Enzymatic Synthesis of Modified Nucleoside 5′-Monophosphates
Abstract
1. Introduction
2. Results
2.1. Expression of Target Genes and Catalytic Verification of the Purified Enzymes
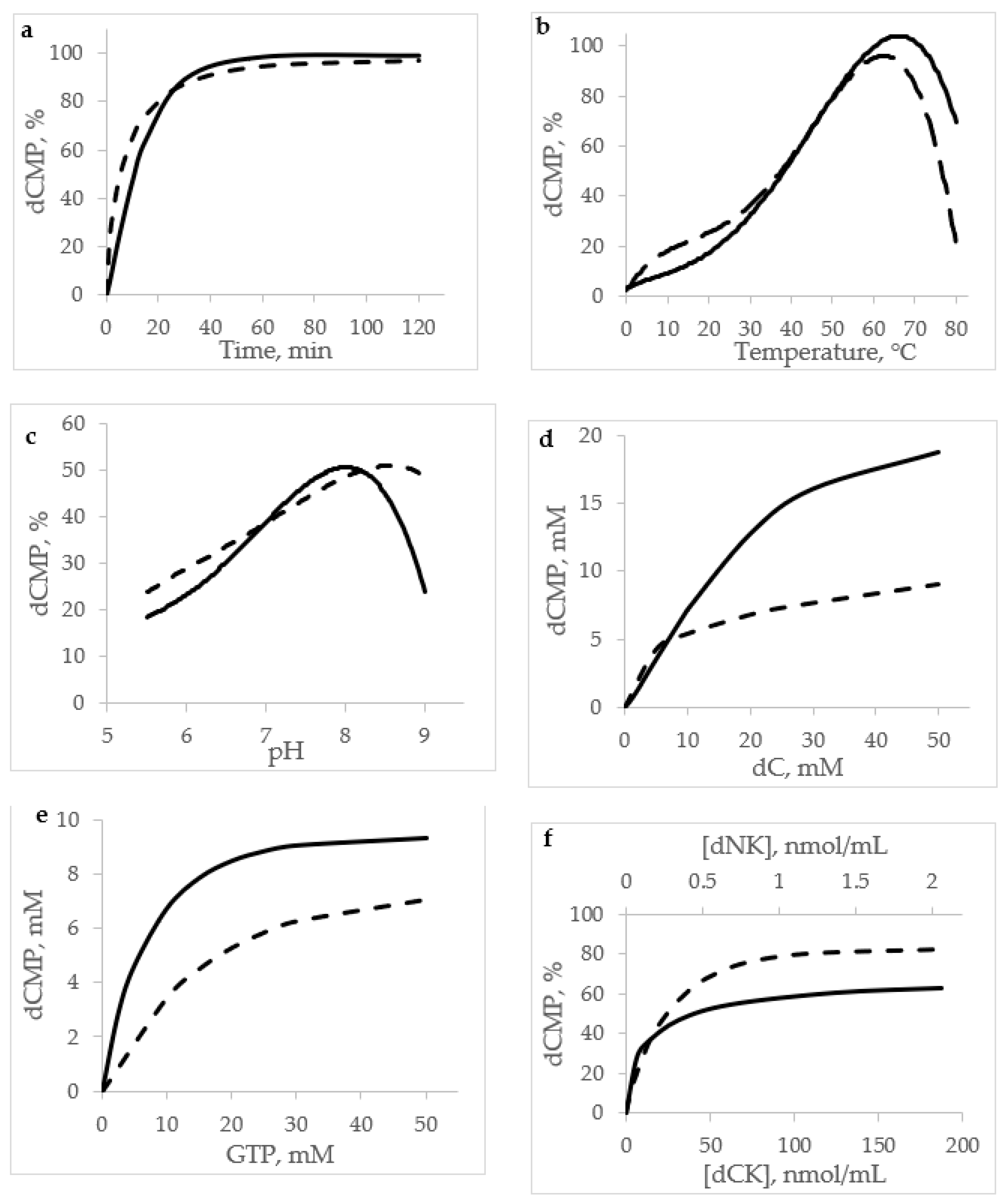
2.2. Optimization of Reactions Catalyzed by dNK and dCK
2.3. Substrate Specificity of the Nucleoside Kinases
2.4. Larger-Scale Syntheses of Nucleoside 5′-Monophosphates
3. Discussion
4. Materials and Methods
4.1. General Information
4.2. Acetylphosphate Synthesis
4.3. Bacterial Strains, Plasmid, and Reagents
4.4. Cloning of Target Genes
4.5. Expression of Target Genes and Purification of the Enzymes
4.6. Catalytic Verification of Purified Enzymes
4.7. Optimization of Reactions Catalyzed by dNK and dCK
4.7.1. Optimal Reaction Duration
4.7.2. Optimal Temperature
4.7.3. Optimal pH
4.7.4. Optimal Nucleoside Concentration
4.7.5. Optimal Phosphate Donor Concentration
4.7.6. Optimal Nucleoside Kinase Concentration
4.8. Substrate Specificities of the Nucleoside Kinases
4.9. Larger-Scale Syntheses of Nucleoside 5′-Monophosphates
Supplementary Materials
Author Contributions
Funding
Data Availability Statement
Conflicts of Interest
References
- Roy, B.; Depaix, A.; Périgaud, C.; Peyrottes, S. Recent Trends in Nucleotide Synthesis. Chem. Rev. 2016, 116, 7854–7897. [Google Scholar] [CrossRef]
 - Tauraitė, D.; Jakubovska, J.; Dabužinskaitė, J.; Bratchikov, M.; Meškys, R. Modified Nucleotides as Substrates of Terminal Deoxynucleotidyl Transferase. Molecules 2017, 22, 672. [Google Scholar] [CrossRef]
 - Xu, W.; Chan, K.M.; Kool, E.T. Fluorescent Nucleobases as Tools for Studying DNA and RNA. Nat. Chem. 2017, 9, 1043–1055. [Google Scholar] [CrossRef]
 - Thomas, J.A. Optical Imaging Probes for Biomolecules: An Introductory Perspective. Chem. Soc. Rev. 2015, 44, 4494–4500. [Google Scholar] [CrossRef]
 - Guinan, M.; Benckendorff, C.; Smith, M.; Miller, G.J. Recent Advances in the Chemical Synthesis and Evaluation of Anticancer Nucleoside Analogues. Molecules 2020, 25, 2050. [Google Scholar] [CrossRef]
 - Seley-Radtke, K.L.; Yates, M.K. The Evolution of Nucleoside Analogue Antivirals: A Review for Chemists and Non-Chemists. Part 1: Early Structural Modifications to the Nucleoside Scaffold. Antiviral Res. 2018, 154, 66–86. [Google Scholar] [CrossRef]
