Morphology and Microstructural Optimization of Zeolite Crystals Utilizing Polymer Growth Modifiers for Enhanced Catalytic Application
Abstract
1. Introduction
2. Usage of Polymer-Based ZGMs for the Synthesis and Catalytic Application of Zeolite Crystals
2.1. Polyethylene Glycols (PEGs)
2.2. Polyamines Modifiers
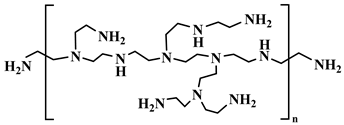
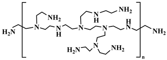
2.2.1. Polyethyleneimine (PEIM)
2.2.2. Polydiallyldimethylammonium Chloride (PDDA)
2.2.3. Polyacrylamide (PAM)
2.3. Other Modifiers
2.3.1. Fatty Alcohol Polyoxyethylene Ether Ammonium Sulfate (AESA)
2.3.2. Polydopamine (PDA)
2.3.3. Multifunctional Polymer (PK3)
3. Conclusions and Future Outlook
Author Contributions
Funding
Data Availability Statement
Conflicts of Interest
References
- Pérez-Botella, E.; Valencia, S.; Rey, F. Zeolites in Adsorption Processes: State of the Art and Future Prospects. Chem. Rev. 2022, 122, 17647–17695. [Google Scholar] [CrossRef] [PubMed]
- Li, J.; Gao, M.; Yan, W.; Yu, J. Regulation of the Si/Al ratios and Al distributions of zeolites and their impact on properties. Chem. Sci. 2023, 14, 1935–1959. [Google Scholar] [CrossRef]
- Bae, J.; Dusselier, M. Synthesis strategies to control the Al distribution in zeolites: Thermodynamic and kinetic aspects. Chem. Commun. 2023, 59, 852–867. [Google Scholar] [CrossRef]
- Le, T.T.; Chawla, A.; Rimer, J.D. Impact of acid site speciation and spatial gradients on zeolite catalysis. J. Catal. 2020, 391, 56–68. [Google Scholar] [CrossRef]
- Wang, X.; Ma, Y.; Wu, Q.; Wen, Y.; Xiao, F.-S. Zeolite nanosheets for catalysis. Chem. Soc. Rev. 2022, 51, 2431–2443. [Google Scholar] [CrossRef]
- Rimer, J.D.; Kumar, M.; Li, R.; Lupulescu, A.I.; Oleksiak, M.D. Tailoring the physicochemical properties of zeolite catalysts. Catal. Sci. Technol. 2014, 4, 3762–3771. [Google Scholar] [CrossRef]
- Li, S.; Li, J.; Dong, M.; Fan, S.; Zhao, T.; Wang, J.; Fan, W. Strategies to control zeolite particle morphology. Chem. Soc. Rev. 2019, 48, 885–907. [Google Scholar] [CrossRef] [PubMed]
- Kerstens, D.; Smeyers, B.; Van Waeyenberg, J.; Zhang, Q.; Yu, J.; Sels, B.F. State of the Art and Perspectives of Hierarchical Zeolites: Practical Overview of Synthesis Methods and Use in Catalysis. Adv. Mater. 2020, 32, 2004690. [Google Scholar] [CrossRef] [PubMed]
- Huang, G.; Ji, P.; Xu, H.; Jiang, J.-G.; Chen, L.; Wu, P. Fast synthesis of hierarchical Beta zeolites with uniform nanocrystals from layered silicate precursor. Microporous Mesoporous Mater. 2017, 248, 30–39. [Google Scholar] [CrossRef]
- Song, X.; Yang, X.; Zhang, T.; Zhang, H.; Zhang, Q.; Hu, D.; Chang, X.; Li, Y.; Chen, Z.; Jia, M.; et al. Controlling the Morphology and Titanium Coordination States of TS-1 Zeolites by Crystal Growth Modifier. Inorg. Chem. 2020, 59, 13201–13210. [Google Scholar] [CrossRef]
- Zhao, D.; Li, X.; Chu, W.; Wang, Y.; Xin, W.; Cui, Q.; Feng, C.; Xu, L.; Liu, S.; Zhu, X. Pyrrolidone derivative-induced synthesis of hollow beta zeolite: Formation mechanism and catalytic application in alkylation reaction. Mater. Today Sustain. 2022, 20, 100246. [Google Scholar] [CrossRef]
