Sn-Beta Catalyzed Transformations of Sugars—Advances in Catalyst and Applications
Abstract
:1. Introduction
2. Syntheses of Beta Zeolite
2.1. Bottom-Up Approaches
2.1.1. Seed-Assisted Synthesis
2.1.2. Dry-Gel Conversion Techniques
2.1.3. Inter-Zeolite Transformations
2.2. Top-Down Approaches
2.2.1. Gas-Solid Deposition
2.2.2. Solid-State Ion Exchange
2.2.3. Liquid-Phase Routes
3. Catalytic Transformations of Sugars with Sn-Beta Zeolite
3.1. Sugar Isomerization
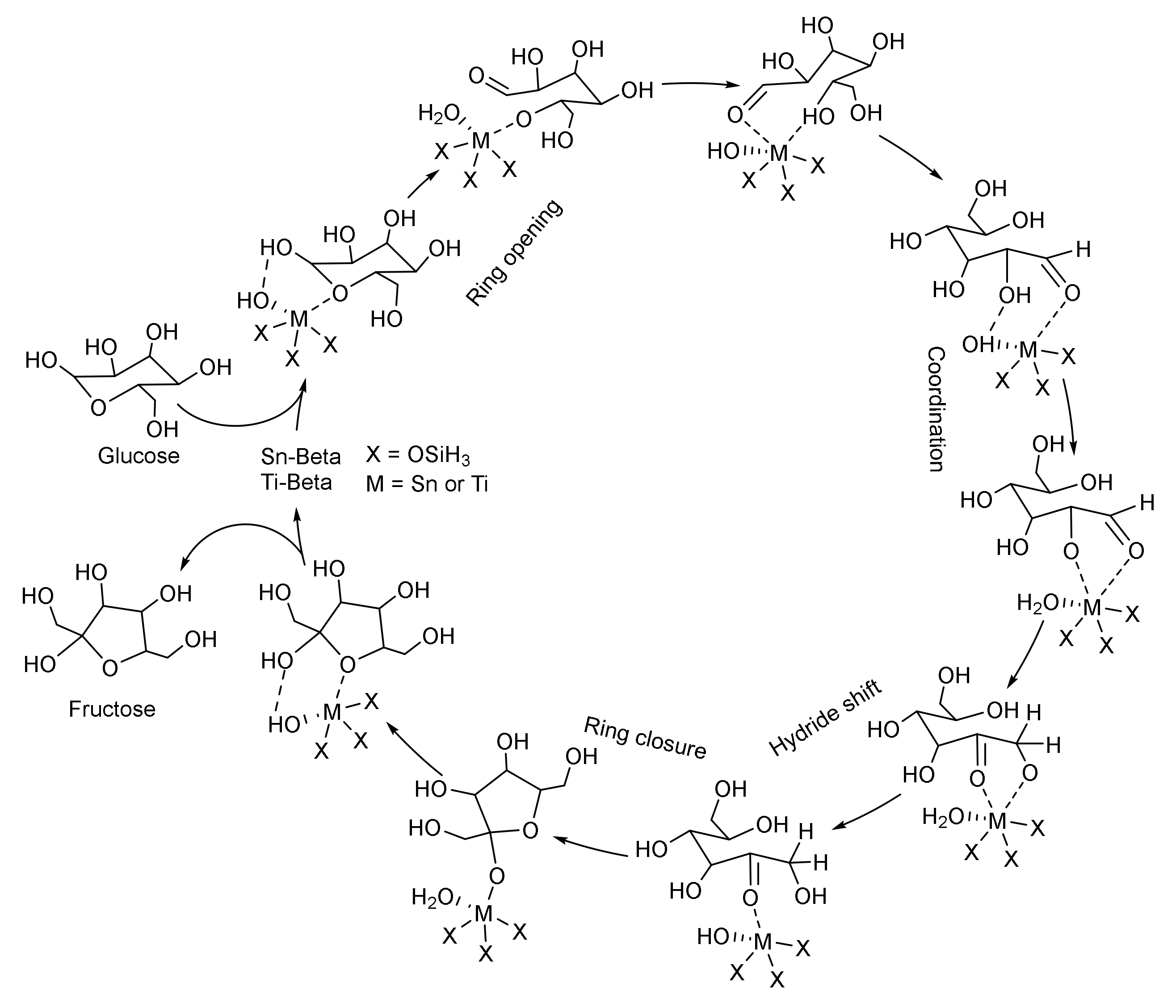
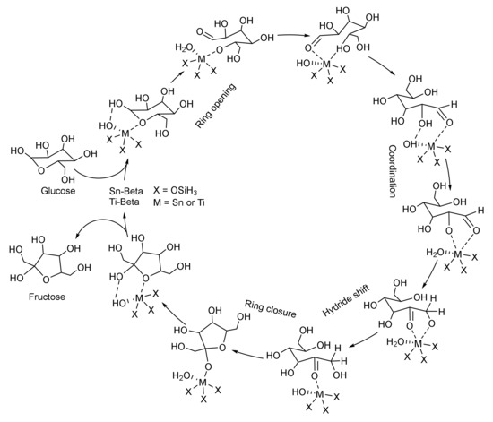
3.1.1. Glucose-to-Fructose
3.1.2. Xylose-to-Xylulose
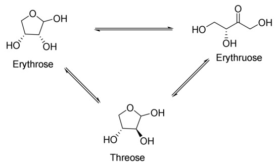
3.1.3. Erythrose-to-Erythrulose
3.1.4. Dihydroxyacetone-to-Glyceraldehyde
3.2. Sugar Dehydration
3.3. Sugar Fragmentation
4. Conclusions and Perspectives
Author Contributions
Funding
Data Availability Statement
Conflicts of Interest
References
- Li, T.; Chen, C.; Brozena, A.H.; Zhu, J.Y.; Xu, L.; Driemeier, C.; Dai, J.; Rojas, O.J.; Isogai, A.; Wagberg, L.; et al. Developing fibrillated cellulose as a sustainable technological material. Nature 2021, 590, 47–56. [Google Scholar] [CrossRef] [PubMed]
- Zhu, Y.; Romain, C.; Williams, C.K. Sustainable polymers from renewable resources. Nature 2016, 540, 354–362. [Google Scholar] [CrossRef] [PubMed]
- Isikgor, F.H.; Becer, C.R. Lignocellulosic biomass: A sustainable platform for the production of bio-based chemicals and polymers. Polym. Chem. 2015, 6, 4497–4559. [Google Scholar] [CrossRef] [Green Version]
- Zhang, X.; Wilson, K.; Lee, A.F. Heterogeneously catalyzed hydrothermal processing of C5–C6 sugars. Chem. Rev. 2016, 116, 12328–12368. [Google Scholar] [CrossRef] [Green Version]
- He, J.; Li, H.; Saravanamurugan, S.; Yang, S. Catalytic Upgrading of Biomass-Derived Sugars with Acidic Nanoporous Materials: Structural Role in Carbon-Chain Length Variation. ChemSusChem 2019, 12, 347–378. [Google Scholar] [CrossRef]
- Yu, Z.; Wu, H.; Li, Y.; Xu, Y.; Li, H.; Yang, S. Zeolite-related catalysts for biomass-derived sugar valorization. In Advanced Functional Solid Catalysts for Biomass Valorization, 1st ed.; Hussain, C.M., Sudarsanam, P., Eds.; Elsevier: Amsterdam, The Netherlands, 2020; pp. 141–159. [Google Scholar]
- Zhu, P.; Abdelaziz, O.Y.; Hulteberg, C.P.; Riisager, A. New synthetic approaches to biofuels from lignocellulosic biomass. Curr. Opin. Green Sustain. Chem. 2020, 21, 16–21. [Google Scholar] [CrossRef]
- Chen, L.H.; Sun, M.H.; Wang, Z.; Yang, W.; Xie, Z.; Su, B.L. Hierarchically Structured Zeolites: From Design to Application. Chem. Rev. 2020, 120, 11194–11294. [Google Scholar] [CrossRef]
- Román-Leshkov, Y.; Davis, M.E. Activation of Carbonyl-Containing Molecules with Solid Lewis Acids in Aqueous Media. ACS Catal. 2011, 1, 1566–1580. [Google Scholar] [CrossRef]
- Pang, T.; Yang, X.; Yuan, C.; Elzatahry, A.A.; Alghamdi, A.; He, X.; Cheng, X.; Deng, Y. Recent advance in synthesis and application of heteroatom zeolites. Chin. Chem. Lett. 2021, 32, 328–338. [Google Scholar] [CrossRef]
- Moliner, M.; Roman-Leshkov, Y.; Davis, M.E. Tin-containing zeolites are highly active catalysts for the isomerization of glucose in water. Proc. Natl. Acad. Sci. USA 2010, 107, 6164–6168. [Google Scholar] [CrossRef] [Green Version]
- Holm, M.S.; Saravanamurugan, S.; Taarning, E. Conversion of Sugars to Lactic Acid Derivatives Using Heterogeneous Zeotype Catalysts. Science 2010, 328, 602–605. [Google Scholar] [CrossRef] [PubMed] [Green Version]
