Metal and Metal Oxide Nanoparticles Catalyzed C–H Activation for C–O and C–X (X = Halogen, B, P, S, Se) Bond Formation
Abstract
1. Introduction
2. Carbon-Oxygen (C–O) Bond Formation
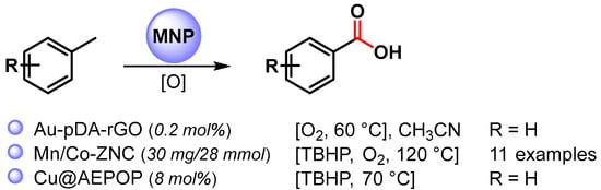
2.1. Toluene C(sp3)–H Activation
2.2. Alkyl Arenes C(sp3)–H Activation
2.3. Cycloalkane C(sp3)–H Activation
2.4. Aromatic C(sp2)–H Activation
2.5. Olefinic C(sp2)–H Activation
2.6. Formyl C(sp2)–H Activation
3. Carbon–Halogen (C–X) Bond Formation
4. Carbon–Boron (C–B) Bond Formation
5. Carbon–Phosporous (C–P) Bond Formation
6. Carbon–Sulfur and Carbon–Selenium (C–S/C–Se) Bond Formation
7. Conclusions
Author Contributions
Funding
Acknowledgments
Conflicts of Interest
References
- Dalton, T.; Faber, T.; Glorius, F. C–H Activation: Toward Sustainability and Applications. ACS Cent. Sci. 2021, 7, 245–261. [Google Scholar] [CrossRef] [PubMed]
- Santoro, S.; Ferlin, F.; Vaccaro, L. Sustainable Approaches to C–H Functionalizations Through Flow Techniques—Flow Chemistry; RSC Green Chemistry: Cambridge, UK, 2020; pp. 199–216. [Google Scholar]
- Santoro, S.; Ferlin, F.; Ackermann, L.; Vaccaro, L. C–H functionalization reactions under flow conditions. Chem. Soc. Rev. 2019, 48, 2767–2782. [Google Scholar] [CrossRef] [PubMed]
- Santoro, S.; Marrocchi, A.; Lanari, D.; Ackermann, L.; Vaccaro, L. Towards Sustainable C–H Functionalization Reactions: The Emerging Role of Bio-Based Reaction Media. Chem. Eur. J. 2018, 24, 13383–13390. [Google Scholar] [CrossRef] [PubMed]
- Ali, R.; Siddiqui, R. Recent Developments in Remote Meta-C−H Bond Functionalizations. Adv. Synth. Catal. 2021, 363, 1290–1316. [Google Scholar] [CrossRef]
- Singh, P.; Chouhan, K.K.; Mukherjee, A. Ruthenium Catalyzed Intramolecular C−X (X=C, N, O, S) Bond Formation via C−H Functionalization: An Overview. Chem. Asian J. 2021, 16, 2392–2412. [Google Scholar] [CrossRef] [PubMed]
- Dhawa, U.; Kaplaneris, N.; Ackermann, L. Green strategies for transition metal-catalyzed C–H activation in molecular syntheses. Org. Chem. Front. 2021, 8, 4886–4913. [Google Scholar] [CrossRef]
- Rufino-Felipe, E.; Osorio-Yáñez, R.N.; Vera, M.; Valdés, H.; González-Sebastián, L.; Reyes-Sanchez, A.; Morales-Morales, D. Transition-metal complexes bearing chelating NHC Ligands. Catalytic activity in cross coupling reactions via C–H activation. Polyhedron 2021, 204, 115220. [Google Scholar] [CrossRef]
- Zhang, Q.; Shi, B.-F. 2-(Pyridin-2-yl)isopropyl (PIP) Amine: An Enabling Directing Group for Divergent and Asymmetric Functionalization of Unactivated Methylene C(sp3)−H Bonds. Acc. Chem. Res. 2021, 54, 2750–2763. [Google Scholar] [CrossRef] [PubMed]
- Zhang, M.; Wang, Q.; Peng, Y.; Chen, Z.; Wan, C.; Chen, J.; Zhao, Y.; Zhang, R.; Zhang, A.Q. Transition metal-catalyzed sp3 C–H activation and intramolecular C–N coupling to construct nitrogen heterocyclic scaffolds. Chem. Commun. 2019, 55, 13048–13065. [Google Scholar] [CrossRef]
- Rouquet, G.; Chatani, N. Catalytic functionalization of C(sp2)–H and C(sp3)–H bonds by using bidentate directing groups. Angew. Chem. Int. Ed. 2013, 52, 11726–11743. [Google Scholar] [CrossRef]
- Gandeepan, P.; Kaplaneris, N.; Santoro, S.; Vaccaro, L.; Ackermann, L. Biomass-Derived Solvents for Sustainable Transition Metal-Catalyzed C–H Activation. ACS Sustainable Chem. Eng. 2019, 7, 8023–8040. [Google Scholar] [CrossRef]
- Gandeepan, P.; Muller, T.; Zell, D.; Cera, G.; Warratz, S.; Ackermann, L. 3d Transition Metals for C–H Activation. Chem. Rev. 2019, 119, 2192–2452. [Google Scholar] [CrossRef] [PubMed]
- Chu, J.C.K.; Rovis, T. Complementary Strategies for Directed C(sp3)–H Functionalization: A Comparison of Transition-Metal-Catalyzed Activation, Hydrogen Atom Transfer, and Carbene/Nitrene Transfer. Angew. Chem. Int. Ed. 2018, 57, 62–101. [Google Scholar] [CrossRef] [PubMed]
- Gandeepan, P.; Ackermann, L. Transient Directing Groups for Transformative C–H Activation by Synergistic Metal Catalysis. Chem 2018, 4, 199–222. [Google Scholar] [CrossRef]
