Heterogeneous Photocatalytic Oxidation and Detoxification of Simulated Agricultural Wastewater Contaminated with Boscalid Fungicide Using g-C3N4 Catalyst
Abstract
1. Introduction
2. Results and Discussion
2.1. Photocatalytic Degradation Performance
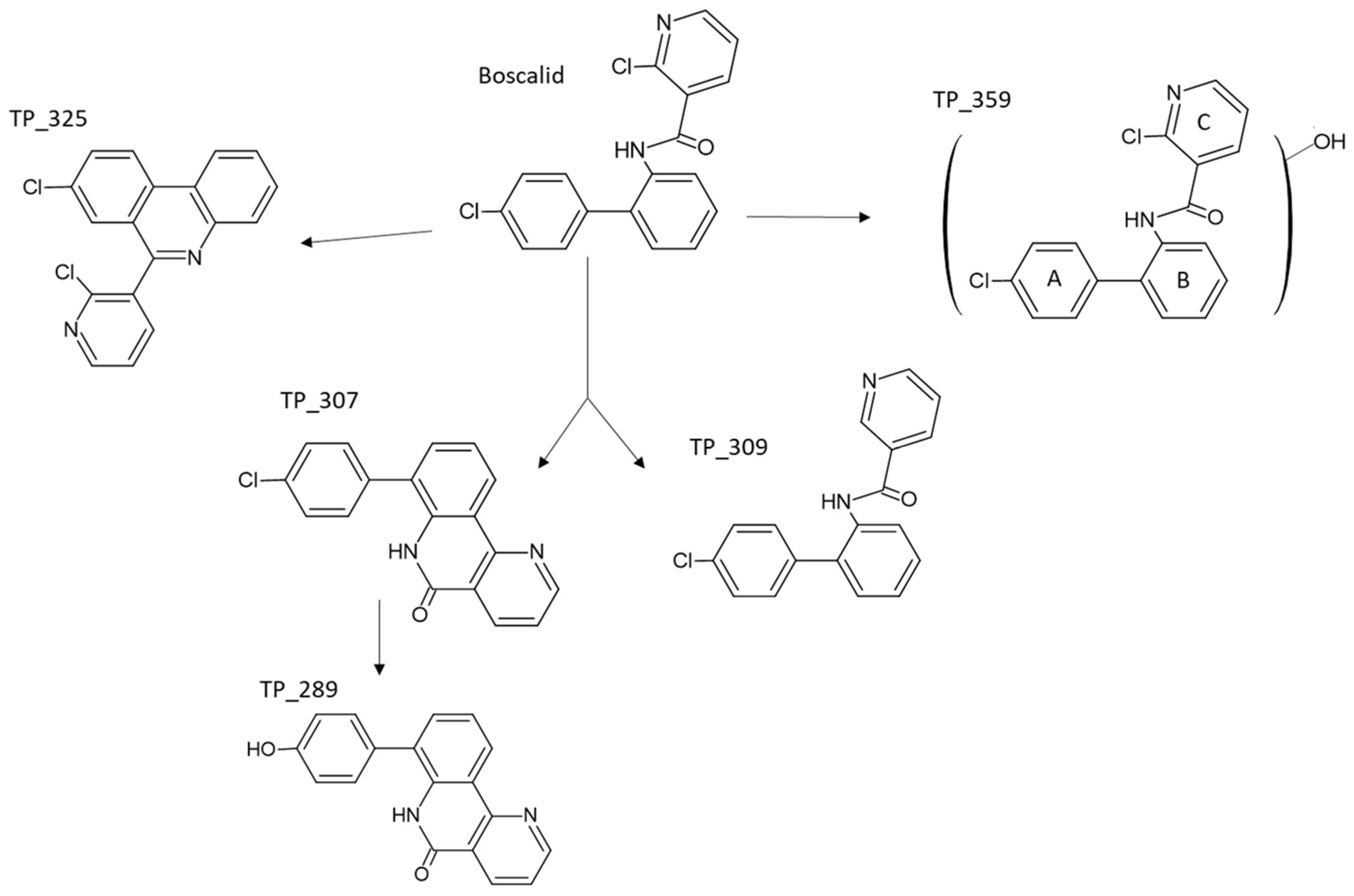
2.2. Transformation Products and Pathways of Boscalid Photocatalytic Degradation
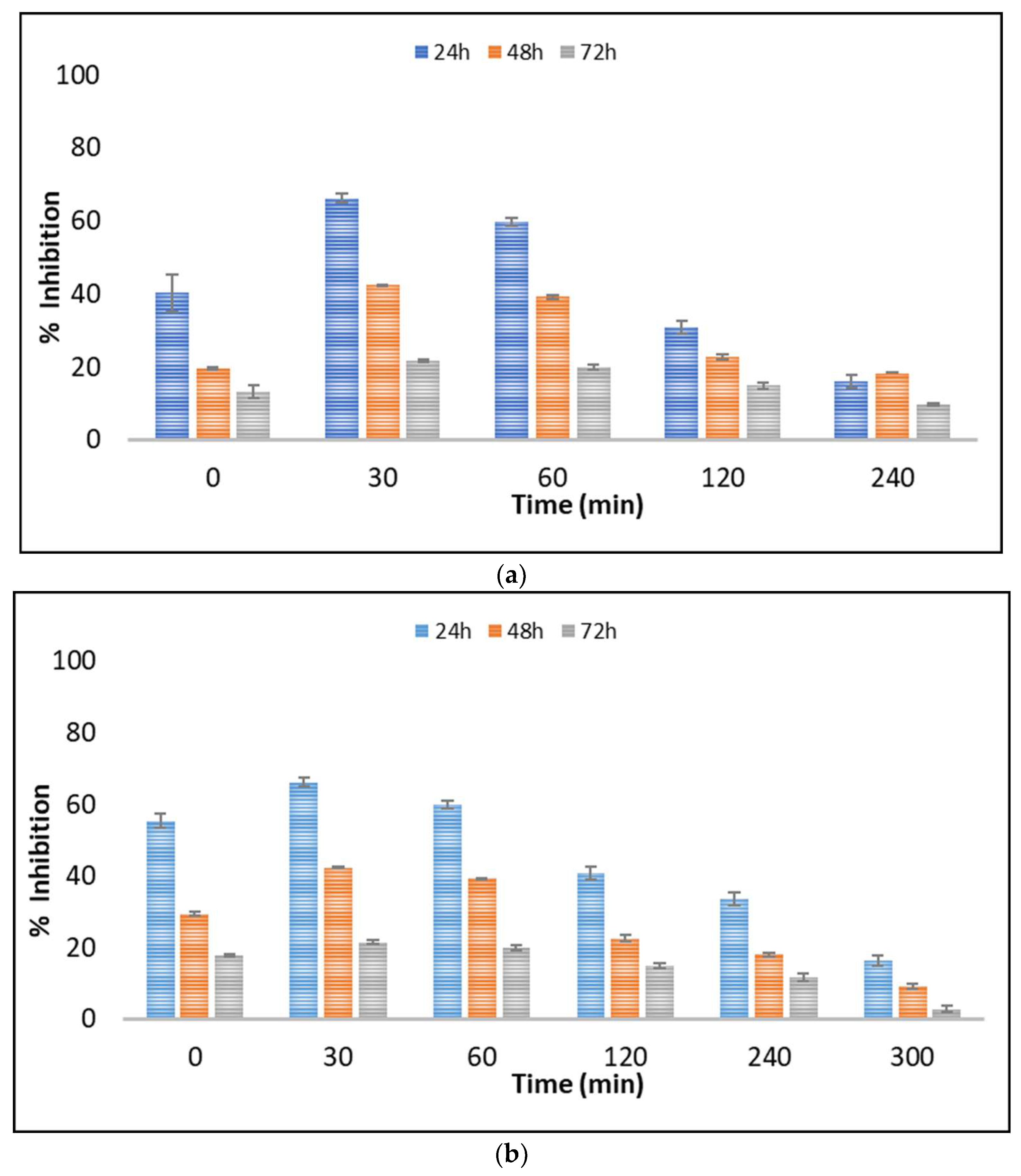
2.3. Photocatalytic Detoxification Performance
2.4. In silico Predicted Ecotoxicity and Toxicological Endpoints of Boscalid and Its TPs
2.5. Reusability-Photocatalytic Cycles
3. Materials and Methods
3.1. Chemicals and Reagents
3.2. Photocatalytic Experiments
3.3. Analytical Methods
HPLC and UHPLC/HRMS Analysis
3.4. Algal Biotest
3.5. In Silico Toxicity Assessment Tools
4. Conclusions
Supplementary Materials
Author Contributions
Funding
Data Availability Statement
Acknowledgments
Conflicts of Interest
References
- Dong, S.; Feng, J.; Fan, M.; Pi, Y.; Hu, L.; Han, X.; Liu, M.; Sun, J.; Sun, J. Recent Developments in Heterogeneous Photocatalytic Water Treatment Using Visible Light-Responsive Photocatalysts: A Review. RSC Adv. 2015, 5, 14610–14630. [Google Scholar] [CrossRef]
- Dharma, H.N.C.; Jaafar, J.; Widiastuti, N.; Matsuyama, H.; Rajabsadeh, S.; Othman, M.H.D.; Rahman, M.A.; Jafri, N.N.M.; Suhaimin, N.S.; Nasir, A.M.; et al. A Review of Titanium Dioxide (TiO2)-Based Photocatalyst for Oilfield-Produced Water Treatment. Membranes 2022, 12, 345. [Google Scholar] [CrossRef]
- Wen, J.; Xie, J.; Chen, X.; Li, X. A Review on G-C3N4-Based Photocatalysts. Appl. Surf. Sci. 2017, 391, 72–123. [Google Scholar] [CrossRef]
- Konstas, P.-S.; Kosma, C.; Konstantinou, I.; Albanis, T. Photocatalytic Treatment of Pharmaceuticals in Real Hospital Wastewaters for Effluent Quality Amelioration. Water 2019, 11, 2165. [Google Scholar] [CrossRef]
- Moreira, N.F.F.; Sampaio, M.J.; Ribeiro, A.R.; Silva, C.G.; Faria, J.L.; Silva, A.M.T. Metal-Free g-C3N4 Photocatalysis of Organic Micropollutants in Urban Wastewater under Visible Light. Appl. Catal. B Environ. 2019, 248, 184–192. [Google Scholar] [CrossRef]
- Zhao, G.-Q.; Zou, J.; Hu, J.; Long, X.; Jiao, F.-P. A Critical Review on Graphitic Carbon Nitride (g-C3N4)-Based Composites for Environmental Remediation. Sep. Purif. Technol. 2021, 279, 119769. [Google Scholar] [CrossRef]
