Next Article in Journal
Strengthen Air Oxidation of Refractory Humic Acid Using Reductively Etched Nickel-Cobalt Spinel Catalyst
Previous Article in Journal
SO2 Tolerance of Rice Hull Ash Based Fe-Cu Catalysts for Low-Temperature CO-SCR of NO
 
 
Font Type:
Arial Georgia Verdana
Font Size:
Aa Aa Aa
Line Spacing:
Column Width:
Background:
Article

Catalytic Oxidation of Chlorobenzene over Ce-Mn-Ox/TiO2: Performance Study of the Porous Structure

1
Jiangsu Collaborative Innovation Center of Atmospheric Environment and Equipment Technology (CICAEET), Jiangsu Key Laboratory of Atmospheric Environment Monitoring and Pollution Control, School of Environmental Science and Engineering, Nanjing University of Information Science & Technology, Nanjing 210044, China
2
School of Environmental Science and Engineering, Nanjing Tech University, Nanjing 210009, China
*
Author to whom correspondence should be addressed.
Catalysts 2022, 12(5), 535; https://doi.org/10.3390/catal12050535
Submission received: 15 April 2022 / Revised: 5 May 2022 / Accepted: 10 May 2022 / Published: 13 May 2022
(This article belongs to the Section Catalysis in Organic and Polymer Chemistry)

Abstract

:
Chlorobenzene (CB) is a volatile and harmful organic molecule that may result in deformities, cancer, etc. Catalytic oxidization of CB may be a way to manage it. The development of nonprecious catalysts with high catalytic activity is the key but is still a challenge. In this work, a series of Ce-Mn-Ox/TiO2 modified by citric acid monohydrate were developed and exhibited a composite pore structure. This pore structure leads to a large specific surface area, highly exposed activity sites, and excellent catalytic activity. The as-prepared 10C-CM/T exhibited nearly 100% efficiency for CB oxidization in the temperature range of 300–350 °C. The in situ DRIFT measurements demonstrated that the main intermediates at 250 °C are maleate and phenolic acid, whereas when the temperature is 350 °C, the main intermediates are carbonate, bidentate carbonate, and maleate.

Graphical Abstract

1. Introduction

With the raid development of industry, various volatile organic compounds (VOCs) produce and cause pollution in various forms, including particulate matter, haze, and atmospheric ozone pollution, which seriously damage our health [1,2,3]. To handle this issue, many strategies have been developed, such as VOC adsorption, VOC condensation, and VOC destruction [4]. Unlike VOC adsorption and condensation, VOC destruction approaches can convert harmful VOCs into chemical products; therefore, they attract more attention. Typically, VOC destruction can be divided into catalytic oxidation, thermal oxidation, and biological treatment. Among them, the catalytic oxidation strategy shows the highest degree of purification, low energy consumption, and low secondary pollution, which is why it is considered as one of the most promising approaches for the management of VOCs [5,6,7]. However, the development of an efficient and stable catalysts remains a great challenge.
Noble metals exhibit excellent catalytic activity toward VOC oxidization, but their high cost, dangerousness (toxicity), and readiness to sinter under high temperatures seriously hinder their industrial applications [8,9]. Developing cheap and efficient catalysts as alternatives to noble metal catalysts is required and urgent. Recently, transition metal complexes, especially metal oxides, have attracted attention because of the abundance of their constituents, their easy preparation, and their excellent catalytic stability [7,10,11]. In particular, manganese dioxides have been most widely studied due to their environmental friendliness, outstanding catalytic activity, and stability [12,13,14]. In order to further improve their performance, various strategies have been studied, such as vacancy engineering, alloying, and heteroatom modification [15,16,17,18]. For example, He et al. synthesized Cu-doped manganese oxide, which exhibits exceptional catalytic activity in VOC oxidization [19]. They found that the doping of Cu generates more oxygen vacancies, thereby increasing catalytic performance. Similar results were found and reported by Cui et al. [20]. In addition, Chen et al. prepared cerium and iron-doped manganese dioxide catalysts, which displayed superior performance in converting aromatic VOCs [21,22]. Additionally, iron-doped manganese oxide was fabricated in our previous work, and we showed its outstanding performance for toluene. However, the catalytic activity toward chlorobenzene of as-prepared catalysts is poor [6]. In the previous studies, the catalytic activity almost always occurred on surface active sites. The inside species was generally ignored. Besides, Cl readily intrudes on oxygen vacancies, which suppresses the regeneration of adsorbed oxygen, thereby hindering chlorobenzene oxidation. Generally, Cl can supplant lattice oxygen; however, the temperature must be high [23]. Therefore, increasing the low-temperature mobility of MnO2 via heteroatom modification determines the oxidation efficiency of chlorine-containing VOCs. Moreover, abundant and diverse pore structures have also been shown to facilitate the adsorption of VOCs on the catalyst’s surface [24,25]. Single-channel catalysts generally do not favor the diffusion of reactants and products. Li et al. made a porous catalyst containing micropores and mesopores by compounding the β zeolite with activated clay, which reduced the diffusion resistance of reactants and products [26]. Pi et al. also confirmed that nitrogen-doped hierarchical porous biochar can promote the aggregation and adsorption of multiple VOC molecules, as opposed to simple microporous biochar [27]. Meanwhile, abundant and well-developed pores in a catalyst can further accelerate the oxidation of VOCs and inhibit the formation of organic by-products [28]. Thus, pore structure is one of the important factors affecting the performances of catalysts for the catalytic oxidation of VOCs.
In this work, in order to construct Ce-Mn-Ox/TiO2 catalysts with composite pore structures, citric acid monohydrate was used to modify Ce-Mn-Ox/TiO2. The as-prepared Ce-Mn-Ox/TiO2 exhibited a composite pore structure and large specific surface areas. As catalysts for CB oxidization, nearly 100% conversion efficiency can be obtained in the temperature range of 300–350 °C. The in situ DRIFT measurements indicated that the main intermediates at 250 °C are maleate and phenolic acid, whereas when the temperature is 350 °C, the main intermediates are carbonate, bidentate carbonate, and maleate. This work not only provides an effective strategy with which to improve the conversion efficiency of CB oxidization, but also reveals the reaction mechanism via the in-situ technique.