- Petrini, M. Regioselective Direct C–Alkenylation of Indoles. Chem. Eur. J. 2017, 23, 16115–16151. [Google Scholar] [CrossRef]
- Arockiam, P.B.; Bruneau, C.; Dixneuf, P.H. Ruthenium(II)-Catalyzed C–H Bond Activation and Functionalization. Chem. Rev. 2012, 112, 5879–5918. [Google Scholar] [CrossRef]
- Hashiguchi, B.G.; Bischof, S.M.; Konnick, M.M.; Periana, R.A. Designing Catalysts for Functionalization of Unactivated C–H Bonds Based on the CH Activation Reaction. Acc. Chem. Res. 2012, 45, 885–898. [Google Scholar] [CrossRef]
- Shilov, A.E.; Shul’pin, G.B. Activation of C–H Bonds by Metal Complexes. Chem. Rev. 1997, 97, 2879–2932. [Google Scholar] [CrossRef]
- Liu, B.; Romine, A.M.; Rubel, C.Z.; Engle, K.M.; Shi, B.-F. Transition-Metal-Catalyzed, Coordination-Assisted Functionalization of Nonactivated C(sp3)–H Bonds. Chem. Rev. 2021, 121, 14957–15074. [Google Scholar] [CrossRef]
- Mandal, R.; Garai, B.; Sundararaju, B. Weak-Coordination in C–H Bond Functionalizations Catalyzed by 3d Metals. ACS Catal. 2022, 12, 3452–3506. [Google Scholar] [CrossRef]
- Sápi, A.; Rajkumar, T.; Kiss, J.; Kukovecz, Á.; Kónya, Z.; Somorjai, G.A. Metallic nanoparticles in heterogeneous catalysis. Catal. Lett. 2021, 151, 2153–2175. [Google Scholar] [CrossRef]
- Valentini, F.; Ferlin, F.; Lilli, S.; Marrocchi, A.; Ping, L.; Gu, Y.; Vaccaro, L. Valorisation of urban waste to access low-cost heterogeneous palladium catalysts for cross-coupling reactions in biomass-derived γ-valerolactone. Green Chem. 2021, 23, 5887–5895. [Google Scholar] [CrossRef]
- Trombettoni, V.; Ferlin, F.; Valentini, F.; Campana, F.; Silvetti, M.; Vaccaro, L. POLITAG-Pd (0) catalyzed continuous flow hydrogenation of lignin-derived phenolic compounds using sodium formate as a safe H-source. Mol. Catal. 2021, 509, 111613. [Google Scholar] [CrossRef]
- Ohtaka, A. Recent Progress of Metal Nanoparticle Catalysts for C–C Bond Forming Reactions. Catalysts 2021, 11, 1266. [Google Scholar] [CrossRef]
- Kumar, A.; Choudhary, P.; Kumar, A.; Camargo, P.H.; Krishnan, V. Recent advances in plasmonic photocatalysis based on TiO2 and noble metal nanoparticles for energy conversion, environmental remediation, and organic synthesis. Small 2022, 18, 2101638. [Google Scholar] [CrossRef]
- Ndolomingo, M.J.; Bingwa, N.; Meijboom, R. Review of supported metal nanoparticles: Synthesis methodologies, advantages and application as catalysts. J. Mater. Sci. 2020, 55, 6195–6241. [Google Scholar] [CrossRef]
- Cortes-Clerget, M.; Akporji, N.; Takale, B.S.; Wood, A.; Landstrom, E.; Lipshutz, B.H. Earth-Abundant and Precious Metal Nanoparticle Catalysis. Nanoparticles Catal. 2020, 77–129. [Google Scholar] [CrossRef]
- Hu, H.; Xin, J.H.; Hu, H.; Wang, X.; Miao, D.; Liu, Y. Synthesis and stabilization of metal nanocatalysts for reduction reactions–a review. J. Mater. Chem. A 2015, 3, 11157–11182. [Google Scholar] [CrossRef]
- Tao, F.F. Metal Nanoparticles for Catalysis: Advances and Applications, 1st ed.; Royal Society of Chemistry: Cambridge, UK, 2014. [Google Scholar]
- Valentini, F.; Piermatti, O.; Vaccaro, L. Metal nanoparticles as sustainable tools for C–N bond formation via C–H activation. Molecules 2021, 26, 4106. [Google Scholar] [CrossRef]
- Baroliya, P.K.; Chopra, J.; Pal, T.; Maiti, S.; Al-Thabaiti, S.A.; Mokhtar, M.; Maiti, D. Supported Metal Nanoparticles Assisted Catalysis: A Broad Concept in Functionalization of Ubiquitous C−H Bonds. ChemCatChem 2021, 13, 4655–4678. [Google Scholar] [CrossRef]
- Asensio, J.M.; Bouzouita, D.; van Leeuwen, P.W.N.M.; Chaudret, B. σ-H-H, σ-C–H, and σ-Si-H Bond Activation Catalyzed by Metal Nanoparticles. Chem. Rev. 2020, 120, 1042–1084. [Google Scholar] [CrossRef] [PubMed]
- Valentini, F.; Brufani, G.; Latterini, L.; Vaccaro, L. Metal Nanoparticles Catalyzed C–C Bond Formation via C–H Activation. In Advanced Heterogeneous Catalysts Volume 1: Applications at the Nano-Scale; American Chemical Society: Washington, DC, USA, 2020; pp. 513–543. [Google Scholar] [CrossRef]
