Doped Ruthenium/Hypercrosslinked Polystyrene (HPS) Catalysts in the Modification of Fatty Acid Methyl Esters
Abstract
1. Introduction
2. Results and Discussion
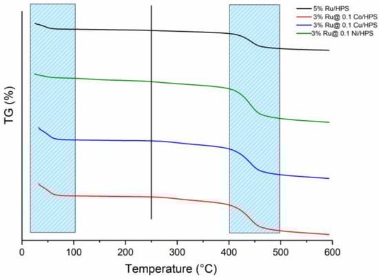
2.1. Catalyst Characterization
2.2. Catalyst Activity Tests
3. Materials and Methods
3.1. Materials
3.2. Catalyst Synthesis
3.3. Catalyst Characterization
3.4. FAME Synthesis and Activity Tests
4. Conclusions
Supplementary Materials
Author Contributions
Funding
Acknowledgments
Conflicts of Interest
References
- Poovan, F.; Chandrashekhar, V.G.; Natte, K.; Jagadeesh, R.V. Synergy between Homogeneous and Heterogeneous Catalysis. Catal. Sci. Technol. 2022, 12, 6623–6649. [Google Scholar] [CrossRef]
- Khan, H.M.; Iqbal, T.; Yasin, S.; Irfan, M.; Abbas, M.M.; Veza, I.; Soudagar, M.E.M.; Abdelrahman, A.; Kalam, M.A. Heterogeneous Catalyzed Biodiesel Production Using Cosolvent: A Mini Review. Sustainability 2022, 14, 5062. [Google Scholar] [CrossRef]
- Farnetti, E.; Di Monte, R.; Kašpar, J. Homogeneous and Heterogeneous Catalysis. In Inorganic and Bio-Inorganic Chemistry; Bertini, I., Ed.; EOLSS Publications: Abu Dhabi, United Arab Emirates, 2009; Volume 2. [Google Scholar]
- Velenturf, A.P.M.; Purnell, P. Principles for a Sustainable Circular Economy. Sustain. Prod. Consum. 2021, 27, 1437–1457. [Google Scholar] [CrossRef]
- Sekoai, P.T.; Ghimire, A.; Ezeokoli, O.T.; Rao, S.; Ngan, W.Y.; Habimana, O.; Yao, Y.; Yang, P.; Fung, A.H.Y.; Yoro, K.O. Valorization of Volatile Fatty Acids from the Dark Fermentation Waste Streams-A Promising Pathway for a Biorefinery Concept. Renew. Sustain. Energy Rev. 2021, 143, 110971. [Google Scholar] [CrossRef]
- Kahar, P.; Rachmadona, N.; Pangestu, R.; Palar, R.; Adi, D.T.N.; Juanssilfero, A.B.; Manurung, I.; Hama, S.; Ogino, C. An Integrated Biorefinery Strategy for the Utilization of Palm-Oil Wastes. Bioresour. Technol. 2022, 344, 126266. [Google Scholar] [CrossRef]
- Awogbemi, O.; Von Kallon, D.V.; Aigbodion, V.S. Trends in the Development and Utilization of Agricultural Wastes as Heterogeneous Catalyst for Biodiesel Production. J. Energy Inst. 2021, 98, 244–258. [Google Scholar] [CrossRef]
- Behr, A.; Seidensticker, T. Chemistry of Renewables: An Introduction; Springer Nature: London, UK, 2020; ISBN 3662614308. [Google Scholar]
- Jayakumar, M.; Karmegam, N.; Gundupalli, M.P.; Gebeyehu, K.B.; Asfaw, B.T.; Chang, S.W.; Ravindran, B.; Awasthi, M.K. Heterogeneous Base Catalysts: Synthesis and Application for Biodiesel Production–A Review. Bioresour. Technol. 2021, 331, 125054. [Google Scholar] [CrossRef]
- Lin, L.; Han, X.; Han, B.; Yang, S. Emerging Heterogeneous Catalysts for Biomass Conversion: Studies of the Reaction Mechanism. Chem. Soc. Rev. 2021, 50, 11270–11292. [Google Scholar] [CrossRef]
- Behr, A.; Gomes, J.P. The Refinement of Renewable Resources: New Important Derivatives of Fatty Acids and Glycerol. Eur. J. Lipid Sci. Technol. 2010, 112, 31–50. [Google Scholar] [CrossRef]
- Luo, S.; Yao, J.; Wang, R.; Wang, L.; Chen, X.; Yu, D.; Elfalleh, W. Effect of Nickel Modification on Ru–Ni/NaY Catalyst Structure and Linoleic Acid Isomerization Selectivity. J. Food Meas. Charact. 2021, 15, 5584–5598. [Google Scholar] [CrossRef]