2. Results and Discussion

2.1. Catalytic Performance

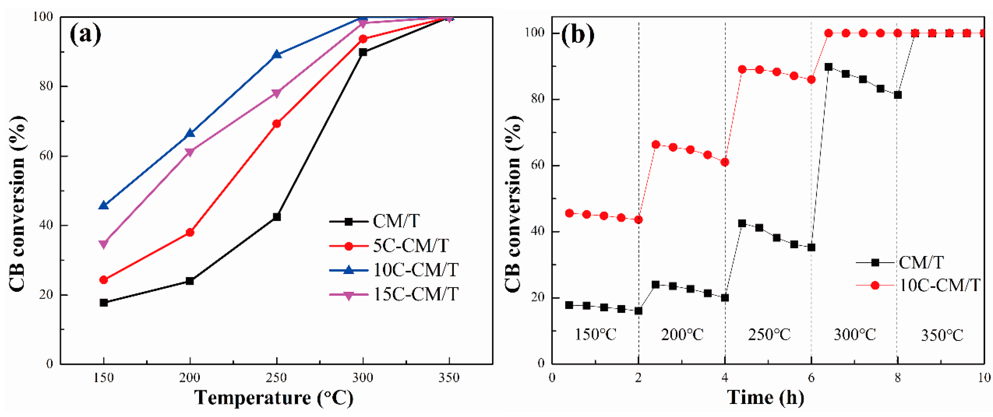
The CB conversion efficiency and stability of as-prepared materials are displayed in Figure 1. The CB conversion efficiency of the CM/T reached 17.8% at 150 °C and arrived at nearly 100% at 350 °C (Figure 1a). On this basis, adding the CAM could further promote CB conversion. The conversion efficiency of 5C-CM/T at 250 °C reached 69.3%, which was 26.8% superior to that of CM/T (42.5%). With the continuous increase in citric acid content, the CB conversion of 10C-CM/T was significantly increased at 150–250 °C, and the CB conversion of 10C-CM/T was close to 90% at 250 °C, which is far higher than that of 10C-CM/T. However, when the amount of citric acid was further increased, the catalytic activity of 15C-CM/T was decreased compared with 10C-CM/T but remained higher than that of CM/T. This may be because the excess CAM will lead to pore collapse, and the presence of an excess of a reducing atmosphere can decrease the concertation of chemisorbed oxygen on the catalyst’s surface.
As illustrated in Figure 1b, CM/T and 10C-CM/T had slight deactivation at temperatures below 350 °C, but 10C-CM/T had better CB conversion relative to the CM/T stability. CM/T has a small downward trend due to its low catalytic activity at 150–200 °C. When the temperature reached 250–300 °C, the CB conversion dropped significantly, and the conversion rate dropped by 8.8% after 300 °C for two hours (from 89.9% to 81.4%). After adding citric acid, 10C-CM/T maintained 100% CB conversion at 300°C–350°C. When the temperature was lower than 300 °C, 10C-CM/T also appeared to be inactivated, but has a slow declining trend in the graph. The addition of citric acid improved the chlorobenzene conversion stability of CM/T at a low temperature to a certain extent.

