New Ni(II)-Ni(II) Dinuclear Complex, a Resting State of the (α-diimine)NiBr2/AlMe3 Catalyst System for Ethylene Polymerization
Abstract
1. Introduction
2. Results and Discussion
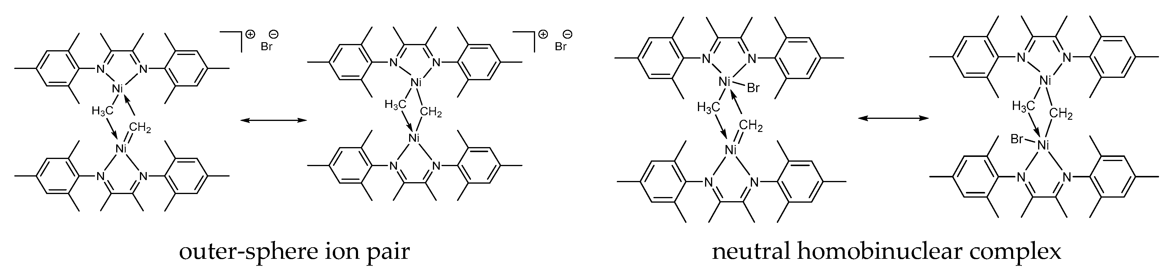
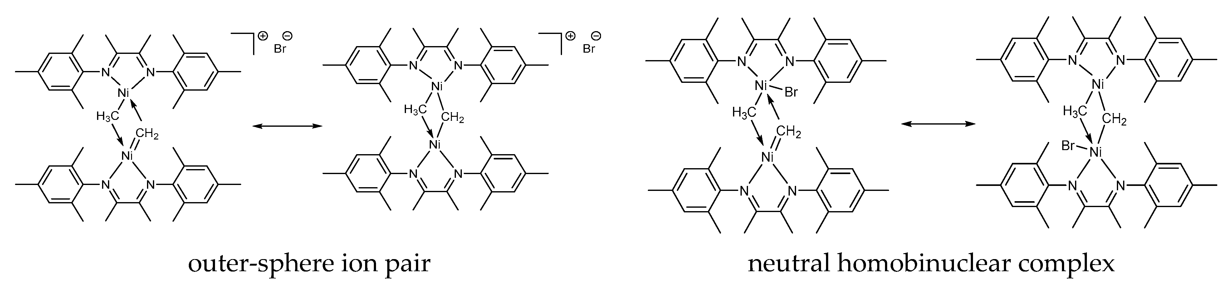
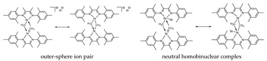
2.1. The Nickel Center Spin State
2.2. The 1H NMR Resonances of the α-Diimine Ligand of 2
2.3. DFT Calculations
2.4. Temperature Behavior of the Ortho-Methyl and Meta-H Resonances
2.5. The Role of 2 in Catalytic Process
3. Materials and Methods
3.1. General Procedures
3.2. NMR and EPR Spectra Registration
3.3. Synthesis of the Complexes 1, 1′, and 1D
3.3.1. Synthesis of 1,4-Bis-2,4,6-trimethylphenyl-2,3-dimethyl-1,4-diazabuta-1,3-diene (L1)
3.3.2. Synthesis of 1,4-Bis-2,6-dimethylphenyl-2,3-dimethyl-1,4-diazabuta-1,3-diene (L1′)
3.3.3. Synthesis of 2H-Enriched 2,3-butanedione
3.3.4. Synthesis of 2H-Enriched 1,4-bis-2,4,6-trimethylphenyl-2,3-dimethyl-1,4-diazabuta-1,3-diene (L1D)
3.3.5. Synthesis of 1,4-Bis-2,4,6-trimethylphenyl-2,3-dimethyl-1,4-diazabuta-1,3-diene nickel(II) dibromide (complex 1)
3.3.6. Synthesis of 1,4-Bis-2,6-dimethylphenyl-2,3-dimethyl-1,4-diazabuta-1,3-diene nickel(II) dibromide (complex 1′)
3.3.7. Synthesis of 2H-Enriched 1,4-bis-2,6-dimethylphenyl-2,3-dimethyl-1,4-diazabuta-1,3-diene nickel(II) dibromide (complex 1D)
3.4. DFT Calculations: Computational Details
4. Conclusions
Supplementary Materials
Author Contributions
Funding
Data Availability Statement
Acknowledgments
Conflicts of Interest
References
- Tan, C.; Zou, C.; Chen, C. An Ionic Cluster Strategy for Performance Improvements and Product Morphology Control in Metal-Catalyzed Olefin-Polar Monomer Copolymerization. J. Am. Chem. Soc. 2022, 144, 2245–2254. [Google Scholar] [CrossRef]
- Zhang, Y.; Kang, X.; Jian, Z. Selective branch formation in ethylene polymerization to access precise ethylene-propylene copolymers. Nat. Commun. 2022, 13, 725. [Google Scholar] [CrossRef] [PubMed]
- Zhu, N.; Asadullah Khan, M.; Pang, W.; Behzadi, S.; Qasim, M. Synthesis of Ultra-High molecular weight polyethylene elastomers by para-tert-Butyl dibenzhydryl functionalized α-Diimine nickel catalysts at elevated temperature. Eur. Pol. J. 2022, 178, 111497. [Google Scholar] [CrossRef]
- Wang, Q.; Zhang, Z.; Zou, C.; Chen, C. A general cocatalyst strategy for performance enhancement in nickel catalyzed ethylene (co)polymerization. Chin. Chem. Lett. 2022, 33, 4363–4366. [Google Scholar] [CrossRef]
- Hu, X.; Kang, X.; Jian, Z. Suppression of Chain Transfer at High Temperature in Catalytic Olefin Polymerization. Angew. Chem. Int. Ed. 2022, 61, e202207363. [Google Scholar] [CrossRef] [PubMed]
- Lu, W.; Liao, Y.; Dai, S. Facile access to ultra-highly branched polyethylenes using hybrid “sandwich” Ni(II) and Pd(II) catalysts. J. Catal. 2022, 411, 54–61. [Google Scholar] [CrossRef]
