Facile Synthesis of a Bi2WO6/BiO2−x Heterojunction for Efficient Photocatalytic Degradation of Ciprofloxacin under Visible Light Irradiation
Abstract
1. Introduction
2. Results and Discussions
2.1. Synthesis and Characterization of Catalysts
2.2. Optical and Photoelectrochemical Property Analysis
2.3. Photocatalytic Performance of Catalysts
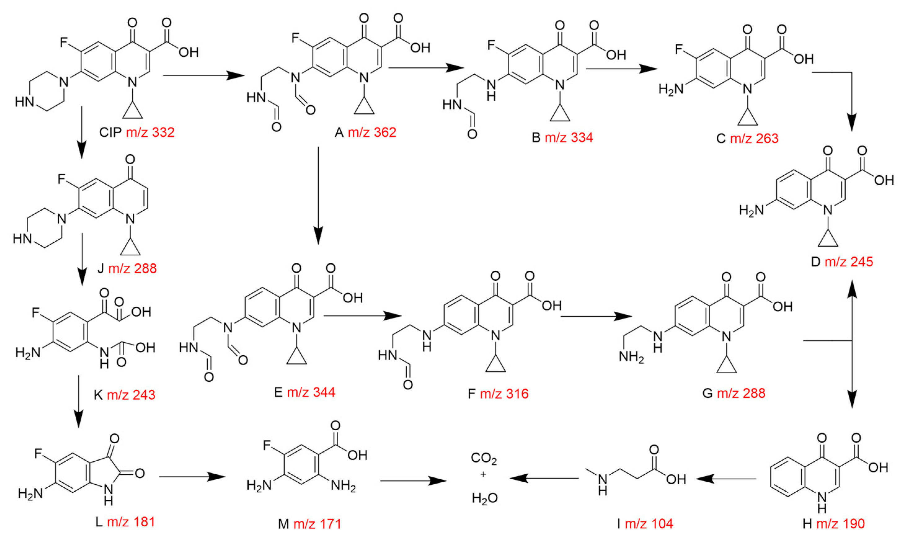
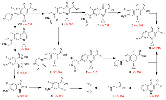
2.4. Possible Degradation Pathways
2.5. Mechanism Discussion
3. Experimental
3.1. Materials
3.2. Preparation of BiO2−x
3.3. Preparation of Bi2WO6
3.4. Preparation of Bi2WO6/BiO2−x
4. Conclusions
Supplementary Materials
Author Contributions
Funding
Data Availability Statement
Conflicts of Interest
References
- Wang, J.; Chang, X.; Zhao, Y.; Xu, H.; He, G.; Chen, H. A novel Bi2WO6/BiOBr/RGO photocatalyst for enhanced degradation of ciprofloxacin under visible light irradiation: Performance, mechanism and toxicity evaluation. Diam. Relat. Mater. 2022, 128, 109274. [Google Scholar] [CrossRef]
- Zhu, J.; Wang, H.; Duan, A.; Wang, Y. Mechanistic insight into the degradation of ciprofloxacin in water by hydroxyl radicals. J. Hazard. Mater. 2022, 446, 130676. [Google Scholar] [CrossRef] [PubMed]
- Zhu, Z.; Xia, H.; Li, X.; Li, H. A novel 1D/2D rod-sheet shape Cu3Mo2O9/g-C3N4 heterojunction photocatalyst with enhanced photocatalytic performance for ciprofloxacin. Opt. Mater. 2023, 136, 113420. [Google Scholar] [CrossRef]
- Feng, N.X.; Yu, J.; Xiang, L.; Yu, L.Y.; Zhao, H.M.; Mo, C.H.; Li, Y.W.; Cai, Q.Y.; Wong, M.H.; Li, Q.X. Co-metabolic degradation of the antibiotic ciprofloxacin by the enriched bacterial consortium XG and its bacterial community composition. Sci. Total Environ. 2019, 665, 41–51. [Google Scholar] [CrossRef]
- Hu, H.; Xu, C.; Jin, J.; Xu, M.; Cheng, Y.; Ji, W.; Ding, Z.; Shao, M.; Wan, Y. Synthesis of a BiOIO3/Bi2O4 heterojunction that can efficiently degrade rhodamine B and ciprofloxacin under visible light. Opt. Mater. 2022, 133, 112893. [Google Scholar] [CrossRef]
- Zhang, X.; Liu, J.; Zheng, X.; Chen, R.; Zhang, M.; Liu, Z.; Wang, Z.; Li, J. Activation of oxalic acid via dual-pathway over single-atom Fe catalysts: Mechanism and membrane application. Appl. Catal. B Environ. 2023, 321, 122068. [Google Scholar] [CrossRef]
- Arif, M.; Zhang, M.; Mao, Y.; Bu, Q.; Ali, A.; Qin, Z.; Muhmood, T.; Shahnoor; Liu, X.; Zhou, B.; et al. Oxygen vacancy mediated single unit cell Bi2WO6 by Ti doping for ameliorated photocatalytic performance. J. Colloid Interface Sci. 2021, 581, 276–291. [Google Scholar] [CrossRef]
- Bai, Y.; Mao, W.; Wu, Y.; Gao, Y.; Wang, T.; Liu, S. Synthesis of novel ternary heterojunctions via Bi2WO6 coupling with CuS and g-C3N4 for the highly efficient visible-light photodegradation of ciprofloxacin in wastewater. Colloids Surf. A 2021, 610, 125481. [Google Scholar] [CrossRef]
