Biocatalysis for the Synthesis of Active Pharmaceutical Ingredients in Deep Eutectic Solvents: State-of-the-Art and Prospects
Abstract
1. Introduction
2. Oxidoreductase-Meditated API Syntheses in DESs
2.1. Whole-Cell Catalyzed Redox Catalysis in DESs
| Entry | Reaction Scheme | Reaction Medium | Concluding Remark | Ref. |
|---|---|---|---|---|
| 1 | ![]() | ChCl-Gly (1:2) with 0–100 vol.% water, and other ChCl-based DESs | Stereoinversion, (S)- in water and (R)- in DES | [117,119] |
| 2 | ![]() | ChCl-based DESs with 0–50 wt.% water | High selectivity and stereoinversion, (S)- in water and (R)- in DES | [120] |
| 3 | ![]() | ChCl-based DESs with 10 vol.% water, and ChCl-Gly/buffer/[C4MIM][PF6], 10/40/50 (vol.%) | Enhanced substrate loadings, membrane permeability, and reaction rate | [121,122] |
| 4 | ![]() | Buffer with 5 vol.% ChCl-based DESs, and ChCl-U containing buffer/[C4MIM][PF6], 80/20 (vol.%) | Improved yield and productivity at 0.5 L scale | [123] |
| 5 | ![]() | ChCl-based DESs, buffer with 2 vol.% ChCl-Bd (1:4) | Improved membrane permeability and reaction rate | [125] |
| 6 | ![]() | Buffer with 10–25 vol.% ChCl-Gly (1:2) | Reduced reaction course and increased stereoselectivity, (85% dr., 76% ee) | [130] |
| 7 | ![]() | ChCl-based DESs with 30/50/80 vol.% water, ChCl-Gly (1:2) with 30 vol.% water | Improved conversion at preparative scale with reuse of DESs | [131] |
| 8 | ![]() | ChCl-based DESs, optimal ones of buffer with 1 w/v% ChCl-U (1:1) or ChCl-GSH (1:1) | Improved substrate solubility and yield, shortened reaction time | [132,133,134] |
| 9 | ![]() | ChCl-Gly (1:1.5, 1:2)/ChCl-U (1:2) /ChCl-EG (1:2) with 0–90 vol.% buffer | Improved enantioselectivity | [75,135] |
| 10 | ![]() | ChCl-Gly (1:2) with 50–80 vol.% buffer | >90% conv. and >99% ee with 0.3–0.4 M substrate | [136] |
| 11 | ![]() | ChCl-Gly (1:2) with 80–100 vol.% buffer | 93–100% conv. and >99% ee with 1–3 M substrate | [137] |
| 12 | ![]() | ChAc-Lys (1:1) (1 w/v%) in buffer | 87% conv. and >99% ee with 1 M substrate; improved cofactor regeneration | [138] |
| 13 | ![]() | Various betaine-based NADES, optimal one Bet-Lys (1:2) (3 w/v%) in buffer | 92.4% conv. with 400 mM substrate at 0.1 L scale; improved cell membrane integrity | [139] |
| 14 | ![]() | 4 w/v% ChCl-Lys (1:1) with 0.6 w/v% Tween-20 in buffer | 4.0-fold enhanced substrate conc., >99% ee, and 91.5% conv. with 0.2 M substrate | [140] |
| 15 | ![]() | 10–50 vol.% ChCl-Glu (1.5:1) in buffer | HBD glucose in ‘designer’ NADESs served as co-substrate and solubilizer | [141] |
| 16 | ![]() | 20 vol.% ChCl-Gly (1:9) in buffer; 80 vol.% ChCl-1,4-BD (1:4) in buffer | Improved STY of 15.3 g L−1 d−1; HBD 1,4-BD as cosubstrate with STY of 75 g L−1 d−1 | [81,93] |
| 17 | ![]() | 50 wt.% LID-OA (1:1) with lower critical solution temperature (LCST) in buffer | Enzyme reused 3 times | [142] |
| 18 | ![]() | Various ChCl-/sugar-based DESs, and 60 vol.% Glu-Fru-water (1:1:6) | Improved yield over pure buffer system (26% vs. 7%) | [143,144] |
| 19 | ![]() | 0–100 vol.% various ChCl-based DESs | HBA ChCl as co-solvent and stoichiometric reductant | [145,146] |
| 20 | ![]() | ChCl-/Bet-based NADESs, 5 vol.% Bet-Man (5:2) in buffer | Highest molecular weight polycatechin | [147] |
2.2. Isolated Enzyme-Catalyzed Redox Catalysis in DESs
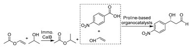
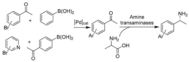
3. Hydrolase-Meditated API Syntheses in DESs
4. Other Enzyme-Catalyzed API Syntheses in DESs
5. Chemo-Enzymatic Cascade and Miscellaneous Synthetic Routes in DESs
6. Summary and Future Perspectives
Author Contributions
Funding
Conflicts of Interest
References
- Straathof, A.J. Transformation of biomass into commodity chemicals using enzymes or cells. Chem. Rev. 2014, 114, 1871–1908. [Google Scholar] [CrossRef] [PubMed]
- Truppo, M.D. Biocatalysis in the Pharmaceutical Industry: The Need for Speed. ACS Med. Chem. Lett. 2017, 8, 476–480. [Google Scholar] [CrossRef] [PubMed]
- Sun, H.; Zhang, H.; Ang, E.L.; Zhao, H. Biocatalysis for the synthesis of pharmaceuticals and pharmaceutical intermediates. Bioorg. Med. Chem. 2018, 26, 1275–1284. [Google Scholar] [CrossRef] [PubMed]
- de Gonzalo, G.; Alcantara, A.R.; Domínguez de María, P.; Sanchez-Montero, J.M. Biocatalysis for the asymmetric synthesis of Active Pharmaceutical Ingredients (APIs): This time is for real. Expert Opin. Drug Discov. 2022, 17, 1159–1171. [Google Scholar] [CrossRef]
- Buller, R.; Lutz, S.; Kazlauskas, R.J.; Snajdrova, R.; Moore, J.C.; Bornscheuer, U.T. From nature to industry: Harnessing enzymes for biocatalysis. Science 2023, 382, eadh8615. [Google Scholar] [CrossRef]
- Rossino, G.; Robescu, M.S.; Licastro, E.; Tedesco, C.; Martello, I.; Maffei, L.; Vincenti, G.; Bavaro, T.; Collina, S. Biocatalysis: A smart and green tool for the preparation of chiral drugs. Chirality 2022, 34, 1403–1418. [Google Scholar] [CrossRef]
- Wang, X.D.; Saba, T.; Yiu, H.H.P.; Howe, R.F.; Anderson, J.A.; Shi, J.F. Cofactor NAD(P)H Regeneration Inspired by Heterogeneous Pathways. Chem 2017, 2, 621–654. [Google Scholar] [CrossRef]
- Lewis, R.D.; France, S.P.; Martinez, C.A. Emerging Technologies for Biocatalysis in the Pharmaceutical Industry. ACS Catal. 2023, 13, 5571–5577. [Google Scholar] [CrossRef]
- Swati; Pathania, S.; Rawal, R.K. Current prospective of green chemistry in the pharmaceutical industry. In Green Sustainable Process for Chemical and Environmental Engineering and Science; Elsevier: Amsterdam, The Netherlands, 2023; pp. 419–450. [Google Scholar]
- De Santis, P.; Meyer, L.-E.; Kara, S. The rise of continuous flow biocatalysis–fundamentals, very recent developments and future perspectives. React. Chem. Eng. 2020, 5, 2155–2184. [Google Scholar] [CrossRef]
- Tamborini, L.; Fernandes, P.; Paradisi, F.; Molinari, F. Flow Bioreactors as Complementary Tools for Biocatalytic Process Intensification. Trends Biotechnol. 2018, 36, 73–88. [Google Scholar] [CrossRef]
- Žnidaršič-Plazl, P. Biocatalytic process intensification via efficient biocatalyst immobilization, miniaturization, and process integration. Curr. Opin. Green Sustain. Chem. 2021, 32, 100546. [Google Scholar] [CrossRef]
- Rocha, R.A.; Speight, R.E.; Scott, C. Engineering Enzyme Properties for Improved Biocatalytic Processes in Batch and Continuous Flow. Org. Process Res. Dev. 2022, 26, 1914–1924. [Google Scholar] [CrossRef]
- Carrea, G.; Riva, S. Medium Engineering. In Asymmetric Organic Synthesis with Enzymes; John Wiley & Sons: Hoboken, NJ, USA, 2008; pp. 1–20. [Google Scholar]
- Sheldon, R.A.; Pereira, P.C. Biocatalysis engineering: The big picture. Chem. Soc. Rev. 2017, 46, 2678–2691. [Google Scholar] [CrossRef]
- Prat, D.; Hayler, J.; Wells, A. A survey of solvent selection guides. Green Chem. 2014, 16, 4546–4551. [Google Scholar] [CrossRef]
- Henderson, R.K.; Jiménez-González, C.; Constable, D.J.C.; Alston, S.R.; Inglis, G.G.A.; Fisher, G.; Sherwood, J.; Binks, S.P.; Curzons, A.D. Expanding GSK’s solvent selection guide—Embedding sustainability into solvent selection starting at medicinal chemistry. Green Chem. 2011, 13, 854–862. [Google Scholar] [CrossRef]