- Lu, Z.; Liao, Y.; Fan, W.; Dai, S. Efficient suppression of the chain transfer reaction in ethylene coordination polymerization with dibenzosuberyl substituents. Polym. Chem. 2022, 13, 4090–4099. [Google Scholar] [CrossRef]
- Zhang, Q.; Liu, M.; Ma, Y.; Ye, Z.; Liang, T.; Sun, W.H. Highly active and thermostable camphyl α-diimine–nickel(II) catalysts for ethylene polymerization: Effects of N-aryl substituting groups on catalytic properties and branching structures of polyethylene. Appl. Organomet. Chem. 2022, 36, e6606. [Google Scholar] [CrossRef]
- Lei, T.; Ma, Z.; Liu, H.; Wang, X.; Li, P.; Wang, F.; Wu, W.; Zhang, S.; Xu, G.; Wang, F. Preparation of highly branched polyolefins by controlled chain-walking olefin polymerization. Appl. Organomet. Chem. 2022, 36, e6788. [Google Scholar] [CrossRef]
- Lu, Z.; Chang, G.; Wang, H.; Jing, K.; Dai, S. A Dual Steric Enhancement Strategy in α-Diimine Nickel and Palladium Catalysts for Ethylene Polymerization and Copolymerization. Organometallics 2022, 41, 124–132. [Google Scholar] [CrossRef]
- Doerr, A.M.; Curry, M.R.; Chapleski, R.C.; Burroughs, J.M.; Lander, E.K.; Roy, S.; Long, B.K. Redox Potential as a Predictor of Polyethylene Branching Using Nickel α-Diimine Catalysts. ACS Catal. 2022, 12, 73–81. [Google Scholar] [CrossRef]
- Chen, M.; Chen, C. Nickel catalysts for the preparation of functionalized polyolefin materials. Chin. Sci. Bull. 2022, 67, 1881–1894. [Google Scholar] [CrossRef]
- Zheng, H.; Li, Y.; Du, W.; Cheung, C.S.; Li, D.; Gao, H.; Deng, H.; Gao, H. Unprecedented Square-Planar α-Diimine Dibromonickel Complexes and Their Ethylene Polymerizations Modulated by Ni–Phenyl Interactions. Macromolecules 2022, 55, 3533–3540. [Google Scholar] [CrossRef]
- Yan, M.; Kang, X.; Li, S.; Xu, X.; Luo, Y.; He, S.; Chen, C. Mechanistic Studies on Nickel-Catalyzed Ethylene Polymerization: Ligand Effects and Quantitative Structure–Activity Relationship Model. Organometallics 2022, 41, 3212–3218. [Google Scholar] [CrossRef]
- Antonov, A.A.; Bryliakov, K.P. Post-metallocene catalysts for the synthesis of ultrahigh molecular weight polyethylene: Recent advances. Eur. Polymer J. 2021, 142, 110162. [Google Scholar] [CrossRef]
- Liang, T.; Goundari, S.B.; Chen, C. A simple and versatile nickel platform for the generation of branched high molecular weight polyolefins. Nat. Commun. 2020, 11, 372. [Google Scholar] [CrossRef] [PubMed]
- Xia, J.; Zhang, Y.X.; Kou, S.Q.; Jian, Z.B. A concerted double-layer steric strategy enables an ultra-highly active nickel catalysts to access ultrahigh molecular weight polyethylenes. J. Catal. 2020, 90, 30–36. [Google Scholar] [CrossRef]
- Tran, Q.H.; Brookhart, M.; Daugulis, O. New neutral nickel and palladium sandwich catalysts: Synthesis of ultrahigh molecular weight polyethylene (UHMWPE) via highly controlled polymerization and mechanistic studies of chain propagation. J. Am. Chem. Soc. 2020, 142, 7198–7206. [Google Scholar] [CrossRef]