- Desen, Z.; Xuan, Z.; Zheng, L.; Jun, Z.; Tielin, W.; Shaowen, C. Construction of local coordination environment of iron sites over g-C3N4/PCN-222 (Fe) composite with high CO2 photoreduction performance. Appl. Catal. B Environ. 2024, 334, 123639. [Google Scholar] [CrossRef]
- Jia, J.; Luo, Y.; Wu, H.; Wang, Y.; Jia, X.; Wan, J.; Dang, Y.; Liu, G.; Xie, H.; Zhang, Y. Nickel selenide/g-C3N4 heterojunction photocatalyst promotes C-C coupling for photocatalytic CO2 reduction to ethane. J. Colloid Interface Sci. 2024, 658, 966–975. [Google Scholar] [CrossRef]
- Abdullah, B.; Nor, A.S.A.; Aniz, C.U.; Shakeel, A.; Ahmed, T.A.-Q.; Jamilu, U.; Nagendra, K.; Gazali, T. Well-designed glucose precursor carbon/g-C3N4 nanocomposite for enhanced visible light photocatalytic CO2 reduction activity. J. Photochem. Photobiol. A Chem. 2024, 447, 115272. [Google Scholar] [CrossRef]
- Yang, Z.; Tang, P.; Xu, C.; Zhu, B.; He, Y.; Duan, T.; He, J.; Zhang, G.; Cui, P. Graphitic carbon nitride (g-C3N4) as a super support for Mn-Ce based NH3-SCR catalyst: Improvement of catalytic performance and H2O/SO2 tolerance for NOx removal. J. Energy Inst. 2023, 108, 101201. [Google Scholar] [CrossRef]
- Qi, K.; Jing, J.; Dong, G.; Li, P.; Huang, Y. The excellent photocatalytic NO removal performance relates to the synergistic effect between the prepositive NaOH solution and the g-C3N4 photocatalysis. Environ. Res. 2022, 212, 113405. [Google Scholar] [CrossRef]
- Yu, C.; Yang, H.; Zhao, H.; Huang, X.; Liu, M.; Du, C.; Chen, R.; Feng, J.; Dong, S.; Sun, J.; et al. Simultaneous hydrogen production from wastewater degradation by protonated porous g-C3N4/BiVO4 Z-scheme composite photocatalyst. Sep. Purif. Technol. 2024, 335, 126201. [Google Scholar] [CrossRef]
- Ni, F.; Zhang, A.; Lu, H.; Weng, B.; Zhang, Q.; Li, H.; Zheng, H.; Pang, S. Investigation into performance of Ag2O/g-C3N4 p-n heterojunction photocatalysts with efficient H2 production activity. J. Solid State Chem. 2024, 330, 124449. [Google Scholar] [CrossRef]
- Alaghmandfard, A.; Ghandi, K. A Comprehensive Review of Graphitic Carbon Nitride (g-C3N4)–Metal Oxide-Based Nanocomposites: Potential for Photocatalysis and Sensing. Nanomaterials 2022, 12, 294. [Google Scholar] [CrossRef]