 - Ludwig, J. A New Route to Nucleoside 5′-Triphosphates. Acta Biochim. Biophys. Acad. Sci. Hung. 1981, 16, 131–133. [Google Scholar]
 - Ludwig, J.; Eckstein, F. Rapid and Efficient Synthesis of Nucleoside 5′-0-(1-Thiotriphosphates), 5′-Triphosphates and 2′,3′-Cyclophosphorothioates Using 2-Chloro-4H-1,3,2-Benzodioxaphosphorin-4-One. J. Org. Chem. 1989, 54, 631–635. [Google Scholar] [CrossRef]
 - Johansson, M.; Van Rompay, A.R.; Degrève, B.; Balzarini, J.; Karlsson, A. Cloning and Characterization of the Multisubstrate Deoxyribonucleoside Kinase of Drosophila Melanogaster. J. Biol. Chem. 1999, 274, 23814–23819. [Google Scholar] [CrossRef]
 - Wu, Y.; Fa, M.; Tae, E.L.; Schultz, P.G.; Romesberg, F.E. Enzymatic Phosphorylation of Unnatural Nucleosides. J. Am. Chem. Soc. 2002, 124, 14626–14630. [Google Scholar] [CrossRef]
 - Serra, I.; Conti, S.; Piškur, J.; Clausen, A.R.; Munch-Petersen, B.; Terreni, M.; Ubiali, D. Immobilized Drosophila Melanogaster Deoxyribonucleoside Kinase ( Dm DNK) as a High Performing Biocatalyst for the Synthesis of Purine Arabinonucleotides. Adv. Synth. Catal. 2014, 356, 563–570. [Google Scholar] [CrossRef]
 - Matsuura, M.F.; Winiger, C.B.; Shaw, R.W.; Kim, M.-J.; Kim, M.-S.; Daugherty, A.B.; Chen, F.; Moussatche, P.; Moses, J.D.; Lutz, S.; et al. A Single Deoxynucleoside Kinase Variant from Drosophila Melanogaster Synthesizes Monophosphates of Nucleosides That Are Components of an Expanded Genetic System. ACS Synth. Biol. 2017, 6, 388–394. [Google Scholar] [CrossRef]
 - Knecht, W. A Few Amino Acid Substitutions Can Convert Deoxyribonucleoside Kinase Specificity from Pyrimidines to Purines. EMBO J. 2002, 21, 1873–1880. [Google Scholar] [CrossRef]
 - Bohman, C.; Eriksson, S. Deoxycytidine Kinase from Human Leukemic Spleen: Preparation and Characterization of the Homogeneous Enzyme. Biochemistry 1988, 27, 4258–4265. [Google Scholar] [CrossRef]
 - Eriksson, S.; Kierdaszuk, B.; Munch-Petersen, B.; Oberg, B.; Gunnar Johansson, N. Comparison of the Substrate Specificities of Human Thymidine Kinase 1 and 2 and Deoxycytidine Kinase toward Antiviral and Cytostatic Nucleoside Analogs. Biochem. Biophys. Res. Commun. 1991, 176, 586–592. [Google Scholar] [CrossRef]
