Numerical Study on Flow Channel Construction of Methanol Steam Reforming Reformer
Abstract
1. Introduction
2. Results and Discussion
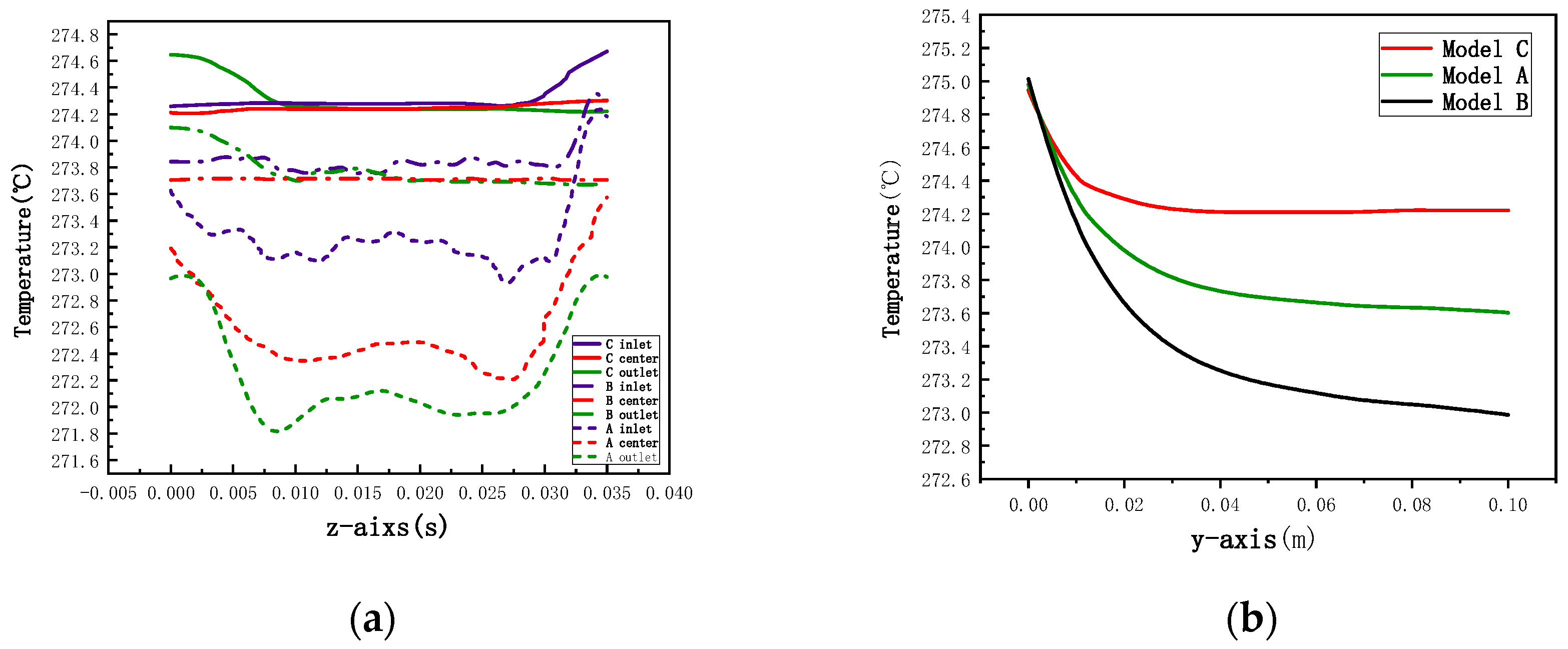
2.1. Catalyst Distribution Enhances the MSR Reaction Process
2.2. The Channel Shape of the Catalyst Enhances the MSR Reaction Process
3. Model Development
3.1. Reformer Design
3.2. Kinetic
4. Experiment
4.1. Catalyst Preparation
4.2. Catalyst Evaluation System
5. Conclusions
- (1)
- The flow channel constructed by the ‘hole-to-edge’ configuration of the rhombic structured catalyst was the best, and the highest methanol conversion rate and the highest mass and heat transfer efficiency were obtained, which improved the catalyst and reactor utilization to the greatest extent.