- Li, S.K.; Xu, S.Y.; Dai, S.Y. A remote nonconjugated electron effect in insertion polymerization with α-diimine nickel and palladium species. Polym. Chem. 2020, 11, 2692–2699. [Google Scholar] [CrossRef]
- Muhammad, Q.; Tan, C.; Chen, C.L. Concerted steric and electronic effects on α-diimine nickel- and palladium-catalyzed ethylene polymerization and copolymerization. Sci. Bull. 2020, 65, 300–307. [Google Scholar] [CrossRef] [PubMed]
- Hu, X.Q.; Zhang, Y.X.; Jian, Z.B. Unsymmetrical strategy makes significant differences in α-diimine nickel and palladium catalyzed ethylene copolymerizations. ChemCatChem 2020, 12, 2497–2505. [Google Scholar] [CrossRef]
- Tan, C.; Chen, C.L. Emerging palladium and nickel catalysts for copolymerization of olefins with polar monomers. Angew. Chem. Int. Ed. 2019, 58, 7192–7200. [Google Scholar] [CrossRef]
- Gong, Y.F.; Li, S.K.; Gong, Q.; Zhang, S.J.; Liu, B.Y.; Dai, S.Y. Systematic investigations of ligand steric effects on α-diimine nickel catalyzed olefin polymerization and copolymerization. Organometallics 2019, 38, 2919–2926. [Google Scholar] [CrossRef]
- Soshnikov, I.E.; Bryliakov, K.P.; Antonov, A.A.; Talsi, E.P. Ethylene polymerization of nickel catalysts with α-diimine ligands: Factors controlling the structure of active species and polymer properties. Dalton Trans. 2019, 48, 7974–7984. [Google Scholar] [CrossRef] [PubMed]
- Chen, Z.; Brookhart, M. Exploring ethylene/polar vinyl monomer copolymerizations using Ni and Pd α-diimine catalysts. Acc. Chem. Res. 2018, 51, 1831–1839. [Google Scholar] [CrossRef]
- Fang, J.; Sui, X.L.; Li, Y.G.; Chen, C.L. Synthesis of polyolefin elastomers from unsymmetrical α-diimine nickel catalyzed olefin polymerization. Polym. Chem. 2018, 30, 4143–4149. [Google Scholar] [CrossRef]
- Zhong, L.; Li, G.L.; Liang, G.D.; Gao, H.Y.; Wu, Q. Enhancing thermal stability and living fashion in α-diimine-nickel catalyzed (co)polymerization of ethylene and polar monomers by increasing the steric bulk of ligand backbone. Macromolecules 2017, 50, 2675–2682. [Google Scholar] [CrossRef]
- Wang, Z.; Liu, Q.B.; Solan, G.A.; Sun, W.-H. Recent advances in Niimine-donor ligand effects on catalytic activity, thermal stability and oligo-/polymer structure. Coord. Chem. Rev. 2017, 350, 68–83. [Google Scholar] [CrossRef]
- Svejda, S.A.; Johnson, L.K.; Brookhart, M. Low-Temperature Spectroscopic Observation of Chain Growth and Migratory Insertion Barriers in (α-Diimine)Ni(II) Olefin Polymerization Catalysts. J. Am. Chem. Soc. 1999, 121, 10634–10635. [Google Scholar] [CrossRef]
- Leatherman, M.D.; Svejda, S.A.; Johnson, L.K.; Brookhart, M. Mechanistic Studies of Nickel(II) Alkyl Agostic Cations and Alkyl Ethylene Complexes: Investigations of Chain Propagation and Isomerization in (α-diimine)Ni(II)-Catalyzed Ethylene Polymerization. J. Am. Chem. Soc. 2003, 125, 3068–3081. [Google Scholar] [CrossRef]
