Influence of Synthesis Methodology on the Properties and Catalytic Performance of Tin, Niobium, and Tin-Niobium Oxides in Fructose Conversion
Abstract
1. Introduction
2. Results and Discussion
2.1. Characterization of the Catalysts
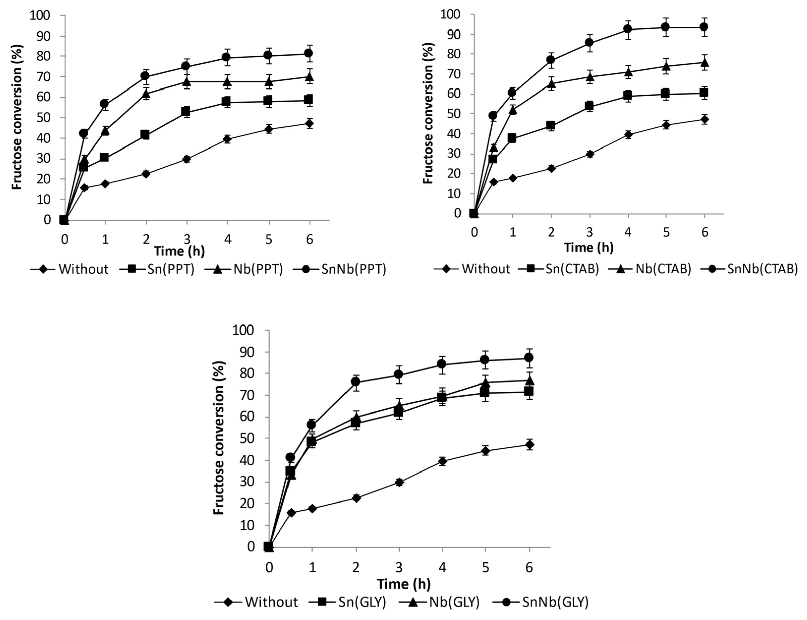
2.2. Catalytic Assays in Fructose Transformation
3. Materials and Methods
3.1. Materials
3.2. Preparation of Catalysts Using the Coprecipitation Method
3.3. Preparation of Catalysts Using the CTAB-Surfactant-Template Method
3.4. Preparation of Catalysts Using the Modified Pechini Method
3.5. Characterization of the Catalysts
3.6. Fructose Conversion
4. Conclusions
Supplementary Materials
Author Contributions
Funding
Data Availability Statement
Acknowledgments
Conflicts of Interest
References
- Binder, J.B.; Raines, R.T. Simple Chemical Transformation of Lignocellulosic Biomass into Furans for Fuels and Chemicals. J. Am. Chem. Soc. 2009, 131, 1979–1985. [Google Scholar] [CrossRef] [PubMed]
- Wang, W.; Gu, Y.; Zhou, C.; Hu, C. Current Challenges and Perspectives for the Catalytic Pyrolysis of Lignocellulosic Biomass to High-Value Products. Catalysts 2022, 12, 1524. [Google Scholar] [CrossRef]
- Corma, A.; Iborra, S.; Velty, A. Chemical Routes for the Transformation of Biomass into Chemicals. Chem. Rev. 2007, 107, 2411–2502. [Google Scholar] [CrossRef]
- Wu, X.; Fu, J.; Lu, X. Hydrothermal Decomposition of Glucose and Fructose with Inorganic and Organic Potassium Salts. Bioresour. Technol. 2012, 119, 48–54. [Google Scholar] [CrossRef] [PubMed]
- Qu, Y.; Huang, C.; Zhang, J.; Chen, B. Efficient Dehydration of Fructose to 5-Hydroxymethylfurfural Catalyzed by a Recyclable Sulfonated Organic Heteropolyacid Salt. Bioresour. Technol. 2012, 106, 170–172. [Google Scholar] [CrossRef]
- Lee, Y.-Y.; Wu, K.C.-W. Conversion and Kinetics Study of Fructose-to-5-Hydroxymethylfurfural (HMF) Using Sulfonic and Ionic Liquid Groups Bi-Functionalized Mesoporous Silica Nanoparticles as Recyclable Solid Catalysts in DMSO Systems. Phys. Chem. Chem. Phys. 2012, 14, 13914–13917. [Google Scholar] [CrossRef]
- Mascal, M.; Nikitin, E.B. High-Yield Conversion of Plant Biomass into the Key Value-Added Feedstocks 5-(Hydroxymethyl)Furfural, Levulinic Acid, and Levulinic Esters Via5-(Chloromethyl)Furfural. Green Chem. 2010, 12, 370–373. [Google Scholar] [CrossRef]
- Upare, P.P.; Yoon, J.-W.; Kim, M.Y.; Kang, H.-Y.; Hwang, D.W.; Hwang, Y.K.; Kung, H.H.; Chang, J.-S. Chemical Conversion of Biomass-Derived Hexose Sugars to Levulinic Acid over Sulfonic Acid-Functionalized Graphene Oxide Catalysts. Green Chem. 2013, 15, 2935. [Google Scholar] [CrossRef]
