Insights into the Mechanism, Regio-/Diastereoselectivities and Ligand Role of Nickel-Initiated [3+2] Cycloadditions between Vinylcyclopropane and N-Tosylbenzaldimine
Abstract
1. Introduction
2. Results and Discussion
2.1. Mechanism
2.1.1. The Ring-Opening of VCP
2.1.2. The [3+2] Cycloaddition of INT1 with N-Tosylbenzaldimine
2.2. Selectivities
2.2.1. Regioselectivities
2.2.2. Diastereoselectivities
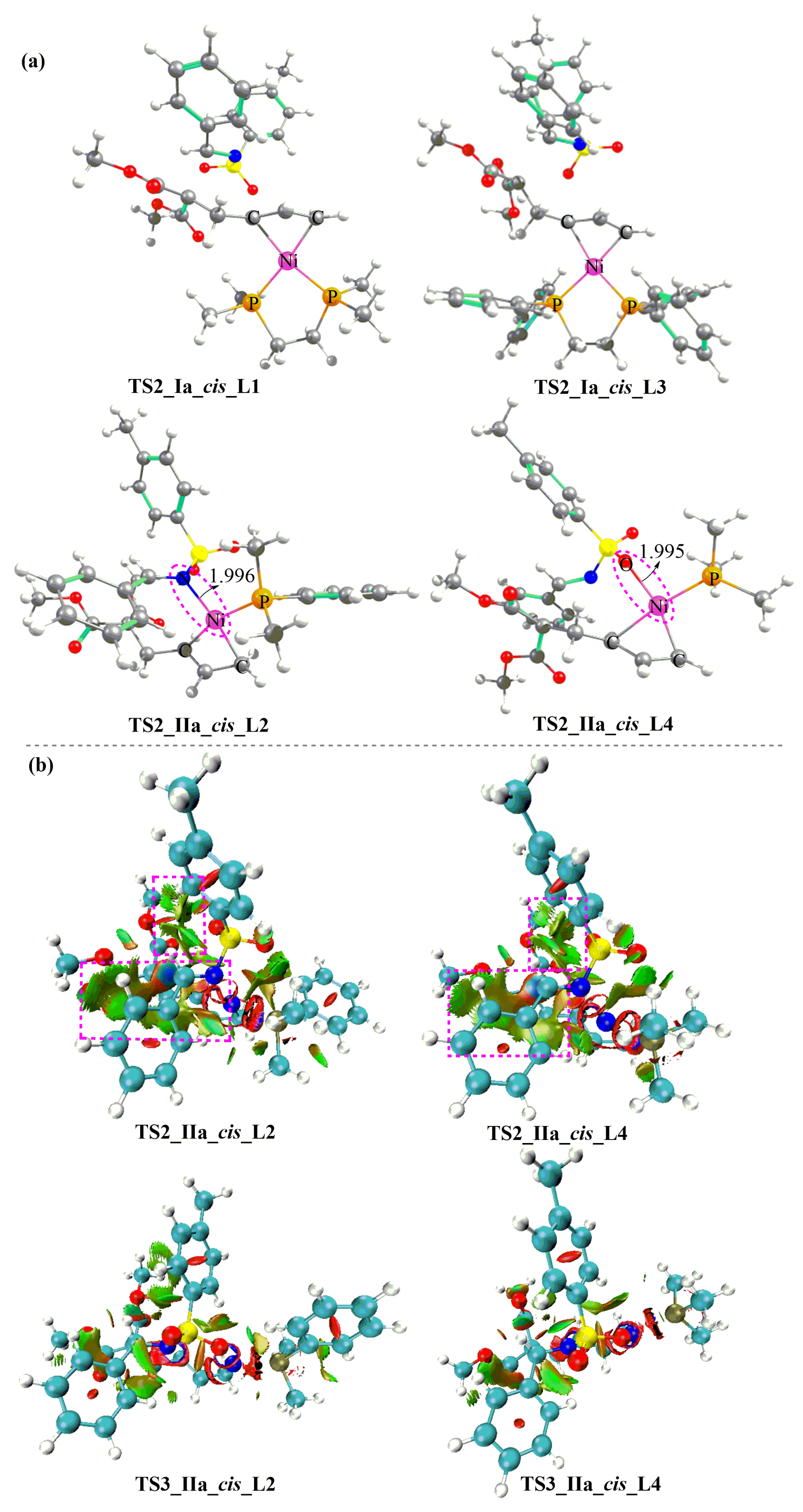
2.3. Ligand Role
3. Computational Methods
4. Conclusions
Supplementary Materials
Author Contributions
Funding
Data Availability Statement
Acknowledgments
Conflicts of Interest
References
- Landrain, Y.; Evano, G. Synthesis of Tetrahydrofurans and Pyrrolidines by Copper Catalyzed Oxy/Aminoarylation of Alkenes. Org. Lett. 2023, 25, 3898–3903. [Google Scholar] [CrossRef] [PubMed]
- Mailyan, A.K.; Eickhoff, J.A.; Minakova, A.S.; Gu, Z.; Lu, P.; Zakarian, A. Cutting–Edge and Time–Honored Strategies for Stereoselective Construction of C–N Bonds in Total Synthesis. Chem. Rev. 2016, 116, 4441–4557. [Google Scholar] [CrossRef] [PubMed]
- Nakagawa, H.; Fuwa, H. Au–Catalyzed Stereodivergent Synthesis of 2, 5–Disubstituted Pyrrolidines: Total Synthesis of (+)–Monomorine I and (+)–Indolizidine 195B. Chem. Commun. 2023, 59, 10121–10124. [Google Scholar] [CrossRef] [PubMed]
- Zhang, F.; Dai, X.; Dai, L.; Zheng, W.; Chan, W.L.; Tang, X.; Zhang, X.; Lu, Y. Phosphine–Catalyzed Enantioselective (3+2) Annulation of Vinylcyclopropanes with Imines for the Synthesis of Chiral Pyrrolidines. Angew. Chem. Int. Ed. 2022, 61, e202203212. [Google Scholar] [CrossRef] [PubMed]
- Ma, X.; Hazelden, I.R.; Langer, T.; Munday, R.H.; Bower, J.F. Enantioselective Aza–Heck Cyclizations of N–(Tosyloxy) Carbamates: Synthesis of Pyrrolidines and Piperidines. J. Am. Chem. Soc. 2019, 141, 3356–3360. [Google Scholar] [CrossRef] [PubMed]
- Hashimoto, T.; Maruoka, K. Recent Advances of Catalytic Asymmetric 1,3–Dipolar Cycloadditions. Chem. Rev. 2015, 115, 5366–5412. [Google Scholar] [CrossRef]
- Hazelden, I.R.; Carmona, R.C.; Langer, T.; Pringle, P.G.; Bower, J.F. Pyrrolidines and Piperidines by Ligand–Enabled Aza–Heck Cyclizations and Cascades of N–(Pentafluorobenzoyloxy)Carbamates. Angew. Chem. Int. Ed. 2018, 57, 5124–5128. [Google Scholar] [CrossRef]
- Lee, S.; Lei, H.; Rovis, T. A Rh(III)–Catalyzed Formal [4+1] Approach to Pyrrolidines from Unactivated Terminal Alkenes and Nitrene Sources. J. Am. Chem. Soc. 2019, 141, 12536–12540. [Google Scholar] [CrossRef]
- Yamazaki, K.; Gabriel, P.; Carmine, G.D.; Pedroni, J.; Farizyan, M.; Hamlin, T.A.; Dixon, D.J. General Pyrrolidine Synthesis via Iridium–Catalyzed Reductive Azomethine Ylide Generation from Tertiary Amides and Lactams. ACS Catal. 2021, 11, 7489–7497. [Google Scholar] [CrossRef]
