The Effect of Y Zeolites with Different Pores on Tetralin Hydrocracking for the Production of High-Value Benzene, Toluene, Ethylbenzene and Xylene Products
Abstract
:1. Introduction
2. Results and Discussion
2.1. Characterization of Zeolites and Catalysts
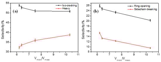
2.2. Hydrocracking of Tetralin
3. Materials and Methods
3.1. Materials
3.2. Preparation of Catalysts
3.3. Characterization
3.4. Hydrocracking Reaction
4. Conclusions
Author Contributions
Funding
Institutional Review Board Statement
Informed Consent Statement
Data Availability Statement
Conflicts of Interest
References
- Peng, C.; Zhou, Z.; Cheng, Z.; Fang, X. Upgrading of Light Cycle Oil to High-Octane Gasoline through Selective Hydrocracking over Non-Noble Metal Bifunctional Catalysts. Energy Fuels 2019, 33, 1090–1097. [Google Scholar] [CrossRef]
- Peng, C.; Fang, X.C.; Zeng, R.H.; Guo, R.; Hao, W.Y. Commercial Analysis of Catalytic Hydroprocessing Technologies in Producing Diesel and Gasoline by Light Cycle Oil. Catal. Today 2016, 276, 11–18. [Google Scholar] [CrossRef]
- Laredo, G.; Pérez-Romo, P.; Escobar, J.; Garcia-Gutierrez, J.L.; Vega-Merino, P.M. Light Cycle Oil Upgrading to Benzene, Toluene and Xylenes by Hydrocracking: Studies Using Model Mixtures. Ind. Eng. Chem. Res. 2017, 56, 10939–10948. [Google Scholar] [CrossRef]
- Laredo, G.C.; Vega-Merino, P.M.; Hernández, P.S. Light Cycle Oil Upgrading to High Quality Fuels and Petrochemicals: A Review. Ind. Eng. Chem. Res. 2018, 57, 7315–7321. [Google Scholar] [CrossRef]
- Calemma, V.; Giardino, R.; Ferrari, M. Upgrading of Lco by Partial Hydrogenation of Aromatics and Ring Opening of Naphthenes over Bi-Functional Catalysts. Fuel Process. Technol. 2010, 91, 770. [Google Scholar] [CrossRef]
- Corma, A.; González-Alfaro, V.; Orchillés, A. Decalin and Tetralin as Probe Molecules for Cracking and Hydrotreating the Light Cycle Oil. J. Catal. 2001, 200, 34–44. [Google Scholar] [CrossRef]
- Sato, K.; Iwata, Y.; Miki, Y.; Shimada, H. Hydrocracking of Tetralin over Niw/Usy Zeolite Catalysts: For the Improvement of Heavy-Oil Upgrading Catalysts. J. Catal. 1999, 186, 45–56. [Google Scholar] [CrossRef]
- Upare, P.D.; Park, S.; Kim, M.S.; Kim, J.; Lee, D.; Lee, J.; Chang, H.; Choi, W.; Choi, S.; Jeon, Y.-P.; et al. Cobalt Promoted Mo/Beta Zeolite for Selective Hydrocracking of Tetralin and Pyrolysis Fuel Oil into Monocyclic Aromatic Hydrocarbons. J. Ind. Eng. Chem. 2016, 35, 99–107. [Google Scholar] [CrossRef]
- Laredo, G.C.; Pérez-Romo, P.; Vega-Merino, P.M.; Arzate-Barbosa, E.; García-López, A.; Agueda-Rangel, R.; Martínez-Moreno, V.H. Effect of the Catalytic System and Operating Conditions on Btx Formation Using Tetralin as a Model Molecule. Appl. Petrochem. Res. 2019, 9, 185–198. [Google Scholar] [CrossRef] [Green Version]
