Propane Dehydrogenation over PtSn/Al2O3 Catalysts: Influence of Urea to Al(NO3)3·9H2O Ratio
Abstract
:1. Introduction
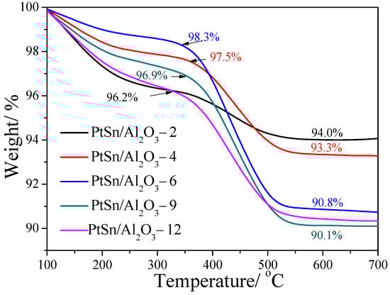
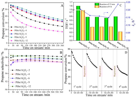
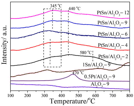
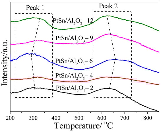
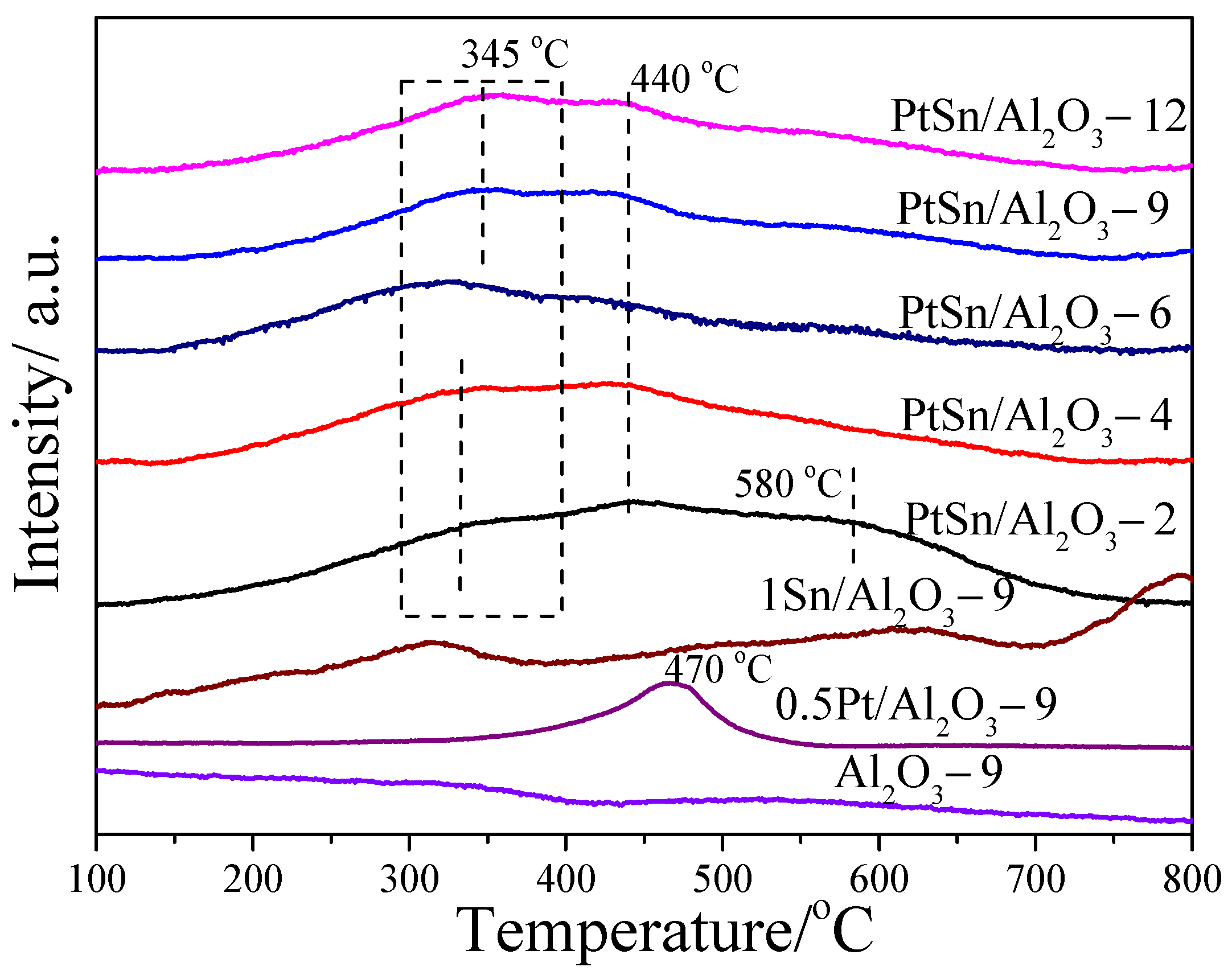
2. Results
3. Coke Analysis
4. Materials and Methods
4.1. Catalyst Preparation
4.2. Catalyst Characterization
4.3. Catalytic Activity Measurements
5. Conclusions
Author Contributions
Funding
Institutional Review Board Statement
Informed Consent Statement
Data Availability Statement
Conflicts of Interest
References
- Chen, S.; Pei, C.; Sun, G.; Zhao, Z.-J.; Gong, J. Nanostructured catalysts toward efficient propane dehydrogenation. Acc. Mater. Res. 2020, 1, 30–40. [Google Scholar] [CrossRef]
- Otroshchenko, T.; Jiang, G.; Kondratenko, V.A.; Rodemerck, U.; Kondratenko, E.V. Current status and perspectives in oxidative, non-oxidative and CO2-mediated dehydrogenation of propane and isobutane over metal oxide catalysts. Chem. Soc. Rev. 2021, 50, 473–527. [Google Scholar] [CrossRef] [PubMed]
- Hu, Z.-P.; Yang, D.; Wang, Z.; Yuan, Z.Y. State-of-the-art catalysts for direct dehydrogenation of propane to propylene. Chin. J. Catal. 2019, 40, 1233–1254. [Google Scholar] [CrossRef]
- Li, C.; Wang, G. Dehydrogenation of light alkanes to mono-olefins. Chem. Soc. Rev. 2021, 50, 4359–4381. [Google Scholar] [CrossRef]
- Motagamwala, A.H.; Almallahi, R.; Wortman, J.; Igenegbai, V.O.; Linic, S. Stable and selective catalysts for propane dehydrogenation operating at thermodynamic limit. Science 2021, 373, 217–222. [Google Scholar] [CrossRef]
- Papoian, G.; Nørskov, J.K.; Hoffmann, R. A comparative theoretical study of the hydrogen, methyl, and ethyl chemisorption on the Pt (111) surface. J. Am. Chem. Soc. 2000, 122, 4129–4144. [Google Scholar] [CrossRef]
- Nawaz, Z.; Tang, X.; Wang, Y.; Wei, F. Parametric characterization and influence of tin on the performance of Pt−Sn/SAPO-34 catalyst for selective propane dehydrogenation to propylene. Chem. Res. 2010, 49, 1274–1280. [Google Scholar] [CrossRef]
- Watson, G.W.; Wells, R.P.; Willock, D.J.; Hutchings, G.J. Density functional theory calculations on the interaction of ethene with the {111} surface of platinum. J. Phys. Chem. B 2000, 104, 6439–6446. [Google Scholar] [CrossRef]
