Synthesis of Bi-Metallic-Sulphides/MOF-5@graphene Oxide Nanocomposites for the Removal of Hazardous Moxifloxacin
Abstract
1. Introduction
2. Results and Discussion
2.1. XRD Analysis
2.2. FTIR Analysis
2.3. Morphology and Structure Analysis
2.4. Band Gap Turning Analysis
2.5. Photocatalytic Activity of MOF/GO
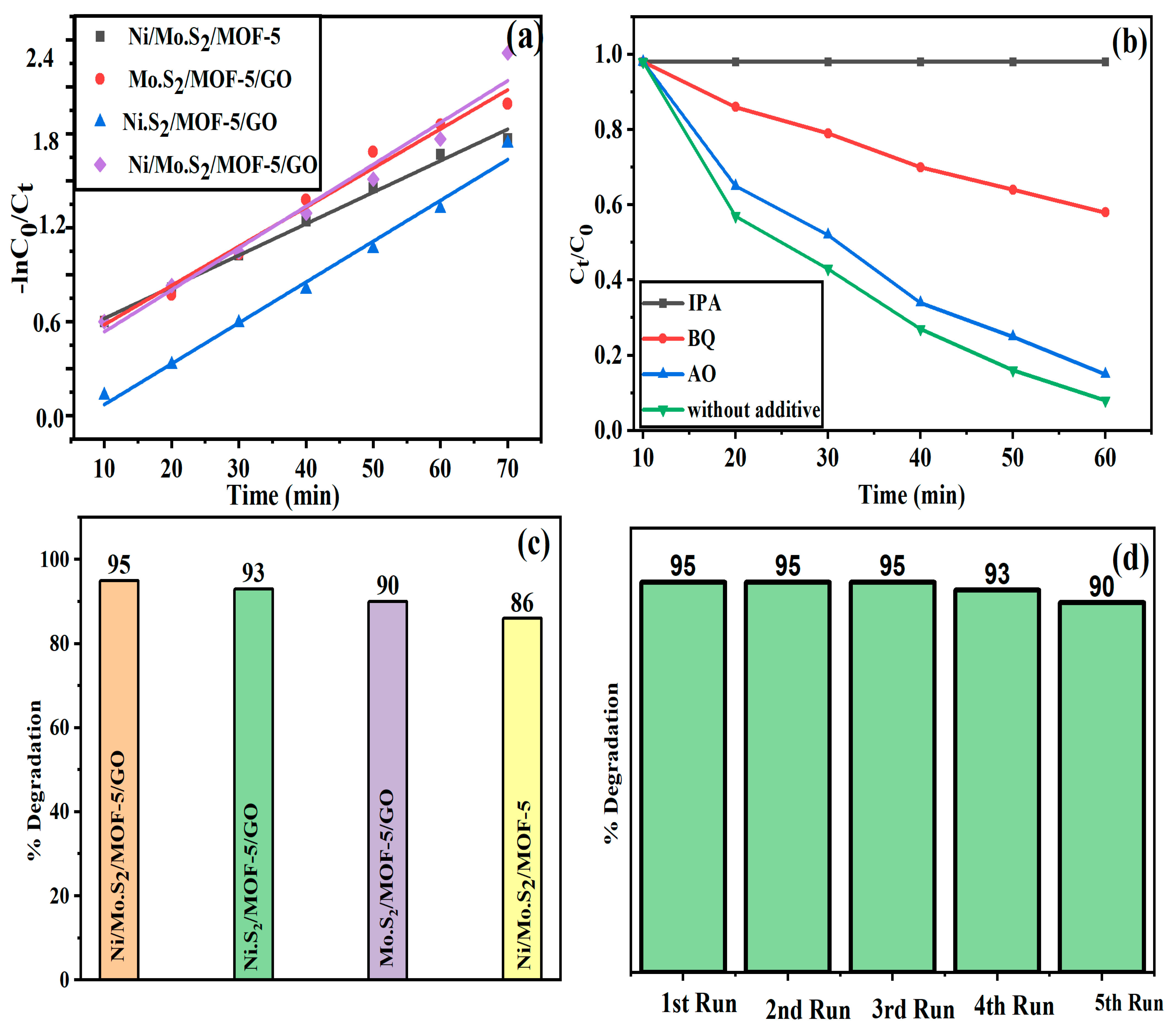
2.6. Kinetics Studies of the Photodegradation of MOX
2.7. Detection of the Reactive Species
2.8. Effect of Photo-Catalyst on the Photodegradation of MOX
2.9. Stability and Reusability MOF-5/GO Nanocomposites
2.10. Enhancement Mechanism of Photocatalytic Activity
3. Experimental Methods
3.1. Materials
3.2. Analysis and Characterization
3.3. Zn-Based MOF (MOF-5) Preparation
3.4. Synthesis of Graphene Oxide (GO)
3.5. Synthesis of Metal Organic Framework-5/Graphene-Oxide (MOF-5/GO)
3.6. Fabrication of Ni/MoS2/MOF-5-GO Nanocomposite
3.7. Photocatalytic Experiments
4. Conclusions
Supplementary Materials
Author Contributions
Funding
Data Availability Statement
Acknowledgments
Conflicts of Interest
References
- Ji, Y.; Ferronato, C.; Salvador, A.; Yang, X.; Chovelon, J.-M. Degradation of ciprofloxacin and sulfamethoxazole by ferrous-activated persulfate: Implications for remediation of groundwater contaminated by antibiotics. Sci. Total Environ. 2014, 472, 800–808. [Google Scholar] [CrossRef]
 - Liu, C.; Mao, S.; Wang, H.; Wu, Y.; Wang, F.; Xia, M.; Chen, Q. Peroxymonosulfate-assisted for facilitating photocatalytic degradation performance of 2D/2D WO3/BiOBr S-scheme heterojunction. Chem. Eng. J. 2022, 430, 132806. [Google Scholar] [CrossRef]
 - Liu, C.; Mao, S.; Shi, M.; Wang, F.; Xia, M.; Chen, Q.; Ju, X. Peroxymonosulfate activation through 2D/2D Z-scheme CoAl-LDH/BiOBr photocatalyst under visible light for ciprofloxacin degradation. J. Hazard. Mater. 2021, 420, 126613. [Google Scholar] [CrossRef] [PubMed]
 - Oberlé, K.; Capdeville, M.-J.; Berthe, T.; Budzinski, H.; Petit, F. Evidence for a complex relationship between antibiotics and antibiotic-resistant Escherichia coli: From medical center patients to a receiving environment. Environ. Sci. Technol. 2012, 46, 1859–1868. [Google Scholar] [CrossRef] [PubMed]
 - Li, M.; Wei, D.; Zhao, H.; Du, Y. Genotoxicity of quinolones: Substituents contribution and transformation products QSAR evaluation using 2D and 3D models. Chemosphere 2014, 95, 220–226. [Google Scholar] [CrossRef]
 - Malik, M.; Ibrahim, S.M.; Tahir, A.A.; Nazir, M.A.; Shah, S.S.A.; Wattoo, M.A.; Kousar, R.; Rehman, A.U. Novel approach towards ternary magnetic g-C3N4/ZnO-W/Snx nanocomposite: Photodegradation of nicotine under visible light irradiation. Int. J. Environ. Anal. Chem. 2023, 1–19. [Google Scholar] [CrossRef]