- Cao, Z.; Zhang, X.; Xu, C.; Huang, X.; Wu, Z.; Peng, C.; Duan, A. Selective Hydrocracking of Light Cycle Oil into High-Octane Gasoline over Bi-Functional Catalysts. J. Energy Chem. 2021, 52, 41–50. [Google Scholar] [CrossRef]
- Park, J.I.; Lee, J.K.; Jin, M.; Kim, Y.K.; Yoon, S.H.; Mochida, I. Hydro-Conversion of 1-Methyl Naphthalene into (Alkyl)Benzenes over Alumina-Coated Usy Zeolite-Supported Nimos Catalysts. Fuel 2011, 90, 182–189. [Google Scholar] [CrossRef]
- Shin, J.; Youngseok, O.; Yeseul, C.; Lee, J.; Kyoo, J. Design of Selective Hydrocracking Catalysts for Btx Production from Diesel-Boiling-Range Polycyclic Aromatic Hydrocarbons. Appl. Catal. A 2017, 547, 12–21. [Google Scholar] [CrossRef]
- Escalona, G.; Rai, A.; Betancourt, P.; Sinha, A.K. Selective Poly-Aromatics Saturation and Ring Opening During Hydroprocessing of Light Cycle Oil over Sulfided Ni-Mo/SiO2-Al2O3 Catalyst. Fuel 2018, 219, 270–278. [Google Scholar] [CrossRef]
- Karakhanov, E.; Maximov, A.; Kardasheva, Y.; Vinnikova, M.; Kulikov, L. Hydrotreating of Light Cycle Oil over Supported on Porous Aromatic Framework Catalysts. Catalysts 2018, 8, 397. [Google Scholar] [CrossRef] [Green Version]
- Singh, B.K.; Kim, Y.; Kwon, S.; Na, K. Synthesis of Mesoporous Zeolites and Their Opportunities in Heterogeneous Catalysis. Catalysts 2021, 11, 1541. [Google Scholar] [CrossRef]
- Qiao, K.; Li, X.; Yang, Y.; Subhan, F.; Liu, X.; Yan, Z.; Xing, W.; Qin, L.; Dai, B.; Zhang, Z. Modification of Usy Zeolites with Malic-Nitric Acid for Hydrocracking. Appl. Petrochem. Res. 2016, 6, 353–359. [Google Scholar] [CrossRef] [Green Version]
- Kazakov, M.O.; Nadeina, K.A.; Danilova, I.G.; Dik, P.P.; Klimov, O.V.; Pereyma, V.Y.; Paukshtis, E.A.; Golubev, I.S.; Prosvirin, I.P.; Gerasimov, E.Y.; et al. Influence of Usy Zeolite Recrystallization on Physicochemical Properties and Catalytic Performance of Nimo/Usy-Al2O3 Hydrocracking Catalysts. Catal. Today 2019, 329, 108–115. [Google Scholar] [CrossRef]
- Nakajima, K.; Suganuma, S.; Tsuji, E.; Katada, N. Mechanism of Tetralin Conversion on Zeolites for the Production of Benzene Derivatives. React. Chem. Eng. 2020, 5, 1272–1280. [Google Scholar] [CrossRef]
- Ren, S.; Meng, B.; Sui, X.; Duan, H.; Gao, X.; Zhang, H.; Zeng, P.; Guo, Q.; Shen, B. Preparation of Mesoporous Zeolite Y by Fluorine-Alkaline Treatment for Hydrocracking Reaction of Naphthalene. Ind. Eng. Chem. Res. 2019, 58, 7886–7891. [Google Scholar] [CrossRef]
- Oh, Y.; Shin, J.; Noh, H.; Kim, C.; Kim, Y.S.; Lee, Y.K.; Lee, J.K. Selective Hydrotreating and Hydrocracking of Fcc Light Cycle Oil into High-Value Light Aromatic Hydrocarbons. Appl. Catal. A 2019, 577, 86–98. [Google Scholar] [CrossRef]
- Jacobs, P.A.; Leuven, K.U. Acid Zeolites: An Attempt to Develop Unifying Concepts (P. H. Emmett Award Address, 1981). Cat. Rev.—Sci. Eng. 1982, 24, 415–440. [Google Scholar] [CrossRef]
