High-Temperature-Treated LTX Zeolites as Heterogeneous Catalysts for the Hock Cleavage
Abstract
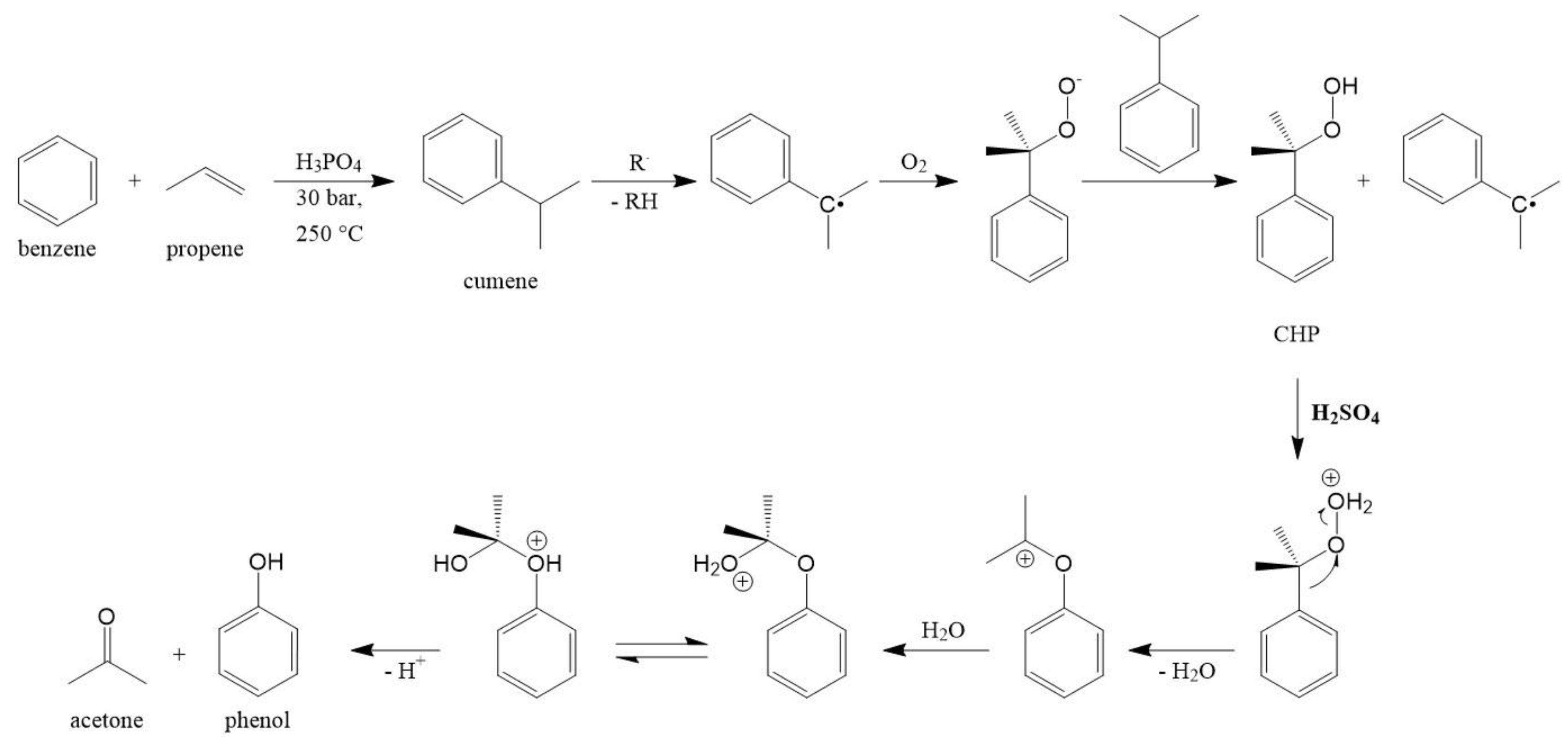
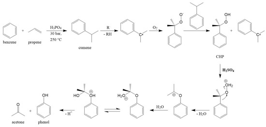
1. Introduction
2. Results and Discussion
2.1. XRPD
2.2. SEM-EDX
2.3. BET
2.4. ssNMR
2.5. Cleavage of CHP
3. Experimental
3.1. Materials
3.2. Preparation of LTX Zeolites
3.3. Characterization of Catalysts
3.4. Experimental Setup for the Cleavage of CHP
4. Conclusions
Supplementary Materials
Author Contributions
Funding
Data Availability Statement
Acknowledgments
Conflicts of Interest
References
- Weber, M.; Weber, M.; Weber, V.; Phenol. Ullmann's Encyclopedia of Industrial Chemistry; Wiley: Hoboken, NJ, USA, 2020. [Google Scholar] [CrossRef]
- Praveen, P.L.; Ajeetha, N.; Ojha, D.P. Ordering in smectogenic Schiff base compound: A computational analysis based in intermolecular interactions. Russ. J. Gen. Chem. 2009, 79, 2267–2271. [Google Scholar] [CrossRef]
- Morachevskii, A.G.; Nemtsov, M.S. Vospominaniya i razmyshleniya (zapiski khimika) (recollections and reflection (chemist’s memoirs)). Russ. J. Appl. Chem. 2007, 80, 511–512. [Google Scholar] [CrossRef]
