Abstract
Owing of their accessibility and wide range of reactivities, alkynes make for fascinating building blocks. Either a selective alkyne carbon-carbon triple bond reaction or activation of the terminal alkyne C-H bond may be employed to functionalize them. Monocationic coinage metal complexes with a d10 electronic configuration are effective catalysts for alkyne activation. Silver(I) and gold(I) N-heterocyclic (NHC) systems are emerging as promising catalysts in multicomponent alkyne activation reactions; this review paper focuses on A3 (aldehyde-amine-alkyne)-coupling reaction and carbon dioxide fixation, furnishing a systematic overview of the scientific advances achieved during the last two decades. This study will carefully compare the corresponding silver and gold complexes employed in the two processes. The differences in reaction routes brought about by the catalyst ligand structure will be investigated with an emphasis on evaluating the benefits provided by the easily tuneable NHC backbone, in terms of chemo- and stereo-selectivity.
1. Introduction
Alkynes provide for intriguing building blocks as they are easily accessible and display a variety of reactivities. Their functionalization can be carried out either with a selective alkyne carbon-carbon triple bond reaction or as activation of the terminal alkyne C-H bond. A single or multiple functional groups can be introduced by π-bond breaking; on the other hand, alkynyl C-H bonds (pKa = 25) are particularly responsive, since they are significantly more acidic than their equivalent alkenyl and alkyl C-H bonds (pKa = 43 and >50, respectively). Hence, under various basic circumstances, base-promoted additions of terminal alkynes to carbonyl compounds can occur [1]. Classical, stoichiometric alkyne addition have been taken over by more sustainable processes, which take into account atom economy and chemoselectivity. Innovative, effective procedures that take use of the substrate’s coexisting π-donor and π-acceptor features are transition metal-catalyzed insertion techniques across the triple bond of alkynes [1,2,3]. Monocationic coinage metal complexes with a d10 electronic configuration are effective catalysts for alkyne activation due to metal donation from p to s and metal to p* back-bonding. Although copper catalysis is the most investigated in the literature, silver(I) and gold(I) systems are emerging as efficient alternatives, thanks to their enhanced stability and ease management [3,4,5]. N-Heterocyclic Carbenes (NHCs) are ideal systems for suitably modifying ligands to fine-tune reactivity, chemo-, and stereo-selectivity; these two-electron donor ligands combine strong σ-donating properties with a steric profile that permits both stabilisation of the metal centre and improvement of its catalytic activity [6,7]. The synthesis of such complexes has been extensively investigated over the past couple of decades, as well as their catalytic applications, which are widespread [8,9,10]. The main focus of this review article is the application of NHC-silver(I) and gold(I) complexes in multicomponent (MC) reactions, with a specific attention to A3 (aldehyde-amine-alkyne)-coupling reaction and carbon dioxide fixation. Such processes have gained more and more attention over the past decade, as testified by the exponential growth in published papers. One-pot catalysis, performed in classical organic solvents, as well as neat conditions or even polar solvents such as water, renders for efficient, atom-economic processes. The main products, namely propargylamines and propiolic acids, constitute interesting, versatile building blocks towards more complex chemical architectures, some of which are mentioned in this paper. The variations in catalyst performance brought on by the various NHC backbones will be addressed, and a careful comparison of the analogous silver and gold complexes used in the two MC reactions will be conducted. With a focus on examining the reaction mechanism, the variations in reaction pathways brought about by the catalyst structure will be explored with the purpose of generating fresh ideas for the design and development of novel and ever more efficient catalytic complexes.
2. A3–Coupling Reaction
The A3-reaction is a three-component coupling involving an aldehyde, a terminal alkyne and an amine (Scheme 1). It represents the most efficient method to obtain propargylamines.
Scheme 1.
A3–coupling reaction.
Propargylamines constitute an important family of chemicals employed as organic building blocks and for realizing medicinal drugs such as Selegenine [11] and Rasagiline [12], that are currently used in the early treatment of Parkinson’s and Alzheimer’s diseases. The classical route for the synthesis of propargylamines is the nucleophilic addition of a metal acetylide to an imine. The acetylide is obtained by reaction of terminal alkynes with a strong base, such as butyllithium. The need to use stoichiometric amounts of acetylide, anhydrous conditions, and low temperatures, makes this method inconvenient. An alternative synthetic strategy has been developed over the past decade; catalytic amounts of transition metal inorganic salts can be used in the coupling reaction of equimolar quantities of aldehydes, amines and alkynes (A3) [13,14]. Thanks to its atom economy and high chemical selectivity, this synthetic strategy has received more and more attention.
The first catalysts used in the A3-coupling reactions [15] displayed a few drawbacks: high catalyst loading percentages and high temperatures. Copper [16], silver and gold complexes with N-heterocyclic carbenes (NHCs) were synthesized and tested as valid catalytic alternatives meant to overcome these downsides [5].
A proposed plausible mechanism for this three-components reaction, catalyzed by a late-transition metal NHC complex, is reported in Scheme 2 [15,17]. After the formation of an intermediate complex by side-on coordination of the alkyne to the metal, the weakly basic amine deprotonates the alkyne (whose acidity is now increased) and thus generates the corresponding metal acetylide. Lastly, the addition of this intermediate to an in situ generated imine (or iminium ion), leads to the desired propargylamine [18,19,20,21,22].
Scheme 2.
Proposed reaction mechanism for NHC-M-X catalyzed A3-coupling reactions.
In 2008, Wang and co-workers reported the synthesis of a series of NHC-Ag(I) (1a–d) and polystyrene supported PS-NHC-Ag(I) (2a–d) complexes (Figure 1) [23].
Figure 1.
NHC-Ag(I) and PS-NHC-Ag(I) synthesized by Wang [23].
They were employed in the A3-coupling reaction of paraformaldehyde (1.0 mmol), phenylacetylene (1.1 mmol) and piperidine (1.1 mmol) at room temperature for 24 h, with a 2 mol% amount of the silver catalyst in CH2Cl2, under nitrogen atmosphere. The results are summarized in Table 1. The catalytic activity of NHC-Ag(I) and PS-NHC-Ag(I) complexes decreased in this order: 1b > 1c > 1d > 1a and 2b > 2c > 2d > 2a, and this was the result of the influence of the substituted groups of the imidazolium salts: CH2Ph > Ph > t-Bu > Me.
Table 1.
Effect of Silver catalysts on A3-coupling reaction.
Thus, 1b and 2b (Table 1, Entries 2 and 6) resulted as the best catalysts for the A3-coupling reaction. Low catalytic activities were observed with Ag2O or AgI (Table 1, Entries 9 and 10); moreover, there was no propargylamine formation in the absence of the silver source.
The authors evaluated the effect of the solvent on the A3-coupling reaction as well, using catalyst 2b. Among the various solvents tested, acetone, acetonitrile, dimethyl sulfoxide, and dichloromethane proved to be the best, but the highest yield (97%) was obtained under neat conditions (Table 2, Entry 10).
Table 2.
Effect of the solvent on A3-coupling reaction using 2b as catalyst.
Furthermore, the recyclability of PS-NHC-Ag(I) catalyst 2b was also investigated. The catalyst recovered by filtration maintained its ability to give A3-coupling reaction for 12 consecutive cycles. The catalysis tests with these complexes were extended to different combinations of amines, aldehydes and alkynes obtaining the corresponding propargylamines in good to excellent yields (85–98%).
In 2010, Zou et al. [15] described the synthesis of some NHC-Ag-X complexes: 1-cyclohexyl-3-benzylimidazolylidene and 1-cyclohexyl-3-naphtylimidazolylidene chloride and bromide (3a–d) that are reported in Figure 2.
Figure 2.
NHC-Ag-X complexes synthesized by Zou et al. [15].
These compounds were obtained by reaction of silver oxide with the corresponding imidazolium salts in dichloromethane, following a procedure reported previously in the literature [24].
One equivalent of sodium nitrate was added to the reaction mixture of silver oxide and 1-cyclohexyl-3-benzylimidazolylidene in tetrahydrofuran to give a weakly coordinating anion; in this way the desired biscarbene silver nitrate (4) was obtained (Figure 3).
Figure 3.
(A) [(CyBn-NHC)AgCl]2 complex 3a structure and relative (B) dimeric trans conformation crystal structure; (C) [(CyBn-NHC)2Ag]+ NO3− complex 4 structure and relative (D) dimeric cis conformation crystal structure (anion omitted).
NMR and elemental analyses provided only a few information on the NHC silver complexes’ molecular structure, thus single crystal X-ray diffraction analysis was performed. The analysis revealed that the complexes 3a and 3b have a trans conformation dimeric structure with a non-polar Ag-Ag bond (Figure 3A,B) report the exemplificative structure for complex 3a); the complex 4 contains two NHC ligands with a cis orientation (Figure 3C,D), while the complexes 3c and 3d show the desired monomeric structure complexes 3a–d and 4 were tested as catalysts in the A3-coupling reaction of 3-phenylpropionaldehyde, phenylacetylene and piperidine; the same were used, at 100 °C in air, also with alkyl alkynes, such as octyne, and aromatic aldehydes, both electron rich and deficient ones, giving the desired propargylamine in good yields. The results are shown in Table 3.
Table 3.
Complexes 3a–d and 4 catalytic activity in the A3-coupling reaction.
The activities of NHC silver halides 3a and 3b were scarce when compared with simple inorganic silver halides AgCl and AgBr (Table 3, Entries 1–2 and 6–7). The yields increased with the complexes 3c and 3d thanks to the improved steric hindrance of 1-cyclohexyl-3-naphthalen-2-ylmethylimidazolylidene: in particular, the reaction with complex 3c completed in 2 h giving the product in a 99% yield (Table 3, Entries 4–5). Although cationic complexes are reported to exhibit high catalytic activity in the A3-coupling reaction, the cationic biscarbene silver nitrate complex 4 did not show better catalytic performance than the one observed with silver halides, due to the steric hindrance of the silver in the biscarbene cation [(NHC)2Ag]+ (Table 3, Entry 3). Reaction times were longer at lower temperatures (Table 3, Entries 11–12).
In 2012 Navarro and co-workers [25] reported a study on A3-coupling reaction using analogous silver complexes with carbenes as ligands. They described the synthesis of NHC-Ag-X complexes starting from commercially available NHCs or their precursors, imidazolium salts [26,27,28,29]. These complexes, reported in Figure 4 (5a–d and 6a–b), were tested in the reaction of cyclohexanecarboxaldehyde (1.0 mmol), piperidine (1.1 mmol) and phenylacetylene (1.1 mmol) at 25 °C, with an amount of the catalyst of 1–2 mol% and with different solvents.
Figure 4.
NHC-Ag(I) complexes synthesized by Navarro and co-workers [25].
The authors used 5a ((IPr)AgCl) complex to optimize the reaction conditions. As shown in Table 4 (Entry 11, the use of methanol as solvent led to the highest yields when 1 mol% of the complex was employed.
Table 4.