- Miao, S.; She, P.; Chang, X.; Zhao, C.; Sun, Y.; Lei, Z.; Sun, S.; Zhang, W.; Jia, M. Synthesis of beta nanozeolite aggregates with hierarchical pores via steam-assisted conversion of dry gel and their catalytic properties for Friedel-Crafts acylation. Microporous Mesoporous Mater. 2022, 334, 111777. [Google Scholar] [CrossRef]
- Miao, S.; Sun, S.; Lei, Z.; Sun, Y.; Zhao, C.; Zhan, J.; Zhang, W.; Jia, M. Micron-Sized Hierarchical Beta Zeolites Templated by Mesoscale Cationic Polymers as Robust Catalysts for Acylation of Anisole with Acetic Anhydride. Catalysts 2023, 13, 1517. [Google Scholar] [CrossRef]
- Zhan, J.; Wang, Y.; He, T.; Sheng, L.; Wu, B.; Liu, Q.; Jia, M.; Zhang, Y. Nonionic polymer and amino acid-assisted synthesis of ZSM-5 nanocrystals and their catalytic application in the alkylation of 2-methylnaphthalene. Dalton Trans. 2024, 53, 7384–7396. [Google Scholar] [CrossRef] [PubMed]
- Lupulescu, A.I.; Qin, W.; Rimer, J.D. Tuning Zeolite Precursor Interactions by Switching the Valence of Polyamine Modifiers. Langmuir 2016, 32, 11888–11898. [Google Scholar] [CrossRef] [PubMed]
- Li, R.; Smolyakova, A.; Maayan, G.; Rimer, J.D. Designed Peptoids as Tunable Modifiers of Zeolite Crystallization. Chem. Mater. 2017, 29, 9536–9546. [Google Scholar] [CrossRef]
- Zhang, J.; Shi, H.; Song, Y.; Xu, W.; Meng, X.; Li, J. High-efficiency synthesis of enhanced-titanium and anatase-free TS-1 zeolite by using a crystallization modifier. Inorg. Chem. Front. 2021, 8, 3077–3084. [Google Scholar] [CrossRef]
- Zhu, P.; Wang, J.; Xia, F.; Zhang, W.; Liu, H.; Zhang, X. Alcohol-Assisted Synthesis of Sheet-Like ZSM-5 Zeolites with Controllable Aspect Ratios. Eur. J. Inorg. Chem. 2023, 26, e202200664. [Google Scholar] [CrossRef]
- Shang, Z.; Chen, Y.; Zhang, L.; Zhu, X.; Wang, X.; Shi, C. Plate-like MFI crystal growth achieved by guanidine compounds. Inorg. Chem. Front. 2022, 9, 2097–2103. [Google Scholar] [CrossRef]
- Saulat, H.; Song, W.; Yang, J.; Yan, T.; He, G.; Tsapatsis, M. Fabrication of b-oriented MFI membranes from MFI nanosheet layers by ammonium sulfate modifier for the separation of butane isomers. J. Membr. Sci. 2022, 658, 120749. [Google Scholar] [CrossRef]
- Lupulescu, A.I.; Kumar, M.; Rimer, J.D. A Facile Strategy To Design Zeolite L Crystals with Tunable Morphology and Surface Architecture. J. Am. Chem. Soc. 2013, 135, 6608–6617. [Google Scholar] [CrossRef] [PubMed]
- Zhu, J.; Zhu, Y.; Zhu, L.; Rigutto, M.; van der Made, A.; Yang, C.; Pan, S.; Wang, L.; Zhu, L.; Jin, Y.; et al. Highly Mesoporous Single-Crystalline Zeolite Beta Synthesized Using a Nonsurfactant Cationic Polymer as a Dual-Function Template. J. Am. Chem. Soc. 2014, 136, 2503–2510. [Google Scholar] [CrossRef]
- Du, S.; Li, F.; Sun, Q.; Wang, N.; Jia, M.; Yu, J. A green surfactant-assisted synthesis of hierarchical TS-1 zeolites with excellent catalytic properties for oxidative desulfurization. Chem. Commun. 2016, 52, 3368–3371. [Google Scholar] [CrossRef] [PubMed]
- Du, S.; Sun, Q.; Wang, N.; Chen, X.; Jia, M.; Yu, J. Synthesis of hierarchical TS-1 zeolites with abundant and uniform intracrystalline mesopores and their highly efficient catalytic performance for oxidation desulfurization. J. Mater. Chem. A 2017, 5, 7992–7998. [Google Scholar] [CrossRef]
- Qin, W.; Agarwal, A.; Choudhary, M.K.; Palmer, J.C.; Rimer, J.D. Molecular Modifiers Suppress Nonclassical Pathways of Zeolite Crystallization. Chem. Mater. 2019, 31, 3228–3238. [Google Scholar] [CrossRef]
