2b) in the PdRe/Al2O3 catalysts prepared using the TA precursor is not suppressed completely. For Re5Pd3-SI and Re10Pd3-SI, Peak A is narrower and shifted to higher temperatures relative to Pd3-TA, and the H/Pd ratios are lower and higher than Pd3-TA, respectively. We infer from these results that Re5Pd3-SI contains small Pd nanoparticles (similar to Pd3-TA) and PdRe alloy nanoparticles. The Pd particles in Re10Pd3-SI are larger, as confirmed by HAADF-STEM [10] and EXAFS spectroscopy (vide infra). In contrast, the TPHD spectrum of Pd3Re5-SI* comprises a strong Peak B and a very weak Peak C indicating that this catalyst contains primarily PdRe alloy nanoparticles.

2.4. X-ray Absorption Near-Edge Structure (XANES) Spectroscopy

The Re LIII XANES spectra of the Re/Al2O3 and select PdRe/Al2O3 catalysts (Figure 3a) contain intense white lines (edge resonances) located just above the absorption threshold. This resonance feature arises from the p to d electronic transitions and provides a measure of the Re oxidation state; a larger (more intense) white line indicates a higher oxidation state. The XANES spectrum of Re metal powder measured in transmission mode is shown for comparison; however, its white line has likely been truncated somewhat by thickness effects [3]. All the catalysts, except Re5Pd3-DCS, have similar white line intensities, and the subtle differences correlate with the small shifts in the Re LIII edge position (absorption threshold). The white line intensity of Re5Pd3-DCS is lower than the others, and its edge position is lower. Re LIII edge shifts were used to determine average Re oxidation states (Figure 3b). Measurements of the Re oxidation state from edge shifts are based on a calibration curve generated using several Re compounds: Re metal, ReO2, ReO3, and Re2O7. An edge shift of 4.0 eV was observed for the Re7+ compound, consistent with the literature, [3] and for the calcined Re5-H catalyst. Average Re oxidation states for the catalysts estimated using this calibration curve are shown in Figure 3b. Following pretreatment in 3.5% H2 at 400 °C for 1 h, the average Re oxidation state in Re5-H was +2.4, nearly equivalent to the average oxidation state estimated by the H2 uptake in TPR up to 400 °C of +2.2. Edge shifts for the PdRe/Al2O3 catalysts after reduction are less than those of Re5-H. The average oxidation states determined for Re5Pd3-SI and Re10Pd3-SI are equal (+2.0) and only slightly higher than those of Pd3Re5-SI* (+1.9) and Pd3Re5-CI (+1.8). Interestingly, the fully reduced Re5Pd1.5-DCS catalyst (by TPR) has the lowest average Re oxidation state (+1.6), but it is nonzero. A strong linear correlation is observed between the XANES-derived Re oxidation states and the TPR final oxidation states (Figure 4). The y intercept indicates that fully reduced Re species in each catalyst have an oxidation state of approximately +1.5 units. From this data, we infer that there are two contributions to the average Re oxidation state after reduction: incompletely or unreduced Re species (e.g., Re4+ and Re7+) and a metal–support interaction leading to positively charged Re clusters [3]. This hypothesis is further elucidated using EXAFS spectroscopy in the next section.