2.2. Structure Characterizations

To identify the changes in crystallinity, X-ray diffraction (XRD) analysis was tested. The XRD patterns of as-prepared catalysts are shown in Figure 2. It can be seen that the diffraction peaks for 5C-CM/T, 10C-CM/T, and 15C-CM/T are located at 25.3°, 37.8°, 48.0°, 53.9°, and 55.1°, corresponding to the anatase TiO2 (PDF-ICDD 84-1286). The diffraction peaks for CeO2 and MnO2 cannot be clearly observed. This may have been because CeO2 and MnO2 being evenly dispersed on the material’s surface. In to Figure 2b, the diffraction peak slightly shifts to a higher angle when CAM is incorporated into the CM/T (25.17 to 25.34), meaning that the crystal lattice of the modified catalyst is distorted. Smaller grains were formed in these catalysts, which is benefit for improving the catalytic reaction.
The morphology of CM/T was investigated by FE-SEM. It can be seen that CM/T consists of spherical nanoparticles with a diameter of approximately 27 nm (Figure 3a,b). The spherical particles were uniformly dispersed, and no macroporous structure could be found. Typically, after adding a certain amount of CAM, the 10C-CM/T (Figure 4) also consisted of spherical nanoparticles (~27 nm) and formed submicron pores. This indicates that 10C-CM/T possesses a composite pore structure. Using CAM to modify the CM/T is an effective strategy for adjusting its pore structure.
Then, the pore structures of 5C-CM/T, 10C-CM/T, and 15C-CM/T were further studied via nitrogen physic adsorption/desorption test. Figure 5 shows the N2 adsorption–desorption isotherms and pore size distribution diagrams of CM/T, 5C-CM/T, 10C-CM/T, and 15C-CM/T. As shown in Figure 5, the N2 adsorption–desorption curves of the four groups of catalysts were separated at a moderate relative pressure, indicating that they represent Langmuir IV adsorption. Furthermore, the four groups of catalysts fit the H3 type hysteresis loop, and it was determined that the mesopores of the catalysts had a flat slit structure.
Based on the adsorption–desorption isotherms, the specific surface areas, pore volumes, and average pore diameter were calculated and are summarized in Table 1. The specific surface area of CM/T was 82.6 m2·g−1 with the pore size of 20.3 nm. By contrast, the specific surface areas of 5C-CM/T, 10C-CM/T, and 15C-CM/T were 101.4, 137.5, and 123.4 m2·g−1, respectively. This result reveals that the CAM contributes to the formation of pore structure. In addition, the pore size decreases with increasing CAM content (from 20.3 to 9.9 nm), which means that the additional CAM can lead to the collapse of some of the large pores. Combined, the SEM and pore size distribution results of 10C-CM/T demonstrate a composite pore structure. Such an interpenetrating composite pore structure not only benefits by exposing more active sites but also facilitates the mass transfer of reactants, both of which are beneficial to enhancing the catalytic activity.
The catalytic performance critically depends on the acidity, as it affects NH3 adsorption [29,30,31]. Figure 6 shows the NH3-TPD results for CM/T, 5C-CM/T, 10C-CM/T, and 15C-CM/T. The desorption peaks located between 50 and 200 °C can be assigned to NH3 physical adsorption. The peaks located between 200 and 400 °C are attributed to the weak acidity, and the peaks at 400–550 °C are attributed to the strong acidity [32]. As shown in Figure 6a, as-prepared catalysts exhibited similar NH3 desorption trends, indicating the small effect on acid strength of CAM. As displayed in Figure 6b, the amount of weak acid increased significantly after the pore formation by CAM. It can be assumed that CAM provides a reducing atmosphere during calcination, thereby reducing the concentration of hydroxyl groups in the catalysts.
Then, the redox properties of CM/T, 5C-CM/T, 10C-CM/T, and 15C-CM/T were evaluated by H2-TPR (Figure 7). The peaks during 400–700 °C can be assigned to the reduction of Ti4+ to Ti3+ [33,34]. As illustrated in Figure 6a, CM/T shows the highest hydrogen reduction temperature of 531 °C. Meanwhile, the hydrogen consumption of CM/T was up to 2.32 mmol·g−1, which is greater than the consumption values of 5C-CM/T (2.24 mmol·g−1), 10C-CM/T (2.09 mmol·g−1), and 15C-CM/T (1.98 mmol·g−1). The reduction peak temperature gradually decreased with the increase in the amount of CAM added. This result indicates that the CAM plays a positive role in enhancing the redox performance. The enhancement can be attributed to the formation of a reducing atmosphere by CAM, which progressively converts Ti4+ into Ti3+ ions and depletes the chemical adsorbed hydroxyl and oxygen groups. Thus, the enhanced redox performance at low temperature promotes the CB conversion.

2.3. Surface Analysis

To study the chemical states in the catalysts, XPS measurements were performed. The high-resolution Ti 2p spectra can be divided into the Ti4+ (464.6 and 458.5 eV) and Ti3+ (463.4 eV) species (Figure 8a) [35]. Notably, the peaks of 5C-CM/T, 10C-CM/T, and 15C-CM/T catalysts were shifted compared with those of the CM/T, mainly because of the change in the surface chemical environment due to the reducing atmosphere. Meanwhile, the Ti3+ ion concentrations in 5C-CM/T, 10C-CM/T, and 15C-CM/T gradually increased (Table 2). This was mainly due to the conversion of Ti4+ to Ti3+ in the reducing atmosphere generated by CAM. It means that the oxygen vacancy concentration was also increased to a certain extent, thereby promoting the catalytic reaction.
The O 1s XPS spectra (Figure 8b) were fitted to peaks at 531.2 and 529.6 eV, attributed to the chemisorbed and lattice oxygen, respectively [36,37,38]. The O 1s binding energy of 5C-CM/T, 10C-CM/T, and 15C-CM/T was shifted to a lower value than that of CM/T, and the chemisorbed oxygen content was also decreased. These results fall in with the H2-TPR results, demonstrating decreasing chemisorbed oxygen content and hydrogen consumption after adding the CAM. However, the compound porous structure effectively facilitates the activation of reaction molecules and increases the concentration of oxygen vacancies, thereby improving the oxygen migration capacity and ultimately improving the catalytic performance.
The Ce 3d XPS spectra of as-prepared catalysts are displayed in Figure 8c. The peaks can be fitted to peaks at 903 and 884 eV, attributable to the Ce3+ and Ce4+, respectively [39]. After adding CAM, the peak intensity of Ce 3d significantly enhanced. Meanwhile, the Ce3+ concentration of 10C-CM/T was improved, which explains why the low-temperature activity was improved. Figure 8d displays the Mn 2p XPS spectra for CM/T, 5C-CM/T, 10C-CM/T, and 15C-CM/T. For Mn 2p XPS spectra, the peaks could be fitted to 640.8 and 642.3 eV, attributed to the Mn3+ and Mn4+, respectively [40,41]. The peak intensity of Mn 2p was significantly enhanced after introducing CAM, which agrees with the Ce 3d spectra. Thereby, the composite pore structure of catalysts effectively improves the utilization of active sites. Previous works reported that Mn4+ displays higher activity than other valence states [42]. Based on the above XPS results, 10C-CM/T possesses a higher Mn4+ concentration than CM/T, hence its superior redox performance and low-temperature activity.

