Detection and Degradation Studies of Nile Blue Sulphate Using Electrochemical and UV-Vis Spectroscopic Techniques
Abstract
1. Introduction
2. Results and Discussion
2.1. Electrochemical Characterization
2.2. Square Wave Voltammetric Analysis of NBS
2.3. Effect of Various Scan Rates
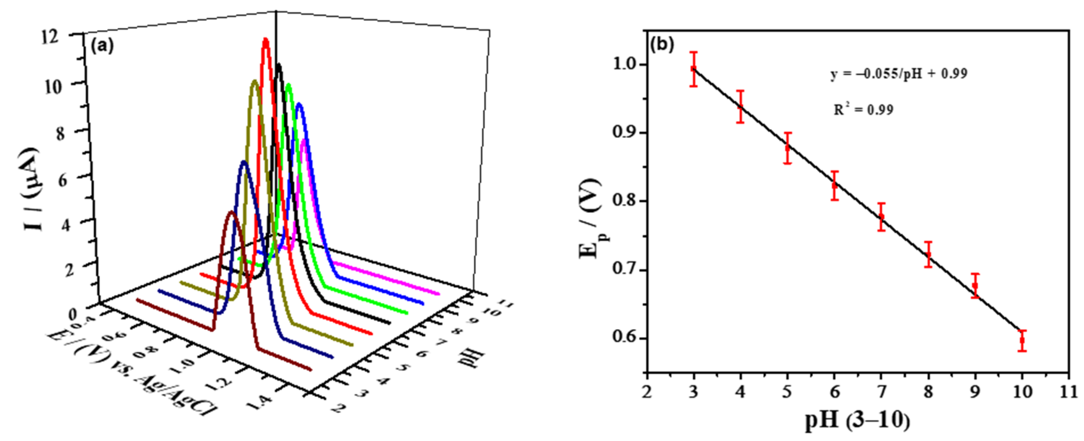
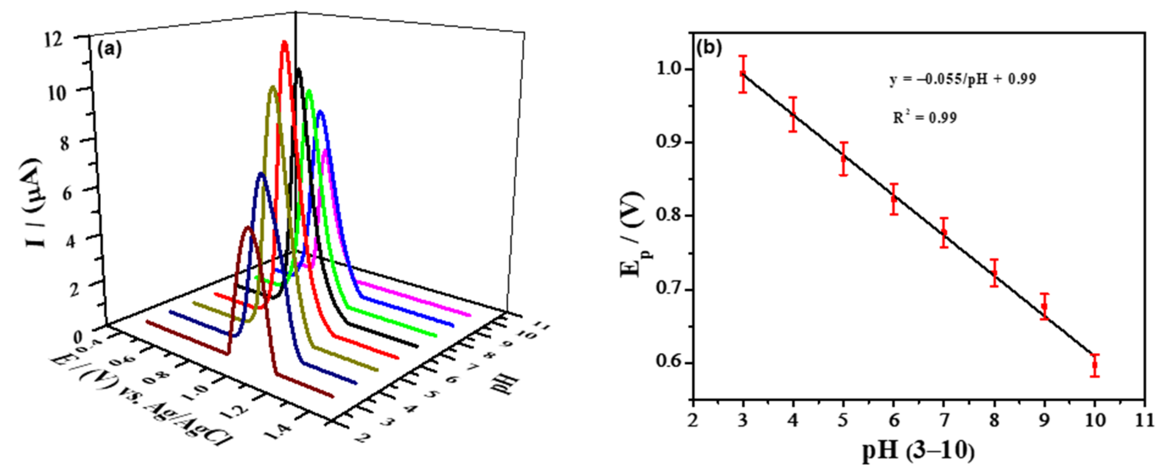
2.4. Optimization of Experimental Parameters
2.5. Analytical Characterization
2.6. Validity of the Designed Sensor
2.7. Study of Effects of Interferents for Validation of Designed Sensor
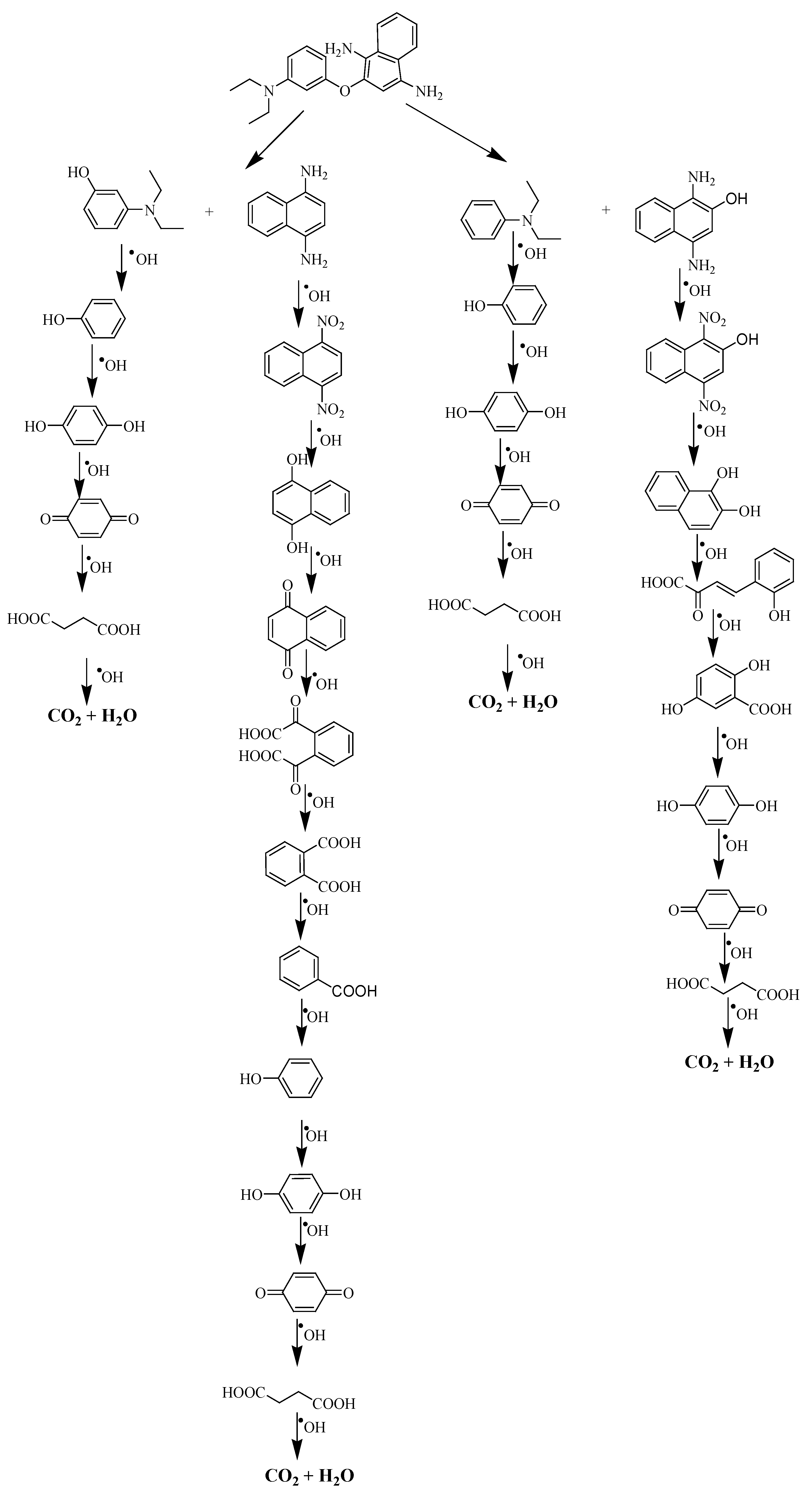
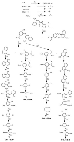
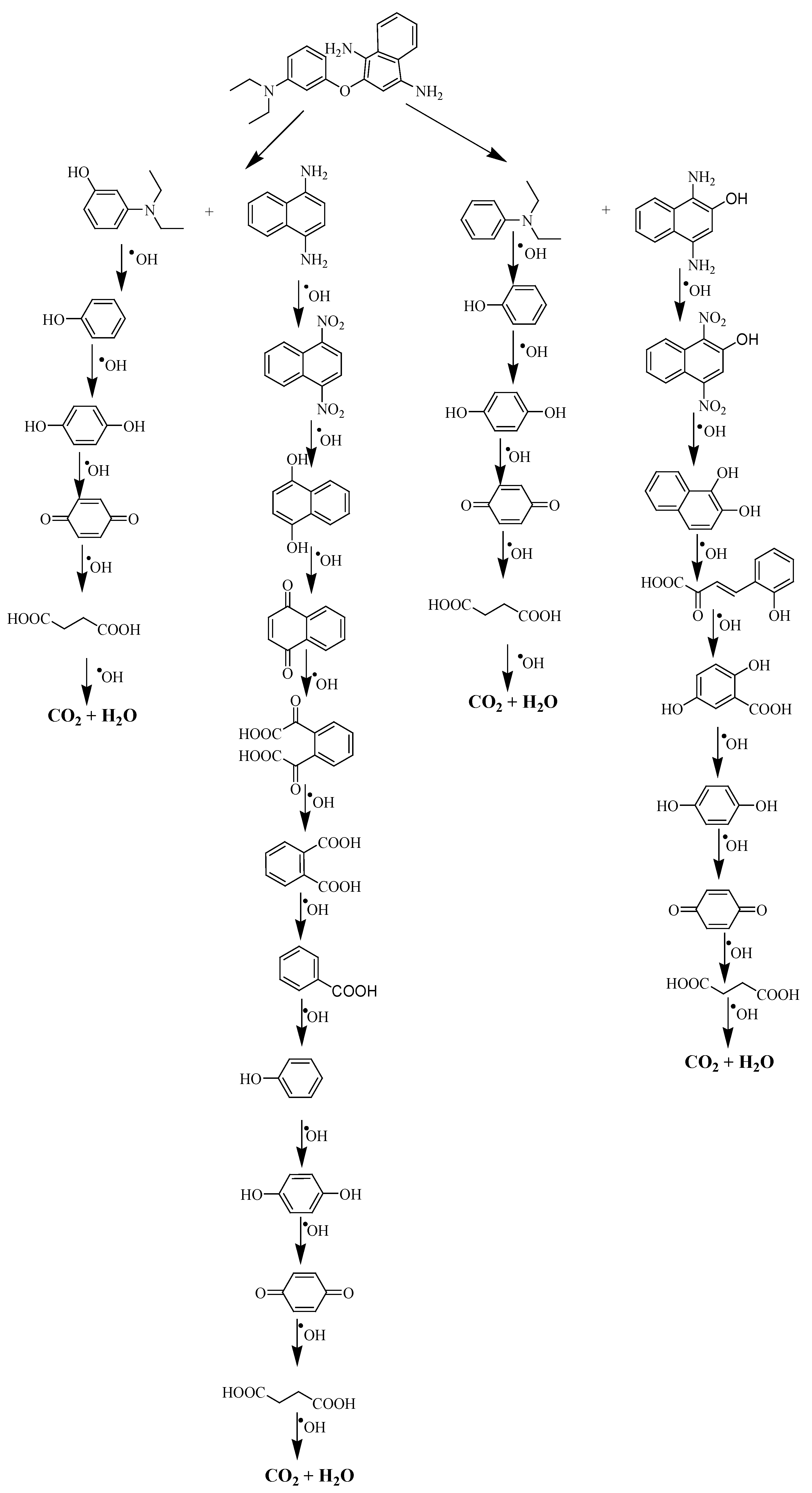
2.8. Photocatalytic Degradation Studies by Designed Electrochemical Sensor
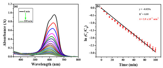
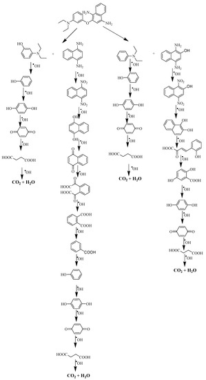
2.9. Spectroscopic Studies of NBS Photocatalytic Degradation
3. Experimental
3.1. Reagents and Materials
3.2. Instrumentation
3.3. Working Electrode Modification
3.4. Experimental Procedure
4. Conclusions
Supplementary Materials
Author Contributions
Funding
Data Availability Statement
Acknowledgments
Conflicts of Interest
References
- Tahir, M.B.; Nawaz, T.; Nabi, G.; Sagir, M.; Khan, M.I.; Malik, N. Role of nanophotocatalysts for the treatment of hazardous organic and inorganic pollutants in wastewater. Int. J. Environ. Anal. Chem. 2022, 102, 491–515. [Google Scholar] [CrossRef]
- Abd Elaty, I.; Kuriqi, A.; Shahawy, A.E. Environmental rethinking of wastewater drains to manage environmental pollution and alleviate water scarcity. Nat. Hazards 2022, 110, 2353–2380. [Google Scholar] [CrossRef]
- Basu, N.; Abass, K.; Dietz, R.; Kruemmel, E.; Rautio, A.; Weihe, P. The impact of mercury contamination on human health in the Arctic: A state of the science review. Sci. Total Environ. 2022, 831, 154793. [Google Scholar] [CrossRef]
- Naidu, R.; Biswas, B.; Willett, I.R.; Cribb, J.; Singh, B.K.; Nathanail, C.P.; Coulon, F.; Semple, K.T.; Jones, K.C.; Barclay, A. Chemical pollution: A growing peril and potential catastrophic risk to humanity. Environ. Int. 2021, 156, 106616. [Google Scholar] [CrossRef]