- Niu, X.; Sun, Y.; Lei, Z.; Qin, G.; Yang, C. Facile synthesis of hierarchical hollow Mn-ZSM-5 zeolite for enhanced cyclohexane catalytic oxidation. Prog. Nat. Sci. Mater. Int. 2020, 30, 35–40. [Google Scholar] [CrossRef]
- Li, R.; Elliott, W.A.; Clark, R.J.; Sutjianto, J.G.; Rioux, R.M.; Palmer, J.C.; Rimer, J.D. Factors controlling the molecular modification of one-dimensional zeolites. Phys. Chem. Chem. Phys. 2021, 23, 18610–18617. [Google Scholar] [CrossRef] [PubMed]
- Lupulescu, A.I.; Rimer, J.D. Tailoring Silicalite-1 Crystal Morphology with Molecular Modifiers. Angew. Chem. Int. Ed. 2012, 51, 3345–3349. [Google Scholar] [CrossRef]
- Ma, W.; Lutsko, J.F.; Rimer, J.D.; Vekilov, P.G. Antagonistic cooperativity between crystal growth modifiers. Nature 2020, 577, 497–501. [Google Scholar] [CrossRef]
- Wang, L.; Nancollas, G.H. Calcium Orthophosphates: Crystallization and Dissolution. Chem. Rev. 2008, 108, 4628–4669. [Google Scholar] [CrossRef]
- Meldrum, F.C.; Colfen, H. Controlling Mineral Morphologies and Structures in Biological and Synthetic Systems. Chem. Rev. 2008, 108, 4332–4432. [Google Scholar] [CrossRef]
- Chen, C.-L.; Qi, J.; Zuckermann, R.N.; DeYoreo, J.J. Engineered Biomimetic Polymers as Tunable Agents for Controlling CaCO3 Mineralization. J. Am. Chem. Soc. 2011, 133, 5214–5217. [Google Scholar] [CrossRef] [PubMed]
- Lutsko, J.F.; González-Segredo, N.; Durán-Olivencia, M.A.; Maes, D.; Van Driessche, A.E.S.; Sleutel, M. Crystal Growth Cessation Revisited: The Physical Basis of Step Pinning. Cryst. Growth Des. 2014, 14, 6129–6134. [Google Scholar] [CrossRef]
- De Yoreo, J.J.; Dove, P.M. Shaping Crystals with Biomolecules. Science 2004, 306, 1301–1302. [Google Scholar] [CrossRef] [PubMed]
- Olafson, K.N.; Li, R.; Alamani, B.G.; Rimer, J.D. Engineering Crystal Modifiers: Bridging Classical and Nonclassical Crystallization. Chem. Mater. 2016, 28, 8453–8465. [Google Scholar] [CrossRef]
- Sun, C.; Liu, Z.; Wang, S.; Pang, H.; Bai, R.; Wang, Q.; Chen, W.; Zheng, A.; Yan, W.; Yu, J. Anionic Tuning of Zeolite Crystallization. CCS Chem. 2021, 3, 189–198. [Google Scholar] [CrossRef]
- Lin, F.; Ye, Z.; Kong, L.; Liu, P.; Zhang, Y.; Zhang, H.; Tang, Y. Facile Morphology and Porosity Regulation of Zeolite ZSM-5 Mesocrystals with Synergistically Enhanced Catalytic Activity and Shape Selectivity. Nanomaterials 2022, 12, 1601. [Google Scholar] [CrossRef] [PubMed]
- Parmar, D.; Mallette, A.J.; Yang, T.; Zou, X.; Rimer, J.D. Unique Role of GeO2 as a Noninvasive Promoter of Nano-Sized Zeolite Crystals. Adv. Mater. 2022, 34, 2205885. [Google Scholar] [CrossRef] [PubMed]
- Chen, Z.; Chen, C.; Zhang, J.; Zheng, G.; Wang, Y.; Dong, L.; Qian, W.; Bai, S.; Hong, M. Zeolite Y microspheres with perpendicular mesochannels and metal@Y heterostructures for catalytic and SERS applications. J. Mater. Chem. A 2018, 6, 6273–6281. [Google Scholar] [CrossRef]
- Dong, L.; Zhai, D.; Chen, Z.; Zheng, G.; Wang, Y.; Hong, M.; Yang, S. A dramatic conformational effect of multifunctional zwitterions on zeolite crystallization. Chem. Commun. 2020, 56, 14693–14696. [Google Scholar] [CrossRef]