2.4. Reaction Mechanism

CB adsorption is a complex reaction. The reaction pathway is different at different temperatures. In order to identify the reaction mechanism, in-situ DRIFT was performed. Figure 9 and Table 3 show the in-situ DRIFT results obtained for CB adsorption on 10C-CM/T. As shown in Figure 8a,b, strong peaks at 1624, 1588, and 1430 cm−1 were found, revealing that the main CB degradation intermediates at 250 °C are phenolics (1624 and 1588 cm−1) and maleate (1500–1410 cm−1). Other weak and broad peaks at 1257 and 2380–2300 cm−1 can be also observed, attributed to the phenate and adsorbed COx species. Considering the CB conversion results in Figure 1, CB does not fully decompose with 10C-CM/T at 250 °C; only chlorine species are eliminated [43]. When the temperature increases to 350 °C, the peaks for the phenolic and phenolate disappear (Figure 9c,d), and the intensity of bidentate carbonate (1343 cm−1) and maleate (1529 cm−1) peaks increases. In addition, the amount of adsorbed COx increases simultaneously, demonstrating that CB can be further converted to maleate and bidentate carbonate at a reaction temperature of 350 °C.
The reaction mechanism for the CB reaction is shown in Equations (1)–(6) [48]:
O 2 + 2 *     2 O *
2 OH *     H 2 O + O *
Catalysts 12 00535 i001
Catalysts 12 00535 i002
Catalysts 12 00535 i003
Catalysts 12 00535 i004

3. Experiment

Details about the characterization are summarized in the Supplementary Materials.

3.1. Material Preparation

Titanium oxysulfate was dissolved in deionized water and stirred at 80 °C. A solution of cerium nitrate hexahydrate, manganese nitrate, and citric acid monohydrate (CAM) was added to the titanyl sulfate. It was stirred vigorously for 1 h; the products were obtained after drying at 100 °C. Then, we calcined the obtained products at 600 °C in an oxygen atmosphere furnace for 1 h, which were then pulverized into 20–40 mesh catalysts and calcined again at 600 °C for 1 h. The CeO2 and MnO2 loadings were both 3% of the mass of TiO2 for these samples. The mass of CAM was 0%, 5%, 10%, or 15% of the mass of titanyl sulfate; therefore, the catalysts were designated CM/T, 5C-CM/T, 10C-CM/T, and 15C-CM/T.

3.2. Catalytic Measurement

The catalytic activities of obtained catalysts were investigated in a fixed-bed reactor. Due to the acute toxicity of dioxins, chlorobenzene (CB) was chosen as a substitute during the measurement. We injected the CB solution into a homemade sealed oil bath using a microsyringe pump, and maintained the temperature of 180 °C. The mixed N2 and O2 were passed into the sealed oil bath, and the CB vapor was sent to the fixed-bed reactor. The flow rate was kept at 1000 mL·min−1. The reactant gas in this work consisted of 100 ppm CB, 10 vol.% O2, and N2 for the balance. The CB concentrations before and after reaction were measured by the gas chromatograph. The conversion efficiency of CB was calculated using Equation (7), where [CB]in means the CB concentration at the inlet, and [CB]out means the CB concentration at the outlet.
CB   conversion = [ CB ] in [ CB ] out [ CB ] in × 100 %  

4. Conclusions

In this work, Ce-Mn-Ox/TiO2-based materials with compound porous structures were synthesized and acted as catalysts for CB oxidation. The additional CAM contributes to the formation of a composite pore structure, which effectively enhances the specific surface area and exposes more active sites, both of which are beneficial for catalysis. Moreover, the additional CAM can generate a reducing atmosphere, which increases the concentration of Ti3+ ions and oxygen fluidity, thereby promoting the catalysis. Nearly 100% conversion efficiency for CB oxidization was obtained in the temperature range of 300–350 °C. Based on the in situ DRIFT measurements, the main intermediates at 250 °C are maleate and phenolic acid, whereas they are maleate, carbonate, and bidentate carbonate when the reaction temperature is 350 °C. This work provides guidance for the preparation of CB oxidization catalysts with high catalytic activity.

Supplementary Materials

The following supporting information can be downloaded at: https://www.mdpi.com/article/10.3390/catal12050535/s1.

Author Contributions

Conceptualization, B.Y., M.N. and Q.J.; methodology, B.Y., M.N., Q.H. and M.C.; formal analysis, B.Y., M.N., Q.G. and L.X.; data curation, Q.G., Q.H. and Z.W.; writing—original draft preparation, B.Y., M.N. and Q.G. All authors have read and agreed to the published version of the manuscript.

Funding

This research was funded by National Natural Science Foundation of China, grant number 51902166; Natural Science Foundation of Jiangsu Province, grant number BK20190786; Natural Science Foundation of the Jiangsu Higher Education Institutions of China, grant number 18KJB430019; Startup Foundation for Introducing Talent of NUIST, grant number 2017r073.

Acknowledgments

We would like to acknowledge financial support from the National Natural Science Foundation of China (51902166), the Natural Science Foundation of Jiangsu Province (BK20190786), the Natural Science Foundation of the Jiangsu Higher Education Institutions of China (18KJB430019) and the Startup Foundation for Introducing Talent of NUIST (2017r073).

Conflicts of Interest

The authors declare no conflict of interest.