Effect of the solvent on the A3-coupling reaction.
Subsequently, they carried out a study using methanol as solvent to evaluate the activity of the synthesized catalysts, i.e., 5a–d and 6a–b. The counterion has a notable effect, in fact the acetate ion gives the highest activity, while the halides follow the order Cl > Br >> I. Probably the polarizability of the counterion and its electronegativity are important factors. It should be noted that there are no important differences in the formation of the propargylamine, using a complex with saturated N-heterocyclic carbene based ligand (6a–b), compared to the complex with unsaturated ones (5a–d).
As shown in Table 5, the highest yield (96%, in 20 min) was obtained with 1 mol% of the complex 6b. The study was extended to different amines, aldehydes and alkynes. The complex 6b was able also to catalyze the coupling reaction of inactivated aryl aldehydes at room temperature, even if the reaction times resulted longer. Times could be shortened by increasing the temperature and/or the catalyst loading.
Table 5.
Effect of the catalyst on the A3-coupling reaction after 20 min.
The synthesis and the catalytic activity in A3-coupling reactions of a supported Ag(I)-NHC-MOF complex was reported in 2013 [30]. Metal-organic frameworks (MOFs) are efficient heterogeneous catalysts featuring a metallic core and malleable organic linkers (see Figure 5). They display large pores, high surface area, and can selectively adsorb small molecules. To combine the advantageous properties of MOFs and NHCs, the latter can be integrated into MOFs. In this way, systems with multiple, embedded catalytic sites in a single structure can be obtained. According to a previous work by Kitagawa et al., Mousavi, Verpoort and co-workers [31] reported the synthesis of the MOF A, consisting of the [Zn8O] clusters with six metallomacrocycles and NHC moieties, as shown in Figure 5 [30].
Figure 5.
MOF A consisting of the [Zn8O] clusters with six metallomacrocycles and NHC moieties.
The NHC carbon of the MOF A was deprotonated and, then, different amounts of Ag(OAc) were added in order to obtain MOF-NHC-Ag(I) complexes (7–10), as shown in Table 6.
Table 6.
MOF-NHC-Ag(I) synthesized complexes with different amounts of silver.
These complexes were tested in A3-coupling reaction of phenylacetylene (1.1 mmol), para-formaldehyde (1.0 mmol) and diisopropylamine (1.1 mmol) at room temperature in dichloromethane as solvent. In Table 7 and Table 8, the activities of MOF A and MOF-NHC-Ag(I) complexes in the A3-coupling reaction are reported.
Table 7.
Effect of the catalyst on A3-coupling reaction.
Table 8.
Time-dependent conversion of catalysts MOF A and 9 in A3-coupling reaction.
Complex 9 led to a full conversion of the reagents into the propargylamine after 1 h unlike the MOF A which led to the complete conversion in 24 h. This demonstrated that silver plays a crucial role in the catalysing the A3-coupling reaction. This is evident by observing Figure 6, which shows the conversions as a function of the amount of catalyst.
Figure 6.
Effect of the amount of the catalyst on the A3-coupling reaction.
Using complex 9 as catalyst, the effect of the solvent on the A3-coupling reaction was also studied, and the results are summarized in Table 9. Reactions carried out in dichloromethane, acetone, acetonitrile gave the highest conversions. Toluene produced modest results and the reaction did not occur at all in solvents such as dimethyl sulfoxide and dimethylformamide. Reactions in tetrahydrofuran and in neat conditions generated the desired product.
Table 9.
Effect of the solvent on A3-coupling reaction using complex 7.
In the years 2015–2017, Bantreil, Mètro, and co-workers [32,33,34] reported the solvent-free synthesis of NHC complexes bearing non-coordinating tetrafluoroborate or hexafluorophosphate counter-anions (11a–d, 12a–d, 13a–d, and 14a–b; Figure 7).
Figure 7.
NHC–silver(I) complexes synthesized by Bantreil, Mètro et al. [32,33,34].
In 2017, they tested these complexes in the A3-coupling reaction of benzaldehyde (1.0 equiv.), piperidine (1.2 equiv.) and phenylacetylene (1.5 equiv.) in order to obtain the respective propargylamine [35]. The complexes were used at 3 mol% and the reactions were performed in methanol at 110 °C under microwave irradiation for 1 h. The results are shown in Table 10.
Table 10.
Catalytic activity of synthesized complexes in A3-coupling reaction.
The best yield was obtained with complex 12b which led to the desired propargylamine in 81% yield. (Table 10, Entry 12). Considering these good results, the catalytic activity of the complex 12b was evaluated for the synthesis of a wide range of propargylamines. This catalyst turned out to be versatile and compatible with aliphatic and aromatic aldehydes and alkynes. Propargylamines were obtained with good yield (73–95%) in fast reaction times (1–4 h) with reduced catalyst loads (4 mol%) and in a low-toxicity solvent, methanol (2 mL).
In 2017 Kılınçarslan and co-workers [36] reported the synthesis and catalytic activity in A3-coupling reaction of NHC-Ag(I) complexes based on 1-(methyl)-3-(alkyl)imidazole: 15a-c depicted in Figure 8.
Figure 8.
NHC-Ag(I) complexes synthesized by Kılınçarslan et al. [36].
These complexes were tested using piperidine (1.2 mmol), several aldehydes (1.0 mmol) and phenylacetylene (1.5 mmol); the results are shown in Table 11. The complex 15a showed scarce catalytic activity in the presence of benzaldehyde, and high efficiency with paraformaldehyde. The reaction was carried out in different solvents and in neat conditions, at 80 °C, achieving yields ranging from 12% to 88%.
Table 11.
Catalytic activity in A3-coupling reaction.
In the same year Quayle et al. [37] reported a study concerning synthesis, characterization and evaluation of the catalytic activity of the gold complexes reported in Figure 9.
Figure 9.
Gold complexes tested in A3-coupling reaction.
These complexes were tested as catalysts in the A3-coupling reaction of a variety of aldehydes, alkynes and amines. [AuCl2(η2-C,N-C6H4CH2NMe2)] 16a and (S)-[AuCl2(η2-C,N-C6H4CH(Me)NMe2)] 16b, used at 1 mol%, in water at 40°C, led to quantitative conversion after 24 h. Instead, only 9 and 10% of aldehyde conversion was reported when the NHC-Au complexes 18a–b and 19 were tested, thus showing low activity in the A3-coupling reaction. In addition, a lack of enantioselectivity was also observed with the chiral complexes 16a, 17, and 18a–b and this was in line with what has been reported in the literature about obtaining enantiomers with gold complexes[38].
In 2019 A. Neshat et al. [22] presented a study on the synthesis of novel NHC-Ag(I) complexes 21 and 22 by substitution of chlorides in the previously reported complex 5a with homoscorpionate sulphur donor borate ligands (Figure 10). Complex 21 was tested in A3-coupling reactions, and its catalytic activity was compared with that of the complexes 5a and 20 already known. Since complexes 21 and 22 have close characteristics, the catalytic activity of complex 22 was not tested.
Figure 10.
Ag-NHC and Au-NHC complexes tested by Neshat et al. [22].
Various amount of the complexes 5a, 20, 21 were tested in A3-coupling reaction of benzaldehyde (0.5 mmol), piperidine (0.75 mmol) and phenylacetylene (0.75 mmol) under different temperatures and reaction times. Employing a 1% mol amount of the 5a, 20, 21 catalysts, and running the reaction at 50°C and for 24 h, yields of 95%, >99% and >99%, were, respectively, obtained (Table 12, Entry 1).
Table 12.
A3-coupling of benzaldehyde, piperidine and phenylacetylene with catalysts 5a, 20, 21 under different reaction conditions.
Subsequent decrease of the temperature to ambient, with complex 5a, caused a drop in the yield from 95 to 87%, while it remained unchanged by employing complexes 20 and 21 (Table 12, Entry 2). A similar trend was observed by stitching the amount of catalyst from 1% to 0.5% and 0.2% (Table 12, Entries 3–4). They also tried reducing the reaction time from 24 to 12 h, employing the 0.2% catalysts, but, again, lower yields were obtained (Table 12, Entry 5) and the same occurred when they tried to lower the percentage of catalyst by going to 0.1% (Table 12, Entry 6).
As a conclusion, NHC-Ag(I) complexes with bidentate sulphur donor ligands (i.e., complex 21), showed great catalytic activity in A3-coupling reactions. The catalytic activity of the novel catalyst 21 was comparable with that of complex 20 and higher than that of the complex 5a.
In 2020 Mariconda and co-workers [19] synthetized two novel complexes of silver and gold bearing 4,5-dichloro-N-methyl-N’-(2-hydroxy-2-phenyl)ethyl-imidazole-2-ylidine ligand (23a, 24a) (Figure 11).
Figure 11.
Silver(I) and gold(I) catalysts used in A3-coupling reactions.
According to the results of conductivity measurements, these complexes can be present in solution as ionic species [M(NHC)2]+ [MX2]– or neutral species M(NHC)X, where the last were considered responsible of the catalytic activity in A3-coupling reaction (Figure 12).
Figure 12.
Equilibrium between ionic and neutral species of NHC-M complexes.
They were tested as catalysts in A3-coupling reaction of aldehydes (i.e.,: formaldehyde or paraformaldehyde or cyclohexanecarboxaldehyde or benzaldehyde, 1.0 mmol) with piperidine (1.2 mmol) and phenylacetylene (1.5 mmol), in the absence of solvent or using dioxane (Table 13 and Table 14). The activity of complexes 23a and 24a were compared with two analogous complexes with hydrogens on the backbone (23b and 24b) synthesized by the same group [39,40]. The results, in neat conditions, are reported in Table 13.
Table 13.
Solvent free synthesis of propargylamines via A3- coupling reactions catalyzed by NHC-Ag(I) (23a–b) and NHC-Au(I) (24a–b).
Table 14.
Synthesis of propargylamines via A3-coupling reactions catalyzed by silver and gold NHC complexes in the presence of dioxane as solvent.
All complexes were found to be capable to catalyze the A3-coupling reaction. By comparing Entries 1–16 of Table 12, it was evident that the gold catalysts were much more efficient than silver ones. Cyclohexanecarboxaldehyde and paraformaldehyde were the most reactive in presence of all the catalysts (except 23b for the paraformaldehyde), whereas the benzaldehyde resulted the least reactive. As far as formaldehyde in aqueous solution is concerned, this was moderately reactive in the presence of silver complexes (Table 13, Entries 1 and 9), while good reactivity was observed with gold-based complexes (Table 13, Entries 5 and 13).The same reactions were performed using dioxane as solvent and the results are reported in Table 14. A trend of reactivity emerged from the results in Table 14: 24a > 24b > 23a > 23b. In conclusion, gold-based complexes were more performing than silver ones and the new complexes with chlorines on NHC backbone (23a and 24a) were more active than the previously synthesized complexes (23b and 24b).
