Asymmetric Dual Enamine Catalysis/Hydrogen Bonding Activation
Abstract
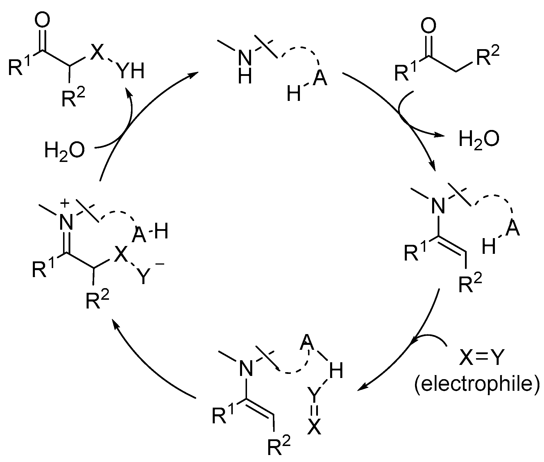
1. Introduction
2. Dual H-Bonding and Enamine Activation

3. Dual H-Bonding and Dienamine Activation
4. Dual H-Bonding and Trienamine/Tetraenamine Activation
5. Conclusions
Author Contributions
Funding
Data Availability Statement
Conflicts of Interest
References
- List, B.; Lerner, R.A.; Barbas, C.F., III. Proline-Catalyzed Direct Asymmetric Aldol Reactions. J. Am. Chem. Soc. 2000, 122, 2395–2396. [Google Scholar] [CrossRef]
- Hajos, Z.G.; Parrish, D.R. Asymmetric synthesis of bicyclic intermediates of natural product chemistry. J. Org. Chem. 1974, 39, 1615–1621. [Google Scholar] [CrossRef]
- Eder, U.; Sauer, G.; Wiecert, R. New Type of Asymmetric Cyclization to Optically Active Steroid CD Partial Structures. Angew. Chem. Int. Ed. 1971, 10, 496–497. [Google Scholar] [CrossRef]
- Wagner, J.; Lerner, R.A.; Barbas, C.F., III. Efficient Aldolase Catalytic Antibodies That Use the Enamine Mechanism of Natural Enzymes. Science 1995, 270, 1797–1800. [Google Scholar] [CrossRef]
- Bahmanyar, S.; Houk, K.N.; Martin, H.J.; List, B. Quantum Mechanical Predictions of the Stereoselectivities of Proline-Catalyzed Asymmetric Intermolecular Aldol Reactions. J. Am. Chem. Soc. 2003, 125, 2475–2479. [Google Scholar] [CrossRef]
- Ahrendt, K.A.; Borths, C.J.; MacMillan, D.W.C. New Strategies for Organic Catalysis: The First Highly Enantioselective Organocatalytic Diels-Alder Reaction. J. Am. Chem. Soc. 2000, 122, 4243–4244. [Google Scholar] [CrossRef]
- Jen, W.S.; Wiener, J.J.M.; MacMillan, D.W.C. New Strategies for Organic Catalysis: The First Enantioselective Organocatalytic 1,3-Dipolar Cycloaddition. J. Am. Chem. Soc. 2000, 122, 9874–9875. [Google Scholar] [CrossRef]
- Mukherjee, S.; Yang, J.W.; Hoffmann, S.; List, B. Asymmetric Enamine Catalysis. Chem. Rev. 2007, 107, 5471–5569. [Google Scholar] [CrossRef]
- Sulzer-Mossé, S.; Alexakis, A. Chiral amines as organocatalysts for asymmetric conjugate addition to nitroolefins and vinyl sulfonesviaenamine activation. Chem. Commun. 2007, 30, 3123–3135. [Google Scholar] [CrossRef]
- Kano, T.; Maruoka, K. Design of chiral bifunctional secondary amine catalysts for asymmetric enamine catalysis. Chem. Commun. 2008, 43, 5465–5473. [Google Scholar] [CrossRef]
- Melchiorre, P. Cinchona-based Primary Amine Catalysis in the Asymmetric Functionalization of Carbonyl Compounds. Angew. Chem. Int. Ed. 2012, 51, 9748–9770. [Google Scholar] [CrossRef]
- Xiang, S.-H.; Tan, B. Advances in asymmetric organocatalysis over the last 10 years. Nat. Commun. 2020, 11, 3786. [Google Scholar] [CrossRef]
- List, B.; Maruoka, K. (Eds.) Science of Synthesis, Asymmetric Organocatalysis; Georg Thieme Verlag: Stuttgart, Germany, 2012. [Google Scholar]
- Pellissier, H. (Ed.) Recent Developments in Asymmetric Organocatalysis; RSC Publishing: Cambridge, UK, 2011. [Google Scholar]
- Jacobsen, E.N.; MacMillan, D.W.C. Organocatalysis. Proc. Natl. Acad. Sci. USA 2010, 107, 20618–20619. [Google Scholar] [CrossRef]
- Bertelsen, S.; Jørgensen, K.A. Organocatalysis-after the gold rush. Chem. Soc. Rev. 2009, 38, 2178–2189. [Google Scholar] [CrossRef]
- MacMillan, D.W.C. The advent and development of organocatalysis. Nature 2008, 455, 304–308. [Google Scholar] [CrossRef]
- Holland, M.C.; Gilmour, R. Deconstructing Covalent Organocatalysis. Angew. Chem. Int. Ed. 2015, 54, 3862–3871. [Google Scholar] [CrossRef]
- Sihtmae, M.; Silm, M.; Kriis, K.; Kahru, A.; Kanger, T. Aminocatalysts are More Environmentally Friendly than Hydrogen-Bonding Catalysts. ChemSusChem 2022, 15, e202201045. [Google Scholar] [CrossRef]
- Alemán, J.; Parra, A.; Jiang, H.; Jørgensen, K.A. Squaramides: Bridging from Molecular Recognition to Bifunctional Organocatalysis. Chem. Eur. J. 2011, 17, 6890–6899. [Google Scholar] [CrossRef]
- Matos Paz, B.; Jiang, H.; Jørgensen, K.A. Aminocatalysis: Beyond Steric Shielding and Hydrogen-Bonding. Chem. Eur. J. 2015, 21, 1846–1853. [Google Scholar] [CrossRef]
- Doyle, A.G.; Jacobsen, E.N. Small-Molecule H-Bond Donors in Asymmetric Catalysis. Chem. Rev. 2007, 107, 5713–5743. [Google Scholar] [CrossRef]
- Chauhan, P.; Mahajan, S.; Kaya, U.; Hack, D.; Enders, D. Bifunctional Amine-Squaramides: Powerful Hydrogen-Bonding Organocatalysts for Asymmetric Domino/Cascade Reactions. Adv. Synth. Catal. 2015, 357, 253–281. [Google Scholar] [CrossRef]
- Hong, L.; Sun, W.; Yang, D.; Li, G.; Wang, R. Additive Effects on Asymmetric Catalysis. Chem. Rev. 2016, 116, 4006–4123. [Google Scholar] [CrossRef]
- Anebouselvy, K.; Shruthi, K.S.; Ramachary, D.B. Asymmetric Supramolecular Organocatalysis: A Complementary Upgrade to Organocatalysis. Eur. J. Org. Chem. 2017, 2017, 5460–5483. [Google Scholar] [CrossRef]
- Meeuwissen, J.; Reek, J.N.H. Supramolecular catalysis beyond enzyme mimics. Nature Chem. 2010, 2, 615–621. [Google Scholar] [CrossRef]
- Allemann, C.; Gordillo, R.; Clemente, F.R.; Cheong, P.H.-Y.; Houk, K.N. Theory of Asymmetric Organocatalysis of Aldol and Related Reactions: Rationalizations and Predictions. Acc. Chem. Res. 2004, 37, 558–569. [Google Scholar] [CrossRef]
- Hoang, L.; Bahmanyar, S.; Houk, K.N.; List, B. Kinetic and Stereochemical Evidence for the Involvement of Only One Proline Molecule in the Transition States of Proline-Catalyzed Intra- and Intermolecular Aldol Reactions. J. Am. Chem. Soc. 2003, 125, 16–17. [Google Scholar] [CrossRef]
- List, B.; Hoang, L.; Martin, H.J. New mechanistic studies on the proline-catalyzed aldol reaction. Proc. Natl. Acad. Sci. USA 2004, 101, 5839–5842. [Google Scholar] [CrossRef]
- Orlandi, M.; Ceotto, M.; Benaglia, M. Kinetics versus thermodynamics in the proline catalyzed aldol reaction. Chem. Sci. 2016, 7, 5421–5427. [Google Scholar] [CrossRef]
- Sharma, A.K.; Sunoj, R.B. Enamine versus Oxazolidinone: What Controls Stereoselectivity in Proline-Catalyzed Asymmetric Aldol Reactions? Angew. Chem. Int. Ed. 2010, 49, 6373–6377. [Google Scholar] [CrossRef]
- Schmid, M.B.; Zeitler, K.; Gschwind, R.M. The Elusive Enamine Intermediate in Proline-Catalyzed Aldol Reactions: NMR Detection, Formation Pathway, and Stabilization Trends. Angew. Chem. Int. Ed. 2010, 49, 4997–5003. [Google Scholar] [CrossRef]
- Clemente, F.R.; Houk, K.N. Computational Evidence for the Enamine Mechanism of Intramolecular Aldol Reactions Catalyzed by Proline. Angew. Chem. Int. Ed. 2004, 43, 5766–5768. [Google Scholar] [CrossRef]
- Haindl, M.H.; Hioe, J.; Gschwind, R.M. The Proline Enamine Formation Pathway Revisited in Dimethyl Sulfoxide: Rate Constants Determined via NMR. J. Am. Chem. Soc. 2015, 137, 12835–12842. [Google Scholar] [CrossRef]
- Martínez, A.; Zumbansen, K.; Döhring, A.; van Gemmeren, M.; List, B. Improved Conditions for the Proline-Catalyzed Aldol Reaction of Acetone with Aliphatic Aldehydes. Synlett 2014, 25, 932–934. [Google Scholar] [CrossRef]
- Martínez-Castañeda, A.; Poladura, B.; Rodríguez-Solla, H.; Concellón, C.; del Amo, V. Direct Aldol Reactions Catalyzed by a Heterogeneous Guanidinium Salt/Proline System under Solvent-Free Conditions. Org. Lett. 2011, 13, 3032–3035. [Google Scholar] [CrossRef]
- Doyagüez, E.G.; Calderón, F.; Sánchez, F.; Fernández-Mayoralas, A. Asymmetric Aldol Reaction Catalyzed by a Heterogenized Proline on a Mesoporous Support. The Role of the Nature of Solvents. J. Org. Chem. 2007, 72, 9353–9356. [Google Scholar] [CrossRef]
- Zhou, Y.; Shan, Z. Chiral Diols: A New Class of Additives for Direct Aldol Reaction Catalyzed by l-Proline. J. Org. Chem. 2006, 71, 9510–9512. [Google Scholar] [CrossRef]
- Pan, Q.; Zou, B.; Wang, Y.; Ma, D. Diastereoselective Aldol Reaction of N,N-Dibenzyl-α-amino Aldehydes with Ketones Catalyzed by Proline. Org. Lett. 2004, 6, 1009–1012. [Google Scholar] [CrossRef]
