Copper- and Manganese-Based Bimetallic Layered Double Hydroxides for Catalytic Reduction of Methylene Blue
Abstract
1. Introduction
2. Results and Discussion
2.1. Characterization
2.2. Photocatalytic Study
2.3. Effect of pH of MB Solution
2.4. Effect of Initial Concentration of MB
2.5. Kinetics Studies
| Catalyst | Reaction Parameters | % Degradation | Ref. |
|---|---|---|---|
| CuAl-LDH | 180 min, visible light | 74.95 | Current study |
| MnAl-LDH | 180 min, visible light | 70.93 | Current study |
| Ca0.5Pb0.5−xYbxZnyFe12−yO19 hexaferrite | 90 min, visible light | 96.1 | [41] |
| g-C3N4/ZnO-W/Co0.010 composite | 90 min, visible light | 90 | [42] |
| Zn-PMOS | 60 min, Tungsten bulb (200 W) | 48 | [43] |
| ZnO | 90 min, visible light | 88 | [44] |
| ZIF-67@wood | -- | 90 | [45] |
| CMO/CFO/PMS | 30 min, | 99 | [46] |
| Biosynthesized ZnO | 240 min, UV-light | 80 | [47] |
| MoS2/TiO2 | 120 min, visible light | 98.5 | [48] |
| ZnS/Zn(CO3)2(OH)6 | 80 min, sunlight | 56 | [49] |
| TiO2-decorated CNTs | 180 min, visible light | 85 | [50] |
2.6. Proposed Degradation Mechanism
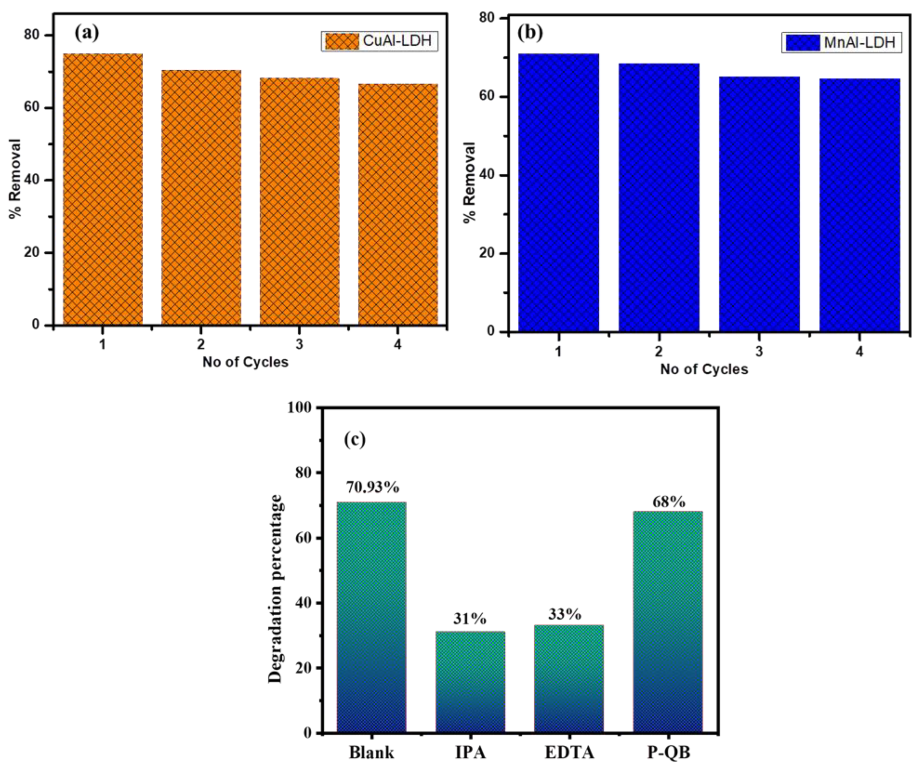
2.7. Quenching Active Species Trapping Experiment
2.8. Reusability Test
3. Experimental Section
3.1. Materials
3.2. Synthesis of CuAl-LDH and MnAl-LDH
3.3. Photocatalytic Degradation Experiments
4. Conclusions
Author Contributions
Funding
Data Availability Statement
Acknowledgments
Conflicts of Interest
References
- Nazir, M.A.; Yasar, A.; Bashir, M.A.; Siyal, S.H.; Najam, T.; Javed, M.S.; Ahmad, K.; Hussain, S.; Anjum, S.; Hussain, E.; et al. Quality assessment of the noncarbonated-bottled drinking water: Comparison of their treatment techniques. Int. J. Environ. Anal. Chem. 2022, 102, 8195–8206. [Google Scholar] [CrossRef]
- Bobde, P.; Sharma, A.K.; Panchal, D.; Patel, R.K.; Dhodapkar, R.S.; Pal, S. Layered double hydroxides (LDHs)-based photocatalysts for dye degradation: A review. Int. J. Environ. Sci. Technol. 2023, 20, 5733–5752. [Google Scholar] [CrossRef]
- Sun, H.; Lee, S.-Y.; Park, S.-J. MgAl-layered double hydroxides decorated with Pd-doped SnS nanoparticles: A novel photocatalyst for efficient dye degradation and Cr(VI) reduction in water. J. Ind. Eng. Chem. 2023, 126, 510–519. [Google Scholar] [CrossRef]
- Kumar, O.P.; Nazir, M.A.; Shah, S.S.A.; Hashem, A.; Kumar, A.; Abd_Allah, E.F.; ur Rehman, A. Ternary metal conjugated ZIF-67 coordination with Ag and Ce for the efficient Fenton-like remediation of dyes under visible light. Opt. Mater. 2024, 150, 115228. [Google Scholar] [CrossRef]
- Ishfaq, M.; Khan, S.A.; Nazir, M.A.; Ali, S.; Younas, M.; Mansha, M.; Shah, S.S.A.; Arshad, M.; ur Rehman, A. The in situ synthesis of sunlight-driven Chitosan/MnO2@MOF-801 nanocomposites for photocatalytic reduction of Rhodamine-B. J. Mol. Struct. 2024, 1301, 137384. [Google Scholar] [CrossRef]
- Sun, L.; Mo, Y.; Zhang, L. A mini review on bio-electrochemical systems for the treatment of azo dye wastewater: State-of-the-art and future prospects. Chemosphere 2022, 294, 133801. [Google Scholar] [CrossRef] [PubMed]