- Zaera, F. Nanostructured Materials for Applications in Heterogeneous Catalysis. Chem. Soc. Rev. 2013, 42, 2746–2762. [Google Scholar] [CrossRef]
- Armor, J.N. A History of Industrial Catalysis. Catalysts 2011, 163, 3–9. [Google Scholar] [CrossRef]
- Fernandes Barbosa, F.; Pinheiro Braga, T. Catalytic Conversion of Glycerol to Acetol and Acrolein Using Metal Oxides: Surface Reactions, Prospects and Challenges. ChemCatChem 2022, 15, e202200950. [Google Scholar] [CrossRef]
- dos Santos, T.V.; da Silva Avelino, D.O.; Meneghetti, M.R.; Meneghetti, S.M.P. Mixed Oxides Based on SnO2 Impregnated with MoO3: A Robust System to Apply in Fructose Conversion. Catal. Commun. 2018, 114, 120–123. [Google Scholar] [CrossRef]
- dos Santos, T.V.; dos Santos Brainer, N.; de Amorin Pryston, D.B.; da Silva Avelino, D.O.; Dornelas, C.B.; Meneghetti, M.R.; Meneghetti, S.M.P. Study of Neat and Mixed Sn(IV) and Mo(VI) Oxides for Transesterification and Esterification: Influence of the Substrate on Leaching. Catal. Lett. 2019, 149, 3132–3137. [Google Scholar] [CrossRef]
- Bayu, A.; Abudula, A.; Guan, G. Reaction Pathways and Selectivity in Chemo-Catalytic Conversion of Biomass-Derived Carbohydrates to High-Value Chemicals: A Review. FPT 2019, 196, 106162. [Google Scholar] [CrossRef]
- Grigorev, M.E.; Mikhailov, S.P.; Bykov, A.V.; Tiamina, I.Y.; Nikoshvili, L.Z.; Sulman, M.G.; Vasiliev, A.L.; Sidorov, A.I.; dos Santos, T.V.; Meneghetti, M.R.; et al. Surface Interactions with the Metal Oxide Surface Control Ru Nanoparticle Formation and Catalytic Performance. Colloids Surf. A Physicochem. Eng. Asp. 2021, 610, 125722. [Google Scholar] [CrossRef]
- Almerindo, G.I.; Probst, L.F.D.; Campos, C.E.M.; de Almeida, R.M.; Meneghetti, S.M.P.; Meneghetti, M.R.; Clacens, J.-M.; Fajardo, H.V. Magnesium Oxide Prepared via Metal–Chitosan Complexation Method: Application as Catalyst for Transesterification of Soybean Oil and Catalyst Deactivation Studies. J. Power Sources 2011, 196, 8057–8063. [Google Scholar] [CrossRef]
- Yu, Z.; Lu, X.; Liu, C.; Han, Y.; Ji, N. Synthesis of γ-Valerolactone from Different Biomass-Derived Feedstocks: Recent Advances on Reaction Mechanisms and Catalytic Systems. Renew. Sustain. Energy Rev. 2019, 112, 140–157. [Google Scholar] [CrossRef]
- Yang, F.; Tang, J.; Ou, R.; Guo, Z.; Gao, S.; Wang, Y.; Wang, X.; Chen, L.; Yuan, A. Fully Catalytic Upgrading Synthesis of 5-Ethoxymethylfurfural from Biomass-Derived 5-Hydroxymethylfurfural over Recyclable Layered-Niobium-Molybdate Solid Acid. Appl. Catal. B Environ. 2019, 256, 117786. [Google Scholar] [CrossRef]
- Kreissl, H.T.; Nakagawa, K.; Peng, Y.-K.; Koito, Y.; Zheng, J.; Tsang, S.C.E. Niobium Oxides: Correlation of Acidity with Structure and Catalytic Performance in Sucrose Conversion to 5-Hydroxymethylfurfural. J. Catal. 2016, 338, 329–339. [Google Scholar] [CrossRef]