- Saha, D.; Mukhopadhyay, C. Metal Nanoparticles: An Efficient Tool for Heterocycles Synthesis and Their Functionalization via C–H Activation. Curr. Organocatal. 2018, 6, 79–91. [Google Scholar] [CrossRef]
- Pla, D.; Gómez, M. Metal and Metal Oxide Nanoparticles: A Lever for C–H Functionalization. ACS Catal. 2016, 6, 3537–3552. [Google Scholar] [CrossRef]
- Ferlin, F.; Anastasiou, I.; Salameh, N.; Miyakoshi, T.; Baudoin, O.; Vaccaro, L. C(sp3)−H Arylation Promoted by a Heterogeneous Palladium-N-Heterocyclic Carbene Complex in Batch and Continuous Flow. ChemSusChem 2022, 15, e202102736. [Google Scholar] [CrossRef] [PubMed]
- Salameh, N.; Anastasiou, I.; Ferlin, F.; Minio, F.; Chen, S.; Santoro, S.; Liu, P.; Gu, Y.; Vaccaro, L. Heterogeneous palladium-catalysed intramolecular C(sp3)–H α-arylation for the green synthesis of oxindoles. Mol. Catal. 2022, 522, 112211. [Google Scholar] [CrossRef]
- Anastasiou, I.; Ferlin, F.; Viteritti, O.; Santoro, S.; Vaccaro, L. Pd/C–catalyzed aerobic oxidative C–H alkenylation of arenes in γ-valerolactone (GVL). Mol. Catal. 2021, 513, 111787. [Google Scholar] [CrossRef]
- Ferlin, F.; Anastasiou, I.; Carpisassi, L.; Vaccaro, L. Aerobic waste-minimized Pd-catalysed C–H alkenylation in GVL using a tube-in-tube heterogeneous flow reactor. Green Chem. 2021, 23, 6576–6582. [Google Scholar] [CrossRef]
- Campana, F.; Massaccesi, B.M.; Santoro, S.; Piermatti, O.; Vaccaro, L. Polarclean/Water as a Safe and Recoverable Medium for Selective C2-Arylation of Indoles Catalyzed by Pd/C. ACS Sust. Chem. Eng. 2020, 8, 16441–16450. [Google Scholar] [CrossRef]
- Sciosci, D.; Valentini, F.; Ferlin, F.; Chen, S.; Gu, Y.; Piermatti, O.; Vaccaro, L. A heterogeneous and recoverable palladium catalyst to access the regioselective C–H alkenylation of quinoline N-oxides. Green Chem. 2020, 22, 6560–6566. [Google Scholar] [CrossRef]
- Ferlin, F.; Luque Navarro, P.M.; Gu, Y.; Lanari, D.; Vaccaro, L. Waste minimized synthesis of pharmaceutically active compounds via heterogeneous manganese catalysed C–H oxidation in flow. Green Chem. 2020, 22, 397–403. [Google Scholar] [CrossRef]
- Ferlin, F.; van der Hulst, M.K.; Santoro, S.; Lanari, D.; Vaccaro, L. Continuous flow/waste minimized synthesis of benzoxazoles catalysed by heterogeneous manganese systems. Green Chem. 2019, 21, 5298–5305. [Google Scholar] [CrossRef]
- Paul, A.; Chatterjee, D.; Banerjee, S.; Somnath Yadav, S. Synthesis of 3-alkenylindoles through regioselective C–H alkenylation of indoles by a ruthenium nanocatalyst. Beilstein J. Org. Chem. 2020, 16, 140–148. [Google Scholar] [CrossRef] [PubMed]
- Bora, P.; Konwar, D.; Dewan, A.; Das, M.R.; Bora, U. Bio-carbon-layered CuO-catalyzed decarboxylative alkenylation of cyclic ethers. New J. Chem. 2022, 46, 12551–12557. [Google Scholar] [CrossRef]
- Xie, R.; Xie, F.; Zhou, C.J.; Jiang, H.F.; Zhang, M. Hydrogen transfer-mediated selective dual C–H alkylations of 2-alkylquinolines by doped TiO2-supported nanocobalt oxides. J. Catal. 2019, 377, 449–454. [Google Scholar] [CrossRef]
- Abeadi, N.; Zhiani, R.; Motavalizadehkakhky, A.; Omidvar, M.; Hosseiny, M.S. FPS/[Fe(Bpy)3]2+ NPs as a nanocatalyst for production of quinoline-2-ones through the annulation of ortho-heteroaryl anilines and CO2. Inorg. Chem. Commun. 2021, 123, 108356. [Google Scholar] [CrossRef]
- Rana, P.; Gaur, R.; Kaushik, B.; Rana, P.; Yadav, S.; Yadav, P.; Sharma, P.; Gawande, M.B.; Sharma, R.K. Surface engineered Iridium-based magnetic photocatalyst paving a path towards visible light driven C-H arylation and cyanation reaction. J. Catal. 2021, 401, 297–308. [Google Scholar] [CrossRef]
- Rana, P.; Gaur, R.; Gupta, R.; Arora, G.; Jayashree, A.; Sharma, R.K. Cross-dehydrogenative C(sp3)–C(sp3) coupling via C–H activation using magnetically retrievable ruthenium-based photoredox nanocatalyst under aerobic conditions. Chem. Commun. 2019, 55, 7402–7405. [Google Scholar] [CrossRef]
- Gruttadauria, M.; Giacalone, F.; Noto, R. “Release and catch” catalytic systems. Green Chem. 2013, 15, 2608–2618. [Google Scholar] [CrossRef]