- Tian, Y.; Zhang, J.; Wang, W.; Liu, J.; Zheng, X.; Li, J.; Guan, X. Facile assembly and excellent elimination behavior of porous BiOBr-g-C3N4 heterojunctions for organic pollutants. Environ. Res. 2022, 209, 112889. [Google Scholar] [CrossRef]
- Wu, S.; Sun, J.; Li, Q.; Hood, Z.D.; Yang, S.; Su, T.; Peng, R.; Wu, Z.; Sun, W.; Kent, P.R.C.; et al. Effects of Surface Terminations of 2D Bi2WO6 on Photocatalytic Hydrogen Evolution from Water Splitting. ACS Appl. Mater. Interfaces 2020, 12, 20067–20074. [Google Scholar] [CrossRef]
- Lv, Y.R.; Wang, Z.L.; Yang, Y.X.; Luo, Y.; Yang, S.Y.; Xu, Y.H. Tin bisulfide nanoplates anchored onto flower-like bismuth tungstate nanosheets for enhancement in the photocatalytic degradation of organic pollutant. J. Hazard. Mater. 2022, 432, 128665. [Google Scholar] [CrossRef]
- Su, H.; Li, S.; Xu, L.; Liu, C.; Zhang, R.; Tan, W. Hydrothermal preparation of flower-like Ni2+ doped Bi2WO6 for enhanced photocatalytic degradation. J. Phys. Chem. Solids 2022, 170, 110954. [Google Scholar] [CrossRef]
- Bai, J.; Zhang, B.; Xiong, T.; Jiang, D.; Ren, X.; Lu, P.; Fu, M. Enhanced visible light driven photocatalytic performance of Bi2WO6 nano-catalysts by introducing oxygen vacancy. J. Alloy. Compd. 2021, 887, 161297. [Google Scholar] [CrossRef]
- Wu, X.; Zhang, W.; Li, J.; Xiang, Q.; Liu, Z.; Liu, B. Identification of the Active Sites on Metallic MoO2−x Nano-Sea-Urchin for Atmospheric CO2 Photoreduction Under UV, Visible, and Near-Infrared Light Illumination. Angew. Chem. Int. Ed. Engl. 2022, 62, e202213124. [Google Scholar] [PubMed]
- Zhang, M.; Lai, C.; Li, B.; Huang, D.; Liu, S.; Qin, L.; Yi, H.; Fu, Y.; Xu, F.; Li, M.; et al. Ultrathin oxygen-vacancy abundant WO3 decorated monolayer Bi2WO6 nanosheet: A 2D/2D heterojunction for the degradation of Ciprofloxacin under visible and NIR light irradiation. J. Colloid Interface Sci. 2019, 556, 557–567. [Google Scholar] [CrossRef]
- Li, J.; Huang, B.; Guo, Q.; Guo, S.; Peng, Z.; Liu, J.; Tian, Q.; Yang, Y.; Xu, Q.; Liu, Z.; et al. Van der Waals heterojunction for selective visible-light-driven photocatalytic CO2 reduction. Appl. Catal. B Environ. 2021, 284, 119733. [Google Scholar] [CrossRef]
- Kumar, G.; Dutta, R.K. Fabrication of plate-on-plate SnS2/Bi2WO6 nanocomposite as photocatalyst for sunlight mediated degradation of antibiotics in aqueous medium. J. Phys. Chem. Solids. 2022, 164, 110639. [Google Scholar] [CrossRef]
- Su, Y.; Tan, G.; Liu, T.; Lv, L.; Wang, Y.; Zhang, X.; Yue, Z.; Ren, H.; Xia, A. Photocatalytic properties of Bi2WO6/BiPO4 Z-scheme photocatalysts induced by double internal electric fields. Appl. Surf. Sci. 2018, 457, 104–114. [Google Scholar] [CrossRef]
- Arif, M.; Min, Z.; Yuting, L.; Yin, H.; Liu, X. A Bi2WO6-based hybrid heterostructures photocatalyst with enhanced photodecomposition and photocatalytic hydrogen evolution through Z-scheme process. J. Ind. Eng. Chem. 2019, 69, 345–357. [Google Scholar] [CrossRef]