 - Hellendahl, K.F.; Kamel, S.; Wetterwald, A.; Neubauer, P.; Wagner, A. Human Deoxycytidine Kinase Is a Valuable Biocatalyst for the Synthesis of Nucleotide Analogues. Catalysts 2019, 9, 997. [Google Scholar] [CrossRef]
 - Serra, I.; Ubiali, D.; Piškur, J.; Munch-Petersen, B.; Bavaro, T.; Terreni, M. Immobilization of Deoxyadenosine Kinase from Dictyostelium Discoideum (DdDAK) and Its Application in the 5′-Phosphorylation of Arabinosyladenine and Arabinosyl-2-Fluoroadenine. ChemistrySelect 2017, 2, 5403–5408. [Google Scholar] [CrossRef]
 - Møllgaard, H. Deoxyadenosine/Deoxycytidine Kinase from Bacillus subtilis. Purification, Characterization, and Physiological Function. J. Biol. Chem. 1980, 255, 8216–8220. [Google Scholar] [CrossRef]
 - Zou, Z.; Ding, Q.; Ou, L.; Yan, B. Efficient Production of Deoxynucleoside-5′-Monophosphates Using Deoxynucleoside Kinase Coupled with a GTP-Regeneration System. Appl. Microbiol. Biotechnol. 2013, 97, 9389–9395. [Google Scholar] [CrossRef]
 - Yu, L.; Xu, L.; Xu, M.; Wan, B.; Yu, L.; Huang, Q. Role of Mg 2+ Ions in Protein Kinase Phosphorylation: Insights from Molecular Dynamics Simulations of ATP-Kinase Complexes. Mol. Simul. 2011, 37, 1143–1150. [Google Scholar] [CrossRef]
 - Andersen, R.B.; Neuhard, J. Deoxynucleoside Kinases Encoded by the YaaG AndyaaF Genes of Bacillus subtilis. J. Biol. Chem. 2001, 276, 5518–5524. [Google Scholar] [CrossRef]
 - Munch-Petersen, B.; Knecht, W.; Lenz, C.; Søndergaard, L.; Piškur, J. Functional Expression of a Multisubstrate Deoxyribonucleoside Kinase from Drosophila melanogaster and Its C-Terminal Deletion Mutants. J. Biol. Chem. 2000, 275, 6673–6679. [Google Scholar] [CrossRef]
 - Koplūnaitė, M.; Butkutė, K.; Meškys, R.; Tauraitė, D. Synthesis of Pyrimidine Nucleoside and Amino Acid Conjugates. Tetrahedron Lett. 2020, 61, 152598. [Google Scholar] [CrossRef]
 - Chen, H.; Zhang, Y.-H.P.J. Enzymatic Regeneration and Conservation of ATP: Challenges and Opportunities. Crit. Rev. Biotechnol. 2021, 41, 16–33. [Google Scholar] [CrossRef]
 - Crans, D.C.; Whitesides, G.M. A Convenient Synthesis of Disodium Acetyl Phosphate for Use in in Situ ATP Cofactor Regeneration. J. Org. Chem. 1983, 48, 3130–3132. [Google Scholar] [CrossRef]
 - Lipmann, F.; Tuttle, L.C. Acetyl phosphate: Chemistry, determination, and synthesis. J. Biol. Chem. 1944, 153, 571–582. [Google Scholar] [CrossRef]