- Dapsens, P.Y.; Mondelli, C.; Perez-Ramirez, J. Design of Lewis-acid centres in zeolitic matrices for the conversion of renewables. Chem. Soc. Rev. 2015, 44, 7025–7043. [Google Scholar] [CrossRef] [PubMed] [Green Version]
- Zhu, Z.; Xu, H.; Jiang, J.; Wu, P. Recent advances in Sn-Beta zeolite. Chem. World 2018, 59, 609–620. [Google Scholar]
- Hammond, C.; Padovan, D.; Tarantino, G. Porous metallosilicates for heterogeneous, liquid-phase catalysis: Perspectives and pertaining challenges. R. Soc. Open Sci. 2018, 5, 171315. [Google Scholar] [CrossRef] [Green Version]
- Liu, Y.; Xia, C.; Lin, M.; Zhu, B.; Peng, X.; Luo, Y.; Shu, X. Stannosilicate molecular sieve: A new star in heteroatom incorporated zeolite family. Chem. Ind. Eng. Prog. 2019, 39, 605–615. [Google Scholar]
- Cai, J.; Wu, Z. Advances in the synthesis of Sn-Beta zeolite. Ind. Catal. 2019, 27, 1–8. [Google Scholar]
- Lei, Q.; Wang, C.; Dai, W.; Wu, G.; Guan, N.; Li, L. Multifunctional heteroatom zeolites: Construction and applications. Front. Chem. Sci. Eng. 2021, 15, 1462–1486. [Google Scholar] [CrossRef]
- Qi, G.; Ye, X.; Xu, J.; Deng, F. Progress in NMR Studies of Carbohydrates Conversion on Zeolites. Chem. J. Chin. Univ. 2021, 42, 148–164. [Google Scholar]
- Luo, H.Y.; Lewis, J.D.; Roman-Leshkov, Y. Lewis Acid Zeolites for Biomass Conversion: Perspectives and Challenges on Reactivity, Synthesis, and Stability. Annu. Rev. Chem. Biomol. Eng. 2016, 7, 663–692. [Google Scholar] [CrossRef] [Green Version]
- Johnson, B.A.; Di Iorio, J.R.; Román-Leshkov, Y. Tailoring Distinct Reactive Environments in Lewis Acid Zeolites for Liquid Phase Catalysis. Acc. Mater. Res. 2021, 2, 1033–1046. [Google Scholar] [CrossRef]
- Wadlinger, R.L.; Kerr, G.T.; Rosinski, E.J. Catalytic Composition of a Crystalline Zeolite. U.S. Patent 3,308,069, 7 March 1967. [Google Scholar]
- Higgins, J.B.; LaPierre, R.B.; Schlenker, J.L.; Rohrman, A.C.; Wood, J.D.; Kerr, G.T.; Rohrbaugh, W.J. The framework topology of zeolite beta. Zeolites 1988, 8, 446–452, Erratum in Zeolites 1989, 9, 358. [Google Scholar] [CrossRef]
- van der Waal, J.C.; Rigutto, M.S.; van Bekkum, H. Synthesis of all-silica zeolite beta. J. Chem. Soc. Chem. Commun. 1994, 1241–1242. [Google Scholar] [CrossRef]
- Mal, N.K.; Ramaswamy, A.V. Synthesis and catalytic properties of large-pore Sn-beta and Al-free Sn-beta molecular sieves. Chem. Commun. 1997, 425–426. [Google Scholar] [CrossRef]
- Corma, A.; Nemeth, L.T.; Renz, M.; Valencia, S. Sn-zeolite beta as a heterogeneous chemoselective catalyst for Baeyer–Villiger oxidations. Nature 2001, 412, 423–425. [Google Scholar] [CrossRef] [PubMed]
- Chang, C.C.; Wang, Z.; Dornath, P.; Je Cho, H.; Fan, W. Rapid synthesis of Sn-Beta for the isomerization of cellulosic sugars. RSC Adv. 2012, 2, 10475–10477. [Google Scholar] [CrossRef]
- Xu, H.; Wang, X.; Ji, P.; Wu, H.; Guan, Y.; Wu, P. Hydrothermal synthesis of Sn-Beta zeolites in F−-free medium. Inorg. Chem. Front. 2018, 5, 2763–2771. [Google Scholar] [CrossRef]
- Zhou, S.; Zhou, L.; Su, Y.; Yang, X.; He, H. Effect of silica source on the synthesis, property and catalytic performance of Sn-Beta zeolite. Mater. Chem. Phys. 2021, 272, 124995. [Google Scholar] [CrossRef]