- Usman, M.; Li, D.; Razzaq, R.; Yaseen, M.; Li, C.; Zhang, S. Novel Mop/Hy Catalyst for the Selective Conversion of Naphthalene to Tetralin. J. Ind. Eng. Chem. 2015, 23, 21–26. [Google Scholar] [CrossRef]
- Emeis, C.A. Determination of Integrated Molar Extinction Coefficients for Infrared Absorption Bands of Pyridine Adsorbed on Solid Acid Catalysts. J. Catal. 1993, 141, 347–354. [Google Scholar] [CrossRef]
- Pires, J.; Fernandes, R.; Pinto, M.L.; Batista, M. Microporous Volumes from Nitrogen Adsorption at 77 K: When to Use a Different Standard Isotherm? Catalysts 2021, 11, 1544. [Google Scholar] [CrossRef]
- Dik, P.P.; Danilova, I.G.; Golubev, I.S.; Kazakov, M.O.; Nadeina, K.A.; Budukva, S.V.; Pereyma, V.Y.; Klimov, O.V.; Prosvirin, I.P.; Gerasimov, E.Y. Hydrocracking of Vacuum Gas Oil over Nimo/Zeolite-Al2O3: Influence of Zeolite Properties. Fuel 2019, 237, 178–190. [Google Scholar] [CrossRef]
- Ferraz, S.; Zotin, F.; Araujo, L.; Zotin, J.L. Influence of Support Acidity of Nimos Catalysts in the Activity for Hydrogenation and Hydrocracking of Tetralin. Appl. Catal. A 2010, 384, 51–57. [Google Scholar] [CrossRef]
- Martinez, A.; Arribas, M.A.; Pergher, S.B. Bifunctional Noble Metal/Zeolite Catalysts for Upgrading Low-Quality Diesel Fractions via Selective Opening of Naphthenic Rings. Catal. Sci. Technol. 2016, 6, 2528–2542. [Google Scholar] [CrossRef]
- Zhou, J.; Fan, W.; Wang, Y.; Xie, Z. The Essential Mass Transfer Step in Hierarchical/Nano Zeolite: Surface Diffusion. Natl. Sci. Rev. 2019, 7, 1630–1632. [Google Scholar] [CrossRef]
- Contreras, M.S.; Bruin, T.D.; Mougin, P.; Toulhoat, H. Thermochemistry of 1-Methylnaphthalene Hydroconversion: Comparison of Group Contribution and Ab Initio Models. Energy Fuels 2013, 27, 5475–5482. [Google Scholar] [CrossRef]
- Gutierrez, A.; Arandes, J.M.; Castano, P.; Aguayo, A.T.; Bilbao, J. Role of Acidity in the Deactivation and Steady Hydroconversion of Light Cycle Oil on Noble Metal Supported Catalysts. Energy Fuels 2011, 25, 3389–3399. [Google Scholar] [CrossRef]













| Sample | Si/Al | Unit Cell Constant/(Å) | Sample | Si/Al | Unit Cell Constant/(Å) |
|---|---|---|---|---|---|
| Y1 | 7.88 | 24.39 | Y5 | 3.34 | 24.56 |
| Y2 | 8.89 | 24.32 | Y6 | 3.68 | 24.62 |
| Y3 | 8.40 | 24.37 | Y7 | 3.59 | 24.54 |
| Y4 | 8.25 | 24.35 | Y8 | 3.49 | 24.65 |
| Sample | Total Acid Amount /(μmol·g−1) | Weak Strength /(μmol·g−1) | Medium Strength /(μmol·g−1) | Strong Strength /(μmol·g−1) |
|---|---|---|---|---|
| Y1 | 1400 | 280 | 230 | 890 |
| Y2 | 1620 | 330 | 230 | 1060 |
| Y3 | 1470 | 300 | 190 | 980 |
| Y4 | 1500 | 300 | 220 | 980 |
| Y5 | 1860 | 520 | 810 | 530 |
| Y6 | 1950 | 500 | 780 | 670 |
| Y7 | 1840 | 470 | 650 | 720 |
| Y8 | 1920 | 450 | 870 | 600 |
| Sample | 200 °C | 350 °C | ||
|---|---|---|---|---|
| L Acid Amount /(μmol·g−1) | B Acid Amount /(μmol·g−1) | L Acid Amount /(μmol·g−1) | B Acid Amount /(μmol·g−1) | |