 - Chen, F.; Zhang, Y.; Daugherty, A.B.; Yang, Z.; Shaw, R.; Dong, M.; Lutz, S.; Benner, S.A. Biological Phosphorylation of an Unnatural Base Pair (UBP) Using a Drosophila Melanogaster Deoxynucleoside Kinase (DmdNK) Mutant. PLoS ONE 2017, 12, e0174163. [Google Scholar] [CrossRef]
 - Johansson, K.; Ramaswamy, S.; Ljungcrantz, C.; Knecht, W.; Piskur, J.; Munch-Petersen, B.; Eriksson, S.; Eklund, H. Structural Basis for Substrate Specificities of Cellular Deoxyribonucleoside Kinases. Nat. Struct. Biol. 2001, 8, 616–620. [Google Scholar] [CrossRef]
 - Sandrini, M.P.B.; Piškur, J. Deoxyribonucleoside Kinases: Two Enzyme Families Catalyze the Same Reaction. Trends Biochem. Sci. 2005, 30, 225–228. [Google Scholar] [CrossRef]
 - Sabini, E.; Ort, S.; Monnerjahn, C.; Konrad, M.; Lavie, A. Structure of Human DCK Suggests Strategies to Improve Anticancer and Antiviral Therapy. Nat. Struct. Biol. 2003, 10, 513–519. [Google Scholar] [CrossRef]
 - Van Rompay, A.R.; Johansson, M.; Karlsson, A. Phosphorylation of Nucleosides and Nucleoside Analogs by Mammalian Nucleoside Monophosphate Kinases. Pharmacol. Ther. 2000, 87, 189–198. [Google Scholar] [CrossRef]
 - Bucurenci, N.; Sakamoto, H.; Briozzo, P.; Palibroda, N.; Serina, L.; Sarfati, R.S.; Labesse, G.; Briand, G.; Danchin, A.; Bârzu, O.; et al. CMP Kinase from Escherichia coli Is Structurally Related to Other Nucleoside Monophosphate Kinases. J. Biol. Chem. 1996, 271, 2856–2862. [Google Scholar] [CrossRef]
 - Deville-Bonne, D.; El Amri, C.; Meyer, P.; Chen, Y.; Agrofoglio, L.A.; Janin, J. Human and Viral Nucleoside/Nucleotide Kinases Involved in Antiviral Drug Activation: Structural and Catalytic Properties. Antiviral Res. 2010, 86, 101–120. [Google Scholar] [CrossRef]
 - Lascu, I.; Gonin, P. The Catalytic Mechanism of Nucleoside Diphosphate Kinases. J. Bioenerg. Biomembr. 2000, 32, 237–246. [Google Scholar] [CrossRef]
 - Jong, A.Y.; Ma, J.J. Saccharomyces Cerevisiae Nucleoside-Diphosphate Kinase: Purification, Characterization, and Substrate Specificity. Arch. Biochem. Biophys. 1991, 291, 241–246. [Google Scholar] [CrossRef]
