Abstract
This review summarizes developments in the synthesis and catalytic applications of those heterobimetallic carbene complexes in which at least two different metals are bound to the same ligand by at least one M-C(carbene) bond each. Several new synthetic methods for such complexes yielding well-defined and thoroughly characterized compounds are presented. The new complexes were found to be catalytically active in several (most often tandem) reactions. In certain cases, the incorporation of two different metals into the same imidazole- or triazol-based NHC-carbene complex resulted in the substantially higher catalytic activity of the heterobimetallic complex compared either to its homobimetallic analogs or to mixtures of comparable mononuclear complex fragments containing the two metals independently. This is a clear demonstration of advantageous metal–metal cooperation within the catalyst. Opposite examples are also discussed, where the heterobimetallic carbene complex proved inferior in relation to its homobimetallic analogs or to mixtures of homonuclear fragments.
1. Introduction
The art of the synthesis of metal-based heterogeneous catalysts is in finding the proper metal, additives, and support with the best match for the interaction of these components in order to obtain high activity, selectivity, and stability in a catalytic reaction. Catalysts containing two or more metallic components are widely applied, either as alloys supported on a seemingly inert solid carrier or as metals showing a strong interaction (SMSI) with a metal-containing support (e.g., suitable metal oxides [1]). The underlying interactions leading to the desired catalytic properties are scrutinized with much effort to find the perfect catalyst for a given process.
In contrast, soluble transition-metal-based catalysts applied in homogeneous solutions are, in most cases, monometallic complexes. This may originate from the fact that during the history of homogeneous catalysis by metal complexes in solution, sophisticated methods were developed for fine-tuning the electron density on the central metal ion and for shaping the three-dimensional structure of the complex as a whole to achieve the desired catalytic activity and selectivity. Obviously, what may be an optimal match for a certain metal ion and a set of ligands may not be optimal for a different metal ion with the same ligands. Furthermore, bimetallic complexes may not always show the hoped-for synergistic effect of the two metal ions. In addition, when two metal ions form a bimetallic complex, M1–D1~D2–M2, with a bidentate ligand, D1~D2, having two different donor sites (D1 and D2), a mixture of heterobimetallic and homobimetallic dinuclear complexes may form, or full disproportionation to M1–D1~D2–M1 and M2–D1~D2–M2 may even occur. In other cases, the structure of the di- or polydentate ligand may be so rigid that it prevents the direct interaction between the coordinated metal ions. In certain reactions, however, the central metal ion in the catalyst complex may coordinate to another metal fragment as one of the ligands. This is the case for [PtH(P2)(SnCl3−)]-catalyzed hydroformylation (P2 = a bisphosphine or two monophosphines), where the direct interaction between the two metals plays an important role in determining the catalytic properties [2,3,4].
The idea of taking advantage of the interaction between two different metal ions in the same complex for better catalytic performance has a long history. Obvious candidates for such catalysts were mixed-metal clusters with direct metal–metal bonds. Although several examples of synergism in catalysis by such mixed-metal clusters were discovered, the widespread application of such catalysts was hampered by their instability, resulting in the formation of several catalytically active fragments [5]. The application of catalysts in which the two different metal ions were bridged by heterodifunctional ligands proved more successful [6,7,8,9], especially with early/late heterobimetallic complexes [10]. It was recognized from the beginning of such studies that in bimetallic dinuclear complexes, the two metal ions may not only cooperate in the catalysis of a given reaction but also act independently, allowing consecutive catalytic transformations. For example, Pittman and Smith achieved the cyclooligomerization of butadiene, followed by the hydrogenation of the resulting cycloalkenes to cycloalkanes with a catalyst obtained by anchoring both [Ni(CO)2(PPh3)2] and [RhCl(PPh3)3] onto a phosphinated styrene–divinylbenzene resin (in other words, onto a solid macromolecular multidentate phosphine ligand) via phosphine exchange [11]. The same sequential reaction was also catalyzed by an assembly of [Ni(CO)2(PPh3)2] and [RuCl2(CO)2(PPh3)2] anchored onto the same phosphinated polymer. The polymer-anchored catalysts could be efficiently recovered by filtration, and the Ni/Rh catalyst retained its catalytic activity for the repeated sequential oligomerization/hydrogenation of butadiene. In contrast, the heterogenized Ni/Ru catalyst lost its activity as early as in the first run due to the decomposition of the anchored [Ni(CO)2(PPh3)2] complex under the harsh conditions required for the activation of [RuCl2(CO)2(PPh3)2] for the hydrogenation step [11]. This observation also demonstrated that for sequential reactions, the two metal-complex units (bridged by a multidentate ligand or fixed onto the same polymeric or solid support) must be sufficiently stable under the reaction conditions of both consecutive catalytic transformations.
For a long time, tertiary phosphine ligands played a central role in organometallic chemistry and catalysis. However, following the isolation of free N-heterocyclic carbenes [12], the introduction of N-heterocyclic carbene ligands (NHCs) [13] opened new possibilities for the synthesis and catalytic application of organotransition metal complexes [14,15]. Very often, NHCs form stronger bonds to metal ions than phosphines, which is an important requirement for catalyst stability. In addition, NHCs show unprecedented versatility in their composition, structure, and metal-binding properties. However, in comparison to tertiary phosphines, transition-metal complexes with N-heterocyclic ligands are still underrepresented in bimetallic catalysis.
In this short review, we survey the latest developments in the field with the aim of pointing out both the possibilities and difficulties of the synthesis of heterobimetallic NHC complexes and their use in catalysis. This work complements important earlier accounts [16,17,18,19]. In the selection of specific literature examples, we restricted our discussion to cases where at least two different transition-metal ions (M and M′) were bound in a complex with at least one metal–C (NHC carbene) bond each. The NHC ligands in these complexes were either monomeric compounds with at least two carbon atoms available for metal–C (NHC carbene) bond formation or dimeric (often bridged) or polymeric ligands with at least two different metal ions coordinated to carbene donor atoms in either chelate or bridging positions.
It is important to mention that in the studies cited in this review, the authors very thoroughly characterize all new compounds (first of all, the new heterobimetallic NHC complexes) with a plethora of relevant spectroscopic data, together with high-resolution mass spectrometry. Importantly, in many cases, it was possible to isolate good-quality crystals for X-ray diffraction measurements, which provided suitable data for the unambiguous determination of the solid-state structures of the new ligands (precursors) and complexes. To avoid excessive repetition, structural features are rarely touched on in this review, and interested readers are advised to consult the original publications.
2. Synthesis of Heterobimetallic Complexes of Bi- or Polydentate NHC Ligands
2.1. General Considerations
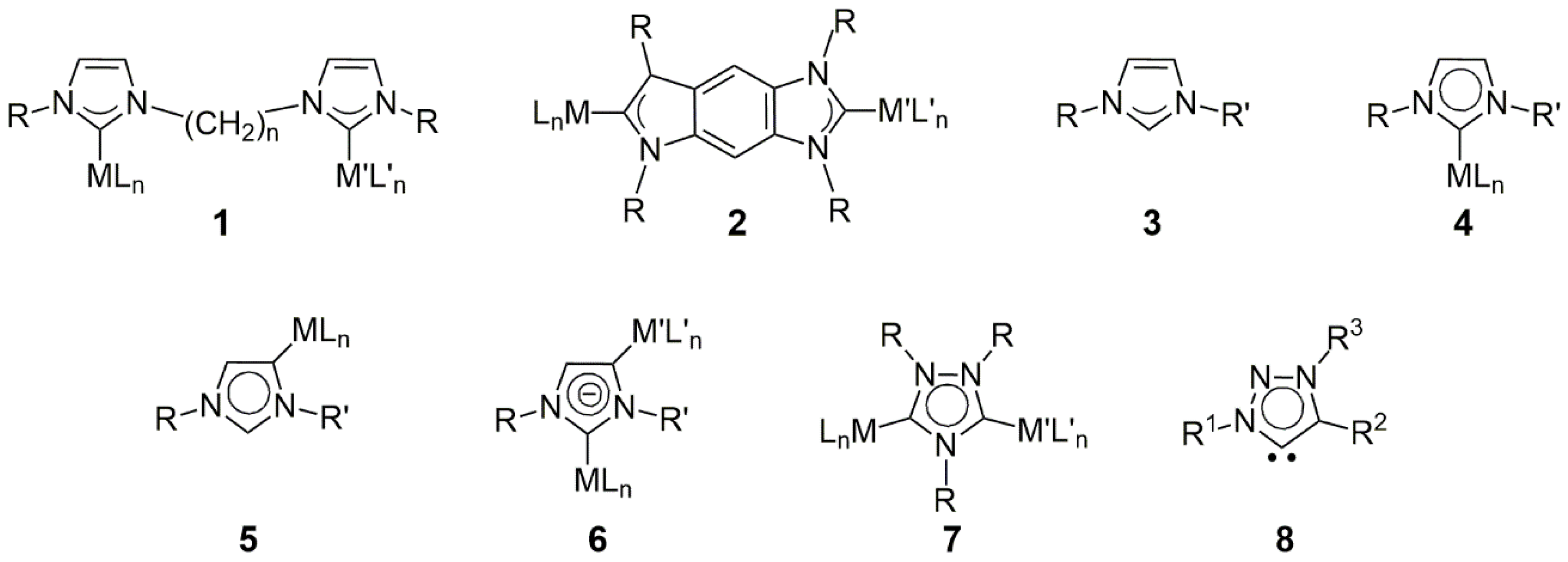
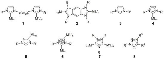
In principle, any bidentate or polydentate NHC ligand may be suitable for binding two different metal ions. However, the inherent difficulty of the synthesis is caused by the often very similar (or identical) chemical environments and, hence, equivalent coordination properties of the carbenic carbon atoms, such as those shown by the bridged di-NHC complexes 1 and 2 (Scheme 1). Note that 2 is a so-called Janus-type NHC complex, in which the interaction between the two metal ions is hindered by the rigid link between the two 1,3-imidazole-2-ylidene units. The sequential metalation of the carbene precursors with different metal ions may be aided by the coordination of other donor atoms in the molecule. The dissimilar reactivities of the metal complexes used for the introduction of M and M′, such as in metalation via deprotonation of N-CH-N or in the oxidative addition of N-C(X)-N (X = halide) to a low-valent metal ion, may also offer routes for the synthesis of heterobimetallic NHC complexes. Several ingenious processes have been developed for such syntheses, examples of which are shown in the following sections.
Scheme 1.
Examples of N-heterocyclic carbene ligands and their coordination possibilities in bimetallic complexes.
Before going into details, it is instructive to consider the coordination possibilities of N-heterocyclic carbenes. Upon deprotonation, 1,3-dialkylimidazolium salts (exemplified in Scheme 1 by 1,3-dimethylimidazolium chloride, 3) usually yield 1,3-dialkylimidazole-2-ylidenes (normal NHCs), which may coordinate to a metal ion through their C2 carbene atom (4, Scheme 1). In contrast, metal coordination on C4 (abnormal NHCs, 5, first observed by Crabtree and co-workers [20]) (Scheme 1) also happens frequently. (Since a free abnormal carbene cannot be described by a reasonable resonance form without additional charge, such compounds are often called mesoionic carbene—MIC—ligands.) The difference in the coordination properties of C2 and C4 may lead to the formation of heterobimetallic complexes (6, Scheme 1). In contrast, dicationic triazolium, e.g., 1,2,4-trimethyltriazolium salts, can be used as versatile precursors to ditopic carbene ligands and their complexes, exemplified by 7 (Scheme 1). Similarly, 1,2,3-triazoles (readily available through alkyne/azide cycloaddition reactions) afford various mesoionic carbene ligands, such as 8 (Scheme 1), for the synthesis of both mono- and heterobimetallic NHC complexes [18]. Similar to the case of imidazole-ylidenes, the precursors to triazole-derived carbenes can also be connected by suitable linker units, giving rise either to free polydentate (or even polymeric) carbene ligands or directly to their metal complexes.
2.2. Synthesis and Catalytic Application of Heterobimetallic NHC Complexes Containing Imidazolium-Derived Carbene Ligands
2.2.1. Unassisted Syntheses of Heterobimetallic NHC Complexes and Their Catalytic Properties
In this section, we review the synthetic methods of those NHC complexes in which—in most cases—the formation of the heterobimetallic compounds was not assisted by other interactions (e.g., cyclometalation) or coordination to other donor groups (anchors) of the ligand.
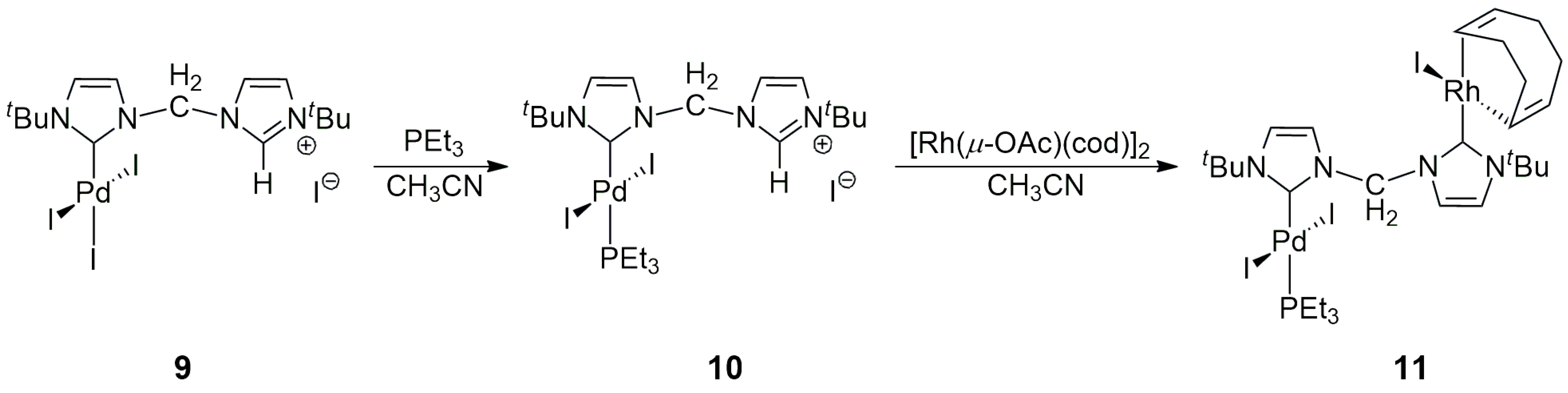
The simplest way to obtain a bis(imidazole-ylidene) carbene ligand precursor is to link two imidazolium units by a suitable alkyl, aryl, or other kind of bridge between the two unsubstituted nitrogens [21,22]. This technique was used by Cowie and co-workers for the synthesis of 11 (Scheme 2) [23]. One of the C2 carbenes was coordinated to Pd, while the remaining imidazolium moiety was metalated by [Rh(μ-OAc)(cod)]2 to yield the Pd/Rh heterobimetallic NHC complex 11 (the acetate served as an internal base). The cod ligand (1,5-cyclooctadiene) could be easily replaced by CO, affording the dicarbonyl product. The analogous Pd/Ir(cod), Pd/Ir(CO)2, and Ir/Rh complexes were also prepared and characterized. However, no catalysis by these heterobimetallic NHC complexes was reported.
Scheme 2.
Synthesis of the Pd/Rh heterobimetallic complex 10 containing a methylene-linked diimidazole-diylidene ligand.