- Liu, X.; Yang, H.; Diao, Y.; He, Q.; Lu, C.; Singh, A.; Kumar, A.; Liu, J.; Lan, Q. Recent advances in the electrochemical applications of Ni-based metal organic frameworks (Ni-MOFs) and their derivatives. Chemosphere 2022, 307, 135729. [Google Scholar] [CrossRef]
- Zheng, M.; Chen, J.; Zhang, L.; Cheng, Y.; Lu, C.; Liu, Y.; Singh, A.; Trivedi, M.; Kumar, A.; Liu, J. Metal Organic Framework as an Efficient Adsorbent for Drugs from Wastewater. Mater. Today Commun. 2022, 31, 103514. [Google Scholar] [CrossRef]
- Khan, M.A.; Ghouri, A.M. Environmental pollution: Its effects on life and its remedies. Res. World J. Arts Sci. Commer. 2011, 2, 276–285. [Google Scholar]
- Pereira, J.C. Environmental issues and international relations, a new global (dis) order-the role of International Relations in promoting a concerted international system. Rev. Bras. Politica Int. 2015, 58, 191–209. [Google Scholar] [CrossRef]
- Khan, U.; Niaz, A.; Shah, A.; Zaman, M.I.; Zia, M.A.; Iftikhar, F.J.; Nisar, J.; Ahmed, M.N.; Akhter, M.S.; Shah, A.H. Thiamine-functionalized silver nanoparticles for the highly selective and sensitive colorimetric detection of Hg2+ ions. New J. Chem. 2018, 42, 528–534. [Google Scholar] [CrossRef]
- Sutar, S.; Patil, P.; Jadhav, J. Recent advances in biochar technology for textile dyes wastewater remediation: A review. Environ. Res. 2022, 209, 112841. [Google Scholar] [CrossRef]
- Malik, V.; Saya, L.; Gautam, D.; Sachdeva, S.; Dheer, N.; Arya, D.K.; Gambhir, G.; Hooda, S. Review on adsorptive removal of metal ions and dyes from wastewater using tamarind-based bio-composites. Polym. Bull. 2022, 79, 9267–9302. [Google Scholar] [CrossRef]
- Dutta, S.; Gupta, B.; Srivastava, S.K.; Gupta, A.K. Recent advances on the removal of dyes from wastewater using various adsorbents: A critical review. Mater. Adv. 2021, 2, 4497–4531. [Google Scholar] [CrossRef]
