Recent Achievements in the Synthesis of Cyclic Carbonates from Olefins and CO2: The Rational Design of the Homogeneous and Heterogeneous Catalytic System
Abstract
:1. Introduction
2. Homogeneous Catalytic System
2.1. Ionic Liquids Catalytic System
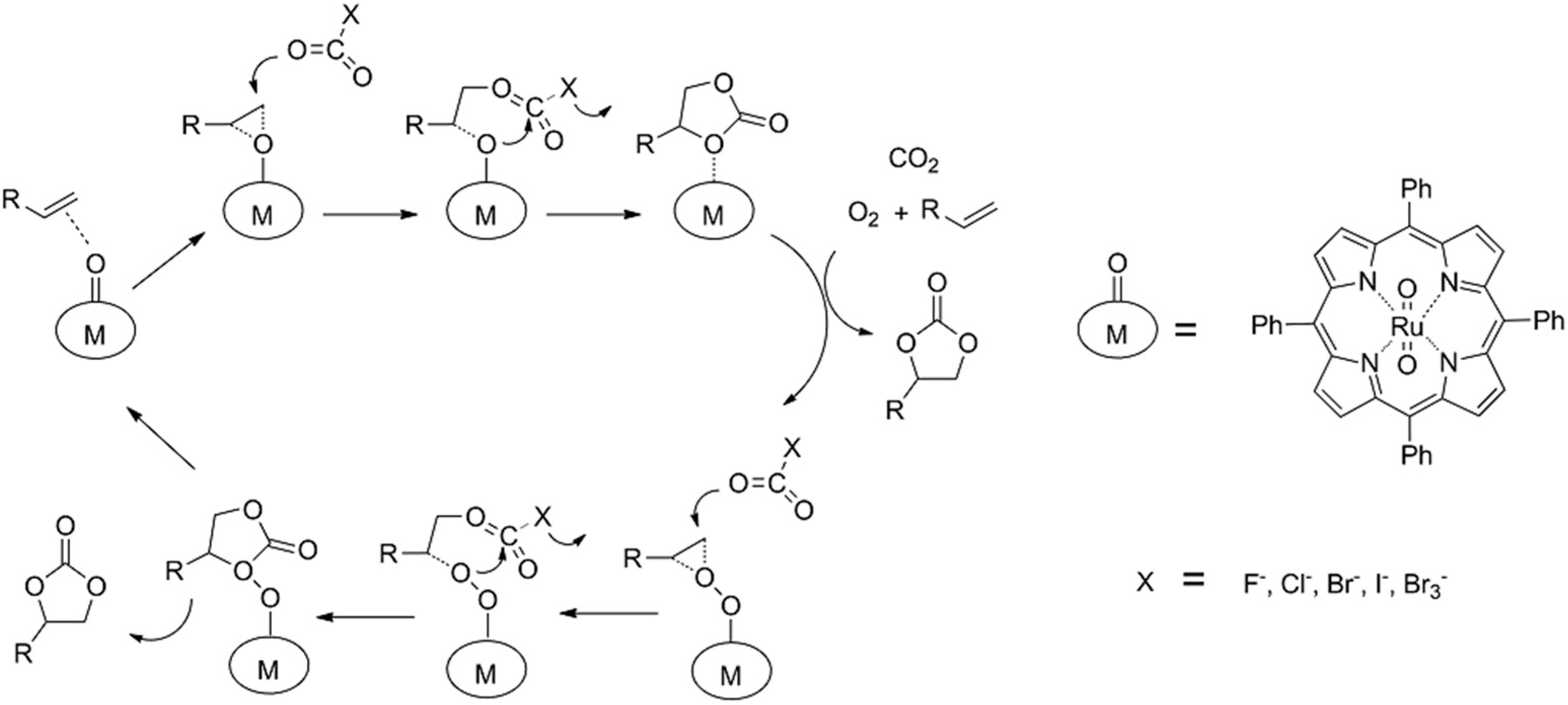
2.2. Metal Complex Catalytic System
3. Heterogeneous Catalytic System
3.1. Zeolite Catalytic System
3.2. MOFs Catalytic System
3.3. Metal Nanoparticles Catalytic System
3.4. Others
4. Conclusions and Perspectives
Author Contributions
Funding
Acknowledgments
Conflicts of Interest
References
- Song, Q.W.; Zhou, Z.H.; He, L.N. Efficient, selective and sustainable catalysis of carbon dioxide. Green Chem. 2017, 19, 3707–3728. [Google Scholar] [CrossRef]
- Chen, H.; Cui, H.; Lv, Y.; Liu, P.; Hao, F.; Xiong, W.; Luo, H. CO2 hydrogenation to methanol over Cu/ZnO/ZrO2 catalysts: Effects of ZnO morphology and oxygen vacancy. Fuel 2022, 314, 123035–123047. [Google Scholar] [CrossRef]
- Dong, X.; Liu, X.; Chen, Y.; Zhang, M. Screening of bimetallic M-Cu-BTC MOFs for CO2 activation and mechanistic study of CO2 hydrogenation to formic acid: A DFT study. J. CO2 Util. 2018, 24, 64–72. [Google Scholar] [CrossRef]
- Shen, X.; Wang, W.; Wang, Q.; Liu, J.; Huang, F.; Sun, C.; Yang, C.; Chen, D. Mechanism of iron complexes catalyzed in the N-formylation of amines with CO2 and H2: The superior performance of N-H ligand methylated complexes. Phys. Chem. Chem. Phys. 2021, 23, 16675–16689. [Google Scholar] [CrossRef] [PubMed]
- Guo, L.; Xiong, Y.; Zhang, R.; Zhan, H.; Chang, D.; Yi, L.; Chen, J.; Wu, X. Catalytic coupling of CO2 and epoxides by lignin-based catalysts: A combined experimental and theoretical study. J. CO2 Util. 2022, 56, 101863–101870. [Google Scholar] [CrossRef]
- Wang, L.; Que, S.; Ding, Z.; Vessally, E. Oxidative carboxylation of olefins with CO2: Environmentally benign access to five-membered cyclic carbonates. RSC Adv. 2020, 10, 9103–9115. [Google Scholar] [CrossRef] [Green Version]
- Calmanti, R.; Selva, M.; Perosa, A. Tandem catalysis: One-pot synthesis of cyclic organic carbonates from olefins and carbon dioxide. Green Chem. 2021, 23, 1921–1941. [Google Scholar] [CrossRef]
- Liu, J.; Yang, G.; Liu, Y.; Wu, D.; Hu, X.; Zhang, Z. Metal-free imidazolium hydrogen carbonate ionic liquids as bifunctional catalysts for the one-pot synthesis of cyclic carbonates from olefins and CO2. Green Chem. 2019, 21, 3834–3838. [Google Scholar] [CrossRef]
- Ke, S.C.; Luo, T.T.; Chang, G.G.; Huang, K.X.; Li, J.X.; Ma, X.C.; Wu, J.; Chen, J.; Yang, X.Y. Spatially ordered arrangement of multifunctional sites at molecule level in a single catalyst for tandem synthesis of cyclic carbonates. Inorg. Chem. 2020, 59, 1736–1745. [Google Scholar] [CrossRef]