- Hock, H.; Lang, S. Autoxydation von Kohlenwasserstoffen: Über Peroxyde von Benzol-Derivaten. Eur. J. Inorg. Chem. 1944, 77, 257–263. [Google Scholar] [CrossRef]
- Udris, R.J.; Sergeyev, P.G.; Kruzhalov, B.D. Sposob Polucheniya Gidroperekisejj Alkilirovannykh-Proizvodnykh Benzola ili Alicikloaromaticheskikh Uglevodorodov. USSR Patent 106,666, 7 January 1947. [Google Scholar]
- Yaremenko, I.; Vil’, V.A.; Demchuk, D.V.; Terent’Ev, A.O. Rearrangements of organic peroxides and related processes. Beilstein J. Org. Chem. 2016, 12, 1647–1748. [Google Scholar] [CrossRef] [PubMed]
- Duh, Y.-S.; Kao, C.-S.; Hwang, H.-H.; Lee, W.W.-L. Thermal Decomposition Kinetics of Cumene Hydroperoxide. Process. Saf. Environ. Prot. 1998, 76, 271–276. [Google Scholar] [CrossRef]
- Tsai, H.F.; Guo, S.J.; Wu, S.H. Fire and Thermal Hazard Analyses of Industrial Zeolite Catalysis for Phenol Production. Adv. Mater. Res. 2012, 560–561, 161–166. [Google Scholar] [CrossRef]
- The 100 Largest Losses 1972–2011; Marsh & McLennan: New York, NY, USA, 2011; pp. 1–42.
