Metal-Free Photoredox Intramolecular Cyclization of N-Aryl Acrylamides
Abstract
1. Introduction
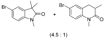
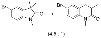
2. Results and Discussion
3. Materials and Methods
3.1. Materials and Chemicals
3.2. General Procedure for Hydroarylation (Standard Conditions)
3.3. Characterization Data of Products






















4. Conclusions
Supplementary Materials
Author Contributions
Funding
Data Availability Statement
Conflicts of Interest
References
- Khetmalis, Y.M.; Shivani, M.; Murugesan, S.; Chandra Sekhar, K.V.G. Oxindole and its derivatives: A review on recent progress in biological activities. Biomed. Pharm. 2021, 141, 111842. [Google Scholar] [CrossRef] [PubMed]
- Kaur, M.; Singh, M.; Chadha, N.; Silakari, O. Oxindole: A chemical prism carrying plethora of therapeutic benefits. Eur. J. Med. Chem. 2016, 123, 858–894. [Google Scholar] [CrossRef] [PubMed]
- Lai, J.Y.; Cox, P.J.; Patel, R.; Sadiq, S.; Aldous, D.J.; Thurairatnam, S.; Smith, K.; Wheeler, D.; Jagpal, S.; Parveen, S.; et al. Potent small molecule inhibitors of spleen tyrosine kinase (Syk). Bioorg. Med. Chem. Lett. 2003, 13, 3111–3114. [Google Scholar] [CrossRef]
- Yasuda, D.; Takahashi, K.; Ohe, T.; Nakamura, S.; Mashino, T. Antioxidant activities of 5-hydroxyoxindole and its 3-hydroxy-3-phenacyl derivatives: The suppression of lipid peroxidation and intracellular oxidative stress. Bioorg. Med. Chem. 2013, 21, 7709–7714. [Google Scholar] [CrossRef]
- Yong, S.R.; Ung, A.T.; Pyne, S.G.; Skelton, B.W.; White, A.H. Synthesis of novel 3′-spirocyclic-oxindole derivatives and assessment of their cytostatic activities. Tetrahedron 2007, 63, 5579–5586. [Google Scholar] [CrossRef]
- Scott, L.J. Ubrogepant: First Approval. Drugs 2020, 80, 323–328. [Google Scholar] [CrossRef]
- Dandia, A.; Khan, S.; Soni, P.; Indora, A.; Mahawar, D.K.; Pandya, P.; Chauhan, C.S. Diversity-oriented sustainable synthesis of antimicrobial spiropyrrolidine/thiapyrrolizidine oxindole derivatives: New ligands for a metallo-beta-lactamase from Klebsiella pneumonia. Bioorg. Med. Chem. Lett. 2017, 27, 2873–2880. [Google Scholar] [CrossRef]
- Boddy, A.J.; Bull, J.A. Stereoselective synthesis and applications of spirocyclic oxindoles. Org. Chem. Front. 2021, 8, 1026–1084. [Google Scholar] [CrossRef]
- Jin, Y.; Wang, L.; Zhang, W.; Wu, H.; Zhang, J. Enantioselective Friedel-Crafts Reaction of Indoles with Isatins Catalyzed by Cinchona Alkaloid Silyl Ether Derivative. Chin. J. Org. Chem. 2021, 41, 612–616. [Google Scholar] [CrossRef]
- Zhou, M.; Sun, J.; Chen, Y.; Jing, Q.; Gao, Q. Decarboxylative Amidation of Acrylamides with Oxamic Acids. Chin. J. Org. Chem. 2022, 42, 257–265. [Google Scholar] [CrossRef]
- Li, C.C.; Yang, S.D. Various difunctionalizations of acrylamide: An efficient approach to synthesize oxindoles. Org. Biomol. Chem. 2016, 14, 4365–4377. [Google Scholar] [CrossRef]
- Sakla, A.P.; Kansal, P.; Shankaraiah, N. Syntheses and reactivity of spiro-epoxy/aziridine oxindole cores: Developments in the past decade. Org. Biomol. Chem. 2020, 18, 8572–8596. [Google Scholar] [CrossRef]