- France, S.P.; Lewis, R.D.; Martinez, C.A. The Evolving Nature of Biocatalysis in Pharmaceutical Research and Development. JACS Au 2023, 3, 715–735. [Google Scholar] [CrossRef]
- Hessel, V.; Tran, N.N.; Asrami, M.R.; Tran, Q.D.; Van Duc Long, N.; Escribà-Gelonch, M.; Tejada, J.O.; Linke, S.; Sundmacher, K. Sustainability of green solvents—Review and perspective. Green Chem. 2022, 24, 410–437. [Google Scholar] [CrossRef]
- Holtmann, D.; Hollmann, F. Is water the best solvent for biocatalysis? Mol. Catal. 2022, 517, 112035. [Google Scholar] [CrossRef]
- Hollmann, F.; Opperman, D.J.; Paul, C.E. Biocatalytic Reduction Reactions from a Chemist’s Perspective. Angew. Chem. Int. Ed. 2021, 60, 5644–5665. [Google Scholar] [CrossRef]
- Krell, C.; Schreiber, R.; Hueber, L.; Sciascera, L.; Zheng, X.M.; Clarke, A.; Haenggi, R.; Parmentier, M.; Baguia, H.; Rodde, S.; et al. Strategies to Tackle the Waste Water from α-Tocopherol-Derived Surfactant Chemistry. Org. Process Res. Dev. 2021, 25, 900–915. [Google Scholar] [CrossRef]
- Ni, Y.; Holtmann, D.; Hollmann, F. How Green is Biocatalysis? To Calculate is To Know. ChemCatChem 2014, 6, 930–943. [Google Scholar] [CrossRef]
- Sheldon, R.A. Biocatalysis, solvents, and green metrics in sustainable chemistry. In Biocatalysis in Green Solvents; Lozano, P., Ed.; Elsevier Inc.: Amsterdam, The Netherlands, 2022; pp. 1–22. [Google Scholar]
- Tieves, F.; Tonin, F.; Fernández-Fueyo, E.; Robbins, J.M.; Bommarius, B.; Bommarius, A.S.; Alcalde, M.; Hollmann, F. Energising the E-factor: The E+-factor. Tetrahedron 2019, 75, 1311–1314. [Google Scholar] [CrossRef]
- Domínguez de María, P.; Kara, S.; Gallou, F. Biocatalysis in Water or in Non-Conventional Media? Adding the CO2 Production for the Debate. Molecules 2023, 28, 6452. [Google Scholar] [CrossRef]
- Onken, U.; Koettgen, A.; Scheidat, H.; Schueepp, P.; Gallou, F. Environmental Metrics to Drive a Cultural Change: Our Green Eco-Label. Chimia 2019, 73, 730–736. [Google Scholar] [CrossRef]
- Sheldon, R.A.; Bode, M.L.; Akakios, S.G. Metrics of green chemistry: Waste minimization. Curr. Opin. Green Sustain. Chem. 2022, 33, 100569. [Google Scholar] [CrossRef]
- Domínguez de María, P.; Hollmann, F. On the (Un)greenness of Biocatalysis: Some Challenging Figures and Some Promising Options. Front. Microbiol. 2015, 6, 1257. [Google Scholar] [CrossRef]
- Ciriminna, R.; Pagliaro, M. Green Chemistry in the Fine Chemicals and Pharmaceutical Industries. Org. Process Res. Dev. 2013, 17, 1479–1484. [Google Scholar] [CrossRef]
- Nieto, S.; Villa, R.; Donaire, A.; Lozano, P. Nonconventional biocatalysis: From organic solvents to green solvents. In Biocatalysis in Green Solvents; Lozano, P., Ed.; Academic Press: Cambridge, MA, USA, 2022; pp. 23–55. [Google Scholar]
- Illanes, A. CHAPTER 3: Biocatalysis in Organic Media. In White Biotechnology for Sustainable Chemistry; Coelho, M.A., Ribeiro, B.D., Eds.; Green Chemistry Series; The Royal Society of Chemistry: London, UK, 2015; pp. 36–51. [Google Scholar]
- Petermeier, P.; Bittner, J.P.; Müller, S.; Byström, E.; Kara, S. Design of a green chemoenzymatic cascade for scalable synthesis of bio-based styrene alternatives. Green Chem. 2022, 24, 6889–6899. [Google Scholar] [CrossRef]
- Klibanov, A.M. Enzymatic catalysis in anhydrous organic solvents. Trends Biochem. Sci. 1989, 14, 141–144. [Google Scholar] [CrossRef]
- Zaks, A.; Klibanov, A.M. Enzymatic Catalysis in Nonaqueous Solvents. J. Biol. Chem. 1988, 263, 3194–3201. [Google Scholar] [CrossRef]
- Domínguez de María, P. Biocatalysis, sustainability, and industrial applications: Show me the metrics. Curr. Opin. Green Sustain. Chem. 2021, 31, 100514. [Google Scholar] [CrossRef]
- Calvo-Flores, F.G.; Monteagudo-Arrebola, M.J.; Dobado, J.A.; Isac-Garcia, J. Green and Bio-Based Solvents. Top. Curr. Chem. 2018, 376, 18. [Google Scholar] [CrossRef]
- Abbott, A.P.; Capper, G.; Davies, D.L.; Rasheed, R.K.; Tambyrajah, V. Novel solvent properties of choline chloride/urea mixtures. Chem. Commun. 2003, 39, 70–71. [Google Scholar] [CrossRef]
- Smith, E.L.; Abbott, A.P.; Ryder, K.S. Deep eutectic solvents (DESs) and their applications. Chem. Rev. 2014, 114, 11060–11082. [Google Scholar] [CrossRef]
- Hansen, B.B.; Spittle, S.; Chen, B.; Poe, D.; Zhang, Y.; Klein, J.M.; Horton, A.; Adhikari, L.; Zelovich, T.; Doherty, B.W.; et al. Deep Eutectic Solvents: A Review of Fundamentals and Applications. Chem. Rev. 2021, 121, 1232–1285. [Google Scholar] [CrossRef]
- Abbott, A.P.; Barron, J.C.; Ryder, K.S.; Wilson, D. Eutectic-based ionic liquids with metal-containing anions and cations. Chem. Eur. J. 2007, 13, 6495–6501. [Google Scholar] [CrossRef]
- Abranches, D.O.; Martins, M.A.R.; Silva, L.P.; Schaeffer, N.; Pinho, S.P.; Coutinho, J.A.P. Phenolic hydrogen bond donors in the formation of non-ionic deep eutectic solvents: The quest for type V DES. Chem. Commun. 2019, 55, 10253–10256. [Google Scholar] [CrossRef]
- Paiva, A.; Craveiro, R.; Aroso, I.; Martins, M.; Reis, R.L.; Duarte, A.R.C. Natural Deep Eutectic Solvents—Solvents for the 21st Century. ACS Sustain. Chem. Eng. 2014, 2, 1063–1071. [Google Scholar] [CrossRef]
- van Osch, D.J.G.P.; Dietz, C.H.J.T.; van Spronsen, J.; Kroon, M.C.; Gallucci, F.; van Sint Annaland, M.; Tuinier, R. A Search for Natural Hydrophobic Deep Eutectic Solvents Based on Natural Components. ACS Sustain. Chem. Eng. 2019, 7, 2933–2942. [Google Scholar] [CrossRef]
- Longeras, O.; Gautier, A.; Ballerat-Busserolles, K.; Andanson, J.-M. Deep Eutectic Solvent with Thermo-Switchable Hydrophobicity. ACS Sustain. Chem. Eng. 2020, 8, 12516–12520. [Google Scholar] [CrossRef]
- van Osch, D.J.G.P.; Dietz, C.H.J.T.; Warrag, S.E.E.; Kroon, M.C. The Curious Case of Hydrophobic Deep Eutectic Solvents: A Story on the Discovery, Design, and Applications. ACS Sustain. Chem. Eng. 2020, 8, 10591–10612. [Google Scholar] [CrossRef]
- Cao, J.; Su, E. Hydrophobic deep eutectic solvents: The new generation of green solvents for diversified and colorful applications in green chemistry. J. Clean. Prod. 2021, 314, 127965. [Google Scholar] [CrossRef]
- Li, D. Natural deep eutectic solvents in phytonutrient extraction and other applications. Front. Plant Sci. 2022, 13, 1004332. [Google Scholar] [CrossRef] [PubMed]
- Gorke, J.T.; Srienc, F.; Kazlauskas, R.J. Hydrolase-catalyzed biotransformations in deep eutectic solvents. Chem. Commun. 2008, 10, 1235–1237. [Google Scholar] [CrossRef]
- Singh, M.B.; Kumar, V.S.; Chaudhary, M.; Singh, P. A mini review on synthesis, properties and applications of deep eutectic solvents. J. Indian Chem. Soc. 2021, 98, 100210. [Google Scholar] [CrossRef]
- Abo-Hamad, A.; Hayyan, M.; AlSaadi, M.A.; Hashim, M.A. Potential applications of deep eutectic solvents in nanotechnology. Chem. Eng. J. 2015, 273, 551–567. [Google Scholar] [CrossRef]