- Kang, Z.H. Synthesis, Characterization and Catalytic Performance of Sn-Beta Molecular Sieves. Doctoral Dissertation, Dalian University of Technology, Dalian, China, 2013. [Google Scholar]
- Yang, X.M.; Wang, L.Y.; Lu, T.L.; Gao, B.B.; Su, Y.L.; Zhou, L.P. Seed-assisted hydrothermal synthesis of Sn-Beta for conversion of glucose to methyl lactate: Effects of the H2O amount in the gel and crystallization time. Catal. Sci. Technol. 2020, 10, 8437–8444. [Google Scholar] [CrossRef]
- Tolborg, S.; Katerinopoulou, A.; Falcone, D.D.; Sádaba, I.; Osmundsen, C.M.; Davis, R.J.; Taarning, E.; Fristrup, P.; Holm, M.S. Incorporation of tin affects crystallization, morphology, and crystal composition of Sn-Beta. J. Mater. Chem. A 2014, 2, 20252–20262. [Google Scholar] [CrossRef]
- Kang, Z.H.; Zhang, X.F.; Liu, H.O.; Qiu, J.S.; Yeung, K.L. A rapid synthesis route for Sn-Beta zeolites by steam-assisted conversion and their catalytic performance in Baeyer-Villiger oxidation. Chem. Eng. J. 2013, 218, 425–432. [Google Scholar] [CrossRef]
- Kang, Z.H.; Zhang, X.F.; Liu, H.O.; Qiu, J.S.; Han, W.; Yeung, K.L. Factors affecting the formation of Sn-Beta zeolites by steam-assisted conversion method. Mater. Chem. Phys. 2013, 141, 519–529. [Google Scholar] [CrossRef]
- Iida, T.; Takagaki, A.; Kohara, S.; Okubo, T.; Wakihara, T. Sn-Beta Zeolite Catalysts with High Sn Contents Prepared from Sn–Si Mixed Oxide Composites. ChemNanoMat 2015, 1, 155–158. [Google Scholar] [CrossRef]
- Zhu, Z.; Xu, H.; Jiang, J.; Guan, Y.; Wu, P. Sn-Beta zeolite hydrothermally synthesized via interzeolite transformation as efficient Lewis acid catalyst. J. Catal. 2017, 352, 1–12. [Google Scholar] [CrossRef]
- Li, P.; Liu, G.Q.; Wu, H.H.; Liu, Y.M.; Jiang, J.G.; Wu, P. Postsynthesis and Selective Oxidation Properties of Nanosized Sn-Beta Zeolite. J. Phys. Chem. C 2011, 115, 3663–3670. [Google Scholar] [CrossRef]
- Jin, J.J.; Ye, X.X.; Li, Y.S.; Wang, Y.Q.; Li, L.; Gu, J.L.; Zhao, W.R.; Shi, J.L. Synthesis of mesoporous Beta and Sn-Beta zeolites and their catalytic performances. Dalton Trans. 2014, 43, 8196–8204. [Google Scholar] [CrossRef]
- Hammond, C.; Conrad, S.; Hermans, I. Simple and Scalable Preparation of Highly Active Lewis Acidic Sn-β. Angew. Chem. Int. Ed. 2012, 51, 11736–11739. [Google Scholar] [CrossRef]
- Botti, L.; Padovan, D.; Navar, R.; Tolborg, S.; Martinez-Espin, J.S.; Hammond, C. Thermal Regeneration of Sn-Containing Silicates and Consequences for Biomass Upgrading: From Regeneration to Preactivation. ACS Catal. 2020, 10, 11545–11555. [Google Scholar] [CrossRef]
- Peeters, E.; Pomalaza, G.; Khalil, I.; Detaille, A.; Debecker, D.P.; Douvalis, A.P.; Dusselier, M.; Sels, B.F. Highly Dispersed Sn-beta Zeolites as Active Catalysts for Baeyer–Villiger Oxidation: The Role of Mobile, In Situ Sn(II)O Species in Solid-State Stannation. ACS Catal. 2021, 11, 5984–5998. [Google Scholar] [CrossRef]
- Xie, Y.; Wang, X.; Tang, Y. Surface migration and spontaneous monolayer dispersion of compounds onto supports. In Studies in Surface Science and Catalysis; Li, C., Xin, Q., Eds.; Elsevier: Amsterdam, The Netherlands, 1997; Volume 112, pp. 49–62. [Google Scholar]
- Dijkmans, J.; Gabriëls, D.; Dusselier, M.; de Clippel, F.; Vanelderen, P.; Houthoofd, K.; Malfliet, A.; Pontikes, Y.; Sels, B.F. Productive sugar isomerization with highly active Sn in dealuminated β zeolites. Green Chem. 2013, 15, 2777–2785. [Google Scholar] [CrossRef]