 - Kumar, O.P.; Shahzad, K.; Nazir, M.A.; Farooq, N.; Malik, M.; Shah, S.S.A.; ur Rehman, A. Photo-Fenton activated C3N4x/AgOy@Co1−xBi0.1−yO7 dual s-scheme heterojunction towards degradation of organic pollutants. Opt. Mater. 2022, 126, 112199. [Google Scholar] [CrossRef]
 - Abbood, N.S.; Ali, N.S.; Khader, E.H.; Majdi, H.S.; Albayati, T.M.; Saady, N.M.C. Photocatalytic degradation of cefotaxime pharmaceutical compounds onto a modified nanocatalyst. Res. Chem. Intermed. 2023, 49, 43–56. [Google Scholar] [CrossRef]
 - Kaushal, S.; Kumar, A.; Bains, H.; Singh, P.P. Photocatalytic degradation of tetracycline antibiotic and organic dyes using biogenic synthesized CuO/Fe2O3 nanocomposite: Pathways and mechanism insights. Environ. Sci. Pollut. Res. 2023, 30, 37092–37104. [Google Scholar] [CrossRef]
 - Jamshaid, M.; Khan, H.; Nazir, M.A.; Wattoo, M.A.; Shahzad, K.; Malik, M.; Rehman, A.-U. A novel bentonite–cobalt doped bismuth ferrite nanoparticles with boosted visible light induced photodegradation of methyl orange: Synthesis, characterization and analysis of physiochemical changes. Int. J. Environ. Anal. Chem. 2022, 1–16. [Google Scholar] [CrossRef]
 - Li, S.; Wang, C.; Liu, Y.; Liu, Y.; Cai, M.; Zhao, W.; Duan, X. S-scheme MIL-101 (Fe) octahedrons modified Bi2WO6 microspheres for photocatalytic decontamination of Cr (VI) and tetracycline hydrochloride: Synergistic insights, reaction pathways, and toxicity analysis. Chem. Eng. J. 2023, 455, 140943. [Google Scholar] [CrossRef]
 - Cai, M.; Liu, Y.; Wang, C.; Lin, W.; Li, S. Novel Cd0.5Zn0.5S/Bi2MoO6 S-scheme heterojunction for boosting the photodegradation of antibiotic enrofloxacin: Degradation pathway, mechanism and toxicity assessment. Sep. Purif. Technol. 2023, 304, 122401. [Google Scholar] [CrossRef]
 - Han, Z.; Lv, M.; Shi, X.; Li, G.; Zhao, J.; Zhao, X. Regulating the Electronic Structure of Fe3+-Doped BiOClxI1−x Solid Solution by an Amidoxime-Functionalized Fibrous Support for Efficient Photocatalysis. Adv. Fiber Mater. 2023, 5, 266–281. [Google Scholar] [CrossRef]
 - Shah, S.S.A.; Jery, A.E.; Najam, T.; Nazir, M.A.; Wei, L.; Hussain, E.; Hussain, S.; Rebah, F.B.; Javed, M.S. Surface engineering of MOF-derived FeCo/NC core-shell nanostructures to enhance alkaline water-splitting. Int. J. Hydrogen Energy 2021, 47, 5036–5043. [Google Scholar] [CrossRef]
 - Shah, S.S.A.; Najam, T.; Molochas, C.; Nazir, M.A.; Brouzgou, A.; Javed, M.S.; Rehman, A.U.; Tsiakaras, P. Nanostructure Engineering of Metal–Organic Derived Frameworks: Cobalt Phosphide Embedded in Carbon Nanotubes as an Efficient ORR. Mol. Catal. 2021, 26, 6672. [Google Scholar] [CrossRef]
 - Nazir, M.A.; Najam, T.; Zarin, K.; Shahzad, K.; Javed, M.S.; Jamshaid, M.; Bashir, M.A.; Shah, S.S.A.; Rehman, A.U. Enhanced adsorption removal of methyl orange from water by porous bimetallic Ni/Co MOF composite: A systematic study of adsorption kinetics. Int. J. Environ. Anal. Chem. 2021, 1–16. [Google Scholar] [CrossRef]