Recently [21], a green approach for A3-coupling reactions using water as solvent or working in neat condition was proposed. In order to enhance the solubility of catalysts in water, four new complexes (25a–b, 26a–b) were designed by substitution of the alcohol group of the previously described 23b and 24b with sodium alcoholate or methoxyl group, as shown in Figure 13.
Figure 13.
Silver and gold complexes with sodium alcoholate or methoxyl groups.
These complexes were tested as catalysts in A3-coupling reactions of an aldehyde (i.e.,: paraformaldehyde, butyraldehyde, cyclohexanecarboxaldehyde, and benzaldehyde) with piperidine and phenylacetylene in neat conditions or using water as solvent.
In Table 15 the catalytic activity of these new complexes, in the absence of solvents, are depicted. Gold complexes (25b and 26b) have shown better catalytic activity than silver analogues: 26b ≥ 25b > 26a ≥ 25a.
Table 15.
NHC–Ag(I) and NHC–Au(I) catalyzed A3-coupling reaction.
In particular, paraformaldehyde was the most reactive substrate when gold complexes were used. Both gold and silver complexes with a methoxyl group performed better than the ones with sodium-alcoholate groups. The catalytic behaviour of the gold complexes 25b and 26b in the A3-coupling reaction of cyclohexanecarboxaldehyde and benzaldehyde with piperidine and phenylacetylene was investigated, in water. Comparing the activity of the complexes 25b and 26b with that of the previously reported 24b and 24a analogues (see Table 14), catalyst 24a, bearing chlorines on the NHC backbone, showed to be the most active (Table 16).
Table 16.
NHC–Au(I) catalyzed A3-coupling reaction.
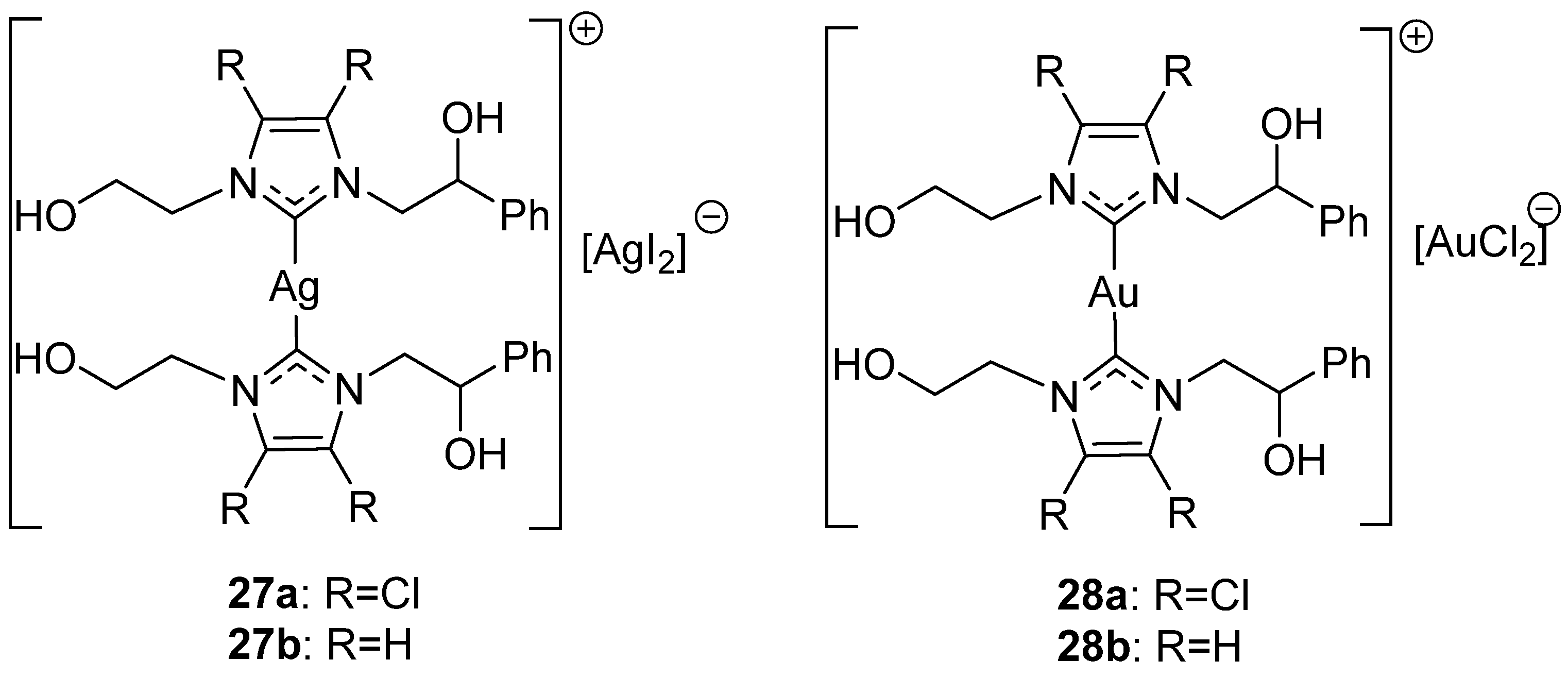
Further improvement of the catalysts’ structure [41] resulted in four new complexes having an hydroxyl functional group on each of the nitrogen atoms of the imidazole ring (Figure 14). These complexes were even more soluble in green solvents and in physiological environments.
Figure 14.
Water-soluble NHC-Ag(I) and NHC-Au(I) complexes.
As shown in Figure 14, silver and gold complexes 27a and 28a differ from complexes 27b and 28b for the presence of the chlorines on the backbone. These complexes were tested as catalysts in A3-coupling reactions of phenylacetylene, piperidine and three different aldehydes (paraformaldehyde, cyclohexanecarboxaldehyde, and benzaldehyde), at 80 °C in neat conditions. As shown in Table 17, all complexes were able to catalyze the coupling of aldehydes, piperidine, and phenylacetylene. By comparing Entries 1–12, it was evident that silver complexes (27a–b) having N-heterocyclic carbene with hydrogens on the backbone were less active than the gold complexes (28a–b) with chlorine atoms on the backbone.
Table 17.
Catalytic activity of the water-soluble NHC-Ag(I) and NHC-Au(I) complexes in A3-coupling reactions.
In 2022 Mateus et al. [42] reported the synthesis of a chelating bidentate NHC-based silver complex containing bisamides linkers (29) (Figure 15).
Figure 15.
Chelating bidentate NHC-Ag(I) complex.
The catalytic activity of the complex 29 has been evaluated in the A3-coupling reaction of cyclohexanecarbaldehyde, pyrrolidine and phenylacetylene, as described in Table 18.
Table 18.
Chelating bidentate NHC–Ag(I) complex catalyzed A3-coupling reaction.
The reaction conducted with 1 mol% of the catalyst 29 at 80 °C, led to a full conversion of the starting reagents and the desired propargylamine was isolated in 89% (Table 18, Entry 1). Given this interesting result, the catalyst load was lowered to 0.5 mol% and, even in this case, the full consumption of the reactants occurred leading to 85% of the desired product (Table 18, Entry 2). The scientists decided to proceed by lowering the reaction temperature and, then, by decreasing the catalyst load up to 0.1 mol%.
So, by extending the reaction times to 36 h and by using 0.5 mol% of the catalyst, the reaction gave high yields at temperatures lower than 80 °C (Table 18, Entries 3–6), even at room temperature (Table 18, Entry 6). It was also possible to obtain good yields when the catalyst load was decreased to 0.1 mol% in 36 h at 80 °C (Table 18, Entry 7).
3. Carboxylation Reaction
The greenhouse effect and relative change in climate have been causing concern in the scientific community, public opinion, and governments for the past few decades. The massive production of carbon dioxide (CO2) is among the principal causes of climate change [43]. The increase in CO2 levels is attributable to many factors such as intensive agriculture, transportation, industries, combustion of petroleum-based resources, and the rise of the population. In particular, India, China, the US, Russia, Canada, and Japan are the countries with the highest values of greenhouse emissions [43,44,45].
Reducing carbon dioxide levels has become a major global concern in the current scenario. Many research groups are involved in converting CO2 into value-added molecules [46]. For example, photocatalysis and electrocatalysis can consent the conversion of carbon dioxide into methane, methanol, and carbon monoxide [47]. Furthermore, diverse toxic carbonylation agents, such as carbon monoxide and phosgene, can be replaced by carbon dioxide for the construction of C-C and C-X bonds (X=H, O, N) [48]. Therefore, developing an efficient, inexpensive, and eco-sustainable carbon dioxide utilization method is crucial.
Unfortunately, the transformations of CO2 are particularly difficult due to its kinetic inertia and thermodynamic stability. The primary focus is the development of catalytic systems that can activate this inert molecule. Over recent years, N-heterocyclic carbenes and their relative complexes have earned significant attention in the activation of carbon dioxide, thanks to their steric and electronic properties [49]. Moreover, compared to other catalysts, NHCs are more facile and inexpensive to develop. It has been demonstrated that there are two approaches by that CO2 can be activated by N-heterocyclic carbene metal complexes: interaction of the π electrons of the carbon dioxide molecule with the empty d-orbital of the transition metals. In such manner, it is possible to extend the carbonaceous chain of alkynes (carboxylation of terminal alkynes) [50]; by oxidative coupling of metal complexes, carbon dioxide, and olefins to produce cyclic intermediates (2-oxazolidinone and carbonates) (Figure 16) [51,52].
Figure 16.
Carboxylation reaction catalyzed by Ag/Au(I) NHC complexes reported in this review.
This paragraph of the review summarizes and analyses the results in the functionalization/activation of carbon dioxide, obtained by silver(I) and gold(I) NHC complexes.
3.1. Carboxylation of Terminal Alkynes
Alkynyl carboxylic acids are a ubiquitous class of compounds due to their great utility in medicinal chemistry and in the production of synthetic fibres [53]. Different synthetic procedures have been developed for the preparation of this class of compounds including the oxidation of aldehydes or alcohols, or hydrolysis of bromide [54,55]. The carboxylation of terminal alkynes with carbon dioxide is the most powerful method for the synthesis of propiolic acids. Zhang’s [56] and Grooben’s [57] groups reported in 2010, for the first time, that the carboxylation of terminal alkynes, with carbon dioxide, can be catalyzed by copper or copper-NHC complexes (Figure 17A,B). Furthermore, Zhang and collaborators [50] have reported the direct carboxylation of alkynes with a transition metal-free catalytic system, at 120 °C and 2.5 atm (Figure 17C). Later, Zhang et al. [58] reported the development of a ligand-free Ag(I) catalyst, active in the carboxylation of the terminal alkynes under mild reaction conditions. (Figure 17D). The main limitations of these methods were that the yields obtained were generally moderate, and the reaction conditions (temperature and pressure) were quite harsh. In Figure 17 are reported all the early developed protocols to produce propiolic acids with alkynes and carbon dioxide.
Figure 17.
Protocols developed for the synthesis of substituted propiolic acids from alkynes. (A,B) copper or copper-NHC complexes; (C) transition metal-free; (D) ligand-free Ag(I) catalyst; (E) poly-NHC-Ag nanoparticles, Poly-NHC-Ag-NPs.