- Dijkmans, J.; Dusselier, M.; Gabriels, D.; Houthoofd, K.; Magusin, P.; Huang, S.G.; Pontikes, Y.; Trekels, M.; Vantomme, A.; Giebeler, L.; et al. Cooperative Catalysis for Multistep Biomass Conversion with Sn/Al Beta Zeolite. ACS Catal. 2015, 5, 928–940. [Google Scholar] [CrossRef] [Green Version]
- van der Graaff, W.N.; Tempelman, C.H.; Pidko, E.A.; Hensen, E.J. Influence of pore topology on synthesis and reactivity of Sn-modified zeolite catalysts for carbohydrate conversions. Catal. Sci. Technol. 2017, 7, 3151–3162. [Google Scholar] [CrossRef] [Green Version]
- Gounder, R.; Davis, M.E. Beyond shape selective catalysis with zeolites: Hydrophobic void spaces in zeolites enable catalysis in liquid water. AIChE J. 2013, 59, 3349–3358. [Google Scholar] [CrossRef]
- Roman-Leshkov, Y.; Moliner, M.; Labinger, J.A.; Davis, M.E. Mechanism of glucose isomerization using a solid Lewis acid catalyst in water. Angew. Chem. Int. Ed. 2010, 49, 8954–8957. [Google Scholar] [CrossRef] [PubMed] [Green Version]
- Vega-Vila, J.C.; Harris, J.W.; Gounder, R. Controlled insertion of tin atoms into zeolite framework vacancies and consequences for glucose isomerization catalysis. J. Catal. 2016, 344, 108–120. [Google Scholar] [CrossRef]
- Zhang, G.; Feng, P.; Zhang, W.; Liu, H.; Wang, C.; Ma, H.; Wang, D.; Tian, Z. Single isomerization selectivity of glucose in methanol over Sn-BEC zeolite of homogenous Sn distribution. Microporous Mesoporous Mater. 2017, 247, 158–165. [Google Scholar] [CrossRef]
- Bermejo-Deval, R.; Assary, R.S.; Nikolla, E.; Moliner, M.; Roman-Leshkov, Y.; Hwang, S.J.; Palsdottir, A.; Silverman, D.; Lobo, R.F.; Curtiss, L.A.; et al. Metalloenzyme-like catalyzed isomerizations of sugars by Lewis acid zeolites. Proc. Natl. Acad. Sci. USA 2012, 109, 9727–9732. [Google Scholar] [CrossRef] [Green Version]
- Rai, N.; Caratzoulas, S.; Vlachos, D.G. Role of Silanol Group in Sn-Beta Zeolite for Glucose Isomerization and Epimerization Reactions. ACS Catal. 2013, 3, 2294–2298. [Google Scholar] [CrossRef]
- Brand, S.K.; Labinger, J.A.; Davis, M.E. Tin Silsesquioxanes as Models for the “Open” Site in Tin-Containing Zeolite Beta. ChemCatChem 2016, 8, 121–124. [Google Scholar] [CrossRef] [Green Version]
- Christianson, J.R.; Caratzoulas, S.; Vlachos, D.G. Computational Insight into the Effect of Sn-Beta Na Exchange and Solvent on Glucose Isomerization and Epimerization. ACS Catal. 2015, 5, 5256–5263. [Google Scholar] [CrossRef]
- Bermejo-Deval, R.; Orazov, M.; Gounder, R.; Hwang, S.J.; Davis, M.E. Active Sites in Sn-Beta for Glucose Isomerization to Fructose and Epimerization to Mannose. ACS Catal. 2014, 4, 2288–2297. [Google Scholar] [CrossRef] [Green Version]
- Li, S.; Josephson, T.; Vlachos, D.G.; Caratzoulas, S. The origin of selectivity in the conversion of glucose to fructose and mannose in Sn-BEA and Na-exchanged Sn-BEA zeolites. J. Catal. 2017, 355, 11–16. [Google Scholar] [CrossRef]
- Dutta, S.; De, S.; Saha, B.; Alam, M.I. Advances in conversion of hemicellulosic biomass to furfural and upgrading to biofuels. Catal. Sci. Technol. 2012, 2, 2025–2036. [Google Scholar] [CrossRef]
- Choudhary, V.; Pinar, A.B.; Sandler, S.I.; Vlachos, D.G.; Lobo, R.F. Xylose Isomerization to Xylulose and its Dehydration to Furfural in Aqueous Media. ACS Catal. 2011, 1, 1724–1728. [Google Scholar] [CrossRef]