- (2)
- The mesh shape of different catalysts has a significant effect on the reaction. The pressure drop of the circular channel is the smallest, and the mass transfer and heat transfer ability is the strongest. The mixing and uniform distribution of the reactants are promoted by superimposing the turbulence of the channel shape.
Supplementary Materials
Author Contributions
Funding
Data Availability Statement
Conflicts of Interest
References
- Garcia, G.; Arriola, E.; Chen, W.-H.; De Luna, M.D. A comprehensive review of hydrogen production from methanol thermochemical conversion for sustainability. Energy 2021, 217, 119384. [Google Scholar] [CrossRef]
- Kannah, R.Y.; Kavitha, S.; Preethi; Karthikeyan, O.P.; Kumar, G.; Dai-Viet, N.V.; Banu, J.R. Techno-economic assessment of various hydrogen production methods—A review. Bioresour. Technol. 2021, 319, 124175. [Google Scholar]
- Xu, X.; Zhou, Q.; Yu, D. The future of hydrogen energy: Bio-hydrogen production technology. Int. J. Hydrogen Energy 2022, 47, 33677–33698. [Google Scholar] [CrossRef]
- Hou, J.; Yang, M.; Ke, C.; Wei, G.; Priest, C.; Qiao, Z.; Wu, G.; Zhang, J. Platinum-group-metal catalysts for proton exchange membrane fuel cells: From catalyst design to electrode structure optimization. EnergyChem 2020, 2, 100023. [Google Scholar] [CrossRef]
- Frei, M.S.; Mondelli, C.; Short, M.I.; Pérez-Ramírez, J. Methanol as a Hydrogen Carrier: Kinetic and Thermodynamic Drivers for its CO2-Based Synthesis and Reforming over Heterogeneous Catalysts. ChemSusChem 2020, 13, 6330–6337. [Google Scholar] [CrossRef]
- Dudukovic, M.P.; Larachi, F.; Mills, P.L. Multiphase catalytic reactors: A perspective on current knowledge and future trends. Catal. Rev. Sci. Eng. 2002, 44, 123–246. [Google Scholar] [CrossRef]
- Achomo, M.A.; Kumar, A.; Peela, N.R.; Muthukumar, P. Hydrogen production from steam reforming of methanol: A comprehensive review on thermodynamics, catalysts, reactors, and kinetic studies. Int. J. Hydrogen Energy 2024, 58, 1640–1672. [Google Scholar] [CrossRef]
- Cao, Z.; Bian, H.; Xie, Z.; Ji, L.; Zhang, Q. Research and improvement on the performance of Ti modified Mn based catalysts for removing ozone at room temp. J. Guizhou Norm. Coll. 2024, 42, 75–83. (In Chinese) [Google Scholar]
- Zhang, G.; Zhao, J.; Yang, T.; Zhang, Q.; Zhang, L. In-situ self-assembled Cu2O/ZnO core-shell catalysts synergistically enhance the durability of methanol steam reforming. Appl. Catal. A Gen. 2021, 616, 118072. [Google Scholar] [CrossRef]
- Thompson, G.E.; Wood, G.C. Porous anodic film formation on aluminium. Nature 1981, 290, 230–232. [Google Scholar] [CrossRef]
- Kameyama, H. Heat Transfer Material with Porous Alumina Layer. Suiso Energy Shisutemu 1995, 20. [Google Scholar]
- Stankiewicz, A. Process intensification in in-line monolithic reactor. Chem. Eng. Sci. 2001, 56, 359–364. [Google Scholar] [CrossRef]
- Heck, M.R.; Gulati, S.; Farrauto, J.R. The application of monoliths for gas phase catalytic reactions. Chem. Eng. J. 2001, 82, 149–156. [Google Scholar] [CrossRef]
- Groppi, G.; Tronconi, E. Honeycomb Supports with High Thermal Conductivity for Gas/Solid Chemical Processes. Catal. Today 2005, 105, 297–304. [Google Scholar] [CrossRef]
