Multifunctional Hybrid Nanozymes for Magnetic Enrichment and Bioelectrocatalytic Sensing of Circulating Tumor RNA during Minimal Residual Disease Monitoring
Abstract
1. Introduction
2. Results and Discussion
2.1. Streptavidin-Modified Iron Oxide Nanozymes for ctRNA Magnetic Enrichment and Bioelectrocatalytic Sensing
2.2. Optimization of Bioelectrocatalytic Signaling Process
2.3. Detection Specificity for Multiple ctRNA Biomarkers
2.4. Detection Sensitivity and Linear Dynamic Range
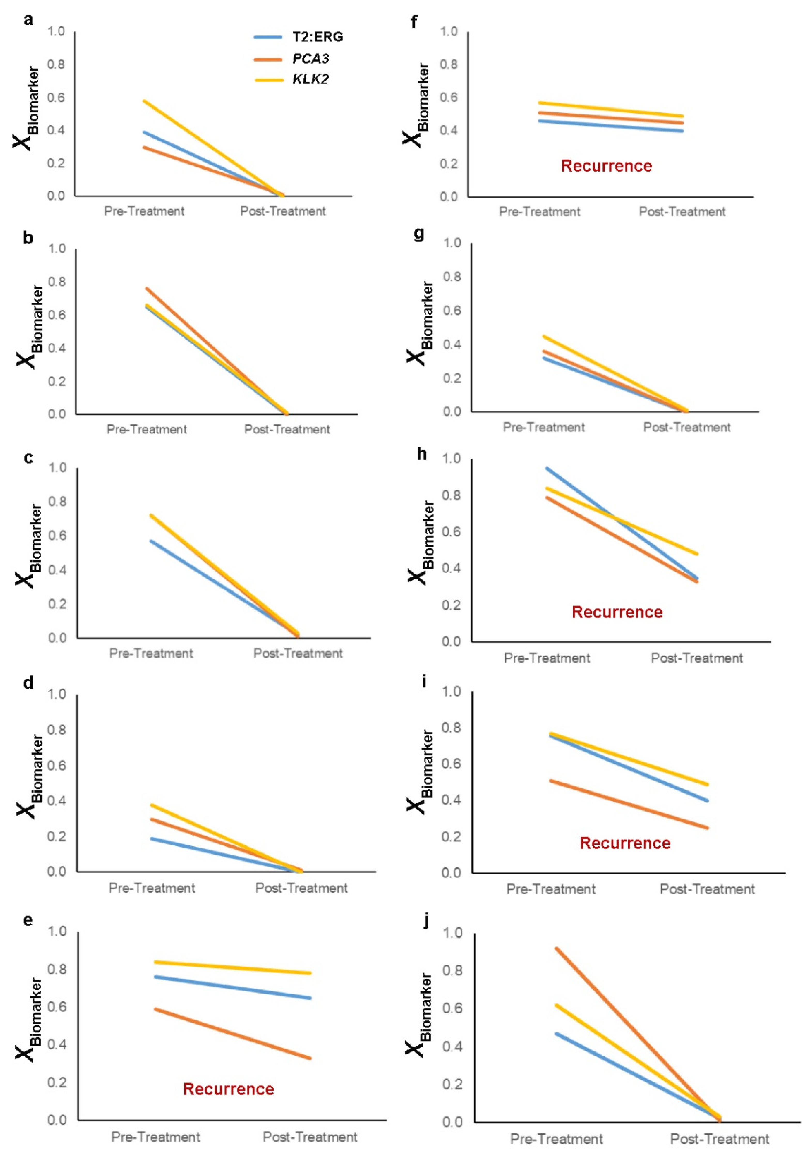
2.5. Minimal Residual Disease Monitoring in Patient Urine Samples for Prostate Cancer Recurrence
3. Materials and Methods
3.1. Materials
3.2. Magnetic Isolation of ctNAs
3.3. Isothermal Amplification of ctRNA Biomarkers on Magnetic Beads
3.4. Electrochemical Detection via Iron Oxide Nanozymes/Methylene Blue Bioelectrocatalytic System
3.5. Data Analysis
3.6. qPCR Validation
4. Conclusions
Supplementary Materials
Funding
Conflicts of Interest
References
- Rostami, A.; Lambie, M.; Yu, C.W.; Stambolic, V.; Waldron, J.N.; Bratman, S.V. Senescence, Necrosis, and Apoptosis Govern Circulating Cell-Free DNA Release Kinetics. Cell Rep. 2020, 31, 107830. [Google Scholar] [CrossRef] [PubMed]
- Heitzer, E.; Auinger, L.; Speicher, M.R. Cell-Free DNA and Apoptosis: How Dead Cells Inform about the Living. Trends Mol. Med. 2020, 26, 519–528. [Google Scholar] [CrossRef]
- Wan, J.C.M.; Massie, C.; Garcia-Corbacho, J.; Mouliere, F.; Brenton, J.D.; Caldas, C.; Pacey, S.; Baird, R.; Rosenfeld, N. Liquid Biopsies Come of Age: Towards Implementation of Circulating Tumour DNA. Nat. Rev. Cancer 2017, 17, 223–238. [Google Scholar] [CrossRef]
- Sanz-Garcia, E.; Zhao, E.; Bratman, S.V.; Siu, L.L. Monitoring and Adapting Cancer Treatment using Circulating Tumor DNA Kinetics: Current Research, Opportunities, and Challenges. Sci. Adv. 2022, 8, eabi8618. [Google Scholar] [CrossRef] [PubMed]
- Cescon, D.W.; Bratman, S.V.; Chan, S.M.; Siu, L.L. Circulating Tumor DNA and Liquid Biopsy in Oncology. Nat. Cancer 2020, 1, 276–290. [Google Scholar] [CrossRef] [PubMed]
- Kasi, P.M.; Fehringer, G.; Taniguchi, H.; Starling, N.; Nakamura, Y.; Kotani, D.; Powles, T.; Li, B.T.; Pusztai, L.; Aushev, V.N.; et al. Impact of Circulating Tumor DNA-Based Detection of Molecular Residual Disease on the Conduct and Design of Clinical Trials for Solid Tumors. JCO Precis. Oncol. 2022, 6, e2100181. [Google Scholar] [CrossRef] [PubMed]
- Garcia-Murillas, I.; Schiavon, G.; Weigelt, B.; Ng, C.; Hrebien, S.; Cutts, R.J.; Cheang, M.; Osin, P.; Nerurkar, A.; Kozarewa, I.; et al. Mutation Tracking in Circulating Tumor DNA Predicts Relapse in Early Breast Cancer. Sci. Transl. Med. 2015, 7, 302ra133. [Google Scholar] [CrossRef]