- Xia, M.; Shen, Z.; Xiao, S.; Peng, B.; Gu, M.; Dong, W.; Zhang, Y. Synergistic Effects and Kinetic Evidence of a Transition Metal-Tin Modified Beta Zeolite on Conversion of Miscanthus to Lactic Acid. Appl. Catal. A-Gen 2019, 583, 117126. [Google Scholar] [CrossRef]
- Popova, M.; Shestakova, P.; Lazarova, H.; Dimitrov, M.; Kovacheva, D.; Szegedi, A.; Mali, G.; Dasireddy, V.; Likozar, B.; Wilde, N.; et al. Efficient Solid Acid Catalysts Based on Sulfated Tin Oxides for Liquid Phase Esterification of Levulinic Acid with Ethanol. Appl. Catal. A-Gen. 2018, 560, 119–131. [Google Scholar] [CrossRef]
- Manjunathan, P.; Marakatti, V.S.; Chandra, P.; Kulal, A.B.; Umbarkar, S.B.; Ravishankar, R.; Shanbhag, G.V. Mesoporous Tin Oxide: An Efficient Catalyst with Versatile Applications in Acid and Oxidation Catalysis. Catal. Today 2018, 309, 61–76. [Google Scholar] [CrossRef]
- Wei, W.; Yang, H.; Wu, S. Efficient Conversion of Carbohydrates into Levulinic Acid over Chromium Modified Niobium Phosphate Catalyst. Fuel 2019, 256, 115940. [Google Scholar] [CrossRef]
- dos Santos, T.V.; Pryston, D.B.A.; Assis, G.C.; Meneghetti, M.R.; Meneghetti, S.M.P. Tin, Niobium and Tin-Niobium Oxides Obtained by the Pechini Method Using Glycerol as a Polyol: Synthesis, Characterization and Use as a Catalyst in Fructose Conversion. Catal. Today 2021, 379, 62–69. [Google Scholar] [CrossRef]
- Kato, K.; Tamura, S. Die Kristallstruktur von T -Nb2O5. Acta Crystallogr. Sect. B Struct. Crystallogr. Cryst. Chem. 1975, 31, 673–677. [Google Scholar] [CrossRef]
- Quinelato, A.L.; Longo, E.; Leite, E.R.; Varela, J.A. Synthesis of Nanocrystalline Tetragonal Zirconia by a Polymeric Organometallic Method. Appl. Organomet. Chem. 1999, 13, 501–507. [Google Scholar] [CrossRef]
- Prado, A.G.S.; Bolzon, L.B.; Pedroso, C.P.; Moura, A.O.; Costa, L.L. Nb2O5 as Efficient and Recyclable Photocatalyst for Indigo Carmine Degradation. Appl. Catal. B Environ. 2008, 82, 219–224. [Google Scholar] [CrossRef]
- Sagadevan, S.; Podder, J. Investigation on Structural, Surface Morphological and Dielectric Properties of Zn-Doped SnO2 Nanoparticles. Mater. Res. 2016, 19, 420–425. [Google Scholar] [CrossRef]
- Elci, A.; Demirtas, O.; Ozturk, I.M.; Bek, A.; Nalbant Esenturk, E. Synthesis of Tin Oxide-Coated Gold Nanostars and Evaluation of Their Surface-Enhanced Raman Scattering Activities. J. Mater. Sci. 2018, 53, 16345–16356. [Google Scholar] [CrossRef]
- Castro, D.C.; Cavalcante, R.P.; Jorge, J.; Martines, M.A.U.; Oliveira, L.C.S.; Casagrande, G.A.; Machulek Jr., A. Synthesis and Characterization of Mesoporous Nb2O5 and Its Application for Photocatalytic Degradation of the Herbicide Methylviologen. J. Braz. Chem. Soc. 2015, 27, 303–313. [Google Scholar]