References

  1. He, C.; Cheng, J.; Zhang, X.; Douthwaite, M.; Pattisson, S.; Hao, Z. Recent Advances in the Catalytic Oxidation of Volatile Organic Compounds: A Review Based on Pollutant Sorts and Sources. Chem. Rev. 2019, 119, 4471–4568. [Google Scholar] [CrossRef] [PubMed]
  2. Weng, X.; Meng, Q.; Liu, J.; Jiang, W.; Pattisson, S.; Wu, Z. Catalytic Oxidation of Chlorinated Organics over Lanthanide Perovskites: Effects of Phosphoric Acid Etching and Water Vapor on Chlorine Desorption Behavior. Environ. Sci. Technol. 2018, 53, 884–893. [Google Scholar] [CrossRef] [PubMed]
  3. Huang, B.; Lei, C.; Wei, C.; Zeng, G. Chlorinated volatile organic compounds (Cl-VOCs) in environment-sources, potential human health impacts, and current remediation technologies. Environ. Int. 2014, 71, 118–138. [Google Scholar] [CrossRef] [PubMed]
  4. Chen, J.; Chen, X.; Yan, D.; Jiang, M.; Xu, W.; Yu, H.; Jia, H. A facile strategy of enhancing interaction between cerium and manganese oxides for catalytic removal of gaseous organic contaminants. Appl. Catal. B Environ. 2019, 250, 396–407. [Google Scholar] [CrossRef]
  5. Zhang, T.; Lang, X.; Dong, A.; Wan, X.; Shan, G.; Wang, L.; Wang, L.; Wang, W. Difference of Oxidation Mechanism between Light C3-C4 Alkane and Alkene over Mullite YMn2O5 Oxides’ Catalyst. ACS Catal. 2020, 10, 7269–7282. [Google Scholar] [CrossRef]
  6. Liu, L.; Sun, J.; Ding, J.; Zhang, Y.; Sun, T.; Jia, J. Highly Active Mn3–xFexO4 Spinel with Defects for Toluene Mineralization: Insights into Regulation of the Oxygen Vacancy and Active Metals. Inorg. Chem. 2019, 58, 13241–13249. [Google Scholar] [CrossRef]
  7. Liu, L.; Sun, J.; Ding, J.; Zhang, Y.; Jia, J.; Sun, T. Catalytic Oxidation of VOCs over SmMnO3 Perovskites: Catalyst Synthesis, Change Mechanism of Active Species, and Degradation Path of Toluene. Inorg. Chem. 2019, 58, 14275–14283. [Google Scholar] [CrossRef]
  8. Huang, H.; Xu, Y.; Feng, Q.; Leung, D.Y.C. Low temperature catalytic oxidation of volatile organic compounds: A review. Catal. Sci. Technol. 2015, 5, 2649–2669. [Google Scholar] [CrossRef]
  9. Puértolas, B.; Smith, A.; Vázquez, I.; Dejoz, A.; Moragues, A.; Garcia, T.; Solsona, B. The different catalytic behaviour in the propane total oxidation of cobalt and manganese oxides prepared by a wet combustion procedure. Chem. Eng. J. 2013, 229, 547–558. [Google Scholar] [CrossRef]
  10. Ren, Z.; Wu, Z.; Song, W.; Xiao, W.; Guo, Y.; Ding, J.; Suib, S.L.; Gao, P.-X. Low temperature propane oxidation over Co3O4 based nano-array catalysts: Ni dopant effect, reaction mechanism and structural stability. Appl. Catal. B Environ. 2015, 180, 150–160. [Google Scholar] [CrossRef] [Green Version]
  11. Chen, J.; Xu, W.; Jiang, M.; Jia, H. Polyoxometallate functionalizing CeO2 via redox-etching precipitation to synergistically catalyze oxidation of gaseous chlorinated pollutants: From lab to practice. Appl. Catal. B Environ. 2020, 278, 119263. [Google Scholar] [CrossRef]
  12. Yang, W.; Su, Z.; Xu, Z.; Yang, W.; Peng, Y.; Li, J. Comparative study of alpha-, beta-, gamma- and delta-MnO2 on toluene oxidation: Oxygen vacancies and reaction intermediates. Appl. Catal. B-Environ. 2020, 260, 118150. [Google Scholar] [CrossRef]
  13. Yang, Y.; Zhang, S.; Wang, S.; Zhang, K.; Wang, H.; Huang, J.; Deng, S.; Wang, B.; Wang, Y.; Yu, G. Ball Milling Synthesized MnOx as Highly Active Catalyst for Gaseous POPs Removal: Significance of Mechanochemically Induced Oxygen Vacancies. Environ. Sci. Technol. 2015, 49, 4473–4480. [Google Scholar] [CrossRef]
  14. Li, K.; Chen, C.; Zhang, H.; Hu, X.; Sun, T.; Jia, J. Effects of phase structure of MnO2 and morphology of delta-MnO2 on toluene catalytic oxidation. Appl. Surf. Sci. 2019, 496, 143662. [Google Scholar] [CrossRef]
  15. Zhang, P.; Lu, H.; Zhou, Y.; Zhang, L.; Wu, Z.; Yang, S.; Shi, H.; Zhu, Q.; Chen, Y.; Dai, S. Mesoporous MnCeOx solid solutions for low temperature and selective oxidation of hydrocarbons. Nat. Commun. 2015, 6, 8446. [Google Scholar] [CrossRef]
  16. Tang, X.F.; Li, Y.G.; Huang, X.M.; Xu, Y.D.; Zhu, H.Q.; Wang, J.G.; Shen, W.J. MnOx-CeO2 mixed oxide catalysts for complete oxidation of formaldehyde: Effect of preparation method and calcination temperature. Appl. Catal. B-Environ. 2006, 62, 265–273. [Google Scholar] [CrossRef]
  17. Zhu, L.; Wang, J.; Rong, S.; Wang, H.; Zhang, P. Cerium modified birnessite-type MnO2 for gaseous formaldehyde oxidation at low temperature. Appl. Catal. B Environ. 2017, 211, 212–221. [Google Scholar] [CrossRef]
  18. Zhang, X.; Ye, J.; Yuan, J.; Cai, T.; Xiao, B.; Liu, Z.; Zhao, K.; Yang, L.; He, D. Excellent low-temperature catalytic performance of nanosheet Co-Mn oxides for total benzene oxidation. Appl. Catal. Gen. 2018, 566, 104–112. [Google Scholar] [CrossRef]
  19. Hu, J.; Li, W.; Liu, R. Highly efficient copper-doped manganese oxide nanorod catalysts derived from CuMnO hierarchical nanowire for catalytic combustion of VOCs. Catal. Today 2018, 314, 147–153. [Google Scholar] [CrossRef]