- Li, Z.; Chen, M.; Zhang, Q.; Tao, D. Mechanochemical synthesis of a Z-scheme Bi2WO6/CuBi2O4 heterojunction and its visible-light photocatalytic degradation of ciprofloxacin. J. Alloy. Compd. 2020, 845, 156291. [Google Scholar] [CrossRef]
- Li, S.; Chen, J.; Hu, S.; Wang, H.; Jiang, W.; Chen, X. Facile construction of novel Bi2WO6/Ta3N5 Z-scheme heterojunction nanofibers for efficient degradation of harmful pharmaceutical pollutants. Chem. Eng. J. 2020, 402, 126165. [Google Scholar] [CrossRef]
- Huang, Y.; Kou, S.; Zhang, X.; Wang, L.; Lu, P.; Zhang, D. Facile Fabrication of Z-Scheme Bi2WO6/WO3 Composites for Efficient Photodegradation of Bisphenol A with Peroxymonosulfate Activation. Nanomaterials 2020, 10, 724. [Google Scholar] [CrossRef] [PubMed]
- Mahammed Shaheer, A.R.; Thangavel, N.; Rajan, R.; Abraham, D.A.; Vinoth, R.; Sunaja Devi, K.R.; Shankar, M.V.; Neppolian, B. Sonochemical assisted impregnation of Bi2WO6 on TiO2 nanorod to form Z-scheme heterojunction for enhanced photocatalytic H2 production. Adv. Powder Technol. 2021, 32, 4734–4743. [Google Scholar] [CrossRef]
- Chin, Y.-H.; Sin, J.-C.; Lam, S.-M.; Zeng, H.; Lin, H.; Li, H.; Huang, L.; Mohamed, A.R. 3-D/3-D Z-Scheme Heterojunction Composite Formed by Marimo-like Bi2WO6 and Mammillaria-like ZnO for Expeditious Sunlight Photodegradation of Dimethyl Phthalate. Catalysts 2022, 12, 1427. [Google Scholar] [CrossRef]
- Wang, K.; Wang, Q.; Zhang, K.; Wang, G.; Wang, H. Selective solar-driven CO2 reduction mediated by 2D/2D Bi2O2SiO3/MXene nanosheets heterojunction. J. Mater. Sci. Technol. 2022, 124, 202–208. [Google Scholar] [CrossRef]
- Wang, K.; Du, Y.; Li, Y.; Wu, X.; Hu, H.; Wang, G.; Xiao, Y.; Chou, S.; Zhang, G. Atomic-level insight of sulfidation-engineered Aurivillius-related Bi2O2SiO3. nanosheets enabling visible light low-concentration CO2 conversion. Carbon Energy 2022, 5, e264. [Google Scholar] [CrossRef]
- Wang, K.; Shao, X.; Zhang, K.; Wang, J.; Wu, X.; Wang, H. 0D/3D Bi3TaO7/ZnIn2S4 heterojunction photocatalyst towards degradation of antibiotics coupled with simultaneous H2 evolution: In situ irradiated XPS investigation and S-scheme mechanism insight. Appl. Surf. Sci. 2022, 596, 153444. [Google Scholar] [CrossRef]
- He, N.; Guo, Z.; Zhang, C.; Yu, Y.; Tan, L.; Luo, H.; Li, L.; Bahnemann, J.; Chen, H.; Jiang, F. Bifunctional 2D/2D g-C3N4/BiO2−x nanosheets heterojunction for bacterial disinfection mechanisms under visible and near-infrared light irradiation. J. Hazard. Mater. 2022, 436, 129123. [Google Scholar] [CrossRef]
- Son, H.; Kim, Y. Near-infrared driven photocatalyst (Ag/BiO2−x) with post-illumination catalytic memory. J. Phys. Chem. Solids 2022, 167, 110781. [Google Scholar] [CrossRef]