- Qiao, Y.; Hou, Z.; Li, H.; Hu, Y.; Feng, B.; Wang, X.; Hua, L.; Huang, Q. Polyoxometalate-based protic alkylimidazolium salts as reaction-induced phase-separation catalysts for olefin epoxidation. Green Chem. 2009, 11, 1955–1960. [Google Scholar] [CrossRef]
- Santos, F.M.; Magina, S.P.; Nogueira, H.I.S.; Cavaleiro, A.M.V. Synthesis and characterization of metal-substituted tetraalkylphosphonium polyoxometalate ionic liquids. New J. Chem. 2016, 40, 945–953. [Google Scholar] [CrossRef]
- Dai, W.; Yang, W.; Zhang, Y.; Wang, D.; Luo, X.; Tu, X. Novel isothiouronium ionic liquid as efficient catalysts for the synthesis of cyclic carbonates from CO2 and epoxides. J. CO2 Util. 2017, 17, 256–262. [Google Scholar] [CrossRef]
- Girard, A.L.; Simon, N.; Zanatta, M.; Marmitt, S.; Gonçalves, P.; Dupont, J. Insights on recyclable catalytic system composed of task-specific ionic liquids for the chemical fixation of carbon dioxide. Green Chem. 2014, 16, 2815–2825. [Google Scholar] [CrossRef]
- Yao, H.; Richardson, D.E. Epoxidation of alkenes with bicarbonate-activated hydrogen peroxide. JACS 2000, 122, 3220–3221. [Google Scholar] [CrossRef]
- Calmanti, R.; Selva, M.; Perosa, A. Direct oxidative carboxylation of terminal olefins to cyclic carbonates by tungstate assisted-tandem catalysis. Green Chem. 2021, 23, 7609–7619. [Google Scholar] [CrossRef]
- Zima, A.M.; Lyakin, O.Y.; Ottenbacher, R.V.; Bryliakov, K.P.; Talsi, E.P. Dramatic effect of carboxylic acid on the electronic structure of the active species in Fe(PDP)-catalyzed asymmetric epoxidation. ACS Catal. 2016, 6, 5399–5404. [Google Scholar] [CrossRef]
- Papastergiou, M.; Stamatis, A.; Simaioforidou, A.; Louloudi, M. Bio-inspired Mn-catalysts immobilized on silica surface: The influence of the ligand synthesis on catalytic behavior. Catal. Commun. 2018, 108, 33–40. [Google Scholar] [CrossRef]
- Bai, D.; Jing, H. Aerobic oxidative carboxylation of olefins with metalloporphyrin catalysts. Green Chem. 2010, 12, 39–41. [Google Scholar] [CrossRef]
- Ramidi, P.; Felton, C.M.; Subedi, B.P.; Zhou, H.; Tian, Z.R.; Gartia, Y.; Pierce, B.S.; Ghosh, A. Synthesis and characterization of manganese(III) and high-valent manganese-oxo complexes and their roles in conversion of alkenes to cyclic carbonates. J. CO2 Util. 2015, 9, 48–57. [Google Scholar] [CrossRef]
- Han, F.; Li, H.; Zhuang, H.; Hou, Q.; Yang, Q.; Zhang, B.; Miao, C. Direct synthesis of cyclic carbonates from olefins and CO2: Single- or multi-component catalytic systems via epoxide or halohydrin intermediate. J. CO2 Util. 2021, 53, 101742–101758. [Google Scholar] [CrossRef]
- Chen, F.; Dong, T.; Xu, T.; Li, X.; Hu, C. Direct synthesis of cyclic carbonates from olefins and CO2 catalyzed by a MoO2(acac)2-quaternary ammonium salt system. Green Chem. 2011, 13, 2518–2524. [Google Scholar] [CrossRef]
- Xing, J.; Yuan, D.; Liu, H.; Tong, Y.; Xu, Y.; Liu, Z. Synthesis of TS-1 zeolites from a polymer containing titanium and silicon. J. Mater. Chem. A 2021, 9, 6205–6213. [Google Scholar] [CrossRef]