2.5. EXAFS Spectroscopy

The k2-weighted EXAFS spectra and corresponding Fourier transform (FT) magnitudes of the PdRe/Al2O3 catalysts at the Pd K edge (Figure 5) exhibit very similar features. The main peak corresponds to the first-shell Pd-Pd distance in the metal; however, there are significant low-R side lobes. The most evident differences are the chi amplitudes and corresponding FT magnitudes that decrease in the following order: Re10Pd3-SI > Pd3Re5-CI > Re5Pd3-SI > Pd3Re5-SI*. The Pd higher shells exhibit a similar trend. In comparison, the k2-weighted chi data and FTs of the Re/Al2O3 and PdRe/Al2O3 catalysts at the Re LIII edge (Figure 6) indicate the presence of multiple backscatterers (e.g., Re, Pd, O) in the first coordination shell. The lower EXAFS amplitudes at a high k (Figure 6a) for the bimetallic catalysts arise from interference between the Re-Re and Re-Pd backscattering contributions. The destructive interference is maximum near the node at ~11-Å−1. Of course, smaller Re nanoparticles with lower Re-Re coordination numbers will also have lower high-k amplitudes. The FT peaks at ~2.4 and 2.8 Å comprised Re-Re (major) and Re-Pd (minor) contributions, and strong interference affects their magnitudes and shapes. To illustrate, simulated FTs were generated using FEFF6 by replacing Pd atoms with Re atoms in the first coordination shell at a weighted average bond distance (Figure S3a), and vice versa at the Re edge (Figure S3b). These simulations are meant only for semiquantitative illustration, and fits to the experimental data are discussed later; however, it is clear that the greatest destructive interference occurs with the insertion of ~3 Pd atoms within the 12-member first coordination shell of Re. The analogous spectra generated at the Pd K-edge show that significant destructive interference only exists for the Re backscatterers about a Pd absorber at high Re:Pd ratios, i.e., 1:1 or greater. A small fraction of Re around a Pd absorber only creates minimal destructive interference, consistent with the experimental spectra in Figure 5. Because the bulk of the thermodynamics of PdRe alloys limits the heteroatom concentration to ~16% [13], strong destructive interference is only expected at the Re LIII edge. The Re LIII EXAFS spectra of the catalysts are complicated further by the presence of O backscatterers in the first coordination shell. The peak at ~1.9 Å in the FT of Re5-H is indicative of Re-O bonding; smaller Re-O contributions are found also in the EXAFS spectra of the bimetallic catalysts.
The Re LIII FT EXAFS spectrum of Re10Pd5-SI most closely resembles that of Re5-H, indicating the presence of a segregated metallic Re species, as previously inferred from TPR and HAADF-STEM [10]. The 2.8-Å peak appears broader with lower intensity in the spectrum of Pd3Re5-CI. This peak is diminished further in the FT spectra of Pd3Re5-SI* and Re5Pd3-SI, and the residual intensity shifts to ~3.0 Å. Conversely, the peak at ~2.4 Å has maximum intensity for Pd3Re5-CI and remains relatively strong for Pd3Re5-SI* and Re5Pd3-SI. The peak at ~1.9 Å associated with Re-O contributions is very similar for the three 1:1 Pd:Re bimetallic catalysts. The higher coordination shell peaks (i.e., features at >3.5 Å) are more intense for Re5-H and Re10Pd3-SI, indicating the presence of larger Re nanoparticles in these catalysts. Through an initial approximation, it is determined that the magnitudes of the higher shell peaks scale with the first-shell peak at 2.8 Å. Next, we will discuss the quantitative fitting of the EXAFS spectra using FEFF6 models for the Re-O, Re-Re, and Re-Pd paths.
The Re LIII first-shell EXAFS spectrum of the as-prepared Re5-H catalyst (after calcination and measured in the air) could be fit very well using four Re-O backscatterers at 1.73 Å consistent with the structure of the perrhenate ion, [ReO4] (Table 4). The overall best fit for the Re LIII first-shell EXAFS spectrum of Re5-H after a reduction in flowing 3.5% H2 at 400 °C for 1 h is compared with the experimental data in r space in Figure 7 [FT magnitude (a) and real (Re) part (b)]. This fit was achieved using only the Re-Re and Re-O1 paths shown. The fitting parameters (Table 4) indicate a mixture of small metallic Re particles and ReOx species. The average Re-Re distance (2.74 Å) is equal to the average of the two Re-Re distances in the hcp metal. The Re-O1 distance (2.01 Å) is equivalent to that found in the bulk ReO2, suggesting that Re4+ is most prevalent in a non-zero oxidation state. The incomplete reduction of Re7+ to Re4+ has been observed in previous studies of Re/Al2O3 catalysts by electron spin resonance [28] and XPS [29]. A similar Re-O distance was also reported by Bare et al. [3] and Chen et al. [5]. Adding a second Re-O2 path with a bond distance corresponding to Re7+ oxide (1.73 Å) improved the fit slightly (Table 4). The EXAFS spectroscopy results for Re5-H are consistent with HAADF-STEM images of this catalyst, showing ~1-nm Re clusters (Figure 8a) and some larger Re nanoparticles (Figure 8b). The Re clusters are relatively uniform in size. The composite particle size distribution derived from these images is shown in Figure S4.
Excellent simultaneous fits with the Pd K and Re LIII edges were obtained for the bimetallic catalysts using two homometallic backscattering paths (Pd-Pd and Re-Re), two heterometallic paths (Pd-Re and Re-Pd), and a single Re-O path. Debye–Waller factors were evaluated for each homometallic bond. The heterometallic bond distances and Debye–Waller factors were constrained to be equal at the Pd K and Re LIII edges. The Pd-Re partial coordination number was constrained to be equal to the Re-Pd partial coordination number multiplied by the molar ratio of Re to Pd in the catalyst, i.e., the Via criterion [30], ensuring consistency in fitting the heterometallic coordination numbers at each edge. The Debye–Waller factor for Re-O was set to 0.005 Å2 based on experience and the fitting of the EXAFS spectrum of the calcined Re5-H catalyst. The overall best fits to the Pd K edge and Re LIII edge first-shell EXAFS spectra after a reduction in flowing 3.5% H2 at 400 °C for 1 h are compared with the experimental data in r space for Pd3Re5-CI and Re5Pd3-SI in Figure 9 and Figure 10, respectively. The fits clearly evidence that the homometallic backscattering paths are the dominant contributions; however, the heterometallic paths are significant, especially at the Re LIII edge. Destructive interference between the Re-Re and Re-Pd paths can be seen by comparing the real parts of the Fourier transforms. The Re-O backscattering paths are minor contributions for both catalysts.
The quantitative fitting results (Table 4) show good consistency in the homometallic and heterometallic distances and the Debye–Waller factors across the series of bimetallic catalysts. The R factors (one at each edge) evidence excellent agreement with the experimental data. In agreement with previous reports [15,16,17,19], the heterometallic and Re-Re distances are shorter than in the bulk metals. An early EXAFS spectroscopy investigation of a PdRe/Al2O3 catalyst prepared by co-impregnation observed a contraction of the Pd-Re and Re-Re bonds from 2.74 Å in the metals to 2.72 Å for the Re-Re and 2.67 Å for the Pd-Re [17]. Our fitting parameters evidence heterometallic distances from 2.69 to 2.71 Å, depending on the preparation. Only in Re10Pd3-SI, which contains segregated Re nanoparticles, is the Re-Re distance equivalent to the bulk metal (or nearly so). Ziemecki et al. employed in situ XRD of reduced PdRe/Al2O3 (prepared by impregnating Pd/Al2O3 with Re2O7) and observed two distinct alloy phases, both with smaller lattice parameters (3.84 and 3.88 Å) than Pd (3.89 Å) [15,16]. These lattice parameters correspond to the metal–metal distances of 2.71 and 2.73 Å, respectively, which are equivalent to the Pd-Re and Pd-Pd bond distances from the EXAFS spectroscopy of Pd3Re5-CI. A shorter Pd-Re distance (relative to the bulk metals) also was reported by Malinowski et al. [19] based on XRD. Interestingly, static and dynamic disorder (as measured by the Debye–Waller factors) is consistently lower for the heterometallic backscattering paths than for the homometallic paths. Combining these data with the TPHD results, the Pd3Re5-CI and Pd3Re5-SI* catalysts appear to contain PdRe alloy nanoparticles, albeit with different compositions.
The total first-shell coordination numbers, heteroatom compositions and Cowley short-range order parameters at the Pd K edge and Re LIII edge are provided in Table 5. Data based on our previous EXAFS analysis of Re5Pd1.5-DCS are included for comparison [11]. The first observation is that the Pd total coordination number (NPd-M) is higher (and in most cases significantly) than the Re total coordination number (NRe-M) for each catalyst, except Re5Pd1.5-DCS where the total coordination numbers are equivalent. NPd-M > NRe-M indicates that either Re is segregated to the surface (and Pd to the core) of the alloy nanoparticles and/or the segregated Pd nanoparticles are larger than the Re nanoparticles (or clusters). The former hypothesis appears to explain the data for Pd3Re5-CI and Pd3Re5-SI, and the latter the data for Re5Pd3-SI and Re10Pd3-SI. For Pd3Re5-CI, the coordination numbers are indicative of relatively large nanoparticles and are consistent with HAADF-STEM images showing (up to 30-nm) alloy particles [10]. For Pd3Re5-SI*, both NPd-M and NRe-M are smaller, suggesting small Pd-Re alloy nanoparticles (consistent with TPHD and CO chemisorption), with Re surface segregation. For Re5Pd3-SI, NPd-Pd is much greater than NRe-Re, consistent with a mixture of Pd nanoparticles and small Re clusters (consistent with TPHD and CO chemisorption) as observed by HAADF-STEM [10]. The segregated Re particles are largest in Re10Pd3-SI and smallest in Re5Pd3-SI, as evidenced by the decreasing 2.9-Å peak in Figure 6b. For the 1:1 Pd:Re catalysts, there are ~11% Re nearest neighbors (NN) in the first coordination shell of Pd and ~15% Pd NN in the first coordination shell of Re. These values are also consistent with Pd-Re alloy formation via Re dissolution in Pd with either Re surface enrichment and/or the presence of a segregated Re species (clusters, nanoparticles). The %Re NN (Pd) is similar for Re10Pd3-SI; however, the %Pd NN (Re) is lower than expected which we attribute to the prevalence of segregated Re nanoparticles. In contrast, the Re5Pd1.5-DCS catalyst has a much higher %Re NN (Pd) and a somewhat higher %Pd NN (Re), indicating greater intermixing in these smaller bimetallic clusters than in bulk PdRe alloys [11]. The Cowley short-range order parameter (α) was calculated from the partial coordination numbers and overall composition, as follows:
a A B = 1 N A B / N A M x B
where NAB is the partial coordination number of Type A atoms (by Type B atoms), NAM is total coordination number of Type A atoms (M = A + B), and x B is the mole fraction of type B atoms [31]. The Cowley short-range order parameter varies on the interval: −1 < α < 1, indicating homogeneous alloying to complete segregation of the metals. The crossover point, α = 0, distinguishes between homogeneous and heterogeneous nanoalloys. The α(Pd-Re) and α(Re-Pd) values for the bimetallic catalysts prepared by co-impregnation and sequential impregnation are 0.67 to 0.85 (Table 5), indicating heterogeneity in local composition (e.g., segregation and clustering of like atoms). The heterogeneity seems to be slightly greater for the Re atoms around a Pd and for the Re10Pd5-SI catalyst. In contrast, the Cowley parameters are much smaller (but still positive) for the Re5Pd1.5-DCS catalyst, indicating a tendency toward homogeneity; however, the bimetallic clusters remain heterogeneous on a local composition scale as evidenced by HAADF-STEM [11].
As evidenced by TPR and XANES, not all Re in these catalysts is reduced to metal at 400 °C, and this is reflected in the Re-O contributions. The Re-O bond length is nearly constant at 2.01–2.03 Å, consistent with the average first-shell Re-O bond in ReO2 [32]. This Re-O bond is similar to that found by Tomishige and coworkers when fitting the Re LIII-edge spectra of RhRe-, PtRe-, and IrRe/SiO2 catalysts [5,6,7,8]. Adding a Re-O path with a bond length of 1.73 Å (corresponding to perrhenate ion) did not improve our fits. When a second unrestricted Re-O path was added and the fit repeated, two bond lengths were found: 1.91 Å and 2.08 Å—closely similar to the shorter and longer Re-O distances in ReO2. The Re-O coordination number decreases in the following order: Re5-H > Re10Pd3-SI > Pd3Re5-SI* > Re5Pd3-SI > Pd3Re5-CI > Re5Pd1.5-DCS. Average Re oxidation states were calculated using the Re-O coordination numbers, assuming the ReO2 structure with octahedral coordination of Re4+ by oxygen. The results (including a datum for Re5-H) are plotted using oxidation states determining by TPR on the abscissa in Figure 4. We find a linear correlation with a closely similar slope to that found using the XANES-derived oxidation states; however, the y intercept (+0.29) is much smaller, consistent with a very small residual concentration of Re4+ in Re5Pd1.5-SI. The difference in the y intercepts (+1.26) suggests a net positive charge on the supported Re clusters (including potentially single atoms). Electrostatic interaction (charge transfer) between small Re particles (clusters) and the alumina support has been posited by Bare et al. [3], to explain higher-than-expected white line intensities for Re/MOR/Al2O3 catalysts reduced at 500 and 700 °C in dry H2. FEFF calculations showed that small Re metal clusters (containing 3 and 13 atoms) on γ-Al2O3(110) have higher Re LIII white line intensities than bulk-like Re clusters (containing 93 atoms). Similarly, Miramontes et al. found a net positive charge for Re atoms and ultra-small clusters on graphene using DFT calculations [33]. We suggest that charge transfer may explain the higher oxidation states inferred from Re LIII XANES edge shifts despite the relatively low Re-O coordination numbers indicated by EXAFS spectroscopy.