Braunstein and co-workers reported the synthesis of the bis(N-ethylimidazolium) compound 12, where the two imidazolium units were attached to an m-xylyl linker (Scheme 3) [24]. The deprotonation of 12 under the effect of LiN(SiMe3)2 afforded the free dicarbene. Interestingly, the reaction of this dicarbene with [Ir(μ-Cl)(cod)]2 did not lead to the formation of a chelate Ir complex; instead, the reaction gave either the classical mono- or bis-carbene Ir-NHC complexes. This observation opened the way for sequential metalation, in which the free dicarbene was first reacted with [Ir(μ-Cl)(cod)]2 with the formation of 12, followed by another metalation step using [Rh(μ-Cl)(cod)]2, which led to the heterobimetallic product 13. The new NHC complexes were not applied as catalysts.
Scheme 3.
Synthesis of the Ir/Rh heterobimetallic complex 13 containing a diimidazole-diylidene ligand with a m-xylyl linker.
Teng and Vinh Huyn prepared a bis(carbene) precursor that contained an N,N,N-pincer linker between two alkylbenzimidazolium moieties [25]. Capitalizing on the ‘borderline’ hard/soft coordination properties of Pd(II), they synthesized 14, in which the palladium ion is coordinated only by hard donor atoms (Scheme 4). In reaction with a half equivalent of Ag2O, chloride abstraction from Pd led to 15. In addition to the three pincer N donor atoms, in this complex, Pd is also bound to a benzimidazole-ylidene unit, while the molecule still contains a non-metalated benzimidazolium part. The metalation of the latter with the use of Ag2O and [AuCl(THT)] (THT = tetrahydrothiophene) afforded the heterobimetallic Pd/Au complex 16. The analogous Pd/Pd complex was also prepared. Although the potential use of this ligand for the preparation of cooperative heterobimetallic bis(NHC)-complex catalysts was mentioned, no such experiments were described in the paper.
Scheme 4.
Synthesis of the Pd/Au heterobimetallic complex 16 based on the borderline soft/hard coordination ability of Palladium.
A mixed imidazolium/benzimidazolium bis(carbene) precursor, 17 (Scheme 5), was synthesized by Hahn, Peris, and co-workers [26]. The reaction of this compound with 1 equiv [IrCl2(Cp*)]2 (Cp* = pentamethylcyclopentadienyl anion) in the presence of NaOAc as a base led to the formation of a mixture of monometallic iridium complexes. However, under similar conditions, [RhCl2(Cp*)]2 selectively yielded 18, in which Rh binds to the C2 carbenic carbon of the imidazole moiety and simultaneously orthometalates the phenyl ring of the benzimidazolium unit (Scheme 5). The formation of such a metallacycle contributes to the selective formation of the imidazol-2-ylidene type complex, while the benzimidazolium part remains available for further reactions. Indeed, the benzimidazole-ylidene complexes Rh/Pd (19), Rh/Ir (20), Rh/Au (21), and Rh/Ru (22) were prepared from 18 with the use of the Ag2O-based method of synthesis. For a comparison of catalytic purposes, several other heterobimetallic complexes and their monometallic fragments (23–28) were synthesized (Scheme 5).
Scheme 5.
Synthesis of various heterobimetallic complexes 19–24 and their analogous monometallic molecular fragments prepared for comparison of catalytic activities.
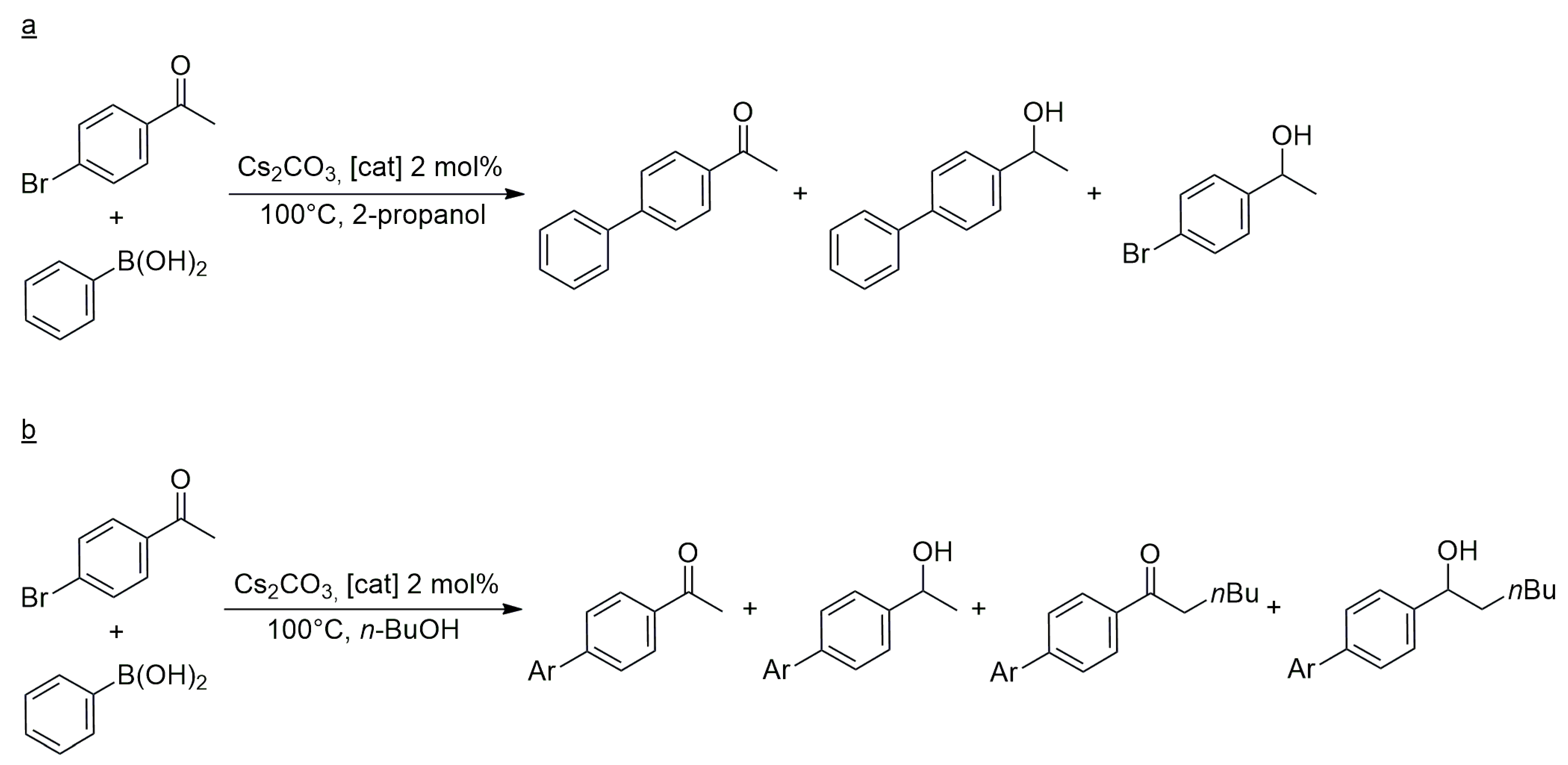
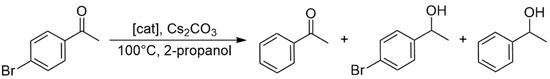
The catalytic properties of the new heterobimetallic NHC complexes were examined in two reactions. First, the tandem Suzuki–Miyaura C–C coupling/transfer hydrogenation of 4-bromoacetophenone was studied with phenylboronic acid as a coupling partner and 2-propanol as a hydrogen donor and solvent (Scheme 6). At a temperature of 100 °C, and with Cs2CO3 as a base, the catalytic reactions proceeded with 99% conversion and afforded only the coupled product (4-phenylacetophenone) and its hydrogenated derivative 1-(4-biphenyl)ethanol. The reaction in the absence of a metal catalyst yielded 54% 4-Br-phenylethanol, but no debromination of the latter to 1-phenylethanol was observed. Concerning the relative activities of heterobimetallic NHC complexes, 19 (Rh/Pd) actively catalyzed the C–C coupling of 4-bromoacetophenone with phenylboronic acid, but its activity in the further transfer hydrogenation of the resulting biphenyl-methylketone was lower than that of 23 and 24. The latter two catalysts provided 82% and 84% yields of 1-(4-biphenyl)ethanol, respectively, in contrast to 19, which afforded only 53% (all yields at 99% total conversion of 4-bromoacetophenone). On the basis of kinetic measurements, the reaction could be regarded as a conventional consecutive reaction in which the first intermediate, the product of C–C coupling, accumulated up to 85% before further hydrogenation by H-transfer from 2-propanol. This behavior shows that the Pd-catalyzed C–C coupling proceeds faster than the Rh-catalyzed transfer hydrogenation. Nevertheless, cooperation between the two metals in the heterobimetallic complexes cannot be excluded since, in certain cases, the reactions proceeded faster with heterobimetallic catalysts, e.g., 23 and 24, than with equimolar mixtures of the monomeric ‘fragments’, such as (25 + 28), and (26 + 28).
Scheme 6.
Tandem Suzuki-Miyaura C-C coupling/transfer hydrogenation of 4-bromoacetophenone in 2-propanol (a) and in n-butanol (b).
With the same catalyst, 4-bromoacetophenone was coupled to phenylboronic acid in n-butyl alcohol, in which case, the product mixture contained α-n-butylated products, too (Scheme 6) [26]. Catalysts 23 and 24 were found more effective for α-n-butylation than mixtures of (25 + 27) and (26 + 27). Again, the time-dependent reaction profile showed a typical consecutive reaction. The higher activity of heterobimetallic complexes relative to the monomeric analogs suggested some additivity or cooperativity between the two metal ions in the catalyst complexes; however, the mechanism of such cooperations was not established.
In a related study, Nishad, Kumar, and Rit [27] found that reaction of 29 and 0.5 equiv [IrCl2(Cp*)]2 afforded selectively the monometallic Ir-carbene complex 30, with a pendent N-ethylimidazolium unit. Further metalations with Pd(OAc)2 or Ag2O/Au(THT) yielded the bimetallic complexes 31 (Ir/Pd) and 32 (Ir/Au), respectively. For comparison, the analogous Pd/Pd homobimetallic complex 33 was also prepared (Scheme 7).
Scheme 7.
Synthesis of various heterobimetallic complexes 30–33, capitalizing on the different reactivities of the two pro-carbene C atoms in the imidazolium and benzimidazolium parts of 29.
Complexes 31 (Ir/Pd) and 33 (Pd/Pd) were used as catalysts in the tandem Suzuki–Miyaura coupling of 4-bromoacetophenone with phenylboronic acid, followed by transfer hydrogenation with the use of 2-propanol and KOtBu (OtBu = tert-butylate) (Scheme 6a). Under optimal conditions (1 mol% catalyst, 100 °C, 12 h, 2-propanol as solvent) the Ir/Pd catalyst (31) led to the formation of the C–C-coupled and hydrogenated product with an 87% yield. Under the same conditions, catalysis by 33 (Pd/Pd) yielded only 61% 1-(4-biphenyl)ethanol, accompanied by 27% 1-phenylethanol arising from the debromination and transfer hydrogenation of 4-bromoacetophenone. These results suggested that there was some cooperation between the metals in the heterobimetallic catalyst, leading to higher activity in the case of the Ir/Pd catalyst over the Pd/Pd complex. Interestingly, under similar experimental conditions to the above, 31 also showed high catalytic activity in the tandem defluorination/transfer hydrogenation of mixed (4-fluorophenyl)-alkyl- or arylketones, in which it led to the formation of the defluorinated products in 80%, 97%, and 96% (alkyl = methyl, ethyl; aryl = phenyl, respectively). In these reactions, too, 2-propanol served both as a hydrogen donor and solvent.
Hahn, Peris, and co-workers applied the 1,4-phenylene-bridged (34) and the 1,3-phenylene-bridged (35) N-methylimidazolium iodides to the synthesis of heterobimetallic Rh/Au (36, 37) and Ir/Au (38, 39) complexes (Scheme 8) [28]. In the first step of sequential metalation, 34 and 35 reacted with either [RhCl2(Cp*)]2 or [IrCl2(Cp*)]2, yielding the corresponding cyclometalated Rh/NHC or Ir/NHC intermediates, respectively. Next, these intermediates were treated with Ag2O/Au(THT), affording the desired heterobimetallic Rh/Au (36, 38) and Ir/Au (37, 39) products. Overall yields were in the 21–56% range.
Scheme 8.
Cyclometalation-assisted synthesis of the Rh/Au (36, 37) and Ir/Au (38, 39) heterobimetallic complexes containing 1,4-phenylene or 1,3-phenylene bridges between the two imidazolium units in 34 and 35.
The catalysts were tested in the tandem condensation of nitrobenzene with benzyl alcohol and imine reduction (Scheme 8) with a 0.5% catalyst loading and Cs2CO3 as a base at 100 °C for 22 h in benzyl alcohol as the solvent. With the exception of 38, all other new heterobimetallic NHC-complex catalysts led to 100% conversion, which was higher than the conversions generally obtained with equimolar mixtures of analogous monometallic ‘fragments’. The highest imine yield (62%) was obtained with catalyst 36 (Rh/Au) with only 13% secondary amine (the hydrogenated product). It could be concluded that the cooperation of the two metal ions in the heterobimetallic complexes with meta-bis-NHC ligands was stronger than in those with para-bis-NHC ligands, which was demonstrated by the highest activity of 39 for amine formation (82%).
Gonell, Poyatos, Mata, and Peris synthesized a Y-shaped tris-N-heterocyclic carbene ligand precursor and applied it to the synthesis of Rh-, Ir-, and Pd-based homo- and heterobimetallic complexes 40, 41, 42, and 43 by sequential metalation with the use of [RhCl(cod)]2, [IrCl(cod)]2, or Pd(OAc)2 (Scheme 9) [29]. It was found that this Y-shaped ligand reacted with the first equivalent of the metal compounds with the formation of chelate bis-NHC complexes, which—upon the addition of the next equivalent of metal compounds—could bind another metal ion on the C2 carbene atom of their third imidazolium group. The order of addition of the metal precursor to the ligand determined which metal ion was coordinated in a chelate or monodentate fashion (see 40 vs. 41). Interestingly, despite the use of [RhCl(cod)]2 for the preparation of 43 in the presence of NaOAc, the chelated rhodium was always in the Rh(III) oxidation state. The solid-state structures of 40 and 43 were determined by X-ray diffraction, which showed a through-space Ir-Pd distance of 6.76 Å in 40 and a Rh(I)-Rh(III) distance of 7.003 Å in 43. For comparison purposes, the homobimetallic compound 44 (Pd/Pd) was also prepared.
Scheme 9.
Synthesis of the Pd/Ir (40, 41) and Ir/Rh (42, 43) heterobimetallic complexes via sequential metalation of a Y-shaped tris-N-hetrocyclic carbene ligand precursor.
In the tandem dehalogenation/transfer hydrogenation of 4-bromoacetophenone (Scheme 10), the Ir(chelate)/Pd(monodentate) catalyst 41 yielded 1-phenylethanol in close to quantitative yield (1–2% catalyst loading, 100 °C, 20–48 h, 2-propanol as a solvent and H-donor). In contrast, Ir(monodentate)/Pd(chelate) 40 was much less active in transfer hydrogenation and, under the same conditions, led to the formation of acetophenone in 52–89% yields. A 1:1 mixture of related (albeit not strictly analogous) binuclear Ir/Ir and Pd/Pd complexes catalyzed the dehalogenation step efficiently; however, the transfer hydrogenation proceeded only to 25%. As expected, 41 was also an effective catalyst for the tandem Suzuki–Miyaura coupling/transfer hydrogenation of 4-bromoacetophenone with phenylboronic acid (Scheme 6), in which the ratio of the biphenyl methyl ketone and 1-(4-biphenyl)ethanol products strongly varied with the reaction time (from 82% to 16% and from 0% to 69%, respectively, in the 0.5–20 h range of reaction time). It could be concluded that there was substantial catalytic cooperation between the two metal ions; still, Pd was mainly responsible for dehalogenation, while Ir was necessary for the effective catalysis of transfer hydrogenation.