- Meinhard, D.; Reuter, P.; Rieger, B. Activation of Polymerization Catalysts: Synthesis and Characterization of Novel Dinuclear Nickel(I) Diimine Complexes. Organometallics 2007, 26, 751–754. [Google Scholar] [CrossRef]
- Kraikivskii, P.B.; Saraev, V.V.; Bocharova, V.V.; Romanenko, G.V.; Matveev, D.A.; Petrovskii, S.K.; Kuzakov, A.S. Nickel(I) Complex as the Final Product of the Sequence of Spontaneous Transformations in the System Ni(Allyl)2–(2,6-Diisopropylphenyl)diazabutadiene. Rus. J. Coord. Chem. 2012, 38, 416–425. [Google Scholar] [CrossRef]
- Petrovskii, S.K.; Saraev, V.V.; Kraikivskii, P.B.; Gurinovich, N.S.; Matveev, D.A.; Bocharova, V.V. Formation of paramagnetic intermediates under the conditions of Brookhart-type catalyst activation and operation. Rus. Chem. Bull. Int. Ed. 2013, 62, 1323–1326. [Google Scholar] [CrossRef]
- Gao, W.; Xin, L.; Hao, Z.; Li, G.; Su, J.H.; Zhou, L.; Mu, Y. The ligand redox behavior and role in 1,2-bis[(2,6-diisopropylphenyl)imino]-acenaphthene nickel-TMA(MAO) systems for ethylene polymerization. Chem. Commun. 2015, 51, 7004–7007. [Google Scholar] [CrossRef]
- Zhao, Y.; Wang, Z.; Jing, X.; Dong, Q.; Gong, S.; Li, Q.S.; Zhang, J.; Wua, B.; Yang, X.J. α-Diimine nickel complexes of ethylene and related alkenes. Dalton Trans. 2015, 44, 16228–16232. [Google Scholar] [CrossRef]
- Anderson, W.C., Jr.; Rhinehart, J.L.; Tennyson, A.G.; Long, B.K. Redox-Active Ligands: An Advanced Tool To Modulate Polyethylene Microstructure. J. Am. Chem. Soc. 2016, 138, 774–777. [Google Scholar] [CrossRef]
- Gurinovich, N.S.; Petrovskii, S.K.; Saraev, V.V.; Salii, I.V. Study of the Nature and Mechanism of the Formation of Paramagnetic Species in Nickel-Based Brookhart-Type Catalytic Systems. Kin. Catal. 2016, 57, 523–527. [Google Scholar] [CrossRef]
- Xu, H.; White, P.B.; Hu, C.; Diao, T. Structure and Isotope Effects of the β-H Agostic (α-diimine)Nickel Cation as a Polymerization Intermediate. Angew. Chem. Int. Ed. 2017, 56, 1535–1538. [Google Scholar] [CrossRef] [PubMed]
- Gomes, C.S.B.; Ribeiro, A.F.G.; Fernandes, A.C.; Bento, A.; Ribeiro, M.R.; Kociok-Köhn, G.; Pascu, S.I.; Duarte, M.T.; Gomes, P.T. Reactivity of cationic α-diimine cyclopentadienyl nickel complexes towards AlEt2Cl: Synthesis, characterization and ethylene polymerization. Catal. Sci. Technol. 2017, 7, 3128–3142. [Google Scholar] [CrossRef]
- Anderson, W.C., Jr.; Park, S.H.; Brown, L.A.; Kaiser, J.M.; Long, B.K. Accessing Multiple Polyethylene Grades Via a Single Redox-Active Olefin Polymerization Catalyst. Inorg. Chem. Front. 2017, 4, 1108–1112. [Google Scholar] [CrossRef]
- Ahmadjo, S.; Damavandi, S.; Zohuri, G.H.; Farhadipour, A.; Samadieh, N.; Etemadinia, Z. Synthesis and application of fluorinated a-diimine nickel catalyst for ethylene polymerization: Deactivation mechanism. Polym. Bull. 2017, 74, 3819–3832. [Google Scholar] [CrossRef]