2.6. Implications for Furfural Selective Hydrogenation Catalysis

Vapor-phase selective hydrogenation of furfural to FA over two series of PdRe/Al2O3 catalysts on different γ-Al2O3 supports has been reported previously [10,11,12]. Furfural consumption rates (at a differential conversion), turnover frequencies (TOFs) on a volumetric CO chemisorption basis, and FA selectivities for selected catalysts are provided in Table 6. The catalysts are arranged in order of increasing furfural TOF; the best catalysts (those with high TOFs and high furfural selectivities) also have volumetric H/CO chemisorption ratios (at 35 °C) of ~0.25 [10,11]. The Re5-H catalyst exhibits very low activity; however, its FA selectivity is relatively high (~75%). The Re10Pd5-SI catalyst has low activity with a similar FA selectivity consistent with its high Re content and a high degree of Re segregation. Furfural consumption rates for the Pd/Al2O3 catalysts scale very well with dispersion; their TOFs are equivalent or nearly so. The FA selectivities of the Pd/Al2O3 catalysts are only ~50% because of the furfural decarbonylation side reaction. We inferred from CO DRIFTS that the addition of Re to Pd/Al2O3 catalysts inhibits decarbonylation by blocking three-fold sites on low-index Pd surfaces, e.g., in Pd3Re5-CI [10]. EXAFS spectroscopy, TPHD, and HAADF-STEM [10,11] evidence that Pd3Re5-CI contains large (20–30 nm) Pd-rich alloy particles and smaller (<5 nm) segregated Pd and Re nanoparticles. The furfural TOF and FA selectivity of this catalyst are only modestly higher than Pd3-N. PdRe/Al2O3 catalysts prepared by SI are more active and more selective than Pd3Re5-CI. The most active catalyst, Re5Pd3-SI, with the highest furfural consumption rate contains 8–10 nm Pd nanoparticles partially covered by small Re clusters, as shown by HAADF-STEM-EDX [10]. Herein, TPHD and EXAFS spectroscopy evidence a small albeit significant Pd-Re interaction. The furfural TOF is more than twice that of the Pd3Re5-CI, but closely similar to the other SI catalysts. Pd3Re5-SI* contains Pd-rich alloy nanoparticles with Pd@Re core-shell structures based on TPHD and EXAFS spectroscopy. Pd3Re5-SI* (based on measurements of an analogous catalyst prepared using a different γ-Al2O3 support [12]) has a much higher furfuryl consumption rate than Pd3Re5-SI; however, the TOFs are nearly equal, suggesting that they contain similar active sites. Previously, we have shown using HAADF-STEM that Pd3Re5-SI contains very small Re nanoparticles in direct surface contact with much larger (20–30 nm) Pd-rich nanoparticles. TPHD indicates that most of the Pd-rich nanoparticles are alloyed with Re. Catalysts prepared from the DCS precursor on two different γ-Al2O3 supports have the highest TOFs and FA selectivities in either series [11,12]. The Re5Pd1.5-DCS catalyst contains very little unreduced or partially reduced Re (i.e., Re7+ or Re4+), as demonstrated by TPR and XANES, and has the smallest total Pd coordination number and the largest heterometallic partial coordination numbers, as evidenced by EXAFS spectroscopy [11]. Thus, Re5Pd1.5-DCS contains very small bimetallic nanoparticles (i.e., clusters) with a high degree of intermixing.
Davis, Neurock, and coworkers have concluded that the promoter effect of Pd on supported Re in the catalytic reduction of propionic acid results from the spillover of hydrogen from Pd nanoparticles to vicinal ReOx species on the support [34,35]. The exact nature of the ReOx species is open to debate. Their DFT calculations employed a model comprising a trinuclear Pd cluster and a single Re atom that was allowed to minimize its energy by interacting with an anatase TiO2(101) surface. The oxophilic Re atom reacts with the support, forming covalent Re-O bonds and resulting in a tetracoordinate Re4+ species. Kammert et al. [35] then inserted an additional oxygen atom, making the Re pentacoordinate with a 5+ formal oxidation state. The DFT modeling of Bare et al. [3] found that single Re atoms interacted with the (110) surface of γ-Al2O3 primarily via Re-O bond formation. A tricoordinate Re species with one short (~1.95 Å) and two long (2.23 and 2.40 Å) Re-O bonds was reported based on an EXAFS analysis using their DFT model; longer Re-Al distances (probably non-bonding) also were observed. Bare et al. did not report a formal oxidation state for Re adatoms on γ-Al2O3(110); however, a low positive oxidation state (less than 4+) might be expected. In our work, HAADF-STEM, TPHD, and EXAFS spectroscopy evidence that after reduction at 400 °C the PdRe/Al2O3 catalysts contain Pd-rich nanoparticles (including dilute Pd-Re alloys) in direct contact with smaller Re nanoparticles (or clusters); however, there are some segregated Re clusters on the γ-Al2O3 support. In contrast, Kammert et al. found no evidence of Pd-Re interactions in their EXAFS analysis of a PdRe/SiO2 catalyst reduced at 400 °C. We did not find evidence of Re4+ species in abundance in any of our reduced bimetallic catalysts; however, we did determine an average Re oxidation state of 1.5 to 2+ through a XANES analysis. Electron transfer from the supported Re clusters to the support can account (at least partially) for this positive charge [3,33]. Although Re supported on γ-Al2O3 can dissociate H2 under furfural hydrogenation conditions (e.g., at 150 °C [36]), Re/Al2O3 is much less active than Pd/Al2O3. In PdRe/Al2O3 catalysts pretreated in H2 at 400 °C, Pd appears necessary to facilitate Re reduction and supply hydrogen to Re clusters in direct contact with Pd nanoparticles. The equivalent TOFs of catalysts with a wide range of Pd dispersions (e.g., Pd3Re5-SI and Pd3Re5-SI*) and the high TOF of Re5Pd1.5-DCS (containing mainly supported bimetallic clusters) make a mechanism involving hydrogen spillover to the vicinal ReOx species on the γ-Al2O3 support seem less plausible.