- Liu, X.; Ma, R.; Zhuang, L.; Hu, B.; Chen, J.; Liu, X.; Wang, X. Recent Developments of Doped g-C3N4 Photocatalysts for the Degradation of Organic Pollutants. Crit. Rev. Environ. Sci. Technol. 2021, 51, 751–790. [Google Scholar] [CrossRef]
- Ahmad, A.; Tariq, S.; Zaman, J.U.; Martin Perales, A.I.; Mubashir, M.; Luque, R. Recent Trends and Challenges with the Synthesis of Membranes: Industrial Opportunities towards Environmental Remediation. Chemosphere 2022, 306, 135634. [Google Scholar] [CrossRef] [PubMed]
- Münze, R.; Hannemann, C.; Orlinskiy, P.; Gunold, R.; Paschke, A.; Foit, K.; Becker, J.; Kaske, O.; Paulsson, E.; Peterson, M.; et al. Pesticides from Wastewater Treatment Plant Effluents Affect Invertebrate Communities. Sci. Total Environ. 2017, 599–600, 387–399. [Google Scholar] [CrossRef] [PubMed]
- Reilly, T.J.; Smalling, K.L.; Orlando, J.L.; Kuivila, K.M. Occurrence of Boscalid and Other Selected Fungicides in Surface Water and Groundwater in Three Targeted Use Areas in the United States. Chemosphere 2012, 89, 228–234. [Google Scholar] [CrossRef] [PubMed]
- Karlsson, A.S.; Weihermüller, L.; Tappe, W.; Mukherjee, S.; Spielvogel, S. Field Scale Boscalid Residues and Dissipation Half-Life Estimation in a Sandy Soil. Chemosphere 2016, 145, 163–173. [Google Scholar] [CrossRef] [PubMed]
- Hatzilazarou, S.P.; Charizopoulos, E.T.; Papadopoulou-Mourkidou, E.; Economou, A.S. Dissipation of Three Organochlorine and Four Pyrethroid Pesticides Sprayed in a Greenhouse Environment during Hydroponic Cultivation of Gerbera. Pest Manag. Sci. 2004, 60, 1197–1204. [Google Scholar] [CrossRef] [PubMed]
- Smalling, K.L.; Orlando, J.L. Occurrence of Pesticides in Surface Water and Sediments from Three Central California Coastal Watersheds, 2008–2009; U.S. Geological Survey Data Series 600: Reston, VA, USA, 2011. [CrossRef]
- Smalling, K.L.; Reilly, T.J.; Sandstrom, M.W.; Kuivila, K.M. Occurrence and Persistence of Fungicides in Bed Sediments and Suspended Solids from Three Targeted Use Areas in the United States. Sci. Total Environ. 2013, 447, 179–185. [Google Scholar] [CrossRef]
- Qian, L.; Cui, F.; Yang, Y.; Liu, Y.; Qi, S.; Wang, C. Mechanisms of Developmental Toxicity in Zebrafish Embryos (Danio Rerio) Induced by Boscalid. Sci. Total Environ. 2018, 634, 478–487. [Google Scholar] [CrossRef]