- Fairlamb, I.J.S.; Lee, A.F. Fundamental Pd(0)/Pd(II) redox steps in cross-coupling reactions: Homogeneous, hybrid homogeneous–heterogeneous to heterogeneous mechanistic pathways for C–C couplings. In Catalytic C–H/C–X Bond Functionalization: Transition Metal Mediation; RSC Catalysis Series; No. 11; Ribas, X., Ed.; RSC Publishing: Cambridge, UK, 2013; pp. 72–107. [Google Scholar]
- Fessner, N.D. P450 Monooxygenases Enable Rapid Late-Stage Diversification of Natural Products via C−H Bond Activation. ChemCatChem 2019, 11, 2226–2242. [Google Scholar] [CrossRef]
- Borpatra, P.J.; Deka, B.; Deb, M.L.; Baruah, P.K. Recent advances in intramolecular C–O/C–N/C–S bond formation: Via C–H functionalization. Org. Chem. Front. 2019, 6, 3445–3489. [Google Scholar] [CrossRef]
- Newhouse, T.; Baran, P.S. If C–H Bonds Could Talk: Selective C–H Bond Oxidation. Angew. Chem. Int. Ed. 2011, 50, 3362–3374. [Google Scholar] [CrossRef] [PubMed]
- Schuchardt, U.; Cardoso, D.; Sercheli, R.; Pereira, R.; da Cruz, R.S.; Guerreiro, M.C.; Mandelli, D.; Spinace, E.V.; Pires, E.L. Cyclohexane oxidation continues to be a challenge. Appl. Catal. A Gen. 2001, 211, 1–17. [Google Scholar] [CrossRef]
- Dimitratos, N.; Lopez-Sanchez, J.A.; Hutchings, G.J. Selective liquid phase oxidation with supported metal nanoparticles. Chem. Sci. 2012, 3, 20–44. [Google Scholar] [CrossRef]
- Wang, V.C.-C.; Maji, S.; Chen, P.P.-Y.; Lee, H.K.; Yu, S.S.-F.; Chan, S.I. Alkane Oxidation: Methane Monooxygenases, Related Enzymes, and Their Biomimetics. Chem. Rev. 2017, 117, 8574–8621. [Google Scholar] [CrossRef] [PubMed]
- Latimer, A.A.; Kulkarni, A.R.; Aljama, H.; Montoya, J.H.; Yoo, J.S.; Tsai, C.; Abild-Pedersen, F.; Studt, F.; Noerskov, J.K. Understanding trends in C–H bond activation in heterogeneous catalysis. Nat. Mater. 2017, 16, 225–229. [Google Scholar] [CrossRef]
- Freakley, S.J.; Dimitratos, N.; Willock, D.J.; Taylor, S.H.; Kiely, C.J.; Hutchings, G.J. Methane Oxidation to Methanol in Water. Acc. Chem. Res. 2021, 54, 2614–2623. [Google Scholar] [CrossRef]
- Sundberg, M.R.; Zborowski, K.K.; Alkorta, I. Multiple 3cA2e bonding of methane with metal cations. Chem. Phys. Lett. 2011, 515, 210–213. [Google Scholar] [CrossRef]
- Voutchkova, A.M.; Crabtree, R.H. Iridium-catalyzed benzylic C–H activation and functionalization of alkyl arenes. J. Mol. Catal. A Chem. 2009, 312, 1–6. [Google Scholar] [CrossRef]
- Kesavan, L.; Tiruvalam, R.; Ab Rahim, M.H.; bin Saiman, M.I.; Enache, D.I.; Jenkins, R.L.; Dimitratos, N.; Lopez-Sanchez, J.A.; Taylor, S.H.; Knight, D.W.; et al. Solvent-Free Oxidation of Primary Carbon-Hydrogen Bonds in Toluene Using Au-Pd Alloy Nanoparticles. Science 2011, 331, 195–199. [Google Scholar] [CrossRef]
- Binsaiman, M.I.; Brett, G.L.; Tiruvalam, R.; Forde, M.M.; Sharples, K.; Thetford, A.; Jenkins, R.L.; Dimitratos, N.; Lopez-Sanchez, J.A.; Murphy, D.M.; et al. Involvement of surface-bound radicals in the oxidation of toluene using supported Au-Pd nanoparticles. Angew. Chem. Int. Ed. 2012, 51, 5981–5985. [Google Scholar] [CrossRef]
- Lingampalli, S.R.; Gupta, U.; Gautam, U.K.; Rao, C.N.R. Oxidation of toluene and other examples of C–H bond activation by CdO2 and ZnO2 nanoparticles. ChemPlusChem 2013, 78, 837–842. [Google Scholar] [CrossRef] [PubMed]
- Das, P.P.; Chowdhury, B. Indium oxide nanoparticles embedded in TUD-1 as a highly selective catalyst for toluene to benzaldehyde oxidation using TBHP as oxidant. Chem. Pap. 2020, 74, 2091–2100. [Google Scholar] [CrossRef]
- Biswas, R.; Das, S.K.; Bhaduri, S.N.; Bhaumik, A.; Biswas, P. AgNPs Immobilized over Functionalized 2D Hexagonal SBA-15 for Catalytic C–H Oxidation of Hydrocarbons with Molecular Oxygen under Solvent-Free Conditions. ACS Sust. Chem. Eng. 2020, 8, 5856–5867. [Google Scholar] [CrossRef]
- Dai, Y.; Poidevin, C.; Ochoa-Hernández, C.; Auer, A.A.; Tüysüz, H. A Supported Bismuth Halide Perovskite Photocatalyst for Selective Aliphatic and Aromatic C–H Bond Activation. Angew. Chem. Int. Ed. 2020, 59, 5788–5796. [Google Scholar] [CrossRef]