 - Koch, K.; Chen, Y.; Feng, J.Y.; Borroto-Esoda, K.; Deville-Bonne, D.; Janin, J.; Moréra, S. Nucleoside Diphosphate Kinase and the Activation of Antiviral Phosphonate Analogs of Nucleotides: Binding Mode and Phosphorylation of Tenofovir Derivatives. Nucl. Nucl. Nucleic Acids 2009, 28, 776–792. [Google Scholar] [CrossRef]
 - Jakubovska, J.; Tauraitė, D.; Birštonas, L.; Meškys, R. N4-Acyl-2′-Deoxycytidine-5′-Triphosphates for the Enzymatic Synthesis of Modified DNA. Nucleic Acids Res. 2018, 46, 5911–5923. [Google Scholar] [CrossRef]
 - Meškys, R.; Urbelienė, N.; Tiškus, M.; Preitakaitė, V.; Tauraitė, D. Hydrolases and Uses Thereof. Lithuanian Patent Application No. LT2022 514, 15 April 2022. [Google Scholar]
 




| Nucleoside | No. | R1 | R2 | Conversion, % | |
|---|---|---|---|---|---|
| dNK | dCK | ||||
![]()  | 1 | ![]()  | -H | 87 | 92 | 
| 2 | ![]()  | -OH | 84 | 95 | |
| 3 | ![]()  | -H | 61 | 97 | |
| 4 | ![]()  | -OH | 78 | 97 | |
| 5 | ![]()  | -H | 64 | 31 | |
| 6 | ![]()  | -H | 94 | 98 | |
| 7 | ![]()  | -OH | 21 | 43 | |
| 8 | ![]()  | -H | 26 | 88 | |
| 9 | ![]()  | -OH | 35 | 63 | |
| 10 | ![]()  | -OH | 62 | 7 | |
| 11 | ![]()  | -H | 82 | 37 | |
![]()  | 12 | -F | - | 8 | 98 | 
| 13 | -CH3 | - | 22 | 50 | |
![]()  | 14 | ![]()  | -H | 34 | 95 | 
| 15 | ![]()  | -H | 10 | 32 | |
| 16 | -OH | -OH | 60 | 38 | |
| 17 | ![]()  | -H | nd | 37 | |
| 18 | ![]()  | -H | nd | nd | |
| 19 | ![]()  | -H | 4 | nd | |
| 20 | ![]()  | -H | 2 | nd | |
| 21 | ![]()  | -H | 12 | nd | |
| 22 | ![]()  | -H | 11 | nd | |
| 23 | ![]()  | -H | nd | nd | |
| 24 | ![]()  | -H | nd | nd | |
| 25 | ![]()  | -H | nd | nd | |
| 26 | ![]()  | -H | nd | nd | |
| 27 | ![]()  | -H | 93 | 34 | |
| 28 | ![]()  | -H | 5 | 27 | |
| 29 | ![]()  | -H | 11 | 16 | |
| 30 | ![]()  | -H | 74 | 60 | |
| 31 | ![]()  | -H | nd | nd | |
| 32 | ![]()  | -H | nd | nd | |
| Nucleoside | No. | R1 | R2 | R3 | Conversion, % | |
|---|---|---|---|---|---|---|
| dNK | dCK | |||||
![]()  | 33 | -H | - | - | 80 | 44 | 
| 34 | -CH3 | - | - | 40 | 93 | |
![]()  | 35 | -S | -O | - | 91 | 98 | 
| 36 | -O | -S | - | 49 | 88 | |
![]()  | 37 | -CH3 | -F | - | 29 | 8 | 
| 38 | -CH3 | -H | - | 57 | 11 | |
| 39 | -CH2CH3 | -F | - | 0.4 | nd | |
| 40 | -CH2CH3 | -H | - | 70 | nd | |
| 41 | ![]()  | -F | - | nd | nd | |
| 42 | ![]()  | -H | - | nd | nd | |
![]()  | 43 | -F | -OH | - | nd | nd | 