- Jiang, F.; Zeng, L.; Li, S.; Liu, G.; Wang, S.; Gong, J. Propane dehydrogenation over Pt/TiO2–Al2O3 catalysts. ACS Catal. 2015, 5, 438–447. [Google Scholar] [CrossRef]
- Xia, K.; Lang, W.-Z.; Li, P.-P.; Yan, X.; Guo, Y.-J. The properties and catalytic performance of PtIn/Mg(Al)O catalysts for the propane dehydrogenation reaction: Effects of pH value in preparing Mg(Al)O supports by the co-precipitation method. J. Catal. 2016, 338, 104–114. [Google Scholar] [CrossRef]
- Redekop, E.A.; Galvita, V.V.; Poelman, H.; Bliznuk, V.; Detavernier, C.; Marin, G.B. Delivering a Modifying Element to Metal Nanoparticles via Support: Pt–Ga Alloying during the Reduction of Pt/Mg(Al,Ga)Ox Catalysts and Its Effects on Propane Dehydrogenation. ACS Catal. 2014, 4, 1812–1824. [Google Scholar] [CrossRef]
- Wu, J.; Sharada, S.M.; Ho, C.; Hauser, A.W.; Head-Gordon, M.; Bell, A.T. Ethane and propane dehydrogenation over PtIr/Mg(Al)O. Appl. Catal. A Gen. 2015, 506, 25–32. [Google Scholar] [CrossRef] [Green Version]
- Han, Z.; Li, S.; Jiang, F.; Wang, T.; Ma, X.; Gong, J. Propane dehydrogenation over Pt–Cu bimetallic catalysts: The nature of coke deposition and the role of copper. Nanoscale 2014, 6, 10000–10008. [Google Scholar] [CrossRef] [PubMed]
- Yu, C.; Xu, H.; Ge, Q.; Li, W. Properties of the metallic phase of zinc-doped platinum catalysts for propane dehydrogenation. J. Mol. Catal. A Chem. 2007, 266, 80–87. [Google Scholar] [CrossRef]
- Fan, X.; Liu, D.; Sun, X.; Yu, X.; Li, D.; Yang, Y.; Liu, H.; Diao, J.; Xie, Z.; Kong, L.; et al. Mn-doping induced changes in Pt dispersion and PtxMny alloying extent on Pt/Mn-DMSN catalyst with enhanced propane dehydrogenation stability. J. Catal. 2020, 389, 450–460. [Google Scholar] [CrossRef]
- Wu, Z.; Bukowski, B.C.; Li, Z.; Milligan, C.; Zhou, L.; Ma, T.; Wu, Y.; Ren, Y.; Ribeiro, F.H.; Delgass, W.N.; et al. Changes in catalytic and adsorptive properties of 2 nm Pt3Mn nanoparticles by subsurface atoms. J. Am. Chem. Soc. 2018, 140, 14870–14877. [Google Scholar] [CrossRef] [Green Version]
- Rochlitz, L.; Searles, K.; Alfke, J.; Zemlyanov, D.; Safonova, O.V.; Copéret, C. Silica-supported, narrowly distributed, subnanometric Pt–Zn particles from single sites with high propane dehydrogenation performance. Chem. Sci. 2020, 11, 1549–1555. [Google Scholar] [CrossRef] [Green Version]