- Strekalova, A.; Shesterkina, A.; Kustov, L. Recent Progress in Hydrogenation of Esters on Heterogeneous Bimetallic Catalysts. Catal. Sci. Technol. 2021, 11, 7229–7238. [Google Scholar] [CrossRef]
- Liu, B.; Wang, Y.; Huang, N.; Lan, X.; Xie, Z.; Chen, J.G.; Wang, T. Heterogeneous Hydroformylation of Alkenes by Rh-Based Catalysts. Chem 2022, 8, 2630–2658. [Google Scholar] [CrossRef]
- Rodrigues, F.M.S.; Carrilho, R.M.B.; Pereira, M.M. Reusable Catalysts for Hydroformylation-Based Reactions. Eur. J. Inorg. Chem. 2021, 2021, 2294–2324. [Google Scholar] [CrossRef]
- Kerenkan, A.E.; Béland, F.; Do, T.-O. Chemically Catalyzed Oxidative Cleavage of Unsaturated Fatty Acids and Their Derivatives into Valuable Products for Industrial Applications: A Review and Perspective. Catal. Sci. Technol. 2016, 6, 971–987. [Google Scholar] [CrossRef]
- Gámez, S.; de la Torre, E.; Gaigneaux, E.M. Carbon Black-Polydopamine-Ruthenium Composite as a Recyclable Boomerang Catalyst for the Oxidative Cleavage of Oleic Acid. Chem. Eng. J. 2022, 427, 131820. [Google Scholar] [CrossRef]
- Upadhyay, R.; Rana, R.; Sood, A.; Singh, V.; Kumar, R.; Srivastava, V.C.; Maurya, S.K. Heterogeneous Vanadium-Catalyzed Oxidative Cleavage of Olefins for Sustainable Synthesis of Carboxylic Acids. Chem. Commun. 2021, 57, 5430–5433. [Google Scholar] [CrossRef] [PubMed]
- Aiamsiri, P.; Tumnantong, D.; Yoosuk, B.; Ngamcharussrivichai, C.; Prasassarakich, P. Biohydrogenated Diesel from Palm Oil Deoxygenation over Unsupported and γ-Al2O3 Supported Ni–Mo Catalysts. Energy Fuels 2021, 35, 14793–14804. [Google Scholar] [CrossRef]
- Mahdi, H.I.; Bazargan, A.; McKay, G.; Azelee, N.I.W.; Meili, L. Catalytic Deoxygenation of Palm Oil and Its Residue in Green Diesel Production: A Current Technological Review. Chem. Eng. Res. Des. 2021, 174, 158–187. [Google Scholar] [CrossRef]
- da Costa, A.A.F.; de Oliveira Pires, L.H.; Padrón, D.R.; Balu, A.M.; da Rocha Filho, G.N.; Luque, R.; do Nascimento, L.A.S. Recent Advances on Catalytic Deoxygenation of Residues for Bio-Oil Production: An Overview. Mol. Catal. 2022, 518, 112052. [Google Scholar] [CrossRef]
- Alsalahi, W.; Trzeciak, A.M. Rhodium-Catalyzed Hydroformylation under Green Conditions: Aqueous/Organic Biphasic,“on Water”, Solventless and Rh Nanoparticle Based Systems. Coord. Chem. Rev. 2021, 430, 213732. [Google Scholar] [CrossRef]
- Cheng, S.; Martínez-Monteagudo, S.I. Hydrogenation of Lactose for the Production of Lactitol. Asia-Pac. J. Chem. Eng. 2019, 14, e2275. [Google Scholar] [CrossRef]
- Sulman, M.; Doluda, V.; Grigoryev, M.; Manaenkov, O.; Filatova, A.; Molchanov, V.; Sidorov, A.; Bykov, A.; Shkileva, I.; Sulman, A. Influence of the Mesoporous Polymer Matrix Nature on the Formation of Catalytically Active Ruthenium Nanoparticles. Bull. Chem. React. Eng. Catal. 2015, 10, 313–323. [Google Scholar] [CrossRef]
- Xu, Y.; Hua, M.; Dong, X.; Chen, C.; Duan, Y.; Tang, H. From Scrap Polystyrene Foam to Efficient Demercurizer: In-Situ Synthesis of Fe-Embedded Hyper-Cross-Linked Polymers. Appl. Catal. B Environ. 2021, 285, 119791. [Google Scholar] [CrossRef]