- da Conceição, L.R.V.; Carneiro, L.M.; Rivaldi, J.D.; de Castro, H.F. Solid Acid as Catalyst for Biodiesel Production via Simultaneous Esterification and Transesterification of Macaw Palm Oil. Ind. Crops Prod. 2016, 89, 416–424. [Google Scholar] [CrossRef]
- Azam, A.; Habib, S.; Salah, N.; Ahmed, F. Microwave-Assisted Synthesis of SnO2 Nanorods for Oxygen Gas Sensing at Room Temperature. IJN 2013, 8, 3875–3882. [Google Scholar] [CrossRef] [PubMed]
- Xu, G.; Zhang, Y.-W.; Sun, X.; Xu, C.-L.; Yan, C.-H. Synthesis, Structure, Texture, and CO Sensing Behavior of Nanocrystalline Tin Oxide Doped with Scandia. J. Phys. Chem. B 2005, 109, 3269–3278. [Google Scholar] [CrossRef]
- Mariammal, R.N.; Ramachandran, K.; Renganathan, B.; Sastikumar, D. On the Enhancement of Ethanol Sensing by CuO Modified SnO2 Nanoparticles Using Fiber-Optic Sensor. Sens. Actuators B Chem. 2012, 169, 199–207. [Google Scholar] [CrossRef]
- Varghese, B.; Haur, S.C.; Lim, C.-T. Nb2O5 Nanowires as Efficient Electron Field Emitters. J. Phys. Chem. C 2008, 112, 10008–10012. [Google Scholar] [CrossRef]
- Zhao, Y.; Zhou, X.; Ye, L.; Chi Edman Tsang, S. Nanostructured Nb2O5 Catalysts. Nanotechnol. Rev. 2012, 3, 17631. [Google Scholar]
- Yu, A.; Frech, R. Mesoporous Tin Oxides as Lithium Intercalation Anode Materials. J. Power Sources 2002, 104, 97–100. [Google Scholar] [CrossRef]
- Zuo, J.; Xu, C.; Liu, X.; Wang, C.; Wang, C.; Hu, Y.; Qian, Y. Study of the Raman spectrum of nanometer SnO2. J. Appl. Phys. 1994, 75, 1835–1836. [Google Scholar] [CrossRef]
- Soltan, W.B.; Lassoued, M.S.; Ammar, S.; Toupance, T. Vanadium Doped SnO2 Nanoparticles for Photocatalytic Degradation of Methylene Blue. J. Mater. Sci. Mater. Electron. 2017, 28, 15826–15834. [Google Scholar] [CrossRef]
- Morais, L.A.; Adán, C.; Araujo, A.S.; Guedes, A.P.M.A.; Marugán, J. Synthesis, Characterization, and Photonic Efficiency of Novel Photocatalytic Niobium Oxide Materials. Glob. Chall. 2017, 1, 1700066. [Google Scholar] [CrossRef] [PubMed]
- Scotti, N.; Ravasio, N.; Evangelisti, C.; Psaro, R.; Penso, M.; Niphadkar, P.; Bokade, V.; Guidotti, M. Epoxidation of Karanja (Millettia Pinnata) Oil Methyl Esters in the Presence of Hydrogen Peroxide over a Simple Niobium-Containing Catalyst. Catalysts 2019, 9, 344. [Google Scholar] [CrossRef]
- Lee, D.-U.; Jang, S.-R.; Vittal, R.; Lee, J.; Kim, K.-J. CTAB Facilitated Spherical Rutile TiO2 Particles and Their Advantage in a Dye-Sensitized Solar Cell. Sol. Energy 2008, 82, 1042–1048. [Google Scholar] [CrossRef]