- Zhu, Y.; An, Z.; Song, H.; Xiang, X.; Yan, W.; He, J. Lattice-confined Sn (IV/II) stabilizing raft-like Pt clusters: High selectivity and durability in propane dehydrogenation. ACS Catal. 2017, 7, 6973–6978. [Google Scholar] [CrossRef]
- Sun, C.; Luo, J.; Cao, M.; Zheng, P.; Li, G.; Bu, J.; Cao, Z.; Chen, S.; Xie, X. A comparative study on different regeneration processes of Pt-Sn/γ-Al2O3 catalysts for propane dehydrogenation. J. Energy Chem. 2018, 27, 311–318. [Google Scholar] [CrossRef] [Green Version]
- Deng, L.; Shishido, T.; Teramura, K.; Tanaka, T. Effect of reduction method on the activity of Pt–Sn/SiO2 for dehydrogenation of propane. Catal. Today 2014, 232, 33–39. [Google Scholar] [CrossRef] [Green Version]
- Wang, G.; Zhang, H.; Zhu, Q.; Zhu, X.; Li, X.; Wang, H.; Li, C.; Shan, H. Sn-containing hexagonal mesoporous silica (HMS) for catalytic dehydrogenation of propane: An efficient strategy to enhance stability. J. Catal. 2017, 351, 90–94. [Google Scholar] [CrossRef]
- Zhou, H.; Gong, J.; Xu, B.; Yu, L.; Fan, Y. PtSnNa@SUZ-4-catalyzed propane dehydrogenation. Appl. Catal. A Gen. 2016, 527, 30–35. [Google Scholar] [CrossRef]
- Sun, Q.; Wang, N.; Fan, Q.; Zeng, L.; Mayoral, A.; Miao, S.; Yang, R.; Jiang, Z.; Zhou, W.; Zhang, J.; et al. Subnanometer bimetallic platinum–zinc clusters in zeolites for propane dehydrogenation. Angew. Chem. Int. Ed. 2020, 59, 19450–19459. [Google Scholar] [CrossRef] [PubMed]
- Gong, T.; Qin, L.; Lu, J.; Feng, H. ZnO modified ZSM-5 and Y zeolites fabricated by atomic layer deposition for propane conversion. Phys. Chem. Chem. Phys. 2016, 18, 601–614. [Google Scholar] [CrossRef]
- Li, J.; Li, J.; Zhao, Z.; Fan, X.; Liu, J.; Wei, Y.; Duan, A.; Xie, Z.; Liu, Q. Size effect of TS-1 supports on the catalytic performance of PtSn/TS-1 catalysts for propane dehydrogenation. J. Catal. 2017, 352, 361–370. [Google Scholar] [CrossRef]
- Vu, B.K.; Song, M.B.; Ahn, I.Y.; Suh, Y.-W.; Suh, D.J.; Kim, W.-I.; Koh, H.-L.; Choi, Y.G.; Shin, E.W. Pt–Sn alloy phases and coke mobility over Pt–Sn/Al2O3 and Pt–Sn/ZnAl2O4 catalysts for propane dehydrogenation. Appl. Catal. A Gen. 2011, 400, 25–33. [Google Scholar] [CrossRef]
- Bocanegra, S.A.; Ballarini, A.D.; Scelza, O.A.; de Miguel, S.R. The influence of the synthesis routes of MgAl2O4 on its properties and behavior as support of dehydrogenation catalysts. Mater. Chem. Phys. 2008, 111, 534–541. [Google Scholar] [CrossRef]