- Zhang, Z.; Yang, Y.; Wang, Y.; Yang, L.; Li, Q.; Chen, L.; Xu, D. Revealing the A-Site Effect of Lead-Free A3Sb2Br9 Perovskite in Photocatalytic C(sp3)−H Bond Activation. Angew. Chem. Int. Ed. 2020, 59, 18136–18139. [Google Scholar] [CrossRef] [PubMed]
- Yan, Y.; Ye, B.; Chen, M.; Lu, L.; Yu, J.; Zhou, Y.; Wang, Y.; Liu, J.; Xiao, L.; Zou, S.; et al. Site-specific deposition creates electron-rich Pd atoms for unprecedented C−H activation in aerobic alcohol oxidation. Chin. J. Catal. 2020, 41, 1240–1247. [Google Scholar] [CrossRef]
- Majumdar, B.; Bhattacharya, T.; Sarma, T.K. Gold Nanoparticle-Polydopamine-Reduced Graphene Oxide Ternary Nanocomposite as an Efficient Catalyst for Selective Oxidation of Benzylic C(sp3)–H Bonds under Mild Conditions. ChemCatChem 2016, 8, 1825–1835. [Google Scholar] [CrossRef]
- Huang, C.; Su, X.; Gu, X.; Liu, R.; Zhu, H. Bimetallic oxide nanoparticles confined in ZIF-67-derived carbon for highly selective oxidation of saturated C–H bond in alkyl arenes. Appl. Organomet. Chem. 2021, 35, e6047. [Google Scholar] [CrossRef]
- Dong, Z.; Pan, H.; Yang, L.; Fan, L.; Xiao, Y.; Chen, J.; Wang, W. Porous organic polymer immobilized copper nanoparticles as heterogeneous catalyst for efficient benzylic C–H bond oxidation. J. Saudi Chem. Soc. 2022, 26, 101397. [Google Scholar] [CrossRef]
- Liu, H.; Chen, G.; Jiang, H.; Li, Y.; Luque, R. From alkyl aromatics to aromatic esters: Efficient and selective C–H activation promoted by a bimetallic heterogeneous catalyst. ChemSusChem 2012, 5, 1892–1896. [Google Scholar] [CrossRef]
- Verma, S.; Nasir Baig, R.B.; Nadagouda, M.N.; Varma, R.S. Photocatalytic C–H activation and oxidative esterification using Pd@g-C3N4. Catal. Today 2018, 309, 248–252. [Google Scholar] [CrossRef] [PubMed]
- Zhang, Y.; Liu, G. Development of highly efficient and durable reduced graphene oxide decorated with Ag/Co3O4 nanocomposite towards photocatalytic C–H activation. J. Photochem. Photobiol. A Chem 2020, 394, 112494. [Google Scholar] [CrossRef]
- Zhang, B.; Yang, X.; Li, J.; Cheng, G. Selective aerobic oxidation of alkyl aromatics on Bi2MoO6 nanoplates decorated with Pt nanoparticles under visible light irradiation. Chem. Commun. 2018, 54, 12194–12197. [Google Scholar] [CrossRef] [PubMed]
- Gupta, S.S.R.; Lakshmi Kantam, M. Finely dispersed CuO on nitrogen-doped carbon hollow nanospheres for selective oxidation of sp3 C–H bonds. New J. Chem. 2021, 45, 16179–16186. [Google Scholar] [CrossRef]
- Sahin, Y.; Sika-Nartey, A.T.; Ercan, K.E.; Kocak, Y.; Senol, S.; Ozensoy, E.; Türkmen, Y.E. Precious Metal-Free LaMnO3 Perovskite Catalyst with an Optimized Nanostructure for Aerobic C–H Bond Activation Reactions: Alkylarene Oxidation and Naphthol Dimerization. ACS Appl. Mater. Interfaces 2021, 13, 5099–5110. [Google Scholar] [CrossRef]
- Hayashi, E.; Tamura, T.; Aihara, T.; Kamata, K.; Hara, M. Base-Assisted Aerobic C–H Oxidation of Alkylarenes with a Murdochite-Type Oxide Mg6MnO8 Nanoparticle Catalyst. ACS Appl. Mater. Interfaces 2022, 14, 6528–6537. [Google Scholar] [CrossRef]
- Korwar, S.; Brinkley, K.; Siamaki, A.R.; Gupton, B.F.; Ellis, K.C. Selective N -Chelation-directed C–H activation reactions catalyzed by pd(II) nanoparticles supported on multiwalled carbon nanotubes. Org. Lett. 2015, 17, 1782–1785. [Google Scholar] [CrossRef]
- Wang, F.; Huang, F.; Yu, Y.; Zhou, S.; Wang, Z.; Zhang, W. Monodisperse CuPd alloy nanoparticles supported on reduced graphene oxide as efficient catalyst for directed C−H activation. Catal. Commun. 2021, 153, 106296. [Google Scholar] [CrossRef]
- Mendez, V.; Guillois, K.; Daniele, S.; Tuel, A.; Caps, V. Aerobic methylcyclohexane-promoted epoxidation of stilbene over gold nanoparticles supported on Gd-doped titania. Dalton Trans. 2010, 39, 8457–8463. [Google Scholar] [CrossRef]
- Liu, Y.; Tsunoyama, H.; Akita, T.; Xie, S.; Tsukuda, T. Aerobic oxidation of cyclohexane catalyzed by size-controlled au clusters on hydroxyapatite: Size effect in the sub-2 nm regime. ACS Catal. 2011, 1, 2–6. [Google Scholar] [CrossRef]