- Mani, S.; Bharagava, R.N. Exposure to crystal violet, its toxic, genotoxic and carcinogenic effects on environment and its degradation and detoxification for environmental safety. Rev. Environ. Contam. Toxicol. 2016, 237, 71–104. [Google Scholar]
- Vyavahare, G.; Sutar, S.; Gurav, R.; Patil, R.; Patil, D.; Jadhav, J. Application of biochar for the treatment of textile dyes and wastewaters. In Biochar and Its Application in Bioremediation; Springer: Berlin/Heidelberg, Germany, 2021; pp. 169–191. [Google Scholar]
- Karthikeyan, C.; Arunachalam, P.; Ramachandran, K.; Al-Mayouf, A.M.; Karuppuchamy, S. Recent advances in semiconductor metal oxides with enhanced methods for solar photocatalytic applications. J. Alloys Compd. 2020, 828, 154281. [Google Scholar] [CrossRef]
- Wu, Z.; Guo, K.; Cao, S.; Yao, W.; Piao, L. Synergetic catalysis enhancement between H2O2 and TiO2 with single-electron-trapped oxygen vacancy. Nano Res. 2020, 13, 551–556. [Google Scholar] [CrossRef]
- Castro, M.; Pereira, F.; Aller, A.; Littlejohn, D. Raman spectrometry as a screening tool for solvent-extracted azo dyes from polyester based textile fibers. Polym. Test. 2020, 91, 106765. [Google Scholar] [CrossRef]
- Metters, J.P.; Banks, C.E. Electrochemical utilisation of chemical vapour deposition grown carbon nanotubes as sensors. Vacuum 2012, 86, 507–519. [Google Scholar] [CrossRef]
- Norizan, M.N.; Moklis, M.H.; Demon, S.Z.N.; Halim, N.A.; Samsuri, A.; Mohamad, I.S.; Knight, V.F.; Abdullah, N. Carbon nanotubes: Functionalisation and their application in chemical sensors. RSC Adv. 2020, 10, 43704–43732. [Google Scholar] [CrossRef]
- Yaghoubi, A.; Ramazani, A. Synthesis of amino-functionalized carbon nanotubes and their applications. Curr. Org. Chem. 2018, 22, 1505–1522. [Google Scholar] [CrossRef]
- Zhu, G.; Hu, N.; Guo, M.; Liu, Y.; Ran, Q.; Zhao, H. A simple and efficient electrochemical sensor for determination of gallic acid based on multi-walled carbon nanotubes with carboxyl functionalization. Mater. Res. Innov. 2022, 26, 389–396. [Google Scholar] [CrossRef]