- Pang, Y.L.; Abdullah, A.Z.; Bhatia, S. Review on sonochemical methods in the presence of catalysts and chemical additives for treatment of organic pollutants in wastewater. Desalination 2011, 277, 1–14. [Google Scholar] [CrossRef]
- Han, T.H.; Khan, M.M.; Kalathil, S.; Lee, J.; Cho, M.H. Simultaneous Enhancement of Methylene Blue Degradation and Power Generation in a Microbial Fuel Cell by Gold Nanoparticles. Ind. Eng. Chem. Res. 2013, 52, 8174–8181. [Google Scholar] [CrossRef]
- Yusuf, L.A.; Ertekin, Z.; Fletcher, S.; Symes, M.D. Enhanced ultrasonic degradation of methylene blue using a catalyst-free dual-frequency treatment. Ultrason. Sonochem. 2024, 103, 106792. [Google Scholar] [CrossRef] [PubMed]
- Nazir, M.A.; Najam, T.; Shahzad, K.; Wattoo, M.A.; Hussain, T.; Tufail, M.K.; Shah, S.S.A.; ur Rehman, A. Heterointerface engineering of water stable ZIF-8@ZIF-67: Adsorption of rhodamine B from water. Surf. Interfaces 2022, 34, 102324. [Google Scholar] [CrossRef]
- Anum, A.; Nazir, M.A.; Ibrahim, S.M.; Shah, S.S.A.; Tahir, A.A.; Malik, M.; Wattoo, M.A.; ur Rehman, A. Synthesis of Bi-Metallic-Sulphides/MOF-5@ graphene Oxide Nanocomposites for the Removal of Hazardous Moxifloxacin. Catalysts 2023, 13, 984. [Google Scholar] [CrossRef]
- Cerqueira, A.; Russo, C.; Marques, M. Electroflocculation for textile wastewater treatment. Braz. J. Chem. Eng. 2009, 26, 659–668. [Google Scholar] [CrossRef]
- Ullah, S.; ur Rehman, A.; Najam, T.; Hossain, I.; Anjum, S.; Ali, R.; Shahid, M.U.; Shah, S.S.A.; Nazir, M.A. Advances in metal-organic framework@activated carbon (MOF@AC) composite materials: Synthesis, characteristics and applications. J. Ind. Eng. Chem. 2024; in press. [Google Scholar] [CrossRef]
- Anum, A.; Ibrahim, S.M.; Tahir, A.A.; Nazir, M.A.; Malik, M.; Shah, S.S.A.; Ehsan, A.; Wattoo, M.A.; ur Rehman, A. Construction of hybrid sulfur-doped MOF-235@g-C3N4 photocatalyst for the efficient removal of nicotine. Inorg. Chem. Commun. 2023, 157, 111268. [Google Scholar] [CrossRef]
- Malik, M.; Ibrahim, S.M.; Tahir, A.A.; Nazir, M.A.; Shah, S.S.A.; Wattoo, M.A.; Kousar, R.; ur Rehman, A. Novel approach towards ternary magnetic g-C3N4/ZnO-W/Snx nanocomposite: Photodegradation of nicotine under visible light irradiation. Int. J. Environ. Anal. Chem. 2023, 1–19. [Google Scholar] [CrossRef]
- Nazir, M.A.; Javed, M.S.; Islam, M.; Assiri, M.A.; Hassan, A.M.; Jamshaid, M.; Najam, T.; Shah, S.S.A.; ur Rehman, A. MOF@graphene nanocomposites for energy and environment applications. Compos. Commun. 2024, 45, 101783. [Google Scholar] [CrossRef]
- Shahzad, K.; Khan, M.I.; Shanableh, A.; Elboughdiri, N.; Jabeen, S.; Nazir, M.A.; Farooq, N.; Ali, H.; Abdelfattah, A.; Rehman, A.U. Silver supported-Ag@PMOS onto thumb structured porous organosilica materials with efficient hetero-junction active sites for photo-degradation of methyl orange dye. Inorg. Nano-Met. Chem. 2021, 52, 407–416. [Google Scholar] [CrossRef]