In 2012, Zhang and collaborators [59] reported a heterogeneous catalytic system (poly-NHC-Ag nanoparticles, Poly-NHC-Ag-NPs) 30, active in the carboxylation of terminal alkynes with carbon dioxide (Figure 17E). The synthesis of poly-imidazolium salts and its relative AgNPs catalytic system are reported in Scheme 3 [60].
Scheme 3.
Preparation of heterogeneous catalytic system (Poly–NHC–Ag–NPs 30).
The nano-composite catalytic system showed excellent yields with different aryl alkynes, under ambient reaction conditions. In an initial screening the desired propiolic acid was recovered up to 98% (0.3 mol% of the Ag catalyst). Based on this interesting result, the authors tested its reusability. Centrifugation and filtering of the reaction mixture allowed for the recovery of the catalytic system. The solid residue was washed with DMF and reused in the sequent runs. More than 93% of the yield was produced every five times the catalytic system was being used, evidencing its high activity. A fraction of the catalyst was lost throughout the recovery process, which was the cause of the activity’s decline. The reaction scope was implemented testing the carboxylation reaction of different aryl alkynes (Table 19).
Table 19.
Carboxylation of terminal alkynes with poly-NHC-Ag-NPs.
As shown in Table 19, excellent yields were obtained with both electron-donating groups (Entries 2, 3, 5, 6, 8), and electron-withdrawing groups (4, 7, 9, 10), demonstrating tolerance to diverse functional groups (OH, CHO, CN, NO2, etc). The authors have not observed the formation of any by-products. They affirmed that the excellent catalytic activity is due to the synergistic action of the ligand (NHC) and Ag nanoparticles. Zhang et al. proposed a possible mechanism, shown in Scheme 4.
Scheme 4.
Proposed mechanism for the carboxylation reaction of terminal alkynes catalyzed by poly-NHC–Ag-NPs catalyst.
They asserted that the first stage of the cycle is the formation of metal acetylide intermediate through the deprotonation of the alkyne by the base (I). Later, the carbene carbon atom reacts with CO2, due to its nucleophilicity, to produce an NHC-carboxylate specie (II) [61,62]. Since Louie and colleagues [63] reported the activation of CO2 with the generation of zwitterionic species in a reversible mechanism in 2004, the authors postulated the formation of carboxylate species (32, Scheme 5). Then, the coordination of the carboxylic group, near the silver centre, induces the nucleophilic attack by the acetylide species (III). Finally, the silver acetylide species is regenerated by the alkyne deprotonation by the base. The proposed mechanism highlights the synergic crucial role between the metal centre and the poly-NHC ligand.
Scheme 5.
Activation of CO2 by NHC, observed by Louie et al. [63].
In 2016, Fang et al. [64] reported the synthesis, structural characterization and catalytic activity in the carboxylation of terminal alkynes of four Ag-NHC complexes 33a–d. The synthesis of the complexes was reported in Scheme 6; they were obtained by the reaction of the corresponding imidazolium salt with 0.55 eq. of silver oxide (Ag2O), with the exclusion of the light, at room temperature for 48 h.
Scheme 6.
Synthesis of the complexes 33a–d.
Single crystals of 33a–d were obtained by slow evaporation of a diethyl ether/chloroform solution of the corresponding silver compounds at room temperature. Surprisingly, the authors found that whereas complexes 33b and 33d had a mononuclear structure, complexes 33a and 33c revealed a dinuclear structure. The reactivity of complexes was initially explored in the reaction of phenylacetylene with carbon dioxide. The results are reported in Table 20.
Table 20.
Carboxylation reaction catalyzed by Ag(NHC) complexes.
The authors demonstrated that the reaction could not occur without the presence of the silver catalyst (Table 20, Entry 1). They also evaluated the suitable catalytic loading for the optimization of reaction conditions. The desired propiolic acid was isolated in good yield (82%), using 1–3 mol% of 33a, in DMF, and using 1.5 equiv. of Cs2CO3 (Table 20, Entries 2,3). When the reaction was loaded with 5% mol of catalyst, the yield dropped, probably, as suggested by the authors, due to the ability of the Ag-NHC complexes to also catalyze the decarboxylation process. (Table 20, Entry 4). It is worth note that in the literature a few examples of decarboxylation reactions of carboxylic acids catalyzed by Ag2CO3 are reported [65,66]. Other silver complexes were tested in the carboxylation reaction of phenylacetylene, using 1 mol% loading; they displayed comparable activity (Table 20, Entries 5–7). Although the complex 33a showed a dinuclear structure, and the complex 33b exhibited a mononuclear structure, their time-dependent experiments were comparable. For silver complex 33a any induction time during the initial period of the reaction was observed. The authors tried to explain this behaviour by asserting that the complexes 33a and 33c, in a polar medium, such as DMF, could display a monomeric structure, due to the weak Ag…Cl interaction [9,67]. The increase in temperature did not positively influence the reaction: when the reaction was conducted at 40 °C, the yield was mostly unvarying (Table 20, Entry 8), while a further increase in temperature (60 °C) gave yield decrease (Table 20, Entry 9). The authors then deepened the influence of the base (Table 20, Entries 1 vs. 10–15). The best results were obtained with the inorganic base Cs2CO3. DBU (1,8-Diazabicyclo(5.4.0)undec-7-ene) and K2CO3 were less efficient (Table 20, Entries 10 and 11), while KOtBu, NaOtBu, and NaOH were ineffective (Table 20, Entries 12–14). Based on these data, the authors asserted that the carboxylation reaction is not correlated to the basicity. However, the presence of the base is fundamental for the course of the reaction (Table 20, Entry 15). The base loading was evaluated (Table 20, Entry 1 vs. Entries 15–18), e.g.,: when 1.2 or 1.0 equiv. of Cs2CO3 were employed, the quantity of propiolic acid diminished. Finally, the author explored carefully diverse solvents (Table 20, Entry 19–22). Once the best reaction conditions were assessed (1 mol% of silver complex, 1.5 equiv. of Cs2CO3, 1 atm of CO2, room temperature, in DMF, 16 h), a scope of the alkyne substrates was performed. The results are summarized in Table 21.
Table 21.
Carboxylation reaction with different terminal alkynes, catalyzed by silver complex 33a.
The Ag-NHC complex 33a demonstrated remarkable catalytic performances towards different substituents. Good yields were obtained with aromatic alkynes having electron-donating groups on the phenyl ring (e.g.,: CH3, CH3CH2CH2, Ph, OCH3, Table 21, Entries 2–5). Analogous yields were achieved with aromatic alkynes having electron-withdrawing groups on the phenyl ring, i.e.,: fluoride and chloride. (Table 21, Entries 6–8) However, a lowering of the yields was observed with aromatic alkynes bearing strong withdrawing substituents (such as CHO, CF3, CN, NO2, Table 21, Entries 9–12) perhaps due to marked decrease in nucleophilicity of the α carbon. When the carboxylation reaction was conducted with 2-ethynyl pyridine (Table 21, Entry 14), the corresponding pyridyl propiolic acid was not isolated from the reaction mixture, as observed by Gooßet et al. [57]. Finally, good yields had been recorded with aliphatic terminal alkynes. (Table 21, Entries 16–21).
In 2017, Verpoort et al. [68] reported the catalytic activity of a bis (N-heterocyclic carbene) Ag complex 34 (Figure 18) in the carboxylation of diverse terminal alkynes with CO2. The results are listed in Table 22.
Figure 18.
Strucuture of the bis (NHC)Ag complex 34 tested by Verpoort et al. [68].
Table 22.
Carboxylation reaction with different terminal alkynes, catalyzed by silver complex 34.
As described in Table 22, best yields (upper 85%) were obtained with aromatic alkynes (Entries 1–3), while a sharp decrease was observed when aliphatic alkynes were tested (Entries 4–7). It should be noted that the carboxylation reaction of diynes required 2.4 equivalents of base for the formation of dicarboxylic acids (Entries 3,4).
Based on the results obtained by Zhang [59], on the synergistic effects between NHC and silver, seen above, Verpoort et al. tested a series of NHC/Ag systems (P-L1–P-L4, Figure 19) in the carboxylation reaction of terminal alkynes to give the corresponding carboxylic acids, using silver oxide as Ag source. The authors developed this series of catalytic systems, primarily to avoid the synthesis of the relevant photosensitive silver complexes, and to exploit the synergistic effects among Ag ions and the NHC-CO2 adduct. Furthermore, in the catalytic system, different potassium salts were introduced, and the authors observed that the nature of the halogen played an important role in the catalysis. The authors have preliminary investigated the carboxylation reaction, using phenylacetylene as a standard substrate; the results are reported in Table 23.
Figure 19.
Zwitterionic NHC pro-ligands P-L1–P-L4 tested in the carboxylation reaction.
Table 23.
Investigation of the catalytic systems P-L1–P-L4/Ag.
The activity of P-L1 and P-L3 were slightly better than their corresponding imidazolinium salts (P-L2, P-L4, Table 23, Entries 1, 3 vs. Entries 2, 4). There was no discernible pattern that could be attributed to the aliphatic chain’s length. High yields were attained utilising 0.5 mol% of the NHC salt (Table 23, Entries 6, 7); KBr could substitute KI as potassium salt efficiently. When Ag2O was examined in the absence of NHC and KI, the carboxylic acid yield significantly decreased (Table 23, Entry 8). Only 10% of the phenyl-1-propionic acid was produced whether the base was used alone or in combination with KI (Table 23, Entries 10, 11). The authors optimized the reaction condition by evaluating the solvent effect, the time, and the loading of both base of the catalyst. The results are listed in Table 24.
Table 24.
Optimization of the carboxylation reaction of phenylacetylene with P-L1/Ag system.
As seen above, the solvent plays a crucial role in the carboxylation reaction (Table 24, Entries 1–5). DMF and DMSO showed to be the most suitable for this type of reaction thanks to their high polarity and aproticity. Verpoort et al. attributed the higher yields with DMF to its weak alkalinity, which has a beneficial effect in the of the alkyne deprotonation and promoting the formation of the acetylide species. Another polar and aprotic solvent was tested (CH3CN, Table 24, Entry 3), but yields in the presence of this solvent were much lower than those obtained with DMF. H2O and MeOH were found to be unsuitable for the carboxylation of the terminal alkynes (Table 24, Entries 4,5). The base also plays an essential role in the catalytic system as well: as seen by Fang et al. [64] Cs2CO3 showed superior efficiency than the other tested bases such as K2CO3 or KOtBu (Table 24, Entries 6–7). Twenty four hours was the suitable time for the reaction (Entry 1 vs. Entries 8–9). The P-L1/Ag system showed interesting activity even when the catalytic loading was lowered (Table 24, Entries 10–11).
Thus, once the reaction was optimized, the authors tested the catalytic system in the carboxylation of different terminal alkynes (Table 25).
Table 25.