- Kokai, E.; Simig, G.; Volk, B. Literature Survey and Further Studies on the 3-Alkylation of N-Unprotected 3-Monosubstituted Oxindoles. Practical Synthesis of N-Unprotected 3,3-Disubstituted Oxindoles and Subsequent Transformations on the Aromatic Ring. Molecules 2016, 22, 24. [Google Scholar] [CrossRef]
- Li, D.; Shen, X. Iron- or copper-catalyzed cascade chloromethylation of activated alkenes: Efficient access to chlorinated oxindoles. Tetrahedron Lett. 2020, 61, 152316. [Google Scholar] [CrossRef]
- Kong, D.L.; Du, J.X.; Chu, W.M.; Ma, C.Y.; Tao, J.Y.; Feng, W.H. Ag/Pyridine Co-Mediated Oxidative Arylthiocyanation of Activated Alkenes. Molecules 2018, 23, 2727. [Google Scholar] [CrossRef] [PubMed]
- Wang, H.; Guo, L.N.; Duan, X.H. Silver-catalyzed oxidative coupling/cyclization of acrylamides with 1,3-dicarbonyl compounds. Chem. Commun. 2013, 49, 10370–10372. [Google Scholar] [CrossRef] [PubMed]
- Wei, W.; Wen, J.; Yang, D.; Guo, M.; Tian, L.; You, J.; Wang, H. Copper-catalyzed cyanoalkylarylation of activated alkenes with AIBN: A convenient and efficient approach to cyano-containing oxindoles. RSC Adv. 2014, 4, 48535–48538. [Google Scholar] [CrossRef]
- Gansauer, A.; von Laufenberg, D.; Kube, C.; Dahmen, T.; Michelmann, A.; Behlendorf, M.; Sure, R.; Seddiqzai, M.; Grimme, S.; Sadasivam, D.V.; et al. Mechanistic study of the titanocene(III)-catalyzed radical arylation of epoxides. Chem.-Eur. J. 2015, 21, 280–289. [Google Scholar] [CrossRef]
- Muhlhaus, F.; Weissbarth, H.; Dahmen, T.; Schnakenburg, G.; Gansauer, A. Merging Regiodivergent Catalysis with Atom-Economical Radical Arylation. Angew. Chem. Int. Ed. 2019, 58, 14208–14212. [Google Scholar] [CrossRef]
- Chi, Z.; Gao, Y.; Yang, L.; Zhou, C.; Zhang, M.; Cheng, P.; Li, G. Dearomative spirocyclization via visible-light-induced reductive hydroarylation of non-activated arenes. Chin. Chem. Lett. 2022, 33, 225–228. [Google Scholar] [CrossRef]
- Gonda, Z.; Béke, F.; Tischler, O.; Petró, M.; Novák, Z.; Tóth, B.L. Erythrosine B Catalyzed Visible-Light Photoredox Arylation-Cyclization of N-Alkyl-N-aryl-2-(trifluoromethyl)acrylamides to 3-(Trifluoromethyl)indolin-2-one Derivatives. Eur. J. Org. Chem. 2017, 2017, 2112–2117. [Google Scholar] [CrossRef]
- Lu, M.; Liu, Z.; Zhang, J.; Tian, Y.; Qin, H.; Huang, M.; Hu, S.; Cai, S. Synthesis of oxindoles through trifluoromethylation of N-aryl acrylamides by photoredox catalysis. Org. Biomol. Chem. 2018, 16, 6564–6568. [Google Scholar] [CrossRef] [PubMed]
- Yan, W.; Qu, Z.; Zhao, F.; Deng, G.J.; Mao, G.J.; Huang, H. Visible-Light-Induced Photoredox Dehydrative Coupling/Cyclization of N-Arylacrylamides with Hydroxyketones. Adv. Synth. Catal. 2023, 365, 612–617. [Google Scholar] [CrossRef]
- Zhu, M.; You, Q.; Li, R. Synthesis of CF2H-containing oxindoles via photoredox-catalyzed radical difluoromethylation and cyclization of N-arylacrylamides. J. Fluor. Chem. 2019, 228, 109391. [Google Scholar] [CrossRef]
- Wan, X.; Wang, D.; Huang, H.; Mao, G.J.; Deng, G.J. Radical-mediated photoredox hydroarylation with thiosulfonate. Chem. Commun. 2023, 59, 2767–2770. [Google Scholar] [CrossRef]
- Yang, Z.; Wu, X.; Zhang, J.; Yu, J.T.; Pan, C. Metal-Free Photoinduced Hydrocyclization of Unactivated Alkenes toward Ring-Fused Quinazolin-4(3H)-ones via Intermolecular Hydrogen Atom Transfer. Org. Lett. 2023, 25, 1683–1688. [Google Scholar] [CrossRef]