  20. Dong, C.; Qu, Z.; Jiang, X.; Ren, Y. Tuning oxygen vacancy concentration of MnO2 through metal doping for improved toluene oxidation. J. Hazard. Mater. 2020, 391, 122181. [Google Scholar] [CrossRef]
  21. Chen, J.; Chen, X.; Xu, W.; Xu, Z.; Chen, J.; Jia, H.; Chen, J. Hydrolysis driving redox reaction to synthesize Mn-Fe binary oxides as highly active catalysts for the removal of toluene. Chem. Eng. J. 2017, 330, 281–293. [Google Scholar] [CrossRef]
  22. Chen, J.; Chen, X.; Chen, X.; Xu, W.; Xu, Z.; Jia, H.; Chen, J. Homogeneous introduction of CeOy into MnOx-based catalyst for oxidation of aromatic VOCs. Appl. Catal. B-Environ. 2018, 224, 825–835. [Google Scholar] [CrossRef]
  23. Mei, J.; Zhao, S.; Huang, W.; Qu, Z.; Yan, N. Mn-Promoted Co3O4/TiO2 as an efficient catalyst for catalytic oxidation of dibromomethane (CH2Br2). J. Hazard. Mater. 2016, 318, 1–8. [Google Scholar] [CrossRef] [PubMed]
  24. Patra, A.K.; Dutta, A.; Bhaumik, A. Highly Ordered Mesoporous TiO2–Fe2O3 Mixed Oxide Synthesized by Sol–Gel Pathway: An Efficient and Reusable Heterogeneous Catalyst for Dehalogenation Reaction. ACS Appl. Mater. Interfaces 2012, 4, 5022–5028. [Google Scholar] [CrossRef]
  25. Avijit, J.; John, M.; Parijat, B.; Sujan, M.; Asim, B.; Zhao, Y. Ruthenium bipyridyl tethered porous organosilica: A versatile, durable and reusable heterogeneous photocatalyst. Chem. Commun. 2015, 51, 10746–10749. [Google Scholar]
  26. Liao, Y.; Meng, X.; Yang, Y.; Shi, L.; Liu, N. Synthesis of diphenylamine by condensation of aniline catalyzed by microporous-mesoporous composite solid acid nanoreactor. Mol. Catal. 2022, 520, 112134. [Google Scholar] [CrossRef]
  27. Pi, X.; Qu, Z.; Sun, F.; Zhang, Z.; Gao, J. Catalytic activation preparation of nitrogen-doped hierarchical porous bio-char for efficient adsorption of dichloromethane and toluene. J. Anal. Appl. Pyrolysis 2021, 156, 105150. [Google Scholar] [CrossRef]
  28. Yan, D.; Chen, Z.; Ma, M.; Yu, Y.; Liu, Q.; He, C. Hierarchical Cu-Mn/ZSM-5 with boosted activity and selectivity for n-butylamine destruction: Synergy of pore structure and surface acidity. Appl. Catal. A Gen. 2022, 636, 118579. [Google Scholar] [CrossRef]
  29. Lietti, L.; Nova, I.; Tronconi, E.; Forzatti, P. Transient kinetic study of the SCR-DeNOx reaction. Catal. Today 1998, 45, 85–92. [Google Scholar] [CrossRef]
  30. Qu, W.; Liu, X.; Chen, J.; Dong, Y.; Tang, X.; Chen, Y. Single-atom catalysts reveal the dinuclear characteristic of active sites in NO selective reduction with NH3. Nat. Commun. 2020, 11, 1532. [Google Scholar] [CrossRef] [Green Version]
  31. Liu, J.J.; He, G.Z.; Shan, W.P.; Yu, Y.B.; Huo, Y.L.; Zhang, Y.; Wang, M.; Yu, R.; Liu, S.S.; He, H. Introducing tin to develop ternary metal oxides with excellent hydrothermal stability for NH3 selective catalytic reduction of NOx. Appl. Catal. B 2021, 291, 120125. [Google Scholar] [CrossRef]
  32. Ning, P.; Song, Z.; Li, H.; Zhang, Q.; Liu, X.; Zhang, J.; Tang, X.; Huang, Z. Selective catalytic reduction of NO with NH3 over CeO2–ZrO2–WO3 catalysts prepared by different methods. Appl. Surf. Sci. 2015, 332, 130–137. [Google Scholar] [CrossRef]
  33. Jin, Q.; Shen, Y.; Ma, L.; Pan, Y.; Zhu, S.; Zhang, J.; Zhou, W.; Wei, X.; Li, X. Novel TiO2 catalyst carriers with high thermostability for selective catalytic reduction of NO by NH3. Catal. Today 2019, 327, 279–287. [Google Scholar] [CrossRef] [PubMed]
  34. Jiang, W.Y.; Yu, Y.L.; Bi, F.; Sun, P.F.; Weng, X.L.; Wu, Z.B. Synergistic elimination of NOx and chloroaromatics on a commercial V2O5-WO3/TiO2 catalyst: Byproduct analyses and the SO2 effect. Environ. Sci. Technol. 2019, 53, 12657–12667. [Google Scholar] [CrossRef] [PubMed]
  35. Duan, K.; Wang, Z.; Hardacre, C.; Liu, Z.; Chansai, S.; Stere, C. Promoting effect of Au on Pd/TiO2 catalyst for the selective catalytic reduction of NOx by H2. Catal. Today 2019, 332, 69–75. [Google Scholar] [CrossRef]
  36. Lee, K.; Choi, B.; Lee, C.; Oh, K. Effects of SiO2/Al2O3 ratio, reaction atmosphere and metal additive on de-NOx performance of HC-SCR over Cu-based ZSM-5. J. Ind. Eng. Chem. 2020, 90, 132–144. [Google Scholar] [CrossRef]
  37. Jin, Q.J.; Chen, M.M.; Tao, X.J.; Lu, B.X.; Shen, J.Y.; Shen, Y.S.; Zeng, Y.W. Component synergistic catalysis of Ce-Sn-W-Ba-Ox/TiO2 in selective catalytic reduction of NO with ammonia. Appl. Surf. Sci. 2020, 512, 145757. [Google Scholar] [CrossRef]
  38. Zhang, S.H.; Li, Y.Y.; Huang, J.H.; Lee, J.; Kim, D.H.; Frenkel, A.I.; Kim, T. Effects of molecular and electronic structures in CoOx/CeO2 catalysts on NO reduction by CO. J. Phys. Chem. C 2019, 123, 7166–7177. [Google Scholar] [CrossRef]
  39. Wang, Z.-Y.; Guo, R.-T.; Guan, Z.-Z.; Shi, X.; Pan, W.-G.; Fu, Z.-G.; Qin, H.; Liu, X.-Y. The promotion effect of Cr additive on CeZr2Ox catalyst for the low-temperature selective catalytic reduction of NOx with NH3. Appl. Surf. Sci. 2019, 485, 133–140. [Google Scholar] [CrossRef]