- Chen, Z.; Zhang, L.; Yu, Y.; Liu, D.; Fang, N.; Lin, Y.; Xu, D.; Li, F.; Liu, Y.; He, M. TS-1 zeolite with homogeneous distribution of Ti atoms in the framework: Synthesis, crystallization mechanism and its catalytic performance. J. Catal. 2021, 404, 990–998. [Google Scholar] [CrossRef]
- You, Q.; Wang, X.; Wu, Y.; Bi, C.; Yang, X.; Sun, M.; Zhang, J.; Hao, Q.; Chen, H.; Ma, X. Hierarchical Ti-beta with a three-dimensional ordered mesoporosity for catalytic epoxidation of bulky cyclic olefins. New J. Chem. 2021, 45, 10303–10314. [Google Scholar] [CrossRef]
- Zhang, J.; Jin, S.; Deng, D.; Liu, W.; Tao, G.; Luo, Q.; Sun, H.; Yang, W. Insight into the formation of framework titanium species during acid treatment of MWW-type titanosilicate and the effect of framework titanium state on olefin epoxidation. Microporous Mesoporous Mater. 2021, 314, 110862. [Google Scholar] [CrossRef]
- Bregante, D.T.; Tan, J.Z.; Schultz, R.L.; Ayla, E.Z.; Potts, D.S.; Torres, C.; Flaherty, D.W. Catalytic consequences of oxidant, alkene, and pore structures on alkene epoxidations within titanium silicates. ACS Catal. 2020, 10, 10169–10184. [Google Scholar] [CrossRef]
- Solé-Daura, A.; Zhang, T.; Fouilloux, H.; Robert, C.; Thomas, C.M.; Chamoreau, L.-M.; Carbó, J.J.; Proust, A.; Guillemot, G.; Poblet, J.M. Catalyst design for alkene epoxidation by molecular analogues of heterogeneous titanium-silicalite catalysts. ACS Catal. 2020, 10, 4737–4750. [Google Scholar] [CrossRef]
- Srivastava, R.; Srinivas, D.; Ratnasamy, P. Synthesis of polycarbonate precursors over titanosilicate molecular sieves. Catal. Lett. 2003, 91, 133–139. [Google Scholar] [CrossRef]
- Zhang, J.; Liu, Y.; Li, N.; Wu, H.; Li, X.; Xie, W.; Zhao, Z.; Wu, P.; He, M. Synthesis of propylene carbonate on a bifunctional titanosilicate modified with quaternary ammonium halides. Chin. J. Catal. 2008, 29, 589–591. [Google Scholar] [CrossRef]
- Maksimchuk, N.V.; Ivanchikova, I.D.; Ayupov, A.B.; Kholdeeva, O.A. One-step solvent-free synthesis of cyclic carbonates by oxidative carboxylation of styrenes over a recyclable Ti-containing catalyst. Appl. Catal. B Environ. 2016, 181, 363–370. [Google Scholar] [CrossRef]
- Evangelisti, C.; Guidotti, M.; Tiozzo, C.; Psaro, R.; Maksimchuk, N.; Ivanchikova, I.; Shmakov, A.N.; Kholdeeva, O. Titanium-silica catalyst derived from defined metallic titanium cluster precursor: Synthesis and catalytic properties in selective oxidations. Inorg. Chim. Acta 2018, 470, 393–401. [Google Scholar] [CrossRef]
- Zhao, D.; Feng, J.; Huo, Q.; Melosh, N.; Fredrickson, G.H.; Chmelka, B.F.; Stucky, G.D. Triblock copolymer syntheses of mesoporous silica with periodic 50 to 300 angstrom pores. Science 1998, 279, 548–552. [Google Scholar] [CrossRef] [PubMed] [Green Version]