Carboxylation reaction of terminal alkynes with P-L1/Ag.
The results show high tolerance of the catalytic system with a wide range of terminal alkynes. Aliphatic alkynes were more active towards the carboxylation than aromatics (Table 25, Entries 13–19 vs. 1–12, 21), owing to their significant electron-donating properties. Aryl alkynes with strong electron-withdrawing substituents reacted less easily than the aryl alkynes with electron-releasing substituents (Entries 9–12, 21 vs. Entries 1–8).
To the best of our knowledge, only Gooßen et al. [69] dealt with gold-catalyzed carboxylation reaction of terminal alkynes. They tested the complex 20 (Figure 20, shown in Figure 10 as well) in the reaction of carboxylation of 1-octyne, obtaining a 9% conversion.
Figure 20.
NHC-Au(I) complex 20 employed by Gooßen and co-workers.
Using DFT simulations, Maseras and Jover [70] identified the mechanism of the gold-catalyzed carboxylation process. The authors have used complex 20 as a model and propyne as olefin for the calculations (Scheme 7).
Scheme 7.
Mechanism for the gold-catalyzed carboxylation, including the free energies in (kcal/mol). ‡ Transition state. Reprinted, with permission, from [70]. Copyright 2014, American Chemical Society.
By the analysis of the mechanism, reported in Scheme 7, the σ-acetylide gold complex results as the species with the lowest free energy (–62.8 Kcal/mol). The energy barrier required for the carboxylation of the alkyne is 22.9 kcal/mol. The low conversion could be attributed to the high stability of the gold acetylide complex and the middle-high energy to overcome.
3.2. Carboxylation Cyclization
The addition of carbon dioxide to alcohols and amines are two equilibrium transformations. The main limitation for these reactions is the difficulty to isolate the corresponding carbonate/carbamate, after the quenching the reaction. In fact, until few years ago, the synthesis of these compounds was conducted using phosgene, due to its higher reactivity than CO2, avoiding the equilibrium condition [71].
Transformation of unstable scaffolds into stable products, and development of efficient catalysts have been the solution of the problems due to equilibrium condition and use of hazardous chemicals in harsh condition reaction.
In the 2007, the discovery of the catalytic activity of silver salts in the cascade carboxylation and cyclization of propargyl alcohols was an important breakthrough in the transition metal catalyzed conversion of carbon dioxide [72].
3.2.1. Reaction of Carboxylative Cyclization Catalyzed by AuNHC
In 2013, Ikariya and collaborators [73] reported the synthesis of (Z)-5-alkylidene-1,3-oxazolidin-2-ones, by carboxylative cyclization with 2 mol% of 20 in methanol, under 1 atm of carbon dioxide. Table 26 reports all the obtained results. The authors did not observe the formation of any other by-products or isomers. Furthermore, by 1H-NMR spectroscopy and X-ray crystallographic analysis, the authors outlined the Z configuration of the C-C double bond.
Table 26.
Fixation of CO2 catalyzed by 20.
The gold complex 20 converted various N-methylaminoalkynes into analogous urethanes with yields ranging from 81 to 91% (Table 26, Entries 1–4). The reaction between carbon dioxide and the terminal alkyne (N-methylpropargylamine) led to only 16% of the corresponding cyclic product (Entry 5). The authors associated the low yields with the formation of σ acetylide gold complex, less catalytically reactive. The conversion of the amine was reduced when the alkyl groups were replaced with aromatics, even with longer reaction times (Entries 10–11).
To gain mechanistic information, the authors evaluated the carboxylation reaction of the substrate 1-methylamin-2-butyne PAa (Table 26), using a stoichiometric amount of (IPr)AuOH 35 [74] in non-acid conditions, 1atm of CO2, and in dehydrated THF at 40 °C. As shown in Scheme 8, they obtained the alkenylgold complex 36 in a 54% yield. The side product of the reaction is H2O, which does not have sufficient acidity to damage the alkenylgold complex. The successive addition of an equimolar solution of acetic acid in CD3OD to lead the urethane 37 with an 83% yield in 1 h.
Scheme 8.
Synthesis of the alkenylgold complex.
Given these experimental observations, the authors proposed a mechanism of cyclization reaction promoted by the NHC gold complexes [75] (Scheme 9). In a polar medium (methanol), the gold precursor forms the catalytic species by dissociation of the chloride, whereas the carboxylation of the amine moiety (I) produces the formation of a propargylic carbamate. The triple bond of the propargylic carbamate is activated by the cationic gold(I) centre, which undergoes the nucleophilic attack by the carbamate ion on the triple bond to generate the neutral gold alkenyl compound. The subsequent addition of a proton (protodeuration) leads to the urethane II and regenerates the catalytic gold cation. This mechanism was also investigated by Lin and coworkers through DFT calculations [76]. It was found that polar protic solvents, such as CH3OH, can stabilize the negative charge on the carboxylic moiety, promoting the catalytic reaction [76].
Scheme 9.
Proposed mechanism of the carboxylation fixation of carbon dioxide by propargylamines, promoted by AuNHCX complexes. Adapted with permission from [75]. Copyright 2013, American Chemical Society.
Fujita et al. [77] conducted further studies, synthesizing a series of amphiphilic dendritic NHC gold complexes and evaluating the catalytic activity of carbon dioxide addition to propargylic amines in aqueous media. The main aim of this research was to introduce a hydrophilic group to a hydrophobic dendron in order to give the complexes amphiphilic. Tri(ethylene glycol) (TEG), penta(ethylene glycol) (PEG), and dodecyl(ethylene glycol) (DEG) were added to the dendron. The structures of such complexes are reported in Figure 21.
Figure 21.
Structure of amphiphilic gold NHC complexes 38–40.
The authors of the paper examined the catalytic activity of the amphiphilic gold complexes in the reaction of carbon dioxide fixation to N-methyl-3-phenylprop-2-yn-1-amine (substrate PAj, Table 27), which lead in 15–24 h to the corresponding 2-oxazolidinone in aqueous solution at room temperature. As shown in Table 27, all the complexes are catalytically active. The NHC gold complex 39 showed the highest production of oxazolidinone (Entries 3–5). A good yield was obtained using 1% mol of the catalyst (Entries 4 and 5). A dramatical decrease in yield was recorded lowering the catalyst loading to 0.5% (Entry 6).
Table 27.
Carboxylation of propargylamine in an aqueous solution catalyzed by dendritic NHC gold complexes 38–40.
Furthermore, Fujita and collaborators [78] tested the catalytic activity of 39 in the carboxylation of various propargyl amines in aqueous media. The results are listed in Table 28. The reaction of carbon dioxide fixation was carried out for 48 h, except for the propargylamine PAj, using 1%mol of gold complex, to give the corresponding 2-oxazolidinone in acceptable to good yields. Despite the use of 2 mol% of gold complex, the reaction with terminal alkynes (Table 28, Entries 1 and 7) gave low chemical yields. However, terminal amines did not react with the carbon dioxide (Entry 8).
Table 28.
Carboxylation of propargylamines catalyzed by complex 39.
In 2020, Nolan and collaborators synthesized and characterized eight dinuclear gold(I) complexes (41–48, Figure 22), evaluating their catalytic activity in the fixation reaction of carbon dioxide to N-benzylbut-2-yn-1-amine (substrate PAh) [79]. All the eight complexes were active toward the cyclization of carbon dioxide at room temperature in MeOH. Table 29 reports the catalytic activity of these complexes. The complexes 41–44 (Table 29, Entries 1–4) bearing a 2,6-diisopropylphenyl group on the N-heterocyclic ligand, showed better catalytic activity than the mononuclear analogues (Table 29, Entry 9). A counter anion influence in terms of catalytic activity was not noticed. At the same time, a little drop in activity when the linker length on the NHC ligand is shortened was observed.
Figure 22.
Structure of dinuclear complexes 41–48 tested by Nolan et al. [79].
Table 29.
Carboxylative cyclization of PAh, catalyzed by dinuclear complexes 41–48.
3.2.2. Reaction of Carboxylative Cyclization Catalyzed by AgNHC
The carbon dioxide cycloaddition to propargylic alcohol, to achieve cyclic carbamates, mediated by silver salts, has gained more and more attention in the last years. In 2007, Yamada and collaborators reported for the first time silver catalyzed cycloaddition of carbon dioxide to propargyl alcohols (Scheme 10) [72]. They evaluated the catalytic activity of several inorganic silver salts (AgCN, AgOTf, Ag2CO3, AgOAc, AgBF4, AgF, AgSbF6, AgClO4, AgOMs). AgOAc showed the best catalytic activity at room temperature in the incorporation of carbon dioxide, using a stochiometric amount of DBU as a base to reach cycloadduct yields ranging from good to quantitative. Other metal salts such as Rh(acac)3, Hg(OTf)2, PtCl2, Pd(OAc)2, CuCl, and AuCl were not effective in this transformation.
Scheme 10.
Propargyl alchol cyclization catalyzed by AgOAc.
In 2015, Takao Ikariya et al. [80] reported, for the first time, the catalytic activity of NHC silver complexes in the carbon dioxide cycloaddition to the allenyl moiety. Initially, they tested a series of complexes of Group 11. Complex 5d (infra Figure 2) showed better catalytic activity (Table 30, Entry 1) than the gold and copper analogues (Table 30, Entries 2–3). Moreover, the silver NHC complex bearing the benzoate ion did not exhibit improved catalytic activity, and when the acetate ion moiety was replaced with the chloride ligand, it was found that conversion dramatically worsened (Entries 4 and 5). These findings imply that the carboxylation process depends critically on the production of active cationic species. Remarkably, the NHC ligand influences the selectivity of the reaction. In fact, the use of silver acetate has led to the formation of the carboxylated compound in 71% yield and the byproduct 49b in 26% yield (Entry 6). Other acetate silver complexes showed a reduced activity for carboxylation (Entries 8 and 9). As shown in Table 30 (Entries 10–16), the nature of the solvent plays an important role in the reaction rate and in the selectivity of cyclization. Aprotic solvents, such as toluene, THF, and CH2Cl2, compared to 2-propanol, produced low conversions of 1-benzylamino-2,3-butadiene (Entries 10–12). In MeOH and CF3CH2OH it was observed the formation of hydroamination product 49c (Entries 13 and 15). The authors asserted that the more acidity of these alcohol makes the allenyl moiety more susceptible to the amine group. Despite the low catalytic loading (0.1 mol%, Entry 16) the reaction of carboxylation continued in 2-propanol to give the urethane product a 77% yield with a long reaction time.
Table 30.
Carboxylation of 1-(benzylamino)-2,3-butadiene.