3. Experimental

3.1. Catalyst Preparation

The supported metal catalysts were prepared by incipient wetness impregnation of γ-Al2O3 (183 m2/g BET surface area, 0.80 cm3/g total pore volume) purchased from Grace Davison, Sulphur, LA, USA (MI-309). The bimetallic catalyst preparation methods have been described previously, including CI and various SI methods [10,11]. Two palladium precursors: [Pd(NH3)4(NO3)2] (tetraammine, TA) [10 wt% solution, 99% Pd (metals basis) Aldrich, Saint Louis, MO, USA)] and Pd(NO3)2 (nitrate, N) [99.9% Pd (metals basis), Strem)] and one rhenium precursor: HReO4 (perrhenic acid, H) [76.5 wt% solution, 99.99% Re (metals basis), Acros Organics] were used. After impregnation, the resultant pastes were dried overnight at 110 °C, then crushed and calcined typically at 350 °C for 1 h (5 °C/min heating rate) in 0.6 L/min zero-grade air (National Welders, RTP, NC, USA). Pd3Re5-SI and Pd3Re5-SI* were not calcined after the HReO4 addition to the previously reduced Pd3-N and Pd3-TA catalysts, respectively. PdRe/Al2O3 catalyst preparation using the DCS, Pd(NH3)4[ReO4]2, was described previously [11]. The resultant Re5Pd1.5-DCS catalyst was not calcined before reduction.

3.2. Catalyst Characterization

Specific surface areas were measured by N2 physisorption using a Micromeritics ASAP 2020c instrument (Norcross, GA, USA). Catalysts were degassed at 200 °C for 2 h prior to N2 (National Welders, research grade) adsorption measurements over a pressure range of 0.06–0.26 atm at −196 °C. Specific surface areas were determined using a standard 5-pt. Brunauer–Emmett–Teller (BET) analysis. Pulse CO chemisorption was performed using a Micromeritics 2920 Autochem II. After in situ reduction at 400 °C for 1 h in 5% H2/Ar (certified, National Welders), the sample was cooled to 35 °C and 0.5 mL pulses of 5% CO/He (certified, National Welders) were administered until the peak area did not change between consecutive pulses.

3.3. TPR and TPHD

TPR and TPHD experiments were performed using a Micromeritics 2920 Autochem II equipped with a thermal conductivity detector (TCD) for monitoring H2 uptake/desorption. Catalysts were cooled to −50 °C in flowing He (UHP, National Welders), and then, the gas was switched to 5% H2/Ar (Machine and Welding Supply, certified mixture). Both gases were purified using H2O/O2 traps (Oxilab). Once the TCD baseline was stable, the sample was heated at 10 °C/min to 400 °C and held for 1 h. Some samples, particularly Re/Al2O3 catalysts, were heated to 800 °C. Hydride decomposition experiments were performed on Pd-containing samples by cooling to −50 °C in H2/Ar after a 400 °C reduction. A second ramp at 10 °C/min to 400 °C then proceeded to give TPHD profiles.

3.4. XAFS Spectroscopy

XAFS spectra were measured at the Advanced Photon Source at Argonne National Laboratory on beamline MR-CAT-10BM. Catalyst samples were reduced in a stream of 3.5% H2/He (certified, Airgas), cooled to room temperature, and purged in He (UHP, Airgas). Pd foil (0.05 mm thick) and Re metal powder (350 mesh, 99.99% Re Strem) were used to calibrate the monochromator and served as references during experiments. Catalysts were measured in transmission mode after being pressed into a cylindrical “six-shooter”, as described in [37], to enable the simultaneous reduction of six samples and measurement at the Pd K- and Re LIII-edges. During scans at the Pd K-edge (24,350 eV), the I0 chamber was filled with a mixture of 40% N2-60% Ar and the It chamber with 100% Ar; for the Re LIII-edge (10,535 eV), mixtures of 95% N2-5% Ar in I0 and 30% N2-70% Ar in It were used.
The EXAFS signal was removed from the background using Athena data processing software [38]. Fourier transforms of the EXAFS were fit using the Artemis [39] and FEFF6 references generated by ATOMS [39] and the appropriate lattice parameters for Re and Pd [40] and for NH4ReO4 [41]. A Pd-Re FEFF reference was generated by substituting 6 of the 12 nearest neighbors with Re at the average Pd-Pd and Re-Re bond length (2.75 Å). The amplitude reduction factors, S02, 0.76 for Pd and 0.78 for Re, were determined using Pd foil and Re metal powder. The coordination number (N), bond length or interatomic distance (R), Debye–Waller factor (σ2), and inner potential shift (ΔE0) were reported for each path based on the simultaneous kn (n = 1–3) fitting of the Fourier transform. The Pd K-edge fitting ranges were as follows: k-space 2.7–14.0 Å−1 and R-space 1.0–3.0 Å. The Re LIII-edge fitting ranges were k-space 3.6–14.1 Å−1 and R-space 1.3–3.1 Å.

3.5. HR-STEM-EDX

An aberration-corrected FEI Titan 80–300 electron microscope was used for high-resolution STEM. EDX spectra were captured using the microscope’s HAADF detector equipped with SuperX EDS system comprising four Bruker silicon drift detectors. The voltage was set to 200 kV. Samples were reduced ex situ at 400 °C and transferred to a glove box in a N2-purged glove bag. Carbon-coated copper grids (Ted Pella) were dipped into the dry catalyst powder in the glove box under the N2. Grids were briefly exposed to ambient air when putting the grid into the sample holder and inserting the holder into the microscope.

4. Conclusions

The structures of PdRe/Al2O3 catalysts after reduction are highly complex and heterogeneous. Those prepared by conventional methods (co-impregnation or sequential impregnation) contain Pd-rich alloy nanoparticles with Pd@Re core-shell structures, as evidenced by EXAFS spectroscopy and suppression of β-PdHx formation. These bimetallic catalysts all exhibit low-temperature Pd TPR peaks (or contained pre-reduced Pd nanoparticles) and Re reduction features at higher temperatures. Thus, Pd nanoparticles are formed first (or initially present) and subsequently Re reduction occurs via the migration of perrhenate ions to hydrogen-covered Pd particles, resulting in Pd@Re core-shell alloy nanoparticles. These catalysts, however, also contain the segregated Re species (similar to those found in reduced Re/Al2O3 catalysts), i.e., small clusters comprising Re atoms in low positive oxidation states (~1.5+) and incompletely reduced Re species (primarily Re4+). Employing the DCS precursor results in small PdRe clusters with compositions not predicted by the PdRe phase diagram and with greater short-range homogeneity.