- Itoh, T.; Yokoya, M.; Miyauchi, K.; Nagata, K.; Ohsawa, A. Proline-Catalyzed Asymmetric Addition Reaction of 9-Tosyl-3,4-dihydro-β-carboline with Ketones. Org. Lett. 2003, 5, 4301–4304. [Google Scholar] [CrossRef]
- Cordova, A.; Notz, W.; Barbas , C.F., III. Proline-Catalyzed One-Step Asymmetric Synthesis of 5-Hydroxy-(2E)-hexenal from Acetaldehyde. J. Org. Chem. 2002, 67, 301–303. [Google Scholar] [CrossRef]
- Villano, R.; Rosaria Acocella, M.; Scettri, A. Influence of a remote sulfinyl group on l-proline-catalyzed direct asymmetric aldol addition of acetone. Tetrahedron 2016, 72, 5414–5419. [Google Scholar] [CrossRef]
- Llanes, P.; Sayalero, S.; Rodríguez-Escrich, C.; Pericàs, M.A. Asymmetric cross- and self-aldol reactions of aldehydes in water with a polystyrene-supported triazolylproline organocatalyst. Green Chem. 2016, 18, 3507–3512. [Google Scholar] [CrossRef]
- Demir, A.S.; Basceken, S. Study of asymmetric aldol and Mannich reactions catalyzed by proline–thiourea host–guest complexes in nonpolar solvents. Tetrahedron Asymmetry 2013, 24, 515–525. [Google Scholar] [CrossRef]
- Montroni, E.; Sanap, S.P.; Lombardo, M.; Quintavalla, A.; Trombini, C.; Dhavale, D.D. A New Robust and Efficient Ion-Tagged Proline Catalyst Carrying an Amide Spacer for the Asymmetric Aldol Reaction. Adv. Synth. Catal. 2011, 353, 3234–3240. [Google Scholar] [CrossRef]
- Karmakar, A.; Maji, T.; Wittmann, S.; Reiser, O. l-Proline/CoCl2-Catalyzed Highly Diastereo- and Enantioselective Direct Aldol Reactions. Chem. Eur. J. 2011, 17, 11024–11029. [Google Scholar] [CrossRef]
- El-Hamdouni, N.; Companyó, X.; Rios, R.; Moyano, A. Substrate-Dependent Nonlinear Effects in Proline–Thiourea-Catalyzed Aldol Reactions: Unraveling the Role of the Thiourea Co-Catalyst. Chem. Eur. J. 2010, 16, 1142–1148. [Google Scholar] [CrossRef]
- Shah, J.; Blumenthal, H.; Yacob, Z.; Liebscher, J. Proline-Catalyzed Asymmetric Aldol Reaction in Guanidine- Derived Ionic Liquids. Adv. Synth. Catal. 2008, 350, 1267–1270. [Google Scholar] [CrossRef]
- Pihko, P.M.; Laurikainen, K.M.; Usano, A.; Nyberg, A.I.; Kaavi, J.A. Effect of additives on the proline-catalyzed ketone–aldehyde aldol reactions. Tetrahedron 2006, 62, 317–328. [Google Scholar] [CrossRef]
- Hayashi, Y.; Yamaguchi, J.; Hibino, K.; Sumiya, T.; Urushima, T.; Shoji, M.; Hashizume, D.; Koshino, H. A Highly Active 4-Siloxyproline Catalyst for Asymmetric Synthesis. Adv. Synth. Catal. 2004, 346, 1435–1439. [Google Scholar] [CrossRef]
- Pihko, P.M.; Erkkilä, A. Enantioselective synthesis of prelactone B using a proline-catalyzed crossed-aldol reaction. Tetrahedron Lett. 2003, 44, 7607–7609. [Google Scholar] [CrossRef]
- Kotrusz, P.; Kmentová, I.; Gotov, B.; Toma, S.; Solčániová, E. Proline-catalysed asymmetric aldol reaction in the room temperature ionic liquid [bmim]PF6. Chem. Commun. 2002, 8, 2510–2511. [Google Scholar] [CrossRef]
- Pidathala, C.; Hoang, L.; Vignola, N.; List, B. Direct Catalytic Asymmetric Enolexo Aldolizations. Angew. Chem. Int. Ed. 2003, 42, 2785–2788. [Google Scholar] [CrossRef]
- Chandler, C.L.; List, B. Catalytic, Asymmetric Transannular Aldolizations: Total Synthesis of (+)-Hirsutene. J. Am. Chem. Soc. 2008, 130, 6737–6739. [Google Scholar] [CrossRef]
- Cordova, A.; Notz, W.; Barbas, C.F., III. Direct organocatalytic aldol reactions in buffered aqueous media. Chem. Commun. 2002, 24, 3024–3025. [Google Scholar] [CrossRef]
- Hayashi, Y.; Aratake, S.; Itoh, T.; Okano, T.; Sumiya, T.; Shoji, M. Dry and wet prolines for asymmetric organic solvent-free aldehyde–aldehyde and aldehyde–ketone aldol reactions. Chem. Commun. 2007, 9, 957–959. [Google Scholar] [CrossRef]
- Sakthivel, K.; Notz, W.; Bui, T.; Barbas, C.F., III. Amino Acid Catalyzed Direct Asymmetric Aldol Reactions: A Bioorganic Approach to Catalytic Asymmetric Carbon−Carbon Bond-Forming Reactions. J. Am. Chem. Soc. 2001, 123, 5260–5267. [Google Scholar] [CrossRef]
- Notz, W.; List, B. Catalytic Asymmetric Synthesis of anti-1,2-Diols. J. Am. Chem. Soc. 2000, 122, 7386–7387. [Google Scholar] [CrossRef]
- List, B.; Pojarliev, P.; Castello, C. Proline-Catalyzed Asymmetric Aldol Reactions between Ketones and α-Unsubstituted Aldehydes. Org. Lett. 2001, 3, 573–575. [Google Scholar] [CrossRef]
- Northrup, A.B.; MacMillan, D.W.C. The First Direct and Enantioselective Cross-Aldol Reaction of Aldehydes. J. Am. Chem. Soc. 2002, 124, 6798–6799. [Google Scholar] [CrossRef]
- Northrup, A.B.; Mangion, F.H.; MacMillan, D.W.C. Enantioselective Organocatalytic Direct Aldol Reactions of α-Oxyaldehydes: Step One in a Two-Step Synthesis of Carbohydrates. Angew. Chem. Int. Ed. 2004, 43, 2152–2154. [Google Scholar] [CrossRef]
- Northrup, A.B.; MacMillan, D.W.C. Two-step synthesis of carbohydrates by selective aldol reactions. Science 2004, 305, 1752–1755. [Google Scholar] [CrossRef]
- Notz, W.; Tanaka, F.; Barbas, C.F., III. Enamine-Based Organocatalysis with Proline and Diamines: The Development of Direct Catalytic Asymmetric Aldol, Mannich, Michael, and Diels−Alder Reactions. Acc. Chem. Res. 2004, 37, 580–591. [Google Scholar] [CrossRef]
- List, B. Enamine Catalysis Is a Powerful Strategy for the Catalytic Generation and Use of Carbanion Equivalents. Acc. Chem. Res. 2004, 37, 548–557. [Google Scholar] [CrossRef]
- Cordova, A.; Notz, W.; Zhong, G.; Betancort, J.; Barbas, C.F., III. A Highly Enantioselective Amino Acid-Catalyzed Route to Functionalized α-Amino Acids. J. Am. Chem. Soc. 2002, 124, 1842–1843. [Google Scholar] [CrossRef]
- List, B.; Pojarliev, P.; Biller, W.T.; Martin, H.J. The Proline-Catalyzed Direct Asymmetric Three-Component Mannich Reaction: Scope, Optimization, and Application to the Highly Enantioselective Synthesis of 1,2-Amino Alcohols. J. Am. Chem. Soc. 2002, 124, 827–833. [Google Scholar] [CrossRef]
- List, B. The Direct Catalytic Asymmetric Three-Component Mannich Reaction. J. Am. Chem. Soc. 2000, 122, 9336–9337. [Google Scholar] [CrossRef]
- Yang, J.W.; Stadler, M.; List, B. Proline-Catalyzed Mannich Reaction of Aldehydes with N-Boc-Imines. Angew. Chem. Int. Ed. 2007, 46, 609–611. [Google Scholar] [CrossRef]
- Hayashi, Y.; Urushima, T.; Tsuboi, W.; Shoji, M. l-Proline-catalyzed enantioselective one-pot cross-Mannich reaction of aldehydes. Nat. Protoc. 2007, 2, 113–118. [Google Scholar] [CrossRef]
- Yang, J.; Chandler, C.; Stadler, M.; Kempen, D.; List, B. Proline-catalysed Mannich reactions of acetaldehyde. Nature 2008, 452, 453–455. [Google Scholar] [CrossRef]
- Bøgevig, A.; Juhl, K.; Kumaragurubaran, N.; Zhuang, W.; Jørgensen, K.A. Direct Organo-Catalytic Asymmetric α-Amination of Aldehydes—A Simple Approach to Optically Active α-Amino Aldehydes, α-Amino Alcohols, and α-Amino Acids. Angew. Chem. Int. Ed. 2002, 41, 1790–1793. [Google Scholar] [CrossRef]
- List, B. Direct Catalytic Asymmetric α-Amination of Aldehydes. J. Am. Chem. Soc. 2002, 124, 5656–5657. [Google Scholar] [CrossRef]
- Kumaragurubaran, N.; Juhl, K.; Zhuang, W.; Bøgevig, A.; Jørgensen, K.A. Direct l-Proline-Catalyzed Asymmetric α-Amination of Ketones. J. Am. Chem. Soc. 2002, 124, 6254–6255. [Google Scholar] [CrossRef]
- Juhl, K.; Jørgensen, K.A. Catalytic Asymmetric Direct α-Amination Reactions of 2-Keto Esters: A Simple Synthetic Approach to Optically Active syn-β-Amino-α-hydroxy Esters. J. Am. Chem Soc. 2002, 124, 2420–2421. [Google Scholar] [CrossRef]
- Ashley, M.A.; Hirschi, J.S.; Izzo, J.A.; Vetticatt, M.J. Isotope Effects Reveal the Mechanism of Enamine Formation in l-Proline-Catalyzed α-Amination of Aldehydes. J. Am. Chem. Soc. 2016, 138, 1756–1759. [Google Scholar] [CrossRef]
- Kanzian, T.; Lakhdar, S.; Mayr, H. Kinetic Evidence for the Formation of Oxazolidinones in the Stereogenic Step of Proline-Catalyzed Reactions. Angew. Chem. Int. Ed. 2010, 49, 9526–9529. [Google Scholar] [CrossRef]