 - Nazir, M.A.; Najam, T.; Shahzad, K.; Wattoo, M.A.; Hussain, T.; Tufail, M.K.; Shah, S.S.A.; ur Rehman, A. Heterointerface engineering of water stable ZIF-8@ZIF-67: Adsorption of rhodamine B from water. Surf. Interfaces 2022, 34, 102324. [Google Scholar] [CrossRef]
 - Nazir, M.A.; Khan, N.A.; Cheng, C.; Shah, S.S.A.; Najam, T.; Arshad, M.; Sharif, A.; Akhtar, S.; ur Rehman, A. Surface induced growth of ZIF-67 at Co-layered double hydroxide: Removal of methylene blue and methyl orange from water. Appl. Clay Sci. 2020, 190, 105564. [Google Scholar] [CrossRef]
 - Kumar, O.P.; Ahmad, M.; Nazir, M.A.; Anum, A.; Jamshaid, M.; Shah, S.S.A.; Rehman, A. Strategic combination of metal–organic frameworks and C3N4 for expeditious photocatalytic degradation of dye pollutants. Environ. Sci. Pollut. Res. 2022, 29, 35300–35313. [Google Scholar] [CrossRef]
 - Aslam, M.K.; Shah, S.S.A.; Li, S.; Chen, C. Kinetically controlled synthesis of MOF nanostructures: Single-holed hollow core–shell ZnCoS@Co9S8/NC for ultra-high performance lithium-ion batteries. J. Mater. Chem. A. 2018, 6, 14083–14090. [Google Scholar] [CrossRef]
 - Najam, T.; Shah, S.S.A.; Ding, W.; Deng, J.; Wei, Z. Enhancing by nano-engineering: Hierarchical architectures as oxygen reduction/evolution reactions for zinc-air batteries. J. Power Sources 2019, 438, 226919. [Google Scholar] [CrossRef]
 - Eddaoudi, M.; Kim, J.; Rosi, N.; Vodak, D.; Wachter, J.; O’Keeffe, M.; Yaghi, O.M. Systematic design of pore size and functionality in isoreticular MOFs and their application in methane storage. Science 2002, 295, 469–472. [Google Scholar] [CrossRef]
 - Zhuang, J.-L.; Terfort, A.; Wöll, C. Formation of oriented and patterned films of metal–organic frameworks by liquid phase epitaxy: A review. Coord. Chem. Rev. 2016, 307, 391–424. [Google Scholar] [CrossRef]
 - Behera, P.; Subudhi, S.; Tripathy, S.P.; Parida, K. MOF derived nano-materials: A recent progress in strategic fabrication, characterization and mechanistic insight towards divergent photocatalytic applications. Coord. Chem. Rev. 2022, 456, 214392. [Google Scholar] [CrossRef]
 - Juan-Alcaniz, J.; Gielisse, R.; Lago, A.B.; Ramos-Fernandez, E.V.; Serra-Crespo, P.; Devic, T.; Guillou, N.; Serre, C.; Kapteijn, F.; Gascon, J. Towards acid MOFs–catalytic performance of sulfonic acid functionalized architectures. Catal. Sci. Technol. 2013, 3, 2311–2318. [Google Scholar] [CrossRef]
 - Abdelhamid, H.N.; Mathew, A.P. Cellulose–metal organic frameworks (CelloMOFs) hybrid materials and their multifaceted Applications: A review. Coord. Chem. Rev. 2022, 451, 214263. [Google Scholar] [CrossRef]
 - Geim, A.K.; Novoselov, K.S. The rise of graphene. Nat. Mater. 2007, 6, 183–191. [Google Scholar] [CrossRef]