- Paniagua, M.; Saravanamurugan, S.; Melian-Rodriguez, M.; Melero, J.A.; Riisager, A. Xylose isomerization with zeolites in a two-step alcohol-water process. ChemSusChem 2015, 8, 1088–1094. [Google Scholar] [CrossRef] [PubMed]
- Choudhary, V.; Caratzoulas, S.; Vlachos, D.G. Insights into the isomerization of xylose to xylulose and lyxose by a Lewis acid catalyst. Carbohydr. Res. 2013, 368, 89–95. [Google Scholar] [CrossRef]
- Dusselier, M.; Van Wouwe, P.; de Clippel, F.; Dijkmans, J.; Gammon, D.W.; Sels, B.F. Mechanistic Insight into the Conversion of Tetrose Sugars to Novel α-Hydroxy Acid Platform Molecules. ChemCatChem 2013, 5, 569–575. [Google Scholar] [CrossRef]
- Granström, T.B.; Takata, G.; Tokuda, M.; Izumori, K. Izumoring: A novel and complete strategy for bioproduction of rare sugars. J. Biosci. Bioeng. 2004, 97, 89–94. [Google Scholar] [CrossRef]
- Saravanamurugan, S.; Riisager, A. Zeolite-catalyzed isomerization of tetroses in aqueous medium. Catal. Sci. Technol. 2014, 4, 3186–3190. [Google Scholar] [CrossRef]
- Wee, Y.J.; Kim, J.N.; Ryu, H.W. Biotechnological production of lactic acid and its recent applications. Food Technol. Biotechnol. 2006, 44, 163–172. [Google Scholar]
- Shi, H.F.; Hu, Y.C.; Wang, Y.; Huang, H. KNaY-zeolite catalyzed dehydration of methyl lactate. Chin. Chem. Lett. 2007, 18, 476–478. [Google Scholar] [CrossRef]
- Gao, C.; Ma, C.; Xu, P. Biotechnological routes based on lactic acid production from biomass. Biotechnol. Adv. 2011, 29, 930–939. [Google Scholar] [CrossRef] [PubMed]
- Yao, J.K.; Fu, K.R.; Wang, Y.C.; Li, T.D.; Liu, H.X.; Wang, J.G. Hierarchically porous Sn-β zeolites via an OSDA-free synthesis. Green Chem. 2017, 19, 3214–3218. [Google Scholar] [CrossRef]
- van der Graaff, W.N.P.; Li, G.N.; Mezari, B.; Pidko, E.A.; Hensen, E.J.M. Synthesis of Sn-Beta with Exclusive and High Framework Sn Content. ChemCatChem 2015, 7, 1152–1160. [Google Scholar] [CrossRef]
- Nikolla, E.; Roman-Leshkov, Y.; Moliner, M.; Davis, M.E. “One-Pot” Synthesis of 5-(Hydroxymethyl)furfural from Carbohydrates using Tin-Beta Zeolite. ACS Catal. 2011, 1, 408–410. [Google Scholar] [CrossRef] [Green Version]
- Yang, G.H.; Wang, C.; Lyu, G.J.; Lucia, L.A.; Chen, J.C. Catalysis of Glucose to 5-Hydroxymethylfurfural using Sn-Beta Zeolites and a Bronsted Acid in Biphasic Systems. BioResources 2015, 10, 5863–5875. [Google Scholar] [CrossRef] [Green Version]
- Gallo, J.M.R.; Alonso, D.M.; Mellmer, M.A.; Dumesic, J.A. Production and upgrading of 5-hydroxymethylfurfural using heterogeneous catalysts and biomass-derived solvents. Green Chem. 2013, 15, 85–90. [Google Scholar] [CrossRef]
- Zhang, T.W.; Fan, W.; Li, W.Z.; Xu, Z.P.; Xin, H.S.; Su, M.X.; Lu, Y.J.; Ma, L.L. One-Pot Conversion of Carbohydrates into 5-(Hydroxymethyl)furfural using Heterogeneous Lewis-Acid and Bronsted-Acid Catalysts. Energy Technol. 2017, 5, 747–755. [Google Scholar] [CrossRef]
- Mahmoud, E. Glucose Conversion to Furans in Alcohols Catalyzed by Lewis Acidic Beta Zeolites and Bronsted Acidic Resins. ChemistrySelect 2017, 2, 10336–10339. [Google Scholar] [CrossRef]
- Guo, Q.; Ren, L.M.; Alhassan, S.M.; Tsapatsis, M. Glucose isomerization in dioxane/water with Sn-beta catalyst: Improved catalyst stability and use for HMF production. Chem. Commun. 2019, 55, 14942–14945. [Google Scholar] [CrossRef]