- Brown, S.P.; Brochu, M.P.; Sinz, C.J.; MacMillan, D.W.C. The Direct and Enantioselective Organocatalytic α-Oxidation of Aldehydes. J. Am. Chem. Soc. 2003, 125, 10808–10809. [Google Scholar] [CrossRef]
- Zhong, G. A Facile and Rapid Route to Highly Enantiopure 1,2-Diols by Novel Catalytic Asymmetric α-Aminoxylation of Aldehydes. Angew. Chem. Int. Ed. 2003, 42, 4247–4250. [Google Scholar] [CrossRef]
- Hayashi, Y.; Yamaguchi, J.; Sumiya, T.; Shoji, M. Direct Proline-Catalyzed Asymmetric α-Aminoxylation of Ketones. Angew. Chem. Int. Ed. 2004, 43, 1112–1115. [Google Scholar] [CrossRef]
- Hayashi, Y.; Yamaguchi, J.; Sumiya, T.; Hibino, K.; Shoji, M. Direct Proline-Catalyzed Asymmetric α-Aminoxylation of Aldehydes and Ketones. J. Org. Chem. 2004, 69, 5966–5973. [Google Scholar] [CrossRef]
- Bogevig, A.; Sunden, H.; Cordova, A. Direct Catalytic Enantioselective α-Aminoxylation of Ketones: A Stereoselective Synthesis of α-Hydroxy and α,α′-Dihydroxy Ketones. Angew. Chem. Int. Ed. 2004, 43, 1129–1132. [Google Scholar] [CrossRef]
- Hayashi, Y.; Yamaguchi, J.; Hibino, K.; Shoji, M. Direct proline catalyzed asymmetric α-aminooxylation of aldehydes. Tetrahedron Lett. 2003, 44, 8293–8296. [Google Scholar] [CrossRef]
- Kumar, P.; Dwivedi, N. Proline Catalyzed α-Aminoxylation Reaction in the Synthesis of Biologically Active Compounds. Acc. Chem. Res. 2013, 46, 289–299. [Google Scholar] [CrossRef]
- Palomo, C.; Vera, S.; Velilla, I.; Mielgo, A.; Gomez-Bengoa, E. Regio- and Enantioselective Direct Oxyamination Reaction of Aldehydes Catalyzed by α,α-Diphenylprolinol Trimethylsilyl Ether. Angew. Chem. Int. Ed. 2007, 46, 8054–8056. [Google Scholar] [CrossRef]
- Companyó, X.; Valero, G.; Crovetto, L.; Moyano, A.; Rios, R. Highly Enantio- and Diastereoselective Organocatalytic Desymmetrization of Prochiral Cyclohexanones by Simple Direct Aldol Reaction Catalyzed by Proline. Chem. Eur. J. 2009, 15, 6564–6568. [Google Scholar] [CrossRef]
- Reis, O.; Eymur, S.; Reis, B.; Demir, A.S. Direct enantioselectivealdol reactions catalyzed by a proline–thiourea host–guest complex. Chem. Commun. 2009, 9, 1088–1090. [Google Scholar] [CrossRef]
- Poe, S.L.; Bogdan, A.R.; Mason, B.P.; Steinbacher, J.L.; Opalka, S.M.; McQuade, D.T. Use of Bifunctional Ureas to Increase the Rate of Proline-Catalyzed α-Aminoxylations. J. Org. Chem. 2009, 74, 1574–1580. [Google Scholar] [CrossRef]
- Yamashita, Y.; Yasukawa, T.; Yoo, W.-J.; Kitanosono, T.; Kobayashi, S. Catalytic enantioselective aldol reactions. Chem. Soc. Rev. 2018, 47, 4388–4480. [Google Scholar] [CrossRef]
- Gómez Arrayás, R.; Carretero, J.C. Catalytic asymmetric direct Mannich reaction: A powerful tool for the synthesis of α,β-diamino acids. Chem. Soc. Rev. 2009, 38, 1940–1948. [Google Scholar] [CrossRef]
- Verkade, J.M.M.; van Hemert, L.J.C.; Quaedfliegb, P.J.L.M.; Rutjes, F.P.J.T. Organocatalysed asymmetric Mannich reactions. Chem. Soc. Rev. 2008, 37, 29–41. [Google Scholar] [CrossRef]
- Cai, X.-H.; Guo, H.; Bing, X. Recent progress in the asymmetric Mannich reaction. Eur. J. Chem. 2012, 3, 258–266. [Google Scholar] [CrossRef]
- Duthaler, R.O. Proline-Catalyzed Asymmetric α-Amination of Aldehydes and Ketones—An Astonishingly Simple Access to Optically Active α-Hydrazino Carbonyl Compounds. Angew. Chem. Int. Ed. 2003, 42, 975–978. [Google Scholar] [CrossRef]
- Merino, P.; Tejero, T. Organocatalyzed Asymmetric α-Aminoxylation of Aldehydes and Ketones—An Efficient Access to Enantiomerically Pure α-Hydroxycarbonyl Compounds, Diols, and Even Amino Alcohols. Angew. Chem. Int. Ed. 2004, 43, 2995–2997. [Google Scholar] [CrossRef]
- Albrecht, Ł.; Jiang, H.; Jørgensen, K.A. Hydrogen-Bonding in Aminocatalysis: From Proline and Beyond. Chem. Eur. J. 2014, 20, 358–368. [Google Scholar] [CrossRef]
- Liu, X.; Lin, L.; Feng, X. Amide-based bifunctional organocatalysts in asymmetric reactions. Chem. Commun. 2009, 41, 6145–6158. [Google Scholar] [CrossRef]
- Tang, Z.; Jiang, F.; Yu, L.T.; Cui, X.; Gong, L.Z.; Mi, A.Q.; Jiang, Y.Z. Novel Small Organic Molecules for a Highly Enantioselective Direct Aldol Reaction. J. Am. Chem. Soc. 2003, 125, 5262–5263. [Google Scholar] [CrossRef]
- Tang, Z.; Jiang, F.; Cui, X.; Gong, L.-Z.; Mi, A.-Q.; Jiang, Y.-Z.; Wu, Y.-D. Enantioselective direct aldol reactions catalyzed by l-prolinamide derivatives. Proc. Natl. Acad. Sci. USA 2004, 101, 5755–5760. [Google Scholar] [CrossRef]
- Tang, Z.; Yang, Z.H.; Chen, X.H.; Cun, L.F.; Mi, A.Q.; Jiang, Y.Z.; Gong, L.Z. A Highly Efficient Organocatalyst for Direct Aldol Reactions of Ketones with Aldedydes. J. Am. Chem. Soc. 2005, 127, 9285–9289. [Google Scholar] [CrossRef]
- Yang, H.; Carter, R.G. Proline Sulfonamide Based Organocatalysis: Better Late than Never. Synlett 2010, 19, 2827–2838. [Google Scholar] [CrossRef]
- Berkessel, A.; Koch, B.; Lex, J. Proline-Derived N-Sulfonylcarboxamides: Readily Available, Highly Enantioselective and Versatile Catalysts for Direct Aldol Reactions. Adv. Synth. Catal. 2004, 346, 1141–1146. [Google Scholar] [CrossRef]
- Cobb, A.J.A.; Shaw, D.M.; Longbottom, D.A.; Gold, J.B.; Ley, S.V. Organocatalysis with proline derivatives: Improved catalysts for the asymmetric Mannich, nitro-Michael and aldol reactions. Org. Biomol. Chem. 2005, 3, 84–96. [Google Scholar] [CrossRef]
- Bellis, E.; Kokotos, G. 4-Substituted prolines as organocatalysts for aldol reactions. Tetrahedron 2005, 61, 8669–8676. [Google Scholar] [CrossRef]
- Silva, F.; Sawicki, M.; Gouverneur, V. Enantioselective Organocatalytic Aldol Reaction of Ynones and Its Synthetic Applications. Org. Lett. 2006, 8, 5417–5419. [Google Scholar] [CrossRef]
- Sundén, H.; Dahlin, N.; Ibrahem, I.; Adolfsson, H.; Cordova, A. Novel organic catalysts for the direct enantioselective α-oxidation of carbonyl compounds. Tetrahedron Lett. 2005, 46, 3385–3389. [Google Scholar] [CrossRef]
- Wang, W.; Wang, J.; Li, H. A Simple and Efficient l-Prolinamide-Catalyzed α-Selenenylation Reaction of Aldehydes. Org. Lett. 2004, 6, 2817–2820. [Google Scholar] [CrossRef]
- Gryko, D.; Chromiński, M.; Pielacińska, D.J. Prolinethioamides versus Prolinamides in Organocatalyzed Aldol Reactions—A Comparative Study. Symmetry 2011, 3, 265–282. [Google Scholar] [CrossRef]
- Gryko, D.; Lipinski, R. l-Prolinethioamides—Efficient Organocatalysts for the Direct Asymmetric Aldol Reaction. Adv. Synth. Catal. 2005, 347, 1948–1952. [Google Scholar] [CrossRef]
- Almaşi, D.; Alonso, D.A.; Nájera, C. Prolinamides versus Prolinethioamides as Recyclable Catalysts in the Enantioselective Solvent-Free Inter- and Intramolecular Aldol Reactions. Adv. Synth. Catal. 2008, 350, 2467–2472. [Google Scholar] [CrossRef]
- Wang, B.; Chen, G.; Liu, L.; Chang, W.; Li, J. A Novel Proline-Valinol Thioamide Small Organic Molecule for a Highly Enantioselective Direct Aldol Reaction. Adv. Synth. Catal. 2009, 351, 2441–2448. [Google Scholar] [CrossRef]
- Torii, H.; Nakadai, M.; Ishihara, K.; Saito, S.; Yamamoto, H. Asymmetric direct aldol reaction assisted by water and a proline-derived tetrazole catalyst. Angew. Chem. Int. Ed. 2004, 43, 1983–1986. [Google Scholar] [CrossRef]
- Momiyama, N.; Torii, H.; Saito, S.; Yamamoto, H. O-nitroso aldol synthesis: Catalytic enantioselective route to α-aminooxy carbonyl compounds via enamine intermediate. Proc. Natl. Acad. Sci. USA 2004, 101, 5374–5378. [Google Scholar] [CrossRef]
- Cobb, A.J.A.; Shaw, D.M.; Ley, S.V. 5-Pyrrolidin-2-yltetrazole: A New, Catalytic, More Soluble Alternative to Proline in an Organocatalytic Asymmetric Mannich-type Reaction. Synlett 2004, 3, 558–560. [Google Scholar] [CrossRef]
- Hartikka, A.; Arvidsson, P.I. 5-(Pyrrolidine-2-yl)tetrazole: Rationale for the Increased Reactivity of the Tetrazole Analogue of Proline in Organocatalyzed Aldol Reactions. Eur. J. Org. Chem. 2005, 2005, 4287–4295. [Google Scholar] [CrossRef]