| 44 | -H | -H | - | nd | nd | |
![]()  | 45 | -OH | -O | - | 94 | 99 | 
| 46 | -H | -S | - | 49 | nd | |
![]()  | 47 | -OCH3 | -OH | -H | 24 | 17 | 
| 48 | -OH | -OCH3 | -H | 16 | nd | |
| 49 | -OCH3 | -OH | -CH3 | 21 | nd | |
| 50 | -OCH2CHCH2 | -OH | -H | 14 | 21 | |
| 51 | -OH | -OCH2CHCH2 | -H | 39 | nd | |
| 52 | ![]()  | -H | 14 | 70 | ||
| 53 | -OH | ![]()  | -H | nd | nd | |
| 54 | -H | ![]()  | -H | nd | nd | |
| 55 | -NH2 | -OH | -H | 56 | 40 | |
| 56 | ![]()  | -OH | -H | 32 | 54 | |
| 57 | -H | -H | -H | 65 | 29 | |
| Gene Name | Gene Source | Primer Name | Primer Sequence 5′→3′ | 
|---|---|---|---|
| dNK | pOpen-dromedNK | dNK_F | AGAAGGAGATATAACTATGGCGGAAGCAGCAAGCTG | 
| dNK_R | GTGGTGGTGATGGTGATGGCCGCGTGCAACACGCTGACG | ||
| dCK | B. subtilis 168 | dCK_F | AGAAGGAGATATAACTATGAAGGAACATCATATC | 
| dCK_R | GTGGTGGTGATGGTGATGGCCCTTTTTTTGATTATCATG | ||
| ACK | E. coli DH5α | ACK_F | AGAAGGAGATATAACTATGTCGAGTAAGTTAGTAC | 
| ACK_R | GTGGTGGTGATGGTGATGGCCGGCAGTCAGGCGGCTC | 
Publisher’s Note: MDPI stays neutral with regard to jurisdictional claims in published maps and institutional affiliations.  | 
© 2022 by the authors. Licensee MDPI, Basel, Switzerland. This article is an open access article distributed under the terms and conditions of the Creative Commons Attribution (CC BY) license (https://creativecommons.org/licenses/by/4.0/).
Share and Cite
Koplūnaitė, M.; Butkutė, K.; Špelveris, D.; Urbelienė, N.; Meškys, R. Enzymatic Synthesis of Modified Nucleoside 5′-Monophosphates. Catalysts 2022, 12, 1401. https://doi.org/10.3390/catal12111401
Koplūnaitė M, Butkutė K, Špelveris D, Urbelienė N, Meškys R. Enzymatic Synthesis of Modified Nucleoside 5′-Monophosphates. Catalysts. 2022; 12(11):1401. https://doi.org/10.3390/catal12111401
Chicago/Turabian StyleKoplūnaitė, Martyna, Kamilė Butkutė, Dominykas Špelveris, Nina Urbelienė, and Rolandas Meškys. 2022. "Enzymatic Synthesis of Modified Nucleoside 5′-Monophosphates" Catalysts 12, no. 11: 1401. https://doi.org/10.3390/catal12111401
APA StyleKoplūnaitė, M., Butkutė, K., Špelveris, D., Urbelienė, N., & Meškys, R. (2022). Enzymatic Synthesis of Modified Nucleoside 5′-Monophosphates. Catalysts, 12(11), 1401. https://doi.org/10.3390/catal12111401
        

       










