- Parsons, H.A.; Rhoades, J.; Reed, S.C.; Gydush, G.; Ram, P.; Exman, P.; Xiong, K.; Lo, C.C.; Li, T.; Fleharty, M.; et al. Sensitive Detection of Minimal Residual Disease in Patients Treated for Early-Stage Breast Cancer. Clin. Cancer Res. 2020, 26, 2556–2564. [Google Scholar] [CrossRef]
- Tie, J.; Wang, Y.X.; Tomasetti, C.; Li, L.; Springer, S.; Kinde, I.; Silliman, N.; Tacey, M.; Wong, H.L.; Christie, M.; et al. Circulating Tumor DNA Analysis Detects Minimal Residual Disease and Predicts Recurrence In Patients With Stage II Colon Cancer. Sci. Transl. Med. 2016, 8, 346ra92. [Google Scholar] [CrossRef]
- Einstein, D.J.; Liang, N.; Malhotra, M.; Aleshin, A.; Moshkevich, S.; Billings, P.R.; Pectasides, E. Assessment of Molecular Remission in Oligometastatic Esophageal Cancer with a Personalized Circulating Tumor DNA Assay. JCO Precis. Oncol. 2020, 4, 239–243. [Google Scholar] [CrossRef]
- Zeng, Y.; Koo, K.M.; Shen, A.G.; Hu, J.M.; Trau, M. Nucleic Acid Hybridization-Based Noise Suppression for Ultraselective Multiplexed Amplification of Mutant Variants. Small 2021, 17, e2006370. [Google Scholar] [CrossRef]
- Newman, A.M.; Lovejoy, A.F.; Klass, D.M.; Kurtz, D.M.; Chabon, J.J.; Scherer, F.; Stehr, H.; Liu, C.L.; Bratman, S.V.; Say, C.; et al. Integrated Digital Error Suppression for Improved Detection of Circulating Tumor DNA. Nat. Biotechnol. 2016, 34, 547–555. [Google Scholar] [CrossRef] [PubMed]
- Wu, L.R.; Chen, S.X.; Wu, Y.; Patel, A.A.; Zhang, D.Y. Multiplexed Enrichment of Rare DNA Variants via Sequence-Selective and Temperature-Robust Amplification. Nat. Biomed. Eng. 2017, 1, 714–723. [Google Scholar] [CrossRef] [PubMed]
- Koo, K.M.; Carrascosa, L.G.; Trau, M. DNA-Directed Assembly of Copper Nanoblocks with Inbuilt Fluorescent and Electrochemical Properties: Application in Simultaneous Amplification-Free Analysis of Multiple RNA Species. Nano Res. 2017, 11, 940–952. [Google Scholar] [CrossRef]
- Li, J.; Koo, K.M.; Wang, Y.; Trau, M. Native MicroRNA Targets Trigger Self-Assembly of Nanozyme-Patterned Hollowed Nanocuboids with Optimal Interparticle Gaps for Plasmonic-Activated Cancer Detection. Small 2019, 15, e1904689. [Google Scholar] [CrossRef]
- Wu, J.; Wang, X.; Wang, Q.; Lou, Z.; Li, S.; Zhu, Y.; Qin, L.; Wei, H. Nanomaterials with Enzyme-Like Characteristics (Nanozymes): Next-Generation Artificial Enzymes (II). Chem. Soc. Rev. 2019, 48, 1004–1076. [Google Scholar]
- Wu, J.; Li, S.; Wei, H. Integrated Nanozymes: Facile Preparation and Biomedical Applications. Chem. Commun. 2018, 54, 6520–6530. [Google Scholar] [CrossRef]