- Jamshaid, M.; Khan, H.; Nazir, M.A.; Wattoo, M.A.; Shahzad, K.; Malik, M.; Rehman, A.-U. A novel bentonite–cobalt doped bismuth ferrite nanoparticles with boosted visible light induced photodegradation of methyl orange: Synthesis, characterization and analysis of physiochemical changes. Int. J. Environ. Anal. Chem. 2022, 104, 1186–1201. [Google Scholar] [CrossRef]
- Ullah, S.; Shah, S.S.A.; Altaf, M.; Hossain, I.; El Sayed, M.E.; Kallel, M.; El-Bahy, Z.M.; ur Rehman, A.; Najam, T.; Nazir, M.A. Activated carbon derived from biomass for wastewater treatment: Synthesis, application and future challenges. J. Anal. Appl. Pyrolysis 2024, 179, 106480. [Google Scholar] [CrossRef]
- Tian, D.; Zhou, H.; Zhang, H.; Zhou, P.; You, J.; Yao, G.; Pan, Z.; Liu, Y.; Lai, B. Heterogeneous photocatalyst-driven persulfate activation process under visible light irradiation: From basic catalyst design principles to novel enhancement strategies. Chem. Eng. J. 2022, 428, 131166. [Google Scholar] [CrossRef]
- Tonda, S.; Jo, W.-K. Plasmonic Ag nanoparticles decorated NiAl-layered double hydroxide/graphitic carbon nitride nanocomposites for efficient visible-light-driven photocatalytic removal of aqueous organic pollutants. Catal. Today 2018, 315, 213–222. [Google Scholar] [CrossRef]
- Akbarzadeh, A.; Khazani, Y.; Khaloo, S.S.; Ghalkhani, M. Highly effectual photocatalytic degradation of tartrazine by using Ag nanoparticles decorated on Zn-Cu-Cr layered double hydroxide@ 2D graphitic carbon nitride (C3N5). Environ. Sci. Pollut. Res. 2023, 30, 12903–12915. [Google Scholar] [CrossRef] [PubMed]
- Nazir, M.A.; Najam, T.; Jabeen, S.; Wattoo, M.A.; Bashir, M.S.; Shah, S.S.A.; ur Rehman, A. Facile synthesis of Tri-metallic layered double hydroxides (NiZnAl-LDHs): Adsorption of Rhodamine-B and methyl orange from water. Inorg. Chem. Commun. 2022, 145, 110008. [Google Scholar] [CrossRef]
- Najam, T.; Aslam, M.K.; Rafiq, K.; Altaf Nazir, M.; Rehman, A.u.; Imran, M.; Javed, M.S.; Cai, X.; Shah, S.S.A. Nanostructure engineering by surficial induced approach: Porous metal oxide-carbon nanotube composite for lithium-ion battery. Mater. Sci. Eng. B 2021, 273, 115417. [Google Scholar] [CrossRef]
- Zhang, X.; Zhang, J.; Qiu, L.; Lan, X.; Zhu, C.; Duan, J.; Liu, Y.; Li, H.; Yu, Y.; Yang, W. In-situ synthesis of dual Z-scheme heterojunctions of cuprous oxide/layered double hydroxides/nitrogen-rich graphitic carbon nitride for photocatalytic sterilization. J. Colloid Interface Sci. 2022, 620, 313–321. [Google Scholar] [CrossRef]
- Jin, Z.-L.; Wang, Y.-P. Strategy of Graphdiyne (g−CnH2n−2) Preparation Coupling with the Flower-Like NiAl-LDH Heterojunctions for Efficient Photocatalytic Hydrogen Evolution. Chem. Eur. J. 2021, 27, 12649–12658. [Google Scholar] [CrossRef] [PubMed]
- Zhang, S.; Zhao, Y.; Shi, R.; Zhou, C.; Waterhouse, G.I.N.; Wu, L.-Z.; Tung, C.-H.; Zhang, T. Efficient Photocatalytic Nitrogen Fixation over Cuδ+-Modified Defective ZnAl-Layered Double Hydroxide Nanosheets. Adv. Energy Mater. 2020, 10, 1901973. [Google Scholar] [CrossRef]