- He, F.S.; Li, C.S.; Deng, H.; Zheng, X.; Yang, Z.T.; Deng, W.P. The Facile and Stereoselective Synthesis of Pyrrolidine β–Amino Acids via Copper(i)–Catalyzed Asymmetric 1,3–Dipolar Cycloaddition. Org. Chem. Front. 2017, 4, 52–56. [Google Scholar] [CrossRef]
- Lin, T.Y.; Zhu, C.Z.; Zhang, P.; Wang, Y.; Wu, H.H.; Feng, J.J.; Zhang, J. Regiodivergent Intermolecular [3+2] Cycloadditions of Vinyl Aziridines and Allenes: Stereospecific Synthesis of Chiral Pyrrolidines. Angew. Chem. Int. Ed. 2016, 55, 10844–10848. [Google Scholar] [CrossRef] [PubMed]
- Chen, H.; Zhong, W.; Liu, S.; Zou, T.; Zhang, K.; Gong, C.; Guo, W.; Kong, F.; Nie, L.; Hu, S.; et al. Highly Stereodivergent Synthesis of Chiral C4–Ester–Quaternary Pyrrolidines: A Strategy for the Total Synthesis of Spirotryprostatin A. Org. Lett. 2023, 25, 3391–3396. [Google Scholar] [CrossRef] [PubMed]
- Das, D.; Mohapatra, S.S.; Roy, S. Recent Advances in Heterobimetallic Catalysis across a “Transition Metal–Tin” Motif. Chem. Soc. Rev. 2015, 44, 3666–3690. [Google Scholar] [CrossRef] [PubMed]
- Genet, J.P.; Ayad, T.; Ratovelomanana–Vidal, V. Electron–Deficient Diphosphines: The Impact of DIFLUORPHOS in Asymmetric Catalysis. Chem. Rev. 2014, 114, 2824–2880. [Google Scholar] [CrossRef]
- Zhang, D.; Wang, Q. Palladium Catalyzed Asymmetric Suzuki–Miyaura Coupling Reactions to Axially Chiral Biaryl Compounds: Chiral Ligands And Recent Advances. Coordin. Chem. Rev. 2015, 286, 1–16. [Google Scholar] [CrossRef]
- Schmitz, C.; Holthusen, K.; Leitner, W.; Franciò, G. Highly Regio– and Enantioselective Hydroformylation of Vinyl Esters Using Bidentate Phosphine,P–Chiral Phosphorodiamidite Ligands. ACS Catal. 2016, 6, 1584–1589. [Google Scholar] [CrossRef]
- Souillart, L.; Cramer, N. Highly Enantioselective Rhodium(I)-Catalyzed Carbonyl Carboacylations Initiated by C–C Bond Activation. Angew. Chem. Int. Ed. 2014, 53, 9640–9644. [Google Scholar] [CrossRef]
- Noucti, N.N.; Alexanian, E.J. Stereoselective Nickel–Catalyzed [2+2+2] Cycloadditions and Alkenylative Cyclizations of Ene–Allenes and Alkenes. Angew. Chem. Int. Ed. 2013, 52, 8424–8427. [Google Scholar] [CrossRef]
- Ding, Z.; Wang, Y.; Liu, W.; Chen, Y.; Kong, W. Diastereo– and Enantioselective Construction of Spirocycles by Nickel–Catalyzed Cascade Borrowing Hydrogen Cyclization. J. Am. Chem. Soc. 2021, 143, 53–59. [Google Scholar] [CrossRef]
- Tombe, R.; Kurahashi, T.; Matsubara, S. Nickel–Catalyzed Cycloaddition of Vinylcyclopropanes to Imines. Org. Lett. 2013, 15, 1791–1793. [Google Scholar] [CrossRef]