- Li, L.; Ding, J.H.; Jiang, J.G.; Zhu, Z.G.; Wu, P. One-pot synthesis of 5-hydroxymethylfurfural from glucose using bifunctional Sn,Al -Beta catalysts. Chinese J. Catal. 2015, 36, 820–828. [Google Scholar] [CrossRef]
- Yang, H.; Guo, Q.Q.; Yang, P.P.; Liu, X.H.; Wang, Y.Q. Synthesis of hierarchical Sn-Beta zeolite and its catalytic performance in glucose conversion. Catal. Today 2021, 367, 117–123. [Google Scholar] [CrossRef]
- Saenluang, K.; Thivasasith, A.; Dugkhuntod, P.; Pornsetmetakul, P.; Salakhum, S.; Namuangruk, S.; Wattanakit, C. In Situ Synthesis of Sn-Beta Zeolite Nanocrystals for Glucose to Hydroxymethylfurfural (HMF). Catalysts 2020, 10, 1249. [Google Scholar] [CrossRef]
- Dusselier, M.; Van Wouwe, P.; Dewaele, A.; Makshina, E.; Sels, B.F. Lactic acid as a platform chemical in the biobased economy: The role of chemocatalysis. Energy Environ. Sci. 2013, 6, 1415–1442. [Google Scholar] [CrossRef]
- Serrano-Ruiz, J.C.; Luque, R.; Sepúlveda-Escribano, A. Transformations of biomass-derived platform molecules: From high added-value chemicals to fuels via aqueous-phase processing. Chem. Soc. Rev. 2011, 40, 5266–5281. [Google Scholar] [CrossRef]
- Onda, A. Production of Lactic Acid from Sugars by Homogeneous and Heterogeneous Catalysts. In Application of Hydrothermal Reactions to Biomass Conversion; Jin, F., Ed.; Green Chemistry and Sustainable Technology; Springer: Berlin/Heidelberg, Germany, 2014; pp. 83–107. [Google Scholar]
- Maki-Arvela, P.; Aho, A.; Murzin, D.Y. Heterogeneous Catalytic Synthesis of Methyl Lactate and Lactic Acid from Sugars and Their Derivatives. ChemSusChem 2020, 13, 4833–4855. [Google Scholar] [CrossRef]
- Megías-Sayago, C.; Navarro-Jaén, S.; Drault, F.; Ivanova, S. Recent Advances in the Brønsted/Lewis Acid Catalyzed Conversion of Glucose to HMF and Lactic Acid: Pathways toward Bio-Based Plastics. Catalysts 2021, 11, 1395. [Google Scholar] [CrossRef]
- Yamaguchi, S.; Yabushita, M.; Kim, M.; Hirayama, J.; Motokura, K.; Fukuoka, A.; Nakajima, K. Catalytic Conversion of Biomass-Derived Carbohydrates to Methyl Lactate by Acid–Base Bifunctional γ-Al2O3. ACS Sustain. Chem. Eng. 2018, 6, 8113–8117. [Google Scholar] [CrossRef]
- Sun, Y.Y.; Shi, L.; Wang, H.; Miao, G.; Kong, L.Z.; Li, S.G.; Sun, Y.H. Efficient production of lactic acid from sugars over Sn-Beta zeolite in water: Catalytic performance and mechanistic insights. Sustain. Energy Fuels 2019, 3, 1163–1171. [Google Scholar] [CrossRef]
- Yang, X.M.; Bian, J.J.; Huang, J.H.; Xin, W.W.; Lu, T.L.; Chen, C.; Su, Y.L.; Zhou, L.P.; Wang, F.; Xu, J. Fluoride-free and low concentration template synthesis of hierarchical Sn-Beta zeolites: Efficient catalysts for conversion of glucose to alkyl lactate. Green Chem. 2017, 19, 692–701. [Google Scholar] [CrossRef]
- Zhang, J.; Wang, L.; Wang, G.X.; Chen, F.; Zhu, J.; Wang, C.T.; Bian, C.Q.; Pan, S.X.; Xiao, F.S. Hierarchical Sn-Beta Zeolite Catalyst for the Conversion of Sugars to Alkyl Lactates. ACS Sustain. Chem. Eng. 2017, 5, 3123–3131. [Google Scholar] [CrossRef]
- Tang, B.; Li, S.; Song, W.C.; Yang, E.C.; Zhao, X.J.; Guan, N.J.; Li, L.D. Fabrication of Hierarchical Sn-Beta Zeolite as Efficient Catalyst for Conversion of Cellulosic Sugar to Methyl Lactate. ACS Sustain. Chem. Eng. 2020, 8, 3796–3808. [Google Scholar] [CrossRef]