- Karim, A.V.; Hassani, A.; Eghbali, P.; Nidheesh, P. Nanostructured modified layered double hydroxides (LDHs)-based catalysts: A review on synthesis, characterization, and applications in water remediation by advanced oxidation processes. Curr. Opin. Solid State Mater. Sci. 2022, 26, 100965. [Google Scholar] [CrossRef]
- Coogan, Á.; Doménech, N.G.; Mc Ginley, D.; Simonian, T.; Rafferty, A.; Fedix, Q.; Donlon, A.; Nicolosi, V.; Gun’ko, Y.K. Layered double hydroxide/boron nitride nanocomposite membranes for efficient separation and photodegradation of water-soluble dyes. J. Mater. Chem. A 2023, 11, 12266–12281. [Google Scholar] [CrossRef]
- Nazir, M.A.; Khan, N.A.; Cheng, C.; Shah, S.S.A.; Najam, T.; Arshad, M.; Sharif, A.; Akhtar, S.; ur Rehman, A. Surface induced growth of ZIF-67 at Co-layered double hydroxide: Removal of methylene blue and methyl orange from water. Appl. Clay Sci. 2020, 190, 105564. [Google Scholar] [CrossRef]
- Nazir, M.A.; Bashir, M.A.; Najam, T.; Javed, M.S.; Suleman, S.; Hussain, S.; Kumar, O.P.; Shah, S.S.A.; ur Rehman, A. Combining structurally ordered intermetallic nodes: Kinetic and isothermal studies for removal of malachite green and methyl orange with mechanistic aspects. Microchem. J. 2021, 164, 105973. [Google Scholar] [CrossRef]
- Hanifah, Y.; Mohadi, R.; Lesbani, A. Polyoxometalate Intercalated MgAl-Layered Double Hydroxide for Degradation of Malachite Green. Ecol. Eng. Environ. Technol. 2023, 24, 109–119. [Google Scholar] [CrossRef]
- Bharali, D.; Saikia, S.; Devi, R.; Choudary, B.M.; Gour, N.K.; Deka, R.C. Photocatalytic degradation of phenol and its derivatives over ZnFe layered double hydroxide. J. Photochem. Photobiol. A Chem. 2023, 438, 114509. [Google Scholar] [CrossRef]
- Zhang, C.; Liang, X.; Lu, Y.; Li, H.; Xu, X. Performance of CuAl-LDH/Gr Nanocomposite-Based Electrochemical Sensor with Regard to Trace Glyphosate Detection in Water. Sensors 2020, 20, 4146. [Google Scholar] [CrossRef] [PubMed]
- Lu, Y.; Liang, X.; Xu, J.; Zhao, Z.; Tian, G. Synthesis of CuZrO3 nanocomposites/graphene and their application in modified electrodes for the co-detection of trace Pb (II) and Cd (II). Sens. Actuators B Chem. 2018, 273, 1146–1155. [Google Scholar] [CrossRef]
- Berner, S.; Araya, P.; Govan, J.; Palza, H. Cu/Al and Cu/Cr based layered double hydroxide nanoparticles as adsorption materials for water treatment. J. Ind. Eng. Chem. 2018, 59, 134–140. [Google Scholar] [CrossRef]
- Akhter, P.; Nawaz, S.; Shafiq, I.; Nazir, A.; Shafique, S.; Jamil, F.; Park, Y.-K.; Hussain, M. Efficient visible light assisted photocatalysis using ZnO/TiO2 nanocomposites. Mol. Catal. 2023, 535, 112896. [Google Scholar] [CrossRef]
- Nayak, S.; Kumar Das, K.; Parida, K. Indulgent of the physiochemical features of MgCr-LDH nanosheets towards photodegradation process of methylene blue. J. Colloid Interface Sci. 2023, 634, 121–137. [Google Scholar] [CrossRef] [PubMed]
- Jin, L.; Zeng, H.-Y.; Xu, S.; Chen, C.-R.; Duan, H.-Z.; Du, J.-Z.; Hu, G.; Sun, Y.-X. Facile preparation of sepiolite@LDH composites for the visible-light degradation of organic dyes. Chin. J. Catal. 2018, 39, 1832–1841. [Google Scholar] [CrossRef]