- Yang, Y.; Fan, G.; Li, F. Synthesis of novel marigold-like carbonate-type Mg–Al layered double hydroxide micro-nanostructures via a two-step intercalation route. Mater. Lett. 2014, 116, 203–205. [Google Scholar] [CrossRef]
- Hu, Z.-P.; Zhao, H.; Chen, C.; Yuan, Z.-Y. Castanea mollissima shell-derived porous carbons as metal-free catalysts for highly efficient dehydrogenation of propane to propylene. Catal. Today 2018, 316, 214–222. [Google Scholar] [CrossRef]
- Liu, J.; Yue, Y.; Liu, H.; Da, Z.; Liu, C.; Ma, A.; Rong, J.; Su, D.; Bao, X.; Zheng, H. Origin of the robust catalytic performance of nanodiamond–graphene-supported Pt nanoparticles used in the propane dehydrogenation reaction. ACS Catal. 2017, 7, 3349–3355. [Google Scholar] [CrossRef]
- Zhang, Y.; Zhou, Y.; Shi, J.; Zhou, S.; Sheng, X.; Zhang, Z.; Xiang, S. Comparative study of bimetallic Pt-Sn catalysts supported on different supports for propane dehydrogenation. J. Mol. Catal. A Chem. 2014, 381, 138–147. [Google Scholar] [CrossRef]
- Sattler, J.J.H.B.; Ruiz-Martinez, J.; Santillan-Jimenez, E.; Weckhuysen, B.M. Catalytic dehydrogenation of light alkanes on metals and metal oxides. Chem. Rev. 2014, 114, 10613–10653. [Google Scholar] [CrossRef]
- Bell, T.E.; Gonzalez-Carballo, J.M.; Tooze, R.P.; Torrente-Murciano, L. High yield manufacturing of γ-Al2O3 Nanorods. ACS Sustain. Chem. Eng. 2018, 6, 88–92. [Google Scholar] [CrossRef]
- Shi, Y.; Li, X.; Rong, X.; Gu, B.; Wei, H.; Sun, C. Influence of support on the catalytic properties of Pt–Sn–K/θ-Al2O3 for propane dehydrogenation. RSC Adv. 2017, 7, 19841–19848. [Google Scholar] [CrossRef] [Green Version]
- Chen, X.Y.; Huh, H.S.; Lee, S.W. Hydrothermal synthesis of boehmite (γ-AlOOH) nanoplatelets and nanowires: PH-controlled morphologies. Nanotechnology 2007, 18, 285608. [Google Scholar] [CrossRef]
- Zhang, H.; Zhang, Y.; Zhou, Y.; Sheng, X.; Zhang, C.; Fang, J.; Zhao, S.; Gao, Y. Morphology-controlled fabrication of biomorphic alumina-based hierarchical LDH compounds for propane dehydrogenation reaction. New J. Chem. 2018, 42, 103–110. [Google Scholar] [CrossRef]
- Li, Y.-X.; Klabunde, K.J. Studies of Pt-Sn/Al2O3 catalysts prepared by Pt and Sn coevaporation (solvated metal atom dispersion). J. Catal. 1990, 126, 173–186. [Google Scholar] [CrossRef]