- Singh, J.; Sharma, A. Visible Light Mediated Synthesis of Oxindoles. Adv. Synth. Catal. 2021, 363, 4284–4308. [Google Scholar] [CrossRef]
- Gui, Q.-W.; Teng, F.; Li, Z.-C.; Xiong, Z.-Y.; Jin, X.-F.; Lin, Y.-W.; Cao, Z.; He, W.-M. Visible-light-initiated tandem synthesis of difluoromethylated oxindoles in 2-MeTHF under additive-, metal catalyst-, external photosensitizer-free and mild conditions. Chin. Chem. Lett. 2021, 32, 1907–1910. [Google Scholar] [CrossRef]
- He, C.; Tang, X.; He, X.; Zhou, Y.; Liu, X.; Feng, X. Regio- and enantioselective conjugate addition of β-nitro α,β-unsaturated carbonyls to construct 3-alkenyl disubstituted oxindoles. Chin. Chem. Lett. 2023, 34, 107487. [Google Scholar] [CrossRef]
- Marchese, A.D.; Larin, E.M.; Mirabi, B.; Lautens, M. Metal-Catalyzed Approaches toward the Oxindole Core. Acc. Chem. Res. 2020, 53, 1605–1619. [Google Scholar] [CrossRef]
- Song, Q.; Su, J.; Li, X.; Huang, H. Difluorocarbene-Enabled Synthesis of 3-Substituted-2-oxoindoles from o-Vinylanilines. Chin. J. Org. Chem. 2023, 43, 1178–1182. [Google Scholar] [CrossRef]
- Wang, H.; Xie, Y.; Zhou, Y.; Cen, N.; Chen, W. Catalyst-free, direct electrochemical trifluoromethylation/cyclization of N-arylacrylamides using TfNHNHBoc as a CF3 source. Chin. Chem. Lett. 2022, 33, 221–224. [Google Scholar] [CrossRef]
- Wang, X.; Liu, Y.; Lu, B.; Li, F. Dirhodium/Xantphos-Catalyzed Tandem C–H Functionalization/Allylic Alkylation: Direct Access to 3-Acyl-3-allyl Oxindole Derivatives from N-Aryl-α-diazo-β-keto Amides. Chin. J. Org. Chem. 2022, 42, 3390–3397. [Google Scholar] [CrossRef]
- Zhang, R.-Y.; Xu, M.-M.; Li, H.-Y.; Xu, X.-P.; Ji, S.-J. Cascade reaction involving intramolecular oxygen-migration: Efficient synthesis of 3-allylidene-indolin-2-one compounds under metal-free conditions. Chin. Chem. Lett. 2021, 32, 433–436. [Google Scholar] [CrossRef]
- Leng, H.; Zhao, Q.; Mao, Q.; Liu, S.; Luo, M.; Qin, R.; Huang, W.; Zhan, G. NHC-catalysed retro-aldol/aldol cascade reaction enabling solvent-controlled stereodivergent synthesis of spirooxindoles. Chin. Chem. Lett. 2021, 32, 2567–2571. [Google Scholar] [CrossRef]
- Huang, H.; Ji, X.; Zhao, F.; Wu, X. Visible Light-Assisted Photocatalyst-Free Tandem Sulfonylation/ Cyclization for the Synthesis of Oxindoles. Chin. J. Org. Chem. 2022, 42, 4323–4331. [Google Scholar] [CrossRef]
- Miao, Z.; Zhang, X.; Liu, Y. Research Progress on the Synthetic Method of Five-Membered Spirooxindole Derivatives at C-3 Position. Chin. J. Org. Chem. 2021, 41, 3965–3982. [Google Scholar] [CrossRef]
- Liu, Z.; Zhong, S.; Ji, X.; Deng, G.-J.; Huang, H. Hydroarylation of Activated Alkenes Enabled by Proton-Coupled Electron Transfer. ACS Catal. 2021, 11, 4422–4429. [Google Scholar] [CrossRef]
- Liu, Z.; Zhong, S.; Ji, X.; Deng, G.J.; Huang, H. Photoredox Cyclization of N-Arylacrylamides for Synthesis of Dihydroquinolinones. Org. Lett. 2022, 24, 349–353. [Google Scholar] [CrossRef]
- Qu, Z.; Tian, T.; Tan, Y.; Ji, X.; Deng, G.-J.; Huang, H. Redox-neutral ketyl radical coupling/cyclization of carbonyls with N-aryl acrylamides through consecutive photoinduced electron transfer. Green Chem. 2022, 24, 7403–7409. [Google Scholar] [CrossRef]