- Long, J.; Liu, H.; Wu, S.; Liao, S.; Li, Y. Selective oxidation of saturated hydrocarbons using Au-Pd alloy nanoparticles supported on metal-organic frameworks. ACS Catal. 2013, 3, 647–654. [Google Scholar] [CrossRef]
- Liu, R.; Huang, H.; Li, H.; Liu, Y.; Zhong, J.; Li, Y.; Zhang, S.; Kang, Z. Metal nanoparticle/carbon quantum dot composite as a photocatalyst for high-efficiency cyclohexane oxidation. ACS Catal. 2014, 4, 328–336. [Google Scholar] [CrossRef]
- Donoeva, B.G.; Ovoshchnikov, D.S.; Golovko, V.B. Establishing a Au nanoparticle size effect in the oxidation of cyclohexene using gradually changing Au catalysts. ACS Catal. 2013, 3, 2986–2991. [Google Scholar] [CrossRef]
- Priyadarshini, S.; Amal Joseph, P.J.; Lakshmi Kantam, M. Copper catalyzed cross-coupling reactions of carboxylic acids: An expedient route to amides, 5-substituted γ-lactams and α-acyloxy esters. RSC Adv. 2013, 3, 18283–18287. [Google Scholar] [CrossRef]
- Bao, U.; Muschin, T.; Bao, A.; Bao, Y.S.; Jia, M. FeNP-loaded coal-bearing kaolin catalysts for the direct esterification of benzoic acid with cyclic ether via C(sp3)–H bond activation. Green Chem. Lett. Rev. 2021, 14, 565–577. [Google Scholar] [CrossRef]
- Tian, K.; Liu, W.J.; Zhang, S.; Jiang, H. One-pot synthesis of a carbon supported bimetallic Cu-Ag NPs catalyst for robust catalytic hydroxylation of benzene to phenol by fast pyrolysis of biomass waste. Green Chem. 2016, 18, 5643–5650. [Google Scholar] [CrossRef]
- Verma, S.; Nasir Baig, R.B.; Nadagouda, M.N.; Varma, R.S. Hydroxylation of Benzene via C–H Activation Using Bimetallic CuAg@g-C3N4. ACS Sust. Chem. Eng. 2017, 5, 3637–3640. [Google Scholar] [CrossRef]
- Losada-García, N.; Rodríguez-Otero, A.; Palomo, J.M. Tailorable synthesis of heterogeneous enzyme-copper nanobiohybrids and their application in the selective oxidation of benzene to phenol. Catal. Sci. Technol. 2020, 10, 196–206. [Google Scholar] [CrossRef]
- Zhang, Y.; Zhao, Y.; Luo, Y.; Xiao, L.; Huang, Y.; Li, X.; Peng, Q.; Liu, Y.; Yang, B.; Zhu, C.; et al. Directed Aromatic C–H Activation/Acetoxylation Catalyzed by Pd Nanoparticles Supported on Graphene Oxide. Org. Lett. 2017, 19, 6470–6473. [Google Scholar] [CrossRef]
- Mondal, J.; Borah, P.; Sreejith, S.; Nguyen, K.T.; Han, X.; Ma, X.; Zhao, Y. Morphology-tuned exceptional catalytic activity of porous-polymer-supported Mn3O4 in aerobic sp3 C–H bond oxidation of aromatic hydrocarbons and alcohols. ChemCatChem 2014, 6, 3518–3529. [Google Scholar] [CrossRef]
- Salarinejad, N.; Dabiri, M.; Movahed, S.K. Directed aromatic C–H functionalization of N-arylcarbamates and quinazolinones catalyzed by palladium nanoparticles supported on nitrogen-doped graphene. Colloids Interface Sci. Commun. 2022, 47, 100606. [Google Scholar] [CrossRef]
- Payra, S.; Saha, A.; Guchhait, S.; Banerjee, S. Direct CuO nanoparticle-catalyzed synthesis of poly-substituted furans: Via oxidative C–H/C–H functionalization in aqueous medium. RSC Adv. 2016, 6, 33462–33467. [Google Scholar] [CrossRef]
- Yatabe, T.; Jin, X.; Mizuno, N.; Yamaguchi, K. Unusual Olefinic C–H Functionalization of Simple Chalcones toward Aurones Enabled by the Rational Design of a Function-Integrated Heterogeneous Catalyst. ACS Catal. 2018, 8, 4969–4978. [Google Scholar] [CrossRef]
- Jayarajan, R.; Kumar, R.; Gupta, J.; Dev, G.; Kadu, P.; Chatterjee, D.; Bahadur, D.; Maiti, D.; Maji, S.K. Fabrication of an amyloid fibril-palladium nanocomposite: A sustainable catalyst for C–H activation and the electrooxidation of ethanol. J. Mater. Chem. A 2019, 7, 4486–4493. [Google Scholar] [CrossRef]
- Murty, M.S.R.; Penthala, R.; Buddana, S.K.; Prakasham, R.S.; Das, P.; Polepalli, S.; Jain, N.; Bojja, S. Recyclable CuO nanoparticles-catalyzed synthesis of novel-2,5-disubstituted 1,3,4-oxadiazoles as antiproliferative, antibacterial, and antifungal agents. Med. Chem. Res. 2014, 23, 4579–4594. [Google Scholar] [CrossRef]