Scheme 10.
Transfer hydrogenation of 4-bromoacetophenone in 2-propanol catalyzed by 40 and 41.
It was also demonstrated that 40 and 41 were very active catalysts for the cyclization of 2-(ortho-)aminophenyl ethyl alcohol to indole (GC yields > 99%) in toluene at 110 °C for 2 h. Similarly, the same complexes catalyzed the acylation of bromobenzene with n-hexanal, resulting in its full conversion to butyl phenyl ketone at 115 °C in DMF for 16 h. However, the details of these reactions were not reported.
Hemmert, Gornitzka, and co-workers were interested in the effect of a Au-NHC unit on the photophysical properties of [Ru(bipy)3]2+ (bipy = 2,2′-bipyridine) within the same heterobimetallic complex [30]. Conversely, they also wished to reveal the effect of the [Ru(bipy)3]2+ part of the molecule on the cytotoxic, antileishmanial, and antimalarial activities of the Au-NHC moiety. For this purpose, a 2,2′-bipyridine unit was attached via a methylene linker to methyl-, n-butyl-, and benzylimidazole in the reaction of the azole with 5-(bromomethyl)-2,2′-bipyridine. In the reaction of [RuCl2(bipy)2] with the functionalized azolium salt, an octahedral Ru(II) complex was formed with three bipy ligands, one of which carried a pendant azolium group. With the treatment of this intermediate with Ag2O and then with AuCl(SMe2), heterobimetallic Ru-bipy/Au-NHC complexes 45 and 46 were obtained, differing only in the substituent of the NHC-carbene part (Scheme 11). The main conclusion of this study was that the photophysical properties of the Au/Ru heterobimetallic complexes were very similar to those of [Ru(bipy)3]2+ and that without Ru(II) coordination, the compounds showed low biological activity in comparison to the Au(I) complex. In line with the original purpose of the studies, no catalysis by compounds 45 and 46 was reported.
Scheme 11.
Synthesis of the heterobimetallic complexes 45 and 46 used in photophysical and in biological studies.
In a related study [31], Gonell, Poyatos, and Peris synthesized an Au/Pt heterobimetallic NHC complex based on the Y-shaped tris-NHC ligand precursor developed by them earlier [29]. In the first step, the ligand precursor tris-azolium salt was reacted with the bis(alkynyl) complex [Pt(CCPh2)(cod)]. This reaction resulted in complex 47, which contained the Pt(CCPh)2 moiety in chelate coordination. The reaction of this compound with a pincer-type (CNC)Au(I)Cl complex in the presence of NaOAc in acetonitrile led to the desired heterobimetallic Au/Pt product 48 (Scheme 12). In addition to NMR spectroscopy and HR mass spectrometry, 48 was characterized by UV-Vis absorption and emission spectroscopy, as well as by cyclic voltammetry and differential pulse voltammetry. Both 47 and 48 were found emissive in the solid state but non-emissive in solution. It could also be concluded that the emission was centered on the Pt(II) fragment.
Scheme 12.
Synthesis of the Pt/Au heterobimetallic NHC complex 48 used in photophysical studies.
Barnard and co-workers planned to prepare heterobimetallic complexes based on the pro-ligand 49 [32]. However, treatment of this ligand with 0.5 equiv of AuCl(THT) in the presence of a weak base such as NaOAc produced only a homobimetallic Au(I) complex, together with unreacted 49 and other unidentified products. A postmetalation ligand synthesis was developed, according to which the second imidazolium moiety was synthesized only after the initial metalation step with AuCl(THT). The ethylation of 50 with Et3OBF4 in CH3CN led to complex 51, in which the second imidazolium was metalated to yield the corresponding Au/M complexes (52), where M = Cu+, Ag+, or Hg2+ (Scheme 13). Although the complexes 52 were emissive in the solid state, they were not luminescent in solutions. Nevertheless, according to the solid-state structures (X-ray), all heterobimetallic complexes support heterometallophilic interactions, and their structures may give further insight into the luminescent properties of such heterobimetallic compounds.
Scheme 13.
Synthesis of the heterobimetallic NHC complex series 51 (M = Cu+, Ag+ or Hg2+) used for studies of luminescent properties of the complexes.
A different postmetalation synthetic method was developed by Hahn, Jin, and co-workers for the preparation of multidentate NHC complexes [33]. The Ir- or Rh-containing bis-NHC complexes 53 and 54, which contained a protic NHC ligand unit, were reacted with trans-1,4-dibromo-2-butene or with 1,4-bis(dibromomethyl)benzene, leading to the N-alkylated (benzylated) derivatives with pendant bromomethyl groups. The further reaction of these intermediates with 53 or 54 gave tetrakis-NHC complexes, of which 55 is an Ir/Rh heterobimetallic NHC compound (Scheme 14). In addition to characterization by NMR and HRMS, the solid-state structure of 55 was determined by X-ray crystallography. However, no catalysis was reported for this new heterobimetallic complex. When 53 reacted with 1,3,5-tris(bromomethyl)benzene instead of 1,4-bis(bromomethyl)benzene, the same synthetic strategy led to the homometallic hexakis-NHC iridium complex 56 (Scheme 14).
Scheme 14.
Synthesis of the Ir/Rh heterobimetallic complex 55.
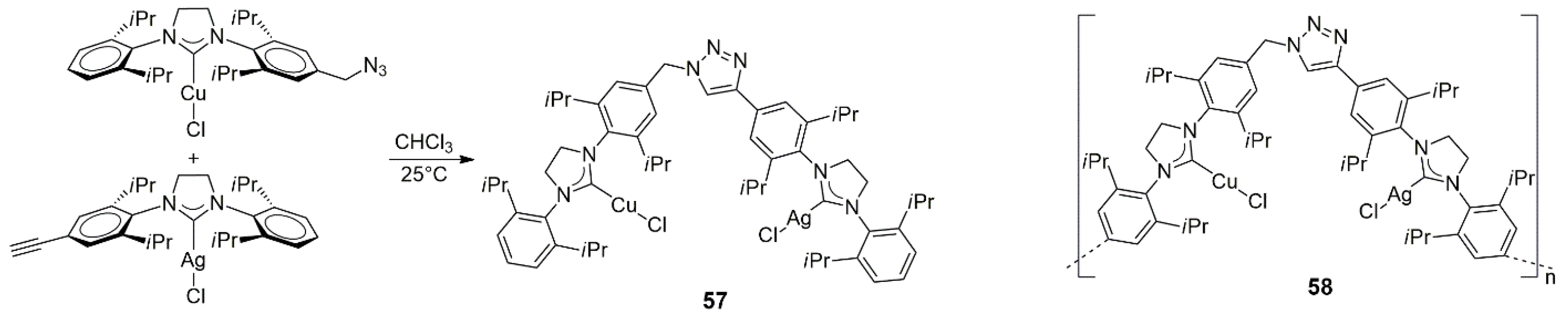
Hahn, Li, and co-workers reported a general strategy for the synthesis of oligomeric or polymeric NHC complexes having strictly pre-determined positions of the NHC units and metal ions [34]. The strategy is based on the click reaction of suitable monomeric NHC–metal complexes (secondary building units or SBUs) having p-azidophenyl and p-ethynylphenyl NHC wingtips (Scheme 15). The azide group could be directly attached to the aromatic ring or via a flexible methylene linker. The reaction of the azide-containing SBUs with phenylethynyl-substituted NHC complexes resulted in the formation of polymers with alternating metal–NHC units joined together by 1,2,3-triazole (or the more flexible methylene-triazole) linkers along the polymeric chain. In cases when one of the SBUs was an azide-modified copper complex, the click reaction proceeded rapidly without an external catalyst and, depending on the combination and molar ratios of the SBUs, resulted in heterodimetallic dimers, trimers, or polymers (only the Cu/Ag bis-NHC complex 57 and the −[Cu~Ag]n− polymer 58 are shown in Scheme 15). The Cu/Ag derivatives could be further transmetalated in reaction with, e.g., allylpalladium(II) chloride dimer [PdCl(allyl)]2 to yield analogous Cu/Pd polymers.
Scheme 15.
General method for synthesis of dimeric (57), oligo- or polymeric (58) heterobimetallic NHC complexes based on the alkyne-azide click reaction.
The Cu/Ag heterobimetallic bis-NHC complex 57 and the corresponding polymer 58 were studied in the catalytic alkynylation of 2,2,2-trifluoro-1-phenylethanone with various terminal alkynes (Scheme 16). Detailed measurements with phenylacetylene as a model substrate showed that both 57 and 58 exhibited high catalytic activity, leading to 96 and 95% yields of the fluorinated propargylic alcohol at a catalyst loading as low as 0.5 mol%. (For solubility reasons, 57 was used in THF, while 58 was in DMF.) Control experiments with a Cu/Ag polymer with a rigid triazol linker showed diminished catalytic activity (67% yield) compared to that of 58 (99% yield), pointing to the importance of the flexibility of the polymer chain. Importantly, a 1:1 mixture of [CuCl(SIiPr)] (SIiPr = 1,3-bis(2,6-isopropylphenyl)imidazoline-2-ylidene) and [AgCl(SIiPr)] (mononuclear analogs of the NHC complex units in 57 and 58) also showed much inferior activity (65% in THF and 39% in DMF). The latter observation strongly supports the assumption that there is cooperativity between Cu(I) and Ag(I) in the catalysis of this reaction, which also requires the flexibility of the polymer. Other terminal alkynes also reacted smoothly with 57 and 58 as the catalysts.
Scheme 16.
Alkynylation of 2,2,2-trifluoro-1-phenylethanone with phenylacetylene catalyzed by 57 and 58.
Anionic N-heterocyclic dicarbenes are mostly used as bridging ligands between two main-group elements. In a recent paper, Hevia et al. described the magnesiation of the common NHC-carbene IPr (1,3-bis(2,6-isopropylphenyl)imidazole-2-ylidene) [35]. The reaction of IPr and NaR (R = CH2SiMe3) in hexane yielded a polymeric anionic sodium–NHC intermediate, which could be further metalated with the use of MgR2 in THF to yield the heterobimetallic product 59. In this complex, magnesium was coordinated to the abnormal C4 carbene position of IPr (Scheme 17). The reaction of 59 and AuCl(SMe2) in toluene at −70 °C resulted in the novel Mg/Au heterobimetallic complex 60. In this compound, magnesium retained its C4 coordination; however, one of the CH2SiMe3 groups was transferred from Mg to Au, while the coordination sphere of Mg was filled with an additional THF molecule originally bound to Na in 59. The reaction is accompanied by the formation of NaCl, the toluene-insolubility of which also drives the process toward the formation of 60 by creating a coordination vacancy at C2 (Scheme 17). This study opened new pathways for the synthesis of anionic and abnormal Mg-NHC complexes and their application in transmetalation reactions, leading to new heterobimetallic Mg/Au complexes. No catalysis by the new compounds was reported.
Scheme 17.
Synthesis of the Mg/Na (59) and Mg/Au (60) heterobimetallic NHC complexes featuring normal and abnormal coordination of the two metals to the same imidazolium diylidene ligand.
2.2.2. Cyclometalation-Assisted Synthesis of Heterobimetallic NHC Complexes and Their Catalytic Properties
In addition to the formation of NHC complexes through metal–carbene coordination, product stability is often increased by the orthometalation of a suitable aryl substituent attached to an imidazolium nitrogen. Such a case was revealed by Maity, Hahn, and co-workers [36] in the reaction of 1,4-bis(3-ethyl-1-imidazolium)benzene 61, originally synthesized by You et al. [37] and later by the Hahn group via a modified procedure [38]. As shown in Scheme 18, the reaction of 61 with [IrCl2(Cp*)]2 yielded 62, which afforded the heterobimetallic 63 upon further metalation with [RhCl2(Cp*)]2 (both reactions took place in acetonitrile solution in the presence of Cs2CO3 and NaOAc). Both Ir(III) and Rh(III) cyclometalated the 1,4-phenylene linker between the NHC units. Orthometalation in 62 and double orthometalation in 63 were established by 2D NMR spectroscopy. Furthermore, the determination of the solid-state structure of 62 unambiguously confirmed this structural feature. The catalytic properties of 62 and 63 were not investigated.
Scheme 18.
Cyclometalation-assisted formation of the Ir/Rh complex 63 with a 1,4-phenylene-bridged di-NHC ligand.
In a related study, Maity and co-workers synthesized 1,4-bis(3-methyl-1-imidazolium)-2,3-dimethyl-benzene 64 (Scheme 19) [39]. Although 64 is very similar to the previously mentioned ligand 61, the two methyl substituents on the 1,4-phenylene linker prevented the double orthometalation of the bridging phenylene moiety. In contrast, the reaction of 64 with [IrCl2(Cp*)]2 in acetonitrile afforded a monometallic cyclometalated Ir(III) NHC complex, which could be further metalated on the second NHC carbene with PdCl2 in pyridine. The overall reaction yielded the PEPPSI-type Ir/Pd bimetallic bis-NHC complex 65. An X-ray diffraction study of 65 revealed a 6.14 Å distance between the two metal centers in the solid-state structure. The similar reaction of 64 with PdCl2/pyridine led to the formation of the analogous Pd/Pd complex 66 (no cyclometalation in this case).
Scheme 19.
Cyclometalation-assisted synthesis of the Pd/Ir complex 65 prepared with the use of the carbene ligand precursor 64.
The catalytic activity of the Ir/Pd heterobimetallic bis-NHC complex 65 was studied in the α-arylation of oxindole in toluene solutions (Scheme 20). In comparison to the homometallic counterpart 66, the heterobimetallic complex 65 showed slightly higher activities both with bromobenzene (32% vs. 26% isolated yields) and with 2-bromotoluene (53% vs. 41% isolated yields). Similarly, in the Suzuki–Miyaura cross-coupling of 4-bromobenzaldehyde and phenylboronic acid, 65 and 66 showed comparable activities (99% vs. 83% conversions in 5 h). Under the same conditions, with 4-toluylboronic acid, the yield of the coupled product was 99% with both catalysts. Note that these reactions were carried out with water as a solvent. Conversely, when the solvent was changed for 2-propanol/THF and KOtBu was added as a base, tandem Suzuki–Miyaura coupling/transfer hydrogenation took place both with 4-bromobenzaldehyde and 4-bromoacetophenone as substrates. In these reactions, 65 was consistently more efficient, with yields up to 85%, than a 1:1 mixture of its mononuclear Pd(II) and Ir(III) counterparts (highest yield of 41%). It was concluded that the outstanding activity of the Ir/Pd heterobimetallic bis-NHC complex in the tandem C–C cross-coupling/transfer hydrogenation reaction was most probably due to the interaction between the Ir and Pd centers in the molecule.
Scheme 20.
α-Arylation of oxindole with bromoarenes catalyzed by 65 and 66.
In continuation of their work described in [39], following the same synthetic strategy, Majumder, Maity, et al. applied ligand 64 to the synthesis of the Rh/Pd analog 67 of the Ir/Pd complex 65 [40]. Similar to 65, 67 also showed orthometalation (this time with the formation of a rhodacycle), contributing to the complex’s stability (Scheme 21). Analogous complexes with 4-methoxypyridine and 4-chloropyridine were also obtained and thoroughly characterized by NMR and HRMS methods and, in several cases, by X-ray diffraction measurements. The catalysis of the tandem Suzuki–Miyaura cross-coupling/transfer hydrogenation of 4-bromobenzaldehyde with phenylboronic acid in 2-propanol/THF with KOtBu as a base was attempted (Scheme 6). With the Rh/Pd heterobimetallic bis-NHC complex, 67 showed only negligible activity (6% isolated yield of 1-(4-biphenyl)ethanol at 90 °C, 2 h).