- Yadav, G.D.; Asthana, N.S. Selective decomposition of cumene hydroperoxide into phenol and acetone by a novel cesium substituted heteropolyacid on clay. Appl. Catal. A Gen. 2003, 244, 341–357. [Google Scholar] [CrossRef]
- Twigg, G.H. Liquid-phase oxidation [of organic compounds] by molecular oxygen. Chem. Ind. 1962, 1, 4–11. [Google Scholar]
- Schmidt, R.J. Industrial catalytic processes—Phenol production. Appl. Catal. A Gen. 2005, 280, 89–103. [Google Scholar] [CrossRef]
- Sheldon, R.; van Doorn, J. Observation by PMR spectroscopy of the intermediate alkoxycarbonium ions in the acid-catalysed decomposition of organic hydroperoxides. Tetrahedron Lett. 1973, 14, 1021–1022. [Google Scholar] [CrossRef]
- Barton, D.H.R.; Delanghe, N.C. New Catalysts for the Conversion of Cumene Hydroperoxide into Phenol. Tetrahedron Lett. 1997, 38, 73–78. [Google Scholar] [CrossRef]
- Kharasch, M.S.; Fono, A.; Nudenberg, W. The Chemistry Of Hydroperoxides I. The Acid-Catalyzed Decomposition of α,α-Dimethylbenzyl (α-Cumyl) Hydroperxoide. J. Org. Chem. 1950, 15, 748–752. [Google Scholar] [CrossRef]
- Seubold, F.H.; Vaughan, W.E. Acid-catalyzed Decomposition of Cumene Hydroperoxide. J. Am. Chem. Soc. 1953, 75, 3790–3792. [Google Scholar] [CrossRef]
- Turner, J.O. The acid-catalyzed decomposition of aliphatic hydroperoxides: Reactions in the presence of alcohols. Tetrahedron Lett. 1971, 12, 887–890. [Google Scholar] [CrossRef]
- Deno, N.C.; Billups, W.E.; Kramer, K.E.; Lastomirsky, R.R. Rearrangement of aliphatic primary, secondary, and tertiary alkyl hydroperoxides in strong acid. J. Org. Chem. 1970, 35, 3080–3082. [Google Scholar] [CrossRef]
- Hock, H.; Kropf, H. Autoxydation von Kohlenwasserstoffen und die Cumol-Phenol-Synthese. Angew. Chem. 1957, 69, 313–321. [Google Scholar] [CrossRef]
- Drönner, J.; Hausoul, P.; Palkovits, R.; Eisenacher, M. Solid Acid Catalysts for the Hock Cleavage of Hydroperoxides. Catalysts 2022, 12, 91. [Google Scholar] [CrossRef]
- Sasidharan, M.; Kumar, R. Zeolite-catalysed Selective Decomposition of Cumene Hydroperoxide into Phenol and Acetone†. J. Chem. Res. 1997, 52–53. [Google Scholar] [CrossRef]
- Chang, C.D.; Pelrine, P.P. Mobil Oil Corporation Production of Phenol. U.S. Patent 4490565A, 25 December 1984. [Google Scholar]
- Romano, U.; Clerici, M.G.; Bellussi, G.; Buonomo, F. Catalyst for the Selective Decomposition of Cumene Hydroperoxide. U.S.Patent 47543573A, 10 May 1988. [Google Scholar]
- Xu, R.; Pang, W.; Yu, J.; Huo, Q.; Chen, J. Chemistry of Zeolites and Related Porous Materials; Synthesis and Structure; Wiley: Chichester, UK, 2007; ISBN 978-0-470-82233-3. [Google Scholar] [CrossRef]
- Weitkamp, J. Zeolites and catalysis. Solid State Ion. 2000, 131, 175–188. [Google Scholar] [CrossRef]
- Koltunov, K.Y.; Sobolev, V.I. Efficient cleavage of cumene hydroperoxide over HUSY zeolites: The role of Brønsted acidity. Appl. Catal. A Gen. 2008, 336, 29–34. [Google Scholar] [CrossRef]
- Kumar, K.P.; Selvin, R.; Kumari, P.; Roselin, L.S.; Arul, N.S.; Bououdina, M. Selective decomposition of cumene hydroperoxide into phenol and acetone over nanocrystalline ZSM-Int. J. Mater. Eng. Innov. 2010, 1, 417. [Google Scholar] [CrossRef]
- Hwang, S.-L.S.; Chu, H.-T.Y.; Sobolev, N.V. Kumdykolite, an orthorhombic polymorph of albite, from the Kokchetav ultrahigh-pressure massif, Kazakhstan. Eur. J. Miner. 2010, 21, 1325–1334. [Google Scholar] [CrossRef]