- Saberi, D.; Mansoori, S.; Ghaderi, E.; Niknam, K. Copper nanoparticles on charcoal: An effective nanocatalyst for the synthesis of enol carbamates and amides via an oxidative coupling route. Tetrahedron. Lett. 2016, 57, 95–99. [Google Scholar] [CrossRef]
- Vishwakarma, R.; Gadipelly, C.; Nakhate, A.; Deshmukh, G.; Mannepalli, L.K. Copper supported Mg–Al hydrotalcite derived oxide catalyst for enol carbamates synthesis via C–H bond activation of formamides. Catal. Commun. 2020, 147, 106150. [Google Scholar] [CrossRef]
- Kim, K.; Jung, Y.; Lee, S.; Kim, M.; Shin, D.; Byun, H.; Cho, S.J.; Song, H.; Kim, H. Directed C−H Activation and Tandem Cross-Coupling Reactions Using Palladium Nanocatalysts with Controlled Oxidation. Angew. Chem. Int. Ed. 2017, 56, 6952–6956. [Google Scholar] [CrossRef]
- Pascanu, V.; Carson, F.; Solano, M.V.; Su, J.; Zou, X.; Johansson, M.J.; Martín-Matute, B. Selective Heterogeneous C–H Activation/Halogenation Reactions Catalyzed by Pd@MOF Nanocomposites. Chem. Eur. J. 2016, 22, 3729–3737. [Google Scholar] [CrossRef]
- Warratz, S.; Burns, D.J.; Zhu, C.; Korvorapun, K.; Rogge, T.; Scholz, J.; Jooss, C.; Gelman, D.; Ackermann, L. meta -C−H Bromination on Purine Bases by Heterogeneous Ruthenium Catalysis. Angew. Chem. Int. Ed. 2017, 56, 1557–1560. [Google Scholar] [CrossRef]
- Mkhalid, I.A.I.; Barnard, J.H.; Marder, T.B.; Murphy, J.M.; Hartwig, J.F. C–H activation for the construction of C–B bonds. Chem. Rev. 2010, 110, 890–931. [Google Scholar] [CrossRef] [PubMed]
- Ishiyama, T.; Ishida, K.; Takagi, J.; Miyaura, N. Palladium-Catalyzed Benzylic C–H Borylation of Alkylbenzenes with Bis(pinacolato)diboron or Pinacolborane. Chem. Lett. 2001, 30, 1082–1083. [Google Scholar] [CrossRef]
- Yinghuai, Z.; Chenyan, K.; Ang, T.P.; Emi, A.; Monalisa, W.; Louis, L.K.J.; Hosmane, N.S.; Maguire, J.A. Catalytic phenylborylation reaction by iridium(0) nanoparticles produced from hydridoiridium carborane. Inorg. Chem. 2008, 47, 5756–5761. [Google Scholar] [CrossRef] [PubMed]
- Yan, G.; Jiang, Y.; Kuang, C.; Wang, S.; Liu, H.; Zhang, Y.; Wang, J. Nano-Fe2O3-catalyzed direct borylation of arenes. Chem. Commun. 2010, 46, 3170–3172. [Google Scholar] [CrossRef]
- Das, A.; Hota, P.K.; Mandal, S.K. Nickel-Catalyzed C(sp2)–H Borylation of Arenes. Organometallics 2019, 38, 3286–3293. [Google Scholar] [CrossRef]
- Demmer, C.S.; Krogsgaard-Larsen, N.; Bunch, L. Review on modern advances of chemical methods for the introduction of a phosphonic acid group. Chem. Rev. 2011, 111, 7981–8006. [Google Scholar] [CrossRef]
- Moglie, Y.; Mascaró, E.; Gutierrez, V.; Alonso, F.; Radivoy, G. Base-Free Direct Synthesis of Alkynylphosphonates from Alkynes and H-Phosphonates Catalyzed by Cu2O. J. Org. Chem. 2016, 81, 1813–1818. [Google Scholar] [CrossRef]
- Yuan, T.; Chen, F.; Lu, G.-P. Direct synthesis of alkynylphosphonates from alkynes and phosphite esters catalyzed by Cu/Cu2O nanoparticles supported on Nb2O5. New J. Chem. 2018, 42, 13957–13962. [Google Scholar] [CrossRef]
- Singh, H.; Sahoo, T.; Sen, C.; Galani, S.M.; Ghosh, S.C. Aerobic oxidative alkynylation of H-phosphonates and amides: An efficient route for the synthesis of alkynylphosphonates and ynamides using a recyclable Cu-MnO catalyst. Catal. Sci. Technol. 2019, 9, 1691–1698. [Google Scholar] [CrossRef]
- Tabarelli, G.; Dornelles, L.; Iglesias, B.A.; Gonçalves, D.F.; Terra Stefanello, S.; Soares, F.A.A.; Piccoli, B.C.; D’Avila da Silva, F.; da Rocha, J.B.T.; Schultze, E.; et al. Synthesis and Antitumoral Lung Carcinoma A549 and Antioxidant Activity Assays of New Chiral β-Aryl-Chalcogenium Azide Compounds. ChemistrySelect 2017, 2, 8423–8430. [Google Scholar] [CrossRef]
- Brutchey, R.L. Diorganyl Dichalcogenides as Useful Synthons for Colloidal Semiconductor Nanocrystals. Acc. Chem. Res. 2015, 48, 2918–2926. [Google Scholar] [CrossRef]
- Shen, C.; Zhang, P.; Sun, Q.; Bai, S.; Hor, T.S.A.; Liu, X. Recent advances in C–S bond formation via C–H bond functionalization and decarboxylation. Chem. Soc. Rev. 2015, 44, 291–314. [Google Scholar] [CrossRef] [PubMed]