Supplementary Materials

The following supporting information can be downloaded at: https://www.mdpi.com/article/10.3390/catal14090604/s1. Figure S1. CO DRIFTS of Re5-H at 20 °C: (black) after reduction in H2 at 400 °C and (red) after reduction and heating in flowing He at 400 °C. Figure S2. HAADF-STEM images of Pd3-TA (a) and Pd3-N (b) catalysts. Figure S3. Fourier transforms of FEFF6-simulated EXAFS spectra generated by substitution of one metal into the first coordination shell of the other: Re into Pd at the Pd K edge (a) and Pd into Re at the Re LIII-edge (b). Figure S4. Composite particle-size distribution (PSD) from HAADF-STEM images (Figure 8a,b) of Re5-H catalyst.

Author Contributions

Conceptualization, S.T.T. and H.H.L.; methodology, S.T.T. and H.H.L.; formal analysis, S.T.T..; investigation, S.T.T.; resources, H.H.L.; data curation, S.T.T.; writing—original draft preparation, S.T.T. and H.H.L.; writing—review and editing, H.H.L.; supervision, H.H.L.; project administration, H.H.L.; funding acquisition, H.H.L. All authors have read and agreed to the published version of the manuscript.

Funding

This work was funded by the Eastman Chemical Company through a Center of Excellence at North Carolina State University.

Data Availability Statement

Data are contained within the article and Supplementary Materials.

Acknowledgments

ICP-OES analysis was performed at the Eastman Chemical Company in Kingsport, TN. This research used resources from the Advanced Photon Source, a U.S. Department of Energy (DOE) Office of Science User Facility operated for the DOE Office of Science by Argonne National Laboratory under Contract No. DE-AC02-06CH11357. We gratefully acknowledge the loan of EXAFS equipment from Jeff Miller, and the assistance of Joshua Wright and John Katsoudas in operating the beamline MR-CAT-10BM. The authors acknowledge the use of the Analytical Instrumentation Facility at NCSU, which is supported by the state of North Carolina and the National Science Foundation, and, in particular, Xiahan Sang for assistance with STEM-EDX.

Conflicts of Interest

The authors declare no conflicts of interest.