- Liu, W.; Zhou, Z.; Guo, Z.; Wei, Z.; Zhang, Y.; Zhao, X.; Miao, G.; Zhu, L.; Luo, H.; Sun, M.; et al. Microwave-induced controlled-isomerization during glucose conversion into lactic acid over a Sn-beta catalyst. Sustain. Energy Fuels 2022, 6, 1264–1268. [Google Scholar] [CrossRef]
- Tolborg, S.; Sadaba, I.; Osmundsen, C.M.; Fristrup, P.; Holm, M.S.; Taarning, E. Tin-containing Silicates: Alkali Salts Improve Methyl Lactate Yield from Sugars. ChemSusChem 2015, 8, 613–617. [Google Scholar] [CrossRef] [PubMed]
- Kohler, A.; Seames, W.; Foerster, I.; Kadrmas, C. Catalytic Formation of Lactic and Levulinic Acids from Biomass Derived Monosaccarides through Sn-Beta Formed by Impregnation. Catalysts 2020, 10, 1219. [Google Scholar] [CrossRef]
- Yang, X.M.; Zhang, Y.L.; Zhou, L.P.; Gao, B.B.; Lu, T.L.; Su, Y.L.; Xu, J. Production of lactic acid derivatives from sugars over post-synthesized Sn-Beta zeolite promoted by WO3. Food Chem. 2019, 289, 285–291. [Google Scholar] [CrossRef] [PubMed]
- Luo, D.; Liu, S.N.; Yin, W.; Xia, S.Q. Methyl lactate production from levoglucosan by using Sn-Beta and H-Beta catalysts. J. Chem. Technol. Biotechnol. 2020, 95, 798–805. [Google Scholar] [CrossRef]
- Dong, W.J.; Shen, Z.; Peng, B.Y.; Gu, M.Y.; Zhou, X.F.; Xiang, B.; Zhang, Y.L. Selective Chemical Conversion of Sugars in Aqueous Solutions without Alkali to Lactic Acid Over a Zn-Sn-Beta Lewis Acid-Base Catalyst. Sci. Rep. 2016, 6, 26713. [Google Scholar] [CrossRef]
- Xia, M.; Dong, W.J.; Gu, M.Y.; Chang, C.; Shen, Z.; Zhang, Y.L. Synergetic effects of bimetals in modified beta zeolite for lactic acid synthesis from biomass-derived carbohydrates. RSC Adv. 2018, 8, 8965–8975. [Google Scholar] [CrossRef]
- Xia, M.; Shen, Z.; Xiao, S.Z.; Peng, B.Y.; Gu, M.Y.; Dong, W.J.; Zhang, Y.L. Synergistic effects and kinetic evidence of a transition metal-tin modified Beta zeolite on conversion of Miscanthus to lactic acid. Appl. Catal. A Gen. 2019, 583, 117126. [Google Scholar] [CrossRef]
- Xia, M.; Dong, W.J.; Shen, Z.; Xiao, S.Z.; Chen, W.B.; Gu, M.Y.; Zhang, Y.L. Efficient production of lactic acid from biomass-derived carbohydrates under synergistic effects of indium and tin in In-Sn-Beta zeolites. Sustain. Energy Fuels 2020, 4, 5327–5338. [Google Scholar] [CrossRef]
- Hu, W.D.; Chi, Z.X.; Wan, Y.; Wang, S.; Lin, J.D.; Wan, S.L.; Wang, Y. Synergetic effect of Lewis acid and base in modified Sn-beta on the direct conversion of levoglucosan to lactic acid. Catal. Sci. Technol. 2020, 10, 2986–2993. [Google Scholar] [CrossRef]
- Yang, X.M.; Lv, B.; Lu, T.L.; Su, Y.L.; Zhou, L.P. Promotion effect of Mg on a post-synthesized Sn-Beta zeolite for the conversion of glucose to methyl lactate. Catal. Sci. Technol. 2020, 10, 700–709. [Google Scholar] [CrossRef]
- Kong, L.; Shen, Z.; Zhang, W.; Xia, M.; Gu, M.Y.; Zhou, X.F.; Zhang, Y.L. Conversion of Sucrose into Lactic Acid over Functionalized Sn-Beta Zeolite Catalyst by 3-Aminopropyltrimethoxysilane. ACS Omega 2018, 3, 17430–17438. [Google Scholar] [CrossRef] [PubMed]
- Shen, Z.; Kong, L.; Zhang, W.; Gu, M.Y.; Xia, M.; Zhou, X.F.; Zhang, Y.L. Surface amino-functionalization of Sn-Beta zeolite catalyst for lactic acid production from glucose. RSC Adv. 2019, 9, 18989–18995. [Google Scholar] [CrossRef] [Green Version]