- Kaur, B.; Srivastava, R.; Satpati, B. Silver nanoparticle decorated polyaniline–zeolite nanocomposite material based non-enzymatic electrochemical sensor for nanomolar detection of lindane. RSC Adv. 2015, 5, 57657–57665. [Google Scholar] [CrossRef]
- Gowda, J.I.; Nandibewoor, S.T. Electrochemical behavior of paclitaxel and its determination at glassy carbon electrode. Asian J. Pharm. Sci. 2014, 9, 42–49. [Google Scholar] [CrossRef]
- Kurbanoglu, S.; Ozkan, S.A.; Merkoci, A. Nanomaterials-based enzyme electrochemical biosensors operating through inhibition for biosensing applications. Biosens. Bioelectron. 2017, 89, 886–898. [Google Scholar] [CrossRef]
- Nandini, S.; Nalini, S.; Sanetuntikul, J.; Shanmugam, S.; Niranjana, P.; Melo, J.S.; Suresh, G.S. Development of a simple bioelectrode for the electrochemical detection of hydrogen peroxide using Pichia pastoris catalase immobilized on gold nanoparticle nanotubes and polythiophene hybrid. Analyst 2014, 139, 5800–5812. [Google Scholar] [CrossRef]
- Rastogi, P.K.; Ganesan, V.; Krishnamoorthi, S. Palladium nanoparticles incorporated polymer-silica nanocomposite based electrochemical sensing platform for nitrobenzene detection. Electrochim. Acta 2014, 147, 442–450. [Google Scholar] [CrossRef]
- Gupta, R.; Rastogi, P.K.; Ganesan, V.; Yadav, D.K.; Sonkar, P.K. Gold nanoparticles decorated mesoporous silica microspheres: A proficient electrochemical sensing scaffold for hydrazine and nitrobenzene. Sens. Actuators B Chem. 2017, 239, 970–978. [Google Scholar] [CrossRef]
- Kokab, T.; Shah, A.; Iftikhar, F.J.; Nisar, J.; Akhter, M.S.; Khan, S.B. Amino acid-fabricated glassy carbon electrode for efficient simultaneous sensing of zinc (II), cadmium (II), copper (II), and mercury (II) ions. ACS Omega 2019, 4, 22057–22068. [Google Scholar] [CrossRef]
- Shah, A.; Akhtar, M.; Aftab, S.; Shah, A.H.; Kraatz, H.S. Gold copper alloy nanoparticles (Au-Cu NPs) modified electrode as an enhanced electrochemical sensing platform for the detection of persistent toxic organic pollutants. Electrochim. Acta 2017, 241, 281–290. [Google Scholar] [CrossRef]