- Liu, J.; Zhang, X.; Zhong, Q.; Li, J.; Wu, H.; Zhang, B.; Jin, L.; Tao, H.B.; Liu, B. Electrostatic self-assembly of a AgI/Bi2Ga4O9 p–n junction photocatalyst for boosting superoxide radical generation. J. Mater. Chem. A 2020, 8, 4083–4090. [Google Scholar] [CrossRef]
- Tian, Y.; Li, J.; Zheng, H.; Guan, X.; Zhang, X.; Zheng, X. Synthesis and enhanced photocatalytic performance of Ni2+-doped Bi4O7 nanorods with broad-spectrum photoresponse. Sep. Purif. Technol. 2022, 300, 121898. [Google Scholar] [CrossRef]
- Li, J.; Li, Y.; Zhang, G.; Huang, H.; Wu, X. One-Dimensional/Two-Dimensional Core-Shell-Structured Bi2O4/BiO2−x Heterojunction for Highly Efficient Broad Spectrum Light-Driven Photocatalysis: Faster Interfacial Charge Transfer and Enhanced Molecular Oxygen Activation Mechanism. ACS Appl. Mater Interfaces 2019, 11, 7112–7122. [Google Scholar] [CrossRef] [PubMed]
- Jin, J.; Sun, J.; Lv, K.; Guo, X.; Hou, Q.; Liu, J.; Wang, J.; Bai, Y.; Huang, X. Oxygen vacancy BiO2−x/Bi2WO6 synchronous coupling with Bi metal for phenol removal via visible and near-infrared light irradiation. J. Colloid Interface Sci. 2022, 605, 342–353. [Google Scholar] [CrossRef] [PubMed]
- Li, G.; Lian, Z.; Wan, Z.; Liu, Z.; Qian, J.; Deng, Y.; Zhang, S.; Zhong, Q. Efficient photothermal-assisted photocatalytic NO removal on molecular cobalt phthalocyanine/Bi2WO6 Z-scheme heterojunctions by promoting charge transfer and oxygen activation. Appl. Catal. B Environ. 2022, 317, 121787. [Google Scholar] [CrossRef]
- Xiong, S.; Bao, S.; Wang, W.; Hao, J.; Mao, Y.; Liu, P.; Huang, Y.; Duan, Z.; Lv, Y.; Ouyang, D. Surface oxygen vacancy and graphene quantum dots co-modified Bi2WO6 toward highly efficient photocatalytic reduction of CO2. Appl. Catal. B Environ. 2022, 305, 121026. [Google Scholar] [CrossRef]
- Niu, R.; Liu, Q.; Huang, B.; Liu, Z.; Zhang, W.; Peng, Z.; Wang, Z.; Yang, Y.; Gu, Z.; Li, J. Black phosphorus/Bi19Br3S27 van der Waals heterojunctions ensure the supply of activated hydrogen for effective CO2 photoreduction. Appl. Catal. B Environ. 2022, 317, 121727. [Google Scholar] [CrossRef]
- Huang, Y.; Kang, S.; Yang, Y.; Qin, H.; Ni, Z.; Yang, S.; Li, X. Facile synthesis of Bi/Bi2WO6 nanocomposite with enhanced photocatalytic activity under visible light. Appl. Catal. B Environ. 2016, 196, 89–99. [Google Scholar] [CrossRef]
- Jakhade, A.P.; Biware, M.V.; Chikate, R.C. Two-Dimensional Bi2WO6 Nanosheets as a Robust Catalyst toward Photocyclization. ACS Omega 2017, 2, 7219–7229. [Google Scholar] [CrossRef]
- Li, J.; Wang, J.; Zhang, G.; Li, Y.; Wang, K. Enhanced molecular oxygen activation of Ni2+-doped BiO2−x nanosheets under UV, visible and near-infrared irradiation: Mechanism and DFT study. Appl. Catal. B Environ. 2018, 234, 167–177. [Google Scholar] [CrossRef]
- Liu, J.; Liu, Q.; Li, J.; Zheng, X.; Liu, Z.; Guan, X. Photochemical conversion of oxalic acid on heterojunction engineered FeWO4/g-C3N4 photocatalyst for high-efficient synchronous removal of organic and heavy metal pollutants. J. Clean. Prod. 2022, 363, 132527. [Google Scholar] [CrossRef]