- Chen, Z.; Leatherman, M.D.; Daugulis, O.; Brookhart, M. Nickel-Catalyzed Copolymerization of Ethylene and Vinyltrialkoxysilanes: Catalytic Production of Cross-Linkable Polyethylene and Elucidation of the Chain-Growth Mechanism. J. Am. Chem. Soc. 2017, 139, 16013–16022. [Google Scholar] [CrossRef] [PubMed]
- O’Connor, K.S.; Lamb, J.R.; Vaidya, T.; Keresztes, I.; Klimovica, K.; LaPointe, A.M.; Daugulis, O.; Coates, G.W. Understanding the Insertion Pathways and Chain Walking Mechanisms of α-Diimine Nickel Catalysts for α-Olefin Polymerization: A 13C NMR Spectroscopic Investigation. Macromolecules 2017, 50, 7010–7027. [Google Scholar] [CrossRef]
- Kaiser, J.M.; Anderson, W.C., Jr.; Long, B.K. Photochemical regulation of a redox-active olefin polymerization catalyst: Controlling polyethylene microstructure with visible light. Polym. Chem. 2018, 9, 1567–1570. [Google Scholar] [CrossRef]
- Gurinovich, N.S.; Petrovsky, S.K.; Saliy, I.V.; Saraev, V.V. Influence of a diimine ligand and an activator on the processes taking place in Brookhart-type nickel catalytic systems. Res. Chem. Intermed. 2018, 44, 1935–1944. [Google Scholar] [CrossRef]
- Soshnikov, I.E.; Semikolenova, N.V.; Bryliakov, K.P.; Antonov, A.A.; Zakharov, V.A.; Talsi, E.P. NMR spectroscopic identification of Ni(II) species formed upon activation of (α-diimine)NiBr2 polymerization catalysts with MAO and MMAO. Dalton Trans. 2018, 47, 4968–4974. [Google Scholar] [CrossRef]
- Wang, B.; Daugulis, O.; Brookhart, M. Ethylene Polymerization with Ni(II) Diimine Complexes Generated from 8-Halo-1-naphthylamines: The Role of Equilibrating Syn/Anti Diastereomers in Determining Polymer Properties. Organometallics 2019, 38, 4658–4668. [Google Scholar] [CrossRef]
- Soshnikov, I.E.; Semikolenova, N.V.; Bryliakov, K.P.; Antonov, A.A.; Sun, W.H.; Talsi, E.P. EPR spectroscopic study of Ni(I) species in the catalyst system for ethylene polymerization based on α-diimine Ni(II) complex activated by MMAO. J. Organomet. Chem. 2019, 880, 267–271. [Google Scholar] [CrossRef]
- Chapleski, R.C., Jr.; Kern, J.L.; Anderson, W.C., Jr.; Long, B.K.; Roy, S. A mechanistic study of microstructure modulation in olefin polymerizations using a redox-active Ni(II) α-diimine catalyst. Catal. Sci. Technol. 2020, 10, 2029–2039. [Google Scholar] [CrossRef]
- Tran, Q.H.; Wang, X.; Brookhart, M.; Daugulis, O. Cationic α-Diimine Nickel and Palladium Complexes Incorporating Phenanthrene Substituents: Highly Active Ethylene Polymerization Catalysts and Mechanistic Studies of syn/anti Isomerization. Organometallics 2020, 39, 4704–4716. [Google Scholar] [CrossRef]
- Soshnikov, I.E.; Semikolenova, N.V.; Bryliakov, K.P.; Antonov, A.A.; Sun, W.H.; Talsi, E.P. Activation of an α-diimine Ni(II) precatalysts with AlMe3 and Al(iBu)3: Catalytic and NMR and EPR spectroscopic studies. Organometallics 2020, 39, 3034–3040. [Google Scholar] [CrossRef]
- Soshnikov, I.E.; Semikolenova, N.V.; Bryliakov, K.P.; Antonov, A.A.; Sun, W.H.; Talsi, E.P. The nature of nickel species formed upon the activation of α-diimine nickel(II) pre-catalyst with alkylaluminum sesquichlorides. J. Organomet. Chem. 2020, 907, 121063. [Google Scholar] [CrossRef]