References

  1. Luo, J.; Liang, C. Rhenium in Heterogeneous Catalysis: A Rising Star for Hydrogenation Reactions. ACS Catal. 2024, 14, 7032–7049. [Google Scholar] [CrossRef]
  2. Raymond, N.E.; Angelo, P.I. Lignin-Furfuryl Alcohol Resins and Process of Making Same. US Patent 2538302, 16 January 1951. [Google Scholar]
  3. Bare, S.R.; Kelly, S.D.; Vila, F.D.; Boldingh, E.; Karapetrova, E.; Kas, J.; Mickelson, G.E.; Modica, F.S.; Yang, N.; Rehr, J.J. Experimental (XAS, STEM, TPR, and XPS) and Theoretical (DFT) Characterization of Supported Rhenium Catalysts. J. Phys. Chem. C 2011, 115, 5740–5755. [Google Scholar] [CrossRef]
  4. Chia, M.; Pagan-Torres, Y.J.; Hibbitts, D.; Tan, Q.H.; Pham, H.N.; Datye, A.K.; Neurock, M.; Davis, R.J.; Dumesic, J.A. Selective Hydrogenolysis of Polyols and Cyclic Ethers over Bifunctional Surface Sites on Rhodium–Rhenium Catalysts. J. Am. Chem. Soc. 2011, 133, 12675–12689. [Google Scholar] [CrossRef]
  5. Chen, K.Y.; Koso, S.; Kubota, T.; Nakagawa, Y.; Tomishige, K. Chemoselective Hydrogenolysis of Tetrahydropyran-2-methanol to 1,6-Hexanediol over Rhenium-Modified Carbon-Supported Rhodium Catalysts. Chemcatchem 2010, 2, 547–555. [Google Scholar] [CrossRef]
  6. Koso, S.; Watanabe, H.; Okumura, K.; Nakagawa, Y.; Tomishige, K. Stable Low-Valence ReOx Cluster Attached on Rh Metal Particles Formed by Hydrogen Reduction and Its Formation Mechanism. J. Phys. Chem. C 2012, 116, 3079–3090. [Google Scholar] [CrossRef]
  7. Amada, Y.; Watanabe, H.; Tamura, M.; Nakagawa, Y.; Okumura, K.; Tomishige, K. Structure of ReOx Clusters Attached on the Ir Metal Surface in Ir–ReOx/SiO2 for the Hydrogenolysis Reaction. J. Phys. Chem. C 2012, 116, 23503–23514. [Google Scholar] [CrossRef]
  8. Ebashi, T.; Ishida, Y.; Nakagawa, Y.; Ito, S.-I.; Kubota, T.; Tomishige, K. Preferential CO Oxidation in a H2-Rich Stream on Pt−ReOx/SiO2: Catalyst Structure and Reaction Mechanism. J. Phys. Chem. C 2010, 114, 6518–6526. [Google Scholar] [CrossRef]
  9. Takeda, Y.; Nakagawa, Y.; Tomishige, K. Selective hydrogenation of higher saturated carboxylic acids to alcohols using a ReOx–Pd/SiO2 catalyst. Catal. Sci. Tech. 2012, 2, 2221–2223. [Google Scholar] [CrossRef]
  10. Thompson, S.T.; Lamb, H.H. Palladium–Rhenium Catalysts for Selective Hydrogenation of Furfural: Evidence for an Optimum Surface Composition. ACS Catal. 2016, 6, 7438–7447. [Google Scholar] [CrossRef]
  11. Thompson, S.T.; Lamb, H.H. Catalysts for selective hydrogenation of furfural derived from the double complex salt [Pd(NH3)4](ReO4)2 on γ-Al2O3. J. Catal. 2017, 350, 111–121. [Google Scholar] [CrossRef]
  12. Thompson, S.T.; Lamb, H.H. Palladium-Rhenium Catalysts for Selective Hydrogenation of Furfural: Influence of Catalyst Preparation on Structure and Performance. Catalysts 2023, 13, 1239. [Google Scholar] [CrossRef]
  13. Tylkina, M.A.; Tsyganova, I.A.; Savitskii, E.M. Diagrammy sostoyaniya splavov reniya s metallami platinovoi gruppy (The constitution diagrams of rhenium alloys with platinum group metals). Zh. Neorg. Khim. 1962, 7, 1917. [Google Scholar]
  14. Massalski, T.B. (Ed.) Binary Alloy Phase Diagrams, 2nd ed.; Materials Information Soc.: Materials Park, OH, USA, 1990; Volume 3. [Google Scholar]
  15. Ziemecki, S.B.; Michel, J.B.; Jones, G.A. Hydride formation as a measure of alloying in bimetallic systems containing palladium. React. Solid. 1986, 2, 187–202. [Google Scholar] [CrossRef]
  16. Ziemecki, S.B.; Jones, G.A.; Michel, J.B. Surface mobility of Re2O7 in the system Re7+ Pd0γ-Al2O3. J. Catal. 1986, 99, 207–217. [Google Scholar] [CrossRef]
  17. Meitzner, G.; Via, G.H.; Lytle, F.W.; Sinfelt, J.H. Structure of bimetallic clusters. Extended x-ray absorption fine structure (EXAFS) of Pt–Re and Pd–Re clusters. J. Chem. Phys. 1987, 87, 6354–6363. [Google Scholar] [CrossRef]
  18. Bonarowska, M.; Malinowski, A.; Karpinski, Z. Hydrogenolysis of C–C and C–Cl bonds by Pd–Re/Al2O3 catalysts. App. Catal. A 1999, 188, 145–154. [Google Scholar] [CrossRef]
  19. Malinowski, A.; Juszczyk, W.; Bonarowska, M.; Pielaszek, J.; Karpinski, Z. Pd-Re/Al2O3: Characterization and catalytic activity in hydrodechlorination of CCl2F2. J. Catal. 1998, 177, 153–163. [Google Scholar] [CrossRef]
  20. Juszczyk, W.; Karpinski, Z. Hydrocarbon reactions on Pd–Re/Al2O3 catalysts. Appl. Catal. A 2001, 206, 67–78. [Google Scholar] [CrossRef]
  21. Solymosi, F.; Bansagi, T. Carbon monoxide induced changes in structure of supported rhenium. J. Phys. Chem. 1992, 96, 1349–1355. [Google Scholar] [CrossRef]
  22. Okal, J.; Kepinski, L.; Krajczyk, L.; Tylus, W. Oxidation and redispersion of a low-loaded Re/γ-Al2O3 catalyst. J. Catal. 2003, 219, 362–371. [Google Scholar] [CrossRef]
  23. Jiao, L.; Regalbuto, J.R. The synthesis of highly dispersed noble and base metals on silica via strong electrostatic adsorption: I. Amorphous silica. J. Catal. 2008, 260, 329–341. [Google Scholar] [CrossRef]
  24. Mitra, B.; Gao, X.T.; Wachs, I.E.; Hirt, A.M.; Deo, G. Characterization of supported rhenium oxide catalysts: Effect of loading, support and additives. Phys. Chem. Chem. Phys. 2001, 3, 1144–1152. [Google Scholar] [CrossRef]
  25. Lewis, F.A. The palladium-hydrogen system. Platinum Met. Rev. 1982, 26, 20–27. [Google Scholar] [CrossRef]
  26. Boudart, M.; Hwang, H.S. Solubility of hydrogen in small particles of palladium. J. Catal. 1975, 39, 44–52. [Google Scholar] [CrossRef]
  27. Fagherazzi, G.; Benedetti, A.; Polizzi, S.; Dimario, A.; Pinna, F.; Signoretto, M. Structural investigation on the stoichiometry of β-PdHx in Pd/SiO2 catalysts as a function of metal dispersion. Catal. Lett. 1995, 32, 293–303. [Google Scholar] [CrossRef]
  28. Nacheff, M.S.; Kraus, L.S.; Ichikawa, M.; Hoffman, B.M.; Butt, J.B.; Sachtler, W.M.H. Characterization and catalytic function of Re0 and Re4+ in ReAl2O3 and PtReAl2O3 catalysts. J. Phys. Chem. C 1987, 106, 263–272. [Google Scholar]
  29. Okal, J.; Tylus, W.; Kepinski, L. XPS study of oxidation of rhenium metal on γ-Al2O3 support. J. Catal. 2004, 225, 498–509. [Google Scholar] [CrossRef]
  30. Via, G.H.; Drake, K.F.; Meitzner, G.; Lytle, F.W.; Sinfelt, J.H. Analysis of EXAFS data on bimetallic clusters. Catal. Lett. 1990, 5, 25–33. [Google Scholar] [CrossRef]
  31. Frenkel, A.I.; Wang, Q.; Sanchez, S.I.; Small, M.W.; Nuzzo, R.G. Short range order in bimetallic nanoalloys: An extended X-ray absorption fine structure study. J. Chem. Phys. 2013, 138, 06420. [Google Scholar] [CrossRef]