- Bai, L.; Cao, Y.; Pan, X.; Shu, Y.; Dong, G.; Zhao, M.; Zhang, Z.; Wu, Y.; Wang, B. Z-scheme Bi2S3/Bi2O2CO3 nanoheterojunction for the degradation of antibiotics and organic compounds in wastewater: Fabrication, application, and mechanism. Surf. Interfaces. 2023, 36, 102612. [Google Scholar] [CrossRef]
- Li, J.; Wu, X.; Pan, W.; Zhang, G.; Chen, H. Vacancy-Rich Monolayer BiO2−x as a Highly Efficient UV, Visible, and Near-Infrared Responsive Photocatalyst. Angew. Chem. Int. Ed. Engl. 2018, 57, 491–495. [Google Scholar] [CrossRef] [PubMed]
- Huang, X.-H.; Zhang, L.; Song, J.; Cao, X.-F.; Guo, Y.-C. Novel nanoparticle-assembled Bi12GeO20 hierarchical structures: Facile hydrothermal synthesis and excellent photocatalytic activity. RSC Adv. 2016, 6, 92560–92568. [Google Scholar] [CrossRef]
- Tian, J.; Sang, Y.; Yu, G.; Jiang, H.; Mu, X.; Liu, H. A Bi2WO6 -based hybrid photocatalyst with broad spectrum photocatalytic properties under UV, visible, and near-infrared irradiation. Adv. Mater. 2013, 25, 5075–5080. [Google Scholar] [CrossRef] [PubMed]
- Li, Y.; Fu, Y.; Zhu, M. Green synthesis of 3D tripyramid TiO2 architectures with assistance of aloe extracts for highly efficient photocatalytic degradation of antibiotic ciprofloxacin. Appl. Catal. B Environ. 2020, 260, 118149. [Google Scholar] [CrossRef]
- Li, Y.; Chen, L.; Tian, X.; Lin, L.; Ding, R.; Yan, W.; Zhao, F. Functional role of mixed-culture microbe in photocatalysis coupled with biodegradation: Total organic carbon removal of ciprofloxacin. Sci. Total Environ. 2021, 784, 147049. [Google Scholar] [CrossRef]
- Yu, X.; Zhang, J.; Zhang, J.; Niu, J.; Zhao, J.; Wei, Y.; Yao, B. Photocatalytic degradation of ciprofloxacin using Zn-doped Cu2O particles: Analysis of degradation pathways and intermediates. Chem. Eng. J. 2019, 374, 316–327. [Google Scholar] [CrossRef]
- Xu, K.; Shen, J.; Zhang, S.; Xu, D.; Chen, X. Efficient interfacial charge transfer of BiOCl-In2O3 step-scheme heterojunction for boosted photocatalytic degradation of ciprofloxacin. J. Mater. Sci. Technol. 2022, 121, 236–244. [Google Scholar] [CrossRef]
- Hu, K.; Li, R.; Ye, C.; Wang, A.; Wei, W.; Hu, D.; Qiu, R.; Yan, K. Facile synthesis of Z-scheme composite of TiO2 nanorod/g-C3N4 nanosheet efficient for photocatalytic degradation of ciprofloxacin. J. Clean. Prod. 2020, 253, 120055. [Google Scholar] [CrossRef]
- Zhu, C.; Zhang, Y.; Fan, Z.; Liu, F.; Li, A. Carbonate-enhanced catalytic activity and stability of Co3O4 nanowires for 1O2-driven bisphenol A degradation via peroxymonosulfate activation: Critical roles of electron and proton acceptors. J. Hazard. Mater. 2020, 393, 122395. [Google Scholar] [CrossRef]