- Aksakal, F.I. Evaluation of Boscalid Toxicity on Daphnia Magna by Using Antioxidant Enzyme Activities, the Expression of Genes Related to Antioxidant and Detoxification Systems, and Life-History Parameters. Comp. Biochem. Physiol. C Toxicol. Pharmacol. 2020, 237, 108830. [Google Scholar] [CrossRef] [PubMed]
- Qian, L.; Qi, S.; Cao, F.; Zhang, J.; Zhao, F.; Li, C.; Wang, C. Toxic Effects of Boscalid on the Growth, Photosynthesis, Antioxidant System and Metabolism of Chlorella Vulgaris. Environ. Pollut. 2018, 242, 171–181. [Google Scholar] [CrossRef]
- Lebrun, J.D.; De Jesus, K.; Tournebize, J. Individual Performances and Biochemical Pathways as Altered by Field-Realistic Exposures of Current-Use Fungicides and Their Mixtures in a Non-Target Species, Gammarus Fossarum. Chemosphere 2021, 277, 130277. [Google Scholar] [CrossRef] [PubMed]
- Aliste, M.; Pérez-Lucas, G.; Vela, N.; Garrido, I.; Fenoll, J.; Navarro, S. Solar-Driven Photocatalytic Treatment as Sustainable Strategy to Remove Pesticide Residues from Leaching Water. Environ. Sci. Pollut. Res. 2020, 27, 7222–7233. [Google Scholar] [CrossRef] [PubMed]
- Aliste, M.; Garrido, I.; Pérez-Lucas, G.; Flores, P.; Hellín, P.; Navarro, S.; Fenoll, J. Appraisal of Water Matrix on the Removal of Fungicide Residues by Heterogeneous Photocatalytic Treatment Using UV-LED Lamp as Light Source. Environ. Sci. Pollut. Res. 2021, 28, 23849–23858. [Google Scholar] [CrossRef]
- Aznar-Cervantes, S.; Aliste, M.; Garrido, I.; Yañez-Gascón, M.J.; Vela, N.; Cenis, J.L.; Navarro, S.; Fenoll, J. Electrospun Silk Fibroin/TiO2 Mats. Preparation, Characterization and Efficiency for the Photocatalytic Solar Treatment of Pesticide Polluted Water. RSC Adv. 2020, 10, 1917–1924. [Google Scholar] [CrossRef]
- Choi, S.W.; Shahbaz, H.M.; Kim, J.U.; Kim, D.-H.; Yoon, S.; Jeong, S.H.; Park, J.; Lee, D.-U. Photolysis and TiO2 Photocatalytic Treatment under UVC/VUV Irradiation for Simultaneous Degradation of Pesticides and Microorganisms. Appl. Sci. 2020, 10, 4493. [Google Scholar] [CrossRef]
- Lagunas-Allué, L.; Martínez-Soria, M.-T.; Sanz-Asensio, J.; Salvador, A.; Ferronato, C.; Chovelon, J.M. Photocatalytic Degradation of Boscalid in Aqueous Titanium Dioxide Suspension: Identification of Intermediates and Degradation Pathways. Appl. Catal. B Environ. 2010, 98, 122–131. [Google Scholar] [CrossRef]