- Grigorev, M.E.; Mikhailov, S.P.; Bykov, A.V.; Sidorov, A.I.; Tiamina, I.Y.; Vasiliev, A.L.; Nikoshvili, L.Z.; Matveeva, V.G.; Meneghetti, S.M.P.; Sulman, M.G. Mono-and Bimetallic (Ru-Co) Polymeric Catalysts for Levulinic Acid Hydrogenation. Catal. Today 2021, 378, 167–175. [Google Scholar] [CrossRef]
- Nikoshvili, L.; Bakhvalova, E.S.; Bykov, A.V.; Sidorov, A.I.; Vasiliev, A.L.; Matveeva, V.G.; Sulman, M.G.; Sapunov, V.N.; Kiwi-Minsker, L. Study of Deactivation in Suzuki Reaction of Polymer-Stabilized Pd Nanocatalysts. Processes 2020, 8, 1653. [Google Scholar] [CrossRef]
- Protsenko, I.I.; Abusuek, D.A.; Nikoshvili, L.Z.; Bykov, A.V.; Matveeva, V.G.; Sulman, E.M. The Use of the Ru-Containing Catalyst Based on Hypercrosslinked Polystyrene in the Hydrogenation of Levulinic Acid to γ-Valerolactone. Catal. Ind. 2018, 10, 301–312. [Google Scholar] [CrossRef]
- Chew, S.C. Cold-Pressed Rapeseed (Brassica Napus) Oil: Chemistry and Functionality. Food Res. Int. 2020, 131, 108997. [Google Scholar] [CrossRef] [PubMed]
- Noda, L.K.; de Almeida, R.M.; Gonçalves, N.S.; Probst, L.F.D.; Sala, O. TiO2 with a High Sulfate Content—Thermogravimetric Analysis, Determination of Acid Sites by Infrared Spectroscopy and Catalytic Activity. Catal. Today 2003, 85, 69–74. [Google Scholar] [CrossRef]
- Noda, L.K.; de Almeida, R.M.; Probst, L.F.D.; Gonçalves, N.S. Characterization of Sulfated TiO2 Prepared by the Sol–Gel Method and Its Catalytic Activity in the n-Hexane Isomerization Reaction. J. Mol. Catal. A Chem. 2005, 225, 39–46. [Google Scholar] [CrossRef]
- Rojas, J.V.; Toro-Gonzalez, M.; Molina-Higgins, M.C.; Castano, C.E. Facile Radiolytic Synthesis of Ruthenium Nanoparticles on Graphene Oxide and Carbon Nanotubes. Mater. Sci. Eng. B 2016, 205, 28–35. [Google Scholar] [CrossRef]
- Nikoshvili, L.Z.; Protsenko, I.I.; Abusuek, D.A.; Zaykovskaya, A.O.; Bykov, A.V.; Matveeva, V.; Sulman, E. Hydrogenation of Biomass-Derived Levulinic Acid to Gamma-Valerolactone Using Polymer-Based Metal-Containing Catalysts. Chem. Eng. Trans. 2017, 61, 895–900. [Google Scholar] [CrossRef]
- Dunn, R.O. Correlating the Cloud Point of Biodiesel with Its Fatty Acid Methyl Ester Composition: Multiple Regression Analyses and the Weighted Saturation Factor (WSF). Fuel 2021, 300, 120820. [Google Scholar] [CrossRef]
- Zuin, V.G.; Eilks, I.; Elschami, M.; Kümmerer, K. Education in Green Chemistry and in Sustainable Chemistry: Perspectives towards Sustainability. Green Chem. 2021, 23, 1594–1608. [Google Scholar] [CrossRef]
- Barton, A.F.M. Handbook of Polymer-Liquid Interaction Parameters and Solubility Parameters; Routledge: Oxfordshire, UK, 2018; Volume 1, p. 297. ISBN 0203752619. [Google Scholar]
- Cizmeci, M.; Musavi, A.; Tekin, A.; Kayahan, M. Catalytic Behavior of Ruthenium in Soybean Oil Hydrogenation. Eur. J. Lipid Sci. Technol. 2009, 111, 607–611. [Google Scholar] [CrossRef]
- Madureira, A.; Noël, S.; Léger, B.; Ponchel, A.; Monflier, E. Catalytic Hydrogenation of Derived Vegetable Oils Using Ion-Exchange Resin-Supported Ruthenium Nanoparticles: Scope and Limitations. ACS Sustain. Chem. Eng. 2022, 10, 16588–16597. [Google Scholar] [CrossRef]
- Sarno, M.; Iuliano, M.; Viscusi, G.; Zarli, A.; Ciambelli, P. A Nickel/Palladium/Ruthenium-Graphene Based Nanocatalyst for Selective Catalytic Hydrogenation of Vegetable Oils. Ind. Crop. Prod. 2021, 170, 113815. [Google Scholar] [CrossRef]