 - Farooq, N.; Luque, R.; Hessien, M.M.; Qureshi, A.M.; Sahiba, F.; Nazir, M.A.; ur Rehman, A. A Comparative Study of Cerium- and Ytterbium-Based GO/g-C3N4/Fe2O3 Composites for Electrochemical and Photocatalytic Applications. Appl. Sci. 2021, 11, 9000. [Google Scholar] [CrossRef]
 - Jahan, M.; Bao, Q.; Yang, J.-X.; Loh, K.P. Structure-directing role of graphene in the synthesis of metal− organic framework nanowire. J. Am. Chem. Soc. 2010, 132, 14487–14495. [Google Scholar] [CrossRef]
 - Petit, C.; Bandosz, T.J. MOF–graphite oxide composites: Combining the uniqueness of graphene layers and metal–organic frameworks. Adv. Mater. 2009, 21, 4753–4757. [Google Scholar] [CrossRef]
 - Yang, Z.; Xu, X.; Liang, X.; Lei, C.; Gao, L.; Hao, R.; Lu, D.; Lei, Z. Fabrication of Ce doped UiO-66/graphene nanocomposites with enhanced visible light driven photoactivity for reduction of nitroaromatic compounds. Appl. Surf. Sci. 2017, 420, 276–285. [Google Scholar] [CrossRef]
 - Vickers, N.J. Animal communication: When i’m calling you, will you answer too? Curr. Biol. 2017, 27, R713–R715. [Google Scholar] [CrossRef] [PubMed]
 - Ramli, Z.; Kamarudin, S. Platinum-based catalysts on various carbon supports and conducting polymers for direct methanol fuel cell applications: A review. Nanoscale Res. Lett. 2018, 13, 410. [Google Scholar] [CrossRef] [PubMed]
 - Kaushal, S.; Kumari, V.; Singh, P.P. Sunlight-driven photocatalytic degradation of ciprofloxacin and organic dyes by biosynthesized rGO–ZrO2 nanocomposites. Environ. Sci. Pollut. Res. 2023, 30, 65602–65617. [Google Scholar] [CrossRef]
 - Huang, L.; Wang, H.; Chen, J.; Wang, Z.; Sun, J.; Zhao, D.; Yan, Y. Synthesis, morphology control, and properties of porous metal–organic coordination polymers. Microporous Mesoporous Mater. 2003, 58, 105–114. [Google Scholar] [CrossRef]
 - Bonino, F.; Chavan, S.; Vitillo, J.G.; Groppo, E.; Agostini, G.; Lamberti, C.; Dietzel, P.D.; Prestipino, C.; Bordiga, S. Local structure of CPO-27-Ni metallorganic framework upon dehydration and coordination of NO. Chem. Mater. 2008, 20, 4957–4968. [Google Scholar] [CrossRef]
 - Divya, K.; Chandran, A.; Reethu, V.; Mathew, S. Enhanced photocatalytic performance of RGO/Ag nanocomposites produced via a facile microwave irradiation for the degradation of Rhodamine B in aqueous solution. Appl. Surf. Sci. 2018, 444, 811–818. [Google Scholar] [CrossRef]
 - Karimzadeh, Z.; Javanbakht, S.; Namazi, H. Carboxymethylcellulose/MOF-5/Graphene oxide bio-nanocomposite as antibacterial drug nanocarrier agent. BioImpacts 2019, 9, 5. [Google Scholar] [CrossRef]
 - Jabbari, V.; Veleta, J.; Zarei-Chaleshtori, M.; Gardea-Torresdey, J.; Villagrán, D. Green synthesis of magnetic MOF@ GO and MOF@ CNT hybrid nanocomposites with high adsorption capacity towards organic pollutants. Chem. Eng. J. 2016, 304, 774–783. [Google Scholar] [CrossRef]