- Taha, S.M.; Amer, M.E.; Elmarsafy, A.M.; Elkady, M.Y.; Chovelon, J.-M. Degradation of Boscalid by Nitrogen-Doped/Undoped TiO2 and Persulfate Ions Using Different Activation Conditions and the Identification of Its Main Degradation Products Using LC/MS/MS. Chem. Eng. J. 2016, 288, 845–857. [Google Scholar] [CrossRef]
- Liu, X.; Yu, W.; Li, C.; Zhang, B.; Yun, M.; Ma, Y. Impact of Unadorned Carbon Nitride on Photodegradation and Bioavailability of Multifungicides in the Environment. J. Agric. Food Chem. 2021, 69, 28–35. [Google Scholar] [CrossRef]
- Konstas, P.-S.; Konstantinou, I.; Petrakis, D.; Albanis, T. Synthesis, Characterization of g-C3N4/SrTiO3 Heterojunctions and Photocatalytic Activity for Organic Pollutants Degradation. Catalysts 2018, 8, 554. [Google Scholar] [CrossRef]
- Antonopoulou, M.; Bika, P.; Papailias, I.; Zervou, S.-K.; Vrettou, A.; Efthimiou, I.; Mitrikas, G.; Ioannidis, N.; Trapalis, C.; Dallas, P.; et al. Photocatalytic Degradation of Organic Micropollutants under UV-A and Visible Light Irradiation by Exfoliated g-C3N4 Catalysts. Sci. Total Environ. 2023, 892, 164218. [Google Scholar] [CrossRef]
- Bairamis, F.; Konstantinou, I.; Petrakis, D.; Vaimakis, T. Enhanced Performance of Electrospun Nanofibrous TiO2/g-C3N4 Photocatalyst in Photocatalytic Degradation of Methylene Blue. Catalysts 2019, 9, 880. [Google Scholar] [CrossRef]
- Liu, X.; Zong, H.; Tan, X.; Wang, X.; Qiu, J.; Kong, F.; Zhang, J.; Fang, S. Facile synthesis of modified carbon nitride with en-hanced activity for photocatalytic degradation of atrazine. J. Environ. Chem. Eng. 2021, 9, 105807. [Google Scholar] [CrossRef]
- Altendji, K.; Hamoudi, S. Efficient Photocatalytic Degradation of Aqueous Atrazine over Graphene-Promoted g-C3N4 Nanosheets. Catalysts 2023, 13, 1265. [Google Scholar] [CrossRef]
- Ioannidou, E.; Frontistis, Z.; Antonopoulou, M.; Venieri, D.; Konstantinou, I.; Kondarides, D.I.; Mantzavinos, D. Solar Photocatalytic Degradation of Sulfamethoxazole over Tungsten—Modified TiO2. Chem. Eng. J. 2017, 318, 143–152. [Google Scholar] [CrossRef]