- Maji, B.; Yamamoto, H. Proline-Tetrazole-Catalyzed Enantioselective N-Nitroso Aldol Reaction of Aldehydes with In Situ Generated Nitrosocarbonyl Compounds. Angew. Chem. Int. Ed. 2014, 53, 8714. [Google Scholar] [CrossRef]
- Hayashi, Y.; Aratake, S.; Okano, T.; Takahashi, J.; Sumiya, T.; Shoji, M. Combined Proline–Surfactant Organocatalyst for the Highly Diastereo- and Enantioselective Aqueous Direct Cross-Aldol Reaction of Aldehydes. Angew. Chem. Int. Ed. 2006, 45, 5527–5529. [Google Scholar] [CrossRef]
- Zlotin, S.G. Hydroxyproline Derivatives as Asymmetric Organocatalysts. In Sustainable Catalysis: Without Metals or Other Endangered Elements, Part 1; Chapter 10; RSC Publishing: Cambridge, UK, 2015; p. 236. [Google Scholar]
- Martin, H.J.; List, B. Mining Sequence Space for Asymmetric Aminocatalysis: N-Terminal Prolyl-Peptides Efficiently Catalyze Enantioselective Aldol and Michael Reactions. Synlett 2003, 12, 1901–1902. [Google Scholar] [CrossRef]
- Hernandez, J.G.; Juaristi, E. Asymmetric Aldol Reaction Organocatalyzed by (S)-Proline-Containing Dipeptides: Improved Stereoinduction under Solvent-Free Conditions. J. Org. Chem. 2011, 76, 1464–1467. [Google Scholar] [CrossRef]
- Bisticha, A.; Triandafillidi, I.; Kokotos, C.G. tert-Butyl esters of peptides as organocatalysts for the asymmetric aldol reaction. Tetrahedron Asymmetry 2015, 26, 102–108. [Google Scholar] [CrossRef]
- Lei, M.; Shi, L.; Li, G.; Chen, S.; Fang, W.; Ge, Z.; Cheng, T.; Li, R. Dipeptide-catalyzed direct asymmetric aldol reactions in the presence of water. Tetrahedron 2007, 63, 7892–7898. [Google Scholar] [CrossRef]
- Agarwal, J. Progress in aminosugar derived asymmetric organocatalysis. Org. Biomol. Chem. 2016, 14, 10747–10762. [Google Scholar] [CrossRef]
- Yeboah, E.M.O.; Yeboah, S.O.; Singh, G.S. Recent applications of Cinchona alkaloids and their derivatives as catalysts in metal-free asymmetric synthesis. Tetrahedron 2011, 67, 1725–1762. [Google Scholar] [CrossRef]
- Chen, J.-R.; An, X.-L.; Zhu, X.-Y.; Wang, X.-F.; Xiao, W.-J. Rational Combination of Two Privileged Chiral Backbones: Highly Efficient Organocatalysts for Asymmetric Direct Aldol Reactions between Aromatic Aldehydes and Acylic Ketones. J. Org. Chem. 2008, 73, 6006–6009. [Google Scholar] [CrossRef]
- Barrulas, P.; Benaglia, M.; Burke, A.J. Synthesis of novel cinchona-amino acid hybrid organocatalysts for asymmetric catalysis. Tetrahedron Asymmetry 2014, 25, 923–935. [Google Scholar] [CrossRef]
- Guo, H.-M.; Cheng, L.; Cun, L.-F.; Gong, L.-Z.; Mi, A.-Q.; Jiang, Y.-Z. l-Prolinamide-catalyzed direct nitroso aldol reactions of α-branched aldehydes: A distinct regioselectivity from that with l-proline. Chem. Commun. 2006, 429–431. [Google Scholar] [CrossRef]
- Saito, S.; Yamamoto, H. Design of Acid−Base Catalysis for the Asymmetric Direct Aldol Reaction. Acc. Chem. Res. 2004, 37, 570–579. [Google Scholar] [CrossRef]
- Chen, J.R.; Lu, H.H.; Li, X.Y.; Cheng, L.; Wan, J.; Xiao, W.J. Readily Tunable and Bifunctional l-Prolinamide Derivatives: Design and Application in the Direct Enantioselective Aldol Reactions. Org. Lett. 2005, 7, 4543–4545. [Google Scholar] [CrossRef]
- Gandhi, S.; Singh, V.K. Synthesis of Chiral Organocatalysts derived from Aziridines: Application in Asymmetric Aldol Reaction. J. Org. Chem. 2008, 73, 9411–9416. [Google Scholar] [CrossRef]
- Banon-Caballero, A.; Guillena, G.; Nájera, C. Solvent-free direct enantioselective aldol reaction using polystyrene-supported N-sulfonyl-(Ra)-binam-d-prolinamide as a catalyst. Green Chem. 2010, 12, 1599–1606. [Google Scholar] [CrossRef]
- Bradshaw, B.; Etxebarria-Jardi, G.; Bonjoch, J.; Viozquez, S.F.; Guillena, G.; Nájera, C. Efficient Solvent-Free Robinson Annulation Protocols for the Highly Enantioselective Synthesis of the Wieland–Miescher Ketone and Analogues. Adv. Synth. Catal. 2009, 351, 2482–2490. [Google Scholar] [CrossRef]
- Viozquez, S.F.; Guillena, G.; Nájera, C.; Bradshaw, B.; Etxebarria-Jardi, G.; Bonjoch, J. (Sa,S)-N-[2‘-(4-Methylphenylsulfonamido)-1,1’-Binaphthyl-2-Yl]pyrrolidine-2-Carboxamide: An Organocatalyst for the Direct Aldol Reaction. Org. Synth. 2011, 88, 317–329. [Google Scholar] [CrossRef]
- Connon, S.J. Organocatalysis Mediated by (Thio)urea Derivatives. Chem. Eur. J. 2006, 12, 5418–5427. [Google Scholar] [CrossRef]
- Tsakos, M.; Kokotos, C.G. Primary and secondary amine-(thio)ureas and squaramides and their applications in asymmetric organocatalysis. Tetrahedron 2013, 69, 10199–10222. [Google Scholar] [CrossRef]
- Fotaras, S.; Kokotos, C.G.; Tsandi, E.; Kokotos, G. Prolinamides Bearing Thiourea Groups as Catalysts for Asymmetric Aldol Reactions. Eur. J. Org. Chem. 2011, 2011, 1310–1317. [Google Scholar] [CrossRef]
- Kokotos, C.G. Construction of Tertiary Alcohols Bearing Perfluoroalkyl Chains Catalyzed by Prolinamide-Thioureas. J. Org. Chem. 2012, 77, 1131–1135. [Google Scholar] [CrossRef]
- Narayaperumal, S.; Rivera, D.G.; Silva, R.C.; Paixao, M.W. Terpene-Derived Bifunctional Thioureas in Asymmetric Organocatalysis. ChemCatChem. 2013, 5, 2756–2773. [Google Scholar] [CrossRef]
- Metrano, A.J.; Chinn, A.J.; Shugrue, C.R.; Stone, A.; Kim, B.; Miller, S.J. Asymmetric Catalysis Mediated by Synthetic Peptides, Version 2.0: Expansion of Scope and Mechanisms. Chem. Rev. 2020, 120, 11479–11615. [Google Scholar] [CrossRef]
- Wennemers, H. Asymmetric catalysis with peptides. Chem. Commun. 2011, 47, 12036–12041. [Google Scholar] [CrossRef]
- Davie, E.A.C.; Mennen, S.M.; Xu, Y.; Miller, S.J. Asymmetric Catalysis Mediated by Synthetic Peptides. Chem. Rev. 2007, 107, 5759–5812. [Google Scholar] [CrossRef]
- Rodriguez-Llansola, F.; Miravet, J.F.; Escuder, B. A supramolecular hydrogel as a reusable heterogeneous catalyst for the direct aldol reaction. Chem. Commun. 2009, 47, 7303–7305. [Google Scholar] [CrossRef]
- Hu, X.-M.; Zhang, D.-X.; Zhang, S.-Y.; Wang, P.-A. Highly modular dipeptide-like organocatalysts for direct asymmetric aldol reactions in brine. RSC Adv. 2015, 5, 39557–39564. [Google Scholar] [CrossRef]
- Krattiger, P.; Kovasy, R.; Revell, J.D.; Ivan, S.; Wennemers, H. Increased Structural Complexity Leads to Higher Activity: Peptides as Efficient and Versatile Catalysts for Asymmetric Aldol Reactions. Org. Lett. 2005, 7, 1101–1103. [Google Scholar] [CrossRef]
- D’Elia, V.; Zwicknagl, H.; Reiser, O. Short α/β-Peptides as Catalysts for Intra- and Intermolecular Aldol Reactions. J. Org. Chem. 2008, 73, 3262–3265. [Google Scholar] [CrossRef]
- Agirre, M.; Arrieta, A.; Arrastia, I.; Cossio, F.P. Organocatalysts Derived from Unnatural α-Amino Acids: Scope and Applications. Chem. Asian J. 2019, 14, 44–66. [Google Scholar] [CrossRef]
- List, B.; Coric, I.; Grygornko, O.O.; Kaib, P.S.J.; Komarov, I.; Lee, A.; Leutzsch, M.; Pan, S.C.; Tymtsunik, A.V.; van Gemmeren, M. The Catalytic Asymmetric α-Benzylation of Aldehydes. Angew. Chem. Int. Ed. 2014, 53, 282–285. [Google Scholar] [CrossRef]
- Zhang, H.; Mitsumori, S.; Utsumi, N.; Imai, M.; Garcia-Delgado, N.; Mifsud, M.; Albertshofer, K.; Cheong, P.H.-Y.; Houk, K.N.F.; Tanaka, F.; et al. Catalysis of 3-Pyrrolidinecarboxylic Acid and Related Pyrrolidine Derivatives in Enantioselective anti-Mannich-Type Reactions: Importance of the 3-Acid Group on Pyrrolidine for Stereocontrol. J. Am. Chem. Soc. 2008, 130, 875–886. [Google Scholar] [CrossRef]
- Gómez-Bengoa, E.; Maestro, M.; Mielgo, A.; Otazo, I.; Palomo, C.; Velilla, I. A 4-Hydroxypyrrolidine-Catalyzed Mannich Reaction of Aldehydes: Control of anti-Selectivity by Hydrogen Bonding Assisted by Brønsted Acids. Chem. Eur. J. 2010, 16, 5333–5342. [Google Scholar] [CrossRef]
- Martín-Rapún, R.; Fan, X.; Sayalero, S.; Bahramnejad, M.; Cuevas, F.; Pericàs, M.A. Highly Active Organocatalysts for Asymmetric anti-Mannich Reactions. Chem. Eur. J. 2011, 17, 8780–8783. [Google Scholar] [CrossRef]