Verpoort et al. [81] tested the catalytic precursors represented in Figure 19 (infra Page 30) in the cycloaddition of carbon dioxide to propargyl alcohols, gaining the corresponding α-alkylidene cyclic carbamates, under atmospheric CO2 pressure; the results are listed in Table 31. The authors tested Ag2O, KI and NHC precursor as catalyst individually, observing no formation of the desirable product (Entries 1–3, Table 31). The addition of AgI to Ag2O or the use of the only AgI ware found to be ineffective to catalyze the cycloaddition to propargyl alcohol (Entries 4–5, Table 31). Yet, the Ag2O/KI system was able to catalyze that reaction when NHC precursor was added (Entries 6–9). The imidazolium salt with the greatest catalytic activity was P-L3. The authors have looked at the impacts of the silver salt and halide, in order to determine the ideal reaction conditions. The best catalytic system, as demonstrated in Entries 8 through 13 was composed of Ag2O, KI, and P-L3. The catalytic system was also examined in several solvents (DMF, DMSO, CH3CN, CH2Cl2, CH3OH). The system AgI/P-L3/KI has showed excellent activity in both polar and aprotic solvents. The solvent basicity, which is likely capable of activating the hydroxyl group of substrates, is the cause of the somewhat greater activity in DMF.
Table 31.
Optimization of reaction conditions.
The catalytic system was tested in the reaction of carboxylation with other substrates under 1 bar of CO2, to lead the α-alkylidene cyclic carbamates. It was observed that the steric hindrance of the substituted group has influenced the catalytic activity. Less sterically hindered propargyl alcohols exhibited better tendency to undergo the reaction of cyclization (Table 32).
Table 32.
Cyclization of propargyl alcohols catalyzed by NHC proligands/Ag system P-L3.
In 2018, an interesting paper by Chen [82] and collaborators was published, in which they synthesized carbon nanotube (CNT) and graphene (GN) grafted NHC-Ag complexes as heterogenous catalysts for the cycloaddition of CO2 to propargyl alcohol.
In Scheme 11, the synthesis of these heterogenous catalysts is represented. The composite materials were synthesized by reaction of polymerization of 3-allyl-1-vinylimidazolium chloride in presence of CNT or GN suspension. The heterogenous catalysts (Scheme 11, catalysts 50 and 51) were synthesized by reaction of corresponding materials with Ag2O. These heterogenous complexes were tested in the cycloaddition of carbon dioxide to terminal propargyl alcohols showing an interesting activity in the formation of carbonate. As shown in Table 33, the reaction doesn’t occur in absence of the catalyst. Silver salts, like Ag2O, Ag2CO3, AgOTf, AgOAc were inactive toward the transformation (Entries 1–6).
Scheme 11.
Synthesis of the heterogenous catalysts 50–51.
Table 33.
Formation of carbonate by cycloaddition of CO2 to terminal propargyl alcohols using heterogenous catalysts.
Very recently Hashimi and co-workers [83] reported the synthesis, the characterization, and the catalytic application of new silver carboxylate carbene complexes, in the carbon dioxide cycloaddition to propargyl alcohols and propargylic amines. The synthesis of the silver carboxylate complexes is reported in Scheme 12. As shown, the carboxylate complexes were synthesized by the preparation in the first instance, of the silver bromide complexes, followed by ion exchange to gain the silver carboxylate salts (acetate, benzoate).
Scheme 12.
Synthesis of carboxylate silver carbene complexes.
Complex 52 showed the best catalytic activity. Under the optimized reaction conditions, a variety of propargylic alcohols were converted to the corresponding carbamates. In Table 34 the yields obtained using the complex 52 are reported. By the analysis of the yields, the authors observed that the presence of alkyl or aryl group on the Ph ring contributed to a slightly better yield than the ones bearing electron withdrawing group (Entries 1–8 vs. 13).
Table 34.
Cyclization of various alcohols catalyzed by complex 52.
Instead, the silver NHC acetate complex 53 showed better catalytic activity in the synthesis of 2-oxazolidinones by cyclization of propargylic amines than complex 52. As listed in Table 35, all the examined reactions give good yields. The reaction times vary from 1.5 to 16 h.
Table 35.
Cyclization of various amines catalyzed by 53.
Another important aspect, evaluated by the authors, was the recyclability of the catalysts. The complexes synthesized were insoluble in organic polar solvent, whereas the cyclic carbonate was soluble in solvent such as CH3CN and AcOEt. This immiscibility has allowed for the easy recyclability of the complexes by filtration. In fact, decomposition of the silver complexes was not recorded, and the catalytic activity was up 96% yield after the 7th cycle.
4. Conclusions
The plethora of efficient one-pot reactions catalyzed by NHC metal complexes has expanded greatly in the past couple of decades, since the first isolation of an N-heterocyclic carbene by Arduengo. NHC complexes of silver(I) and gold(I) have received a great deal of attention thanks to their easy handling, compared to the parent coinage metal copper. This advantage, together with the wide applicability, has made possible an exponential growth of published papers. This review article focused on two particularly interesting multicomponent reactions involving alkynes, i.e.,: A3-coupling and CO2 fixation, having as main aim to furnish an up-to-date comprehensive overview of the application of such complexes in these processes. Multicomponent reactions outcome can be strictly controlled employing a late-transition metal catalyst. Particularly, in the presence of a NHC metal complex, for the A3 coupling, reaction conditions can be easily adjusted towards a greener process, while maintaining good yields, when compared to the metallic inorganic salt. As far as carboxylation is concerned, the presence of such catalysts allows the reduction of the reaction temperatures and CO2 pressure, making for a straightforward synthetic procedure. The undiscussed versatility of the heterocyclic ring, both from the electronic and steric point of view, together with the multitude of the counteranions available, produces a platform of tunable catalytic systems whose metal complexes’ characteristics may be tailored to the chemist’s imagination and have yet to be fully explored.
Author Contributions
Writing—original draft preparation: A.D., M.S., S.R., R.T.; review and editing: A.D., P.L. and A.M.; conceptualization and supervision: P.L. and A.M. All authors have read and agreed to the published version of the manuscript.
Funding
This research received no external funding.
Data Availability Statement
No new data was produced writing this manuscript.
Conflicts of Interest
The authors have no conflict of interest to declare.
References
- Uhlig, N.; Yoo, W.-J.; Zhao, L.; Li, C.-J. Catalytic Nucleophilic Addition of Alkynes to Imines: The A3 (Aldehyde-Alkyne-Amine) Coupling. In Modern Alkyne Chemistry; Trost, B.M., Li, C.-J., Eds.; Wiley-VCH Verlag GmbH & Co. KGaA: Weinheim, Germany, 2014; pp. 239–268. ISBN 978-3-527-67789-4. [Google Scholar]
- Ramani, A.; Desai, B.; Patel, M.; Naveen, T. Recent Advances in the Functionalization of Terminal and Internal Alkynes. Asian J. Org. Chem. 2022, 11, e202200047. [Google Scholar] [CrossRef]
- Fang, G.; Bi, X. Silver-Catalysed Reactions of Alkynes: Recent Advances. Chem. Soc. Rev. 2015, 44, 8124–8173. [Google Scholar] [CrossRef] [PubMed]
- Hashmi, A.S.K. A Critical Comparison: Copper, Silver, and Gold. In Silver in Organic Chemistry; Harmata, M., Ed.; John Wiley & Sons, Inc.: Hoboken, NJ, USA, 2010; pp. 357–379. ISBN 978-0-470-59752-1. [Google Scholar]
- Díaz-Requejo, M.M.; Pérez, P.J. Coinage Metal Catalyzed C−H Bond Functionalization of Hydrocarbons. Chem. Rev. 2008, 108, 3379–3394. [Google Scholar] [CrossRef]
- Yang, S.; Zhou, T.; Yu, X.; Szostak, M. Ag–NHC Complexes in the π-Activation of Alkynes. Molecules 2023, 28, 950. [Google Scholar] [CrossRef]
- Nolan, S.P. The Development and Catalytic Uses of N-Heterocyclic Carbene Gold Complexes. Acc. Chem. Res. 2011, 44, 91–100. [Google Scholar] [CrossRef] [PubMed]
- Marion, N.; Nolan, S.P. N-Heterocyclic Carbenes in Gold Catalysis. Chem. Soc. Rev. 2008, 37, 1776–1782. [Google Scholar] [CrossRef]
- Lin, J.C.Y.; Huang, R.T.W.; Lee, C.S.; Bhattacharyya, A.; Hwang, W.S.; Lin, I.J.B. Coinage Metal−N-Heterocyclic Carbene Complexes. Chem. Rev. 2009, 109, 3561–3598. [Google Scholar] [CrossRef]
- Díez-González, S.; Marion, N.; Nolan, S.P. N-Heterocyclic Carbenes in Late Transition Metal Catalysis. Chem. Rev. 2009, 109, 3612–3676. [Google Scholar] [CrossRef]