- Verma, P.; Kuwahara, Y.; Mori, K.; Raja, R.; Yamashita, H. Functionalized mesoporous SBA-15 silica: Recent trends and catalytic applications. Nanoscale 2020, 12, 11333–11363. [Google Scholar] [CrossRef] [PubMed]
- Long, G.; Su, K.; Dong, H.; Zhao, T.; Yang, C.; Liu, F.; Hu, X. Straightforward construction of amino-functionalized ILs@SBA-15 catalysts via mechanochemical grafting for one-pot synthesis of cyclic carbonates from aromatic olefins and CO2. J. CO2 Util. 2022, 59, 101962–101969. [Google Scholar] [CrossRef]
- Maity, A.; Polshettiwar, V. Dendritic fibrous nanosilica for catalysis, energy harvesting, carbon dioxide mitigation, drug delivery, and sensing. ChemSusChem 2017, 10, 3866–3913. [Google Scholar] [CrossRef]
- Qiu, J.; Yu, L.; Ni, J.; Fei, Z.; Li, W.; Sadeghzadeh, S.M. Palladium–salen-bridged ionic networks immobilized on magnetic dendritic silica fibers for the synthesis of cyclic carbonates by oxidative carboxylation. New J. Chem. 2020, 44, 1269–1277. [Google Scholar] [CrossRef]
- Abassian, M.; Zhiani, R.; Motavalizadehkakhky, A.; Eshghi, H.; Mehrzad, J. A new class of organoplatinum-based DFNS for the production of cyclic carbonates from olefins and CO2. RSC Adv. 2020, 10, 15044–15051. [Google Scholar] [CrossRef] [Green Version]
- Li, B.; Wen, H.M.; Zhou, W.; Chen, B. Porous metal-organic frameworks for gas storage and separation: What, How, and Why? J. Phys. Chem. Lett. 2014, 5, 3468–3479. [Google Scholar] [CrossRef] [PubMed]
- Wu, Y.; Qiu, X.; Liang, F.; Zhang, Q.; Koo, A.; Dai, Y.; Lei, Y.; Sun, X. A metal-organic framework-derived bifunctional catalyst for hybrid sodium-air batteries. Appl. Catal. B: Environ. 2019, 241, 407–414. [Google Scholar] [CrossRef]
- Huang, Y.B.; Liang, J.; Wang, X.S.; Cao, R. Multifunctional metal-organic framework catalysts: Synergistic catalysis and tandem reactions. Chem. Soc. Rev. 2017, 46, 126–157. [Google Scholar] [CrossRef]
- Song, F.; Wang, C.; Falkowski, J.M.; Ma, L.; Lin, W. Isoreticular chiral metal-organic frameworks for asymmetric alkene epoxidation: Tuning catalytic activity by controlling framework catenation and varying open channel sizes. JACS 2010, 132, 15390–15398. [Google Scholar] [CrossRef] [PubMed]
- Zhang, J.; Biradar, A.V.; Pramanik, S.; Emge, T.J.; Asefa, T.; Li, J. A new layered metal-organic framework as a promising heterogeneous catalyst for olefin epoxidation reactions. Chem. Commun. 2012, 48, 6541–6543. [Google Scholar] [CrossRef] [PubMed]
- Stubbs, A.W.; Braglia, L.; Borfecchia, E.; Meyer, R.J.; Román- Leshkov, Y.; Lamberti, C.; Dincă, M. Selective catalytic olefin epoxidation with MnII-exchanged MOF-5. ACS Catal. 2018, 8, 596–601. [Google Scholar] [CrossRef] [Green Version]