- Kokab, T.; Manzoor, A.; Aftab, S.; Aslam, F.; Iftikhar, F.J.; Siddiqi, H.M.; Shah, A. A reliable sensing platform based on tribenzamide for sensitive and selective detection of Pb (II) ions. Inorg. Chem. Commun. 2022, 138, 109261. [Google Scholar] [CrossRef]
- Shah, A.; Ullah, A.; Rauf, A.; Rehman, Z.U.; Shujah, S.; Shah, S.M.; Waseem, A. Detailed electrochemical probing of a biologically active isoquinoline. J. Electrochem. Soc. 2013, 160, 597. [Google Scholar] [CrossRef]
- Abouzari, M.S.; Berkemeier, F.; Schmitz, G.; Wilmer, D. On the physical interpretation of constant phase elements. Solid State Ionics 2009, 180, 922–927. [Google Scholar] [CrossRef]
- Haque, J.; Verma, C.; Srivastava, V.; Quraishi, M.; Ebenso, E.E. Experimental and quantum chemical studies of functionalized tetrahydropyridines as corrosion inhibitors for mild steel in 1 M hydrochloric acid. Results Phys. 2018, 9, 1481–1493. [Google Scholar] [CrossRef]
- Kassa, A.; Amare, M. Poly (4-amino-3-hydroxynaphthalene-1-sulfonic acid) modified glassy carbon electrode for square wave voltammetric determination of amoxicillin in four tablet brands. BMC Chem. 2021, 15, 10. [Google Scholar] [CrossRef]
- Shah, A. A novel electrochemical nanosensor for the simultaneous sensing of two toxic food dyes. ACS Omega 2020, 5, 6187–6193. [Google Scholar] [CrossRef] [PubMed]
- Hayat, M.; Shah, A.; Nisar, J.; Shah, I.; Haleem, A.; Ashiq, M.N. A novel electrochemical sensing platform for the sensitive detection and degradation monitoring of methylene blue. Catalysts 2022, 12, 306. [Google Scholar] [CrossRef]
- Hakeem, M.K.; Shah, A.; Nisar, J.; Iftikhar, F.J.; Khan, S.B.; Shah, I. Electrochemical sensing platform for the detection and degradation studies of Metanil Yellow. J. Electrochem. Soc. 2022, 169, 056503. [Google Scholar] [CrossRef]
- Kokab, T.; Shah, A.; Khan, M.A.; Nisar, J.; Ashiq, M.N. Electrochemical sensing platform for the simultaneous femtomolar detection of amlodipine and atorvastatin drugs. RSC Adv. 2021, 11, 27135–27151. [Google Scholar] [CrossRef] [PubMed]