- Kumar, M.; Luo, H.; Román-Leshkov, Y.; Rimer, J.D. SSZ-13 Crystallization by Particle Attachment and Deterministic Pathways to Crystal Size Control. J. Am. Chem. Soc. 2015, 137, 13007–13017. [Google Scholar] [CrossRef]
- Lin, Q.; Liu, S.; Xu, S.; Xu, S.; Pei, M.; Yao, P.; Xu, H.; Dan, Y.; Chen, Y. Comprehensive effect of tuning Cu/SAPO-34 crystals using PEG on the enhanced hydrothermal stability for NH3-SCR. Catal. Sci. Technol. 2021, 11, 7640–7651. [Google Scholar] [CrossRef]
- Zhang, J.; Bai, R.; Zhou, Y.; Chen, Z.; Zhang, P.; Li, J.; Yu, J. Impact of a polymer modifier on directing the non-classical crystallization pathway of TS-1 zeolite: Accelerating nucleation and enriching active sites. Chem. Sci. 2022, 13, 13006–13014. [Google Scholar] [CrossRef]
- Dai, H.; Claret, J.; Kunkes, E.L.; Vattipalli, V.; Linares, N.; Huang, C.; Fiji, M.; García-Martinez, J.; Moini, A.; Rimer, J.D. Accelerating the Crystallization of Zeolite SSZ-13 with Polyamines. Angew. Chem. Int. Ed. 2022, 61, e202117742. [Google Scholar] [CrossRef] [PubMed]
- Bose, S.; Sarkar, N.; Banerjee, D. Effects of PCL, PEG and PLGA polymers on curcumin release from calcium phosphate matrix for in vitro and in vivo bone regeneration. Mater. Today Chem. 2018, 8, 110–120. [Google Scholar] [CrossRef]
- Karimi, H.; Towfighi, J.; Akhgar, S. Synthesis of hierarchical SAPO-34 zeolites with tuned mesopore structure for methanol to olefins (MTO) reaction using polyethylene glycol as a soft template. J. Sol-Gel Sci. Technol. 2021, 100, 286–298. [Google Scholar] [CrossRef]
- Xu, F.; Dong, M.; Gou, W.; Li, J.; Qin, Z.; Wang, J.; Fan, W. Rapid tuning of ZSM-5 crystal size by using polyethylene glycol or colloidal silicalite-1 seed. Microporous Mesoporous Mater. 2012, 163, 192–200. [Google Scholar] [CrossRef]
- Xiang, L.; Guo, Z.; Yang, L.; Qin, Y.; Chen, Z.; Wang, T.; Sun, W.; Wang, C. Modification of crystal growth of NaA zeolite with steric hindrance agents for removing ammonium ion from aqueous solution. J. Ind. Eng. Chem. 2024, 132, 326–334. [Google Scholar] [CrossRef]
- Jiang, Y.; Fay, J.M.; Poon, C.D.; Vinod, N.; Zhao, Y.; Bullock, K.; Qin, S.; Manickam, D.S.; Yi, X.; Banks, W.A.; et al. Nanoformulation of Brain-Derived Neurotrophic Factor with Target Receptor-Triggered-Release in the Central Nervous System. Adv. Funct. Mater. 2017, 28, 1703982. [Google Scholar] [CrossRef]
- Divya, J.; Shivaramu, N.J.; Purcell, W.; Roos, W.D.; Swart, H.C. Multifunction applications of Bi2O3:Eu3+ nanophosphor for red light emission and photocatalytic activity. Appl. Surf. Sci. 2019, 497, 143748. [Google Scholar] [CrossRef]
- Hosokawa, H.; Oki, K. Synthesis of Nanosized A-type Zeolites from Sodium Silicates and Sodium Aluminates in the Presence of a Crystallization Inhibitor. Chem. Lett. 2003, 32, 586–587. [Google Scholar] [CrossRef]
- Sanhoob, M.A.; Muraza, O.; Al-Mutairi, E.M.; Ullah, N. Role of crystal growth modifiers in the synthesis of ZSM-12 zeolite. Adv. Powder Technol. 2015, 26, 188–192. [Google Scholar] [CrossRef]
- Zhou, Y.; Shi, H.; Wang, B.; Chen, G.; Yi, J.; Li, J. The synthesis of SAPO-34 zeolite for an improved MTO performance: Tuning the particle size and an insight into the formation mechanism. Inorg. Chem. Front. 2021, 8, 2315–2322. [Google Scholar] [CrossRef]