- Peng, Q.; Paton, R.S. Catalytic Control in Cyclizations: From Computational Mechanistic Understanding to Selectivity Prediction. Acc. Chem. Res. 2016, 49, 1042–1051. [Google Scholar] [CrossRef] [PubMed]
- Wang, Q.; Huang, F.; Jiang, L.; Sun, C.; Liu, J.; Chen, D. A Mechanistic Insight into the Ligand–Controlled Asymmetric Arylation of Aliphatic α-Amino Anion Equivalents: Origin of Regioand Enantioselectivities. Inorg. Chem. 2017, 56, 5984–5992. [Google Scholar] [CrossRef] [PubMed]
- Dub, P.A.; Gordon, J.C. Metal–Ligand Bifunctional Catalysis: The “Accepted” Mechanism, the Issue of Concertedness, and the Function of the Ligand in Catalytic Cycles Involving Hydrogen Atoms. ACS Catal. 2017, 7, 6635–6655. [Google Scholar] [CrossRef]
- Jover, J.; Maseras, F. Mechanistic Investigation of Iridium–Catalyzed C–H Borylation of Methyl Benzoate: Ligand Effects in Regioselectivity and Activity. Organometallics 2016, 35, 3221–3226. [Google Scholar] [CrossRef]
- Bhunya, S.; Roy, L.; Paul, A. Mechanistic Details of Ru–Bispyridylborate Complex Catalyzed Dehydrogenation of Ammonia–Borane: The Role of Pendant Boron Ligand in Catalysis. ACS Catal. 2016, 6, 4068–4080. [Google Scholar] [CrossRef]
- Parsons, A.T.; Champbell, M.J.; Johnson, J.S. Diastereoselective Synthesis of Tetrahydrofurans via Palladium(0)–Catalyzed [3+ 2] Cycloaddition of Vinylcyclopropanes and Aldehydes. Org. Lett. 2008, 10, 2541–2544. [Google Scholar] [CrossRef]
- Novikov, R.A.; Tarasova, A.V.; Korolev, V.A.; Shulishov, E.V.; Timofeev, V.P.; Tomilov, Y.V. Donor–Acceptor Cyclopropanes as 1,2–Dipoles in GaCl3–Mediated [4 + 2]–Annulation with Alkenes–Easy Access to Tetralin Skeleton. J. Org. Chem. 2015, 80, 8225–8235. [Google Scholar] [CrossRef]
- Rivero, A.R.; Fernández, I.; de Arellano, C.R.; Sierra, M.A. Synthesis of Oxaspiranic Compounds Through [3+2] Annulation of Cyclopropenones and Donor–Acceptor Cyclopropanes. J. Org. Chem. 2015, 80, 1207–1213. [Google Scholar] [CrossRef]
- Chen, Z.; Tian, Z.; Zhang, J.; Ma, J.; Zhang, J. C–O Versus C–C Bond Cleavage: Selectivity Control in Lewis Acid Catalyzed Chemodivergent Cycloadditions of Aryl Oxiranyldicarboxylates with Aldehydes, and Theoretical Rationalizations of Reaction Pathways. Chem. Eur. J. 2012, 18, 8591–8595. [Google Scholar] [CrossRef]
- Kaicharla, T.; Roy, T.; Thangaraj, M.; Gonnade, R.G.; Biju, A.T. Lewis Acid Catalyzed Selective Reactions of Donor–Acceptor Cyclopropanes with 2–Naphthols. Angew. Chem. Int. Ed. 2016, 55, 10061–10064. [Google Scholar] [CrossRef]
- Borisov, D.D.; Novikov, R.A.; Tomilov, Y.V. GaCl3–Mediated Reactions of Donor–Acceptor Cyclopropanes with Aromatic Aldehydes. Angew. Chem. Int. Ed. 2016, 55, 12233–12237. [Google Scholar] [CrossRef] [PubMed]