  40. Tian, X.; Lin, B.N.; Li, Y.P.; Wang, S.; Zhou, Y.H.; Zhong, H. CeO2-MnOx composite loaded on Al2O3 as a catalyst for HCl oxidation. Catal. Sci. Technol. 2020, 10, 4553–4561. [Google Scholar] [CrossRef]
  41. Yao, X.J.; Cao, J.; Chen, L.; Kang, K.K.; Chen, Y.; Tian, M.; Yang, F.M. Doping effect of cations (Zr4+, Al3+, and Si4+) on MnOx/CeO2 nano-rod catalyst for NH3-SCR reaction at low temperature. Chin. J. Catal. 2019, 40, 733–743. [Google Scholar] [CrossRef]
  42. Chen, L.; Yao, X.J.; Cao, J.; Yang, F.M.; Tang, C.J.; Dong, L. Effect of Ti4+ and Sn4+ co-incorporation on the catalytic performance of CeO2-MnOx catalyst for low temperature NH3-SCR. Appl. Surf. Sci. 2019, 476, 283–292. [Google Scholar] [CrossRef]
  43. Huang, X.; Wang, D.; Yang, Q.; Peng, Y.; Li, J. Multi-pollutant control (MPC) of NO and chlorobenzene from industrial furnaces using a vanadia-based SCR catalyst. Appl. Catal. B Environ. 2020, 285, 119835. [Google Scholar] [CrossRef]
  44. Smirnov, M.; Graham, G. Pd oxidation under UHV in a model Pd/ceria–zirconia catalyst. Catal. Lett. 2001, 72, 39–44. [Google Scholar] [CrossRef]
  45. Huang, H.; Gu, Y.F.; Zhao, J.; Wang, X.Y. Catalytic combustion of chlorobenzene over VOx/CeO2 catalysts. J. Catal. 2015, 326, 54–68. [Google Scholar] [CrossRef]
  46. Lichtenberger, J.; Amiridis, M.D. Catalytic oxidation of chlorinated benzenes over V2O5/TiO2 catalysts. J. Catal. 2004, 2223, 96–308. [Google Scholar] [CrossRef]
  47. Krishnamoorthy, S.; Rivas, J.A.; Amiridis, M.D. Catalytic Oxidation of 1,2-Dichlorobenzene over Supported Transition Metal Oxides. J. Catal. 2000, 193, 264–272. [Google Scholar] [CrossRef]
  48. Li, L.; Shi, J.W.; Tian, M.J.; Chen, C.W.; Wang, B.R.; Ma, M.D.; He, C. In situ fabrication of robust three dimensional ordered macroporous γ-MnO2/LaMnO3.15 catalyst for chlorobenzene efficient destruction. Appl. Catal. B 2021, 282, 119565. [Google Scholar] [CrossRef]
Figure 1. (a) CB conversion of CM/T, 5C-CM/T, 10C-CM/T, and 15C-CM/T; (b) CB conversion stability of CM/T and 10C-CM/T.
Figure 1. (a) CB conversion of CM/T, 5C-CM/T, 10C-CM/T, and 15C-CM/T; (b) CB conversion stability of CM/T and 10C-CM/T.
Catalysts 12 00535 g001
Figure 2. (a) X-ray diffraction patterns of CM/T, 5C-CM/T, 10C-CM/T and 15C-CM/T; (b) Zoomed XRD patterns.
Figure 2. (a) X-ray diffraction patterns of CM/T, 5C-CM/T, 10C-CM/T and 15C-CM/T; (b) Zoomed XRD patterns.
Catalysts 12 00535 g002
Figure 3. (a) FE-SEM images of CM/T (100 K X); (b) FE-SEM images of CM/T (200 K X).
Figure 3. (a) FE-SEM images of CM/T (100 K X); (b) FE-SEM images of CM/T (200 K X).
Catalysts 12 00535 g003
Figure 4. (a) FE-SEM images of 10C-CM/T (100 K X); (b) FE-SEM images of 10C-CM/T (200 K X).
Figure 4. (a) FE-SEM images of 10C-CM/T (100 K X); (b) FE-SEM images of 10C-CM/T (200 K X).
Catalysts 12 00535 g004
Figure 5. N2 adsorption and desorption curves of different catalysts.
Figure 5. N2 adsorption and desorption curves of different catalysts.
Catalysts 12 00535 g005
Figure 6. (a) NH3-TPD curves and (b) acid quantities of CM/T, 5C-CM/T, 10C-CM/T, and 15C-CM/T.
Figure 6. (a) NH3-TPD curves and (b) acid quantities of CM/T, 5C-CM/T, 10C-CM/T, and 15C-CM/T.
Catalysts 12 00535 g006
Figure 7. (a) H2-TPR curves and (b) H2 consumption of CM/T, 5C-CM/T, 10C-CM/T, and 15C-CM/T.
Figure 7. (a) H2-TPR curves and (b) H2 consumption of CM/T, 5C-CM/T, 10C-CM/T, and 15C-CM/T.
Catalysts 12 00535 g007
Figure 8. (a) Ti 2p, (b) O 1s, (c) Ce 3d, and (d) Mn 2p XPS spectra of CM/T, 5C-CM/T, 10C-CM/T, and 15C-CM/T.
Figure 8. (a) Ti 2p, (b) O 1s, (c) Ce 3d, and (d) Mn 2p XPS spectra of CM/T, 5C-CM/T, 10C-CM/T, and 15C-CM/T.
Catalysts 12 00535 g008
Figure 9. In-situ diffuse reflection infrared spectrum of chlorobenzene adsorption on 10C-CM/T: (a) at 250 °C, (b) 350 °C, (c) 450 °C, (d) 550 °C.
Figure 9. In-situ diffuse reflection infrared spectrum of chlorobenzene adsorption on 10C-CM/T: (a) at 250 °C, (b) 350 °C, (c) 450 °C, (d) 550 °C.
Catalysts 12 00535 g009
Table 1. Pore structures of the obtained catalysts.
Table 1. Pore structures of the obtained catalysts.
SampleBET Surface Area/(m2·g−1)Pore Volume/(cm3·g−1)Average Pore Diameter/nm
CM/T82.60.14220.3
5C-CM/T101.40.46521.8
10C-CM/T137.50.36310.6
15C-CM/T123.40.2849.9
Table 2. Atomic ratios of Ti, O, Ce, and Mn in obtained catalysts.
Table 2. Atomic ratios of Ti, O, Ce, and Mn in obtained catalysts.
SampleTi3+/(Ti3+ + Ti4+)Oα/(Oα + Oβ)Ce3+/(Ce3+ + Ce4+)Mn4+/(Mn3+ + Mn4+)
CM/T0.150.490.290.49
5C-CM/T0.120.100.390.59
10C-CM/T0.170.090.400.73
15C-CM/T0.180.070.430.65
Table 3. The adsorption bands and corresponding species.
Table 3. The adsorption bands and corresponding species.
Band (cm−1)SpeciesRef.
2380–2300adsorbed COx species[44]
1640–1580phenolic species[45]
1500–1410maleate species[46]
1405–1345bidentate carbonate species[47]
1270–1220phenate species[45]
Publisher’s Note: MDPI stays neutral with regard to jurisdictional claims in published maps and institutional affiliations.