| Y1 | 155 | 282 | 118 | 239 |
| Y2 | 81 | 533 | 65 | 482 |
| Y3 | 75 | 428 | 64 | 385 |
| Y4 | 34 | 323 | 34 | 320 |
| Y5 | 39 | 480 | 24 | 412 |
| Y6 | 30 | 641 | 19 | 531 |
| Y7 | 13 | 550 | 9 | 486 |
| Y8 | 22 | 589 | 12 | 537 |
| Sample | SBET/ (m2·g−1) | Smicro/ (m2·g−1) | Smeso/ (m2·g−1) | Vtotal/ (mL·g−1) | Vmicro/ (mL·g−1) | Vmeso/ (mL·g−1) | Vmicro/ Vmeso |
|---|---|---|---|---|---|---|---|
| Y1 | 571 | 537 | 34 | 0.34 | 0.25 | 0.09 | 2.77 |
| Y2 | 681 | 609 | 72 | 0.45 | 0.28 | 0.17 | 1.64 |
| Y3 | 694 | 640 | 54 | 0.44 | 0.30 | 0.14 | 2.14 |
| Y4 | 721 | 659 | 62 | 0.46 | 0.31 | 0.15 | 2.06 |
| Y5 | 708 | 678 | 30 | 0.37 | 0.32 | 0.05 | 6.40 |
| Y6 | 678 | 650 | 28 | 0.34 | 0.30 | 0.04 | 7.50 |
| Y7 | 682 | 662 | 20 | 0.36 | 0.31 | 0.05 | 6.20 |
| Y8 | 704 | 690 | 14 | 0.34 | 0.31 | 0.03 | 10.33 |
| Simple | Average Particle Length ()/nm | Average Stacking Number () |
|---|---|---|
| CAT3 | 5.91 | 1.99 |
| CAT7 | 5.67 | 1.73 |
| Group | Compounds |
|---|---|
| HEAVY | naphthalene, alkyl-naphthalene |
| ARO-ISO | methyl-indan |
| ARO-RO | butyl-benzene, methylpropenyl-benzene |
| ARO-C | benzene, toluene, xylenes, ethyl-benzene |
| H | decalin |
| HYD-RO | butyl-cyclohexane, methyl-butylcyclopentane |
| HYD-C | methyl-cyclopentane, ethyl-cyclohexane |
Publisher’s Note: MDPI stays neutral with regard to jurisdictional claims in published maps and institutional affiliations. |
© 2022 by the authors. Licensee MDPI, Basel, Switzerland. This article is an open access article distributed under the terms and conditions of the Creative Commons Attribution (CC BY) license (https://creativecommons.org/licenses/by/4.0/).
Share and Cite
Xian, C.; Mao, Y.; Long, X.; Wu, Z.; Li, X.; Cao, Z. The Effect of Y Zeolites with Different Pores on Tetralin Hydrocracking for the Production of High-Value Benzene, Toluene, Ethylbenzene and Xylene Products. Catalysts 2022, 12, 848. https://doi.org/10.3390/catal12080848
Xian C, Mao Y, Long X, Wu Z, Li X, Cao Z. The Effect of Y Zeolites with Different Pores on Tetralin Hydrocracking for the Production of High-Value Benzene, Toluene, Ethylbenzene and Xylene Products. Catalysts. 2022; 12(8):848. https://doi.org/10.3390/catal12080848
Chicago/Turabian StyleXian, Ce, Yichao Mao, Xiangyun Long, Ziming Wu, Xiang Li, and Zhengkai Cao. 2022. "The Effect of Y Zeolites with Different Pores on Tetralin Hydrocracking for the Production of High-Value Benzene, Toluene, Ethylbenzene and Xylene Products" Catalysts 12, no. 8: 848. https://doi.org/10.3390/catal12080848
APA StyleXian, C., Mao, Y., Long, X., Wu, Z., Li, X., & Cao, Z. (2022). The Effect of Y Zeolites with Different Pores on Tetralin Hydrocracking for the Production of High-Value Benzene, Toluene, Ethylbenzene and Xylene Products. Catalysts, 12(8), 848. https://doi.org/10.3390/catal12080848