- Wei, H.; Gao, L.; Fan, K.; Liu, J.; He, J.; Qu, X.; Dong, S.; Wang, E.; Yan, X. Nanozymes: A Clear Definition with Fuzzy Edges. Nano Today 2021, 40, 101269. [Google Scholar] [CrossRef]
- Zhang, R.; Yan, X.; Fan, K. Nanozymes Inspired by Natural Enzymes. Acc. Mater. Res. 2021, 2, 534–547. [Google Scholar] [CrossRef]
- Gao, L.Z.; Zhuang, J.; Nie, L.; Zhang, J.B.; Zhang, Y.; Gu, N.; Wang, T.H.; Feng, J.; Yang, D.L.; Perrett, S.; et al. Intrinsic Peroxidase-Like Activity of Ferromagnetic Nanoparticles. Nat. Nanotechnol. 2007, 2, 577–583. [Google Scholar] [CrossRef]
- Gao, L.Z.; Fan, K.L.; Yan, X.Y. Iron Oxide Nanozyme: A Multifunctional Enzyme Mimetic for Biomedical Applications. Theranostics 2017, 7, 3207–3227. [Google Scholar] [CrossRef] [PubMed]
- Yang, Y.-C.; Wang, Y.-T.; Tseng, W.-L. Amplified Peroxidase-Like Activity in Iron Oxide Nanoparticles Using Adenosine Monophosphate: Application to Urinary Protein Sensing. ACS Appl. Mater. Interfaces 2017, 9, 10069–10077. [Google Scholar] [CrossRef] [PubMed]
- Koo, K.M.; Dey, S.; Trau, M. A Sample-to-Targeted Gene Analysis Biochip for Nanofluidic Manipulation of Solid-Phase Circulating Tumor Nucleic Acid Amplification in Liquid Biopsies. ACS Sens. 2018, 3, 2597–2603. [Google Scholar] [CrossRef]
- Dong, H.; Du, W.; Dong, J.; Che, R.; Kong, F.; Cheng, W.; Ma, M.; Gu, N.; Zhang, Y. Depletable Peroxidase-Like Activity of Fe3O4 Nanozymes Accompanied with Separate Migration of Electrons and Iron Ions. Nat. Commun. 2022, 13, 5365. [Google Scholar] [CrossRef]
- Wang, X.; Dong, S.; Wei, H. Recent Advances on Nanozyme-based Electrochemical Biosensors. Electroanalysis 2022, 34, e202100684. [Google Scholar] [CrossRef]
- Koo, K.M.; Soda, N.; Shiddiky, M.J.A. Magnetic Nanomaterial–Based Electrochemical Biosensors for the Detection of Diverse Circulating Cancer Biomarkers. Curr. Opin. Electrochem. 2021, 25, 100645. [Google Scholar] [CrossRef]
- Soda, N.; Gonzaga, Z.J.; Chen, S.; Koo, K.M.; Nguyen, N.-T.; Shiddiky, M.J.A.; Rehm, B.H.A. Bioengineered Polymer Nanobeads for Isolation and Electrochemical Detection of Cancer Biomarkers. ACS Appl. Mater. Interfaces 2021, 13, 31418–31430. [Google Scholar] [CrossRef]
- Chen, H.-W.; Fang, Z.-S.; Chen, Y.-T.; Chen, Y.-I.; Yao, B.-Y.; Cheng, J.-Y.; Chien, C.-Y.; Chang, Y.-C.; Hu, C.-M.J. Targeting and Enrichment of Viral Pathogen by Cell Membrane Cloaked Magnetic Nanoparticles for Enhanced Detection. ACS Appl. Mater. Interfaces 2017, 9, 39953–39961. [Google Scholar] [CrossRef] [PubMed]