- Cheng, F.-F.; Zhu, J.-N.; Zhao, M.-Y.; Ma, Z.-J.; Xiong, W.-W. Preparing transition metal-organic frameworks based on oxalate-sulfate anions in deep eutectic solvents. J. Solid State Chem. 2019, 278, 120904. [Google Scholar] [CrossRef]
- Majid, M.F.; Mohd Zaid, H.F.; Kait, C.F.; Jumbri, K.; Yuan, L.C.; Rajasuriyan, S. Futuristic advance and perspective of deep eutectic solvent for extractive desulfurization of fuel oil: A review. J. Mol. Liq. 2020, 306, 112870. [Google Scholar] [CrossRef]
- Hong, S.; Lian, H.; Sun, X.; Pan, D.; Carranza, A.; Pojman, J.A.; Mota-Morales, J.D. Zinc-based deep eutectic solvent-mediated hydroxylation and demethoxylation of lignin for the production of wood adhesive. RSC Adv. 2016, 6, 89599–89608. [Google Scholar] [CrossRef]
- Hong, S.; Yuan, Y.; Yang, Q.; Chen, L.; Deng, J.; Chen, W.; Lian, H.; Mota-Morales, J.D.; Liimatainen, H. Choline chloride-zinc chloride deep eutectic solvent mediated preparation of partial O-acetylation of chitin nanocrystal in one step reaction. Carbohydr. Polym. 2019, 220, 211–218. [Google Scholar] [CrossRef]
- Di Carmine, G.; Abbott, A.P.; D’Agostino, C. Deep eutectic solvents: Alternative reaction media for organic oxidation reactions. React. Chem. Eng. 2021, 6, 582–598. [Google Scholar] [CrossRef]
- Perna, F.M.; Vitale, P.; Capriati, V. Deep eutectic solvents and their applications as green solvents. Curr. Opin. Green Sustain. Chem. 2020, 21, 27–33. [Google Scholar] [CrossRef]
- Radović, M.; Hok, L.; Panić, M.; Cvjetko Bubalo, M.; Vianello, R.; Vinković, M.; Radojčić Redovniković, I. Deep eutectic solvents as a stabilising medium for NAD coenzyme: Unravelling the mechanism behind coenzyme stabilisation effect. Green Chem. 2022, 24, 7661–7674. [Google Scholar] [CrossRef]
- Panić, M.; Bubalo, M.C.; Redovniković, I.R. Designing a biocatalytic process involving deep eutectic solvents. J. Chem. Technol. Biotechnol. 2021, 96, 14–30. [Google Scholar] [CrossRef]
- Liu, Y.; Friesen, J.B.; McAlpine, J.B.; Lankin, D.C.; Chen, S.N.; Pauli, G.F. Natural Deep Eutectic Solvents: Properties, Applications, and Perspectives. J. Nat. Prod. 2018, 81, 679–690. [Google Scholar] [CrossRef] [PubMed]
- Toledo, M.L.; Pereira, M.M.; Freire, M.G.; Silva, J.P.A.; Coutinho, J.A.P.; Tavares, A.P.M. Laccase Activation in Deep Eutectic Solvents. ACS Sustain. Chem. Eng. 2019, 7, 11806–11814. [Google Scholar] [CrossRef]
- Zaib, Q.; Eckelman, M.J.; Yang, Y.; Kyung, D. Are deep eutectic solvents really green? A life-cycle perspective. Green Chem. 2022, 24, 7924–7930. [Google Scholar] [CrossRef]
- Zhang, Q.; De Oliveira Vigier, K.; Royer, S.; Jerome, F. Deep eutectic solvents: Syntheses, properties and applications. Chem. Soc. Rev. 2012, 41, 7108–7146. [Google Scholar] [CrossRef]
- Liu, P.; Hao, J.W.; Mo, L.P.; Zhang, Z.H. Recent advances in the application of deep eutectic solvents as sustainable media as well as catalysts in organic reactions. RSC Adv. 2015, 5, 48675–48704. [Google Scholar] [CrossRef]
- Domínguez de María, P.; Guajardo, N.; González-Sabín, J. Recent granted patents related to Deep Eutectic Solvents. Curr. Opin. Green Sustain. Chem. 2022, 38, 100712. [Google Scholar] [CrossRef]
- Kalhor, P.; Ghandi, K. Deep Eutectic Solvents for Pretreatment, Extraction, and Catalysis of Biomass and Food Waste. Molecules 2019, 24, 4012. [Google Scholar] [CrossRef] [PubMed]
- Xu, P.; Zheng, G.W.; Zong, M.H.; Li, N.; Lou, W.Y. Recent progress on deep eutectic solvents in biocatalysis. Bioresour. Bioprocess. 2017, 4, 34. [Google Scholar] [CrossRef]
- Pätzold, M.; Siebenhaller, S.; Kara, S.; Liese, A.; Syldatk, C.; Holtmann, D. Deep Eutectic Solvents as Efficient Solvents in Biocatalysis. Trends Biotechnol. 2019, 37, 943–959. [Google Scholar] [CrossRef]
- Paul, C.E.; Gotor-Fernández, V. Applied biocatalysis in deep eutectic solvents. In Biocatalysis in Green Solvents; Lozano, P., Ed.; Elsevier Inc.: Amsterdam, The Netherlands, 2022; pp. 467–510. [Google Scholar]
- Domínguez de María, P.; Guajardo, N.; Kara, S. Enzyme Catalysis: In DES, with DES, and in the Presence of DES. In Deep Eutectic Solvents: Synthesis, Properties, and Applications; Ramón, D.J., Guillena, G., Eds.; Wiley-VCH Verlag GmbH: Weinheim, Germany, 2019; pp. 257–271. [Google Scholar]
- Zhang, N.; Steininger, F.; Meyer, L.-E.; Koren, K.; Kara, S. Can Deep Eutectic Solvents Sustain Oxygen-Dependent Bioprocesses?—Measurements of Oxygen Transfer Rates. ACS Sustain. Chem. Eng. 2021, 9, 8347–8353. [Google Scholar] [CrossRef]
- Guajardo, N.; Domínguez de María, P.; Ahumada, K.; Schrebler, R.A.; Ramírez-Tagle, R.; Crespo, F.A.; Carlesi, C. Water as Cosolvent: Nonviscous Deep Eutectic Solvents for Efficient Lipase-Catalyzed Esterifications. ChemCatChem 2017, 9, 1393–1396. [Google Scholar] [CrossRef]
- Weng, L.; Toner, M. Janus-faced role of water in defining nanostructure of choline chloride/glycerol deep eutectic solvent. Phys. Chem. Chem. Phys. 2018, 20, 22455–22462. [Google Scholar] [CrossRef] [PubMed]
- Hammond, O.S.; Bowron, D.T.; Edler, K.J. The Effect of Water upon Deep Eutectic Solvent Nanostructure: An Unusual Transition from Ionic Mixture to Aqueous Solution. Angew. Chem. Int. Ed. 2017, 56, 9782–9785. [Google Scholar] [CrossRef] [PubMed]
- Hassani, F.Z.I.M.; Lavandera, I.; Kreit, J. Stabilizing Effects of Deep Eutectic Solvents on Alcohol Dehydrogenase Mediated Systems. Int. J. Biol. Biomed. Eng. 2016, 10, 829. [Google Scholar]
- Durand, E.; Lecomte, J.; Villeneuve, P. Deep eutectic solvents: Synthesis, application, and focus on lipase-catalyzed reactions. Eur. J. Lipid Sci. Technol. 2013, 115, 379–385. [Google Scholar] [CrossRef]
- Daneshjou, S.; Khodaverdian, S.; Dabirmanesh, B.; Rahimi, F.; Daneshjoo, S.; Ghazi, F.; Khajeh, K. Improvement of chondroitinases ABCI stability in natural deep eutectic solvents. J. Mol. Liq. 2017, 227, 21–25. [Google Scholar] [CrossRef]
- Wu, B.P.; Wen, Q.; Xu, H.; Yang, Z. Insights into the impact of deep eutectic solvents on horseradish peroxidase: Activity, stability and structure. J. Mol. Catal. B Enzym. 2014, 101, 101–107. [Google Scholar] [CrossRef]
- Papadopoulou, A.A.; Efstathiadou, E.; Patila, M.; Polydera, A.C.; Stamatis, H. Deep Eutectic Solvents as Media for Peroxidation Reactions Catalyzed by Heme-Dependent Biocatalysts. Ind. Eng. Chem. Res. 2016, 55, 5145–5151. [Google Scholar] [CrossRef]
- Gajardo-Parra, N.F.; Meneses, L.; Duarte, A.R.C.; Paiva, A.; Held, C. Assessing the Influence of Betaine-Based Natural Deep Eutectic Systems on Horseradish Peroxidase. ACS Sustain. Chem. Eng. 2022, 10, 12873–12881. [Google Scholar] [CrossRef]
- Bittner, J.P.; Zhang, N.; Huang, L.; Domínguez de María, P.; Jakobtorweihen, S.; Kara, S. Impact of deep eutectic solvents (DESs) and individual DES components on alcohol dehydrogenase catalysis: Connecting experimental data and molecular dynamics simulations. Green Chem. 2022, 24, 1120–1131. [Google Scholar] [CrossRef]
- Gajardo-Parra, N.F.; Rodríguez, G.; Arroyo-Avirama, A.F.; Veliju, A.; Happe, T.; Canales, R.I.; Sadowski, G.; Held, C. Impact of Deep Eutectic Solvents on Kinetics and Folding Stability of Formate Dehydrogenase. Processes 2023, 11, 2815. [Google Scholar] [CrossRef]