- Huang, Y.; Xiong, F.; Zou, Z.; Huang, Y.; Zhao, Z.; Liu, B.; Dong, J. Fabrication of β-Zeolite Nanocrystal Aggregates for the Alkylation of Benzene and Cyclohexene. Ind. Eng. Chem. Res. 2022, 62, 190–198. [Google Scholar] [CrossRef]
- Liu, R.; Lin, S.; Shi, L.; Gao, H.; Lv, M.; Tan, K.; Wang, R. Morphology adjustment of ZSM-5 nanocrystal agglomerates and achievement of improved activity in LDPE catalytic cracking reaction. Microporous Mesoporous Mater. 2019, 285, 120–128. [Google Scholar] [CrossRef]
- Guo, L.; Wang, Z.; Wang, J.; Wang, Z.; Xue, S.; Jiang, X.; Lu, T.; Xu, J.; Zhan, Y.; Han, L. Direct synthesis of c-axis-oriented HZSM-5 zeolites in polyacrylamide hydrogel. J. Sol-Gel Sci. Technol. 2020, 96, 256–263. [Google Scholar] [CrossRef]
- Tontisirin, S.; Ernst, S.; Wilhelm, C. Hybrid Nanotube Assembly and Hierarchical ZSM-23 Zeolite Synthesized with Cationic Polymer and Enhanced Performance in n-Heptane Hydroisomerization. ChemNanoMat 2020, 6, 1398–1406. [Google Scholar] [CrossRef]
- Witoon, T.; Chareonpanich, M. Synthesis of hierarchical meso-macroporous silica monolith using chitosan as biotemplate and its application as polyethyleneimine support for CO2 capture. Mater. Lett. 2012, 81, 181–184. [Google Scholar] [CrossRef]
- Sabermahani, F.; Taher, M.A. Flame atomic absorption determination of palladium after separation and preconcentration using polyethyleneimine water-soluble polymer/alumina as a new sorbent. J. Anal. At. Spectrom. 2010, 25, 1102–1106. [Google Scholar] [CrossRef]
- Zhitomirsky, I.; Petric, A. Cathodic electrodeposition of polymer films and organoceramic films. Mater. Sci. Eng. B 2000, 78, 125–130. [Google Scholar] [CrossRef]
- Yu, J.; Sun, D.D.; Tay, J.H. Characteristics of coagulation-flocculation of humic acid with effective performance of polymeric flocculant and inorganic coagulant. Water Sci. Technol. 2002, 47, 89–95. [Google Scholar] [CrossRef]
- Kohut, K.D.; Anderws, S.A. Polyelectrolyte Age and N-Nitrosodimethylamine Formation in Drinking Water Treatment. Water Qual. Res. J. Can. 2003, 38, 719–735. [Google Scholar] [CrossRef]
- Iguchi, Y.; Ichiura, H.; Kitaoka, T.; Tanaka, H. Preparation and characteristics of high performance paper containing titanium dioxide photocatalyst supported on inorganic fiber matrix. Chemosphere 2003, 53, 1193–1199. [Google Scholar] [CrossRef] [PubMed]
- Parmar, D.; Niu, Z.; Liang, Y.; Dai, H.; Rimer, J.D. Manipulation of amorphous precursors to enhance zeolite nucleation. Faraday Discuss. 2022, 235, 322–342. [Google Scholar] [CrossRef] [PubMed]
- Han, L.; Jiang, X.-G.; Lu, T.-L.; Wang, B.-S.; Xu, J.; Zhan, Y.-Z.; Wang, J.-F.; Rawal, A.; Zhao, C. Preparation of composite zeolites in polymer hydrogels and their catalytic performances in the methanol-to-olefin reaction. Fuel Process. Technol. 2017, 165, 87–93. [Google Scholar] [CrossRef]
- Tan, S.; Jiang, S.; Lai, Y.; Yuan, Q. Formation potential of nine nitrosamines from polyacrylamide during chloramination. Sci. Total Environ. 2019, 670, 1103–1110. [Google Scholar] [CrossRef]
- Zhu, G.; Liu, J.; Ma, J.; Hursthouse, A.S. Interference of the polyacrylamide coagulant in the fluorescence analysis of dissolved organic matter during water treatment. Environ. Chem. Lett. 2020, 18, 1433–1440. [Google Scholar] [CrossRef]