- Damavandi, F.; Wang, W.; Shen, W.Z.; Cetinel, S.; Jordan, T.; Jovel, J.; Montemagno, C.; Wong, G.K. Enrichment of Low Abundance DNA/RNA by Oligonucleotide-Clicked Iron Oxide Nanoparticles. Sci. Rep. 2021, 11, 13053. [Google Scholar] [CrossRef]
- Chen, H.; Hu, H.; Tao, C.; Clauson, R.M.; Moncion, I.; Luan, X.; Hwang, S.; Sough, A.; Sansanaphongpricha, K.; Liao, J.; et al. Self-Assembled Au@Fe Core/Satellite Magnetic Nanoparticles for Versatile Biomolecule Functionalization. ACS Appl. Mater. Interfaces 2019, 11, 23858–23869. [Google Scholar] [CrossRef]
- Koo, K.M.; Trau, M. Direct Enhanced Detection of Multiple Circulating Tumor DNA Variants in Unprocessed Plasma by Magnetic-Assisted Bioelectrocatalytic Cycling. ACS Sens. 2020, 5, 3217–3225. [Google Scholar] [CrossRef] [PubMed]
- Koo, K.M.; Trau, M. Molecular Locker Probe Enrichment of Gene Fusion Variants from Matched Patient Liquid Biopsy Specimens for Magneto-Bioelectrocatalytic Nanosensing. Nanoscale 2022, 14, 4225–4233. [Google Scholar] [CrossRef] [PubMed]
- Koo, K.M.; Mainwaring, P.N.; Tomlins, S.A.; Trau, M. Merging New-Age Biomarkers and Nanodiagnostics for Precision Prostate Cancer Management. Nat. Rev. Urol. 2019, 16, 302–317. [Google Scholar] [CrossRef] [PubMed]
- Tomlins, S.A.; Day, J.R.; Lonigro, R.J.; Hovelson, D.H.; Siddiqui, J.; Kunju, L.P.; Dunn, R.L.; Meyer, S.; Hodge, P.; Groskopf, J.; et al. Urine TMPRSS2:ERG Plus PCA3 for Individualized Prostate Cancer Risk Assessment. Eur. Urol. 2015, 70, 45–53. [Google Scholar] [CrossRef] [PubMed]
- Hessels, D.; Schalken, J.A. Urinary Biomarkers for Prostate Cancer: A Review. Asian J. Androl. 2013, 15, 333–339. [Google Scholar] [CrossRef]
- Chen, Q.; Liu, Y.; Liu, J.; Liu, J. Liposome-Boosted Peroxidase-Mimicking Nanozymes Breaking the pH Limit. Chem. Eur. J. 2020, 26, 16659–16665. [Google Scholar] [CrossRef]
- Vallabani, N.V.S.; Karakoti, A.S.; Singh, S. ATP-Mediated Intrinsic Peroxidase-like Activity of Fe3O4-Based Nanozyme: One Step Detection of Blood Glucose at Physiological pH. Colloids Surf. B 2017, 153, 52–60. [Google Scholar] [CrossRef]
- Tomlins, S.A.; Rhodes, D.R.; Perner, S.; Dhanasekaran, S.M.; Mehra, R.; Sun, X.W.; Varambally, S.; Cao, X.H.; Tchinda, J.; Kuefer, R.; et al. Recurrent Fusion of TMPRSS2 and ETS Transcription Factor Genes in Prostate Cancer. Science 2005, 310, 644–648. [Google Scholar] [CrossRef]
- Ferreira, L.B.; Palumbo, A.; de Mello, K.D.; Sternberg, C.; Caetano, M.S.; de Oliveira, F.L.; Neves, A.F.; Nasciutti, L.E.; Goulart, L.R.; Gimba, E.R.P. PCA3 noncoding RNA is Involved in the Control of Prostate-Cancer Cell Survival and Modulates Androgen Receptor Signaling. BMC Cancer 2012, 12, 507. [Google Scholar] [CrossRef]