- Grover, H.K.; Emmett, M.R.; Kerr, M.A. Carbocycles from Donor–Acceptor Cyclopropanes. Org. Biomol. Chem. 2015, 13, 655–671. [Google Scholar] [CrossRef] [PubMed]
- Liu, Z.S.; Li, W.K.; Kang, T.R.; He, L.; Liu, Q.Z. Palladium–Catalyzed Asymmetric Cycloadditions of Vinylcyclopropanes and in Situ Formed Unsaturated Imines: Construction of Structurally and Optically Enriched Spiroindolenines. Org. Lett. 2015, 17, 150–153. [Google Scholar] [CrossRef] [PubMed]
- Garve, L.K.B.; Werz, D.B. Pd–Catalyzed Three–Component Coupling of Terminal Alkynes, Arynes, and Vinyl Cyclopropane Dicarboxylate. Org. Lett. 2015, 17, 596–599. [Google Scholar] [CrossRef]
- Song, C.; Dang, Y.; Tao, Y.; Wang, Z.X. DFT Mechanistic Study of Functionalizations of ω–Ene–Cyclopropanes and Alkylidenecyclopropanes via Allylic C–H and C–C Bond Cleavage Facilitated by a Zirconocene Complex. Organometallics 2015, 34, 5233–5244. [Google Scholar] [CrossRef]
- Reed, A.E.; Curtiss, L.A.; Weinhold, F. Intermolecular Interactions from a Natural Bond Orbital, Donor–Acceptor Viewpoint. Chem. Rev. 1988, 88, 899–926. [Google Scholar] [CrossRef]
- Reed, A.E.; Weinstock, R.B.; Weinhold, F. Natural Population Analysis. J. Chem. Phys. 1985, 83, 735–746. [Google Scholar] [CrossRef]
- Carpenter, J.E.; Weinhold, F. Analysis of the Geometry of the Hydroxymethyl Radical by the “Different Hybrids for Different Spins” Natural Bond Orbital Procedure. J. Mol. Struct. 1988, 169, 41–62. [Google Scholar] [CrossRef]
- Brown, C.; Lita, A.; Tao, Y.; Peek, N.; Crosswhite, M.; Mileham, M.; Krzystek, J.; Achey, R.; Fu, R.; Bindra, J.K.; et al. Mechanism of Initiation in the Phillips Ethylene Polymerization Catalyst: Ethylene Activation by Cr(II) and the Structure of the Resulting Active Site. ACS Catal. 2017, 7, 7442–7455. [Google Scholar] [CrossRef]
- Bader, R.F.W. A Quantum Theory of Molecular Structure and Its Applications. Chem. Rev. 1991, 91, 893–928. [Google Scholar] [CrossRef]
- Bader, R.F.W. Atoms in Molecules: A Quatum Theory; Clarendon Press: Oxford, UK, 1990. [Google Scholar]
- Maji, R.; Champagne, P.A.; Houk, K.N.; Wheeler, S.E. Activation Mode and Origin of Selectivity in Chiral Phosphoric Acid Catalyzed Oxacycle Formation by Intramolecular Oxetane Desymmetrizations. ACS Catal. 2017, 7, 7332–7339. [Google Scholar] [CrossRef]
- Duan, A.; Yu, P.; Liu, F.; Qiu, H.; Gu, F.L.; Doyle, M.P.; Houk, K.N. Diazo Esters as Dienophiles in Intramolecular (4+2) Cycloadditions: Computational Explorations of Mechanism. J. Am. Chem. Soc. 2017, 139, 2766–2770. [Google Scholar] [CrossRef] [PubMed]
- Bickelhaupt, F.M.; Houk, K.N. Analyzing Reaction Rates with the Distortion/Interaction–Activation Strain Model. Angew. Chem. Int. Ed. 2017, 56, 10070–10086. [Google Scholar] [CrossRef] [PubMed]