- Wang, J.; Yang, B.; Wang, H.; Yang, P.; Du, Y. Highly sensitive electrochemical determination of Sunset Yellow based on gold nanoparticles/graphene electrode. Anal. Chim. Acta 2015, 893, 41–48. [Google Scholar] [CrossRef]
- Mo, Z.; Zhang, Y.; Zhao, F.; Xiao, F.; Guo, G.; Zeng, B. Sensitive voltammetric determination of Sudan I in food samples by using gemini surfactant ionic liquid multiwalled carbon nanotube composite film modified glassy carbon electrodes. Food Chem. 2010, 121, 233–237. [Google Scholar] [CrossRef]
- Kokab, T.; Shah, A.; Khan, M.A.; Arshad, M.; Nisar, J.; Ashiq, M.N.; Zia, M.A. Simultaneous femtomolar detection of paracetamol, diclofenac, and orphenadrine using a carbon nanotube/zinc oxide nanoparticle-based electrochemical sensor. ACS Appl. Nano Mater. 2021, 4, 4699–4712. [Google Scholar] [CrossRef]
- Wang, H.; Guo, X.; Fu, S.; Yang, T.; Wen, Y.; Yang, H. Optimized core shell Au@ Ag nanoparticles for label free Raman determination of trace Rhodamine B with cancer risk in food product. Food Chem. 2015, 188, 137–142. [Google Scholar] [CrossRef] [PubMed]
- Chandu, B.; Bharati, M.S.S.; Albrycht, P.; Rao, S.V. Fabrication of nanocages on nickel using femtosecond laser ablation and trace level detection of Malachite Green and Nile Blue dyes using surface enhanced Raman spectroscopic technique. Opt. Laser Technol. 2020, 131, 106454. [Google Scholar] [CrossRef]
- Moram, S.S.B.; Byram, C.; Soma, V.R. Gold nanoparticle and nanostar loaded paper based SERS substrates for sensing nanogram level picric acid with a portable Raman spectrometer. Bull. Mater. Sci. 2020, 43, 53. [Google Scholar] [CrossRef]
- Somsen, G.; Coulter, S.; Gooijer, C.; Velthorst, N.; Brinkman, U.T. Coupling of column liquid chromatography and surface enhanced resonance Raman spectroscopy via a thin layer chromatographic plate. Anal. Chim. Acta 1997, 349, 189–197. [Google Scholar] [CrossRef]
- Drisko, G.L.; Cao, L.; Kimling, M.C.; Harrisson, S.; Luca, V.; Caruso, R.A. Pore size and volume effects on the incorporation of polymer into macro and mesoporous zirconium titanium oxide membranes. ACS Appl. Mater. Interfaces 2009, 1, 2893–2901. [Google Scholar] [CrossRef] [PubMed]