- Huang, L.; Bittner, J.P.; Domínguez de María, P.; Jakobtorweihen, S.; Kara, S. Modeling Alcohol Dehydrogenase Catalysis in Deep Eutectic Solvent/Water Mixtures. ChemBioChem 2020, 21, 811–817. [Google Scholar] [CrossRef] [PubMed]
- Milano, F.; Giotta, L.; Guascito, M.R.; Agostiano, A.; Sblendorio, S.; Valli, L.; Perna, F.M.; Cicco, L.; Trotta, M.; Capriati, V. Functional Enzymes in Nonaqueous Environment: The Case of Photosynthetic Reaction Centers in Deep Eutectic Solvents. ACS Sustain. Chem. Eng. 2017, 5, 7768–7776. [Google Scholar] [CrossRef]
- Schweiger, A.K.; Ríos-Lombardía, N.; Winkler, C.K.; Schmidt, S.; Morís, F.; Kroutil, W.; González-Sabín, J.; Kourist, R. Using Deep Eutectic Solvents to Overcome Limited Substrate Solubility in the Enzymatic Decarboxylation of Bio-Based Phenolic Acids. ACS Sustain. Chem. Eng. 2019, 7, 16364–16370. [Google Scholar] [CrossRef]
- Palmelund, H.; Andersson, M.P.; Asgreen, C.J.; Boyd, B.J.; Rantanen, J.; Lobmann, K. Tailor-made solvents for pharmaceutical use? Experimental and computational approach for determining solubility in deep eutectic solvents (DES). Int. J. Pharm. X 2019, 1, 100034. [Google Scholar] [CrossRef]
- Chen, Y.F.; Ai, N.; Li, G.H.; Shan, H.F.; Cui, Y.H.; Deng, D.S. Solubilities of Carbon Dioxide in Eutectic Mixtures of Choline Chloride and Dihydric Alcohols. J. Chem. Eng. Data 2014, 59, 1247–1253. [Google Scholar] [CrossRef]
- Arnodo, D.; Maffeis, E.; Marra, F.; Nejrotti, S.; Prandi, C. Combination of Enzymes and Deep Eutectic Solvents as Powerful Toolbox for Organic Synthesis. Molecules 2023, 28, 516. [Google Scholar] [CrossRef]
- Ünlü, A.E.; Prasad, B.; Anavekar, K.; Bubenheim, P.; Liese, A. The effect of natural deep eutectic solvents on laccase activity and oligomerization of rutin. Biocatal. Biotransform. 2022, 41, 353–366. [Google Scholar] [CrossRef]
- Pohnlein, M.; Ulrich, J.; Kirschhofer, F.; Nusser, M.; Muhle-Goll, C.; Kannengiesser, B.; Brenner-Weiss, G.; Luy, B.; Liese, A.; Syldatk, C.; et al. Lipase-catalyzed synthesis of glucose-6-O-hexanoate in deep eutectic solvents. Eur. J. Lipid Sci. Technol. 2015, 117, 161–166. [Google Scholar] [CrossRef]
- Nieto, S.; Bernal, J.M.; Villa, R.; García-Verdugo, E.; Donaire, A.; Lozano, P. Sustainable Setups for the Biocatalytic Production and Scale-Up of Panthenyl Monoacyl Esters under Solvent-Free Conditions. ACS Sustain. Chem. Eng. 2023, 11, 5737–5747. [Google Scholar] [CrossRef]
- Cao, J.; Wu, R.; Zhu, F.; Dong, Q.; Su, E. How to improve the efficiency of biocatalysis in non-aqueous pure deep eutectic solvents: A case study on the lipase-catalyzed transesterification reaction. Biochem. Eng. J. 2022, 179, 108336. [Google Scholar] [CrossRef]
- Chanquía, S.N.; Huang, L.; Liñares, G.G.; Domínguez de María, P.; Kara, S. Deep Eutectic Solvents as Smart Cosubstrate in Alcohol Dehydrogenase-Catalyzed Reductions. Catalysts 2020, 10, 1013. [Google Scholar] [CrossRef]
- Patzold, M.; Burek, B.O.; Liese, A.; Bloh, J.Z.; Holtmann, D. Product recovery of an enzymatically synthesized (−)-menthol ester in a deep eutectic solvent. Bioprocess Biosyst. Eng. 2019, 42, 1385–1389. [Google Scholar] [CrossRef] [PubMed]
- Hümmer, M.; Kara, S.; Liese, A.; Huth, I.; Schrader, J.; Holtmann, D. Synthesis of (−)-menthol fatty acid esters in and from (−)-menthol and fatty acids—Novel concept for lipase catalyzed esterification based on eutectic solvents. Mol. Catal. 2018, 458, 67–72. [Google Scholar] [CrossRef]
- Weiz, G.; Braun, L.; Lopez, R.; Domínguez de María, P.; Breccia, J.D. Enzymatic deglycosylation of flavonoids in deep eutectic solvents-aqueous mixtures: Paving the way for sustainable flavonoid chemistry. J. Mol. Catal. B Enzym. 2016, 130, 70–73. [Google Scholar] [CrossRef]
- Buzatu, A.R.; Soler, M.A.; Fortuna, S.; Ozkilinc, O.; Dreavă, D.M.; Bîtcan, I.; Badea, V.; Giannozzi, P.; Fogolari, F.; Gardossi, L.; et al. Reactive natural deep eutectic solvents increase selectivity and efficiency of lipase catalyzed esterification of carbohydrate polyols. Catal. Today 2024, 426, 114373. [Google Scholar] [CrossRef]
- Hollenbach, R.; Delavault, A.; Gebhardt, L.; Soergel, H.; Muhle-Goll, C.; Ochsenreither, K.; Syldatk, C. Lipase-Mediated Mechanoenzymatic Synthesis of Sugar Esters in Dissolved Unconventional and Neat Reaction Systems. ACS Sustain. Chem. Eng. 2022, 10, 10192–10202. [Google Scholar] [CrossRef]
- Krystof, M.; Perez-Sanchez, M.; Domínguez de María, P. Lipase-catalyzed (trans)esterification of 5-hydroxy- methylfurfural and separation from HMF esters using deep-eutectic solvents. ChemSusChem 2013, 6, 630–634. [Google Scholar] [CrossRef] [PubMed]
- Semproli, R.; Chanquia, S.N.; Bittner, J.P.; Müller, S.; Domínguez de María, P.; Kara, S.; Ubiali, D. Deep Eutectic Solvents for the Enzymatic Synthesis of Sugar Esters: A Generalizable Strategy? ACS Sustain. Chem. Eng. 2023, 11, 5926–5936. [Google Scholar] [CrossRef]
- Silvianti, F.; Maniar, D.; Boetje, L.; Woortman, A.J.J.; van Dijken, J.; Loos, K. Greener Synthesis Route for Furanic-Aliphatic Polyester: Enzymatic Polymerization in Ionic Liquids and Deep Eutectic Solvents. ACS Polym. Au 2023, 3, 82–95. [Google Scholar] [CrossRef]
- Ma, Y.; Li, P.; Li, Y.; Willot, S.J.; Zhang, W.; Ribitsch, D.; Choi, Y.H.; Verpoorte, R.; Zhang, T.; Hollmann, F.; et al. Natural Deep Eutectic Solvents as Multifunctional Media for the Valorization of Agricultural Wastes. ChemSusChem 2019, 12, 1310–1315. [Google Scholar] [CrossRef]
- Sanchez-Leija, R.J.; Torres-Lubian, J.R.; Resendiz-Rubio, A.; Luna-Barcenas, G.; Mota-Morales, J.D. Enzyme-mediated free radical polymerization of acrylamide in deep eutectic solvents. RSC Adv. 2016, 6, 13072–13079. [Google Scholar] [CrossRef]
- He, Y.; Li, K.; Wang, J.; Xu, L.; Yan, J.; Yang, M.; Yan, Y. A novel strategy for biodiesel production by combination of liquid lipase, deep eutectic solvent and ultrasonic-assistance in scaled-up reactor: Optimization and kinetics. J. Clean. Prod. 2022, 372, 133740. [Google Scholar] [CrossRef]
- Kleiner, B.; Fleischer, P.; Schörken, U. Biocatalytic synthesis of biodiesel utilizing deep eutectic solvents: A two-step-one-pot approach with free lipases suitable for acidic and used oil processing. Process Biochem. 2016, 51, 1808–1816. [Google Scholar] [CrossRef]
- Zhao, H.; Zhang, C.; Crittle, T.D. Choline-based deep eutectic solvents for enzymatic preparation of biodiesel from soybean oil. J. Mol. Catal. B Enzym. 2013, 85–86, 243–247. [Google Scholar] [CrossRef]
- Zhao, H.; Baker, G.A.; Holmes, S. New eutectic ionic liquids for lipase activation and enzymatic preparation of biodiesel. Org. Biomol. Chem. 2011, 9, 1908–1916. [Google Scholar] [CrossRef]
- Chanquia, S.N.; Benfeldt, F.V.; Petrovai, N.; Santner, P.; Hollmann, F.; Eser, B.E.; Kara, S. Immobilization and Application of Fatty Acid Photodecarboxylase in Deep Eutectic Solvents. ChemBioChem 2022, 23, e202200482. [Google Scholar] [CrossRef] [PubMed]