- Sidhu, T.P.; Govil, A.; Roy, S. Optimal monolithic configuration for heat integrated ethanol steam reformer. Int. J. Hydrogen Energy 2017, 42, 7770–7785. [Google Scholar] [CrossRef]
- Qian, S.; Liu, H.; Wang, Y.; Mei, D. Structural optimization of 3D printed SiC scaffold with gradient pore size distribution as catalyst support for methanol steam reforming. Fuel 2023, 341, 127612. [Google Scholar] [CrossRef]
- Ramanathan, K.; Balakotaiah, V.; West, H.D. Geometry effects on ignition in catalytic monoliths. AIChE J. 2004, 50, 1493–1509. [Google Scholar] [CrossRef]
- Erdinç, E.; Caglayan, S.B.; Aksoylu, E.A. Methane OSR over Pt-Ni/δ-Al2O3: Performance and power law type kinetics. Int. J. Hydrogen Energy 2017, 42, 20568–20578. [Google Scholar] [CrossRef]
- El-Shafie, M.; Harada, H.; Yajima, T.; Tsuda, S.; Inazu, K.; Kawajiri, Y. A comprehensive analysis of ammonia synthesis over a commercial iron-based catalyst using differential and integral reactor models. Int. J. Hydrogen Energy 2024, 58, 1009–1019. [Google Scholar] [CrossRef]
- Patel, S.; Pant, K.K. Experimental study and mechanistic kinetic modeling for selective production of hydro-gen via catalytic steam reforming of methanol. Chem. Eng. Sci. 2007, 62, 5425–5435. [Google Scholar] [CrossRef]
- Purnama, H.; Ressler, T.; Jentoft, R.; Soerijanto, H.; Schlögl, R.; Schomäcker, R. CO formation/selectivity for steam reforming of methanol with a commercial CuO/ZnO/Al2O3 catalyst. Appl. Catal. A Gen. 2004, 259, 83–94. [Google Scholar] [CrossRef]
- Sá, S.; Sousa, J.M.; Mendes, A. Steam reforming of methanol over a CuO/ZnO/Al2O3 catalyst, part I: Kinetic modelling. Chem. Eng. Sci. 2011, 66, 4913–4921. [Google Scholar] [CrossRef]
- Wan, Y.; Zhou, Z.; Cheng, Z. Hydrogen production from steam reforming of methanol over CuO/ZnO/Al2O3 catalysts: Catalytic performance and kinetic modeling. Chin. J. Chem. Eng. 2016, 24, 1186–1194. [Google Scholar] [CrossRef]
- Wang, Q.; Zhang, G.; Zhao, J.; Zhang, L. Robust Mesh-type structured CuFeMg/γ-Al2O3/Al catalyst for methanol steam reforming in microreactors. Int. J. Hydrogen Energy 2022, 47, 25256–25265. [Google Scholar] [CrossRef]
- Zhang, G.; Zhao, J.; Wang, Q.; Yang, T.; Zhang, Q.; Zhang, L. FFast start-up structured CuFeMg/Al2O3 catalyst applied in microreactor for efficient hydrogen production in methanol steam reforming. Chem. Eng. J. 2021, 426, 130644. [Google Scholar] [CrossRef]
- Li, X.; Wang, Y.; Li, L.; Zhang, R.; Ren, H.; Li, W.; Tang, Z.; Zhang, D. Research progress on simulation of multiscale mass transfer processes in gas-solid system by computational mass transfer. Particuology 2024, 90, 478–492. [Google Scholar] [CrossRef]
- Skrzypacz, P.; Chalkarova, N.; Golman, B.; Andreev, V.; Schieweck, F. Numerical simulations of dead zone formation in the catalytic flow-through membrane reactor. Comput. Chem. Eng. 2021, 152, 107368. [Google Scholar] [CrossRef]
- Cui, X.; Kær, K.S. Two-dimensional thermal analysis of radial heat transfer of monoliths in small-scale steam methane reforming. Int. J. Hydrogen Energy 2018, 43, 11952–11968. [Google Scholar] [CrossRef]