- Chuan, Y.-M.; Chen, G.-H.; Gao, J.-Z.; Zhang, H.; Peng, Y.-G. A facile direct anti-selective catalytic asymmetric Mannich reaction of aldehydes with preformed N-Boc and N-Cbz imines. Chem. Commun. 2011, 47, 3260–3262. [Google Scholar] [CrossRef]
- Gao, J.; Chuan, Y.; Li, J.; Xie, F.; Peng, Y. A convenient and mild chromatography-free method for the purification of the products of Wittig and Appel reactions. Org. Biomol. Chem. 2012, 10, 3730–3737. [Google Scholar] [CrossRef]
- Kano, T.; Maruoka, K. Unique properties of chiral biaryl-based secondary aminecatalysts for asymmetric enamine catalysis. Chem. Sci. 2013, 4, 907–915. [Google Scholar] [CrossRef]
- Kano, T.; Yamaguchi, Y.; Tokuda, O.; Maruoka, K. anti-Selective Direct Asymmetric Mannich Reactions Catalyzed by Axially Chiral Amino Sulfonamide as an Organocatalyst. J. Am. Chem. Soc. 2005, 127, 14609–16408. [Google Scholar] [CrossRef]
- Kano, T.; Yamaguchi, Y.; Maruoka, K. A Designer Axially Chiral Amino Sulfonamide as an Efficient Organocatalyst for Direct Asymmetric Mannich Reactions of N-Boc-Protected Imines. Angew. Chem. Int. Ed. 2009, 48, 1838–1840. [Google Scholar] [CrossRef]
- Kano, T.; Yamaguchi, Y.; Tanaka, Y.; Maruoka, K. syn-Selective and Enantioselective Direct Cross-Aldol Reactions between Aldehydes Catalyzed by an Axially Chiral Amino Sulfonamide. Angew. Chem. Int. Ed. 2007, 46, 1768–1770. [Google Scholar] [CrossRef]
- Kano, T.; Takai, J.; Tokuda, O.; Maruoka, K. Design of an Axially Chiral Amino Acid with a Binaphthyl Backbone as an Organocatalyst for a Direct Asymmetric Aldol Reaction. Angew. Chem. Int. Ed. 2005, 44, 3055–3057. [Google Scholar] [CrossRef]
- Kano, T.; Yamaguchi, Y.; Maruoka, K. A Designer Axially Chiral Amino Sulfonamide as an Efficient Organocatalyst for Direct Asymmetric anti-Selective Mannich Reactions and syn-Selective Cross-Aldol Reactions. Chem. Eur. J. 2009, 15, 6678–6687. [Google Scholar] [CrossRef]
- Xu, L.-W.; Luo, J.; Lu, Y. Asymmetric catalysis with chiral primary amine-based organocatalysts. Chem. Commun. 2009, 14, 1807–1821. [Google Scholar] [CrossRef]
- Serdyuk, O.V.; Heckel, C.M.; Tsogoeva, S.B. Bifunctional primary amine-thioureas in asymmetric organocatalysis. Org. Biomol. Chem. 2013, 11, 7051–7071. [Google Scholar] [CrossRef]
- Cordova, A.; Zou, W.; Ibrahem, I.; Reyes, E.; Engqvist, M.; Liao, W.-W. Acyclic amino acid-catalyzed direct asymmetric aldol reactions: Alanine, the simplest stereoselective organocatalyst. Chem. Commun. 2005, 28, 3586–3588. [Google Scholar] [CrossRef]
- Xu, L.-W.; Lu, Y. Primary amino acids: Privileged catalysts in enantioselective organocatalysis. Org. Biomol. Chem. 2008, 6, 2047–2053. [Google Scholar] [CrossRef]
- Liu, J.; Yang, Z.; Wang, Z.; Wang, F.; Chen, X.; Liu, X.; Feng, X.; Su, Z.; Hu, C. Asymmetric Direct Aldol Reaction of Functionalized Ketones Catalyzed by Amine Organocatalysts Based on Bispidine. J. Am. Chem. Soc. 2008, 130, 5654–5655. [Google Scholar] [CrossRef]
- Nakayama, K.; Maruoka, K. Complete Switch of Product Selectivity in Asymmetric Direct Aldol Reaction with Two Different Chiral Organocatalysts from a Common Chiral Source. J. Am. Chem. Soc. 2008, 130, 17666–17667. [Google Scholar] [CrossRef]
- Deng, Y.H.; Chen, J.-Q.; He, L.; Kang, T.-R.; Liu, Q.-Z.; Luo, S.-W.; Yuan, W.-C. Highly Enantioselective Aldol Reactions between Acetaldehyde and Activated Acyclic Ketones Catalyzed by Chiral Primary Amines. Chem. Eur. J. 2013, 19, 7143–7150. [Google Scholar] [CrossRef]
- Dziedzic, P.; Zou, W.; Hafren, J.; Cordova, A. The small peptide-catalyzed direct asymmetric aldol reaction in water. Org. Biomol. Chem. 2006, 4, 38–40. [Google Scholar] [CrossRef]
- Wu, F.-C.; Da, C.-S.; Du, Z.-X.; Guo, Q.-P.; Li, W.-P.; Yi, L.; Jia, Y.-N.; Ma, X. N-Primary-Amine-Terminal β-Turn Tetrapeptides as Organocatalysts for Highly Enantioselective Aldol Reaction. J. Org. Chem. 2009, 74, 4812–4818. [Google Scholar] [CrossRef]
- Du, Z.-H.; Tao, B.-X.; Yuan, M.; Qin, W.-J.; Xu, Y.-L.; Wang, P.; Da, C.-S. Peptide-Catalyzed Highly Asymmetric Cross-Aldol Reaction of Aldehydes to Biomimetically Synthesize 1,4-Dicarbonyls. Org. Lett. 2020, 22, 4444–4450. [Google Scholar] [CrossRef]
- Liu, T.-Y.; Cui, H.-L.; Jiang, K.; Du, W.; He, Z.-Q.; Chen, Y.-C. Organocatalytic and Highly Enantioselective Direct α-Amination of Aromatic Ketones. Org. Lett. 2007, 9, 3671–3674. [Google Scholar] [CrossRef]
- Reyes, E.; Uria, U.; Carrillo, L.; Vicario, J.L. The Catalytic Enantioselective Michael reaction. In Organic Reactions; Denmark, S.E., Ed.; John Wiley & Sons: Hoboken, NJ, USA, 2016; pp. 1–898. [Google Scholar]
- List, B.; Pojarliev, P.; Martin, H.J. Efficient Proline-Catalyzed Michael Additions of Unmodified Ketones to Nitro Olefins. Org. Lett. 2001, 3, 2423–2425. [Google Scholar] [CrossRef]
- Cobb, A.J.A.; Longbottom, D.A.; Shaw, D.M.; Ley, S.V. 5-Pyrrolidin-2-yltetrazole as an asymmetric organocatalyst for the addition of ketones to nitro-olefins. Chem. Commun. 2004, 16, 1808–1809. [Google Scholar] [CrossRef]
- Mitchell, C.E.T.; Cobb, A.J.A.; Ley, S.V. A Homo-Proline Tetrazole as an Improved Organocatalyst for the Asymmetric Michael Addition of Carbonyl Compounds to Nitro-Olefins. Synlett 2005, 4, 611–614. [Google Scholar] [CrossRef]
- Cao, C.-L.; Ye, M.-C.; Sun, X.-L.; Tang, Y. Pyrrolidine−Thiourea as a Bifunctional Organocatalyst: Highly Enantioselective Michael Addition of Cyclohexanone to Nitroolefins. Org. Lett. 2006, 8, 2901–2904. [Google Scholar] [CrossRef]
- Kokotos, C.G.; Limnios, D.; Triggidou, D.; Trifonidou, M.; Kokotos, G. Novel pyrrolidine-thiohydantoins/thioxotetrahydropyrimidinones as highly effective catalysts for the asymmetric Michael addition. Org. Biomol. Chem. 2011, 9, 3386–3395. [Google Scholar] [CrossRef]
- Mahato, C.K.; Mukherjee, S.; Kundu, M.; Pramanik, A. Pyrrolidine-Oxadiazolone Conjugates as Organocatalysts in Asymmetric Michael Reaction. J. Org. Chem. 2019, 84, 1053–1063. [Google Scholar] [CrossRef]
- Kucherenko, A.S.; Lisnyak, V.G.; Kostenko, A.A.; Kochetkov, S.V.; Zlotin, S.G. C 2-Symmetric pyrrolidine-derived squaramides as recyclable organocatalysts for asymmetric Michael reactions. Org. Biomol. Chem. 2016, 14, 9751–9759. [Google Scholar] [CrossRef]
- Kaur, A.; Singh, K.N.; Sharma, E.; Rani, S.P.; Sharma, S.K. Pyrrolidine-carbamate based new and efficient chiral organocatalyst for asymmetric Michael addition of ketones to nitroolefins. Tetrahedron 2018, 74, 6137–6143. [Google Scholar] [CrossRef]
- Reyes-Rangel, G.; Vargas-Caporali, J.; Juaristi, E. Asymmetric Michael addition reaction organocatalyzed by stereoisomeric pyrrolidine sulfinamides under neat conditions. A brief study of self-disproportionation of enantiomers. Tetrahedron 2017, 73, 4707–4718. [Google Scholar] [CrossRef]
- Cruz-Hernández, C.; Martínez-Martínez, E.; Hernández-González, P.E.; Juaristi, E. Synthesis of a New N-Diaminophosphoryl-N′-[(2S)-2-pyrrolidinylmethyl]thiourea as a Chiral Organocatalyst for the Stereoselective Michael Addition of Cyclohexanone to Nitrostyrenes and Chalcones—Application in Cascade Processes for the Synthesis of Polycyclic Systems. Eur. J. Org. Chem. 2018, 2018, 6890–6900. [Google Scholar] [CrossRef]
- Palomo, C.; Vera, S.; Mielgo, A.; Gomez-Bengoa, E. Highly Efficient Asymmetric Michael Addition of Aldehydes to Nitroalkenes Catalyzed by a Simple trans-4-Hydroxyprolylamide. Angew. Chem. Int. Ed. 2006, 45, 5984–5987. [Google Scholar] [CrossRef]
- Wiesner, M.; Upert, G.; Angelici, G.; Wennemers, H. Enamine Catalysis with Low Catalyst Loadings—High Efficiency via Kinetic Studies. J. Am. Chem. Soc. 2010, 132, 6–7. [Google Scholar] [CrossRef]