- Gao, W.Y.; Chen, Y.; Niu, Y.; Williams, K.; Cash, L.; Perez, P.J.; Wojtas, L.; Cai, J.; Chen, Y.S.; Ma, S. Crystal engineering of an nbo topology metal-organic framework for chemical fixation of CO2 under ambient conditions. Angew. Chem. Int. Edit. 2014, 53, 2615–2619. [Google Scholar] [CrossRef] [PubMed]
- Song, J.; Zhang, Z.; Hu, S.; Wu, T.; Jiang, T.; Han, B. MOF-5/n-Bu4NBr: An efficient catalyst system for the synthesis of cyclic carbonates from epoxides and CO2 under mild conditions. Green Chem. 2009, 11, 1031–1036. [Google Scholar] [CrossRef]
- Jin, H.G.; Chen, F.; Zhang, H.; Xu, W.; Wang, Y.; Fan, J.; Chao, Z.S. Postmetalation of a new porphyrin ligand-based metal–organic framework for catalytic oxidative carboxylation of olefins. J. Mater. Sci. 2020, 55, 16184–16196. [Google Scholar] [CrossRef]
- Han, Q.; Qi, B.; Ren, W.; He, C.; Niu, J.; Duan, C. Polyoxometalate-based homochiral metal-organic frameworks for tandem asymmetric transformation of cyclic carbonates from olefins. Nature Commun. 2015, 6, 10007–100014. [Google Scholar] [CrossRef]
- Mizuno, N.; Yamaguchi, K.; Kamata, K. Epoxidation of olefins with hydrogen peroxide catalyzed by polyoxometalates. Coord. Chem. Rev. 2005, 249, 1944–1956. [Google Scholar] [CrossRef]
- Melchiorre, P.; Marigo, M.; Carlone, A.; Bartoli, G. Asymmetric aminocatalysis-gold rush in organic chemistry. Angew. Chem. Int. Edit. 2008, 47, 6138–6171. [Google Scholar] [CrossRef]
- Berijani, K.; Hosseini-Monfared, H. Aerobic enantioselective epoxidation of olefins mediated by an easy-to-prepare recyclable manganese-porphyrin. Mol. Catal. 2017, 433, 136–144. [Google Scholar] [CrossRef]
- Sharma, N.; Dhankhar, S.S.; Kumar, S.; Kumar, T.J.D.; Nagaraja, C.M. Rational design of a 3D MnII-metal-organic framework based on a nonmetallated porphyrin linker for selective capture of CO2 and one-pot synthesis of styrene carbonates. Eur. J. Inorg. Chem. 2018, 24, 16662–16669. [Google Scholar] [CrossRef]
- Shi, Z.; Niu, G.; Han, Q.; Shi, X.; Li, M. A molybdate-incorporated cooperative catalyst: High efficiency in the assisted tandem catalytic synthesis of cyclic carbonates from CO2 and olefins. Mol. Catal. 2018, 461, 10–18. [Google Scholar] [CrossRef]
- Auroux, A.; Gervasini, A. Microcalorimetric study of the acidity and basicity of metal oxide surfaces. J. Phys. Chem. 1990, 94, 6371–6379. [Google Scholar] [CrossRef]
- Li, S.J.; Zhou, Y.T.; Kang, X.; Liu, D.X.; Gu, L.; Zhang, Q.H.; Yan, J.M.; Jiang, Q. A simple and effective principle for a rational design of heterogeneous catalysts for dehydrogenation of formic acid. Adv. Mater. 2019, 31, 1806781–1806787. [Google Scholar] [CrossRef] [PubMed]
- Fracaroli, A.M.; Furukawa, H.; Suzuki, M.; Dodd, M.; Okajima, S.; Gándara, F.; Reimer, J.A.; Yaghi, O.M. Metal-organic frameworks with precisely designed interior for carbon dioxide capture in the presence of water. JACS 2014, 136, 8863–8866. [Google Scholar] [CrossRef] [PubMed] [Green Version]