- Palma, V.; Martino, M.; Meloni, E.; Ricca, A. Novel structured catalysts configuration for intensification of steam reforming of methane. Int. J. Hydrogen Energy 2017, 42, 1629–1638. [Google Scholar] [CrossRef]
- Vennela, N.; Mondal, S.; De, S.; Bhattacharjee, S. Sherwood number in flow through parallel porous plates (Microchannel) due to pressure and electroosmotic flow. AIChE J. 2012, 58, 1693–1703. [Google Scholar] [CrossRef]












| Rhombus | Equilateral Triangle | Square | Circle | |
|---|---|---|---|---|
| (s) | 18.1 | 19.3 | 18.3 | 18.2 |
| 0.0867 | 0.1034 | 0.1059 | 0.1045 |
| Item | Parameter |
|---|---|
| Diagonal length of rhomboid channel (mm) | 1.225 × 0.629 |
| Catalyst length × width × thickness (cm) | 10 × 5 × 0.06 |
| Number of catalyst layers | 45 |
| Gap between two layers of catalyst (cm) | 0.01 |
| Gap between catalyst and plate (cm) | 0.18 |
| Reactor length × width × height (cm) | 10 × 5 × 3.5 |
| Inlet and outlet radius (cm) | 0.5 |
| Reactant | CH3OH + H2O |
| Product | CH3OH + H2O + CO2 + H2 + CO |
| Fluid velocity(m/s) | 0.02 |
| Feed temperature (K) | 548.15 |
| Reformer temperature (K) | 548.15 |
| Mole fraction: water/methanol | 2/1 |
| Pressure (atm) | 1 |
| Structured catalyst: (Cu9.6Zn1.5/γ-Al2O3/Al) | |
| Catalyst porosity: εp | 0.4 |
| Catalyst effective thermal conductivity: ks(W/(m × K)) | 3 |
| Catalyst tortuosity: τp | 1 |
| Parameter | Rhombus | Equilateral Triangle | Square | Circle |
|---|---|---|---|---|
| Channel area (mm2) | 0.385 | 0.385 | 0.385 | 0.385 |
| Equivalent diameter (mm) | 0.415 | 0.544 | 0.620 | 0.700 |
| Perimeter (mm) | 3.708 | 2.829 | 2.482 | 2.200 |
| Height (mm) | 0.6 | 0.6 | 0.6 | 0.6 |
| Surface area per layer (mm2) | 85.72 | 85.20 | 84.99 | 84.82 |
| N | M | ρ2 | FM, N-M-1 | F0.05 |
|---|---|---|---|---|
| 16 | 4 | 0.9361 | 206.5 | 1.366 × 10−10 |
Disclaimer/Publisher’s Note: The statements, opinions and data contained in all publications are solely those of the individual author(s) and contributor(s) and not of MDPI and/or the editor(s). MDPI and/or the editor(s) disclaim responsibility for any injury to people or property resulting from any ideas, methods, instructions or products referred to in the content. |
© 2024 by the authors. Licensee MDPI, Basel, Switzerland. This article is an open access article distributed under the terms and conditions of the Creative Commons Attribution (CC BY) license (https://creativecommons.org/licenses/by/4.0/).
Share and Cite
Xiang, Y.; Liu, H.; Zhang, Q. Numerical Study on Flow Channel Construction of Methanol Steam Reforming Reformer. Catalysts 2024, 14, 913. https://doi.org/10.3390/catal14120913
Xiang Y, Liu H, Zhang Q. Numerical Study on Flow Channel Construction of Methanol Steam Reforming Reformer. Catalysts. 2024; 14(12):913. https://doi.org/10.3390/catal14120913
Chicago/Turabian StyleXiang, Yujing, Huan Liu, and Qi Zhang. 2024. "Numerical Study on Flow Channel Construction of Methanol Steam Reforming Reformer" Catalysts 14, no. 12: 913. https://doi.org/10.3390/catal14120913
APA StyleXiang, Y., Liu, H., & Zhang, Q. (2024). Numerical Study on Flow Channel Construction of Methanol Steam Reforming Reformer. Catalysts, 14(12), 913. https://doi.org/10.3390/catal14120913