- Casino, S.; Di Lupo, F.; Francia, C.; Tuel, A.; Bodoardo, S.; Gerbaldi, C. Surfactant-Assisted Sol Gel Preparation of High-Surface Area Mesoporous TiO2 Nanocrystalline Li-Ion Battery Anodes. J. Alloys Compd. 2014, 594, 114–121. [Google Scholar] [CrossRef]
- Nakajima, K.; Baba, Y.; Noma, R.; Kitano, M.; Kondo, J.N.; Hayashi, S.; Hara, M. Nb2O5·nH2O as a Heterogeneous Catalyst with Water-Tolerant Lewis Acid Sites. J. Am. Chem. Soc. 2011, 133, 4224–4227. [Google Scholar] [CrossRef]
- Nowak, I.; Ziolek, M. Niobium Compounds: Preparation, Characterization, and Application in Heterogeneous Catalysis. Chem. Rev. 1999, 99, 3603–3624. [Google Scholar] [CrossRef]
- Skrodczky, K.; Antunes, M.M.; Han, X.; Santangelo, S.; Scholz, G.; Valente, A.A.; Pinna, N.; Russo, P.A. Niobium Pentoxide Nanomaterials with Distorted Structures as Efficient Acid Catalysts. Commun. Chem. 2019, 2, 129. [Google Scholar] [CrossRef]
- Siddiki, S.H.; Rashed, M.N.; Ali, M.A.; Toyao, T.; Hirunsit, P.; Ehara, M.; Shimizu, K.I. Lewis Acid Catalysis of Nb2O5 for Reactions of Carboxylic Acid Derivatives in the Presence of Basic Inhibitors. ChemCatChem 2019, 11, 383–396. [Google Scholar] [CrossRef]
- Rudisill, S.G.; Hein, N.M.; Terzic, D.; Stein, A. Controlling Microstructural Evolution in Pechini Gels through the Interplay between Precursor Complexation, Step-Growth Polymerization, and Template Confinement. Chem. Mater. 2013, 25, 745–753. [Google Scholar] [CrossRef]
- Babooram, K. Novel solution routes to ferroelectrics and relaxors. In Handbook of Advanced Dielectric, Piezoelectric and Ferroelectric Materials; Elsevier: Amsterdam, The Netherlands, 2008; pp. 852–883. [Google Scholar]
- Wu, W.; Jiang, C.Z.; Roy, V.A.L. Designed synthesis and surface engineering strategies of magnetic iron oxide nanoparticles for biomedical applications. Nanoscale 2016, 8, 19421–19474. [Google Scholar] [CrossRef]
- Dimesso, L. Pechini Processes: An Alternate Approach of the Sol–Gel Method, Preparation, Properties, and Applications. Handb. Sol-Gel Sci. Technol. 2016, 1067–1088. [Google Scholar]
- Tsilomelekis, G.; Orella, M.J.; Lin, Z.; Cheng, Z.; Zheng, W.; Nikolakis, V.; Vlachos, D.G. Molecular Structure, Morphology and Growth Mechanisms and Rates of 5-Hydroxymethyl Furfural (HMF) Derived Humins. Green Chem. 2016, 18, 1983–1993. [Google Scholar] [CrossRef]
- Hao, H.; Shen, F.; Yang, J.; Qiu, M.; Guo, H.; Qi, X. Synthesis of Sulfonated Carbon from Discarded Masks for Effective Production of 5-Hydroxymethylfurfural. Catalysts 2022, 12, 1567. [Google Scholar] [CrossRef]
- dos Santos, T.V.; da Silva Avelino, D.O.; Pryston, D.B.A.; Meneghetti, M.R.; Meneghetti, S.M.P. Tin, Molybdenum and Tin-Molybdenum Oxides: Influence of Lewis and Bronsted Acid Sites on Xylose Conversion. Catal. Today 2022, 394–396, 125–132. [Google Scholar] [CrossRef]