- Soshnikov, I.E.; Semikolenova, N.V.; Bryliakov, K.P.; Antonov, A.A.; Sun, W.H.; Talsi, E.P. Nature of Heterobinuclear Ni(I) Complexes Formed upon the Activation of the α-Diimine Complex LNiIIBr2 with AlMe3 and MMAO. Organometallics 2021, 40, 907–914. [Google Scholar] [CrossRef]
- Soshnikov, I.E.; Semikolenova, N.V.; Bryliakov, K.P.; Talsi, E.P. α-Diimine Ni-Catalyzed Ethylene Polymerizations: On the Role of Nickel(I) Intermediates. Catalysts 2021, 11, 1386. [Google Scholar] [CrossRef]
- Xu, S.; Chen, X.; Luo, G.; Gao, W. Nickel complexes based on BIAN ligands: Transformation and catalysis on ethylene polymerization. Dalton Trans. 2021, 50, 7356–7363. [Google Scholar] [CrossRef]
- Soshnikov, I.E.; Semikolenova, N.V.; Bryliakov, K.P.; Antonov, A.A.; Talsi, E.P. Ni(I) Intermediates Formed upon Activation of a Ni(II) α-Diimine Ethylene Polymerization Precatalyst with AlR3 (R = Me, Et, and iBu), AlR2Cl (R = Me, Et), and MMAO: A Comparative Study. Organometallics 2022, 41, 1015–1024. [Google Scholar] [CrossRef]
- Leung, D.H.; Ziller, J.W.; Guan, Z. Axial Donating Ligands: A New Strategy for Late Transition Metal Olefin Polymerization Catalysis. J. Am. Chem. Soc. 2008, 130, 7538–7539. [Google Scholar] [CrossRef]
- Cotton, F.A.; Wilkinson, G.; Murillo, C.A.; Bochmann, M. Advanced Inorganic Chemistry, 6th ed.; Wiley: New York, NY, USA, 1999; pp. 840–842. [Google Scholar]
- Soshnikov, I.E.; Semikolenova, N.V.; Zakharov, V.A.; Moller, H.M.; Olscher, F.; Osichow, A.; Gottker-Schnettmann, I.; Mecking, S.; Talsi, E.P.; Bryliakov, K.P. Formation and Evolution of Chain-Propagating Species Upon Ethylene Polymerization with Neutral Salicylaldiminato Nickel(II) Catalysts. Chem. Eur. J. 2013, 19, 11409–11417. [Google Scholar] [CrossRef] [PubMed]
- Antonov, A.A.; Semikolenova, N.V.; Zakharov, V.A.; Zhang, W.; Wang, Y.; Sun, W.-H.; Talsi, E.P.; Bryliakov, K.P. Vinyl Polymerization of Norbornene on Nickel Complexes with Bis(imino)pyridine Ligands Containing Electron-Withdrawing Groups. Organometallics 2012, 31, 1143–1149. [Google Scholar] [CrossRef]
- Antonov, A.A.; Samsonenko, D.G.; Talsi, E.P.; Bryliakov, K.P. Formation of Cationic Intermediates upon the Activation of Bis(imino)pyridine Nickel Catalysts. Organometallics 2013, 32, 2187–2191. [Google Scholar] [CrossRef]
- NMR of Paramagnetic Molecules. Principles and Applications; La Mar, G.N., Horrocks, W.D.W., Jr., Holm, R.H., Eds.; John Wiley & Sons, Inc.: Hoboken, NJ, USA, 1973. [Google Scholar]
- Krzystek, J.; Park, J.H.; Meisel, M.W.; Hitchman, M.A.; Stratemeier, H.; Brunel, L.C.; Telser, J. EPR Spectra from “EPR-Silent” Species: High-Frequency and High-Field EPR Spectroscopy of Pseudotetrahedral Complexes of Nickel(II). Inorg. Chem. 2002, 41, 4478–4487. [Google Scholar] [CrossRef] [PubMed]