  32. Magneli, A. Studies on rhenium oxides. Acta Chem. Scand. 1957, 11, 28–33. [Google Scholar] [CrossRef][Green Version]
  33. Miramontes, O.; Bonafe, F.; Santiago, U.; Larios-Rodriguez, E.; Velazquez-Salazar, J.J.; Mariscal, M.M.; Yacaman, M. Ultra-small rhenium clusters supported on graphene. J. Phys. Chem. Chem. Phys. 2015, 17, 7898–7906. [Google Scholar] [CrossRef] [PubMed]
  34. Kammert, J.D.; Xie, J.; Godfrey, I.J.; Unocic, R.R.; Stavitski, E.; Attenkofer, K.; Sankar, G.; Davis, R. Reduction of Propionic Acid over a Pd-Promoted ReOx/SiO2 Catalyst Probed by X-ray Absorption Spectroscopy and Transient Kinetic Analysis. J. ACS Sustain. Chem. Eng. 2018, 6, 12353–12366. [Google Scholar] [CrossRef]
  35. Kammert, J.D.; Chemburkar, A.; Miyake, N.; Neurock, M.; Davis, R. Reaction Kinetics and Mechanism for the Catalytic Reduction of Propionic Acid over Supported ReOx Promoted by Pd. J. ACS Catal. 2021, 11, 1435–1455. [Google Scholar] [CrossRef]
  36. Latusek, M.P.; Heimerl, R.M.; Spigarelli, B.P.; Holles, J.H. Synthesis and characterization of supported bimetallic overlayer catalysts. Appl. Catal. A Gen. 2009, 358, 79–87. [Google Scholar] [CrossRef]
  37. Bus, E.; Miller, J.T.; Kropf, A.J.; Prins, R.; van Bokhoven, J.A. Analysis of in situ EXAFS data of supported metal catalysts using the third and fourth cumulant. Phys. Chem. Chem. Phys. 2006, 8, 3248–3258. [Google Scholar] [CrossRef]
  38. Newville, M. IFEFFIT: Interactive XAFS analysis and FEFF fitting. J. Synch. Rad. 2001, 8, 322–324. [Google Scholar] [CrossRef]
  39. Ravel, B.; Newville, M. Data analysis for X-ray absorption spectroscopy using IFEFFIT. J. Synch. Rad. 2005, 12, 537–541. [Google Scholar] [CrossRef]
  40. Kittel, C. Introduction to Solid State Physics, 5th ed.; J. Wiley & Sons, Inc.: Hoboken, NJ, USA, 1996; p. 23. [Google Scholar]
  41. Kruger, G.J.; Reynhardt, E.C. Ammonium perrhenate at 295 and 135 K. Acta Crystall. 1978, 34, 259–261. [Google Scholar] [CrossRef]
Figure 1. TPR profiles of the Re/Al2O3 and PdRe/Al2O3 catalysts. Original data from [10,11], except Pd3Re5-SI*.
Figure 1. TPR profiles of the Re/Al2O3 and PdRe/Al2O3 catalysts. Original data from [10,11], except Pd3Re5-SI*.
Catalysts 14 00604 g001
Figure 2. TPHD spectra of catalysts prepared from Pd(NO3)2 (a) and Pd(NH3)4(NO3)2 (b) following TPR and cooling in 5% H2/Ar to −50 °C.
Figure 2. TPHD spectra of catalysts prepared from Pd(NO3)2 (a) and Pd(NH3)4(NO3)2 (b) following TPR and cooling in 5% H2/Ar to −50 °C.
Catalysts 14 00604 g002aCatalysts 14 00604 g002b
Figure 3. Re LIII XANES of Re/Al2O3 and PdRe/Al2O3 catalysts measured after in situ reduction at 400 °C (a) and Re LIII edge-shift calibration with Re standards and PdRe/Al2O3 catalysts following 400 °C reduction and He purge (b).
Figure 3. Re LIII XANES of Re/Al2O3 and PdRe/Al2O3 catalysts measured after in situ reduction at 400 °C (a) and Re LIII edge-shift calibration with Re standards and PdRe/Al2O3 catalysts following 400 °C reduction and He purge (b).
Catalysts 14 00604 g003
Figure 4. Correlation of Re oxidation states determined by XANES and EXAFS spectroscopies with Re oxidation states determined by TPR for Re/Al2O3 and PdRe/Al2O3 catalysts after reduction at 400 °C for 1 h.
Figure 4. Correlation of Re oxidation states determined by XANES and EXAFS spectroscopies with Re oxidation states determined by TPR for Re/Al2O3 and PdRe/Al2O3 catalysts after reduction at 400 °C for 1 h.
Catalysts 14 00604 g004
Figure 5. Pd K EXAFS spectra of PdRe/Al2O3 catalysts measured after in situ reduction at 400 °C: k2 chi data (a) and corresponding Pd phase-corrected Fourier transforms (3.1–14 Å−1) (b).
Figure 5. Pd K EXAFS spectra of PdRe/Al2O3 catalysts measured after in situ reduction at 400 °C: k2 chi data (a) and corresponding Pd phase-corrected Fourier transforms (3.1–14 Å−1) (b).
Catalysts 14 00604 g005
Figure 6. Re LIII EXAFS spectra of Re/Al2O3 and PdRe/Al2O3 catalysts measured after in situ reduction at 400 °C: k2 chi data (a) and corresponding Re phase-corrected FT magnitudes (3.5–14 Å−1) (b).
Figure 6. Re LIII EXAFS spectra of Re/Al2O3 and PdRe/Al2O3 catalysts measured after in situ reduction at 400 °C: k2 chi data (a) and corresponding Re phase-corrected FT magnitudes (3.5–14 Å−1) (b).
Catalysts 14 00604 g006aCatalysts 14 00604 g006b
Figure 7. EXAFS spectra and fit for Re5-H after reduction and He purge at 400 °C: k2-weighted Re LIII Fourier transform magnitude (a) and real part (b) with individual backscattering paths shown (offset).
Figure 7. EXAFS spectra and fit for Re5-H after reduction and He purge at 400 °C: k2-weighted Re LIII Fourier transform magnitude (a) and real part (b) with individual backscattering paths shown (offset).
Catalysts 14 00604 g007aCatalysts 14 00604 g007b
Figure 8. HAADF-STEM images of Re5-H after reduction in H2 at 400 °C for 1 h. See Figure S4 (Supplemental Information) for the composite particle size distribution derived from these images.
Figure 8. HAADF-STEM images of Re5-H after reduction in H2 at 400 °C for 1 h. See Figure S4 (Supplemental Information) for the composite particle size distribution derived from these images.
Catalysts 14 00604 g008
Figure 9. EXAFS spectra and fits for Pd3Re5-CI measured after reduction and He purge at 400 °C: k2-weighted Pd K and Re LIII FT magnitudes (a) and real parts ((b) and (c), respectively) with individual backscattering paths shown (offset).
Figure 9. EXAFS spectra and fits for Pd3Re5-CI measured after reduction and He purge at 400 °C: k2-weighted Pd K and Re LIII FT magnitudes (a) and real parts ((b) and (c), respectively) with individual backscattering paths shown (offset).
Catalysts 14 00604 g009
Figure 10. EXAFS spectra and fits for Re5Pd3-SI measured after reduction and He purge at 400 °C: k2-weighted Pd K and Re LIII Fourier transform magnitudes (a) and real parts ((b) and (c), respectively) with individual backscattering paths shown (offset).
Figure 10. EXAFS spectra and fits for Re5Pd3-SI measured after reduction and He purge at 400 °C: k2-weighted Pd K and Re LIII Fourier transform magnitudes (a) and real parts ((b) and (c), respectively) with individual backscattering paths shown (offset).
Catalysts 14 00604 g010
Table 1. Catalyst precursors, calcination conditions, and metal loadings a.
Table 1. Catalyst precursors, calcination conditions, and metal loadings a.