- Vidal, L.S.; Kelly, C.L.; Mordaka, P.M.; Heap, J.T. Review of NAD(P)H-dependent oxidoreductases: Properties, engineering and application. Biochim. Biophys. Acta Proteins Proteom. 2018, 1866, 327–347. [Google Scholar] [CrossRef] [PubMed]
- Martinez, A.T.; Ruiz-Duenas, F.J.; Camarero, S.; Serrano, A.; Linde, D.; Lund, H.; Vind, J.; Tovborg, M.; Herold-Majumdar, O.M.; Hofrichter, M.; et al. Oxidoreductases on their way to industrial biotransformations. Biotechnol. Adv. 2017, 35, 815–831. [Google Scholar] [CrossRef]
- de Gonzalo, G.; Paul, C.E. Recent trends in synthetic enzymatic cascades promoted by alcohol dehydrogenases. Curr. Opin. Green Sustain. Chem. 2021, 32, 100548. [Google Scholar] [CrossRef]
- Weckbecker, A.; Gröger, H.; Hummel, W. Regeneration of nicotinamide coenzymes: Principles and applications for the synthesis of chiral compounds. In Biosystems Engineering I: Creating Superior Biocatalysts; Wittmann, C., Krull, R., Eds.; Springer Berlin Heidelberg: Berlin/Heidelberg, Germany, 2010; pp. 195–242. [Google Scholar]
- Kara, S.; Schrittwieser, J.H.; Hollmann, F.; Ansorge-Schumacher, M.B. Recent trends and novel concepts in cofactor-dependent biotransformations. Appl. Microbiol. Biotechnol. 2014, 98, 1517–1529. [Google Scholar] [CrossRef] [PubMed]
- Hollmann, F.; Arends, I.W.C.E.; Buehler, K. Biocatalytic Redox Reactions for Organic Synthesis: Nonconventional Regeneration Methods. ChemCatChem 2010, 2, 762–782. [Google Scholar] [CrossRef]
- Roth, S.; Niese, R.; Muller, M.; Hall, M. Redox Out of the Box: Catalytic Versatility Across NAD(P)H-Dependent Oxidoreductases. Angew. Chem. Int. Ed. 2024, e202314740. [Google Scholar] [CrossRef] [PubMed]
- Zhang, N.; Müller, B.; Kirkeby, T.Ø.; Kara, S.; Loderer, C. Development of a Thioredoxin-Based Cofactor Regeneration System for NADPH-Dependent Oxidoreductases. ChemCatChem 2022, 14, e202101625. [Google Scholar] [CrossRef]
- Maugeri, Z.; Domínguez de María, P. Whole-Cell Biocatalysis in Deep-Eutectic-Solvents/Aqueous Mixtures. ChemCatChem 2014, 6, 1535–1537. [Google Scholar] [CrossRef]
- Gopal, M.R.; Dickey, R.M.; Butler, N.D.; Talley, M.R.; Nakamura, D.T.; Mohapatra, A.; Watson, M.P.; Chen, W.; Kunjapur, A.M. Reductive Enzyme Cascades for Valorization of Polyethylene Terephthalate Deconstruction Products. ACS Catal. 2023, 13, 4778–4789. [Google Scholar] [CrossRef]
- Cvjetko Bubalo, M.; Mazur, M.; Radošević, K.; Radojčić Redovniković, I. Baker’s yeast-mediated asymmetric reduction of ethyl 3-oxobutanoate in deep eutectic solvents. Process Biochem. 2015, 50, 1788–1792. [Google Scholar] [CrossRef]
- Vitale, P.; Abbinante, V.M.; Perna, F.M.; Salomone, A.; Cardellicchio, C.; Capriati, V. Unveiling the Hidden Performance of Whole Cells in the Asymmetric Bioreduction of Aryl-containing Ketones in Aqueous Deep Eutectic Solvents. Adv. Synth. Catal. 2017, 359, 1049–1057. [Google Scholar] [CrossRef]
- Xu, P.; Cheng, J.; Lou, W.Y.; Zong, M.H. Using deep eutectic solvents to improve the resolution of racemic 1-(4-methoxyphenyl)ethanol through Acetobacter sp. CCTCC M209061 cell-mediated asymmetric oxidation. RSC Adv. 2015, 5, 6357–6364. [Google Scholar] [CrossRef]
- Wei, P.; Liang, J.; Cheng, J.; Zong, M.H.; Lou, W.Y. Markedly improving asymmetric oxidation of 1-(4-methoxyphenyl) ethanol with Acetobacter sp. CCTCC M209061 cells by adding deep eutectic solvent in a two-phase system. Microb. Cell Fact. 2016, 15, 5. [Google Scholar] [CrossRef]
- Xu, P.; Xu, Y.; Li, X.F.; Zhao, B.Y.; Zong, M.H.; Lou, W.Y. Enhancing Asymmetric Reduction of 3-Chloropropiophenone with Immobilized Acetobacter sp. CCTCC M209061 Cells by Using Deep Eutectic Solvents as Cosolvents. ACS Sustain. Chem. Eng. 2015, 3, 718–724. [Google Scholar] [CrossRef]
- Xu, P.; Du, P.X.; Zong, M.H.; Li, N.; Lou, W.Y. Combination of deep eutectic solvent and ionic liquid to improve biocatalytic reduction of 2-octanone with Acetobacter pasteurianus GIM1.158 cell. Sci. Rep. 2016, 6, 26158. [Google Scholar] [CrossRef]
- Peng, F.; Chen, Q.-S.; Li, F.-Z.; Ou, X.-Y.; Zong, M.-H.; Lou, W.-Y. Using deep eutectic solvents to improve the biocatalytic reduction of 2-hydroxyacetophenone to (R)-1-phenyl-1,2-ethanediol by Kurthia gibsonii SC0312. Mol. Catal. 2020, 484, 110773. [Google Scholar] [CrossRef]
- Hillier, M.C.; Marcoux, J.F.; Zhao, D.; Grabowski, E.J.; McKeown, A.E.; Tillyer, R.D. Stereoselective formation of carbon-carbon bonds via SN2-displacement: Synthesis of substituted cycloalkyl[b]indoles. J. Org. Chem. 2005, 70, 8385–8394. [Google Scholar] [CrossRef]
- Hilborn, J.W.; Lu, Z.-H.; Jurgens, A.R.; Fang, Q.K.; Byers, P.; Wald, S.A.; Senanayake, C.H. A practical asymmetric synthesis of (R)-fluoxetine and its major metabolite (R)-norfluoxetine. Tetrahedron Lett. 2001, 42, 8919–8921. [Google Scholar] [CrossRef]
- Hillhouse, T.M.; Porter, J.H. A brief history of the development of antidepressant drugs: From monoamines to glutamate. Exp. Clin. Psychopharmacol. 2015, 23, 1–21. [Google Scholar] [CrossRef]
- Kamal, A.; Khanna, G.B.R.; Krishnaji, T.; Tekumalla, V.; Ramu, R. New chemoenzymatic pathway for β-adrenergic blocking agents. Tetrahedron Asymmetry 2005, 16, 1485–1494. [Google Scholar] [CrossRef]
- Maczka, W.; Winska, K.; Grabarczyk, M.; Zarowska, B. Yeast-Mediated Stereoselective Reduction of α-Acetylbutyrolactone. Appl. Sci. 2018, 8, 1334. [Google Scholar] [CrossRef]
- Panic, M.; Delac, D.; Roje, M.; Radojcic Redovnikovic, I.; Cvjetko Bubalo, M. Green asymmetric reduction of acetophenone derivatives: Saccharomyces cerevisiae and aqueous natural deep eutectic solvent. Biotechnol. Lett. 2019, 41, 253–262. [Google Scholar] [CrossRef] [PubMed]
- Chen, H.J.; Qian, F.; Lin, H.X.; Chen, W.Q.; Wang, P. Using Choline Chloride-Based DESs as Co-Solvent for 3,5-Bis(trifluoromethyl) Acetophenone Bioreduction with XS1012. Catalysts 2020, 10, 30. [Google Scholar] [CrossRef]
- Li, J.; Wang, P.; He, Y.S.; Zhu, Z.R.; Huang, J. Toward Designing a Novel Oligopeptide-Based Deep Eutectic Solvent: Applied in Biocatalytic Reduction. ACS Sustain. Chem. Eng. 2019, 7, 1318–1326. [Google Scholar] [CrossRef]
- Bi, S.D.; Liu, H.Y.; Lin, H.X.; Wang, P. Integration of natural deep-eutectic solvent and surfactant for efficient synthesis of chiral aromatic alcohol mediated by whole cells. Biochem. Eng. J. 2021, 172, 108053. [Google Scholar] [CrossRef]
- Müller, C.R.; Lavandera, I.; Gotor-Fernández, V.; Domínguez de María, P. Performance of Recombinant-Whole-Cell-Catalyzed Reductions in Deep-Eutectic-Solvent–Aqueous-Media Mixtures. ChemCatChem 2015, 7, 2654–2659. [Google Scholar] [CrossRef]
- Hassani, F.Z.I.; Amzazi, S.; Kreit, J.; Lavandera, I. Deep Eutectic Solvents as Media in Alcohol Dehydrogenase-Catalyzed Reductions of Halogenated Ketones. ChemCatChem 2020, 12, 832–836. [Google Scholar] [CrossRef]
- Dai, Y.; Huan, B.; Zhang, H.S.; He, Y.C. Effective Biotransformation of Ethyl 4-Chloro-3-Oxobutanoate into Ethyl (S)-4-Chloro-3-Hydroxybutanoate by Recombinant E. coli CCZU-T15 Whole Cells in [ChCl][Gly]-Water Media. Appl. Biochem. Biotechnol. 2017, 181, 1347–1359. [Google Scholar] [CrossRef]