- Birks, J.; Flicker, L. Selegiline for Alzheimer’s Disease. Cochrane Database Syst. Rev. 2003, 1, CD000442. [Google Scholar] [CrossRef] [PubMed]
- Langston, J.W.; Irwin, I.; Langston, E.B.; Forno, L.S. Pargyline Prevents MPTP-Induced Parkinsonism in Primates. Science 1984, 225, 1480–1482. [Google Scholar] [CrossRef]
- McNally, J.J.; Youngman, M.A.; Dax, S.L. Mannich Reactions of Resin-Bound Substrates: 2. A Versatile Three-Component Solid-Phase Organic Synthesis Methodology. Tetrahedron Lett. 1998, 39, 967–970. [Google Scholar] [CrossRef]
- Dyatkin, A.B.; Rivero, R.A. The Solid Phase Synthesis of Complex Propargylamines Using the Combination of Sonogashira and Mannich Reactions. Tetrahedron Lett. 1998, 39, 3647–3650. [Google Scholar] [CrossRef]
- Li, Y.; Chen, X.; Song, Y.; Fang, L.; Zou, G. Well-Defined N-Heterocyclic Carbene Silver Halides of 1-Cyclohexyl-3-Arylmethylimidazolylidenes: Synthesis, Structure and Catalysis in A3-Reaction of Aldehydes, Amines and Alkynes. Dalton Trans. 2011, 40, 2046–2052. [Google Scholar] [CrossRef] [PubMed]
- Chen, M.-T.; Navarro, O. N-Heterocyclic Carbene (NHC)–Copper(I) Complexes as Catalysts for A3 Reactions. Synlett 2013, 24, 1190–1192. [Google Scholar] [CrossRef]
- Létinois-Halbes, U.; Pale, P.; Berger, S. Ag NMR as a Tool for Mechanistic Studies of Ag-Catalyzed Reactions: Evidence for in Situ Formation of Alkyn-1-Yl Silver from Alkynes and Silver Salts. J. Org. Chem. 2005, 70, 9185–9190. [Google Scholar] [CrossRef] [PubMed]
- Peshkov, V.A.; Pereshivko, O.P.; Van der Eycken, E.V. A Walk around the A3-Coupling. Chem. Soc. Rev. 2012, 41, 3790–3807. [Google Scholar] [CrossRef]
- Mariconda, A.; Sirignano, M.; Costabile, C.; Longo, P. New NHC-Silver and Gold Complexes Active in A3-Coupling (Aldehyde-Alkyne-Amine) Reaction. Mol. Catal. 2020, 480, 110570. [Google Scholar] [CrossRef]
- Chen, H.-B.; Zhao, Y.; Liao, Y. Aldehyde–Alkyne–Amine (A3) Coupling Catalyzed by a Highly Efficient Dicopper Complex. RSC Adv. 2015, 5, 37737–37741. [Google Scholar] [CrossRef]
- Costabile, C.; Mariconda, A.; Sirignano, M.; Crispini, A.; Scarpelli, F.; Longo, P. A Green Approach for A3-Coupling Reactions: An Experimental and Theoretical Study on NHC Silver and Gold Catalysts. New J. Chem. 2021, 45, 18509–18517. [Google Scholar] [CrossRef]
- Neshat, A.; Afrasi, M.; Gilanchi, S.; Gholinejad, M. An Efficient A3 Coupling Catalyst Based on a Silver Complex Bearing N-Heterocyclic Carbene and Homoscorpionate Bis(3-methyl-mercaptoimidazolyl)Borate Ligands. ChemistrySelect 2019, 4, 9268–9273. [Google Scholar] [CrossRef]
- Li, P.; Wang, L.; Zhang, Y.; Wang, M. Highly Efficient Three-Component (Aldehyde–Alkyne–Amine) Coupling Reactions Catalyzed by a Reusable PS-Supported NHC–Ag(I) under Solvent-Free Reaction Conditions. Tetrahedron Lett. 2008, 49, 6650–6654. [Google Scholar] [CrossRef]
- Lee, K.M.; Wang, H.M.J.; Lin, I.J.B. Structural Diversity of N-Heterocyclic Carbene Complexes of Silver(I). J. Chem. Soc. Dalton Trans. 2002, 14, 2852–2856. [Google Scholar] [CrossRef]
- Chen, M.-T.; Landers, B.; Navarro, O. Well-Defined (N-Heterocyclic Carbene)–Ag(i) Complexes as Catalysts for A3 Reactions. Org. Biomol. Chem. 2012, 10, 2206. [Google Scholar] [CrossRef] [PubMed]
- Ramnial, T.; Abernethy, C.D.; Spicer, M.D.; McKenzie, I.D.; Gay, I.D.; Clyburne, J.A.C. A Monomeric Imidazol-2-Ylidene−Silver(I) Chloride Complex: Synthesis, Structure, and Solid State 109Ag and 13C CP/MAS NMR Characterization. Inorg. Chem. 2003, 42, 1391–1393. [Google Scholar] [CrossRef] [PubMed]
- de Frémont, P.; Scott, N.M.; Stevens, E.D.; Ramnial, T.; Lightbody, O.C.; Macdonald, C.L.B.; Clyburne, J.A.C.; Abernethy, C.D.; Nolan, S.P. Synthesis of Well-Defined N-Heterocyclic Carbene Silver(I) Complexes. Organometallics 2005, 24, 6301–6309. [Google Scholar] [CrossRef]
- Partyka, D.V.; Deligonul, N. Phosphine- and Carbene-Ligated Silver Acetate: Easily-Accessed Synthons for Reactions with Silylated Nucleophiles. Inorg. Chem. 2009, 48, 9463–9475. [Google Scholar] [CrossRef]
- Partyka, D.V.; Robilotto, T.J.; Updegraff, J.B.; Zeller, M.; Hunter, A.D.; Gray, T.G. Facile Synthesis of (Phosphine)- and (N-Heterocyclic Carbene)Gold(I) and Silver(I) Azide Complexes. Organometallics 2009, 28, 795–801. [Google Scholar] [CrossRef]
- Kassymova, M.; de Mahieu, A.; Chaemchuen, S.; Demeyere, P.; Mousavi, B.; Zhuiykov, S.; Yusubov, M.S.; Verpoort, F. Post-Synthetically Modified MOF for the A3-Coupling Reaction of Aldehyde, Amine, and Alkyne. Catal. Sci. Technol. 2018, 8, 4129–4140. [Google Scholar] [CrossRef]
- Sen, S.; Nair, N.N.; Yamada, T.; Kitagawa, H.; Bharadwaj, P.K. High Proton Conductivity by a Metal–Organic Framework Incorporating Zn8O Clusters with Aligned Imidazolium Groups Decorating the Channels. J. Am. Chem. Soc. 2012, 134, 19432–19437. [Google Scholar] [CrossRef]
- Beillard, A.; Golliard, E.; Gillet, V.; Bantreil, X.; Métro, T.-X.; Martinez, J.; Lamaty, F. Expedient Mechanosynthesis of N,N-Dialkyl Imidazoliums and Silver(I)-Carbene Complexes in a Ball-Mill. Chem.-Eur. J. 2015, 21, 17614–17617. [Google Scholar] [CrossRef]
- Beillard, A.; Bantreil, X.; Métro, T.-X.; Martinez, J.; Lamaty, F. Unraveling the Synthesis of Homoleptic [Ag(N,N-Diaryl-NHC)2]Y (Y = BF4, PF6) Complexes by Ball-Milling. Dalton Trans. 2016, 45, 17859–17866. [Google Scholar] [CrossRef] [PubMed]
- Beillard, A.; Bantreil, X.; Métro, T.-X.; Martinez, J.; Lamaty, F. Mechanochemistry for Facilitated Access to N,N-Diaryl NHC Metal Complexes. New J. Chem. 2017, 41, 1057–1063. [Google Scholar] [CrossRef]
- A3-Coupling Reaction and [Ag(IPr)2]PF6: A Successful Couple—Archive Ouverte HAL. Available online: https://hal.archives-ouvertes.fr/hal-02338923 (accessed on 20 December 2021).
- Kılınçarslan, R.; Sadıç, N. Catalytic Activity of N-Heterocyclic Carbene Silver Complexes Derived from Imidazole Ligands. Inorg. Nano-Met. Chem. 2017, 47, 462–466. [Google Scholar] [CrossRef]
- Price, G.A.; Brisdon, A.K.; Randall, S.; Lewis, E.; Whittaker, D.M.; Pritchard, R.G.; Muryn, C.A.; Flower, K.R.; Quayle, P. Some Insights into the Gold-Catalysed A3-Coupling Reaction. J. Organomet. Chem. 2017, 846, 251–262. [Google Scholar] [CrossRef]
- Zi, W.; Dean Toste, F. Recent Advances in Enantioselective Gold Catalysis. Chem. Soc. Rev. 2016, 45, 4567–4589. [Google Scholar] [CrossRef]
- Napoli, M.; Saturnino, C.; Cianciulli, E.I.; Varcamonti, M.; Zanfardino, A.; Tommonaro, G.; Longo, P. Silver(I) N-Heterocyclic Carbene Complexes: Synthesis, Characterization and Antibacterial Activity. J. Organomet. Chem. 2013, 725, 46–53. [Google Scholar] [CrossRef]
- Saturnino, C.; Barone, I.; Iacopetta, D.; Mariconda, A.; Sinicropi, M.S.; Rosano, C.; Campana, A.; Catalano, S.; Longo, P.; Andò, S. N-Heterocyclic Carbene Complexes of Silver and Gold as Novel Tools against Breast Cancer Progression. Future Med. Chem. 2016, 8, 2213–2229. [Google Scholar] [CrossRef]
- Sirignano, M.; Mariconda, A.; Vigliotta, G.; Ceramella, J.; Iacopetta, D.; Sinicropi, M.S.; Longo, P. Catalytic and Biological Activity of Silver and Gold Complexes Stabilized by NHC with Hydroxy Derivatives on Nitrogen Atoms. Catalysts 2021, 12, 18. [Google Scholar] [CrossRef]
- Mateus, M.; Kiss, A.; Císařová, I.; Karpiński, T.M.; Rycek, L. Synthesis of Silver Complexes with Chelating Bidentate N-Heterocyclic Ligands, Their Application in Catalytic A3 Coupling, and as Antimicrobial Agents. Appl. Organomet. Chem. 2023, 37, e6994. [Google Scholar] [CrossRef]
- Nejat, P.; Jomehzadeh, F.; Taheri, M.M.; Gohari, M.; Majid, M.Z.A. A Global Review of Energy Consumption, CO2 Emissions and Policy in the Residential Sector (with an Overview of the Top Ten CO2 Emitting Countries). Renew. Sustain. Energy Rev. 2015, 43, 843–862. [Google Scholar] [CrossRef]
- Jordaan, S.M.; Romo-Rabago, E.; McLeary, R.; Reidy, L.; Nazari, J.; Herremans, I.M. The Role of Energy Technology Innovation in Reducing Greenhouse Gas Emissions: A Case Study of Canada. Renew. Sustain. Energy Rev. 2017, 78, 1397–1409. [Google Scholar] [CrossRef]
- Kijewska, A.; Bluszcz, A. Analysis of Greenhouse Gas Emissions in the European Union Member States with the Use of an Agglomeration Algorithm. J. Sustain. Min. 2021, 15, 2. [Google Scholar] [CrossRef]
- Ansari, M.B.; Park, S.-E. Carbon Dioxide Utilization as a Soft Oxidant and Promoter in Catalysis. Energy Environ. Sci. 2012, 5, 9419–9437. [Google Scholar] [CrossRef]
- Jerng, S.E.; Gallant, B.M. Electrochemical Reduction of CO2 in the Captured State Using Aqueous or Nonaqueous Amines. iScience 2022, 25, 104558. [Google Scholar] [CrossRef]
- Artz, J.; Müller, T.E.; Thenert, K.; Kleinekorte, J.; Meys, R.; Sternberg, A.; Bardow, A.; Leitner, W. Sustainable Conversion of Carbon Dioxide: An Integrated Review of Catalysis and Life Cycle Assessment. Chem. Rev. 2018, 118, 434–504. [Google Scholar] [CrossRef]