- Nguyen, H.T.D.; Tran, Y.B.N.; Nguyen, H.N.; Nguyen, T.C.; Gándara, F.; Nguyen, P.T.K. A series of metal-organic frameworks for selective CO2 capture and catalytic oxidative carboxylation of olefins. Inorg. Chem. 2018, 57, 13772–13782. [Google Scholar] [CrossRef] [Green Version]
- Yu, K.; Puthiaraj, P.; Ahn, W.S. One-pot catalytic transformation of olefins into cyclic carbonates over an imidazolium bromide-functionalized Mn(III)-porphyrin metal-organic framework. Appl. Catal. B Environ. 2020, 273, 119059–119072. [Google Scholar] [CrossRef]
- Liu, L.; Corma, A. Metal catalysts for heterogeneous catalysis: From single atoms to nanoclusters and nanoparticles. Chem. Rev. 2018, 118, 4981–5079. [Google Scholar] [CrossRef] [Green Version]
- Yang, X.F.; Wang, A.; Qiao, B.; Li, J.; Liu, J.; Zhang, T. Single-atom catalysts: A new frontier in heterogeneous catalysis. Acc. Chem. Res. 2013, 46, 1740–1748. [Google Scholar] [CrossRef]
- Sun, J.; Fujita, S.; Zhao, F.; Hasegawa, M.; Arai, M. A direct synthesis of styrene carbonate from styrene with the Au/SiO2-ZnBr2/Bu4NBr catalyst system. J. Catal. 2005, 230, 398–405. [Google Scholar] [CrossRef]
- Xiang, D.; Liu, X.; Sun, J.; Xiao, F.S.; Sun, J. A novel route for synthesis of styrene carbonate using styrene and CO2 as substrates over basic resin R201 supported Au catalyst. Catal. Today 2009, 148, 383–388. [Google Scholar] [CrossRef]
- Guo, L.; Zhang, R.; Chen, C.; Chen, J.; Zhao, X.; Chen, A.; Liu, X.; Xiu, Y.; Hou, Z. Gold nanoparticles embedded in silica hollow nanospheres induced by compressed CO2 as an efficient catalyst for selective oxidation. Phys. Chem. Chem. Phys. 2015, 17, 6406–6414. [Google Scholar] [CrossRef] [PubMed]
- Hou, Y.; Wang, X.; Guo, Y.; Zhang, X. Double-shell microcapsules with spatially arranged Au nanoparticles and single Zn atoms for tandem synthesis of cyclic carbonates. Nanoscale 2021, 13, 18695–18701. [Google Scholar] [CrossRef] [PubMed]
- Stephan, D.W.; Erker, G. Frustrated lewis pair chemistry: Development and perspectives. Angew. Chem. Int. Edit. 2015, 54, 6400–6441. [Google Scholar] [CrossRef]
- Stephan Douglas, W. The broadening reach of frustrated Lewis pair chemistry. Science 2016, 354, 1248–1257. [Google Scholar] [CrossRef]
- Wang, X.; Kehr, G.; Daniliuc, C.G.; Erker, G. Internal adduct formation of active intramolecular C4-bridged frustrated phosphane/borane lewis pairs. J. Am. Chem. Soc. 2014, 136, 3293–3303. [Google Scholar] [CrossRef]
- Chen, L.; Liu, R.; Yan, Q. Polymer meets frustrated lewis pair: Second-generation CO2-responsive nanosystem for sustainable CO2 conversion. Angew. Chem. Int. Edit. 2018, 57, 9336–9340. [Google Scholar] [CrossRef]
- Zhang, S.; Xia, Z.; Zou, Y.; Cao, F.; Liu, Y.; Ma, Y.; Qu, Y. Interfacial frustrated lewis pairs of CeO2 activate CO2 for selective tandem transformation of olefins and CO2 into cyclic carbonates. JACS 2019, 141, 11353–11357. [Google Scholar] [CrossRef]