- Wiesner, M.; Revell, J.D.; Tonazzi, S.; Wennemers, H. Peptide Catalyzed Asymmetric Conjugate Addition Reactions of Aldehydes to Nitroethylene—A Convenient Entry into γ2-Amino Acids. J. Am. Chem. Soc. 2008, 130, 5610–5611. [Google Scholar] [CrossRef]
- Duschmale, J.; Wennemers, H. Adapting to Substrate Challenges: Peptides as Catalysts for Conjugate Addition Reactions of Aldehydes to α,β-Disubstituted Nitroolefins. Chem. Eur. J. 2012, 18, 1111–1120. [Google Scholar] [CrossRef]
- Kastl, R.; Wennemers, H. Peptide-Catalyzed Stereoselective Conjugate Addition Reactions Generating All-Carbon Quaternary Stereogenic Centers. Angew. Chem. Int. Ed. 2013, 52, 7228–7232. [Google Scholar] [CrossRef]
- Wiesner, M.; Revell, J.D.; Wennemers, H. Tripeptides as Efficient Asymmetric Catalysts for 1,4-Addition Reactions of Aldehydes to Nitroolefins–A Rational Approach. Angew. Chem. Int. Ed. 2008, 47, 1871–1874. [Google Scholar] [CrossRef]
- Wiesner, M.; Neuburger, M.; Wennemers, H. Tripeptides of the Type H-D-Pro-Pro-Xaa-NH2 as Catalysts for Asymmetric 1,4-Addition Reactions: Structural Requirements for High Catalytic Efficiency. Chem. Eur. J. 2009, 15, 10103–10109. [Google Scholar] [CrossRef]
- Bachle, F.; Duschmale, J.; Ebner, C.; Pfaltz, A.; Wennemers, H. Organocatalytic Asymmetric Conjugate Addition of Aldehydes to Nitroolefins: Identification of Catalytic Intermediates and the Stereoselectivity-Determining Step by ESI-MS. Angew. Chem. Int. Ed. 2013, 52, 12619–12623. [Google Scholar] [CrossRef]
- Schnitzer, T.; Wennemers, H. Influence of the Trans/Cis Conformer Ratio on the Stereoselectivity of Peptidic Catalysts. J. Am. Chem. Soc. 2017, 139, 15356–15362. [Google Scholar] [CrossRef]
- Schnitzer, T.; Wennemers, H. Effect of γ-Substituted Proline Derivatives on the Performance of the Peptidic Catalyst H-dPro-Pro-Glu-NH2. Synthesis 2018, 50, 4377–4382. [Google Scholar] [CrossRef]
- Siebler, C.; Maryasin, B.; Kuemin, M.; Erdmann, R.S.; Rigling, C.; Grunenfelder, C.; Ochsenfeld, C.; Wennemers, H. Importance of dipole moments and ambient polarity for the conformation of Xaa–Pro moieties—A combined experimental and theoretical study. Chem. Sci. 2015, 6, 6725–6730. [Google Scholar] [CrossRef]
- Rigling, C.; Kisunzu, J.K.; Duschmale, J.; Haussinger, D.; Wiesner, M.; Ebert, M.-O.; Wennemers, H. Conformational Properties of a Peptidic Catalyst: Insights from NMR Spectroscopic Studies. J. Am. Chem. Soc. 2018, 140, 10829–10838. [Google Scholar] [CrossRef]
- Duschmale, J.; Wiest, J.; Wiesner, M.; Wennemers, H. Effects of internal and external carboxylic acids on the reaction pathway of organocatalytic 1,4-addition reactions between aldehydes and nitroolefins. Chem. Sci. 2013, 4, 1312–1318. [Google Scholar] [CrossRef]
- Schnitzer, T.; Mohler, J.S.; Wennemers, H. Effect of the enamine pyramidalization direction on the reactivity of secondary amine organocatalysts. Chem. Sci. 2020, 11, 1943–1947. [Google Scholar] [CrossRef]
- Bures, J.; Armstrong, A.; Blackmond, D.G. Explaining Anomalies in Enamine Catalysis: “Downstream Species” as a New Paradigm for Stereocontrol. Acc. Chem. Res. 2016, 49, 214–222. [Google Scholar] [CrossRef]
- Znabet, A.; Ruijter, E.; de Kanter, F.J.J.; Köhler, V.; Helliwell, M.; Turner, N.J.; Orru, R.V.A. Highly Stereoselective Synthesis of Substituted Prolyl Peptides Using a Combination of Biocatalytic Desymmetrization and Multicomponent Reactions. Angew. Chem. Int. Ed. 2010, 49, 5289–5292. [Google Scholar] [CrossRef]
- Cortes-Clerget, M.; Gager, O.; Monteil, M.; Pirat, J.-L.; Migianu-Griffoni, E.; Deschamp, J.; Lecouvey, M. Novel Easily Recyclable Bifunctional Phosphonic Acid Carrying Tripeptides for the Stereoselective Michael Addition of Aldehydes with Nitroalkenes. Adv. Synth. Catal. 2016, 358, 34–40. [Google Scholar] [CrossRef]
- Durini, M.; Sahr, F.A.; Kuhn, M.; Civera, M.; Gennari, C.; Piarulli, U. Bifunctional 2,5-Diketopiperazines as Efficient Organocatalysts for the Enantioselective Conjugate Addition of Aldehydes to Nitroolefins. Eur. J. Org. Chem. 2011, 2011, 5599–5607. [Google Scholar] [CrossRef]
- Tsogoeva, S.B.; Jagtap, S. Dual Catalyst Control in the Chiral Diamine-Dipeptide-Catalyzed Asymmetric Michael Addition. Synlett 2004, 14, 2624–2626. [Google Scholar] [CrossRef]
- de la Torre, A.F.; Rivera, D.G.; Ferreira, M.A.B.; Correia, A.G.; Paixao, M.W. Multicomponent Combinatorial Development and Conformational Analysis of Prolyl Peptide–Peptoid Hybrid Catalysts: Application in the Direct Asymmetric Michael Addition. J. Org. Chem. 2013, 78, 10221–10232. [Google Scholar] [CrossRef]
- Schnitzer, T.; Budinská, A.; Wennemers, H. Organocatalysed conjugate addition reactions of aldehydes to nitroolefins with anti selectivity. Nat. Catal. 2020, 3, 143–147. [Google Scholar] [CrossRef]
- Tsogoeva, S.B.; Wei, S. Highly enantioselective addition of ketones to nitroolefins catalyzed by new thiourea–amine bifunctional organocatalysts. Chem. Commun. 2006, 13, 1451–1453. [Google Scholar] [CrossRef]
- Yalalov, D.A.; Tsogoeva, S.B.; Schmatz, S. Chiral Thiourea-Based Bifunctional Organocatalysts in the Asymmetric Nitro-Michael Addition: A Joint Experimental-Theoretical Study. Adv. Synth. Catal. 2006, 348, 826–832. [Google Scholar] [CrossRef]
- Desmarchelier, A.; Coeffard, V.; Moreau, X.; Greck, C. Asymmetric organocatalytic functionalization of α,α-disubstituted aldehydes through enamine activation. Tetrahedron 2014, 70, 2491–2513. [Google Scholar] [CrossRef]
- Lalonde, M.P.; Chen, Y.; Jacobsen, E.N. A Chiral Primary Amine Thiourea Catalyst for the Highly Enantioselective Direct Conjugate Addition of α,α-Disubstituted Aldehydes to Nitroalkenes. Angew. Chem. Int. Ed. 2006, 45, 6366–6370. [Google Scholar] [CrossRef]
- Huang, H.; Jacobsen, E.N. Highly Enantioselective Direct Conjugate Addition of Ketones to Nitroalkenes Promoted by A Chiral Primary Amine−Thiourea Catalyst. J. Am. Chem. Soc. 2006, 128, 7170–7171. [Google Scholar] [CrossRef]
- Grînenfelder, C.E.; Kisunzu, J.K.; Wennemers, H. Peptide-Catalyzed Stereoselective Conjugate Addition Reactions of Aldehydes to Maleimide. Angew. Chem. Int. Ed. 2016, 55, 8571–8574. [Google Scholar] [CrossRef]
- Xue, F.; Liu, L.; Zhang, S.; Duan, W.; Wang, W. A Simple Primary Amine Thiourea Catalyzed Highly Enantioselective Conjugate Addition of α,α-Disubstituted Aldehydes to Maleimides. Chem. Eur. J. 2010, 16, 7979–7982. [Google Scholar] [CrossRef]
- Sunden, E.; Eriksson, L.; Sayah, M.; Cordova, A. Organocatalytic enantioselective conjugate addition of aldehydes to maleimides. Chem. Commun. 2007, 7, 734–735. [Google Scholar] [CrossRef]
- Kokotos, C.G. An Asymmetric Michael Addition of α,α-Disubstituted Aldehydes to Maleimides Leading to a One-Pot Enantioselective Synthesis of Lactones Catalyzed by Amino Acids. Org. Lett. 2013, 15, 2406–2409. [Google Scholar] [CrossRef]
- Cao, C.-L.; Sun, X.-L.; Zhou, J.-L.; Tang, Y. Enantioselectively Organocatalytic Michael Addition of Ketones to Alkylidene Malonates. J. Org. Chem. 2007, 72, 4073–4076. [Google Scholar] [CrossRef]
- Faísca Phillips, A.M.; Barros, M.T. Synthesis of geminal bisphosphonates via organocatalyzed enantioselective Michael additions of cyclic ketones and 4-piperidones. Org. Biomol. Chem. 2012, 10, 404–412. [Google Scholar] [CrossRef]
- Liu, J.; Yang, Z.; Liu, X.; Wang, Z.; Liu, Y.; Bai, S.; Lin, L.; Feng, X. Organocatalyzed highly stereoselective Michael addition of ketones to alkylidene malonates and nitroolefins using chiral primary-secondary diamine catalysts based on bispidine. Org. Biomol. Chem. 2009, 7, 4120–4127. [Google Scholar] [CrossRef]
- Zhao, G.-L.; Vesely, J.; Sun, J.; Christensen, K.E.; Bonneau, C.; Cordova, A. Organocatalytic Highly Enantioselective Conjugate Addition of Aldehydes to Alkylidine Malonates. Adv. Synth. Catal. 2008, 350, 657–661. [Google Scholar] [CrossRef]