Scheme 21.
Synthesis of the heterobimetallc Pd/Rh complex 64.
The heterobimetallic tris-NHC complexes 68 (Rh/Pd) and 69 (IrPd) were obtained by the Hahn group with the selective stepwise metalation of the non-symmetric 1,2,4-tris(imidazolium)-substituted tris-NHC ligand precursor 70 [41]. In the reaction of 70 and Pd(OAc)2 in DMF, a mononuclear chelate bis-NHC compound was formed, which could be further metalated (CH3CN, Cs2CO3) with the use of [RhCl2(Cp*)]2 or [IrCl2(Cp*)]2 to yield 68 or 69, respectively. It was also discovered that the same heterobimetallic complexes could be obtained in a one-step reaction of 70 by employing Pd(OAc)2 together with [RhCl2(Cp*)]2 or [IrCl2(Cp*)]2, this time in the presence of NaOAc instead of Cs2CO3 (Scheme 22). Pd was always coordinated in a chelate fashion, while Rh or Ir was coordinated by a single NHC donor and orthometalated the phenyl ring. Thorough NMR and HRMS characterizations were supplemented by X-ray diffraction measurements, which showed an Ir-Pd through-space distance of 7.240 Å in 69. Although this metal–metal distance is rather large for cooperative catalysis, this work exemplifies the simple access to heterobimetallic complexes, which may be useful in organic transformations. However, no attempt was made to reveal the catalytic properties of 68 and 69.
Scheme 22.
Cyclometalation-assisted formation of (a) Pd/Rh (68), Pd/Ir (69) heterobimetallic, and (b) Ir/Rh2 (73), and Au/Rh2 (74) heterotrimetallic NHC complexes from tris-imidazolium carbene precursors.
Maity, Schulte to Brinke, and Hahn investigated the complexation properties of a symmetric tris-NHC ligand, which was obtained from the 1,3,5-trisimidazolium salt 71 (Scheme 22) [42]. The reaction of this precursor with [RhCl2(Cp*)]2 in MeCN at 65 °C in the presence of Cs2CO3 and NaBr resulted in complex 72, which contained two rhodacycles and one uncomplexed imidazolium unit. The further metalation of 72 was achieved with [IrCl2(Cp*)]2 or [AuCl(SMe)2] (in both cases via the Ag2O route) to yield Rh/Ir (73) or Rh/Au (74) heterobimetallic tris-NHC complexes, respectively. It is of interest that 73 is a triply orthometalated heterotrimetallic complex with three five-membered metalacycles fused to the central phenyl ring. From detailed NMR measurements, it was concluded that the metalation of the third imidazolium moiety did not affect the other two metals and that all metals behaved as independent electronic centers. No catalytic studies with the new heterobimetallic NHC complexes were reported.
2.2.3. Oxidative Addition Reactions in the Synthesis of Heterobimetallic NHC Complexes
The oxidative addition of a carbon–halogen bond of a suitable halogen-substituted N-heterocyclic compound onto a low-valent metal complex may yield N-heterocyclic carbene complexes. This possibility was extensively studied by the Hahn research group with the aim of developing versatile methods for the synthesis of heterobimetallic NHC complexes. Accordingly, the research described below did not include catalytic applications of the heterobimetallic products.
The m-xylyl-bridged imidazolium/chlorobenzimidazole ligand precursor 75 gave the imidazolylidene–Au complex 76, in which the chlorobenzimidazole moiety remained available for metalation by oxidative addition to [Pd(PPh3)4] [43]. The Pd/Au heterobimetallic product 77 could be isolated both as the chloride (29%) and as the PF6 salt (56%). An alternative pathway for the synthesis of 77 included the formation of the gold complex of imidazolium-2-ylidene in the first step, followed by the oxidative addition of the C-Cl bond to [Pd(PPh3)4]. This example clearly shows the possibility of sequential site-selective metalation due to the different reactivities of the N-CH-N and N-C(Cl)-N groups (Scheme 23).
Scheme 23.
Synthesis of the Au/Pd2 heterotrimetallic complex 77 via oxidative addition of C-Cl across Pd(0) in [Pd(PPh3)4].
Regioselectivity in double oxidative addition reactions of bis-NHC precursors also resulted in heterobimetallic bis-NHC complexes [44]. In the reaction of the 4,4′-p-biphenylene-bridged chlorobenzimidazole/ethylchlorobenzimidazolium compound 78 with one equivalent of [Pd(PPh3)4], the monopalladium NHC complex 79 was formed selectively in the oxidative addition reaction of the 1,3-dialkyl-2-chlorobenzimidazolium moiety (3 h, 75 °C, THF). In a slower reaction (18 h, 100 °C), [Pt(PPh3)4] underwent oxidative addition at the non-alkylated benzimidazole part, yielding the bimetallic Pd/Pt complex 80 in a 24% yield (Scheme 24). The analogous Pd/Pd bis-NHC complex could be obtained in the reaction of 78 with [Pd(PPh3)4] under somewhat milder conditions (18 h, 75 °C) in a 65% yield, showing the higher reactivity of Pd(0) compared to Pt(0) in oxidative additions.
Scheme 24.
Regioselectivity of oxidative addition of C-Cl in 78 across Pd (0) in [Pd(PPh3)4] and Pt(0) in[Pt(PPh3)4], respectively.
The doubly chlorosubstituted bis-NHC precursor 78 served as the starting material for mono- and heterobimetallic NHC complexes via another synthetic route, too [45]. Although, in general, electron-rich tertiary phosphines are known to dehalogenate chloroimidazolium salts, the sterically encumbered tris(1,3-tert-butylimidazolidin-2-ylidenamino)phosphine (Scheme 25) was found to be particularly useful for the selective removal of chloride from 2-chloroazolium salts. Consequently, it was possible to react the linked 2-chlorobenzimidazole/2-chloro-3-ethylbenzimidazolium salt first with the mentioned phosphine, resulting in the exclusive metalation of the N-ethyl-benzimidazolium part, and then to perform oxidative addition at the chlorobenzimidazole end (Scheme 25). This strategy led to the isolation of an Ir/Pd heterobimetallic complex, 81, but it has more general utility for obtaining mixed-metal NHC complexes.
Scheme 25.
Synthesis of the Pd/Ir heterobimetallic NHC complex 81 via selective sequential reactions of C-Cl moieties in 78, assisted by tris(1,3-tert-butilimidazolidin-2-ylideneamino)phosphine.
In the bis-NHC precursor 82, an N-ethylimidazolium group and an 8-iodotheophylline unit were joined by an m-xylyl linker. This NHC precursor was cleanly monometalated at the imidazolium part with [IrCl2(Cp*)]2, and the resulting cyclometalated Ir(III) complex 83 was transformed into the Ir/Pd heterobimetallic bis-NHC product 84 under mild conditions (25 °C, in 1 day) (Scheme 26). The Ru/Pd heterobimetallic compound 85 was similarly obtained by the metalation of the imidazolium part of the propyl-bridged precursor with Ag2O/[RuCl2(η6-p-cymene)]2 (p-cymene = 4-isopropyltoluene), followed by the oxidative addition of C(8)-I in the 8-iodotheophylline unit to [Pd(PPh3)4] (Scheme 26) [46]. The coordinated carbonato ligand was formed by the oxidation of the CH2Cl2 solvent in the presence of silver salts.
Scheme 26.
Synthesis of the Pd/Ir heterobimetallic NHC complex 84 by base-assisted deprotonation/Ir-coordination of the imidazolium moiety followed by oxidative addition of C-I bond in the 8-iodoteophylline unit across Pd(0). The same synthetic strategy allowed synthesis of the Pd/Ru heterobimetallic NHC complex 85, too.
In another study [47], 4-bromo-3-methylthiazolium tetrafluoroborate was first metalated with [IrBr2(Cp*)]2 with the use of the Ag2O method. This reaction yielded a mononuclear Ir-NHC complex, 86, in which Ir was bound to the carbenic C2 atom of the heterocycle (Scheme 27). The subsequent oxidative addition of the C4-Br bond to Pd(0) in [Pd(PPh3)4] at 90 °C in 24 h resulted in the heterobimetallic Ir/Pd complex 87. Note that the overall reaction included a Br−/PPh3 exchange between the Ir and Pd centers. Under similar conditions, but at a temperature of 110 °C, the reaction of [Pt(PPh3)4] afforded the analogous Ir/Pt heterobimetallic complex 88, also with a Br−/PPh3 exchange between the two metal centers. The reaction of the substitutionally inert [Pt(PPh3)4] for only 4 h allowed the isolation of the direct product of oxidative addition, an intermediate en route to 88, still featuring a C4-carbene-bound {PtBr(PPh3)2} moiety.
Scheme 27.
Synthesis of the Pd/Ir (87) and Pt/Ir (88) heterobimetallic complexes from 4-bromo-3-methylthiazolium precursor by selective Ag2O-assisted metalation with [IrBr2(Cp*)]2 followed by oxidative addition of the C-Br bond across Pd(0) or Pt(0).
2.2.4. Pendant Group Coordination in the Synthesis of Heterobimetallic NHC Complexes and Their Catalytic Properties
N-heterocyclic carbenes containing a pendant donor group may show altered coordination (and catalytic) properties compared to their counterparts with no such substituents. Such pendant groups may serve as an anchor to facilitate the coordination of the N-heterocyclic carbene ligand, stabilize certain steric coordination geometries, and alter the electronic properties of the metal center in the carbene complex compared to complexes with exclusively NHC coordination. A case in point is the formation and catalytic properties of complexes obtained with the use of the NHC precursor 89 (Scheme 28), which was studied in much detail by Kühn, Baratta, and co-workers.
Scheme 28.
Synthesis of the heterobimetallic NHC complexes 92, 93 and 94 with the use of NHC ligand precursor 89 carrying a pendent -PPh2 donor group.
The reaction of [Ru(OAc)2(PPh3)3] with one equivalent of 89.HBr in the presence of NaOAc in tert-BuOH led to the clean formation of the mononuclear normal Ru(II)-NHC complex 90. However, a second equivalent of 89 yielded a cationic Ru(II)-NHC product 91, in which the second NHC ligand is coordinated on its C4-position (abnormal NHC) [48]. The formation of such a normal/abnormal NHC-coordinated metal complex may be due to the steric requirements of the bulky mesityl groups in 89, together with the strong coordination of the substituent –PPh2 group to Ru(II). The treatment of 91 with Ag2O afforded the cationic dimer 92 ([AgBr2]– as a counterion), with the two 91 units connected by the bis-NHC coordination of Ag(I), which—at the same time—transformed the originally abnormal NHC moieties into N-heterocyclic dicarbene (NHDC) ligands (Scheme 28). Compound 92 was the first example of an NHDC complex containing two different d-block elements.
Compound 92 proved to be a versatile starting material for the preparation of heterobimetallic NHDC complexes. The reaction of this dimer with [AuCl(THT)] gave the monomeric neutral Ru/Au compound 93, while with [PdCl2(cod)], the neutral Pd/Ru dimer 94 was formed, with a structure strictly analogous to that of 92 [49].
The monometallic 91 displayed very high catalytic activity in the transfer hydrogenation of various ketones, such as acetophenone, benzophenone, and cyclohexanone, to the respective alcohols. The reactions took place with a 0.1% catalyst loading in refluxing 2-propanol with NaOiPr as a base; turnover frequencies up to 49,000 h−1 were achieved.
Catalyst 94 was studied in the tandem Suzuki–Miyaura C–C cross-coupling of various bromoacetophenones and boronic acids/transfer hydrogenation of the resulting ketones (Scheme 6a). In highly basic 2-propanol solutions, Suzuki–Miyaura cross-coupling was accompanied by extensive dehalogenation. However, under optimized conditions in toluene/2-propanol as a solvent and KOH as a base, yields of the respective alcohols in the range of 93–98% were obtained (according to GC or NMR analysis), showing the high functional group tolerance of the catalyst. In the reaction of 4-bromoacetophenone and phenylboronic acid, the time course of the reaction displayed the fast formation of the C–C-coupled product (acetylbiphenyl), followed by a slower transfer hydrogenation to 1-(4-biphenyl)ethanol. Under the same conditions, an equimolar mixture of 91 + [PdCl2(IMes)2] produced a lower yield of 1-(4-biphenyl)ethanol (76% vs. 95 with 94) and the formation of several unidentified byproducts, thereby demonstrating the superior selectivity of the heterobimetallic catalyst 94 in this tandem Suzuki–Miyaura coupling/transfer hydrogenation.
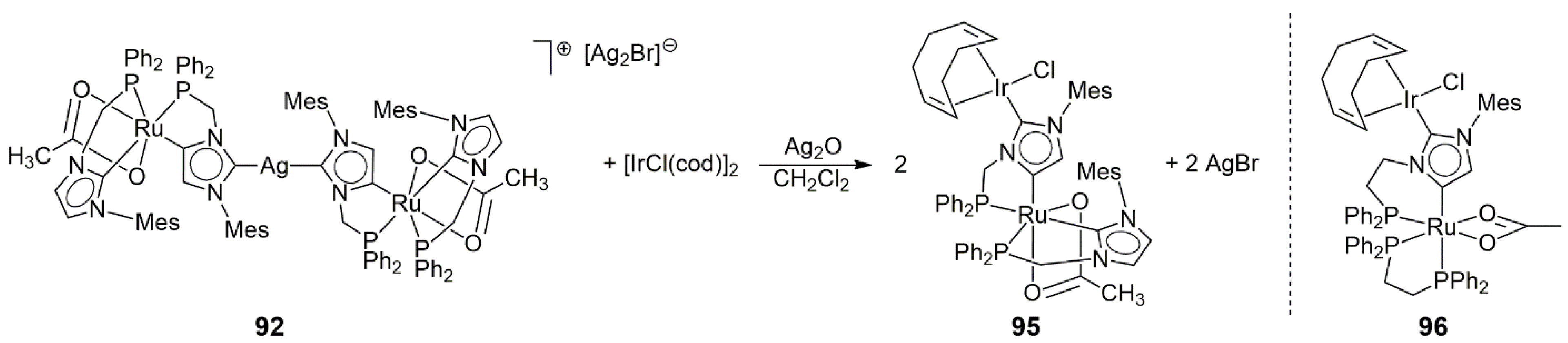
The Ag(I)-linked cationic dimer 92 was applied to the synthesis of the neutral Ru/Ir heterobimetallic complex 95, too, through its reaction with [IrCl(cod)]2 via the Ag2O route in CH2Cl2 (Scheme 29) [50]. With the use of cyclic voltammetry measurements, it was found that the Ru(II)/Ru(III) redox process occurred at a 70 mV lower potential in 95 than in 92, suggesting an interaction between the Ir and Ru centers. For comparison, the normal/abnormal (NHDC) dimetalated (Ir/Ru) doubly phosphine-coordinated complex 96 was also prepared (Scheme 29). The solid-state structures of all new compounds were determined by X-ray crystallography.
Scheme 29.
Synthesis of the heterobimetallic Ru/Ir NHC/phosphine complexes 95 and 96 containing normal/abnormal coordinated imidazole-diylidene ligands.
The catalytic activities of 91, 95, and 96 in the transfer hydrogenation of acetophenone were compared and are displayed in Table 1.
Table 1.
Turnover frequencies of mono- and heterobimetallic Ru(II)-NHC complexes in transfer hydrogenation of acetophenone to 1-phenylethanol.