- Teixeira, S.; Martins, P.; Lanceros-Mendez, S.; Kuhn, K.; Cuniberti, G. Reusability of photocatalytic TiO2 and ZnO nanoparticles immobilized in poly (vinylidene difluoride)-co-trifluoroethylene. Appl. Surf. Sci. 2016, 384, 497–504. [Google Scholar] [CrossRef]
- Kushwaha, R.; Garg, S.; Bajpai, S.; Giri, A.S. Degradation of Nile blue sulphate dye onto iron oxide nanoparticles: Kinetic study, identification of reaction intermediates, and proposed mechanistic pathways. Asia-Pac. J. Chem. Eng. 2018, 13, 2200. [Google Scholar] [CrossRef]
- Irfan, M.; Shah, A.; Iftikhar, F.J.; Hayat, M.; Ashiq, M.N.; Shah, I. Electrochemical sensing platform based on functionalized multi-walled carbon nanotubes and metal oxide for the detection and degradation studies of orange II dye. ACS Omega 2022, 7, 32302–32312. [Google Scholar] [CrossRef]
- Yahya, R.; Shah, A.; Kokab, T.; Ullah, N.; Hakeem, M.K.; Hayat, M.; Haleem, A.; Shah, I. Electrochemical Sensor for detection and degradation studies of ethyl violet dye. ACS Omega 2022, 7, 34154–34165. [Google Scholar] [CrossRef] [PubMed]
- Rao, C.; Zhou, L.; Pan, Y.; Lu, C.; Qin, X.; Sakiyama, H.; Muddassir, M.; Liu, J. The extra-large calixarene-based MOFs derived hierarchical composites for photocatalysis of dye: Facile syntheses and contribution of carbon species. J. Alloys Compd. 2022, 897, 163178. [Google Scholar] [CrossRef]
- Wang, J.; Rao, C.; Lu, L.; Zhang, S.; Muddassir, M.; Liu, J. Efficient photocatalytic degradation of methyl violet using two new 3D MOFs directed by different carboxylate spacers. CrystEngComm 2021, 23, 741–747. [Google Scholar] [CrossRef]
- Mosmann, T. Rapid colorimetric assay for cellular growth and survival: Application to proliferation and cytotoxicity assays. J. Immunol. Methods 1983, 65, 55–63. [Google Scholar] [CrossRef] [PubMed]
- Shah, A.; Shah, A.H.; Parveen, N.; Rehman, Z.; Khan, S.Z.; Rana, U.A.; Khan, S.U.D.; Nisar, J.; Lashin, A.; Qureshi, R. Synthesis and electrochemical investigations of piperazines. Electrochim. Acta 2016, 220, 705–711. [Google Scholar] [CrossRef]