- Wang, Z.; Wang, X.; Wang, L.; Wei, Y.; Zhao, Z.; Du, K.; Chen, D.; Li, X.; Zhou, C.; Liu, G. ZIF-67-derived Co@ N-PC anchored on tracheid skeleton from sawdust with micro/nano composite structures for boosted methylene blue degradation. Sep. Purif. Technol. 2021, 278, 119489. [Google Scholar] [CrossRef]
- Jamshaid, M.; Nazir, M.A.; Najam, T.; Shah, S.S.A.; Khan, H.M.; ur Rehman, A. Facile synthesis of Yb3+-Zn2+ substituted M type hexaferrites: Structural, electric and photocatalytic properties under visible light for methylene blue removal. Chem. Phys. Lett. 2022, 805, 139939. [Google Scholar] [CrossRef]
- Malik, M.; Ibrahim, S.M.; Nazir, M.A.; Tahir, A.A.; Tufail, M.K.; Shah, S.S.A.; Anum, A.; Wattoo, M.A.; ur Rehman, A. Engineering of a Hybrid g-C3N4/ZnO-W/Cox Heterojunction Photocatalyst for the Removal of Methylene Blue Dye. Catalysts 2023, 13, 813. [Google Scholar] [CrossRef]
- Shahzad, K.; Najam, T.; Bashir, M.S.; Nazir, M.A.; ur Rehman, A.; Bashir, M.A.; Shah, S.S.A. Fabrication of Periodic Mesoporous Organo Silicate (PMOS) composites of Ag and ZnO: Photo-catalytic degradation of methylene blue and methyl orange. Inorg. Chem. Commun. 2021, 123, 108357. [Google Scholar] [CrossRef]
- Shahzad, K.; Hussain, S.; Nazir, M.A.; Jamshaid, M.; ur Rehman, A.; Alkorbi, A.S.; Alsaiari, R.; Alhemiary, N.A. Versatile Ag2O and ZnO nanomaterials fabricated via annealed Ag-PMOS and ZnO-PMOS: An efficient photocatalysis tool for azo dyes. J. Mol. Liq. 2022, 356, 119036. [Google Scholar] [CrossRef]
- Wang, X.; Hu, J.; Guan, H.; Dai, X.; Wu, M.; Wang, X. Wood-based catalytic filter decorated with ZIF-67 for highly efficient and continuous organic pollutant removal. Chem. Eng. J. 2024, 479, 147580. [Google Scholar] [CrossRef]
- Li, Y.; Wang, Y.; Liu, L.; Tian, L. Non-radical-dominated catalytic degradation of methylene blue by magnetic CoMoO4/CoFe2O4 composite peroxymonosulfate activators. J. Environ. Manag. 2023, 325, 116587. [Google Scholar] [CrossRef] [PubMed]
- Şendal, K.; Üstün Özgür, M.; Gülen, J. Biosynthesis of ZnO photocatalyst and its application in photo catalytic degradation of methylene blue dyestuff. J. Dispers. Sci. Technol. 2023, 44, 2734–2747. [Google Scholar] [CrossRef]
- Chen, L.; Ou, S.-F.; Nguyen, T.-B.; Chuang, Y.; Chen, C.-W.; Dong, C.-D. In-situ hydrothermal synthesis of MoS2/TiO2 nanocomposites for enhanced and stable photocatalytic performance: Methylene blue degradation pathway and mechanism. J. Taiwan Inst. Chem. Eng. 2024, 105436. [Google Scholar] [CrossRef]
- Vicencio Garrido, M.A.; Chávez Portillo, M.; Juarez, H.; Luna, A.; Serrano-De la Rosa, L.E. Low cost chemical bath deposition synthesis of Zinc Oxide/Zinc sulfide composite and Zinc hydrozincite for methylene blue degradation. Inorg. Chem. Commun. 2024, 164, 112484. [Google Scholar] [CrossRef]
- Akhter, P.; Ali, F.; Ali, A.; Hussain, M. TiO2 decorated CNTs nanocomposite for efficient photocatalytic degradation of methylene blue. Diam. Relat. Mater. 2024, 141, 110702. [Google Scholar] [CrossRef]