- Fang, J.; Li, K.; Wang, Z.; Li, D.; Ma, Y.; Gong, X.; Hou, Z. Direct oxidative carboxylation of olefins into cyclic carbonates at ambient pressure. J. CO2 Util. 2020, 40, 101204–101214. [Google Scholar] [CrossRef]
- Guo, L.; Dou, R.; Wu, Y.; Zhang, R.; Wang, L.; Wang, Y.; Gong, Z.; Chen, J.; Wu, X. From lignin waste to efficient catalyst: Illuminating the impact of lignin structure on catalytic activity of cycloaddition reaction. ACS Sustain. Chem. Eng. 2019, 7, 16585–16594. [Google Scholar] [CrossRef]
- Chen, S.; Pudukudy, M.; Yue, Z.; Zhang, H.; Zhi, Y.; Ni, Y.; Shan, S.; Jia, Q. Nonmetal schiff-base complex-anchored cellulose as a novel and reusable catalyst for the solvent-free ring-opening addition of CO2 with epoxides. Ind. Eng. Chem. Res. 2019, 58, 17255–17265. [Google Scholar] [CrossRef]
- Wu, X.; Wang, M.; Xie, Y.; Chen, C.; Li, K.; Yuan, M.; Zhao, X.; Hou, Z. Carboxymethyl cellulose supported ionic liquid as a heterogeneous catalyst for the cycloaddition of CO2 to cyclic carbonate. Appl. Catal. A Gen. 2016, 519, 146–154. [Google Scholar] [CrossRef]
- Kumar, S.; Singhal, N.; Singh, R.K.; Gupta, P.; Singh, R.; Jain, S.L. Dual catalysis with magnetic chitosan: Direct synthesis of cyclic carbonates from olefins with carbon dioxide using isobutyraldehyde as the sacrificial reductant. Dalton Trans. 2015, 44, 11860–11866. [Google Scholar] [CrossRef] [PubMed]



















| Entry | Catalyst | Co-Catalyst | Oxidant | CO2 (bar) | T (°C) | t (h) | Conv. a (%) | Sel. b (%) | Yield c (%) | Ref. |
|---|---|---|---|---|---|---|---|---|---|---|
| 1 | BMImBr | -- | TBHP | 5 | 150 | 6 | 90 | 40 | 36 | [13] |
| 2 | [C1C4Im][HCO3] | -- | TBHP | 20 | 65 | 30 | 91.2 | 82.3 | 75.1 | [8] |
| 3 d | [N8,8,8,1]2[WO4] | [N4,4,4,4]I | H2O2 | 1 | 85 | 3/5 | -- | -- | 94 | [15] |
| 4 | [Ru(TPP)(O)2] | TBAI | O2 | 11 | 30 | 48 | -- | -- | 89 | [18] |
| 5 | Fe(TPP)Cl | TBAI | O2 | 11 | 30 | 48 | -- | -- | 3.6 | [18] |
| 6 | Ru(Salen)(PPh3)2 | TBAI | O2 | 11 | 30 | 48 | -- | -- | 40.7 | [18] |
| 7 | Mn(III)-complex | TBAB | TBHP | 17 | 100 | 6 | -- | -- | 43 | [19] |
| 8 e | MoO2(acac)2 | TBAB | TBHP | 30 | 100/140 | 1/1 | -- | -- | 68 | [21] |
| Entry | Catalyst | Co-Catalyst | Oxidant | CO2 (bar) | T (°C) | t (h) | Conv. a (%) | Sel. b (%) | Yield c (%) | Ref. |
|---|---|---|---|---|---|---|---|---|---|---|
| 1 d | TS-1 | DMAP | H2O2 | 6.9 | 60/120 | 24/4 | 54.6 | 55.6 | -- | [28] |
| 2 d | TiMCM-41 | DMAP | TBHP | 6.9 | 60/120 | 24/4 | 44.0 | 83.4 | -- | [28] |
| 3 e | Del-Ti-MWW- N+Bu3Br− | -- | H2O2 | 20 | 40/140 | 1/6 | -- | -- | 48 | [29] |
| 4 | Ti-MMM-E | TBAB | TBHP | 8 | 70 | 48 | 92 | 70 | -- | [30] |
| 5 | TinOx-MCM-41 | TBAB | TBHP | 8 | 70 | 48 | 89 | 40 | -- | [31] |
| 6 | TinOx-MMM-2 | TBAB | TBHP | 8 | 70 | 48 | 81 | 51 | -- | [31] |