- Koo, K.M.; Carrascosa, L.G.; Shiddiky, M.J.A.; Trau, M. Amplification-Free Detection of Gene Fusions in Prostate Cancer Urinary Samples Using mRNA-Gold Affinity Interactions. Anal. Chem. 2016, 88, 6781–6788. [Google Scholar] [CrossRef]
- Wen, Q.; Liang, X.; Pan, H.; Li, J.; Zhang, Y.; Zhu, W.; Long, Z. Rapid and Sensitive Electrochemical Detection of MicroRNAs by Gold Nanoparticle-Catalyzed Silver Enhancement. Analyst 2020, 145, 7893–7897. [Google Scholar] [CrossRef] [PubMed]
- Zhou, H.; Zhang, J.; Li, B.; Liu, J.; Xu, J.-J.; Chen, H.-Y. Dual-Mode SERS and Electrochemical Detection of miRNA Based on Popcorn-like Gold Nanofilms and Toehold-Mediated Strand Displacement Amplification Reaction. Anal. Chem. 2021, 93, 6120–6127. [Google Scholar] [CrossRef] [PubMed]
- Koo, K.M.; Dey, S.; Trau, M. Amplification-Free Multi-RNA-Type Profiling for Cancer Risk Stratification via Alternating Current Electrohydrodynamic Nanomixing. Small 2018, 14, 1704025. [Google Scholar] [CrossRef] [PubMed]




Disclaimer/Publisher’s Note: The statements, opinions and data contained in all publications are solely those of the individual author(s) and contributor(s) and not of MDPI and/or the editor(s). MDPI and/or the editor(s) disclaim responsibility for any injury to people or property resulting from any ideas, methods, instructions or products referred to in the content. |
© 2023 by the author. Licensee MDPI, Basel, Switzerland. This article is an open access article distributed under the terms and conditions of the Creative Commons Attribution (CC BY) license (https://creativecommons.org/licenses/by/4.0/).
Share and Cite
Koo, K.M. Multifunctional Hybrid Nanozymes for Magnetic Enrichment and Bioelectrocatalytic Sensing of Circulating Tumor RNA during Minimal Residual Disease Monitoring. Catalysts 2023, 13, 178. https://doi.org/10.3390/catal13010178
Koo KM. Multifunctional Hybrid Nanozymes for Magnetic Enrichment and Bioelectrocatalytic Sensing of Circulating Tumor RNA during Minimal Residual Disease Monitoring. Catalysts. 2023; 13(1):178. https://doi.org/10.3390/catal13010178
Chicago/Turabian StyleKoo, Kevin M. 2023. "Multifunctional Hybrid Nanozymes for Magnetic Enrichment and Bioelectrocatalytic Sensing of Circulating Tumor RNA during Minimal Residual Disease Monitoring" Catalysts 13, no. 1: 178. https://doi.org/10.3390/catal13010178
APA StyleKoo, K. M. (2023). Multifunctional Hybrid Nanozymes for Magnetic Enrichment and Bioelectrocatalytic Sensing of Circulating Tumor RNA during Minimal Residual Disease Monitoring. Catalysts, 13(1), 178. https://doi.org/10.3390/catal13010178