- Boumeriame, H.; Cherevan, A.; Eder, D.; Apaydin, D.H.; Chafik, T.; Da Silva, E.S.; Faria, J.L. Engineering g-C3N4 with CuAl-layered double hydroxide in 2D/2D heterostructures for visible-light water splitting. J. Colloid Interface Sci. 2023, 652, 2147–2158. [Google Scholar] [CrossRef] [PubMed]
- Woo, M.A.; Kim, T.W.; Kim, I.Y.; Hwang, S.-J. Synthesis and lithium electrode application of ZnO−ZnFe2O4 nanocomposites and porously assembled ZnFe2O4 nanoparticles. Solid State Ion. 2011, 182, 91–97. [Google Scholar] [CrossRef]
- Xia, S.; Zhang, L.; Pan, G.; Qian, P.; Ni, Z. Photocatalytic degradation of methylene blue with a nanocomposite system: Synthesis, photocatalysis and degradation pathways. Phys. Chem. Chem. Phys. 2015, 17, 5345–5351. [Google Scholar] [CrossRef] [PubMed]
- Nazir, M.A.; Najam, T.; Bashir, M.S.; Javed, M.S.; Bashir, M.A.; Imran, M.; Azhar, U.; Shah, S.S.A.; ur Rehman, A. Kinetics, isothermal and mechanistic insight into the adsorption of eosin yellow and malachite green from water via tri-metallic layered double hydroxide nanosheets. Korean J. Chem. Eng. 2022, 39, 216–226. [Google Scholar] [CrossRef]









Disclaimer/Publisher’s Note: The statements, opinions and data contained in all publications are solely those of the individual author(s) and contributor(s) and not of MDPI and/or the editor(s). MDPI and/or the editor(s) disclaim responsibility for any injury to people or property resulting from any ideas, methods, instructions or products referred to in the content. |
© 2024 by the authors. Licensee MDPI, Basel, Switzerland. This article is an open access article distributed under the terms and conditions of the Creative Commons Attribution (CC BY) license (https://creativecommons.org/licenses/by/4.0/).
Share and Cite
Nazir, M.A.; Rehman, A.u.; Najam, T.; Elsadek, M.F.; Ali, M.A.; Hossain, I.; Tufail, M.K.; Shah, S.S.A. Copper- and Manganese-Based Bimetallic Layered Double Hydroxides for Catalytic Reduction of Methylene Blue. Catalysts 2024, 14, 430. https://doi.org/10.3390/catal14070430
Nazir MA, Rehman Au, Najam T, Elsadek MF, Ali MA, Hossain I, Tufail MK, Shah SSA. Copper- and Manganese-Based Bimetallic Layered Double Hydroxides for Catalytic Reduction of Methylene Blue. Catalysts. 2024; 14(7):430. https://doi.org/10.3390/catal14070430
Chicago/Turabian StyleNazir, Muhammad Altaf, Aziz ur Rehman, Tayyaba Najam, Mohamed Farouk Elsadek, M. Ajmal Ali, Ismail Hossain, Muhammad Khurram Tufail, and Syed Shoaib Ahmad Shah. 2024. "Copper- and Manganese-Based Bimetallic Layered Double Hydroxides for Catalytic Reduction of Methylene Blue" Catalysts 14, no. 7: 430. https://doi.org/10.3390/catal14070430
APA StyleNazir, M. A., Rehman, A. u., Najam, T., Elsadek, M. F., Ali, M. A., Hossain, I., Tufail, M. K., & Shah, S. S. A. (2024). Copper- and Manganese-Based Bimetallic Layered Double Hydroxides for Catalytic Reduction of Methylene Blue. Catalysts, 14(7), 430. https://doi.org/10.3390/catal14070430