- Xiong, Y.; Du, Z.; Chen, H.; Yang, Z.; Tan, Q.; Zhang, C.; Zhu, L.; Lan, Y.; Zhang, M. Well–Designed Phosphine–Urea Ligand for Highly Diastereo–and Enantioselective 1,3–Dipolar Cycloaddition of Methacrylonitrile: A Combined Experimental and Theoretical Study. J. Am. Chem. Soc. 2019, 141, 961–971. [Google Scholar] [CrossRef]
- Lewars, E.G. Computational Chemistry–Introduction to the Theory and Applications of Molecular and Quantum Mechanics, 2nd ed.; Springer: Dordrecht, The Netherlands, 2011; pp. 9–40. [Google Scholar]
- Johnson, E.R.; Keinan, S.; Mori–Sánchez, P.; Contreras–García, J.; Cohen, A.J.; Yang, W. Revealing Noncovalent Interactions. J. Am. Chem. Soc. 2010, 132, 6498–6506. [Google Scholar] [CrossRef]
- Dieskau, A.P.; Holzwarth, M.S.; Plietker, B. Fe–Catalyzed Allylic C–C–Bond Activation: Vinylcyclopropanes as Versatile a1,a3,d5–Synthons in Traceless Allylic Substitutions and [3+2]–Cycloadditions. J. Am. Chem. Soc. 2012, 134, 5048–5051. [Google Scholar] [CrossRef]
- Lee, C.; Yang, W.; Parr, R.G. Development of the Colle–Salvetti Correlation–Energy Formula into a Functional of the Electron Density. Phys. Rev. B 1988, 37, 785–789. [Google Scholar] [CrossRef]
- Becke, A.D. Perspective on “Density Functional Thermochemistry. III. The Role of Exact Exchange”. J. Chem. Phys. 1993, 98, 5648–5652. [Google Scholar] [CrossRef]
- Godbout, N.; Salahub, D.R.; Andzelm, J.; Wimmer, E. Optimization of Gaussian–type Basis Sets for Local Spin Density Functional Calculations. Part I. Boron through Neon, Optimization Technique and Validation. Can. J. Chem. 1992, 70, 560–571. [Google Scholar] [CrossRef]
- Sosa, C.; Andzelm, J.; Elkin, B.C.; Wimmer, E.; Dobbs, K.D.; Dixon, D.A. A Local Density Functional Study of the Structure and Vibrational Frequencies of Molecular Transition–Metal Compounds. J. Phys. Chem. 1992, 96, 6630–6636. [Google Scholar] [CrossRef]
- Frisch, M.J.; Trucks, G.W.; Schlegel, H.B.; Scuseria, G.E.; Robb, M.A.; Cheeseman, J.R.; Scalmani, G.; Barone, V.; Mennucci, B.; Petersson, G.A.; et al. Gaussian 09, Revision D.01; Gaussian, Inc.: Wallingford, CT, USA, 2013. [Google Scholar]
- Tao, J.Y.; Mu, W.H.; Chass, G.A.; Tang, T.H.; Fang, D.C. Balancing the Atomic Waistline: Isodensity–Based SCRF Radii for Main–Group Elements and Transition Metals. Int. J. Quantum Chem. 2013, 113, 975–984. [Google Scholar] [CrossRef]
- Miertus, S.; Scrocco, E.; Tomasi, J. Electrostatic Interaction of a Solute with a Continuum. A Direct Utilizaion of AB Initio Molecular Potentials for the Prevision of Solvent Effects. Chem. Phys. 1981, 55, 117–129. [Google Scholar] [CrossRef]