CatalystCalcination ConditionsMetal PrecursorsPd Loading (wt%)Re Loading (wt%)
Pd3-N350 °C, 1 hPd(NO3)23.04---
Pd1.5-TA400 °C, 3 hPd(NH3)4(NO3)21.49
Pd3-TA350 °C, 1 hPd(NH3)4(NO3)23.00---
Pd3Re5-CI350 °C, 1 hPd(NO3)2 and HReO43.025.00
Pd3Re5-SI---Pd(NO3)2 and HReO42.534.92
Pd3Re5-SI*---Pd(NH3)4(NO3)2 and HReO42.875.36
Re5Pd3-SI350 °C, 1 hNH4ReO4 and Pd(NH3)4(NO3)22.844.55
Re5Pd1.5-DCS---Pd(NH3)4[ReO4]21.414.72
Re5Pd1.5-SI400 °C, 3 hNH4ReO4 and Pd(NH3)4(NO3)21.504.85
Re10Pd3-SI350 °C, 1 hNH4ReO4 and Pd(NH3)4(NO3)23.029.21
Re5-N400 °C, 3 hNH4ReO4---5.02
Re5-H350 °C, 1 hHReO4---5.47
a Data reproduced from Refs. [10,11], except Pd3Re5-SI*.
Table 2. BET surface areas and pulse CO chemisorption results.
Table 2. BET surface areas and pulse CO chemisorption results.
CatalystBET a
(m2/g)
CO Uptake b,c
(μmol/g)
CO/PdCO/M d
Pd3-N---32.00.1120.112
Pd3Re5-CI18262.20.2190.113
Pd3Re5-SI---(42.4)0.1780.084
Pd1.5-TA---77.30.5520.552
Re5Pd1.5-DCS---62.50.4720.162
Re5Pd1.5-SI---82.40.5850.205
Pd3-TA183(131.4)0.4660.466
Pd3Re5-SI*---106.70.3960.191
Re5Pd3-SI191132.10.4720.245
Re10Pd3-SI172(120.6)0.4250.155
Re5-H18159.5---0.203
a Brunauer–Emmett–Teller (BET) specific surface area (SA) from N2 physisorption at 77K. b Pulse CO chemisorption uptake at 35 °C. c Values in parentheses estimated at 1.25 times volumetric CO uptake [10]. d M = Pd + Re [=] μmol/g.
Table 3. Summary of quantitative TPR and TPHD results.
Table 3. Summary of quantitative TPR and TPHD results.
CatalystH2 Uptake
(cm3 STP/g) a
Re Final
Oxidation State b
Re7+ Reduction
(%) c
TPHD
H/Pd
(>0 °C)
TPHD
H/Pd
(Total)
Pd3-N---------0.590.64
Pd3-TA---------0.240.28
Pd1.5-TA---------0.140.18
Pd3Re5-CI25.80.5930.070.14
Pd3Re5-SI23.70.8880.180.39
Pd3Re5-SI*25.60.9870.130.15
Re5Pd3-SI21.51.4810.190.19
Re10Pd3-SI37.41.4800.340.36
Re5Pd1.5-DCS24.0-0.41050.000.00
Re5-H d17.42.368------
a Net H2 consumption during TPR in 5% H2/Ar at 400 °C. Profiles were integrated into the time domain. b Basis: 2.0 H/Pd; remainder of H uptake goes toward the reduction of Re7+ to final oxidation state (n+). c Calculated as follows: (1 − n+/7) × 100%. d ICP-OES Re loading was 6.08 wt.%.
Table 4. EXAFS spectroscopy fitting parameters. Catalysts measured after in situ reduction in 3.5% H2/He at 400 °C, unless otherwise noted.
Table 4. EXAFS spectroscopy fitting parameters. Catalysts measured after in situ reduction in 3.5% H2/He at 400 °C, unless otherwise noted.
Path aNR (Å)σ2 (10−3 Å2) bΔE0 (eV)R-Factor
Re5-H (as-prepared)
Re-O3.9 ± 0.31.73 ± 0.01(1.0)6.9 ± 2.60.009
Re5-H
Re-Re7.0 ± 0.82.74 ± 0.017.8 ± 0.77.5 ± 1.30.016
Re-O11.7 ± 0.22.00 ± 0.01(5.0)7.5 ± 1.3
Re-O20.2 ± 0.1(1.73)(1.0)7.5 ± 1.3
Pd3Re5-CI
Pd-Pd8.7 ± 0.42.73 ± 0.016.2 ± 0.32.3 ± 0.40.0053
Pd-Re1.3 ± 0.22.71 ± 0.013.8 ± 0.92.3 ± 0.4
Re-Re6.5 ± 0.42.72 ± 0.016.6 ± 0.47.0 ± 0.80.0042
Re-Pd1.3 ± 0.22.71 ± 0.013.8 ± 0.97.0 ± 0.8
Re-O0.7 ± 0.12.02 ± 0.01(5.0)7.0 ± 0.8
Pd3Re5-SI*
Pd-Pd7.0 ± 0.82.73 ± 0.016.5 ± 0.82.0 ± 0.70.015
Pd-Re0.9 ± 0.32.70 ± 0.022.6 ± 1.62.0 ± 0.7
Re-Re5.6 ± 0.52.70 ± 0.01(7.0)6.8 ± 2.00.005
Re-Pd0.9 ± 0.32.70 ± 0.022.6 ± 1.66.8 ± 2.0
Re-O1.0 ± 0.32.02 ± 0.02(5.0)6.8 ± 2.0
Re5Pd3-SI
Pd-Pd8.3 ± 0.52.73 ± 0.016.4 ± 0.52.3 ± 0.40.0073
Pd-Re0.8 ± 0.32.69 ± 0.023.5 ± 1.82.3 ± 0.4
Re-Re4.5 ± 1.02.71 ± 0.017.9 ± 1.58.0 ± 2.50.0022
Re-Pd0.8 ± 0.32.69 ± 0.023.5 ± 1.88.0 ± 2.5
Re-O0.9 ± 0.32.03 ± 0.02(5.0)8.0 ± 2.5
Re10Pd3-SI
Pd-Pd9.8 ± 1.22.73 ± 0.016.0 ± 0.82.6 ± 0.80.0048
Pd-Re1.1 ± 0.62.70 ± 0.023.8 ± 3.02.6 ± 0.8
Re-Re6.8 ± 0.62.73 ± 0.016.9 ± 0.67.5 ± 1.10.017
Re-Pd0.6 ± 0.32.70 ± 0.023.8 ± 3.07.5 ± 1.1
Re-O1.1 ± 0.22.01 ± 0.02(5.0)7.5 ± 1.1
a Absorber-backscatterer pairs. b Values in parentheses were fixed during fitting.
Table 5. Comparison of EXAFS first-shell partial coordination numbers (N), nearest neighbor (NN) heteroatom percentage, and Cowley short-range order parameters (α).
Table 5. Comparison of EXAFS first-shell partial coordination numbers (N), nearest neighbor (NN) heteroatom percentage, and Cowley short-range order parameters (α).
CatalystPd3Re5-CIPd3Re5-SI*Re5Pd3-SIRe10Pd3-SIRe5Pd1.5-DCS
NPd-M10.07.99.110.97.0
%Re NN (Pd)13.011.48.810.137.1
α(Pd-Re)0.740.770.820.850.45
NRe-M7.86.55.37.46.7
%Pd NN (Re)16.713.815.18.119.4
α(Re-Pd)0.670.720.700.750.41
Table 6. Catalytic performance at differential (<10%) conversion for selective hydrogenation of furfural to FA over Re/Al2O3, Pd/Al2O3, and PdRe/Al2O3 catalysts at 150 °C and 1 atm.
Table 6. Catalytic performance at differential (<10%) conversion for selective hydrogenation of furfural to FA over Re/Al2O3, Pd/Al2O3, and PdRe/Al2O3 catalysts at 150 °C and 1 atm.
CatalystFurfural Rate (mmol/g/h)Furfural
TOF a
(min−1)
FA Selectivity (%)Reference
Re5-H0.400.2~75[10]
Re10Pd3-SI17.63.072[10]
Pd3-N43.86.254[10]
Pd3-TA10.96.943[10]
Pd3Re5-CI23.38.656[10]
Re5Pd3-SI11618.667[10]
Pd3Re5-SI* b99.220.576[12]
Pd3Re5-SI43.521.467[10]
Re5Pd1.5-DCS86.928.173[11]
Re5Pd1.5-DCS b79.929.979[12]
a Based on furfural consumption rate and volumetric CO chemisorption data. b Catalyst prepared on Strem γ-Al2O3, as described in Ref. [12].
Disclaimer/Publisher’s Note: The statements, opinions and data contained in all publications are solely those of the individual author(s) and contributor(s) and not of MDPI and/or the editor(s). MDPI and/or the editor(s) disclaim responsibility for any injury to people or property resulting from any ideas, methods, instructions or products referred to in the content.

Share and Cite

MDPI and ACS Style

Thompson, S.T.; Lamb, H.H. Alloying and Segregation in PdRe/Al2O3 Bimetallic Catalysts for Selective Hydrogenation of Furfural. Catalysts 2024, 14, 604. https://doi.org/10.3390/catal14090604

AMA Style

Thompson ST, Lamb HH. Alloying and Segregation in PdRe/Al2O3 Bimetallic Catalysts for Selective Hydrogenation of Furfural. Catalysts. 2024; 14(9):604. https://doi.org/10.3390/catal14090604

Chicago/Turabian Style

Thompson, Simon T., and H. Henry Lamb. 2024. "Alloying and Segregation in PdRe/Al2O3 Bimetallic Catalysts for Selective Hydrogenation of Furfural" Catalysts 14, no. 9: 604. https://doi.org/10.3390/catal14090604

APA Style

Thompson, S. T., & Lamb, H. H. (2024). Alloying and Segregation in PdRe/Al2O3 Bimetallic Catalysts for Selective Hydrogenation of Furfural. Catalysts, 14(9), 604. https://doi.org/10.3390/catal14090604

Note that from the first issue of 2016, this journal uses article numbers instead of page numbers. See further details here.

Article Metrics

Back to TopTop