 - Liu, L.; Zhang, B.; Zhang, Y.; He, Y.; Huang, L.; Tan, S.; Cai, X. Simultaneous removal of cationic and anionic dyes from environmental water using montmorillonite-pillared graphene oxide. J. Chem. Eng. Data 2015, 60, 1270–1278. [Google Scholar] [CrossRef]
 - Bahuguna, A.; Choudhary, P.; Chhabra, T.; Krishnan, V. Ammonia-doped polyaniline–graphitic carbon nitride nanocomposite as a heterogeneous green catalyst for synthesis of indole-substituted 4 H-chromenes. ACS Omega 2018, 3, 12163–12178. [Google Scholar] [CrossRef]
 - Tran, N.T.; Kim, D.; Yoo, K.S.; Kim, J. Synthesis of Cu-doped MOF-235 for the Degradation of Methylene Blue under Visible Light Irradiation. Bull. Korean Chem. Soc. 2019, 40, 112–117. [Google Scholar] [CrossRef]
 - Malik, M.; Ibrahim, S.M.; Nazir, M.A.; Tahir, A.A.; Tufail, M.K.; Shah, S.S.A.; Anum, A.; Wattoo, M.A.; Rehman, A.u. Engineering of a Hybrid g-C3N4/ZnO-W/Cox Heterojunction Photocatalyst for the Removal of Methylene Blue Dye. Catalysts 2023, 13, 813. [Google Scholar] [CrossRef]
 - Moniz, S.J.; Shevlin, S.A.; Martin, D.J.; Guo, Z.-X.; Tang, J. Visible-light driven heterojunction photocatalysts for water splitting–a critical review. Energy Environ. Sci. 2015, 8, 731–759. [Google Scholar] [CrossRef]
 - Bandosz, T.J.; Petit, C. MOF/graphite oxide hybrid materials: Exploring the new concept of adsorbents and catalysts. Adsorption 2011, 17, 5–16. [Google Scholar] [CrossRef]
 - Mohammadi, A.A.; Moghanlo, S.; Kazemi, M.S.; Nazari, S.; Ghadiri, S.K.; Saleh, H.N.; Sillanpää, M. Comparative removal of hazardous cationic dyes by MOF-5 and modified graphene oxide. Sci. Rep. 2022, 12, 15314. [Google Scholar] [CrossRef]
 - Thi, Q.V.; Tamboli, M.S.; Ta, Q.T.H.; Kolekar, G.B.; Sohn, D. A nanostructured MOF/reduced graphene oxide hybrid for enhanced photocatalytic efficiency under solar light. Mater. Sci. Eng. B 2020, 261, 114678. [Google Scholar] [CrossRef]
 - Mazlan, N.A.; Butt, F.S.; Lewis, A.; Yang, Y.; Yang, S.; Huang, Y. The Growth of Metal–Organic Frameworks in the Presence of Graphene Oxide: A Mini Review. Membranes 2022, 12, 501. [Google Scholar] [CrossRef]
 - Chen, Y.; Zhai, B.; Liang, Y. Enhanced degradation performance of organic dyes removal by semiconductor/MOF/graphene oxide composites under visible light irradiation. Diam. Relat. Mater. 2019, 98, 107508. [Google Scholar] [CrossRef]
 - Petit, C.; Bandosz, T.J. Exploring the coordination chemistry of MOF–graphite oxide composites and their applications as adsorbents. Dalton Trans. 2012, 41, 4027–4035. [Google Scholar] [CrossRef]
 - Yang, C.; You, X.; Cheng, J.; Zheng, H.; Chen, Y. A novel visible-light-driven In-based MOF/graphene oxide composite photocatalyst with enhanced photocatalytic activity toward the degradation of amoxicillin. Appl. Catal. B Environ. 2017, 200, 673–680. [Google Scholar] [CrossRef]