- Pappas, I.; Treacy, S.; Chirik, P.J. Alkene Hydrosilylation Using Tertiary Silanes with α-Diimine Nickel Catalysts. Redox-Active Ligands Promote a Distinct Mechanistic Pathway from Platinum Catalysts. ACS Catal. 2016, 6, 4105–4109. [Google Scholar] [CrossRef]
- Gordon, A.J.; Ford, R.A. The Chemist’s Companion: A Handbook of Practical Data, Techniques, and References, 1st ed.; Wiley-Interscience: New York, NY, USA, 1972. [Google Scholar]
- Zhang, J.; Rahman, M.M.; Zhao, Q.; Feliciano, J.; Bisz, E.; Dziuk, B.; Lalancette, R.; Szostak, R.; Szostak, M. N-Heterocyclic Carbene Complexes of Nickel(II) from Caffeine and Theophylline: Sustainable Alternative to Imidazol-2-ylidenes. Organometallics 2022, 41, 1806–1815. [Google Scholar] [CrossRef] [PubMed]
- Douthwaite, R.E.; Green, M.L.H.; Silcock, P.J. Nickel(II) cis- and trans-Dimethyl Complexes of Di-N-heterocyclic Carbenes. Organometallics 2001, 20, 2611–2615. [Google Scholar] [CrossRef]
- Ottenbacher, R.V.; Bryliakova, A.A.; Shashkov, M.V.; Talsi, E.P.; Bryliakov, K.P. To Rebound or...Rebound? Evidence for the “Alternative Rebound” Mechanism in C–H Oxidations by the Systems Nonheme Mn Complex/H2O2/Carboxylic Acid. ACS Catal. 2021, 11, 5517–5524. [Google Scholar] [CrossRef]
- Zima, A.M.; Lyakin, O.Y.; Bryliakova, A.A.; Babushkin, D.E.; Bryliakov, K.P.; Talsi, E.P. Reactivity vs. Selectivity of Biomimetic Catalyst Systems of the Fe(PDP) Family through the Nature and Spin State of the Active Iron-Oxygen Species. Chem. Rec. 2022, 22, e202100334. [Google Scholar] [CrossRef]
- Zima, A.M.; Lyakin, O.Y.; Bryliakova, A.A.; Babushkin, D.E.; Bryliakov, K.P.; Talsi, E.P. Effect of Brønsted Acid on the Reactivity and Selectivity of the Oxoiron(V) Intermediates in C-H and C=C Oxidation Reactions. Catalysts 2022, 12, 949. [Google Scholar] [CrossRef]
- Babushkin, D.E.; Semikolenova, N.V.; Zakharov, V.A.; Talsi, E.P. Mechanism of dimethylzirconocene activation with methylaluminoxane: NMR monitoring of intermediates at high Al/Zr ratios. Macromol. Chem. Phys. 2000, 201, 558–567. [Google Scholar] [CrossRef]
- Sun, J.; Wang, F.; Li, W.; Chen, M. Ligand steric effects on alpha-diimine nickel catalyzed ethylene and 1-hexene polymerization. RSC Adv. 2017, 7, 55051–55059. [Google Scholar] [CrossRef]
- Walters, W.D. Exchange Reaction of Biacetyl with Deuterium Oxide. J. Am. Chem. Soc. 1941, 63, 2850–2851. [Google Scholar] [CrossRef]
- Grimme, S.; Antony, J.; Ehrlich, S.; Krieg, H. A consistent and accurate ab initio parameterization of density functional dispersion correction (DFT-D) for the 94 elements H-Pu. J. Chem. Phys. 2010, 132, 154104. [Google Scholar] [CrossRef]
- Frisch, M.J.; Trucks, G.W.; Schlegel, H.B.; Scuseria, G.E.; Robb, M.A.; Cheeseman, J.R.; Scalmani, G.; Barone, V.; Petersson, G.A.; Nakatsuji, H.; et al. Gaussian 16, Revision, C.01; Gaussian, Inc.: Wallingford, CT, USA, 2019. [Google Scholar]