- Kano, T.; Shirozu, F.; Akakura, M.; Maruoka, K. Powerful Amino Diol Catalyst for Effecting the Direct Asymmetric Conjugate Addition of Aldehydes to Acrylates. J. Am. Chem. Soc. 2012, 134, 16068–16073. [Google Scholar] [CrossRef]
- Kang, J.Y.; Carter, R.G. Primary Amine, Thiourea-Based Dual Catalysis Motif for Synthesis of Stereogenic, All-Carbon Quaternary Center-Containing Cycloalkanones. Org. Lett. 2002, 14, 3178–3181. [Google Scholar] [CrossRef]
- Girvin, Z.C.; Lampkin, P.P.; Liu, X.; Gellman, S.H. Catalytic Intramolecular Conjugate Additions of Aldehyde-Derived Enamines to α,β-Unsaturated Esters. Org. Lett. 2020, 22, 4568–4573. [Google Scholar] [CrossRef]
- Schreiner, P.R. Metal-free organocatalysis through explicit hydrogen bonding interactions. Chem. Soc. Rev. 2003, 32, 289–296. [Google Scholar] [CrossRef]
- Zhang, Z.; Schreiner, P.R. (Thio)urea organocatalysis—What can be learnt from anion recognition? Chem. Soc. Rev. 2009, 38, 1187–1198. [Google Scholar] [CrossRef]
- Gotoh, H.; Hayashi, Y. Diarylprolinol silyl ethers: Development and application as organocatalysts. In Sustainable Catalysis; Dunn, P.J., Ed.; John Wiley & Sons: Hoboken, NJ, USA, 2013; pp. 287–316. [Google Scholar]
- Donslund, B.S.; Johansen, T.K.; Poulsen, P.H.; Halskov, K.S.; Jørgensen, K.A. The Diarylprolinol Silyl Ethers: Ten Years After. Angew. Chem. Int. Ed. 2015, 54, 13860–13874. [Google Scholar] [CrossRef]
- Meninno, S.; Volpe, C.; Lattanzi, A. Diaryl Prolinols in Stereoselective Catalysis and Synthesis: An Update. ChemCatChem 2019, 11, 3716–3729. [Google Scholar] [CrossRef]
- Jensen, K.L.; Dickmeiss, G.; Jiang, H.; Albrecht, Ł.; Jørgensen, K.A. The Diarylprolinol Silyl Ether System: A General Organocatalyst. Acc. Chem. Res. 2012, 45, 248–264. [Google Scholar] [CrossRef]
- Palomo, C.; Mielgo, A. Diarylprolinol Ethers: Expanding the Potential of Enamine/Iminium-Ion Catalysis. Angew. Chem. Int. Ed. 2006, 45, 7876–7880. [Google Scholar] [CrossRef]
- Vega-Peñaloza, A.; Paria, S.; Bonchio, M.; Dell’Amico, L.; Companyó, X. Profiling the Privileges of Pyrrolidine-Based Catalysts in Asymmetric Synthesis: From Polar to Light-Driven Radical Chemistry. ACS Catal. 2019, 9, 6058–6072. [Google Scholar] [CrossRef]
- Reyes-Rodríguez, G.J.; Rezayee, N.M.; Vidal-Albalat, A.; Jørgensen, K.A. Prevalence of Diarylprolinol Silyl Ethers as Catalysts in Total Synthesis and Patents. Chem. Rev. 2019, 119, 4221–4260. [Google Scholar] [CrossRef]
- Nielsen, M.; Worgull, D.; Zweifel, T.; Gschwend, B.; Bertelsen, S.; Jørgensen, K.A. Mechanisms in aminocatalysis. Chem. Commun. 2011, 47, 632–649. [Google Scholar] [CrossRef]
- Halskov, K.S.; Donslund, B.S.; Paz, B.M.; Jørgensen, K.A. Computational Approach to Diarylprolinol-Silyl Ethers in Aminocatalysis. Acc. Chem. Res. 2016, 49, 974–986. [Google Scholar] [CrossRef]
- Renzi, P.; Hioe, J.; Gschwind, R.M. Enamine/Dienamine and Brønsted Acid Catalysis: Elusive Intermediates, Reaction Mechanisms, and Stereoinduction Modes Based on in Situ NMR Spectroscopy and Computational Studies. Acc. Chem. Res. 2017, 50, 2936–2948. [Google Scholar] [CrossRef]
- Fuson, R.C. The Principle of Vinylogy. Chem. Rev. 1935, 16, 1–27. [Google Scholar] [CrossRef]
- Arceo, E.; Melchiorre, P. Extending the Aminocatalytic HOMO-Raising Activation Strategy: Where Is the Limit? Angew. Chem. Int. Ed. 2012, 51, 5290–5292. [Google Scholar] [CrossRef]
- Jurberg, I.D.; Chatterjee, I.; Tannert, R.; Melchiorre, P. When asymmetric aminocatalysis meets the vinylogy principle. Chem. Commun. 2013, 49, 4869–4883. [Google Scholar] [CrossRef]
- Jiang, H.; Albrecht, Ł.; Jørgensen, K.A. Aminocatalytic remote functionalization strategies. Chem. Sci. 2013, 4, 2287–2300. [Google Scholar] [CrossRef]
- Bertelsen, S.; Marigo, M.; Brandes, S.; Diner, P.; Jørgensen, K.A. Dienamine Catalysis: Organocatalytic Asymmetric γ-Amination of α,β-Unsaturated Aldehydes. J. Am. Chem. Soc. 2006, 128, 12973–12980. [Google Scholar] [CrossRef]
- Ramachary, D.B.; Reddy, Y.V. Dienamine Catalysis: An Emerging Technology in Organic Synthesis. Eur. J. Org. Chem. 2012, 2012, 865–887. [Google Scholar] [CrossRef]
- Marcos, V.; Alemán, J. Old tricks, new dogs: Organocatalytic dienamine activation of α,β-unsaturated aldehydes. Chem. Soc. Rev. 2016, 45, 6812–6832. [Google Scholar] [CrossRef]
- Kumar, I.; Ramaraju, P.; Mir, N.A. Asymmetric trienamine catalysis: New opportunities in amine catalysis. Org. Biomol. Chem. 2013, 11, 709–716. [Google Scholar] [CrossRef]
- Albrecht, Ł.; Dickmeiss, G.; Cruz Acosta, F.; Rodriguez-Escrich, C.; Davis, R.L.; Jørgensen, K.A. Asymmetric Organocatalytic Formal [2 + 2]-Cycloadditions via Bifunctional H-Bond Directing Dienamine Catalysis. J. Am. Chem. Soc. 2012, 134, 2543–2546. [Google Scholar] [CrossRef]
- Albrecht, Ł.; Dickmeiss, G.; Weise, C.F.; Rodriguez-Escrich, C.; Jørgensen, K.A. Dienamine-Mediated Inverse-Electron-Demand Hetero-Diels–Alder Reaction by Using an Enantioselective H-Bond-Directing Strategy. Angew. Chem. Int. Ed. 2012, 51, 13109–13113. [Google Scholar] [CrossRef]
- Weise, C.F.; Lauridsen, V.H.; Rambo, R.S.; Iversen, E.H.; Olsen, M.-L.; Jørgensen, K.A. Organocatalytic Access to Enantioenriched Dihydropyran Phosphonates via an Inverse-Electron-Demand Hetero-Diels–Alder Reaction. J. Org. Chem. 2014, 79, 3537–3546. [Google Scholar] [CrossRef]
- Orue, A.; Uria, U.; Reyes, E.; Carrillo, L.; Vicario, J.L. Catalytic Enantioselective [5+2] Cycloaddition between Oxidopyrylium Ylides and Enals under Dienamine Activation. Angew. Chem. Int. Ed. 2015, 54, 3043–3046. [Google Scholar] [CrossRef]
- Roca Lopez, D.; Uria, U.; Reyes, E.; Carrillo, L.; Jørgensen, K.A.; Vicario, J.L.; Merino, P. Mechanistic Insights into the Mode of Action of Bifunctional Pyrrolidine-Squaramide-Derived Organocatalysts. Chem. Eur. J. 2016, 22, 884–889. [Google Scholar] [CrossRef]
- Xiao, W.; Yin, X.; Zhou, Z.; Du, W.; Chen, Y.-C. Asymmetric α,γ-Regioselective [3 + 3] Formal Cycloadditions of α,β-Unsaturated Aldehydes via Cascade Dienamine–Dienamine Catalysis. Org. Lett. 2016, 18, 116–119. [Google Scholar] [CrossRef]
- Talavera, G.; Reyes, E.; Vicario, J.L.; Carrillo, L. Cooperative Dienamine/Hydrogen-Bonding Catalysis: Enantioselective Formal [2+2] Cycloaddition of Enals with Nitroalkenes. Angew. Chem. Int. Ed. 2012, 51, 4104–4107. [Google Scholar] [CrossRef]
- Bergonzini, G.; Vera, S.; Melchiorre, P. Cooperative Organocatalysis for the Asymmetric γ Alkylation of α-Branched Enals. Angew. Chem. Int. Ed. 2010, 49, 9685–9688. [Google Scholar] [CrossRef]
- Bencivenni, G.; Galzerano, P.; Mazzanti, A.; Bartoli, G.; Melchiorre, P. Direct asymmetric vinylogous Michael addition of cyclic enones to nitroalkenes via dienamine catalysis. Proc. Natl. Acad. Sci. USA 2010, 107, 20642–20647. [Google Scholar] [CrossRef]
- Zou, C.; Zeng, C.; Liu, Z.; Lu, M.; Sun, X.; Ye, J. γ′-Selective Functionalization of Cyclic Enones: Construction of a Chiral Quaternary Carbon Center by [4+2] Cycloaddition/Retro-Mannich Reaction with 3-Substituted Maleimides. Angew. Chem. Int. Ed. 2016, 55, 14257–14261. [Google Scholar] [CrossRef]
- Tian, X.; Melchiorre, P. Control of Remote Stereochemistry in the Synthesis of Spirocyclic Oxindoles: Vinylogous Organocascade Catalysis. Angew. Chem. Int. Ed. 2013, 52, 5360–5363. [Google Scholar] [CrossRef]
- Dilorio, D.; Righi, P.; Mazzanti, A.; Mancinelli, M.; Ciogli, A.; Bencivenni, G. Remote Control of Axial Chirality: Aminocatalytic Desymmetrization of N-Arylmaleimides via Vinylogous Michael Addition. J. Am. Chem. Soc. 2014, 136, 10250–10253. [Google Scholar] [CrossRef]
- Gu, X.; Guo, T.; Dai, Y.; Franchino, A.; Fei, J.; Zou, C.; Dixon, D.J.; Ye, J. Direct Catalytic Asymmetric Doubly Vinylogous Michael Addition of α,β-Unsaturated γ-Butyrolactams to Dienones. Angew. Chem. Int. Ed. 2015, 54, 10249–10253. [Google Scholar] [CrossRef]