- Ho, C.-M.; Yu, W.-Y.; Che, C.-M. Ruthenium Nanoparticles Supported on Hydroxyapatite as an Efficient and Recyclable Catalyst Forcis-Dihydroxylation and Oxidative Cleavage of Alkenes. Angew. Chem. Int. Ed. 2004, 43, 3303–3307. [Google Scholar] [CrossRef]
- Gámez, S.; Magerat, A.; de la Torre, E.; Gaigneaux, E.M. Functionalization of Carbon Black for Ru Complexation Towards the Oxidative Cleavage of Oleic Acid. SSRN Electron. J. 2022. [Google Scholar] [CrossRef]
- Stepacheva, A.A.; Sidorov, A.I.; Matveeva, V.G.; Sulman, M.G.; Sulman, E.M. Fatty Acid Deoxygenation in Supercritical Hexane over Catalysts Synthesized Hydrothermally for Biodiesel Production. Chem. Eng. Technol. 2019, 42, 780–787. [Google Scholar] [CrossRef]
- Xu, G.; Zhang, Y.; Fu, Y.; Guo, Q. Efficient Hydrogenation of Various Renewable Oils over Ru-HAP Catalyst in Water. ACS Catal. 2017, 7, 1158–1169. [Google Scholar] [CrossRef]
- Konwar, L.J.; Oliani, B.; Samikannu, A.; Canu, P.; Mikkola, J.-P. Efficient Hydrothermal Deoxygenation of Tall Oil Fatty Acids into N-Paraffinic Hydrocarbons and Alcohols in the Presence of Aqueous Formic Acid. Biomass Convers. Biorefinery 2022, 12, 51–62. [Google Scholar] [CrossRef]
- Mondal, S.; Singuru, R.; Chandra Shit, S.; Hayashi, T.; Irle, S.; Hijikata, Y.; Mondal, J.; Bhaumik, A. Ruthenium Nanoparticle-Decorated Porous Organic Network for Direct Hydrodeoxygenation of Long-Chain Fatty Acids to Alkanes. ACS Sustain. Chem. Eng. 2018, 6, 1610–1619. [Google Scholar] [CrossRef]
- Ramalho, H.F.; di Ferreira, K.M.C.; Machado, P.M.A.; Oliveira, R.S.; Silva, L.P.; Prauchner, M.J.; Suarez, P.A.Z. Biphasic Hydroformylation of Soybean Biodiesel Using a Rhodium Complex Dissolved in Ionic Liquid. Ind. Crop. Prod. 2014, 52, 211–218. [Google Scholar] [CrossRef]
- Corradini, S.A.d.S.; Lenzi, G.G.; Lenzi, M.K.; Soares, C.M.F.; Santos, O.A.A. Characterization and Hydrogenation of Methyl Oleate over Ru/TiO2, Ru–Sn/TiO2 Catalysts. J. Non. Cryst. Solids 2008, 354, 4865–4870. [Google Scholar] [CrossRef]
- Alvila, L.; Pakkanen, T.A.; Krause, O. Hydroformylation of Olefins Catalysed by Supported Ru3(CO)12 with 2, 2′-Bipyridine or with Other Heterocyclic Nitrogen Base. J. Mol. Catal. 1993, 84, 145–156. [Google Scholar] [CrossRef]
- Oresmaa, L.; Moreno, M.A.; Jakonen, M.; Suvanto, S.; Haukka, M. Catalytic Activity of Linear Chain Ruthenium Carbonyl Polymer [Ru (CO) 4] n in 1-Hexene Hydroformylation. Appl. Catal. A Gen. 2009, 353, 113–116. [Google Scholar] [CrossRef]
- Ungvary, F. Application of Transition Metals in Hydroformylation. Annual Survey Covering the Year 1995. Coord. Chem. Rev. 1997, 160, 129–159. [Google Scholar] [CrossRef]
- Zimmermann, F.; Meux, E.; Mieloszynski, J.-L.; Lecuire, J.-M.; Oget, N. Ruthenium Catalysed Oxidation without CCl4 of Oleic Acid, Other Monoenic Fatty Acids and Alkenes. Tetrahedron Lett. 2005, 46, 3201–3203. [Google Scholar] [CrossRef]
- Chen, J.; Xu, Q. Hydrodeoxygenation of Biodiesel-Related Fatty Acid Methyl Esters to Diesel-Range Alkanes over Zeolite-Supported Ruthenium Catalysts. Catal. Sci. Technol. 2016, 6, 7239–7251. [Google Scholar] [CrossRef]