- Kokab, T.; Manzoor, A.; Shah, A.; Siddiqi, H.M.; Nisar, J.; Ashiq, M.N.; Shah, A.H. Development of tribenzamide functionalized electrochemical sensor for femtomolar level sensing of multiple inorganic water pollutants. Electrochim. Acta 2020, 353, 136569. [Google Scholar] [CrossRef]












Disclaimer/Publisher’s Note: The statements, opinions and data contained in all publications are solely those of the individual author(s) and contributor(s) and not of MDPI and/or the editor(s). MDPI and/or the editor(s) disclaim responsibility for any injury to people or property resulting from any ideas, methods, instructions or products referred to in the content. |
© 2023 by the authors. Licensee MDPI, Basel, Switzerland. This article is an open access article distributed under the terms and conditions of the Creative Commons Attribution (CC BY) license (https://creativecommons.org/licenses/by/4.0/).
Share and Cite
Saleem, M.N.; Shah, A.; Ullah, N.; Nisar, J.; Iftikhar, F.J. Detection and Degradation Studies of Nile Blue Sulphate Using Electrochemical and UV-Vis Spectroscopic Techniques. Catalysts 2023, 13, 141. https://doi.org/10.3390/catal13010141
Saleem MN, Shah A, Ullah N, Nisar J, Iftikhar FJ. Detection and Degradation Studies of Nile Blue Sulphate Using Electrochemical and UV-Vis Spectroscopic Techniques. Catalysts. 2023; 13(1):141. https://doi.org/10.3390/catal13010141
Chicago/Turabian StyleSaleem, Muhammad Nadir, Afzal Shah, Naimat Ullah, Jan Nisar, and Faiza Jan Iftikhar. 2023. "Detection and Degradation Studies of Nile Blue Sulphate Using Electrochemical and UV-Vis Spectroscopic Techniques" Catalysts 13, no. 1: 141. https://doi.org/10.3390/catal13010141
APA StyleSaleem, M. N., Shah, A., Ullah, N., Nisar, J., & Iftikhar, F. J. (2023). Detection and Degradation Studies of Nile Blue Sulphate Using Electrochemical and UV-Vis Spectroscopic Techniques. Catalysts, 13(1), 141. https://doi.org/10.3390/catal13010141