- Stošić, D.; Bennici, S.; Rakić, V.; Auroux, A. CeO2–Nb2O5 mixed oxide catalysts: Preparation, characterization and catalytic activity in fructose dehydration reaction. Catal. Today 2012, 192, 160–168. [Google Scholar] [CrossRef]












| Code | Description |
|---|---|
| Sn(PPT) | Pure oxide obtained using the coprecipitation method |
| Nb(PPT) | |
| SnNb(PPT) | Mixed oxide obtained using the coprecipitation method |
| Sn(CTAB) | Pure oxide obtained using CTAB as the template method |
| Nb(CTAB) | |
| SnNb(CTAB) | Mixed oxide obtained using CTAB as the template method |
| Sn(GLY) | Pure oxide obtained using the Pechini method, using glycerol |
| Nb(GLY) | |
| SnNb(GLY) | Mixed oxide obtained using the Pechini method, using glycerol |
Disclaimer/Publisher’s Note: The statements, opinions and data contained in all publications are solely those of the individual author(s) and contributor(s) and not of MDPI and/or the editor(s). MDPI and/or the editor(s) disclaim responsibility for any injury to people or property resulting from any ideas, methods, instructions or products referred to in the content. |
© 2023 by the authors. Licensee MDPI, Basel, Switzerland. This article is an open access article distributed under the terms and conditions of the Creative Commons Attribution (CC BY) license (https://creativecommons.org/licenses/by/4.0/).
Share and Cite
Martins, T.V.d.S.; Pryston, D.B.d.A.; Meneghetti, S.M.P.; Meneghetti, M.R. Influence of Synthesis Methodology on the Properties and Catalytic Performance of Tin, Niobium, and Tin-Niobium Oxides in Fructose Conversion. Catalysts 2023, 13, 285. https://doi.org/10.3390/catal13020285
Martins TVdS, Pryston DBdA, Meneghetti SMP, Meneghetti MR. Influence of Synthesis Methodology on the Properties and Catalytic Performance of Tin, Niobium, and Tin-Niobium Oxides in Fructose Conversion. Catalysts. 2023; 13(2):285. https://doi.org/10.3390/catal13020285
Chicago/Turabian StyleMartins, Thatiane Veríssimo dos Santos, Dhara Beatriz de Amorim Pryston, Simoni Margareti Plentz Meneghetti, and Mario Roberto Meneghetti. 2023. "Influence of Synthesis Methodology on the Properties and Catalytic Performance of Tin, Niobium, and Tin-Niobium Oxides in Fructose Conversion" Catalysts 13, no. 2: 285. https://doi.org/10.3390/catal13020285
APA StyleMartins, T. V. d. S., Pryston, D. B. d. A., Meneghetti, S. M. P., & Meneghetti, M. R. (2023). Influence of Synthesis Methodology on the Properties and Catalytic Performance of Tin, Niobium, and Tin-Niobium Oxides in Fructose Conversion. Catalysts, 13(2), 285. https://doi.org/10.3390/catal13020285