- He, Y.S.; Huang, Q.Y.; Wang, P. Design and evaluation of novel bio-based deep eutectic solvents for highly efficient bioproduction of chiral aryl alcohol. J. Chem. Technol. Biotechnol. 2020, 95, 1980–1988. [Google Scholar] [CrossRef]
- Xia, N.; Xiong, L.; Bi, S.; Qian, F.; Wang, P. Development of biocompatible DES/NADES as co-solvents for efficient biosynthesis of chiral alcohols. Bioprocess Biosyst. Eng. 2020, 43, 1987–1997. [Google Scholar] [CrossRef] [PubMed]
- Zhuang, W.; Liu, H.; Zhang, Y.; He, J.; Wang, P. Effective asymmetric preparation of (R)-1-[3-(trifluoromethyl)phenyl]ethanol with recombinant E. coli whole cells in an aqueous Tween-20/natural deep eutectic solvent solution. AMB Express 2021, 11, 118. [Google Scholar] [CrossRef] [PubMed]
- Mourelle-Insua, A.; Lavandera, I.; Gotor-Fernández, V. A designer natural deep eutectic solvent to recycle the cofactor in alcohol dehydrogenase-catalysed processes. Green Chem. 2019, 21, 2946–2951. [Google Scholar] [CrossRef]
- Meyer, L.E.; Andersen, M.B.; Kara, S. A Deep Eutectic Solvent Thermomorphic Multiphasic System for Biocatalytic Applications. Angew. Chem. Int. Ed. 2022, 61, e202203823. [Google Scholar] [CrossRef]
- de Gonzalo, G.; Martin, C.; Fraaije, M.W. Positive Impact of Natural Deep Eutectic Solvents on the Biocatalytic Performance of 5-Hydroxymethyl-Furfural Oxidase. Catalysts 2020, 10, 447. [Google Scholar] [CrossRef]
- de Gonzalo, G.; Lončar, N.; Fraaije, M. Kinetic resolution of racemic benzofused alcohols catalysed by HMFO variants in presence of natural deep eutectic solvents. Biocatal. Biotransform. 2022, 41, 145–152. [Google Scholar] [CrossRef]
- Ma, Y.J.; Li, Y.R.; Ali, S.; Li, P.L.; Zhang, W.Y.; Rauch, M.C.R.; Willot, S.J.P.; Ribitsch, D.; Choi, Y.H.; Alcalde, M.; et al. Natural Deep Eutectic Solvents as Performance Additives for Peroxygenase Catalysis. ChemCatChem 2020, 12, 989–994. [Google Scholar] [CrossRef]
- Li, Y.; Ma, Y.; Li, P.; Zhang, X.; Ribitsch, D.; Alcalde, M.; Hollmann, F.; Wang, Y. Enantioselective Sulfoxidation of Thioanisole by Cascading a Choline Oxidase and a Peroxygenase in the Presence of Natural Deep Eutectic Solvents. ChemPlusChem 2020, 85, 254–257. [Google Scholar] [CrossRef]
- Ezgi Ünlü, A.; Prasad, B.; Anavekar, K.; Bubenheim, P.; Liese, A. Investigation of a green process for the polymerization of catechin. Prep. Biochem. Biotechnol. 2017, 47, 918–924. [Google Scholar] [CrossRef]
- Yang, Z.; Ye, W.; Xie, Y.; Liu, Q.; Chen, R.; Wang, H.; Wei, D. Efficient Asymmetric Synthesis of Ethyl (S)-4-Chloro-3-hydroxybutyrate Using Alcohol Dehydrogenase SmADH31 with High Tolerance of Substrate and Product in a Monophasic Aqueous System. Org. Process Res. Dev. 2020, 24, 1068–1076. [Google Scholar] [CrossRef]
- Klumbys, E.; Zebec, Z.; Weise, N.J.; Turner, N.J.; Scrutton, N.S. Bio-derived Production of Cinnamyl Alcohol via a Three Step Biocatalytic Cascade and Metabolic Engineering. Green Chem. 2019, 20, 658–663. [Google Scholar] [CrossRef] [PubMed]
- Kara, S.; Spickermann, D.; Schrittwieser, J.H.; Leggewie, C.; van Berkel, W.J.H.; Arends, I.W.C.E.; Hollmann, F. More efficient redox biocatalysis by utilising 1,4-butanediol as a ‘smart cosubstrate’. Green Chem. 2013, 15, 330–335. [Google Scholar] [CrossRef]
- Turek, M.; Szczesna, D.; Koprowski, M.; Balczewski, P. Synthesis of 1-indanones with a broad range of biological activity. Beilstein J. Org. Chem. 2017, 13, 451–494. [Google Scholar] [CrossRef]
- Anselmi, S.; Aggarwal, N.; Moody, T.S.; Castagnolo, D. Unconventional Biocatalytic Approaches to the Synthesis of Chiral Sulfoxides. ChemBioChem 2021, 22, 298–307. [Google Scholar] [CrossRef] [PubMed]
- Gomes, A.R.; Varela, C.L.; Tavares-da-Silva, E.J.; Roleira, F.M.F. Epoxide containing molecules: A good or a bad drug design approach. Eur. J. Med. Chem. 2020, 201, 112327. [Google Scholar] [CrossRef] [PubMed]
- Khlupova, M.; Vasil’eva, I.; Shumakovich, G.; Zaitseva, E.; Chertkov, V.; Shestakova, A.; Morozova, O.; Yaropolov, A. Enzymatic Polymerization of Dihydroquercetin (Taxifolin) in Betaine-Based Deep Eutectic Solvent and Product Characterization. Catalysts 2021, 11, 639. [Google Scholar] [CrossRef]
- Delorme, A.E.; Andanson, J.M.; Verney, V. Improving laccase thermostability with aqueous natural deep eutectic solvents. Int. J. Biol. Macromol. 2020, 163, 919–926. [Google Scholar] [CrossRef]
- Khodaverdian, S.; Dabirmanesh, B.; Heydari, A.; Dashtban-Moghadam, E.; Khajeh, K.; Ghazi, F. Activity, stability and structure of laccase in betaine based natural deep eutectic solvents. Int. J. Biol. Macromol. 2018, 107, 2574–2579. [Google Scholar] [CrossRef]
- Altundağ, A.; Ünlü, A.E.; Takaç, S. Deep eutectic solvent-assisted synthesis of polyaniline by laccase enzyme. J. Chem. Technol. Biotechnol. 2020, 96, 1107–1115. [Google Scholar] [CrossRef]
- Durand, E.; Lecomte, J.; Barea, B.; Piombo, G.; Dubreucq, E.; Villeneuve, P. Evaluation of deep eutectic solvents as new media for Candida antarctica B lipase catalyzed reactions. Process Biochem. 2012, 47, 2081–2089. [Google Scholar] [CrossRef]
- Kim, S.H.; Park, S.; Yu, H.; Kim, J.H.; Kim, H.J.; Yang, Y.H.; Kim, Y.H.; Kim, K.J.; Kan, E.; Lee, S.H. Effect of deep eutectic solvent mixtures on lipase activity and stability. J. Mol. Catal. B Enzym. 2016, 128, 65–72. [Google Scholar] [CrossRef]
- Juneidi, I.; Hayyan, M.; Hashim, M.A.; Hayyan, A. Pure and aqueous deep eutectic solvents for a lipase-catalysed hydrolysis reaction. Biochem. Eng. J. 2017, 117, 129–138. [Google Scholar] [CrossRef]
- Cao, J.; Wu, R.; Zhu, F.; Dong, Q.; Su, E. Enzymes in nearly anhydrous deep eutectic solvents: Insight into the biocompatibility and thermal stability. Enzyme Microb. Technol. 2022, 157, 110022. [Google Scholar] [CrossRef]
- Xu, W.-J.; Huang, Y.-K.; Li, F.; Wang, D.-D.; Yin, M.-N.; Wang, M.; Xia, Z.-N. Improving β-glucosidase biocatalysis with deep eutectic solvents based on choline chloride. Biochem. Eng. J. 2018, 138, 37–46. [Google Scholar] [CrossRef]
- Lindberg, D.; de la Fuente Revenga, M.; Widersten, M. Deep eutectic solvents (DESs) are viable cosolvents for enzyme-catalyzed epoxide hydrolysis. J. Biotechnol. 2010, 147, 169–171. [Google Scholar] [CrossRef] [PubMed]
- Zhao, H.; Baker, G.A.; Holmes, S. Protease activation in glycerol-based deep eutectic solvents. J. Mol. Catal. B Enzym. 2011, 72, 163–167. [Google Scholar] [CrossRef]
- Romano, A.; Varriale, S.; Pezzella, C.; Totaro, G.; Andanson, J.M.; Verney, V.; Sisti, L. Natural deep eutectic solvents as thermostabilizer for Humicola insolens cutinase. New Biotechnol. 2023, 76, 118–126. [Google Scholar] [CrossRef] [PubMed]
- Stepankova, V.; Vanacek, P.; Damborsky, J.; Chaloupkova, R. Comparison of catalysis by haloalkane dehalogenases in aqueous solutions of deep eutectic and organic solvents. Green Chem. 2014, 16, 2754–2761. [Google Scholar] [CrossRef]