It could be concluded from the data in Table 1 that the coordination of a second metal (Ir) decreased the catalytic activity of the mononuclear normal/abnormal Ru(II) NHDC complex to a large extent. Similar to the results of cyclic voltammetry, this also indicates a strong metal–metal interaction; however, in this case, the interaction manifests itself in a large drop in catalytic activity. These data indirectly suggest that the N-CH-N imidazolium proton in 91 could play an important role in catalysis.
Kühn and co-workers metalated 91 with the use of Ag2O and then [RhCl(cod)2] to afford the Ru/Rh heterobimetallic NHDC complex 97 (Scheme 30) (solid-state structure determined by X-ray diffraction) with the intermediate formation of the Ag-linked dimer 92 [51]. The catalytic efficiency of 97 was tested in the transfer hydrogenation of acetophenone with basic 2-propanol as a H-donor (0.1 mol% catalyst, 2 mol% NaOíPr, 80 °C). In 25 min, the reaction reached equilibrium, which allowed the calculation of a TOF = 5700 h−1. Under comparable conditions, the activity of the Ru/Ir complex 95 could be characterized by TOF = 6700 h−1 (Table 1). A comparison of these data shows that, similar to the case of 95, a significant drop in catalytic activity occurred upon the coordination of a second metal (Rh) to the mononuclear normal/abnormal bis(imidazolylidene)Ru(II) complex. However, the loss of catalytic activity was more or less the same in the case of the two complexes 95 and 97, which may indicate the decisive role of the Ru(II) center in the studied complexes in the catalysis of acetophenone transfer hydrogenation.
Scheme 30.
Synthesis of the Rh(I)-analog (97) of 95.
2.3. Synthesis and Catalytic Application of Heterobimetallic NHC Complexes Containing Triazolium-Derived Carbene Ligands
1,2,4-Trimethyltriazolium salts can be deprotonated in methanol with the use of NaOMe, leading to the methanol adduct of the resulting monoylidene, which in turn can be metalated with a suitable metal compound, e.g., with [IrCl(cod)]2, to yield the triazolium-monoylidene complex 98. Further deprotonation and reaction with a metal complex provides—depending on the metal precursors used in the two steps—a homo- or heterobimetallic, mononuclear, or dinuclear complex of the 1,2,4-trimethyltriazole-diylidene (ditz) ligand 99 (Scheme 31). N-heterocyclic dicarbene (NHDC) complexes, formed from imidazole-based diylidenes (discussed in Section 2.2), are different from the ditz-based dinuclear complexes in that NHDC complexes are inherently asymmetric, while ditz derivatives may be symmetric when formed with the same metal fragments and N-substituents. What is common, though, in complexes of the two ligand sets is that the rigid NHC frame keeps the two metal ions at a given distance (usually close to 6 Å), which does not vary much with the nature of the metal ion and the ditz substituents. In other words, these complexes have no flexibility and, therefore, are unable to form metal chelates (in the absence of other donor atoms carried by the N-substituents).
Scheme 31.
1,2,4-Triazolium salts as precursors to heterobimetallic 1,2,4-trimethyltriazole-diylidene (ditz) complexes 99.
The synthesis of heterobimetallic ditz complexes and their catalytic properties were reviewed by Mata, Hahn, and Peris [16], while Ventura-Espinoza and Mata [17] discussed the complex formation of ditz ligands containing other donor atoms, too. The formation of heterobimetallic complexes with 1,2,3-trialkyltriazolium salts as ligand precursors is also known [18]; however, their catalytic properties were less investigated.
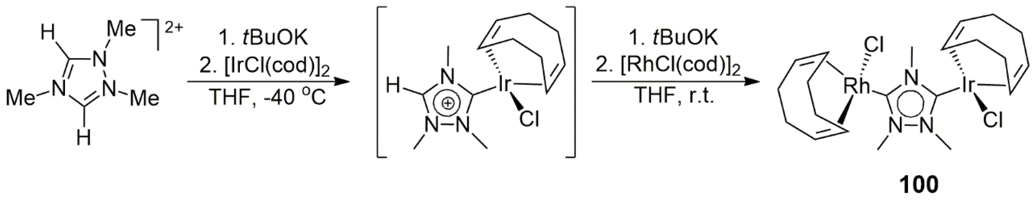
The first synthesis of a heterobimetallic complex of the 1,2,4-trimethyltriazole-3,5-diylidene ligand was described by Mas-Marzá, Mata, and Peris in 2007 [52]. In the presence of KOtBu, [Ir(μ-Cl)(cod)]2 was added to a THF solution of 1,2,4-trimethyltriazolium tetrafluoroborate at −40 °C, followed by the addition of more KOtBu and [Rh(μ-Cl)(cod)]2 at room temperature, yielding the Ir/Rh heterobimetallic complex 100 in a moderate yield (Scheme 32). The reaction probably proceeded with the formation of a monometalated iridium species (not isolated). The analogous Ir/Ir and Rh/Rh homobimetallic complexes were also prepared (in these cases, in refluxing THF). These homobimetallic complexes proved to be excellent catalysts of the transfer hydrogenation of ketones and imines in basic (KOH) 2-propanol and also actively catalyzed the cyclization of 4-pentynoic and 5-hexynoic acids to the corresponding lactones. However, the catalytic properties of the Ir/Rh heterobimetallic compound 100 were not described in this early paper.
Scheme 32.
Synthesis of the Ir/Rh heterobimetallic ditz complex 100 by sequential metalation.
A similar synthesis was worked out by Peris and co-workers with the use of the ditz precursor 1,2,4-trimethyltriazolium tetrafluoroborate and [Rh(μ-Cl)(cod)]2, [Ir(μ-Cl)(cod)]2, or [IrCl2(Cp*)]2 as metalation agents [53]. In these cases, the reactions proceeded in methanol, and NaH was used for the deprotonation of the triazolium salt. The first metalation step with [IrCl2(Cp*)]2 yielded the monometalated Ir(III) complex 101. The addition of another batch of NaH and [Rh(μ-Cl)(cod)]2 led to the formation of the heterobimetallic Rh(I)/Ir(III) ditz complex 102 (Scheme 33). In similar syntheses, with proper combinations of the Rh(I), Ir(I), and Ir(III) precursors, the analogous homobimetallic Rh(I)/Rh(I), Ir(I)/Ir(I), Ir(I)/Ir(III), and Ir(III)/Ir(III) ditz complexes were also obtained. The catalytic activity of these complexes was studied in the tandem cyclization/alkylation of 2-(ortho-aminophenyl) ethanol with benzyl alcohol and several other primary alcohols (Scheme 33). While in the reaction with benzyl alcohol, the use of the homobimetallic Ir(I)/Ir(I) and Ir(III)/Ir(III) complexes as the catalyst led to >95% conversion of the amino alcohol in 7 h, 102 showed inferior activity, with only 30% conversion in 20 h. This example shows that the connection of two different metal centers through a ditz-type ligand is not always advantageous but may also result in the diminished catalytic activity of the heterobimetallic complex relative to the homobimetallic analogs.
Scheme 33.
Synthesis of the Ir/Rh heterobimetallic ditz complex 102 and its use as catalyst in tandem cyclization/alkylation of 2-(ortho-aminophenyl) ethanol with primary alcohols.
Various Ir/Pd bimetallic 1,2,4-triazole-diylidene complexes were prepared in a reaction of 101 with Pd(OAc)2 in CH3CN (103, 104) and PdCl2 in pyridine (105) (Scheme 34) [54]. These complexes were applied as catalysts in the tandem dehalogenation/transfer hydrogenation of 4-haloacetophenones (Scheme 34). The reaction of 4-bromoacetophenone catalyzed by the heterobimetallic 105 afforded 1-phenylethanol with 100% selectivity at >99% conversion (2 mol% catalyst, 2-propanol/Cs2CO3, 100 °C, 20 h, aerobic conditions). Under the same conditions, 103 and 104 were less effective, with 1-phenylethanol yields of 75% and 95%, respectively. Importantly, the mixture of the two homobimetallic complexes [{IrCl2(Cp*)}2(μ-ditz)] and [{PdCl2(py)}2(μ-ditz)] (ditz = 1,2,4-trimethyltriazole-3,5-diylidene; py = pyridine) showed high catalytic activity for the debromination of 4-bromoacetophenone but lower activity for transfer hydrogenation (72% acetophenone and 25% 1-phenylethanol). Kinetic measurements revealed that with 105 as the catalyst, the reaction produced acetophenone and 4-bromophenylethanol as intermediates, which were subsequently hydrogenated and debrominated, respectively, resulting in the selective formation of 1-phenylethanol.
Scheme 34.
Synthesis of the Ir/Pd heterobimetallic (103, 105) and heterotrimetallic (104) ditz complexes and their use as catalysts in tandem Suzuki-Miyaura coupling/transfer hydrogenation/alkylation of 4-bromoacetophenone in 2-propanol (a) and in n-butanol (b).
Compound 105 also catalyzed the Suzuki–Miyaura C–C cross-coupling of 4-bromoacetophenone and phenylboronic acid (Scheme 34) in the presence of alcohols. The reaction proceeded with simultaneous debromination, which first yielded 4-phenylacetophenone. When a short reaction time (0.5 h) was applied in the presence of benzyl alcohol, n-butanol, and t-butanol, the yield of this intermediate was determined by GC analysis to be in the range of 93–96%. The further reaction of this intermediate with the respective alcohols resulted mainly in the formation of the α-alkylated products, which were isolated in 69–86% yields after 20 h (2 mol% catalyst, 2 mL R-OH, 2 mL THF, 100 °C). Independent of the reaction time, the yield of 1-(4-biphenyl)ethanol arising from the transfer hydrogenation of 4-phenylacetophenone was significant (up to 88% in 7 h) only when 2-propanol was used in the solvent mixture. Again, the mixture of the two homobimetallic complexes [{IrCl2(Cp*)}2(μ-ditz)] and [{PdCl2(py)}2(μ-ditz)] was less effective in the α-alkylation step, affording only 29% of the α-butyl-4-phenylacetophenone. Together with the results on tandem Suzuki–Miyaura C–C cross-coupling, this observation clearly showed the advantage of using the two different metals in a well-defined Ir/Pd triazole–diylidene complex in comparison to the application of a mixture of analogous Ir/Ir and Pd/Pd complexes—a convincing example of metal–metal cooperativity within the 105 catalyst.
In a related study, Zanardi, Mata, and Peris obtained the Pt/Ir heterobimetallic complex 106 in the reaction of PtI2 and 101 in pyridine using NaH as a deprotonating agent (Scheme 35) [55]. When PtI2 reacted with trimethyltriazolium tetrafluoroborate in the presence of K2CO3 in pyridine, the homobimetallic compound [{PtCl2)(py)}2(μ-ditz)], 107, was obtained. Both compounds were analyzed by single-crystal X-ray diffraction, and the metal–metal distances in the Pt/Ir and Pt/Pt complexes were found to be 6.04 Å and 5.96 Å, respectively. The catalytic properties of 106 and 107 were compared in the tandem oxidative cyclization of 2-(ortho-aminophenol)ethanol to indole (typically an Ir-catalyzed reaction), followed by the addition of alkynyl alcohols (generally a Pt-catalyzed process). In a typical reaction, the first step (oxidative cyclization to indole) was run for 12 h, followed by the addition of the alkynyl alcohol to provide the functionalized indole derivative (2 mol% catalyst, toluene, 110 °C, total reaction times 12–24 h) (Scheme 35; it shows only the second step of the tandem reaction). The yields of functionalized indoles (determined by GC analysis) with catalyst 106 were in the range of 74–81% (depending on the alkynyl alcohol used). In contrast, 107 alone did not catalyze the tandem process at all; however, an equimolar mixture of 107 and [{IrCl2(Cp*)}2(μ-ditz)] afforded the functionalized indole derivatives in up to 44% yield. Note that [{IrCl2(Cp*)}2(μ-ditz)] alone was more active (56% product yield) than its mixtures with 107, and its activity was close to that of the heterobimetallic Ir/Pt complex 106 (74%). These studies led to the conclusion that some cooperation between the Ir and Pt centers in 106 may contribute to the favorable outcome of the tandem oxidative cyclization/addition reactions of 2-(ortho-aminophenol)ethanol and alkynyl alcohols, although this effect was not strongly manifested.
Scheme 35.
Synthesis of the Ir/Pt heterobimetallic ditz complex 106 and its use as catalyst in alkyne addition to indoles.
Zanardi, Mata, and Peris also investigated the one-pot preparation of imines from nitroarenes in a borrowing-hydrogen process (Scheme 36) catalyzed by complexes [IrCl2(Cp*)((μ-ditz)PdCl2(py)] (105; Ir/Pd)), [{PdCl2(py)}2(μ-ditz)] (Pd/Pd), and [{IrCl2(Cp*)}2(μ-ditz)] (Ir/Ir) [56]. Condensation reactions of nitrobenzene and 4-methyl- and 4-methoxynitrobenzene with primary alcohols (benzyl, 4-methyl-, and 4-methoxybenzyl alcohol, 2-phenylethanol) were most efficiently catalyzed by 105 (Ir/Pd), with GC yields up to 92% (2 mol% catalyst, benzyl alcohol as solvent and reagent, Cs2CO3, 110 °C, 3–20 h, aerobic conditions). Equimolar mixtures of the above homobimetallic Pd/Pd and Ir/Ir complexes also showed high catalytic activity in the reaction, although with a few substrates, such as (4-methoxy)benzyl alcohol, their catalytic activity did not reach that of 105 (yields were 55% and 75%, respectively). Interestingly, in the reaction of 4-bromonitrobenzene and benzyl alcohol catalyzed by 105, in the presence of phenylboronic acid, Suzuki–Miyaura C–C cross-coupling took place, too, yielding the corresponding bisarylated imine (Scheme 36). The analogous homobimetallic Ir/Ir complex, [{IrCl2(Cp*)}2(μ-ditz)], did not afford the bisarylated imine product at all, thus demonstrating the favorable effect of having two catalytically active metal centers within one well-defined molecule.
Scheme 36.
Condensation reactions of nitrobenzene with primary alcohols catalyzed by 105 (a) in the absence, and (b) in the presence of phenylboronic acid.
The ditz ligand was also used in the synthesis of the Ir/Au heterobimetallic complex 108 via the Ag2O route from 101 and AuCl(SMe2). Interestingly, the analogous ditz-bridged homobimetallic Au(I) complex could not be obtained; instead, 4-ethyl-1,2-dimethyltriazolium tetrafluoroborate had to be used, possibly for solubility reasons (Scheme 37) [57]. The catalytic efficiencies of the two complexes were compared in the reaction of various substituted nitrobenzenes and benzyl alcohol. With nitrobenzene and 4-methylnitrobenzene substrates, the heterobimetallic 108 catalyzed the formation of the corresponding imines (Scheme 36) with excellent yields in the range of 93–97%; however, 4-methoxynitrobenzene provided only a 41% imine yield. Nevertheless, in all cases, the yields were substantially higher than those obtained with the close analog Au/Au complex [(AuCl)2(μ-4-ethyl-1,2-triazolediylidene)]. Compound 108 effectively catalyzed the reaction of azoxybenzene and benzyl alcohol, leading to the formation of azobenzene; however, azobenzene could not be further reduced to the corresponding imine (or amine). This allowed the conclusion that the imine (and the amine) products were formed by the direct condensation of nitrobenzene and benzyl alcohol.
Scheme 37.
Synthesis of the Ir/Au heterobimetallic ditz complex 108 and its use as catalyst in reaction of various substituted nitrobenzenes and benzyl alcohol.