- Nicewicz, D.; Roth, H.; Romero, N. Experimental and Calculated Electrochemical Potentials of Common Organic Molecules for Applications to Single-Electron Redox Chemistry. Synlett 2015, 27, 714–723. [Google Scholar] [CrossRef]
- Glaser, F.; Kerzig, C.; Wenger, O.S. Multi-Photon Excitation in Photoredox Catalysis: Concepts, Applications, Methods. Angew. Chem. Int. Ed. 2020, 59, 10266–10284. [Google Scholar] [CrossRef] [PubMed]
- Xu, J.; Cao, J.; Wu, X.; Wang, H.; Yang, X.; Tang, X.; Toh, R.W.; Zhou, R.; Yeow, E.K.L.; Wu, J. Unveiling Extreme Photoreduction Potentials of Donor-Acceptor Cyanoarenes to Access Aryl Radicals from Aryl Chlorides. J. Am. Chem. Soc. 2021, 143, 13266–13273. [Google Scholar] [CrossRef] [PubMed]






| Entry | PC | Additive | Solvent | Yield of 2a (%) b |
|---|---|---|---|---|
| 1 | 4CzIPN | Decanal | toluene | 80 |
| 2 c | 4CzIPN | Decanal | toluene | NR |
| 3 d | 4CzIPN | Decanal | toluene | 17 |
| 4 | - | Decanal | toluene | NR |
| 5 | 4CzIPN | - | toluene | NR |
| 6 | Rose bengal | Decanal | toluene | NR |
| 7 | Mes2AcrtBu2PF6 | Decanal | toluene | NR |
| 8 | Xanthone | Decanal | toluene | NR |
| 9 | 9-Fluorenone | Decanal | toluene | NR |
| 10 | Eosin Y | Decanal | toluene | 73 |
| 11 | 4CzIPN | Decanal | THF | NR |
| 12 | 4CzIPN | Decanal | DMF | NR |
| 13 | 4CzIPN | Decanal | EtOAc | NR |
| 14 | 4CzIPN | Decanal | DCE | NR |
| 15 | 4CzIPN | Decanal | NMP | NR |
| 16 | 4CzIPN | Decanal | CH3CN | NR |
| 17 | 4CzIPN | Decanal | PhCl | 65 |
| 18 | 4CzIPN | Decanal | o-Xylene | 70 |
| 19 | 4CzIPN | Aldehyde-1 | toluene | 40 |
| 20 | 4CzIPN | Aldehyde-2 | toluene | 67 |
| 21 | 4CzIPN | Aldehyde-3 | toluene | 33 |
| 22 | 4CzIPN | Aldehyde-4 | toluene | 57 |
| 23 | 4CzIPN | Aldehyde-5 | toluene | 61 |
| 24 e | 4CzIPN | Decanal | toluene | 60 |
![]() | ||||
![]() | ||||
Disclaimer/Publisher’s Note: The statements, opinions and data contained in all publications are solely those of the individual author(s) and contributor(s) and not of MDPI and/or the editor(s). MDPI and/or the editor(s) disclaim responsibility for any injury to people or property resulting from any ideas, methods, instructions or products referred to in the content. |
© 2023 by the authors. Licensee MDPI, Basel, Switzerland. This article is an open access article distributed under the terms and conditions of the Creative Commons Attribution (CC BY) license (https://creativecommons.org/licenses/by/4.0/).
Share and Cite
Liu, Z.; Ji, X.; Zhao, F.; Deng, G.; Huang, H. Metal-Free Photoredox Intramolecular Cyclization of N-Aryl Acrylamides. Catalysts 2023, 13, 1007. https://doi.org/10.3390/catal13061007
Liu Z, Ji X, Zhao F, Deng G, Huang H. Metal-Free Photoredox Intramolecular Cyclization of N-Aryl Acrylamides. Catalysts. 2023; 13(6):1007. https://doi.org/10.3390/catal13061007
Chicago/Turabian StyleLiu, Zhaosheng, Xiaochen Ji, Feng Zhao, Guojun Deng, and Huawen Huang. 2023. "Metal-Free Photoredox Intramolecular Cyclization of N-Aryl Acrylamides" Catalysts 13, no. 6: 1007. https://doi.org/10.3390/catal13061007
APA StyleLiu, Z., Ji, X., Zhao, F., Deng, G., & Huang, H. (2023). Metal-Free Photoredox Intramolecular Cyclization of N-Aryl Acrylamides. Catalysts, 13(6), 1007. https://doi.org/10.3390/catal13061007