- Spyrou, A.; Tzamaria, A.; Dormousoglou, M.; Skourti, A.; Vlastos, D.; Papadaki, M.; Antonopoulou, M. The Overall Assessment of Simultaneous Photocatalytic Degradation of Cimetidine and Amisulpride by Using Chemical and Genotoxicological Approaches. Sci. Total Environ. 2022, 838, 156140. [Google Scholar] [CrossRef] [PubMed]
- Calza, P.; Hadjicostas, C.; Sakkas, V.A.; Sarro, M.; Minero, C.; Medana, C.; Albanis, T.A. Photocatalytic Transformation of the Antipsychotic Drug Risperidone in Aqueous Media on Reduced Graphene Oxide—TiO2 Composites. Appl. Catal. B Environ. 2016, 183, 96–106. [Google Scholar] [CrossRef]
- Liang, C.; Su, H.-W. Identification of Sulfate and Hydroxyl Radicals in Thermally Activated Persulfate. Ind. Eng. Chem. Res. 2009, 48, 5558–5562. [Google Scholar] [CrossRef]
- Antonopoulou, M.; Papadaki, M.; Rapti, I.; Konstantinou, I. Photocatalytic Degradation of Pharmaceutical Amisulpride Using g-C3N4 Catalyst and UV-A Irradiation. Catalysts 2023, 13, 226. [Google Scholar] [CrossRef]
- Bhatt, D.; Srivastava, A.; Srivastava, P.C.; Sharma, A. Evaluation of Three Novel Soil Bacterial Strains for Efficient Biodegradation of Persistent Boscalid Fungicide: Kinetics and Identification of Microbial Biodegradation Intermediates. Environ. Pollut. 2023, 316, 120484. [Google Scholar] [CrossRef] [PubMed]
- Skanes, B.; Warriner, K.; Prosser, R.S. Hazard Assessment Using an In-Silico Toxicity Assessment of the Transformation Products of Boscalid, Pyraclostrobin, Fenbuconazole and Glyphosate Generated by Exposure to an Advanced Oxidative Process. Toxicol. In Vitro 2021, 70, 105049. [Google Scholar] [CrossRef] [PubMed]
- Lassalle, Y.; Kinani, A.; Rifai, A.; Souissi, Y.; Clavaguera, C.; Bourcier, S.; Jaber, F.; Bouchonnet, S. UV-Visible Degradation of Boscalid—Structural Characterization of Photoproducts and Potential Toxicity Using in Silico Tests. Rapid Commun. Mass Spectrom. 2014, 28, 1153–1163. [Google Scholar] [CrossRef] [PubMed]
- Jabot, C.; Daniele, G.; Giroud, B.; Tchamitchian, S.; Belzunces, L.P.; Casabianca, H.; Vulliet, E. Detection and Quantification of Boscalid and Its Metabolites in Honeybees. Chemosphere 2016, 156, 245–251. [Google Scholar] [CrossRef]
- Mojiri, A.; Nazari Vishkaei, M.; Ansari, H.K.; Vakili, M.; Farraji, H.; Kasmuri, N. Toxicity Effects of Perfluorooctanoic Acid (PFOA) and Perfluorooctane Sulfonate (PFOS) on Two Green Microalgae Species. Int. J. Mol. Sci. 2023, 24, 2446. [Google Scholar] [CrossRef]