- Zhang, S.; Zhou, Y.; Zhang, Y.; Huang, L. Effect of K addition on catalytic performance of PtSn/ZSM-5 catalyst for propane dehydrogenation. Catal. Let. 2010, 135, 76–82. [Google Scholar] [CrossRef]
- Wang, G.; Zhang, H.; Wang, H.; Zhu, Q.; Li, C.; Shan, H. The role of metallic Sn species in catalytic dehydrogenation of propane: Active component rather than only promoter. J. Catal. 2016, 344, 606–608. [Google Scholar] [CrossRef]
- Katada, N.; Igi, H.; Kim, J.H. Determination of the acidic properties of zeolite by theoretical analysis of temperature-programmed desorption of ammonia based on adsorption equilibrium. J. Phys. Chem. B 1997, 101, 5969–5977. [Google Scholar] [CrossRef]
- Pham, H.N.; Sattler, J.J.H.B.; Weckhuysen, B.M.; Datye, A.K. The role of Sn in the regeneration of Pt/γ-Al2O3 light alkane dehydrogenation catalysts. ACS Catal. 2016, 6, 2257–2264. [Google Scholar] [CrossRef] [PubMed] [Green Version]
- Gong, N.; Zhao, Z. Efficient supported Pt-Sn catalyst on carambola-like alumina for direct dehydrogenation of propane to propene. Mol. Catal. 2019, 477, 110543. [Google Scholar] [CrossRef]
- Jang, E.J.; Lee, J.; Jeong, H.Y.; Kwak, J.H. Controlling the acid-base properties of alumina for stable PtSn-based propane dehydrogenation catalysts. Appl. Catal. A Gen. 2019, 572, 1–8. [Google Scholar] [CrossRef]
- Wang, Z.; Chen, Y.; Mao, S.; Wu, K.; Zhang, K.; Li, Q.; Wang, Y. Chemical insight into the structure and formation of coke on PtSn alloy during propane dehydrogenation. Adv. Sustain. Syst. 2020, 4, 2000092. [Google Scholar] [CrossRef]
- Jung, J.-W.; Kim, W.-I.; Kim, J.-R.; Oh, K.; Koh, H.L. Effect of direct reduction treatment on Pt–Sn/Al2O3 catalyst for propane dehydrogenation. Catalysts 2019, 9, 446. [Google Scholar] [CrossRef] [Green Version]
- Kim, G.H.; Jung, K.-D.; Kim, W.-I.; Um, B.-H.; Shin, C.-H.; Oh, K.; Koh, H.L. Effect of oxychlorination treatment on the regeneration of Pt–Sn/Al2O3 catalyst for propane dehydrogenation. Res. Chem. Intermed. 2016, 42, 351–365. [Google Scholar] [CrossRef]
- Prakash, N.; Lee, M.-H.; Yoon, S.; Jung, K.-D. Role of acid solvent to prepare highly active PtSn/θ-Al2O3 catalysts in dehydrogenation of propane to propylene. Catal. Today 2017, 293, 33–41. [Google Scholar] [CrossRef]