- Zhan, G.; He, Q.; Yuan, X.; Chen, Y.-C. Asymmetric Direct Vinylogous Michael Additions of Allyl Alkyl Ketones to Maleimides through Dienamine Catalysis. Org. Lett. 2014, 16, 6000–6003. [Google Scholar] [CrossRef]
- Bastida, D.; Liu, Y.; Tian, X.; Escuder-Adan, E.; Melchiorre, P. Asymmetric Vinylogous Aldol Reaction via H-Bond-Directing Dienamine Catalysis. Org. Lett. 2013, 15, 220–223. [Google Scholar] [CrossRef]
- Jia, Z.-J.; Zhou, Q.; Zhou, Q.-Q.; Chen, P.-Q.; Chen, Y.-C. exo-Selective Asymmetric Diels–Alder Reaction of 2,4-Dienals and Nitroalkenes by Trienamine Catalysis. Angew. Chem. Int. Ed. 2011, 50, 8638–8641. [Google Scholar] [CrossRef]
- Prieto, L.; Talavera, G.; Uria, U.; Reyes, E.; Vicario, J.L.; Carrillo, L. Favoring Trienamine Activation through Unconjugated Dienals: Organocatalytic Enantioselective Remote Functionalization of Alkenes. Chem. Eur. J. 2014, 20, 2145–2148. [Google Scholar] [CrossRef]
- Lee, J.H.; Deng, L. Asymmetric Approach toward Chiral Cyclohex-2-enones from Anisoles via an Enantioselective Isomerization by a New Chiral Diamine Catalyst. J. Am. Chem. Soc. 2012, 134, 18209–18212. [Google Scholar] [CrossRef]
- Yamamoto, Y.; Momiyama, N.; Yamamoto, H. Enantioselective Tandem O-Nitroso Aldol/Michael Reaction. J. Am. Chem. Soc. 2004, 126, 5962–5963. [Google Scholar] [CrossRef]
- Momiyama, N.; Yamamoto, Y.; Yamamoto, H. Diastereo- and Enantioselective Synthesis of Nitroso Diels−Alder-Type Bicycloketones Using Dienamine: Mechanistic Insight into Sequential Nitroso Aldol/Michael Reaction and Application for Optically Pure 1-Amino-3,4-diol Synthesis. J. Am. Chem. Soc. 2007, 129, 1190–1195. [Google Scholar] [CrossRef]
- Sundén, H.; Ibrahem, I.; Eriksson, L.; Cordova, A. Direct Catalytic Enantioselective Aza-Diels–Alder Reactions. Angew. Chem. Int. Ed. 2005, 44, 4877–4880. [Google Scholar] [CrossRef]
- Itoh, T.; Yokoya, M.; Miyauchi, K.; Nagata, K.; Ohsawa, A. Total Synthesis of ent-Dihydrocorynantheol by Using a Proline-Catalyzed Asymmetric Addition Reaction. Org. Lett. 2006, 8, 1533–1535. [Google Scholar] [CrossRef]
- Yadav, J.; Pawar, A.P.; Nagare, Y.K.; Iype, E.; Rangan, K.; Ohshita, J.; Kumar, D.; Kumar, I. Direct Amine-Catalyzed Enantioselective Synthesis of Pentacyclic Dibenzo[b,f][1,4]oxazepine/Thiazepine-Fused Isoquinuclidines along with DFT Calculations. J. Org. Chem. 2020, 85, 14094–14108. [Google Scholar] [CrossRef]
- Yang, H.; Carter, R.C. Asymmetric Construction of Nitrogen-Containing [2.2.2] Bicyclic Scaffolds Using N-(p-Dodecylphenylsulfonyl)-2-pyrrolidinecarboxamide. J. Org. Chem. 2009, 74, 5151–5156. [Google Scholar] [CrossRef]
- Xu, D.-Q.; Xia, A.-B.; Luo, S.-P.; Tang, J.; Zhang, S.; Jiang, J.-R.; Xu, Z.-Y. In Situ Enamine Activation in Aqueous Salt Solutions: Highly Efficient Asymmetric Organocatalytic Diels–Alder Reaction of Cyclohexenones with Nitroolefins. Angew. Chem. Int. Ed. 2009, 48, 3821–3824. [Google Scholar] [CrossRef]
- Sundén, H.; Rios, R.; Xu, Y.; Eriksson, L.; Cordova, A. Direct Enantioselective Synthesis of Bicyclic Diels–Alder Products. Adv. Synth. Catal. 2007, 349, 2549–2555. [Google Scholar] [CrossRef]
- Feng, X.; Zhou, Z.; Zhou, R.; Zhou, Q.-Q.; Dong, L.; Chen, Y.-C. Stereodivergence in Amine-Catalyzed Regioselective [4 + 2] Cycloadditions of β-Substituted Cyclic Enones and Polyconjugated Malononitriles. J. Am. Chem. Soc. 2012, 134, 19942–19947. [Google Scholar] [CrossRef]
- Xia, A.-B.; Xu, D.-Q.; Wu, C.; Zhao, L.; Xu, Z.-Y. Organocatalytic Diels–Alder Reactions Catalysed by Supramolecular Self-Assemblies Formed from Chiral Amines and Poly(alkene glycol)s. Chem. Eur. J. 2012, 18, 1055–1059. [Google Scholar] [CrossRef]
- Cui, H.-L.; Tanaka, F. Catalytic Enantioselective Formal Hetero-Diels–Alder Reactions of Enones with Isatins to Give Spirooxindole Tetrahydropyranones. Chem. Eur. J. 2013, 19, 6213–6216. [Google Scholar] [CrossRef]
- Utsumi, N.; Zhang, H.; Tanaka, F.; Barbas, C.F., III. A Way to Highly Enantiomerically Enriched aza-Morita–Baylis–Hillman–Type Products. Angew. Chem. Int. Ed. 2007, 46, 1878–1880. [Google Scholar] [CrossRef]
- Vesely, J.; Dziedzic, P.; Cordova, A. Aza-Morita–Baylis–Hillman-type reactions: Highly enantioselective organocatalytic addition of unmodified α,β-unsaturated aldehydes to N-Boc protected imines. Tetrahedron Lett. 2007, 48, 6900–6904. [Google Scholar] [CrossRef]
- Číhalová, S.; Dziedzic, P.; Cordova, A.; Veselý, J. Asymmetric Aza-Morita–Baylis–Hillman-Type Reactions: The Highly Enantioselective Reaction between Unmodified α,β- Unsaturated Aldehydes and N-Acylimines by Organo-co-catalysis. Adv. Synth. Catal. 2011, 353, 1096–1108. [Google Scholar] [CrossRef]
- Maity, S.; Sar, S.; Ghorai, P. Primary Aminothiourea-Catalyzed Enantioselective Synthesis of Rauhut–Currier Adducts of 3-Arylcyclohexenone with a Tethered Enone on the Aryl Moiety at the Ortho-Position. Org. Lett. 2018, 20, 1707–1711. [Google Scholar] [CrossRef]
- Albrecht, Ł.; Acosta, F.C.; Fraile, A.; Albrecht, A.; Christensen, J.; Jørgensen, K.A. Enantioselective H-Bond-Directing Approach for Trienamine-mediated Reactions in Asymmetric Synthesis. Angew. Chem. Int. Ed. 2012, 51, 9088–9092. [Google Scholar] [CrossRef]
- Albrecht, A.; Skrzynska, A.; Pietrzak, A.; Bojanowski, J.; Albrecht, Ł. Asymmetric Aminocatalysis in the Synthesis of δ-Lactone Derivatives. Asian J. Org. Chem. 2016, 5, 1115–1119. [Google Scholar] [CrossRef]
- Monleon, A.; Glaus, F.; Vergura, S.; Jørgensen, K.A. Organocatalytic Strategy for the Enantioselective Cycloaddition to Trisubstituted Nitroolefins to Create Spirocyclohexene-Oxetane Scaffolds. Angew. Chem. Int. Ed. 2016, 55, 2478–2482. [Google Scholar] [CrossRef]
- Jiang, H.; Rodriguez-Escrich, C.; Johansen, T.K.; Davis, R.L.; Jørgensen, K.A. Organocatalytic Activation of Polycyclic Aromatic Compounds for Asymmetric Diels–Alder Reactions. Angew. Chem. Int. Ed. 2012, 51, 10271–10274. [Google Scholar] [CrossRef]
- He, X.-L.; Zhao, H.-R.; Duan, C.-Q.; Du, W.; Chen, Y.-C. Remote Asymmetric Oxa-Diels–Alder Reaction of 5-Allylic Furfurals via Dearomatizative Tetraenamine Catalysis. Org. Lett. 2018, 20, 804–807. [Google Scholar] [CrossRef]
- Xu, C.-J.; Li, H.-W.; He, X.-L.; Du, W.; Chen, Y.-C. Asymmetric Direct Remote Michael Addition Reactions of Allyl Furfurals via Dearomative Trienamine and Tetraenamine Catalysis. Asian J. Org. Chem. 2019, 8, 1037–1040. [Google Scholar] [CrossRef]

































Disclaimer/Publisher’s Note: The statements, opinions and data contained in all publications are solely those of the individual author(s) and contributor(s) and not of MDPI and/or the editor(s). MDPI and/or the editor(s) disclaim responsibility for any injury to people or property resulting from any ideas, methods, instructions or products referred to in the content. |
© 2023 by the authors. Licensee MDPI, Basel, Switzerland. This article is an open access article distributed under the terms and conditions of the Creative Commons Attribution (CC BY) license (https://creativecommons.org/licenses/by/4.0/).
Share and Cite
Reyes, E.; Prieto, L.; Uria, U.; Carrillo, L.; Vicario, J.L. Asymmetric Dual Enamine Catalysis/Hydrogen Bonding Activation. Catalysts 2023, 13, 1091. https://doi.org/10.3390/catal13071091
Reyes E, Prieto L, Uria U, Carrillo L, Vicario JL. Asymmetric Dual Enamine Catalysis/Hydrogen Bonding Activation. Catalysts. 2023; 13(7):1091. https://doi.org/10.3390/catal13071091
Chicago/Turabian StyleReyes, Efraím, Liher Prieto, Uxue Uria, Luisa Carrillo, and Jose L. Vicario. 2023. "Asymmetric Dual Enamine Catalysis/Hydrogen Bonding Activation" Catalysts 13, no. 7: 1091. https://doi.org/10.3390/catal13071091
APA StyleReyes, E., Prieto, L., Uria, U., Carrillo, L., & Vicario, J. L. (2023). Asymmetric Dual Enamine Catalysis/Hydrogen Bonding Activation. Catalysts, 13(7), 1091. https://doi.org/10.3390/catal13071091