The heterobimetallic Ir/Ru complex, 109, containing the ditz dicarbene ligand, was obtained from 101 and [RuCl2(p-Cym)]2 (p-Cym = p-cymene, 4-isopropyltoluene) in acetone in the presence of NaOAc at 50 °C [58]. This complex could also be prepared directly from 1,2,4-triazolium tetrafluoroborate by deprotonation with NaH in methanol, followed by the addition of [RuCl2(p-Cym)]2, and a subsequent reaction of the isolated monometalated Ru(II)-triazolylylidene complex 110 [58] with [IrCl2(Cp*)]2 in acetone/NaOAc (Scheme 38). Compound 109 was tested as a catalyst for the chelation-assisted arylation of 2-phenylpyridine with chlorobenzene in the Oppenauer oxidation of 1-phenylethanol and in the unprecedented tandem process of the oxidation of 1-(4-halophenyl)ethanols and the arylation of arylpyridines. In the latter reaction (Scheme 38), the use of 109 led to high yields of bis(2,6-diarylated)arylpyridines (76% with 2-phenylpyridine); however, this activity was inferior to that of other related monometalated ditz and imidazolylylidene Ru-carbenes. It seems that in 109, the Ru and Ir ions act as independent catalytic centers, and their weak electronic interaction (determined by cyclic voltammetry and differential pulsed voltammetry) results in some loss of the overall catalytic activity of this heterobimetallic complex in comparison to other homometallic and mono- or binuclear Ru(II)-NHC complexes used in this study.
Scheme 38.
Synthesis of the Ir/Ru heterobimetallic ditz complex 109 and its use as catalyst in (a) arylation of 2-phenylpyridine, (b) Oppenauer oxidation of 1-phenylethanol and (c) tandem oxidation of 1-(4-halophenyl)ethanols/arylation of arylpyridines.
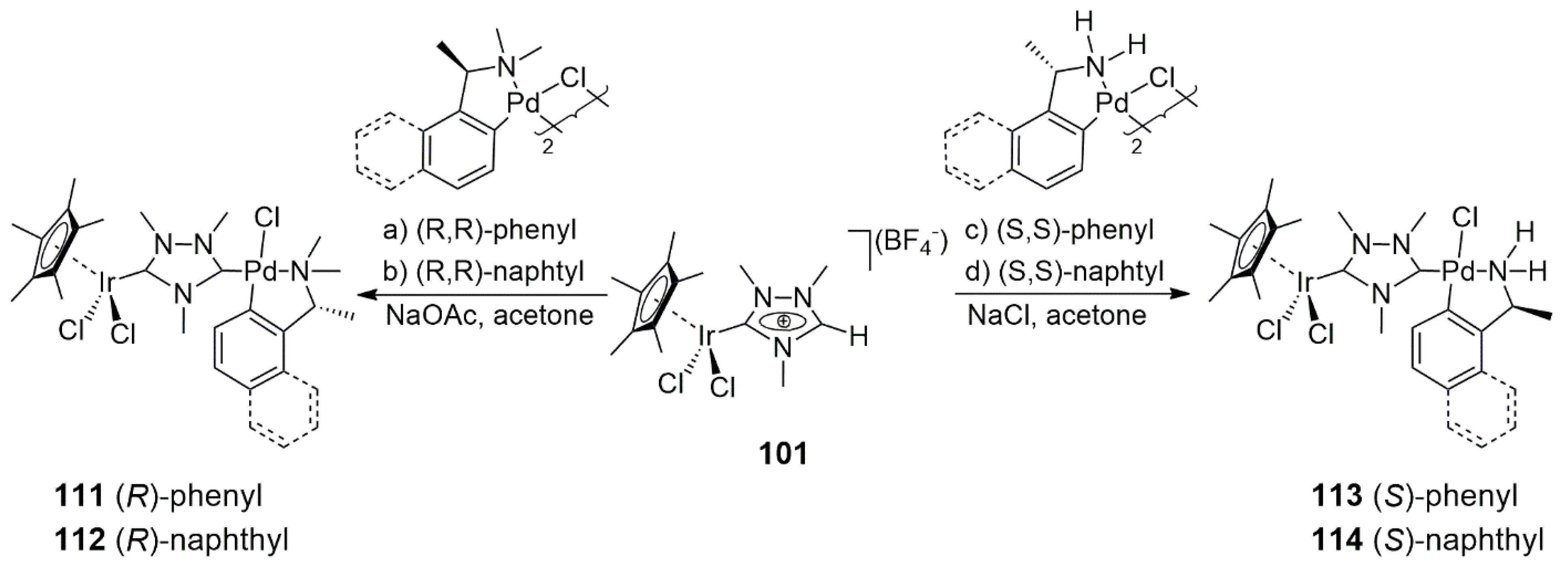
The reaction of 101 with chiral N,N-dimethylbenzylaminate palladacycles afforded the chiral at palladium heterobimetallic (Ir/Pd*) complexes 111, 112, 113, and 114 (Scheme 39) [59]. X-ray-quality single crystals of 111 could be isolated by the slow evaporation of dichloromethane/hexane mixtures. The crystal structure contained two of the four possible atropisomers, the same two that could also be identified in solution by NMR spectroscopy. The four compounds were used as catalysts for the tandem isomerization/asymmetric hydrophosphination of 1,3-diphenylpropargyl alcohol (Table 2). In all cases, isomerizations were performed for 5 h at 90 °C, while hydrophosphinations proceeded at room temperature for 10 h, both with 2 mol% Ir/Pd* and 2-propanol/K2CO3 (these data are not shown in Table 2). All four complexes were excellent catalysts for the isomerization of the substrate to chalcone (GC yields of 90–97%). In the second step, the hydrophosphination of the latter with HPPh2 afforded products with a C-3 phosphorus addition in good-to-moderate isolated yields (56–75%) and excellent regioselectivity. Unfortunately, only low enantioselectivities (4–17% ee) were reached in this tandem reaction, according to chiral HPLC determinations using the oxides of the hydrophosphination products. From these data, it could be concluded that the isomerization step was catalyzed mostly by the Ir fragment of the catalysts (this is why all isomerizations were fast and practically quantitative), while the Pd* fragment was responsible for hydrophosphination. The low enantioselectivity (similarly observed in hydrophosphinations with Pd-NHC catalysts) [60] was attributed to the small size of N-substituents (methyl groups) in the Pd* fragment of the catalysts.
Scheme 39.
Synthesis of chiral at palladium (Ir/Pd*) heterobimetallic ditz complexes 111–114 in reaction of 101 with N,N-dimethylbenzylaminate palladacycles.
Table 2.
Sequential catalytic isomerization/hydrophosphination of 1,3-diphenylpropargyl alcohol.
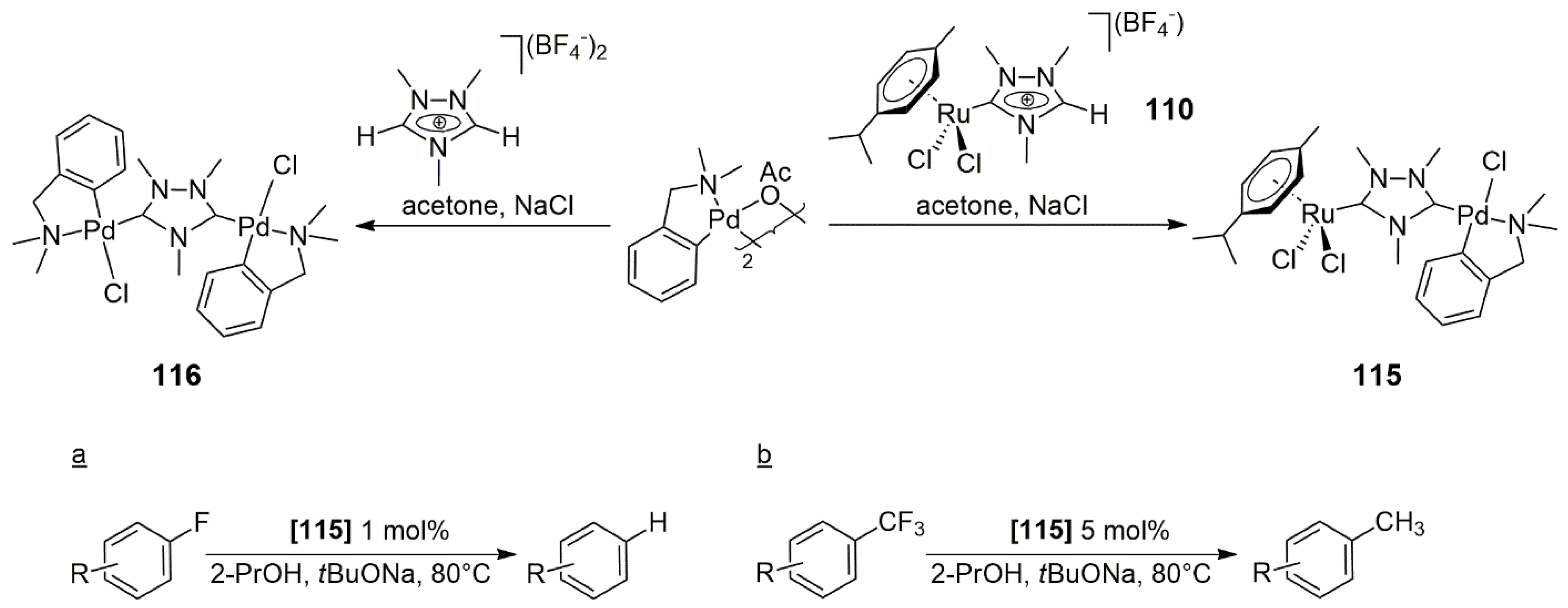
Sabater, Mata, and Peris synthesized the heterobimetallic Ru/Pd complex 115 in a reaction of 110 and the acetate-bridged N,N-dimethylbenzylaminate palladacycle dimer in an acetone solution in the presence of NaCl at 50 °C [61]. The reaction of the same palladacyle and 1,2,4-trimethyltriazolium tetrafluoroborate yielded the related homobimetallic Pd/Pd complex 116, with the ditz ligand linking the two palladacyle fragments (Scheme 40). Compounds 115 and 116 and the earlier synthesized [{RuCl2(p-Cym)}2(μ-ditz)] 117 [62] were applied as catalysts for the hydrodefluorination of aromatic and aliphatic carbon-fluorinated compounds. Due to the strength of the C–F sigma bonds, the design of practically applicable catalysts for defluorination under mild conditions is a major challenge. It was found by Peris and co-workers that 1 mol% 115 (Ru/Pd) actively catalyzed the defluorination of fluorobenzene to benzene, reaching 100% conversion in 1 h at 80 °C in the presence of an equimolar amount of KOtBu in 2-propanol as the solvent and hydrogen donor (Scheme 40). This high activity is in striking contrast to the inefficiency of 117 (Ru/Ru) and 116 (Pd/Pd) (0 and 3% yields of benzene, respectively). Applying a mixture of 0.5 mol% 117 and 0.5 mol% 116 resulted in only a 49% yield. These observations showed that efficient defluorination required both metal ions; however, having them built into the same well-defined Ru/Pd molecule (such as 115) offered profound advantages. Compound 115 showed outstandingly high catalytic activity in the defluorination of a series of 11 monofluorinated aromatic substrates. In addition, p- and o-difluoro- and 1,3,5-trifluorobenzenes could be dehalogenated to benzene with a 100% yield. In all investigated cases, 117 proved to be inactive for defluorination, and 116, as well as mixtures of 117 and 116, were also inferior to 115 in the catalysis of hydrodefluorination. In addition, 115 provided a 50% yield of toluene in the transfer hydrodehalogenation of α,α,α-trifluorotoluene, admittedly one of the most inert organofluorine compounds (Scheme 40). Other (trifluoromethyl)arene compounds reacted similarly well, and in the case of 1-(trifluoromethyl)naphthalene, the isolated yield reached 99%. Importantly, no partially defluorinated intermediates were detected, even in reactions with incomplete conversion.
Scheme 40.
Synthesis of the Ru/Pd heterobimetallic ditz complex 115 and its use as catalyst in (a) transfer hydrodefluorination of fluorobenzenes to benzene derivatives and (b) transfer hydrodefluorination of α,α,α-trifluorotoluene to toluene.
Maity and co-workers synthesized a bis(1,2,3-triazolyl)naphthalene derivative in a copper-catalyzed click reaction of 1,4-bis(ethynyl)naphthalene with in situ-generated ethyl azide. The product was converted to the corresponding bis-triazolium salt using methyl iodide. The bis-triazolium salt could be deprotonated in a stepwise manner, such that its reaction with [IrCl2(Cp*)]2 in the presence of Cs2CO3, NaOAc, and KI in acetonitrile led to selective monometalation, yielding the cyclometalated Ir-NHC complex 118 (Scheme 41). The subsequent metalation of the other triazolium fragment of the molecule with PdCl2 in pyridine in the presence of K2CO3 and KI provided the heterobimetallic (Ir/Pd) bis(triazolylidene) complex 119 [63]. The analogous homobimetallic Pd/Pd complex 120 could be obtained in one step from the bis-triazolium salt. The catalytic properties of 119 were investigated in the tandem Suzuki–Miyaura C–C cross-coupling/transfer hydrogenation of 4-bromoacetophenone (and, to a lesser extent, 3-bromoacetophenone) in basic 2-propanol-THF solutions at 90 °C. Compound 119 itself showed only modest catalytic activity for the production of the respective 1-biphenylethanols; however, the addition of PPh3 increased the yield from 16% to 65%. Catalytic Sonogashira C–C cross-coupling was actively catalyzed by 119 in the presence of PPh3 (yield of the biaryl product was 75% with 4-bromacetophenone and 90% with 3-bromoanisole, respectively), and the yields were only slightly increased upon the addition of CuI as a co-catalyst. It is of interest that the yield of the reaction of 4-bromoacetophenone was slightly lower with the heterobimetallic 119 + PPh3 than with the homobimetallic 120 + PPh3 catalysts (75% vs. 80%). Catalyst 119 was also applied in the reaction of oxindole with 2-bromotoluene, but without an additive, it showed negligible catalytic activity. Again, the addition of PPh3 resulted in a better yield (51% with 6 mol% catalyst in toluene at 120 °C for 20 h); however, this catalytic activity was still considerably lower than that of the homobimetallic 120 + PPh3 (72% with 3 mol% catalyst, the same conditions as for the reaction catalyzed by 119 + PPh3). Consequently, in this case, no favorable effect of the use of a heterobimetallic bis-triazolylidene complex over the analogous homobimetallic catalyst was observed, which may be because of the relatively large Ir-Pd distance, 8.947 Å, in 119.
Scheme 41.
Synthesis of the heterobimetallic Ir/Pd bis(triazolylidene) complex 119 and its use as catalyst in (a) Suzuki-Miyaura C–C coupling of aromatic aldehydes and phenylboronic acids, (b) Sonogashira C–C coupling of phenylacetylene and bromoarenes, (c) arylation of oxindole with 2-bromotoluene.
2.4. Synthesis and Catalytic Application of Heterobimetallic NHC Complexes Containing Linked Imidazolium- and/or Triazolium-Derived Carbene Ligands
Zamora, Ferguson, and Cowie synthesized a 1,3-phenylene-linked bis-triazole in the click reaction of 1,3-dialkynylbenzene and 2-azido-1,3-diisopropylbenzene, which was converted to the linked bis-triazolium trifluoracetate 121 with the use of methyl triflate in CH2Cl2 at −78 °C [64]. Compound 121 could be stepwise deprotonated and metalated simultaneously with the use of [M(μ-OMe)(cod)]2 (M = Ir, Rh), reactions in which the methoxy group plays the role of an internal base. For example, the first reaction with [Ir(μ-OMe)(cod)]2 yielded the half-metalated 122 Ir-triazolilydene complex, still having a pendant triazolium moiety. The reaction of the latter with [Rh(μ-OMe)(cod)]2 led to the formation of the heterobimetallic Ir/Rh bis-mesoionic carbene (MIC-MIC) complex 123 (Scheme 42). All new compounds were thoroughly characterized by NMR spectroscopy; however, no X-ray diffraction study of 123 could be performed in in lack of suitable single crystals. Furthermore, the catalytic properties of the new complexes were not investigated.