- Cvjetko Bubalo, M.; Jurinjak Tušek, A.; VinkoviĿ, M.; RadoševiĿ, K.; Gaurina SrĿek, V.; RadojĿiĿ RedovnikoviĿ, I. Cholinium-based deep eutectic solvents and ionic liquids for lipase-catalyzed synthesis of butyl acetate. J. Mol. Catal. B Enzym. 2015, 122, 188–198. [Google Scholar] [CrossRef]
- Jawale, P.V.; Bhanage, B.M. Synthesis of decanoate compounds in deep eutectic solvent using lipase: Optimization using response surface methodology, kinetic and docking study. J. Indian Chem. Soc. 2023, 100, 100950. [Google Scholar] [CrossRef]
- Noro, J.; Cabo, J.; Freitas, D.S.; Roque, C.S.; de Castro, M.; Cavaco-Paulo, A.; Silva, C. Deep Eutectic Solvents as Suitable Solvents for Lipase-Catalyzed Transesterification Reactions. ChemSusChem 2023, 16, e202300615. [Google Scholar] [CrossRef]
- Huang, Z.L.; Wu, B.P.; Wen, Q.; Yang, T.X.; Yang, Z. Deep eutectic solvents can be viable enzyme activators and stabilizers. J. Chem. Technol. Biotechnol. 2014, 89, 1975–1981. [Google Scholar] [CrossRef]
- Šalić, A.; Ljubić, A.; Marčinko, T.; Jurinjak Tušek, A.; Cvjetko Bubalo, M.; Tišma, M.; Zelić, B. Shifting the natural deep eutectic solvent based liquid lipase extraction from batch to continuous for more efficient process performance. J. Clean. Prod. 2023, 405, 136899. [Google Scholar] [CrossRef]
- Freitas, D.S.; Quesado, V.; Rocha, D.; Noro, J.; Martins, M.; Cavaco-Paulo, A.; Silva, C. Lipase-Catalysed Polymerization of Eutectic Mixtures. ChemSusChem 2023, 16, e202202374. [Google Scholar] [CrossRef]
- Yang, S.L.; Duan, Z.Q. Insight into enzymatic synthesis of phosphatidylserine in deep eutectic solvents. Catal. Commun. 2016, 82, 16–19. [Google Scholar] [CrossRef]
- Borse, B.N.; Borude, V.S.; Shukla, S.R. Synthesis of novel dihydropyrimidin-2(1h)-ones derivatives using lipase and their antimicrobial activity. Curr. Chem. Lett. 2012, 1, 59–68. [Google Scholar] [CrossRef]
- Guajardo, N.; Schrebler, R.A.; Domínguez de María, P. From batch to fed-batch and to continuous packed-bed reactors: Lipase-catalyzed esterifications in low viscous deep-eutectic-solvents with buffer as cosolvent. Bioresour. Technol. 2019, 273, 320–325. [Google Scholar] [CrossRef]
- Allegretti, C.; Gatti, F.G.; Marzorati, S.; Rossato, L.A.M.; Serra, S.; Strini, A.; D’Arrigo, P. Reactive Deep Eutectic Solvents (RDESs): A New Tool for Phospholipase D-Catalyzed Preparation of Phospholipids. Catalysts 2021, 11, 655. [Google Scholar] [CrossRef]
- Cheng, Q.B.; Zhang, L.W. Highly Efficient Enzymatic Preparation of Daidzein in Deep Eutectic Solvents. Molecules 2017, 22, 186. [Google Scholar] [CrossRef]
- Jin, W.; Wang, K.; Xu, X.; Xu, Y.; Li, F.; Ji, Q.; Chen, X.; Yu, X. High efficiency production of ferulic acid using feruloyl esterase and xylanase in deep eutectic solvents. New J. Chem. 2023, 47, 17599–17606. [Google Scholar] [CrossRef]
- Arndt, S.; Kohlpaintner, P.J.; Donsbach, K.; Waldvogel, S.R. Synthesis and Applications of Periodate for Fine Chemicals and Important Pharmaceuticals. Org. Process Res. Dev. 2022, 26, 2564–2613. [Google Scholar] [CrossRef]
- Peng, F.; Zhao, Y.; Li, F.Z.; Zong, M.H.; Lou, W.Y. The effect of deep eutectic solvents on the asymmetric hydrolysis of styrene oxide by mung bean epoxide hydrolases. Bioresour. Bioprocess. 2018, 5, 5. [Google Scholar] [CrossRef]
- Cao, S.-L.; Yue, D.-M.; Li, X.-H.; Smith, T.J.; Li, N.; Zong, M.-H.; Wu, H.; Ma, Y.-Z.; Lou, W.-Y. Novel Nano-/Micro-Biocatalyst: Soybean Epoxide Hydrolase Immobilized on UiO-66-NH2 MOF for Efficient Biosynthesis of Enantiopure (R)-1, 2-Octanediol in Deep Eutectic Solvents. ACS Sustain. Chem. Eng. 2016, 4, 3586–3595. [Google Scholar] [CrossRef]
- Durand, E.; Lecomte, J.; Baréa, B.; Dubreucq, E.; Lortie, R.; Villeneuve, P. Evaluation of deep eutectic solvent-water binary mixtures for lipase-catalyzed lipophilization of phenolic acids. Green Chem. 2013, 15, 2275–2282. [Google Scholar] [CrossRef]
- Xiong, J.; Cao, S.L.; Zong, M.H.; Lou, W.Y.; Wu, X.L. Biosynthesis of Alanyl-Histidine Dipeptide Catalyzed by Papain Immobilized on Magnetic Nanocrystalline Cellulose in Deep Eutectic Solvents. Appl. Biochem. Biotechnol. 2020, 192, 573–584. [Google Scholar] [CrossRef]
- González-Martínez, D.; Gotor, V.; Gotor-Fernández, V. Application of Deep Eutectic Solvents in Promiscuous Lipase-Catalysed Aldol Reactions. Eur. J. Org. Chem. 2016, 2016, 1513–1519. [Google Scholar] [CrossRef]
- Tian, X.; Zhang, S.; Zheng, L. Enzyme-Catalyzed Henry Reaction in Choline Chloride-Based Deep Eutectic Solvents. J. Microbiol. Biotechnol. 2016, 26, 80–88. [Google Scholar] [CrossRef]
- Milker, S.; Pätzold, M.; Bloh, J.Z.; Holtmann, D. Comparison of deep eutectic solvents and solvent-free reaction conditions for aldol production. Mol. Catal. 2019, 466, 70–74. [Google Scholar] [CrossRef]
- Wang, Y.; Chen, X.Y.; Liang, X.Y.; Liang, Z.H.; Cheng, H.; Li, X.; Li, L.L. Pepsin-Catalyzed Asymmetric Cross Aldol Reaction Promoted by Ionic Liquids and Deep Eutectic Solvents. Catal. Lett. 2020, 150, 2549–2557. [Google Scholar] [CrossRef]
- Wang, Y.; Liang, X.Y.; Chen, X.Y.; Liang, Z.H.; Cheng, H.; Li, X.; Li, L.L. Promotion of water in BPL-catalyzed asymmetric cross aldol reaction. Biomass Convers. Biorefin. 2022, 12, 2017–2025. [Google Scholar] [CrossRef]
- Majo, D.D.; Giammanco, M.; Guardia, M.L.; Tripoli, E.; Giammanco, S.; Finotti, E. Flavanones in Citrus fruit: Structure–antioxidant activity relationships. Food Res. Int. 2005, 38, 1161–1166. [Google Scholar] [CrossRef]
- Maugeri, Z.; Domínguez de María, P. Benzaldehyde lyase (BAL)-catalyzed enantioselective CC bond formation in deep-eutectic-solvents–buffer mixtures. J. Mol. Catal. B Enzym. 2014, 107, 120–123. [Google Scholar] [CrossRef]
- Paris, J.; Telzerow, A.; Ríos-Lombardíia, N.; Steiner, K.; Schwab, H.; Morís, F.; Gröger, H.; González-Sabín, J. Enantioselective One-Pot Synthesis of Biaryl-Substituted Amines by Combining Palladium and Enzyme Catalysis in Deep Eutectic Solvents. ACS Sustain. Chem. Eng. 2019, 7, 5486–5493. [Google Scholar] [CrossRef]
- Kourist, R.; González-Sabín, J. Non-Conventional Media as Strategy to Overcome the Solvent Dilemma in Chemoenzymatic Tandem Catalysis. ChemCatChem 2020, 12, 1903–1912. [Google Scholar] [CrossRef]
- Cicco, L.; Dilauro, G.; Perna, F.M.; Vitale, P.; Capriati, V. Advances in deep eutectic solvents and water: Applications in metal- and biocatalyzed processes, in the synthesis of APIs, and other biologically active compounds. Org. Biomol. Chem. 2021, 19, 2558–2577. [Google Scholar] [CrossRef]
- Müller, C.R.; Meiners, I.; Domínguez de María, P. Highly enantioselective tandem enzyme–organocatalyst crossed aldol reactions with acetaldehyde in deep-eutectic-solvents. RSC Adv. 2014, 4, 46097–46101. [Google Scholar] [CrossRef]
- Zhou, P.F.; Wang, X.P.; Yang, B.; Hollmann, F.; Wang, Y.H. Chemoenzymatic epoxidation of alkenes with Candida antarctica lipase B and hydrogen peroxide in deep eutectic solvents. RSC Adv. 2017, 7, 12518–12523. [Google Scholar] [CrossRef]