- Gonzalez, C.; Schlegel, H.B. An Improved Algorithm for Reaction Path Following. J. Chem. Phys. 1989, 90, 2154–2161. [Google Scholar] [CrossRef]
- Gonzalez, C.; Schlegel, H.B. Reaction Path Following in Mass–Weighted Internal Coordinates. J. Phys. Chem. 1990, 94, 5523–5527. [Google Scholar] [CrossRef]
- Fukui, K. The Path of Chemical Reactions–the IRC Approach. Acc. Chem. Res. 1981, 14, 363–368. [Google Scholar] [CrossRef]
- Fang, D.C. THERMO; Beijing Normal University: Beijing, China, 2013. [Google Scholar]
- Lu, T.; Chen, F.W. Multiwfn: A Multifunctional Wavefunction Analyzer. J. Comput. Chem. 2012, 33, 580–592. [Google Scholar] [CrossRef] [PubMed]
- Humphrey, W.; Dalke, A.; Schulten, K. VMD: Visual Molecular Dynamics. J. Mol. Graph. 1996, 14, 33–38. [Google Scholar] [CrossRef] [PubMed]
- Legault, C.Y. CYLview, 1.0b; Université de Sherbrooke: Sherbrooke, QC, Canada, 2009. [Google Scholar]
- Grimme, S. Semiempirical GGA–Type Density Functional Constructed with a Long–Range Dispersion Correction. J. Comput. Chem. 2006, 27, 1787–1799. [Google Scholar] [CrossRef]
- Grimme, S.; Antony, J.; Ehrlich, S.; Krieg, H. A Consistent and Accurate Ab Initio Parametrization of Density Functional Dispersion Correction (DFT–D) for the 94 Elements H–Pu. J. Chem. Phys. 2010, 132, 154104–154119. [Google Scholar] [CrossRef]
- Zhao, Y.; Truhlar, D.G. Comparative DFT Study of Van Der Waals Complexes: Rare–Gas Dimers, Alkaline–Earth Dimers, Zinc Dimer, and Zinc–Rare–Gas Dimers. J. Phys. Chem. 2006, 110, 5121–5129. [Google Scholar] [CrossRef]
- Li, Y.; Fang, D.C. DFT Calculations On Kinetic Data For Some [4+2] Reactions in Solution. Phys. Chem. Chem. Phys. 2014, 16, 15224–15230. [Google Scholar] [CrossRef] [PubMed]
- Mu, W.H.; Xia, S.Y.; Li, J.X.; Fang, D.C.; Wei, G.; Chass, G.A. Competing Mechanisms, Substituent Effect and Regioselectivities of Ni–Catalyzed [2+2+2] Cycloaddition between Carboryne and Alkynes: A DFT Study. J. Org. Chem. 2015, 80, 9108–9117. [Google Scholar] [CrossRef] [PubMed]
- Ding, L.; Ishida, N.; Murakami, M.; Morokuma, K. sp3–sp2 vs sp3–sp3 C–C Site Selectivity in Rh–Catalyzed Ring Opening of Benzocyclobutenol: A DFT Study. J. Am. Chem. Soc. 2014, 136, 169–178. [Google Scholar] [CrossRef] [PubMed]
- Chen, Y.M.; Chass, G.A.; Fang, D.C. Between a Reactant Rock and a Solvent Hard Place–Molecular Corrals Guide Aromatic Substitutions. Phys. Chem. Chem. Phys. 2014, 16, 1078–1083. [Google Scholar] [CrossRef]
- Fang, D.; Chen, Y. Theoretical Studies on the Mechanism of Cycloaddition Reaction between 1,2,4,5–Tetrazine and Cycloolefines. Acta Chim. Sin. 2014, 72, 253–256. [Google Scholar] [CrossRef][Green Version]














| C(1) | C(3) | N(4) | C(5) | ||