Scheme 42.
Synthesis of the heterobimetallic Ir/Rh complex 123 containing linked triazolylidene units in the ligand.
In a related study, Cowie and co-workers synthesized unsymmetrical imidazolium/triazolium dicarbene precursors, which were subsequently used for the preparation of homo- and heterobimetallic NHC/MIC complexes [65]. The synthesis consisted of a click reaction of 1-alkyl-3-alkynyl imidazolium bromides with azidomethylbenzene or 2-azido-1,3-diisopropylbenzene. The product was converted to the bis-azolium salt 124 with methyl triflate. The stepwise metalation of 124, first with Pd(OAc)2 and then with [Rh(μ-OMe)(cod)]2 (both steps in the presence of KI with heating in acetonitrile), resulted in the heterobimetallic NHC/MIC Pd/Rh complex 125 (Scheme 43). All new complexes were thoroughly characterized; however, repeated attempts to obtain single crystals of 125 for X-ray measurements failed. No catalytic studies were described in this paper.
Scheme 43.
Synthesis of the heterobimetallic Pd/Rh complex 125 containing linked imidazolylidene/triazolylidene units in the ligand.
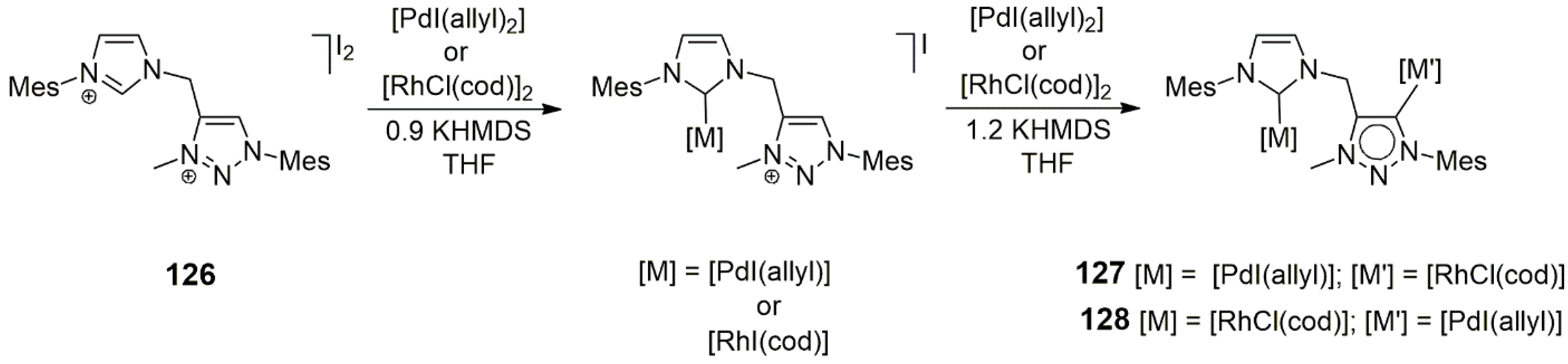
As part of a more general approach, Mendoza-Espinoza et al. synthesized the methylene-linked imidazolium-triazolium dicationic bis-carbene precursor 126 in a copper-catalyzed click reaction of 1-mesityl-3-alkynylimidazole and mesityl azide. The deprotonation of 126 with slightly less than equimolar KHMDS (K-hexamethyldisilazane), followed by the addition of [PdCl2(allyl)]2 or [Rh(μ-Cl)(cod)]2, resulted in Pd or Rh metalation, respectively, on the imidazole C2, leaving the triazolium part available for subsequent reactions. Indeed, the further reaction of this intermediate with [PdCl2(allyl)]2 or [Rh(μ-Cl)(cod)]2 supplied the bimetallic NHC/MIC complex 127 or 128, in which the bonding of the metal ions to NHC carbene or 1,2,3-triazolyl carbene atoms depended on the order of addition of the Pd and Rh complexes (Scheme 44) [66]. All complexes were fully characterized by NMR methods; however, attempts to obtain single crystals of 127 and 128 were unsuccessful. Possible catalytic uses of the heterobimetallic NHC/MIC complexes were mentioned in the paper; however, no such reactions were described.
Scheme 44.
Synthesis of the heterobimetallic Pd/Rh complexes 127 and 128 containing linked imidazolylidene/triazolylidene units in the ligand.
In a recent article, Longhi et al. discussed possible synthetic approaches for heterobimetallic complexes by using imidazolylidene/triazolylidene heteroditopic carbene ligands [67]. Their contribution to the field was the synthesis of a propyl-linked imidazole/1,2,3-triazolium compound 129 in the reaction of a N-substituted imidazole and 5-chloro-1-pentyne, followed by a copper-catalyzed click reaction of this intermediate with phenylazide. The resulting compound was methylated at the N3 position of the triazole moiety, giving the pro-ligand 130 (similar to 126) (Scheme 45).
Scheme 45.
Synthesis of the heterobimetallic Ag/Au complex 131 containing propyl-linked imidazolylidene/triazolylidene ligands in bridging position.
The heterobimetallic complex 131 was not prepared directly from 130. Instead, the bis-NHC-Au complex of 129 was methylated with the use of Me3OBF4 on the triazole ring. The further reaction of the product with Ag2O yielded the heterobimetallic Au/Ag complex 131, in which Au acts as a bride to the imidazolyl carbene atoms, while Ag forms a bridge between the triazolilydene carbene donor atoms (Scheme 45). No catalysis with this complex was reported.
3. Conclusions and Perspectives
The idea of using more than one different metal bound to the same ligand entity (monomeric, oligomeric, or polymeric) has long fascinated scientists working on homogeneous metal-complex catalysis. In addition to speeding up sequential (consecutive) reactions, resulting in higher yields, the cooperation of different metals in close proximity to each other may open new pathways for synthetic reactions, yielding new useful products.
This review treats only those complexes in which at least two different metals are bound to the same ligand by at least one M-C(carbene) bond each. Still, it convincingly demonstrates the developments of the chemistry of heterobimetallic complexes of N-heterocyclic (including mesoionic) carbene ligands. Such ligands included linked imidazolium (NHC) derivatives, normal/abnormal NHCs, and 1,2,4- or 1,2,3-triazolylidenes (or their combinations). Various ingenious methods have been developed for the synthesis of such complexes, most of all by the stepwise classical deprotonation/metalation of the ligand. In several cases, deprotonation/metalation with one metal (M) was followed by the oxidative addition of a C(carbene)–halogen bond onto a low-valent metal ion (M′), such as in [Pd(PPh3)4].
So far, the studied catalytic processes covered only a relatively narrow field of tandem or consecutive synthetic transformations, such as the tandem dehalogenation/transfer hydrogenation of bromoacetophenones in 2-propanol solutions or the Suzuki–Miyaura C–C coupling of brominated aromatic ketones or aldehydes, followed by transfer hydrogenation (in 2-PrOH) or α-alkylation (in nBuOH). Perhaps the most fascinating finding was the easy defluorination of fluorobenzol (and its derivatives) and α,α,α-trifluorotoluene catalyzed by a Ru/Pd heterobimetallic complex (115) of the 1,2,4-trimethyltriazole-diylidene (ditz) ligand under mild conditions. These reactions clearly show the power of metal–metal cooperativity in a heterobimetallic dicarbene complex, for example, in breaking up aromatic and aliphatic C-F bonds, among the strongest ones in organic chemistry. The relatively low number of catalytic reactions investigated with the use of bimetallic NHC catalysts is partly due to the requirement for the high stability of both M-C(carbene) and M′-C(carbene) bonds in the same molecule under the conditions required for the tandem processes. However, since a large number of bimetallic NHC complexes obtained so far have not been applied to catalysis, it can be expected that the number of synthetic procedures with such catalysts will increase in the future.
In several cases, heterobimetallic di- or polynuclear NHC complexes showed higher (sometimes significantly higher) catalytic activity than those of the analogous but monometallic complexes of the same ligand or than mixtures of reasonably comparable mononuclear building units of the heterobimetallic NHC-complex catalysts, which contained the different metals in separate ‘fragments’. However, several examples were also found that showed that the addition of a second metal to another C(carbene) donor atom of the ligand did not improve, or even significantly decreased, the catalytic activity of the homometallic carbene complex obtained with only the first metal. These findings call attention to more detailed mechanistic investigations to reveal the underlying effects leading to increased or decreased catalytic activity. Targeted investigations are also needed of relationships between the catalyst structure and catalytic activity/selectivity, especially in those cases where the tandem reactions showed the unambiguous catalytic cooperativity of the different metal centers (and were not only the usual consecutive reactions catalyzed by the two metal centers independently).
The stability of the heterobimetallic complexes under conditions of catalysis (decomposition pathways, products, and kinetics) was rarely studied, except for the Hg test of homogeneity in a few cases. Knowledge of the fate of the catalytically active species during a catalytic run could largely aid the development of robust, active, and selective catalysts. Similarly, no attempts have been made so far to recover and reuse heterobimetallic catalysts that are either anchored onto a suitable solid support or in liquid–liquid biphasic reaction systems. Such studies would be advantageous for practical applications.
We are convinced that this most intriguing field of homogeneous metal-complex catalysis will bring further interesting and important results.
Author Contributions
Conceptualization, F.J. and C.E.C.; Methodology, G.P.; Writing—Original Draft Preparation, F.J.; Writing—Review and Editing, F.J., Á.K. and C.E.C.; Visualization, G.P.; Supervision, F.J.; Funding Acquisition, F.J. and G.P. All authors have read and agreed to the published version of the manuscript.
Funding
This research was supported by the EU and co-financed by the European Regional Development Fund under the projects GINOP-2.3.3-15-2016-00004 and GINOP 2.3.2-15-2016-00008. Financial support from project no. RRF-2.3.1-21-2022-00009, titled National Laboratory for Renewable Energy, has been provided by the Recovery and Resilience Facility of the European Union within the framework of Programme Széchenyi Plan Plus, which is gratefully acknowledged.
Data Availability Statement
Not applicable.
Conflicts of Interest
The authors declare no conflict of interest.
References
- Tauster, S.J. Strong metal-support interactions. Acc. Chem. Res. 1987, 20, 389–394. [Google Scholar] [CrossRef]
- Kollár, L.; Sándor, P.; Szalontai, G.; Heil, B. The role of additives in platinum-catalyzed hydroformylation. J. Organomet. Chem. 1990, 393, 153–158. [Google Scholar] [CrossRef]
- Papp, T.; Kollár, L.; Kégl, T. Electronic structure of platinum(II)-phosphine-tin(II)trihalide complexes. J. Mol. Struct. 2022, 1260, 132743. [Google Scholar] [CrossRef]
- Das, D.; Mohapatra, S.S.; Roy, S. Recent advances in heterobimetallic catalysis across a “transition metal–tin” motif. Chem. Soc. Rev. 2015, 44, 3666–3690. [Google Scholar] [CrossRef] [PubMed]
- Geoffroy, G.L. Synthesis, molecular dynamics, and reactivity of mixed-metal clusters. Acc. Chem. Res. 1980, 13, 469–476. [Google Scholar] [CrossRef]
- Lorion, M.M.; Maindan, K.; Kapdi, A.R.; Ackermann, L. Heteromultimetallic catalysis for sustainable organic syntheses. Chem. Soc. Rev. 2017, 46, 7399–7420. [Google Scholar] [CrossRef] [PubMed]
- Chaudhari, A.; Singh, A.; Kamboj, R.C. Heterobimetallic Complexes as Promising Catalysts. Chem. Sci. Rev. Lett. 2016, 5, 170–192. [Google Scholar]
- Fickenscher, Z.B.G.; Lönnecke, P.; Müller, A.K.; Baumann, W.; Kirchner, B.; Hey-Hawkins, E. Stronger Together! Mechanistic Investigation into Synergistic Effects during Homogeneous Carbon Dioxide Hydrogenation Using a Heterobimetallic Catalyst. Inorg. Chem. 2023, 62, 12750–12761. [Google Scholar] [CrossRef]
- Fickenscher, Z.B.G.; Lönnecke, P.; Müller, A.K.; Hollóczki, O.; Kirchner, B.; Hey-Hawkins, E. Synergistic Catalysis in Heterobimetallic Complexes for Homogeneous Carbon Dioxide Hydrogenation. Molecules 2023, 28, 2574. [Google Scholar] [CrossRef]
- Cooper, B.G.; Napoline, J.W.; Thomas, C.M. Catalytic Applications of Early/Late Heterobimetallic Complexes. Catal. Rev. 2012, 54, 1–40. [Google Scholar] [CrossRef]
- Pittman, C.U.; Smith, L.R. Sequential multistep reactions catalyzed by polymer-anchored homogeneous catalysts. J. Am. Chem. Soc. 1975, 97, 1749–1754. [Google Scholar] [CrossRef]
- Arduengo, A.J.; Harlow, R.L.; Kline, M. A stable crystalline carbene. J. Am. Chem. Soc. 1991, 113, 361–363. [Google Scholar] [CrossRef]
- Herrmann, W.A. N-Heterocyclic Carbenes: A New Concept in Organometallic Catalysis. Angew. Chem. Int. Ed. 2002, 41, 1290–1309. [Google Scholar] [CrossRef]
- Mata, J.A.; Poyatos, M.; Peris, E. Structural and catalytic properties of chelating bis- and tris-N-heterocyclic carbenes. Coord. Chem. Rev. 2007, 251, 841–859. [Google Scholar] [CrossRef]
- Peris, E. Smart N-Heterocyclic Carbene Ligands in Catalysis. Chem. Rev. 2018, 118, 9988–10031. [Google Scholar] [CrossRef] [PubMed]
- Mata, J.A.; Hahn, F.E.; Peris, E. Heterometallic complexes, tandem catalysis and catalytic cooperativity. Chem. Sci. 2014, 5, 1723–1732. [Google Scholar] [CrossRef]
- Ventura-Espinosa, D.; Mata, J.A. Multiple-Metal (De-)Hydrogenation-Catalysed Processes. Eur. J. Inorg. Chem. 2016, 2016, 2667–2675. [Google Scholar] [CrossRef]
- Aizpurua, J.M.; Sagartzazu-Aizpurua, M.; Monasterio, Z. Mesoionic 1,2,3-Triazoles and 1,2,3-Triazole Carbenes. In Chemistry of 1,2,3-Triazoles; Dehaen, W., Bakulev, V.A., Eds.; Topics in Heterocyclic Chemistry; Springer International Publishing: Cham, Switzerland, 2014; pp. 211–267. [Google Scholar] [CrossRef]
- Poyatos, M.; Mata, J.A.; Peris, E. Complexes with Poly(N-heterocyclic carbene) Ligands: Structural Features and Catalytic Applications. Chem. Rev. 2009, 109, 3677–3707. [Google Scholar] [CrossRef] [PubMed]