- Kalamaras, G.; Kloukinioti, M.; Antonopoulou, M.; Ntaikou, I.; Vlastos, D.; Eleftherianos, A.; Dailianis, S. The Potential Risk of Electronic Waste Disposal into Aquatic Media: The Case of Personal Computer Motherboards. Toxics 2021, 9, 166. [Google Scholar] [CrossRef]
- Antonopoulou, M.; Dormousoglou, M.; Spyrou, A.; Dimitroulia, A.A.; Vlastos, D. An Overall Assessment of the Effects of Antidepressant Paroxetine on Aquatic Organisms and Human Cells. Sci. Total Environ. 2022, 852, 158393. [Google Scholar] [CrossRef]
- Babiak, W.; Krzemińska, I. Extracellular Polymeric Substances (EPS) as Microalgal Bioproducts: A Review of Factors Affecting EPS Synthesis and Application in Flocculation Processes. Energies 2021, 14, 4007. [Google Scholar] [CrossRef]
- Rosal, R.; Rodea-Palomares, I.; Boltes, K.; Fernández-Piñas, F.; Leganés, F.; Petre, A. Ecotoxicological Assessment of Surfactants in the Aquatic Environment: Combined Toxicity of Docusate Sodium with Chlorinated Pollutants. Chemosphere 2010, 81, 288–293. [Google Scholar] [CrossRef] [PubMed]
- Qian, L.; Qi, S.; Zhang, J.; Duan, M.; Schlenk, D.; Jiang, J.; Wang, C. Exposure to Boscalid Induces Reproductive Toxicity of Zebrafish by Gender-Specific Alterations in Steroidogenesis. Environ. Sci. Technol. 2020, 54, 14275–14287. [Google Scholar] [CrossRef]
- Qian, L.; Qi, S.; Wang, Z.; Magnuson, J.T.; Volz, D.C.; Schlenk, D.; Jiang, J.; Wang, C. Environmentally Relevant Concentrations of Boscalid Exposure Affects the Neurobehavioral Response of Zebrafish by Disrupting Visual and Nervous Systems. J. Hazard. Mater. 2021, 404, 124083. [Google Scholar] [CrossRef] [PubMed]
- Palominos, R.; Freer, J.; Mondaca, M.A.; Mansilla, H.D. Evidence for Hole Participation during the Photocatalytic Oxidation of the Antibiotic Flumequine. J. Photochem. Photobiol. A 2008, 193, 139–145. [Google Scholar] [CrossRef]
- OECD. Test No. 201: Freshwater Alga and Cyanobacteria, Growth Inhibition Test; Organisation for Economic Co-Operation and Development: Paris, France, 2011. [Google Scholar]
- USEPA. Ecological Structure Activity Relationships (ECOSAR) Predictive Model. Available online: https://www.epa.gov/tsca-screening-tools/ecological-structure-activity-relationships-ecosar-predictive-model (accessed on 25 December 2023).