 - Saravanakumar, K.; Muthuraj, V.; Jeyaraj, M. The design of novel visible light driven Ag/CdO as smart nanocomposite for photodegradation of different dye contaminants. Spectrochim. Acta Part A Mol. Biomol. Spectrosc. 2018, 188, 291–300. [Google Scholar] [CrossRef] [PubMed]
 - Dhanalakshmi, M.; Saravanakumar, K.; Prabavathi, S.L.; Abinaya, M.; Muthuraj, V. Fabrication of novel surface plasmon resonance induced visible light driven iridium decorated SnO2 nanorods for degradation of organic contaminants. J. Alloys Compd. 2018, 763, 512–524. [Google Scholar] [CrossRef]
 - Van Doorslaer, X.; Heynderickx, P.M.; Demeestere, K.; Debevere, K.; Van Langenhove, H.; Dewulf, J. TiO2 mediated heterogeneous photocatalytic degradation of moxifloxacin: Operational variables and scavenger study. Appl. Catal. B Environ. 2012, 111, 150–156. [Google Scholar] [CrossRef]
 - Prabavathi, S.L.; Saravanakumar, K.; Nkambule, T.; Muthuraj, V.; Mamba, G. Enhanced photoactivity of cerium tungstate-modified graphitic carbon nitride heterojunction photocatalyst for the photodegradation of moxifloxacin. J. Mater. Sci. Mater. Electron. 2020, 31, 11434–11447. [Google Scholar] [CrossRef]
 - Chen, Y.; Zhai, B.; Liang, Y.; Li, Y. Hybrid photocatalysts using semiconductor/MOF/graphene oxide for superior photodegradation of organic pollutants under visible light. Mater. Sci. Semicond. Process. 2020, 107, 104838. [Google Scholar] [CrossRef]
 - Xu, A.; Wu, D.; Zhang, R.; Fan, S.; Lebedev, A.T.; Zhang, Y. Bio-synthesis of Co-doped FeMnOx and its efficient activation of peroxymonosulfate for the degradation of moxifloxacin. Chem. Eng. J. 2022, 435, 134695. [Google Scholar] [CrossRef]
 - Liu, Y.; Bian, C.; Li, Y.; Sun, P.; Xiao, Y.; Xiao, X.; Wang, W.; Dong, X. Aminobenzaldehyde convelently modified graphitic carbon nitride photocatalyst through Schiff base reaction: Regulating electronic structure and improving visible-light-driven photocatalytic activity for moxifloxacin degradation. J. Colloid Interface Sci. 2023, 630, 867–878. [Google Scholar] [CrossRef] [PubMed]
 - Zhang, X.; Kang, X.; Wu, J.; Yang, Q.; Zhang, Y.; He, J.; Zheng, C.; Yang, Y.; Ye, Z. Sulfur-doped mesoporous ferric oxide used for effectively activating H2O2 to degrade moxifloxacin. J. Environ. Chem. Eng. 2023, 11, 109526. [Google Scholar] [CrossRef]
 - Jamshaid, M.; Khan, M.I.; Fernandez, J.; Shanableh, A.; Hussain, T.; ur Rehman, A. Synthesis of Ti4+ doped Ca-BiFO3 for the enhanced photodegradation of moxifloxacin. New J. Chem. 2022, 46, 19848–19856. [Google Scholar] [CrossRef]
 - Motlagh, P.Y.; Khataee, A.; Rad, T.S.; Hassani, A.; Joo, S.W. Fabrication of ZnFe-layered double hydroxides with graphene oxide for efficient visible light photocatalytic performance. J. Taiwan Inst. Chem. Eng. 2019, 101, 186–203. [Google Scholar] [CrossRef]