- Gründemann, S.; Kovacevic, A.; Albrecht, M.; Faller Robert, J.W.; Crabtree, H. Abnormal binding in a carbene complex formed from an imidazolium salt and a metal hydride complex. Chem. Commun. 2001, 2274–2275. [Google Scholar] [CrossRef]
- De, S.; Udvardy, A.; Czégéni, C.E.; Joó, F. Poly-N-heterocyclic carbene complexes with applications in aqueous media. Coord. Chem. Rev. 2019, 400, 213038. [Google Scholar] [CrossRef]
- De, S.; Joó, F.; Horváth, H.; Udvardy, A.; Czégéni, C.E. Stirring or milling? First synthesis of Rh(I)-(di-N-heterocyclic carbene) complexes both in solution and in a ball mill. J. Organomet. Chem. 2020, 918, 121308. [Google Scholar] [CrossRef]
- Zamora, M.T.; Ferguson, M.J.; McDonald, R.; Cowie, M. Carbene-anchored/pendent-imidazolium species as precursors to di-N-heterocyclic carbene-bridged mixed-metal complexes. Dalton Trans. 2009, 7269–7287. [Google Scholar] [CrossRef]
- Raynal, M.; Cazin, C.S.J.; Vallée, C.; Olivier-Bourbigou, H.; Braunstein, P. A new stable CNHC⁁CH⁁CNHCN-heterocyclic dicarbene ligand: Its mono- and dinuclear Ir(I) and Ir(I)–Rh(I) complexes. Dalton Trans. 2009, 3824–3832. [Google Scholar] [CrossRef] [PubMed]
- Teng, Q.; Huynh, H.V. (Hetero)bimetallic and Tetranuclear Complexes of Pincer-Bridged N-Heterocyclic Carbene Ligands. Organometallics 2018, 37, 4119–4127. [Google Scholar] [CrossRef]
- Böhmer, M.; Guisado-Barrios, G.; Kampert, F.; Roelfes, F.; Tan, T.T.Y.; Peris, E.; Hahn, F.E. Synthesis and Catalytic Applications of Heterobimetallic Carbene Complexes Obtained via Sequential Metalation of Two Bisazolium Salts. Organometallics 2019, 38, 2120–2131. [Google Scholar] [CrossRef]
- Nishad, R.C.; Kumar, S.; Rit, A. Hetero- and Homobimetallic Complexes Bridged by a Bis(NHC) Ligand: Synthesis via Selective Sequential Metalation and Catalytic Applications in Tandem Organic Transformations. Organometallics 2021, 40, 915–926. [Google Scholar] [CrossRef]
- Böhmer, M.; Kampert, F.; Tan, T.T.Y.; Guisado-Barrios, G.; Peris, E.; Hahn, F.E. IrIII/AuI and RhIII/AuI Heterobimetallic Complexes as Catalysts for the Coupling of Nitrobenzene and Benzylic Alcohol. Organometallics 2018, 37, 4092–4099. [Google Scholar] [CrossRef]
- Gonell, S.; Poyatos, M.; Mata, J.A.; Peris, E. Y-Shaped Tris-N-Heterocyclic-Carbene Ligand for the Preparation of Multifunctional Catalysts of Iridium, Rhodium, and Palladium. Organometallics 2012, 31, 5606–5614. [Google Scholar] [CrossRef]
- Boselli, L.; Carraz, M.; Mazères, S.; Paloque, L.; González, G.; Benoit-Vical, F.; Valentin, A.; Hemmert, C.; Gornitzka, H. Synthesis, Structures, and Biological Studies of Heterobimetallic Au(I)–Ru(II) Complexes Involving N-Heterocyclic Carbene-Based Multidentate Ligands. Organometallics 2015, 34, 1046–1055. [Google Scholar] [CrossRef]
- Gonell, S.; Poyatos, M.; Peris, E. Pincer-CNC mononuclear, dinuclear and heterodinuclear Au(III) and Pt(II) complexes supported by mono- and poly-N-heterocyclic carbenes: Synthesis and photophysical properties. Dalton Trans. 2016, 45, 5549–5556. [Google Scholar] [CrossRef]
- Pell, T.P.; Wilson, D.J.D.; Skelton, B.W.; Dutton, J.L.; Barnard, P.J. Heterobimetallic N-Heterocyclic Carbe Spectroscopic, and Theoretical Study. Inorg. Chem. 2016, 55, 6882–6891. [Google Scholar] [CrossRef]
- Aznarez, F.; Gao, W.-X.; Lin, Y.-J.; Hahn, F.E.; Jin, G.-X. Preparation of polynuclear NHC complexes by post-synthetic modification of half-sandwich rhodium and iridium complexes bearing C-azolato ligands. Dalton Trans. 2018, 47, 9442–9452. [Google Scholar] [CrossRef] [PubMed]
- Wang, W.; Zhao, L.; Lv, H.; Zhang, G.; Xia, C.; Hahn, F.E.; Li, F. Modular “Click” Preparation of Bifunctional Polymeric Heterometallic Catalysts. Angew. Chem. Int. Ed. 2016, 55, 7665–7670. [Google Scholar] [CrossRef] [PubMed]
- Hernán-Gómez, A.; Uzelac, M.; Baillie, S.E.; Armstrong, D.R.; Kennedy, A.R.; Fuentes, M.Á.; Hevia, E. Molecular Manipulations of a Utility Nitrogen-Heterocyclic Carbene by Sodium Magnesiate Complexes and Transmetallation Chemistry with Gold Complexes. Chem. Eur. J. 2018, 24, 10541–10549. [Google Scholar] [CrossRef] [PubMed]
- Maity, R.; Rit, A.; Schulte to Brinke, C.; Kösters, J.; Hahn, F.E. Two Different, Metal-Dependent Coordination Modes of a Dicarbene Ligand. Organometallics 2013, 32, 6174–6177. [Google Scholar] [CrossRef]
- Zhang, S.; Yang, S.; Lan, J.; Yang, S.; You, J. Helical nonracemic tubular coordination polymer gelators from simple achiral molecules. Chem. Commun. 2008, 6170–6172. [Google Scholar] [CrossRef]
- Rit, A.; Pape, T.; Hahn, F.E. Polynuclear Architectures with Di- and Tricarbene Ligands. Organometallics 2011, 30, 6393–6401. [Google Scholar] [CrossRef]
- Majumder, A.; Naskar, R.; Roy, P.; Maity, R. Homo- and Heterobimetallic Complexes Bearing NHC Ligands: Applications in α-Arylation of Amide, Suzuki–Miyaura Coupling Reactions, and Tandem Catalysis. Eur. J. Inorg. Chem. 2019, 2019, 1810–1815. [Google Scholar] [CrossRef]
- Majumder, A.; Nath Saha, T.; Majumder, N.; Naskar, R.; Pal, K.; Maity, R. Heterobimetallic Carbene Complexes Bearing Cyclometalated IrIII/RhIII and Mixed NHCPy/PPh3 Coordinated PdII Centers: Structures and Tandem Catalysis. Eur. J. Inorg. Chem. 2021, 2021, 1104–1110. [Google Scholar] [CrossRef]
- Maity, R.; Koppetz, H.; Hepp, A.; Hahn, F.E. Heterobimetallic Carbene Complexes by a Single-Step Site-Selective Metalation of a Tricarbene Ligand. J. Am. Chem. Soc. 2013, 135, 4966–4969. [Google Scholar] [CrossRef]
- Maity, R.; Schulte to Brinke, C.; Hahn, F.E. Heterotrimetallic complexes of a phenylene-bridged tricarbene ligand. Dalton Trans. 2013, 42, 12857. [Google Scholar] [CrossRef]
- Bente, S.; Kampert, F.; Tan, T.T.Y.; Hahn, F.E. Site-selective metallation of dicarbene precursors. Chem. Commun. 2018, 54, 12887–12890. [Google Scholar] [CrossRef]
- Böhme, M.D.; Wilm, L.F.B.; Hepp, A.; Hahn, F.E. Regioselective Double Oxidative Addition of Bis-NHC Precursors. Eur. J. Inorg. Chem. 2021, 2021, 1971–1975. [Google Scholar] [CrossRef]
- Böhme, M.D.; Eder, T.; Röthel, M.B.; Dutschke, P.D.; Wilm, L.F.B.; Hahn, F.E.; Dielmann, F. Synthesis of N-Heterocyclic Carbenes and Their Complexes by Chloronium Ion Abstraction from 2-Chloroazolium Salts Using Electron-Rich Phosphines. Angew. Chem. Int. Ed. 2022, 61, e202202190. [Google Scholar] [CrossRef] [PubMed]
- Dutschke, P.D.; Bente, S.; Daniliuc, C.G.; Kinas, J.; Hepp, A.; Hahn, F.E. Chemoselective synthesis of heterobimetallic bis-NHC complexes. Dalton Trans. 2020, 49, 14388–14392. [Google Scholar] [CrossRef] [PubMed]
- Termühlen, S.; Wilm, L.F.B.; Dutschke, P.D.; Hepp, A.; Hahn, F.E. Synthesis of Heterobimetallic Complexes through Chemoselective 2,4-Metalation of a Thiazolium Salt. Organometallics 2021, 40, 1565–1570. [Google Scholar] [CrossRef]
- Bitzer, M.J.; Pöthig, A.; Jandl, C.; Kühn, F.E.; Baratta, W. Ru–Ag and Ru–Au dicarbene complexes from an abnormal carbene ruthenium system. Dalton Trans. 2015, 44, 11686–11689. [Google Scholar] [CrossRef] [PubMed]
- Bitzer, M.J.; Kühn, F.E.; Baratta, W. Tandem suzuki–miyaura/transfer hydrogenation reaction catalyzed by a Pd–Ru complex bearing an anionic dicarbene. J. Catal. 2016, 338, 222–226. [Google Scholar] [CrossRef]
- Pardatscher, L.; Bitzer, M.J.; Jandl, C.; Kück, J.W.; Reich, R.M.; Kühn, F.E.; Baratta, W. Cationic abnormal N-heterocyclic carbene ruthenium complexes as suitable precursors for the synthesis of heterobimetallic compounds. Dalton Trans. 2019, 48, 79–89. [Google Scholar] [CrossRef]
- Kaikhosravi, M.; Böth, A.D.; Sauer, M.J.; Reich, R.M.; Kühn, F.E. Synthesis and Characterisation of a Heterobimetallic N-heterocyclic Carbene Rhodium Ruthenium Complex as Catalyst for Transfer Hydrogenation. J. Organomet. Chem. 2022, 979, 122498. [Google Scholar] [CrossRef]
- Mas-Marzá, E.; Mata, J.A.; Peris, E. Triazolediylidenes: A Versatile Class of Ligands for the Preparation of Discrete Molecules of Homo- and Hetero-Binuclear Complexes for Improved Catalytic Applications. Angew. Chem. Int. Ed. 2007, 46, 3729–3731. [Google Scholar] [CrossRef] [PubMed]
- Zanardi, A.; Corberán, R.; Mata, J.A.; Peris, E. Homo- and Heterodinuclear Complexes with Triazolyl-diylidene. An Easy Approach to Tandem Catalysts. Organometallics 2008, 27, 3570–3576. [Google Scholar] [CrossRef]
- Zanardi, A.; Mata, J.A.; Peris, E. Well-Defined Ir/Pd Complexes with a Triazolyl-diylidene Bridge as Catalysts for Multiple Tandem Reactions. J. Am. Chem. Soc. 2009, 131, 14531–14537. [Google Scholar] [CrossRef] [PubMed]
- Zanardi, A.; Mata, J.A.; Peris, E. An Ir-Pt Catalyst for the Multistep Preparation of Functionalized Indoles from the Reaction of Amino Alcohols and Alkynyl Alcohols. Chem. Eur. J. 2010, 16, 13109–13115. [Google Scholar] [CrossRef] [PubMed]
- Zanardi, A.; Mata, J.A.; Peris, E. One-Pot Preparation of Imines from Nitroarenes by a Tandem Process with an Ir-Pd Heterodimetallic Catalyst. Chem. Eur. J. 2010, 16, 10502–10506. [Google Scholar] [CrossRef] [PubMed]
- Sabater, S.; Mata, J.A.; Peris, E. Dual Catalysis with an IrIII–AuI Heterodimetallic Complex: Reduction of Nitroarenes by Transfer Hydrogenation using Primary Alcohols. Chem. Eur. J. 2012, 18, 6380–6385. [Google Scholar] [CrossRef] [PubMed]
- Sabater, S.; Mata, J.A.; Peris, E. Heterobimetallic Iridium–Ruthenium Assemblies through an Ambidentate Triazole-Diylidene Ligand: Electrochemical Properties and Catalytic Behavior in a Cascade Reaction. Organometallics 2012, 31, 6450–6456. [Google Scholar] [CrossRef]
- Sabater, S.; Mata, J.A.; Peris, E. Synthesis of Heterodimetallic Iridium–Palladium Complexes Containing Two Axes of Chirality: Study of Sequential Catalytic Properties. Eur. J. Inorg. Chem. 2013, 2013, 4764–4769. [Google Scholar] [CrossRef]
- Sabater, S.; Mata, J.A.; Peris, E. Chiral Palladacycles with N-Heterocyclic Carbene Ligands as Catalysts for Asymmetric Hydrophosphination. Organometallics 2013, 32, 1112–1120. [Google Scholar] [CrossRef]
- Sabater, S.; Mata, J.A.; Peris, E. Hydrodefluorination of carbon–fluorine bonds by the synergistic action of a ruthenium–palladium catalyst. Nat. Commun. 2013, 4, 2553. [Google Scholar] [CrossRef]
- Viciano, M.; Sanaú, M.; Peris, E. Ruthenium Janus-Head Complexes with a Triazolediylidene Ligand. Structural Features and Catalytic Applications. Organometallics 2007, 26, 6050–6054. [Google Scholar] [CrossRef]
- Majumder, A.; Naskar, R.; Roy, P.; Mondal, B.; Garai, S.; Maity, R. A naphthalene-based heterobimetallic triazolylidene IrIII/PdII complex: Regioselective to regiospecific C–H activation, tandem catalysis and a copper-free sonogashira reaction. Dalton Trans. 2023, 52, 2272–2281. [Google Scholar] [CrossRef]
- Zamora, M.T.; Ferguson, M.J.; Cowie, M. Di-Mesoionic Carbene-Bridged Complexes of Rh2, Ir2, and RhIr: A Stepwise Metalation Strategy for the Synthesis of di-MIC-Bridged Mixed-Metal Systems. Organometallics 2012, 31, 5384–5395. [Google Scholar] [CrossRef]
- Zamora, M.T.; Ferguson, M.J.; McDonald, R.; Cowie, M. Unsymmetrical Dicarbenes Based on N-Heterocyclic/Mesoionic Carbene Frameworks: A Stepwise Metalation Strategy for the Generation of a Dicarbene-Bridged Mixed-Metal Pd/Rh Complex. Organometallics 2012, 31, 5463–5477. [Google Scholar] [CrossRef]
- Mendoza-Espinosa, D.; Alvarez-Hernández, A.; Angeles-Beltrán, D.; Negrón-Silva, G.E.; Suárez-Castillo, O.R.; Vásquez-Pérez, J.M. Bridged N-Heterocyclic/Mesoionic (NHC/MIC) Heterodicarbenes as Ligands for Transition Metal Complexes. Inorg. Chem. 2017, 56, 2092–2099. [Google Scholar] [CrossRef]
- Longhi, A.; Baron, M.; Rancan, M.; Bottaro, G.; Armelao, L.; Sgarbossa, P.; Tubaro, C. Possible Synthetic Approaches for Heterobimetallic Complexes by Using nNHC/tzNHC Heteroditopic Carbene Ligands. Molecules 2019, 24, 2305. [Google Scholar] [CrossRef] [PubMed]
Disclaimer/Publisher’s Note: The statements, opinions and data contained in all publications are solely those of the individual author(s) and contributor(s) and not of MDPI and/or the editor(s). MDPI and/or the editor(s) disclaim responsibility for any injury to people or property resulting from any ideas, methods, instructions or products referred to in the content. |
© 2023 by the authors. Licensee MDPI, Basel, Switzerland. This article is an open access article distributed under the terms and conditions of the Creative Commons Attribution (CC BY) license (https://creativecommons.org/licenses/by/4.0/).













