- Zangeneh, F.T.; Taeb, A.; Gholivand, K.; Sahebdelfar, S. The effect of mixed HCl–KCl competitive adsorbate on Pt adsorption and catalytic properties of Pt–Sn/Al2O3 catalysts in propane dehydrogenation. Appl. Surf. Sci. 2015, 357, 172–178. [Google Scholar] [CrossRef]
- Zhao, S.Y.; Xu, B.L.; Yu, L.; Fan, Y.N. Honeycomb-shaped PtSnNa/g-Al2O3/cordierite monolithic catalyst with improved stability and selectivity for propane dehydrogenation. Chin. Chem. Lett. 2018, 29, 884–886. [Google Scholar] [CrossRef]
- Zhu, X.Y.; Wang, T.H.; Xu, Z.K.; Yue, Y.Y.; Lin, M.G.; Zhu, H.B. Pt-Sn clusters anchored at Al3+ penta sites as a sinter-resistant and regenerable catalyst for propane dehydrogenation. J. Energy Chem. 2022, 65, 293–301. [Google Scholar] [CrossRef]
- Fan, X.; Li, J.; Zhao, Z.; Wei, Y.; Liu, J.; Duan, A.; Jiang, G. Dehydrogenation of propane over PtSnAl/SBA-15 catalysts: Al addition effect and coke formation analysis. Catal. Sci. Technol. 2015, 5, 339–350. [Google Scholar] [CrossRef]
- Li, Q.; Sui, Z.; Zhou, X.; Zhu, Y.; Zhou, J.; Chen, D. Coke formation on Pt–Sn/Al2O3 catalyst in propane dehydrogenation: Coke characterization and kinetic study. Top. Catal. 2011, 54, 888–896. [Google Scholar] [CrossRef]
- Iglesias-Juez, A.; Beale, A.M.; Maaijen, K.; Weng, T.C.; Glatzel, P.; Weckhuysen, B.M. A combined in situ time-resolved UV–Vis, Raman and high-energy resolution X-ray absorption spectroscopy study on the deactivation behavior of Pt and PtSn propane dehydrogenation catalysts under industrial reaction conditions. J. Catal. 2010, 276, 268–279. [Google Scholar] [CrossRef]









| Samples | SBET a (m2/g) | Vt b (cm3/g) | Pt Dispersion (%) | ID/IG |
|---|---|---|---|---|
| PtSn/Al2O3-2 | 127.5 | 0.38 | 9.6 | 0.97 |
| PtSn/Al2O3-4 | 180.2 | 0.47 | 27.6 | 1.01 |
| PtSn/Al2O3-6 | 162.3 | 0.43 | 27.8 | 0.85 |
| PtSn/Al2O3-9 | 171.1 | 0.60 | 29.3 | 0.84 |
| PtSn/Al2O3-12 | 183.1 | 0.48 | 22.4 | 0.92 |
| Catalysts | Propane Conversion/% | Propene Selectivity/% | Deactivation Rate/% | ||
|---|---|---|---|---|---|
| Initial | Final a | Initial | Final a | ||
| PtSn/Al2O3-2 | 52.9 | 24.8 | 98.0 | 98.2 | 53.1 |
| PtSn/Al2O3-4 | 55.5 | 31.8 | 97.3 | 96.9 | 42.6 |
| PtSn/Al2O3-6 | 55.8 | 32.6 | 96.2 | 97.5 | 41.6 |
| PtSn/Al2O3-9 | 56.6 | 34.7 | 96.2 | 96.8 | 38.7 |
| PtSn/Al2O3-12 | 45.9 | 16.9 | 98.5 | 97.6 | 63.2 |
| Catalysts | Reaction Temperature (oC) | WHSV (h−1) | Feed Composition | Initial Conversion of C3H8 (%) | Initial Selectivity of C3H6 (%) | Ref. |