- Weigend, F.; Ahlrichs, R. Balanced basis sets of split valence, triple zeta valence and quadruple zeta valence quality for H to Rn: Design and assessment of accuracy. Phys. Chem. Chem. Phys. 2005, 7, 3297–3305. [Google Scholar] [CrossRef] [PubMed]
- Krishnan, R.; Binkley, J.S.; Seeger, R.; Pople, J.A. Self-consistent molecular orbital methods. XX. A basis set for correlated wave functions. J. Chem. Phys. 1980, 72, 650–654. [Google Scholar] [CrossRef]
- Miertuš, S.; Scrocco, E.; Tomasi, J. Electrostatic interaction of a solute with a continuum. A direct utilization of ab initio molecular potentials for the prevision of solvent effects. Chem. Phys. 1981, 55, 117–129. [Google Scholar] [CrossRef]
- Pascual-Ahuir, J.L.; Silla, E.; Tuñón, I. GEPOL: An improved description of molecular-surfaces. 3. A new algorithm for the computation of a solvent-excluding surface. J. Comp. Chem. 1994, 15, 1127–1138. [Google Scholar] [CrossRef]







| System | [Al]/[Ni] | Activity, kg (PE)·molNi−1·h−1 | Mw, g/mol | Mn, g/mol | Mw/Mn | Branches/1000 C |
|---|---|---|---|---|---|---|
| 1/AlMe3 | 500 | 27,000 | 78,000 | 39,000 | 2.0 | 36 ± 2 |
Disclaimer/Publisher’s Note: The statements, opinions and data contained in all publications are solely those of the individual author(s) and contributor(s) and not of MDPI and/or the editor(s). MDPI and/or the editor(s) disclaim responsibility for any injury to people or property resulting from any ideas, methods, instructions or products referred to in the content. |
© 2023 by the authors. Licensee MDPI, Basel, Switzerland. This article is an open access article distributed under the terms and conditions of the Creative Commons Attribution (CC BY) license (https://creativecommons.org/licenses/by/4.0/).
Share and Cite
Soshnikov, I.E.; Semikolenova, N.V.; Bryliakova, A.A.; Antonov, A.A.; Bryliakov, K.P.; Talsi, E.P. New Ni(II)-Ni(II) Dinuclear Complex, a Resting State of the (α-diimine)NiBr2/AlMe3 Catalyst System for Ethylene Polymerization. Catalysts 2023, 13, 333. https://doi.org/10.3390/catal13020333
Soshnikov IE, Semikolenova NV, Bryliakova AA, Antonov AA, Bryliakov KP, Talsi EP. New Ni(II)-Ni(II) Dinuclear Complex, a Resting State of the (α-diimine)NiBr2/AlMe3 Catalyst System for Ethylene Polymerization. Catalysts. 2023; 13(2):333. https://doi.org/10.3390/catal13020333
Chicago/Turabian StyleSoshnikov, Igor E., Nina V. Semikolenova, Anna A. Bryliakova, Artem A. Antonov, Konstantin P. Bryliakov, and Evgenii P. Talsi. 2023. "New Ni(II)-Ni(II) Dinuclear Complex, a Resting State of the (α-diimine)NiBr2/AlMe3 Catalyst System for Ethylene Polymerization" Catalysts 13, no. 2: 333. https://doi.org/10.3390/catal13020333
APA StyleSoshnikov, I. E., Semikolenova, N. V., Bryliakova, A. A., Antonov, A. A., Bryliakov, K. P., & Talsi, E. P. (2023). New Ni(II)-Ni(II) Dinuclear Complex, a Resting State of the (α-diimine)NiBr2/AlMe3 Catalyst System for Ethylene Polymerization. Catalysts, 13(2), 333. https://doi.org/10.3390/catal13020333