- Zhao, X.P.; Zhou, Z.M.; Luo, H.; Zhang, Y.F.; Liu, W.; Miao, G.; Zhu, L.J.; Kong, L.Z.; Li, S.G.; Sun, Y.H. gamma-Valerolactone-introduced controlled-isomerization of glucose for lactic acid production over an Sn-Beta catalyst. Green Chem. 2021, 23, 2634–2639. [Google Scholar] [CrossRef]
- Saenluang, K.; Srisuwanno, W.; Salakhum, S.; Rodaum, C.; Dugkhuntod, P.; Wattanakit, C. Nanoporous Sn-Substituted ZSM-48 Nanostructures for Glucose Isomerization. ACS Appl. Nano Mater. 2021, 4, 11661–11673. [Google Scholar] [CrossRef]
- Tosi, I.; Riisager, A.; Taarning, E.; Jensen, P.R.; Meier, S. Kinetic analysis of hexose conversion to methyl lactate by Sn-Beta: Effects of substrate masking and of water. Catal. Sci. Technol. 2018, 8, 2137–2145. [Google Scholar] [CrossRef] [Green Version]
- Zhang, Y.F.; Luo, H.; Zhao, X.P.; Zhu, L.J.; Miao, G.; Wang, H.; Li, S.G.; Kong, L.Z. Continuous Conversion of Glucose into Methyl Lactate over the Sn-Beta Zeolite: Catalytic Performance and Activity Insight. Ind. Eng. Chem. Res. 2020, 59, 17365–17372. [Google Scholar] [CrossRef]
- Zan, Y.F.; Sun, Y.Y.; Kong, L.Z.; Miao, G.; Bao, L.W.; Wang, H.; Li, S.G.; Sun, Y.H. Formic Acid-Induced Controlled-Release Hydrolysis of Microalgae (Scenedesmus) to Lactic Acid over Sn-Beta Catalyst. ChemSusChem 2018, 11, 2492–2496. [Google Scholar] [CrossRef]
- Holm, M.S.; Pagan-Torres, Y.J.; Saravanamurugan, S.; Riisager, A.; Dumesic, J.A.; Taarning, E. Sn-Beta catalysed conversion of hemicellulosic sugars. Green Chem. 2012, 14, 702–706. [Google Scholar] [CrossRef]
- Zhang, Y.F.; Luo, H.; Kong, L.Z.; Zhao, X.P.; Miao, G.; Zhu, L.J.; Li, S.G.; Sun, Y.H. Highly efficient production of lactic acid from xylose using Sn-beta catalysts. Green Chem. 2020, 22, 7333–7336. [Google Scholar] [CrossRef]
- Meng, X.; Xiao, F. Green Routes for Synthesis of Zeolites. Chem. Rev. 2014, 114, 1521–1543. [Google Scholar] [CrossRef] [PubMed]
- Wang, A.; Li, J.; Zhang, T. Heterogeneous single-atom catalysis. Nat. Rev. Chem. 2018, 2, 65–81. [Google Scholar] [CrossRef]
- Ren, L.; Guo, Q.; Kumar, P.; Orazov, M.; Xu, D.; Alhassan, S.M.; Mkhoyan, K.A.; Davis, M.E.; Tsapatsis, M. Self-Pillared, Single-Unit-Cell Sn-MFI Zeolite Nanosheets and Their Use for Glucose and Lactose Isomerization. Angew. Chem. Int. Ed. 2015, 54, 10848–10851. [Google Scholar] [CrossRef] [PubMed] [Green Version]












Publisher’s Note: MDPI stays neutral with regard to jurisdictional claims in published maps and institutional affiliations. |
© 2022 by the authors. Licensee MDPI, Basel, Switzerland. This article is an open access article distributed under the terms and conditions of the Creative Commons Attribution (CC BY) license (https://creativecommons.org/licenses/by/4.0/).
Share and Cite
Zhu, P.; Li, H.; Riisager, A. Sn-Beta Catalyzed Transformations of Sugars—Advances in Catalyst and Applications. Catalysts 2022, 12, 405. https://doi.org/10.3390/catal12040405
Zhu P, Li H, Riisager A. Sn-Beta Catalyzed Transformations of Sugars—Advances in Catalyst and Applications. Catalysts. 2022; 12(4):405. https://doi.org/10.3390/catal12040405
Chicago/Turabian StyleZhu, Ping, Hu Li, and Anders Riisager. 2022. "Sn-Beta Catalyzed Transformations of Sugars—Advances in Catalyst and Applications" Catalysts 12, no. 4: 405. https://doi.org/10.3390/catal12040405
APA StyleZhu, P., Li, H., & Riisager, A. (2022). Sn-Beta Catalyzed Transformations of Sugars—Advances in Catalyst and Applications. Catalysts, 12(4), 405. https://doi.org/10.3390/catal12040405