- Cicco, L.; Rios-Lombardía, N.; Rodríguez-Alvarez, M.J.; Morís, F.; Perna, F.M.; Capriati, V.; García-Alvarez, J.; González-Sabín, J. Programming cascade reactions interfacing biocatalysis with transition-metal catalysis in Deep Eutectic Solvents as biorenewable reaction media. Green Chem. 2018, 20, 3468–3475. [Google Scholar] [CrossRef]
- Paris, J.; Ríos-Lombardía, N.; Morís, F.; Gröger, H.; González-Sabín, J. Novel Insights into the Combination of Metal- and Biocatalysis: Cascade One-Pot Synthesis of Enantiomerically Pure Biaryl Alcohols in Deep Eutectic Solvents. ChemCatChem 2018, 10, 4417–4423. [Google Scholar] [CrossRef]
- Li, Q.; Di, J.H.; Liao, X.L.; Ni, J.C.; Li, Q.; He, Y.C.; Ma, C.L. Exploration of benign deep eutectic solvent-water systems for the highly efficient production of furfurylamine from sugarcane bagasse chemoenzymatic cascade catalysis. Green Chem. 2021, 23, 8154–8168. [Google Scholar] [CrossRef]
- Rios-Lombardia, N.; Rodríguez-Álvarez, M.J.; Moris, F.; Kourist, R.; Comino, N.; López-Gallego, F.; González-Sabín, J.; García-Álvarez, J. DESign of Sustainable One-Pot Chemoenzymatic Organic Transformations in Deep Eutectic Solvents for the Synthesis of 1,2-Disubstituted Aromatic Olefins. Front. Chem. 2020, 8, 139. [Google Scholar] [CrossRef]
- Grabner, B.; Schweiger, A.K.; Gavric, K.; Kourist, R.; Gruber-Woelfler, H. A chemo-enzymatic tandem reaction in a mixture of deep eutectic solvent and water in continuous flow. React. Chem. Eng. 2020, 5, 263–269. [Google Scholar] [CrossRef]
- Liang, Y.; Narayanasamy, J.; Schinazi, R.F.; Chu, C.K. Phosphoramidate and phosphate prodrugs of (−)-beta-D-(2R,4R)-dioxolane-thymine: Synthesis, anti-HIV activity and stability studies. Bioorg. Med. Chem. 2006, 14, 2178–2189. [Google Scholar] [CrossRef]
- Bühlmayer, P.; Furet, P.; Criscione, L.; de Gasparo, M.; Whitebread, S.; Schmidlin, T.; Lattmann, R.; Wood, J. Valsartan, a potent, orally active angiotensin II antagonist developed from the structurally new amino acid series. Bioorg. Med. Chem. Lett. 1994, 4, 29–34. [Google Scholar] [CrossRef]
- Savio, M.; Ferraro, D.; Maccario, C.; Vaccarone, R.; Jensen, L.D.; Corana, F.; Mannucci, B.; Bianchi, L.; Cao, Y.; Stivala, L.A. Resveratrol analogue 4,4′-dihydroxy-trans-stilbene potently inhibits cancer invasion and metastasis. Sci. Rep. 2016, 6, 19973. [Google Scholar] [CrossRef]


| Entry | Reaction Scheme | Reaction Medium | Concluding Remark | Ref. |
|---|---|---|---|---|
| 1 | ![]() | Various ChCl-based DESs, ChCl-Gly (1:2) and ChCl-TEG (1:4) | Enhanced KM and altered regio-/enantio- selectivity | [163,180] |
| 2 | ![]() | Various ChCl-based DESs, 15 vol.% ChCl-U (1:2) in buffer | Enzyme supported on new MOF material and used in DESs | [181] |
| 3 | ![]() | ChCl-Gly (1:2) and ChCl-U (1:2) with ≤20 wt.% water | Low conv. in pure DESs and the significance of introducing water | [182] |
| 4 | ![]() | Various ChCl-based DESs, ChCl-U (1:2) with 16.7 vol% buffer | Improved yield and reuse of enzyme ≥7 times | [183] |
| 5 | ![]() | ChCl-U (1:2) | High efficiency, shortened reaction time, reuse of DES and enzyme | [174] |
| 6 | ![]() | ChCl-Gly (1:1.5 and 1:2) with 5 vol.% buffer | Excellent conversion, reuse of DES and crude enzyme | [184] |
| 7 | ![]() | ChCl-Gly (1:2) with 30 vol.% buffer | Enhanced enzyme activity and yield, no selectivity | [185] |
| 8 | ![]() | 50 vol.% ChCl-EG (1:2) in buffer | Compatibility of DES, increased enantioselectivity | [166] |
| 9 | ![]() | Various alcohol/amine/acid-based DESs; ChCl-Gly/-EG and TEG-Gly/-EG | High yield and operation stability of enzyme (over 10 batches); higher product purity | [173,176] |
| 10 | ![]() | ChCl-Gly/-EG/-U (1:2) and individual DES constitutes with 0–100 vol.% water | Higher enzyme activity with DES individual components of Gly and EG | [96] |
| 11 | ![]() | ChCl-Gly (1:2) with 10 vol.% buffer in fed-batch mode and packed-bed reactors | High conversion, improved enzyme stability, and reuse of solvent | [175] |
| 12 | ![]() | Men-DDA (3:1) | Purification of product and reuse of components for substrate-based DESs | [94] |
| Entry | Reaction Scheme | Reaction Medium | Concluding Remark | Ref. |
|---|---|---|---|---|
| 1 | ![]() | ChCl-based DESs and 60 vol.% ChCl-Gly (1:2) | High enantioselectivity and conversion | [190] |
| 2 | ![]() | ChCl-based DESs with 0–50 wt.% water contents and 50 wt.% ChCl-Gly (1:2) | Improved substrate loading up to 0.3 M; altered substrate preference | [85] |
| 3 | ![]() | 5–75 wt.% ChCl-based DESs in buffer and optimal ChCl-Gly (1:2) | Favorable enzyme stability and enhanced substrate solubility | [191] |
| Entry | Reaction Scheme | Reaction Medium | Concluding Remark | Ref. |
|---|---|---|---|---|
| 1 | ![]() | ChCl-Gly (1:2) | Straightforward product recovery, effective reuse of DES and enzyme | [194] |
| 2 | ![]() | ChCl-based DESs and optimal ChCl-Sorb (1:2) | Remarkable stabilization of enzyme in DESs | [195] |
| 3 | ![]() | ChCl-based DESs and optimal ChCl-Gly (1:2) with 50 wt.% buffer | Remarkable enantioselectivity (>99% ee) for sequential and concurrent cascades | [196] |
| 4 | ![]() | Various ChCl-based DESs and optimal ChCl-Gly (1:2) with 20 vol.% and 50 vol.% buffer | Improved substrate concentration and high yields > 80% | [197] |
| 5 | ![]() | ChCl-Gly (1:2) with 25 vol.% and 90 vol.% buffer | Improved substrate concentration and enantioselectivity (>99% ee) | [200] |
| 6 | ![]() | 25–50 vol.% ChCl-Gly (1:2) in buffer | Enhanced substrate solubility in flow | [199,200] |
Disclaimer/Publisher’s Note: The statements, opinions and data contained in all publications are solely those of the individual author(s) and contributor(s) and not of MDPI and/or the editor(s). MDPI and/or the editor(s) disclaim responsibility for any injury to people or property resulting from any ideas, methods, instructions or products referred to in the content. |
© 2024 by the authors. Licensee MDPI, Basel, Switzerland. This article is an open access article distributed under the terms and conditions of the Creative Commons Attribution (CC BY) license (https://creativecommons.org/licenses/by/4.0/).
Share and Cite
Zhang, N.; Domínguez de María, P.; Kara, S. Biocatalysis for the Synthesis of Active Pharmaceutical Ingredients in Deep Eutectic Solvents: State-of-the-Art and Prospects. Catalysts 2024, 14, 84. https://doi.org/10.3390/catal14010084
Zhang N, Domínguez de María P, Kara S. Biocatalysis for the Synthesis of Active Pharmaceutical Ingredients in Deep Eutectic Solvents: State-of-the-Art and Prospects. Catalysts. 2024; 14(1):84. https://doi.org/10.3390/catal14010084
Chicago/Turabian StyleZhang, Ningning, Pablo Domínguez de María, and Selin Kara. 2024. "Biocatalysis for the Synthesis of Active Pharmaceutical Ingredients in Deep Eutectic Solvents: State-of-the-Art and Prospects" Catalysts 14, no. 1: 84. https://doi.org/10.3390/catal14010084
APA StyleZhang, N., Domínguez de María, P., & Kara, S. (2024). Biocatalysis for the Synthesis of Active Pharmaceutical Ingredients in Deep Eutectic Solvents: State-of-the-Art and Prospects. Catalysts, 14(1), 84. https://doi.org/10.3390/catal14010084










