|---|---|---|---|---|---|
![]() | −0.372 | −0.225 | −0.735 | +0.185 | ![]() |
| Ligand | TSRDS | ΔΔG | k | t1/2 (h) | tExpt. (h) | Yield (%) | drCalc. | drExpt. |
|---|---|---|---|---|---|---|---|---|
| L1: dmpe | TS2_Ia_cis_L1 | 25.1 | 4.969 × 10−6 | 5.590 × 101 | 5 h | >99 | 19.9:1 | >99:1 |
| TS2_Ia_trans_L1 | 26.9 | 2.500 × 10−7 | 1.111 × 103 | |||||
| L2: PMe2Ph | TS3_IIa_cis_L2 | 30.4 | 7.474 × 10−10 | 2.576 × 105 | 47 | 3.8:1 | 3.3:1 | |
| TS2_IIa_trans_L2 | 31.2 | 1.979 × 10−10 | 1.403 × 106 | |||||
| L3: dppe | TS2_Ia_cis_L3 | 26.7 | 3.485 × 10−7 | 7.970 × 102 | 73 | 14.3:1 | 5.2:1 | |
| TS2_Ia_trans_L3 | 28.3 | 2.445 × 10−8 | 1.136 × 104 | |||||
| L4: PMe3 | TS3_IIa_cis_L4 | 30.2 | 1.042 × 10−9 | 1.848 × 105 | 62 | 14.3:1 | 6.0:1 | |
| TS2_IIa_trans_L4 | 31.8 | 7.307 × 10−11 | 3.802 × 106 |
Disclaimer/Publisher’s Note: The statements, opinions and data contained in all publications are solely those of the individual author(s) and contributor(s) and not of MDPI and/or the editor(s). MDPI and/or the editor(s) disclaim responsibility for any injury to people or property resulting from any ideas, methods, instructions or products referred to in the content. |
© 2024 by the authors. Licensee MDPI, Basel, Switzerland. This article is an open access article distributed under the terms and conditions of the Creative Commons Attribution (CC BY) license (https://creativecommons.org/licenses/by/4.0/).
Share and Cite
Mu, W.; Zhu, L.; Xia, S.; Tan, X.; Duan, L.; Meng, G.; Liu, G. Insights into the Mechanism, Regio-/Diastereoselectivities and Ligand Role of Nickel-Initiated [3+2] Cycloadditions between Vinylcyclopropane and N-Tosylbenzaldimine. Catalysts 2024, 14, 82. https://doi.org/10.3390/catal14010082
Mu W, Zhu L, Xia S, Tan X, Duan L, Meng G, Liu G. Insights into the Mechanism, Regio-/Diastereoselectivities and Ligand Role of Nickel-Initiated [3+2] Cycloadditions between Vinylcyclopropane and N-Tosylbenzaldimine. Catalysts. 2024; 14(1):82. https://doi.org/10.3390/catal14010082
Chicago/Turabian StyleMu, Weihua, Lin Zhu, Shuya Xia, Xue Tan, Liangfei Duan, Guanghao Meng, and Guo Liu. 2024. "Insights into the Mechanism, Regio-/Diastereoselectivities and Ligand Role of Nickel-Initiated [3+2] Cycloadditions between Vinylcyclopropane and N-Tosylbenzaldimine" Catalysts 14, no. 1: 82. https://doi.org/10.3390/catal14010082
APA StyleMu, W., Zhu, L., Xia, S., Tan, X., Duan, L., Meng, G., & Liu, G. (2024). Insights into the Mechanism, Regio-/Diastereoselectivities and Ligand Role of Nickel-Initiated [3+2] Cycloadditions between Vinylcyclopropane and N-Tosylbenzaldimine. Catalysts, 14(1), 82. https://doi.org/10.3390/catal14010082