- Hao, W.; Zhang, L.; Ma, J.; Li, R. Crystallization of zeolite Beta in the presence of an anionic surfactant AESA. Dalton Trans. 2022, 51, 14287–14296. [Google Scholar] [CrossRef]
- Zhang, C.; Xiang, L.; Zhang, J.; Liu, C.; Wang, Z.; Zeng, H.; Xu, Z.-K. Revisiting the adhesion mechanism of mussel-inspired chemistry. Chem. Sci. 2022, 13, 1698–1705. [Google Scholar] [CrossRef]
- Zhang, Y.; Tang, S.; Feng, X.; Li, X.; Yang, J.; Liu, Q.; Li, M.; Chai, Y.; Yang, C.; Lin, S.; et al. Tumor-targeting gene-photothermal synergistic therapies based on multifunctional polydopamine nanoparticles. Chem. Eng. J. 2023, 457, 141315. [Google Scholar] [CrossRef]
- Lazar, S.; Shen, R.; Quan, Y.; Palen, B.; Wang, Q.; Ellison, C.J.; Grunlan, J.C. Mixed solvent synthesis of polydopamine nanospheres for sustainable multilayer flame retardant nanocoating. Polym. Chem. 2021, 12, 2389–2396. [Google Scholar] [CrossRef]
- Zhang, M.; Liu, L.; Zhang, W.; Wang, L.; Zhang, X.; Li, G. Quantitatively regulating ZSM-48 by phenolic molecules for n-hexadecane hydroisomerization. Microporous Mesoporous Mater. 2023, 356, 112597. [Google Scholar] [CrossRef]
- Hu, Y.; Wang, C.; Li, T.; Bao, X.; Yue, Y. Nitrogen- and Halogen-Free Multifunctional Polymer-Directed Fabrication of Aluminum-Rich Hierarchical MFI Zeolites. Nanomaterials 2022, 12, 1633. [Google Scholar] [CrossRef] [PubMed]















| Modifier | Molecular Structure |
|---|---|
| Polyethylene glycol (PEG) | ![]() |
| Polyethylenimine (PEIM) | ![]() |
| Poly-diallyldimethylammonium chloride (PDDA) | ![]() |
| Polyacrylamide (PAM) | ![]() |
Disclaimer/Publisher’s Note: The statements, opinions and data contained in all publications are solely those of the individual author(s) and contributor(s) and not of MDPI and/or the editor(s). MDPI and/or the editor(s) disclaim responsibility for any injury to people or property resulting from any ideas, methods, instructions or products referred to in the content. |
© 2024 by the authors. Licensee MDPI, Basel, Switzerland. This article is an open access article distributed under the terms and conditions of the Creative Commons Attribution (CC BY) license (https://creativecommons.org/licenses/by/4.0/).
Share and Cite
Zhan, J.; Bi, C.; Du, X.; Liu, T.; Jia, M. Morphology and Microstructural Optimization of Zeolite Crystals Utilizing Polymer Growth Modifiers for Enhanced Catalytic Application. Catalysts 2024, 14, 375. https://doi.org/10.3390/catal14060375
Zhan J, Bi C, Du X, Liu T, Jia M. Morphology and Microstructural Optimization of Zeolite Crystals Utilizing Polymer Growth Modifiers for Enhanced Catalytic Application. Catalysts. 2024; 14(6):375. https://doi.org/10.3390/catal14060375
Chicago/Turabian StyleZhan, Junling, Chongyao Bi, Xiaohui Du, Tao Liu, and Mingjun Jia. 2024. "Morphology and Microstructural Optimization of Zeolite Crystals Utilizing Polymer Growth Modifiers for Enhanced Catalytic Application" Catalysts 14, no. 6: 375. https://doi.org/10.3390/catal14060375
APA StyleZhan, J., Bi, C., Du, X., Liu, T., & Jia, M. (2024). Morphology and Microstructural Optimization of Zeolite Crystals Utilizing Polymer Growth Modifiers for Enhanced Catalytic Application. Catalysts, 14(6), 375. https://doi.org/10.3390/catal14060375