 - Yao, T.; Tan, Y.; Zhou, Y.; Chen, Y.; Xiang, M. Preparation of core-shell MOF-5/Bi2WO6 composite for the enhanced photocatalytic degradation of pollutants. J. Solid State Chem. 2022, 308, 122882. [Google Scholar] [CrossRef]
 - Dreyer, D.R.; Jia, H.-P.; Todd, A.D.; Geng, J.; Bielawski, C.W. Graphite oxide: A selective and highly efficient oxidant of thiols and sulfides. Org. Biomol. Chem. 2011, 9, 7292–7295. [Google Scholar] [CrossRef] [PubMed]
 - Govindaraju, S.; Arumugasamy, S.K.; Chellasamy, G.; Yun, K. Zn-MOF decorated bio activated carbon for photocatalytic degradation, oxygen evolution and reduction catalysis. J. Hazard. Mater. 2022, 421, 126720. [Google Scholar] [CrossRef]
 - Som, T.; Troppenz, G.V.; Wendt, R.; Wollgarten, M.; Rappich, J.; Emmerling, F.; Rademann, K. Graphene Oxide/α-Bi2O3 Composites for Visible-Light Photocatalysis, Chemical Catalysis, and Solar Energy Conversion. ChemSusChem 2014, 7, 854–865. [Google Scholar] [CrossRef] [PubMed]
 - Khan, N.A.; Shaheen, S.; Najam, T.; Shah, S.S.A.; Javed, M.S.; Nazir, M.A.; Hussain, E.; Shaheen, A.; Hussain, S.; Ashfaq, M. Efficient removal of norfloxacin by MOF@GO composite: Isothermal, kinetic, statistical, and mechanistic study. Toxin Rev. 2021, 40, 915–927. [Google Scholar] [CrossRef]
 - Hafizovic, J.; Bjørgen, M.; Olsbye, U.; Dietzel, P.D.; Bordiga, S.; Prestipino, C.; Lamberti, C.; Lillerud, K.P. The inconsistency in adsorption properties and powder XRD data of MOF-5 is rationalized by framework interpenetration and the presence of organic and inorganic species in the nanocavities. J. Am. Chem. Soc. 2007, 129, 3612–3620. [Google Scholar] [CrossRef] [PubMed]
 - Huang, Z.-H.; Liu, G.; Kang, F. Glucose-promoted Zn-based metal–organic framework/graphene oxide composites for hydrogen sulfide removal. ACS Appl. Mater. Interfaces 2012, 4, 4942–4947. [Google Scholar] [CrossRef]
 - Munawar, T.; Yasmeen, S.; Hussain, F.; Mahmood, K.; Hussain, A.; Asghar, M.; Iqbal, F. Synthesis of novel heterostructured ZnO-CdO-CuO nanocomposite: Characterization and enhanced sunlight driven photocatalytic activity. Mater. Chem. Phys. 2020, 249, 122983. [Google Scholar] [CrossRef]
 - Ali, N.S.; Jabbar, N.M.; Alardhi, S.M.; Majdi, H.S.; Albayati, T.M. Adsorption of methyl violet dye onto a prepared bio-adsorbent from date seeds: Isotherm, kinetics, and thermodynamic studies. Heliyon 2022, 8, e10276. [Google Scholar] [CrossRef]
 







| Nanocomposites | a (A°) | c (A°) | Volume (A°)3 | Crystallite Size (nm) | Strain ε (Nm−2) | Dislocation Density (m−2)  | Lattice Spacing (A°)  | 
|---|---|---|---|---|---|---|---|
| Ni/Mo.S2/MOF-5/GO | 3.561 | 5.6732 | 51.7324 | 24.0866 | 1.524 × 10−6 | 1.760 × 10−6 | 3.78 | 
| Ni.S2/MOF-5/GO | 2.4438 | 4.6071 | 24.6437 | 25.2436 | 1.495 × 10−6 | 1.569 × 10−6 | 2.47 | 
| Mo.S2/MOF-5/GO | 2.217 | 4.476 | 18.867 | 25.8973 | 1.456 × 10−6 | 1.479 × 10−6 | 2.59 | 