- Gao, K.; Hou, L.-A.; An, X.; Huang, D.; Yang, Y. BiOBr/MXene/g-C3N4 Z-scheme heterostructure photocatalysts mediated by oxygen vacancies and MXene quantum dots for tetracycline degradation: Process, mechanism and toxicity analysis. Appl. Catal. B Environ. 2023, 323, 122150. [Google Scholar] [CrossRef]
- Karim, A.V.; Shriwastav, A. Degradation of ciprofloxacin using photo, sono, and sonophotocatalytic oxidation with visible light and low-frequency ultrasound: Degradation kinetics and pathways. Chem. Eng. J. 2020, 392, 124853. [Google Scholar] [CrossRef]
- Mao, J.; Hong, B.; Wei, J.; Xu, J.; Han, Y.; Jin, H.; Jin, D.; Peng, X.; Li, J.; Yang, Y.; et al. Enhanced Ciprofloxacin Photodegradation of Visible-Light-Driven Z-Scheme g-C3N4/Bi2WO6 Nanocomposites and Interface Effect. ChemistrySelect 2019, 4, 13716–13723. [Google Scholar] [CrossRef]
- Wen, R.; Yang, L.; Wu, S.; Zhou, D.; Jiang, B. Tuning surface sites to boost photocatalytic degradation of phenol and ciprofloxacin. Chin. Chem. Lett. 2023, 34, 107204. [Google Scholar] [CrossRef]
- Chen, X.; Gao, X.; Ai, L.; Fan, H. Triton X-100–assisted synthesis of layered nanosheet-assembled flower-like BiOBr nanostructures with enhanced visible-light photocatalytic degradation of ciprofloxacin. J. Nanopart. Res. 2022, 24, 103. [Google Scholar] [CrossRef]









Disclaimer/Publisher’s Note: The statements, opinions and data contained in all publications are solely those of the individual author(s) and contributor(s) and not of MDPI and/or the editor(s). MDPI and/or the editor(s) disclaim responsibility for any injury to people or property resulting from any ideas, methods, instructions or products referred to in the content. |
© 2023 by the authors. Licensee MDPI, Basel, Switzerland. This article is an open access article distributed under the terms and conditions of the Creative Commons Attribution (CC BY) license (https://creativecommons.org/licenses/by/4.0/).
Share and Cite
Zhang, H.; Fan, Z.; Chai, Q.; Li, J. Facile Synthesis of a Bi2WO6/BiO2−x Heterojunction for Efficient Photocatalytic Degradation of Ciprofloxacin under Visible Light Irradiation. Catalysts 2023, 13, 469. https://doi.org/10.3390/catal13030469
Zhang H, Fan Z, Chai Q, Li J. Facile Synthesis of a Bi2WO6/BiO2−x Heterojunction for Efficient Photocatalytic Degradation of Ciprofloxacin under Visible Light Irradiation. Catalysts. 2023; 13(3):469. https://doi.org/10.3390/catal13030469
Chicago/Turabian StyleZhang, Hongzhong, Zhaoya Fan, Qingqing Chai, and Jun Li. 2023. "Facile Synthesis of a Bi2WO6/BiO2−x Heterojunction for Efficient Photocatalytic Degradation of Ciprofloxacin under Visible Light Irradiation" Catalysts 13, no. 3: 469. https://doi.org/10.3390/catal13030469
APA StyleZhang, H., Fan, Z., Chai, Q., & Li, J. (2023). Facile Synthesis of a Bi2WO6/BiO2−x Heterojunction for Efficient Photocatalytic Degradation of Ciprofloxacin under Visible Light Irradiation. Catalysts, 13(3), 469. https://doi.org/10.3390/catal13030469