- Iwasaki, M.; Nishihara, Y. Palladium-catalysed direct thiolation and selenation of aryl C–H bonds assisted by directing groups. Dalton Trans. 2016, 45, 15278–15284. [Google Scholar] [CrossRef] [PubMed]
- Mohan, B.; Hwang, S.; Woo, H.; Park, K.H. Copper Nanoparticle Catalyzed Formation of C–S Bonds through Activation of S-S and C–H Bonds: An Easy Route to Alkynyl Sulfides. Synthesis 2015, 47, 3741–3745. [Google Scholar] [CrossRef]
- Mohan, B.; Park, J.C.; Park, K.H. Mechanochemical Synthesis of Active Magnetite Nanoparticles Supported on Charcoal for Facile Synthesis of Alkynyl Selenides by C−H Activation. ChemCatChem 2016, 8, 2345–2350. [Google Scholar] [CrossRef]
- Godoi, M.; Ricardo, E.W.; Frizon, T.E.; Rocha, M.S.T.; Singh, D.; Paixão, M.W.; Braga, A.L. An efficient synthesis of alkynyl selenides and tellurides from terminal acetylenes and diorganyl diselenides or ditellurides catalyzed by recyclable copper oxide nanopowder. Tetrahedron 2012, 68, 10426–10430. [Google Scholar] [CrossRef]
- Godoi, M.; Liz, D.G.; Ricardo, E.W.; Rocha, M.S.T.; Azeredo, J.B.; Braga, A.L. Magnetite (Fe3O4) nanoparticles: An efficient and recoverable catalyst for the synthesis of alkynyl chalcogenides (selenides and tellurides) from terminal acetylenes and diorganyl dichalcogenides. Tetrahedron 2014, 70, 3349–3354. [Google Scholar] [CrossRef]
- Song, T.; Ren, P.; Xiao, J.; Yuan, Y.; Yang, Y. Highly dispersed Ni2P nanoparticles on N,P-codoped carbon for efficient cross-dehydrogenative coupling to access alkynyl thioethers. Green Chem. 2020, 22, 651–656. [Google Scholar] [CrossRef]
- Rosario, A.R.; Casola, K.K.; Oliveira, C.E.S.; Zeni, G. Copper oxide nanoparticle-catalyzed chalcogenation of the carbon-hydrogen bond in thiazoles: Synthesis of 2-(organochalcogen) thiazoles. Adv. Synth. Catal. 2013, 355, 2960–2966. [Google Scholar] [CrossRef]
- Rafique, J.; Saba, S.; Frizon, T.E.A.; Braga, A.L. Fe3O4 nanoparticles: A robust and magnetically recoverable catalyst for direct C–H bond selenylation and sulfenylation of benzothiazoles. ChemistrySelect 2018, 3, 328–334. [Google Scholar] [CrossRef]
- Gogoi, P.; Paul, B.; Hazarika, S.; Barman, P. Gold nanoparticle catalyzed intramolecular C–S bond formation/C–H bond functionalization/cyclization cascades. RSC Adv. 2015, 5, 57433–57436. [Google Scholar] [CrossRef]

































Disclaimer/Publisher’s Note: The statements, opinions and data contained in all publications are solely those of the individual author(s) and contributor(s) and not of MDPI and/or the editor(s). MDPI and/or the editor(s) disclaim responsibility for any injury to people or property resulting from any ideas, methods, instructions or products referred to in the content. |
© 2022 by the authors. Licensee MDPI, Basel, Switzerland. This article is an open access article distributed under the terms and conditions of the Creative Commons Attribution (CC BY) license (https://creativecommons.org/licenses/by/4.0/).
Share and Cite
Valentini, F.; Piermatti, O.; Vaccaro, L. Metal and Metal Oxide Nanoparticles Catalyzed C–H Activation for C–O and C–X (X = Halogen, B, P, S, Se) Bond Formation. Catalysts 2023, 13, 16. https://doi.org/10.3390/catal13010016
Valentini F, Piermatti O, Vaccaro L. Metal and Metal Oxide Nanoparticles Catalyzed C–H Activation for C–O and C–X (X = Halogen, B, P, S, Se) Bond Formation. Catalysts. 2023; 13(1):16. https://doi.org/10.3390/catal13010016
Chicago/Turabian StyleValentini, Federica, Oriana Piermatti, and Luigi Vaccaro. 2023. "Metal and Metal Oxide Nanoparticles Catalyzed C–H Activation for C–O and C–X (X = Halogen, B, P, S, Se) Bond Formation" Catalysts 13, no. 1: 16. https://doi.org/10.3390/catal13010016
APA StyleValentini, F., Piermatti, O., & Vaccaro, L. (2023). Metal and Metal Oxide Nanoparticles Catalyzed C–H Activation for C–O and C–X (X = Halogen, B, P, S, Se) Bond Formation. Catalysts, 13(1), 16. https://doi.org/10.3390/catal13010016