| 7 | N(CH3)2-[Im][Br]@ SBA-15 | -- | TBHP | 10 | 80 | 28 | >99 | -- | 79 | [34] |
| 8 | FeNi3/DFNS/sale /Pd(II) MNPs | aniline | TBHP | 20 | 80 | 10 | -- | -- | 98 | [36] |
| 9 | DFNS/Pt(II) NPS | aniline | TBHP | 20 | 100 | 10 | -- | -- | 97 | [37] |
| 10 | ZnW-PYIs | -- | TBHP | 5 | 50 | 120 | -- | -- | 92 | [47] |
| 11 | [{Mn2(TCPP)·2H2O}·DMF]n | TBAB | PhIO | 8 | 50 | 24 | 47.3 | 39.3 | -- | [51] |
| 12 | Fe@[{Mn2(TCPP)·2H2O}·DMF]n | TBAB | PhIO | 8 | 50 | 24 | 98.6 | 65.3 | -- | [51] |
| 13 f | CuMo-BPY | TBAB | TBHP | 5 | 50/50 | 48/48 | -- | -- | 90 | [52] |
| 14 | MOF-590 | TBAB | TBHP | 1 | 80 | 10 | 93 | 94 | 87 | [56] |
| 15 | MOF-591 | TBAB | TBHP | 1 | 80 | 10 | 95 | 85 | 81 | [56] |
| 16 | MOF-592 | TBAB | TBHP | 1 | 80 | 10 | 98 | 82 | 80 | [56] |
| 17 | ImBr-MOF-545(Mn) | -- | O2 | 5 | 60 | 10 | 99.1 | 94.8 | -- | [57] |
| 18 | Au/SiO2 | TBAB /ZnBr2 | CHP | 10 | 80 | 4 | 76 | 42 | -- | [60] |
| 19 g | Au/R201 | -- | TBHP | 40 | 80/150 | 3/4 | 98.0 | -- | 50.6 | [61] |
| 20 | Zn-N-C/Au@mSiO2 | TBAB | TBHP | 1 | 80 | 12 | 93.2 | -- | 92.9 | [63] |
| 21 | PN-CeO2 | TBAB | TBHP | 20 | 80 | 20 | 81 | 93 | -- | [68] |
| 22 | TBA-TBD-P | ZnBr2 | TBHP | 1 | 80 | 10 | 99.2 | 70.2 | 69.6 | [69] |
| 23 | Co(acac)2-QPB@ MCS | -- | O2 | 30 | 100 | 4 | 95.2 | 73.1 | 69.6 | [73] |
Publisher’s Note: MDPI stays neutral with regard to jurisdictional claims in published maps and institutional affiliations. |
© 2022 by the authors. Licensee MDPI, Basel, Switzerland. This article is an open access article distributed under the terms and conditions of the Creative Commons Attribution (CC BY) license (https://creativecommons.org/licenses/by/4.0/).
Share and Cite
Yan, T.; Wang, Z.; Guo, L.; Zhang, R.; Zhan, H.; Chen, J.; Wu, X. Recent Achievements in the Synthesis of Cyclic Carbonates from Olefins and CO2: The Rational Design of the Homogeneous and Heterogeneous Catalytic System. Catalysts 2022, 12, 563. https://doi.org/10.3390/catal12050563
Yan T, Wang Z, Guo L, Zhang R, Zhan H, Chen J, Wu X. Recent Achievements in the Synthesis of Cyclic Carbonates from Olefins and CO2: The Rational Design of the Homogeneous and Heterogeneous Catalytic System. Catalysts. 2022; 12(5):563. https://doi.org/10.3390/catal12050563
Chicago/Turabian StyleYan, Ting, Zixian Wang, Li Guo, Ran Zhang, Haijuan Zhan, Jialing Chen, and Xiaoqin Wu. 2022. "Recent Achievements in the Synthesis of Cyclic Carbonates from Olefins and CO2: The Rational Design of the Homogeneous and Heterogeneous Catalytic System" Catalysts 12, no. 5: 563. https://doi.org/10.3390/catal12050563
APA StyleYan, T., Wang, Z., Guo, L., Zhang, R., Zhan, H., Chen, J., & Wu, X. (2022). Recent Achievements in the Synthesis of Cyclic Carbonates from Olefins and CO2: The Rational Design of the Homogeneous and Heterogeneous Catalytic System. Catalysts, 12(5), 563. https://doi.org/10.3390/catal12050563