| Ni/Mo.S2/MOF-5 | 3.1355 | 5.4291 | 46.9241 | 24.115 | 1.478 × 10−6 | 1.659 × 10−6 | 3.42 | 
| Sample | Dye | Degradation Efficiency, % | Rate Constant, K (min−1) | R2 | Band Gap (±0.1 eV) | 
|---|---|---|---|---|---|
| Ni/Mo.S2/MOF-5 | MOX | 86 | 0.033 | 0.992 | 2.30 | 
| Mo.S2/MOF-5/GO | MOX | 90 | 0.041 | 0.981 | 2.27 | 
| Ni.S2/MOF-5/GO | MOX | 93 | 0.043 | 0.986 | 2.22 | 
| Ni/Mo.S2/MOF-5/GO | MOX | 95 | 0.044 | 0.965 | 2.06 | 
| Catalyst | Synthesis Method | Irradiation Time (min) | Light Source | % Degradation | Ref. | 
|---|---|---|---|---|---|
| Bio-FeMnCoO x | Bio-synthesis | 20 | --- | 95.2 | [57] | 
| CNABA hybrids | Physico-chemical | 50 | 300 W xenon lamp | 65 | [58] | 
| Porous sulfurized iron-based composite | Co-precipitation | 30 | XL (300 W) | 97 | [59] | 
| CaBiFe85%Ti15%O3 Nanoparticle  | Co-precipitation | 60 | UV-visible light | 89.16 | [60] | 
| Ni/Mo.S2/MOF-5/GO | Solvo-thermal | 90 | Sunlight (280–320 nm)  | 95 | Current study | 
Disclaimer/Publisher’s Note: The statements, opinions and data contained in all publications are solely those of the individual author(s) and contributor(s) and not of MDPI and/or the editor(s). MDPI and/or the editor(s) disclaim responsibility for any injury to people or property resulting from any ideas, methods, instructions or products referred to in the content.  | 
© 2023 by the authors. Licensee MDPI, Basel, Switzerland. This article is an open access article distributed under the terms and conditions of the Creative Commons Attribution (CC BY) license (https://creativecommons.org/licenses/by/4.0/).
Share and Cite
Anum, A.; Nazir, M.A.; Ibrahim, S.M.; Shah, S.S.A.; Tahir, A.A.; Malik, M.; Wattoo, M.A.; Rehman, A.u. Synthesis of Bi-Metallic-Sulphides/MOF-5@graphene Oxide Nanocomposites for the Removal of Hazardous Moxifloxacin. Catalysts 2023, 13, 984. https://doi.org/10.3390/catal13060984
Anum A, Nazir MA, Ibrahim SM, Shah SSA, Tahir AA, Malik M, Wattoo MA, Rehman Au. Synthesis of Bi-Metallic-Sulphides/MOF-5@graphene Oxide Nanocomposites for the Removal of Hazardous Moxifloxacin. Catalysts. 2023; 13(6):984. https://doi.org/10.3390/catal13060984
Chicago/Turabian StyleAnum, Aqsa, Muhammad Altaf Nazir, Sobhy M. Ibrahim, Syed Shoaib Ahmad Shah, Asif A. Tahir, Misbah Malik, Muhammad Ahmad Wattoo, and Aziz ur Rehman. 2023. "Synthesis of Bi-Metallic-Sulphides/MOF-5@graphene Oxide Nanocomposites for the Removal of Hazardous Moxifloxacin" Catalysts 13, no. 6: 984. https://doi.org/10.3390/catal13060984
APA StyleAnum, A., Nazir, M. A., Ibrahim, S. M., Shah, S. S. A., Tahir, A. A., Malik, M., Wattoo, M. A., & Rehman, A. u. (2023). Synthesis of Bi-Metallic-Sulphides/MOF-5@graphene Oxide Nanocomposites for the Removal of Hazardous Moxifloxacin. Catalysts, 13(6), 984. https://doi.org/10.3390/catal13060984
        