- John Konnert, B.H.; Appleman, D.E. The Crystal Structure of Low Tridymite. Acta Crystallogr. Sect. B Struct. Crystallogr. Cryst. Chem. 1973, 34, 391–403. [Google Scholar] [CrossRef]
- Hoch, M.; Johnston, H.L. Formation, Stability and Crystal Structure of the Solid Aluminum Suboxides: Al2O and AlO. J. Am. Chem. Soc. 1954, 76, 2560–2561. [Google Scholar] [CrossRef]
- Loewenstein, W.; Loewenstein, M. The Distribution of Aluminum in the tetrahedra of Silicates and Aluminates. Am. Mineral. 1954, 39, 92–96. [Google Scholar]
- Jiao, J.; Kanellopoulos, J.; Wang, W.; Ray, S.S.; Foerster, H.; Freude, D.; Hunger, M. Characterization of framework and extra-framework aluminum species in non-hydrated zeolites Y by 27Al spin-echo, high-speed MAS, and MQMAS NMR spectroscopy at B0= 9.4 to 17.6 T. Phys. Chem. Chem. Phys. 2005, 7, 3221–3226. [Google Scholar] [CrossRef]
- Flaxbart, D. Kirk−Othmer Encyclopedia of Chemical Technology, Fourth Edition, 27th Volume Set Wiley Interscience: New York, 1992−1998. ISBN 0-471-52704-1. J. Am. Chem. Soc. 1999, 121, 2339. [Google Scholar] [CrossRef]
- Horváth, G.; Kawazoe, K. Method for the calculation of effective pore size distribution in molecular sieve carbon. J. Chem. Eng. Jpn. 1983, 16, 470–475. [Google Scholar] [CrossRef]






| Calcination Temperature /°C | Crystallinity /% | Si/Al Ratio | Surface Area /m2g−1 | Median Pore Width /nm |
| 0 | 78 | 1.24 | 417 | 0.92 |
| 400 | 78 | 1.26 | 417 | 0.92 |
| 500 | 78 | 1.26 | 291 | 0.80 |
| 600 | 69 | 1.25 | 19 | 0.58 |
| 700 | 52 | 1.31 | 7 | 0.58 |
| 800 | 20 | 1.18 | 1.4 | 0.77 |
| 900 | 87 | 1.27 | 1.3 | 1.20 |
| 1000 | 95 | 0.87 | 0.1 | 0.1 |
Disclaimer/Publisher’s Note: The statements, opinions and data contained in all publications are solely those of the individual author(s) and contributor(s) and not of MDPI and/or the editor(s). MDPI and/or the editor(s) disclaim responsibility for any injury to people or property resulting from any ideas, methods, instructions or products referred to in the content. |
© 2023 by the authors. Licensee MDPI, Basel, Switzerland. This article is an open access article distributed under the terms and conditions of the Creative Commons Attribution (CC BY) license (https://creativecommons.org/licenses/by/4.0/).
Share and Cite
Drönner, J.; Bijerch, K.; Hausoul, P.; Palkovits, R.; Eisenacher, M. High-Temperature-Treated LTX Zeolites as Heterogeneous Catalysts for the Hock Cleavage. Catalysts 2023, 13, 202. https://doi.org/10.3390/catal13010202
Drönner J, Bijerch K, Hausoul P, Palkovits R, Eisenacher M. High-Temperature-Treated LTX Zeolites as Heterogeneous Catalysts for the Hock Cleavage. Catalysts. 2023; 13(1):202. https://doi.org/10.3390/catal13010202
Chicago/Turabian StyleDrönner, Jan, Karim Bijerch, Peter Hausoul, Regina Palkovits, and Matthias Eisenacher. 2023. "High-Temperature-Treated LTX Zeolites as Heterogeneous Catalysts for the Hock Cleavage" Catalysts 13, no. 1: 202. https://doi.org/10.3390/catal13010202
APA StyleDrönner, J., Bijerch, K., Hausoul, P., Palkovits, R., & Eisenacher, M. (2023). High-Temperature-Treated LTX Zeolites as Heterogeneous Catalysts for the Hock Cleavage. Catalysts, 13(1), 202. https://doi.org/10.3390/catal13010202