- Globally Harmonized System of Classification and Labelling of Chemicals (GHS Rev. 9, 2021)|UNECE. Available online: https://unece.org/transport/standards/transport/dangerous-goods/ghs-rev9-2021 (accessed on 25 December 2023).
- USEPA. Toxicity Estimation Software Tool (TEST). Available online: https://www.epa.gov/comptox-tools/toxicity-estimation-software-tool-test (accessed on 25 December 2023).
- Institute for Health and Consumer Protection (Joint Research Centre); Benigni, R.; Tcheremenskaia, O. Computational Characterisation of Chemicals and Datasets in Terms of Organic Functional Groups—A New Toxtree Rulebase; Publications Office of the European Union: Luxembourg, 2011. [Google Scholar]
- Pavan, M.; Worth, A.P. Publicly-Accessible QSAR Software Tools Developed by the Joint Research Centre. SAR QSAR Environ. Res. 2008, 19, 785–799. [Google Scholar] [CrossRef] [PubMed]







| Matrix | kapp (min−1) | t1/2 (min) | R2 |
|---|---|---|---|
| UPW | 9.0 × 10−3 | 77.0 | 0.9200 |
| LW | 7.2 × 10−3 | 96.3 | 0.9437 |
| Surface Area (m2 g−1) | Particle Size (nm) | Eg (eV) | |
|---|---|---|---|
| g-C3N4 | 35 | 25 | 2.82 |
Disclaimer/Publisher’s Note: The statements, opinions and data contained in all publications are solely those of the individual author(s) and contributor(s) and not of MDPI and/or the editor(s). MDPI and/or the editor(s) disclaim responsibility for any injury to people or property resulting from any ideas, methods, instructions or products referred to in the content. |
© 2024 by the authors. Licensee MDPI, Basel, Switzerland. This article is an open access article distributed under the terms and conditions of the Creative Commons Attribution (CC BY) license (https://creativecommons.org/licenses/by/4.0/).
Share and Cite
Antonopoulou, M.; Tzamaria, A.; Miserli, K.; Lykos, C.; Konstantinou, I. Heterogeneous Photocatalytic Oxidation and Detoxification of Simulated Agricultural Wastewater Contaminated with Boscalid Fungicide Using g-C3N4 Catalyst. Catalysts 2024, 14, 112. https://doi.org/10.3390/catal14020112
Antonopoulou M, Tzamaria A, Miserli K, Lykos C, Konstantinou I. Heterogeneous Photocatalytic Oxidation and Detoxification of Simulated Agricultural Wastewater Contaminated with Boscalid Fungicide Using g-C3N4 Catalyst. Catalysts. 2024; 14(2):112. https://doi.org/10.3390/catal14020112
Chicago/Turabian StyleAntonopoulou, Maria, Anna Tzamaria, Kleopatra Miserli, Christos Lykos, and Ioannis Konstantinou. 2024. "Heterogeneous Photocatalytic Oxidation and Detoxification of Simulated Agricultural Wastewater Contaminated with Boscalid Fungicide Using g-C3N4 Catalyst" Catalysts 14, no. 2: 112. https://doi.org/10.3390/catal14020112
APA StyleAntonopoulou, M., Tzamaria, A., Miserli, K., Lykos, C., & Konstantinou, I. (2024). Heterogeneous Photocatalytic Oxidation and Detoxification of Simulated Agricultural Wastewater Contaminated with Boscalid Fungicide Using g-C3N4 Catalyst. Catalysts, 14(2), 112. https://doi.org/10.3390/catal14020112