Share and Cite

MDPI and ACS Style

Yang, B.; Ni, M.; Gu, Q.; Huang, Q.; Xu, L.; Chen, M.; Jin, Q.; Wang, Z. Catalytic Oxidation of Chlorobenzene over Ce-Mn-Ox/TiO2: Performance Study of the Porous Structure. Catalysts 2022, 12, 535. https://doi.org/10.3390/catal12050535

AMA Style

Yang B, Ni M, Gu Q, Huang Q, Xu L, Chen M, Jin Q, Wang Z. Catalytic Oxidation of Chlorobenzene over Ce-Mn-Ox/TiO2: Performance Study of the Porous Structure. Catalysts. 2022; 12(5):535. https://doi.org/10.3390/catal12050535

Chicago/Turabian Style

Yang, Bo, Maosen Ni, Qiuxiang Gu, Qiong Huang, Leilei Xu, Mindong Chen, Qijie Jin, and Zhenhui Wang. 2022. "Catalytic Oxidation of Chlorobenzene over Ce-Mn-Ox/TiO2: Performance Study of the Porous Structure" Catalysts 12, no. 5: 535. https://doi.org/10.3390/catal12050535

APA Style

Yang, B., Ni, M., Gu, Q., Huang, Q., Xu, L., Chen, M., Jin, Q., & Wang, Z. (2022). Catalytic Oxidation of Chlorobenzene over Ce-Mn-Ox/TiO2: Performance Study of the Porous Structure. Catalysts, 12(5), 535. https://doi.org/10.3390/catal12050535

Note that from the first issue of 2016, this journal uses article numbers instead of page numbers. See further details here.

Article Metrics

Back to TopTop