|---|---|---|---|---|---|---|
| Pt-Sn/γ-Al2O3 | 600 | 3.2 | Pure C3H8 | 35.6 | 88.5 | [41] |
| Pt-Sn/Al2O3-mel | 600 | 10.2 | H2:Ar:C3H8 = 14.8:59.2:26 | ~35 | 99.1 | [42] |
| PtSn/A600 | 590 | 5.2 | C3H8:H2:He = 1:1.25:4 | 42.5 | 96.9 | [43] |
| Pt-Sn/Al2O3 | 590 | 2.7 | C3H8:H2:He = 1:1:19 | ~65 | ~90 | [44] |
| Pt-Sn/Al2O3-SR550 | 600 | 35.4 | H2:C3H8:N2 = 3:3:7 | ~40 | ~93 | [45] |
| Pt–Sn/Al2O3 | 620 | 1.8 | C3H8:H2 = 1:1 | ~42 | ~87 | [46] |
| Pt-Sn/Al2O3 | 600 | 18.5 | C3H8:H2 = 3:2 | 23.3 | 93.3 | [47] |
| Pt-Sn/Al2O3 | 620 | 2 | H2:C3H8 = 0.8:1 | ~48 | ~86 | [48] |
| Pt-Sn/Al2O3 | 540 | 3.5 | C3H8:H2:N2 = 3:1:21 | 42.8 | 98.6 | [19] |
| PtSnNa/γ-Al2O3 | 590 | 155 (GHSV) | C3H8:H2 = 3:1 | ~19 | ~58 | [49] |
| Pt-Sn2/meso-Al2O3 | 570 | 2.9 | H2:C3H8:N2 = 1:1:8 | 40 | 98 | [50] |
| PtSn/Al2O3-9 | 590 | 2.35 | C3H8:N2 = 1:2 | 56.6 | 96.2 | This work |
Publisher’s Note: MDPI stays neutral with regard to jurisdictional claims in published maps and institutional affiliations. |
© 2022 by the authors. Licensee MDPI, Basel, Switzerland. This article is an open access article distributed under the terms and conditions of the Creative Commons Attribution (CC BY) license (https://creativecommons.org/licenses/by/4.0/).
Share and Cite
Wang, X.; Cui, J.; Zhang, N.; Song, J.; Fan, X.; Zhao, Z.; Kong, L.; Xiao, X.; Xie, Z. Propane Dehydrogenation over PtSn/Al2O3 Catalysts: Influence of Urea to Al(NO3)3·9H2O Ratio. Catalysts 2022, 12, 157. https://doi.org/10.3390/catal12020157
Wang X, Cui J, Zhang N, Song J, Fan X, Zhao Z, Kong L, Xiao X, Xie Z. Propane Dehydrogenation over PtSn/Al2O3 Catalysts: Influence of Urea to Al(NO3)3·9H2O Ratio. Catalysts. 2022; 12(2):157. https://doi.org/10.3390/catal12020157
Chicago/Turabian StyleWang, Xiaohan, Jing Cui, Ning Zhang, Jiaxin Song, Xiaoqiang Fan, Zhen Zhao, Lian Kong, Xia Xiao, and Zean Xie. 2022. "Propane Dehydrogenation over PtSn/Al2O3 Catalysts: Influence of Urea to Al(NO3)3·9H2O Ratio" Catalysts 12, no. 2: 157. https://doi.org/10.3390/catal12020157
APA StyleWang, X., Cui, J., Zhang, N., Song, J., Fan, X., Zhao, Z., Kong, L., Xiao, X., & Xie, Z. (2022). Propane Dehydrogenation over PtSn/Al2O3 Catalysts: Influence of Urea to Al(NO3)3·9H2O Ratio. Catalysts, 12(2), 157. https://doi.org/10.3390/catal12020157