- Chen, P.; Xiong, T.; Pan, Y.; Liang, Y. Recent Progress on N-heterocyclic Carbene Catalysts in Chemical Fixation of CO2. Asian J. Org. Chem. 2022, 11, e202100738. [Google Scholar] [CrossRef]
- Dingyi, Y.; Yugen, Z. The Direct Carboxylation of Terminal Alkynes with Carbon Dioxide. Green Chem. 2011, 13, 1275–1279. [Google Scholar] [CrossRef]
- Delarmelina, M.; Marelli, E.; de M. Carneiro, J.W.; Nolan, S.P.; Bühl, M. Mechanism of the Catalytic Carboxylation of Alkylboronates with CO2 Using Ni−NHC Complexes: A DFT Study. Chem.-Eur. J. 2017, 23, 14954–14961. [Google Scholar] [CrossRef]
- Xiong, W.; Shi, F.; Cheng, R.; Zhu, B.; Wang, L.; Chen, P.; Lou, H.; Wu, W.; Qi, C.; Lei, M.; et al. Palladium-Catalyzed Highly Regioselective Hydrocarboxylation of Alkynes with Carbon Dioxide. ACS Catal. 2020, 10, 7968–7978. [Google Scholar] [CrossRef]
- Correa, A.; Martín, R. Metal-Catalyzed Carboxylation of Organometallic Reagents with Carbon Dioxide. Angew. Chem. Int. Ed. 2009, 48, 6201–6204. [Google Scholar] [CrossRef]
- Olah, G.A.; Török, B.; Joschek, J.P.; Bucsi, I.; Esteves, P.M.; Rasul, G.; Surya Prakash, G.K. Efficient Chemoselective Carboxylation of Aromatics to Arylcarboxylic Acids with a Superelectrophilically Activated Carbon Dioxide−Al2Cl6/Al System. J. Am. Chem. Soc. 2002, 124, 11379–11391. [Google Scholar] [CrossRef] [PubMed]
- Ebert, G.W.; Juda, W.L.; Kosakowski, R.H.; Ma, B.; Dong, L.; Cummings, K.E.; Phelps, M.V.B.; Mostafa, A.E.; Luo, J. Carboxylation and Esterification of Functionalized Arylcopper Reagents. J. Org. Chem. 2005, 70, 4314–4317. [Google Scholar] [CrossRef] [PubMed]
- Yu, D.; Zhang, Y. Copper- and Copper–N-Heterocyclic Carbene-Catalyzed C─H Activating Carboxylation of Terminal Alkynes with CO2 at Ambient Conditions. Proc. Natl. Acad. Sci. USA 2010, 107, 20184–20189. [Google Scholar] [CrossRef] [PubMed]
- Gooßen, L.J.; Rodríguez, N.; Manjolinho, F.; Lange, P.P. Synthesis of Propiolic Acids via Copper-Catalyzed Insertion of Carbon Dioxide into the C H Bond of Terminal Alkynes. Adv. Synth. Catal. 2010, 352, 2913–2917. [Google Scholar] [CrossRef]
- Zhang, X.; Zhang, W.-Z.; Ren, X.; Zhang, L.-L.; Lu, X.-B. Ligand-Free Ag(I)-Catalyzed Carboxylation of Terminal Alkynes with CO2. Org. Lett. 2011, 13, 2402–2405. [Google Scholar] [CrossRef]
- Yu, D.; Tan, M.X.; Zhang, Y. Carboxylation of Terminal Alkynes with Carbon Dioxide Catalyzed by Poly(N-Heterocyclic Carbene)-Supported Silver Nanoparticles. Adv. Synth. Catal. 2012, 354, 969–974. [Google Scholar] [CrossRef]
- Zhang, Y.; Zhao, L.; Patra, P.K.; Hu, D.; Ying, J.Y. Colloidal Poly-Imidazolium Salts and Derivatives. Nano Today 2009, 4, 13–20. [Google Scholar] [CrossRef]
- Zhang, Y.; Chan, J.Y.G. Sustainable Chemistry: Imidazolium Salts in Biomass Conversion and CO2 Fixation. Energy Env. Sci 2010, 3, 408–417. [Google Scholar] [CrossRef]
- Zhou, H.; Wang, Y.-M.; Zhang, W.-Z.; Qu, J.-P.; Lu, X.-B. N-Heterocyclic Carbene Functionalized MCM-41 as an Efficient Catalyst for Chemical Fixation of Carbon Dioxide. Green Chem. 2011, 13, 644. [Google Scholar] [CrossRef]
- Duong, H.A.; Tekavec, T.N.; Arif, A.M.; Louie, J. Reversible Carboxylation of N-Heterocyclic Carbenes. Chem. Commun. 2004, 10, 112–113. [Google Scholar] [CrossRef]
- Li, S.; Sun, J.; Zhang, Z.; Xie, R.; Fang, X.; Zhou, M. Carboxylation of Terminal Alkynes with CO2 Using Novel Silver N-Heterocyclic Carbene Complexes. Dalton Trans 2016, 45, 10577–10584. [Google Scholar] [CrossRef]
- Wang, C.; Rakshit, S.; Glorius, F. Palladium-Catalyzed Intermolecular Decarboxylative Coupling of 2-Phenylbenzoic Acids with Alkynes via C−H and C−C Bond Activation. J. Am. Chem. Soc. 2010, 132, 14006–14008. [Google Scholar] [CrossRef] [PubMed]
- Gooßen, L.J.; Rodríguez, N.; Linder, C.; Lange, P.P.; Fromm, A. Comparative Study of Copper- and Silver-Catalyzed Protodecarboxylations of Carboxylic Acids. ChemCatChem 2010, 2, 430–442. [Google Scholar] [CrossRef]
- Lin, I.J.B.; Vasam, C.S. Preparation and Application of N-Heterocyclic Carbene Complexes of Ag(I). Coord. Chem. Rev. 2007, 251, 642–670. [Google Scholar] [CrossRef]
- Díaz Velázquez, H.; Wu, Z.-X.; Vandichel, M.; Verpoort, F. Inserting CO2 into Terminal Alkynes via Bis-(NHC)-Metal Complexes. Catal. Lett. 2017, 147, 463–471. [Google Scholar] [CrossRef]
- Arndt, M.; Risto, E.; Krause, T.; Gooßen, L.J. C-H Carboxylation of Terminal Alkynes Catalyzed by Low Loadings of Silver(I)/DMSO at Ambient CO2 Pressure. ChemCatChem 2012, 4, 484–487. [Google Scholar] [CrossRef]
- Jover, J.; Maseras, F. Computational Characterization of the Mechanism for Coinage-Metal-Catalyzed Carboxylation of Terminal Alkynes. J. Org. Chem. 2014, 79, 11981–11987. [Google Scholar] [CrossRef]
- Tomishige, K.; Gu, Y.; Nakagawa, Y.; Tamura, M. Reaction of CO2 With Alcohols to Linear-, Cyclic-, and Poly-Carbonates Using CeO2-Based Catalysts. Front. Energy Res. 2020, 8, 117. [Google Scholar] [CrossRef]
- Yamada, W.; Sugawara, Y.; Cheng, H.M.; Ikeno, T.; Yamada, T. Silver-Catalyzed Incorporation of Carbon Dioxide into Propargylic Alcohols. Eur. J. Org. Chem. 2007, 2007, 2604–2607. [Google Scholar] [CrossRef]
- Hase, S.; Kayaki, Y.; Ikariya, T. NHC-Gold(I) Complexes as Effective Catalyst for Carboxylative Cyclization of Propargylamines with Carbon Dioxide. Organometallics 2013, 32, 5285–5288. [Google Scholar] [CrossRef]
- Gómez-Suárez, A.; Ramón, R.S.; Slawin, A.M.Z.; Nolan, S.P. Synthetic Routes to [Au(NHC)(OH)] (NHC = N-Heterocyclic Carbene) Complexes. Dalton Trans. 2012, 41, 5461–5463. [Google Scholar] [CrossRef]
- Hase, S.; Kayaki, Y.; Ikariya, T. Mechanistic Aspects of the Carboxylative Cyclization of Propargylamines and Carbon Dioxide Catalyzed by Gold(I) Complexes Bearing an N-Heterocyclic Carbene Ligand. ACS Catal. 2015, 5, 5135–5140. [Google Scholar] [CrossRef]
- Yuan, R.; Lin, Z. Mechanistic Insight into the Gold-Catalyzed Carboxylative Cyclization of Propargylamines. ACS Catal. 2015, 5, 2866–2872. [Google Scholar] [CrossRef]
- Fujita, K.; Sato, J.; Inoue, K.; Tsuchimoto, T.; Yasuda, H. Aqueous Media Carboxylative Cyclization of Propargylic Amines with CO2 Catalyzed by Amphiphilic Dendritic N-Heterocyclic Carbene–Gold(I) Complexes. Tetrahedron Lett. 2014, 55, 3013–3016. [Google Scholar] [CrossRef]
- Fujita, K.; Inoue, K.; Sato, J.; Tsuchimoto, T.; Yasuda, H. Carboxylative Cyclization of Propargylic Amines with CO2 Catalyzed by Dendritic N-Heterocyclic Carbene–Gold(I) Complexes. Tetrahedron 2016, 72, 1205–1212. [Google Scholar] [CrossRef]
- Bayrakdar, T.A.C.A.; Nahra, F.; Davis, J.V.; Gamage, M.M.; Captain, B.; Temprado, M.; Marazzi, M.; Saab, M.; Hecke, K.V.; Ormerod, D.; et al. Dinuclear Gold(I) Complexes Bearing Alkyl-Bridged Bis(N-Heterocyclic Carbene) Ligands as Catalysts for Carboxylative Cyclization of Propargylamine: Synthesis, Structure, and Kinetic and Mechanistic Comparison to the Mononuclear Complex [Au(IPr)Cl]. Organometallics 2020, 39, 2907–2916. [Google Scholar] [CrossRef]
- Yamashita, K.; Hase, S.; Kayaki, Y.; Ikariya, T. Highly Selective Carboxylative Cyclization of Allenylmethylamines with Carbon Dioxide Using N-Heterocyclic Carbene-Silver(I) Catalysts. Org. Lett. 2015, 17, 2334–2337. [Google Scholar] [CrossRef] [PubMed]
- Yuan, Y.; Xie, Y.; Song, D.; Zeng, C.; Chaemchuen, S.; Chen, C.; Verpoort, F. One-Pot Carboxylative Cyclization of Propargylic Alcohols and CO2 Catalysed by N -Heterocyclic Carbene/Ag Systems. Appl. Organomet. Chem. 2017, 31, e3867. [Google Scholar] [CrossRef]
- Zhang, Z.; Gao, H.; Wu, H.; Qian, Y.; Chen, L.; Chen, J. Chemical Fixation of CO2 by Using Carbon Material-Grafted N-Heterocyclic Carbene Silver and Copper Complexes. ACS Appl. Nano Mater. 2018, 1, 6463–6476. [Google Scholar] [CrossRef]
- Cervantes-Reyes, A.; Saxl, T.; Stein, P.M.; Rudolph, M.; Rominger, F.; Asiri, A.M.; Hashmi, A.S.K. Expanded Ring NHC Silver Carboxylate Complexes as Efficient and Reusable Catalysts for the Carboxylative Cyclization of Unsubstituted Propargylic Derivatives. ChemSusChem 2021, 14, 2367–2374. [Google Scholar] [CrossRef]
Disclaimer/Publisher’s Note: The statements, opinions and data contained in all publications are solely those of the individual author(s) and contributor(s) and not of MDPI and/or the editor(s). MDPI and/or the editor(s) disclaim responsibility for any injury to people or property resulting from any ideas, methods, instructions or products referred to in the content. |
© 2023 by the authors. Licensee MDPI, Basel, Switzerland. This article is an open access article distributed under the terms and conditions of the Creative Commons Attribution (CC BY) license (https://creativecommons.org/licenses/by/4.0/).



























































