- Krishnapriya, R.; Gupta, U.; Soni, V.K.; Sharma, R.K. Catalytic Conversion of Methyl Oleate to Hydrocarbons: Impact of Cobalt Oxide Species Integration in SiO2–Al2O3. Sustain. Energy Fuels 2020, 4, 3308–3317. [Google Scholar] [CrossRef]
- Mendes, A.N.F.; Gregório, J.R.; da Rosa, R.G. Studies on the Experimental Variables Effects on Rhodium Catalyzed Hydroformylation of Unsaturated Fatty Esters and Comparison of [RhH(CO)(PPh3)3] and [RhCl3.3H2O] as Starting Catalytic Precursors. J. Braz. Chem. Soc. 2005, 16, 1124–1129. [Google Scholar] [CrossRef]
- Ramalho, H.F.; Ferreira, K.M.C.; Machado, P.M.A.; Silva, T.B.; Rangel, E.T.; Prauchner, M.J.; Suarez, P.A.Z. Production of Additives with Antimicrobial Activity via Tandem Hydroformylation-Amine Condensation of Soybean FAME Using an Ionic Liquid-Based Biphasic Catalytic System. J. Braz. Chem. Soc. 2015, 27, 321–333. [Google Scholar] [CrossRef]






















| T (°C) | 5%Ru/HPS | 3%Ru-0.1%Co/HPS | 3%Ru-0.1%Ni/HPS | 3%Ru-0.1%Cu/HPS |
|---|---|---|---|---|
| 25 | nd | nd | 164.2 | 258.0 |
| 100 | nd | nd | 78.8 | 140.4 |
| 200 | nd | nd | 61.4 | 132.5 |
| 300 | nd | nd | 52.9 | 127.5 |
| Sample | SBET (m2 g−1) | V (cm3 g−1) | DBJH (Å) |
|---|---|---|---|
| 5% Ru/HPS | 726 | 0.125 | 32.5 |
| 3% Ru@ 0.1% Co/HPS | 719 | 0.121 | 32.6 |
| 3% Ru@ 0.1% Cu/HPS | 712 | 0.098 | 36.0 |
| 3% Ru@ 0.1% Ni/HPS | 672 | 0.124 | 32.4 |
Disclaimer/Publisher’s Note: The statements, opinions and data contained in all publications are solely those of the individual author(s) and contributor(s) and not of MDPI and/or the editor(s). MDPI and/or the editor(s) disclaim responsibility for any injury to people or property resulting from any ideas, methods, instructions or products referred to in the content. |
© 2023 by the authors. Licensee MDPI, Basel, Switzerland. This article is an open access article distributed under the terms and conditions of the Creative Commons Attribution (CC BY) license (https://creativecommons.org/licenses/by/4.0/).
Share and Cite
Dutra, R.C.; Martins, T.V.S.; Rocha, D.d.G.; Meneghetti, M.R.; Meneghetti, S.M.P.; Sulman, M.G.; Matveeva, V.G.; Suarez, P.A.Z. Doped Ruthenium/Hypercrosslinked Polystyrene (HPS) Catalysts in the Modification of Fatty Acid Methyl Esters. Catalysts 2023, 13, 630. https://doi.org/10.3390/catal13030630
Dutra RC, Martins TVS, Rocha DdG, Meneghetti MR, Meneghetti SMP, Sulman MG, Matveeva VG, Suarez PAZ. Doped Ruthenium/Hypercrosslinked Polystyrene (HPS) Catalysts in the Modification of Fatty Acid Methyl Esters. Catalysts. 2023; 13(3):630. https://doi.org/10.3390/catal13030630
Chicago/Turabian StyleDutra, Romulo C., Thatiane V. S. Martins, Delma da G. Rocha, Mario R. Meneghetti, Simoni M. P. Meneghetti, Mikhail G. Sulman, Valentina G. Matveeva, and Paulo A. Z. Suarez. 2023. "Doped Ruthenium/Hypercrosslinked Polystyrene (HPS) Catalysts in the Modification of Fatty Acid Methyl Esters" Catalysts 13, no. 3: 630. https://doi.org/10.3390/catal13030630
APA StyleDutra, R. C., Martins, T. V. S., Rocha, D. d. G., Meneghetti, M. R., Meneghetti, S. M. P., Sulman, M. G., Matveeva, V. G., & Suarez, P. A. Z. (2023). Doped Ruthenium/Hypercrosslinked Polystyrene (HPS) Catalysts in the Modification of Fatty Acid Methyl Esters. Catalysts, 13(3), 630. https://doi.org/10.3390/catal13030630

