Next Article in Journal
Current State and Perspectives on Transesterification of Triglycerides for Biodiesel Production
Previous Article in Journal
Synthesis of Linoleic Acid 13-Hydroperoxides from Safflower Oil Utilizing Lipoxygenase in a Coupled Enzyme System with In-Situ Oxygen Generation
 
 
Font Type:
Arial Georgia Verdana
Font Size:
Aa Aa Aa
Line Spacing:
Column Width:
Background:
Review

Recent Progress in Catalytic Synthesis of 1,2,3-Triazoles

Dipartimento di Chimica e Tecnologie Chimiche, Università della Calabria; Via P. Bucci, Cubo 12/C, 87036 Rende, CS, Italy
*
Authors to whom correspondence should be addressed.
Catalysts 2021, 11(9), 1120; https://doi.org/10.3390/catal11091120
Submission received: 30 July 2021 / Revised: 7 September 2021 / Accepted: 15 September 2021 / Published: 17 September 2021

Abstract

:
1,2,3-triazoles represent a functional heterocyclic core that has been at the center of modern organic chemistry since the beginning of click chemistry. Being a versatile framework, such an aromatic ring can be observed in uncountable molecules useful in medicine and photochemistry, just to name a few. This review summarizes the progress achieved in their synthesis from 2015 to today, with particular emphasis on the development of new catalytic and eco-compatible approaches. In doing so, we subdivided the report based on their degree of functionalization and, for each subparagraph, we outlined the role of the catalyst employed.

Graphical Abstract

1. Introduction

Triazoles are a vast family of nitrogen-based compounds alongside pyrazoles and tetrazoles, which became the main chemical characters of organic chemistry in the last years. They can exist in two isomeric forms: 1,2,3-triazoles and 1,2,4-triazoles. The two families of such aromatic compounds have been widely explored, both in terms of pure synthesis and in terms of evaluation of their usefulness in medicine [1,2], agriculture [3], etc. Such properties are related to the possibility to insert in simple and versatile ways functionalizing agents directly bonded to the heterocycle, using the so-known click chemistry approaches [4]. The main developments that involved such branch of chemistry have been based on the preparation of diverse compounds with an eye on the regioselectivity, in terms of 1,4-, 1,5- and 1,4,5-polysubstituted compounds. In this regard, Sharpless and collaborators established a new paradigm developing the first examples of clickable reactions that allowed to obtain 1,4-disubstituted species via a copper-assisted cycloaddition reaction (CuAAC) [5]. On the other hand, the use of Ru (II)-based catalyst opens the possibility to construct 1,5-disubstituted 1,2,3-triazoles in a highly regioselective way [6], furtherly expanding the knowledge about the chemistry of these compounds.
In the last years, great attention has also been devoted to the discovery of synthetic protocols paying attention the eco-sustainability. In this regard, numerous methods involved the use of new Lewis catalysts, non-conventional solvents, and ecofriendly materials [7,8,9]. Great attention has been devoted to the role of 1,3-dipolar cycloadditions (1,3-DPCA), a kind of reaction of paramount importance in heterocycles synthesis [10]. Such approach revealed to be particularly useful in joining in one species chemical properties often already possessed by the precursors involved (i.e., 1,3-dipoles) such as nitrones, which revealed to possess important properties as radical scavengers [11] and to be useful as dipolar partners for the preparation of new classes of bioactive compounds [12]. Furthermore, 1,3-DPCA reactions demonstrated to be particularly coherent with the use of the new technologies involved in modern green chemistry, such as microwave-assisted reactions [13,14], ultrasound-assisted reactions [15], and non-conventional solvents [7,14,16].
The goal of the review herein presented is to describe the innovations reported for the synthesis of the above-mentioned compounds with particular attention to the new catalytic methods proposed. The use of new different metals for the 1,2,3-triazoles synthesis, as well as, metal-free synthesis was discussed. In doing so, we focused on the papers published after 2015, subdividing the whole report on the basis of the degree of substitution of such heterocycles and outlining the role of the catalyst. This review will be for the reader a useful consultation manual in the research of the more innovative and convenient 1,2,3-triazole synthesis

2. Advances in Disubstituted 1,2,3-Triazole Preparation

2.1. Synthesis of 1,4-Disubstituted 1,2,3-Triazoles

Many papers and reviews have been published in recent years about the synthesis of 1,4-disubstituted 1,2,3-triazoles (1,4-DTs) for their wide application as potential drugs in diverse pathologies [17]. They were found to be active as anticancer [18,19], antimicrobial [20,21], antiviral [22], anti-inflammatory [23,24]. Furthermore, their heterocycle core was found to be useful as a stable linker for the stabilization of linear peptides [25,26] and solubility enhancer in prodrugs [27]. Highly regioselective synthesis of 1,4-DTs was reported by Sharpless and Meldel in 2002 by a copper-catalyzed azide-alkyne cycloaddition (CuAAC) [5,28]. Later, many modifications to this Cu-based protocol were developed by using ionic liquid (IL), polymers as copper support, or alternative energy sources, such as microwave (MW) or ultrasounds (US) irradiation [29]. Very recently, two complete reviews about the CuAAC, the main synthesis method, were published by Neto and Zeni in 2020 [30] and Saini et al. in 2021 [31]. For this reason, in the present section, we focused our attention on the recent alternative reaction procedures such as the metal-free reaction method and transition metal reaction methods different from Cu(I).

2.1.1. Metal Synthesis of 1,4-Disubstituted 1,2,3-Triazoles Alternative to Copper

Not many metals have been demonstrated to be able to catalyze the regioselective cycloaddition to 1,4-DTs. Among them, silver, zinc, ruthenium, and iridium have been the main investigated. In 2020, Sultana and Sarma summarized in a review most of the Ag-catalyzed azide-alkyne cycloaddition (AgAAC) procedures reported in the literature [32]. Since Ag(I) has the same d10 electronic configuration of Cu(I), it was considered the best metal substituted to carry out cycloadditions with high catalytic performance. It is worth noting that, differently from copper, silver does not require the redox-active Cu(I) species as an effective catalyst for the azide-alkyne cycloaddition.
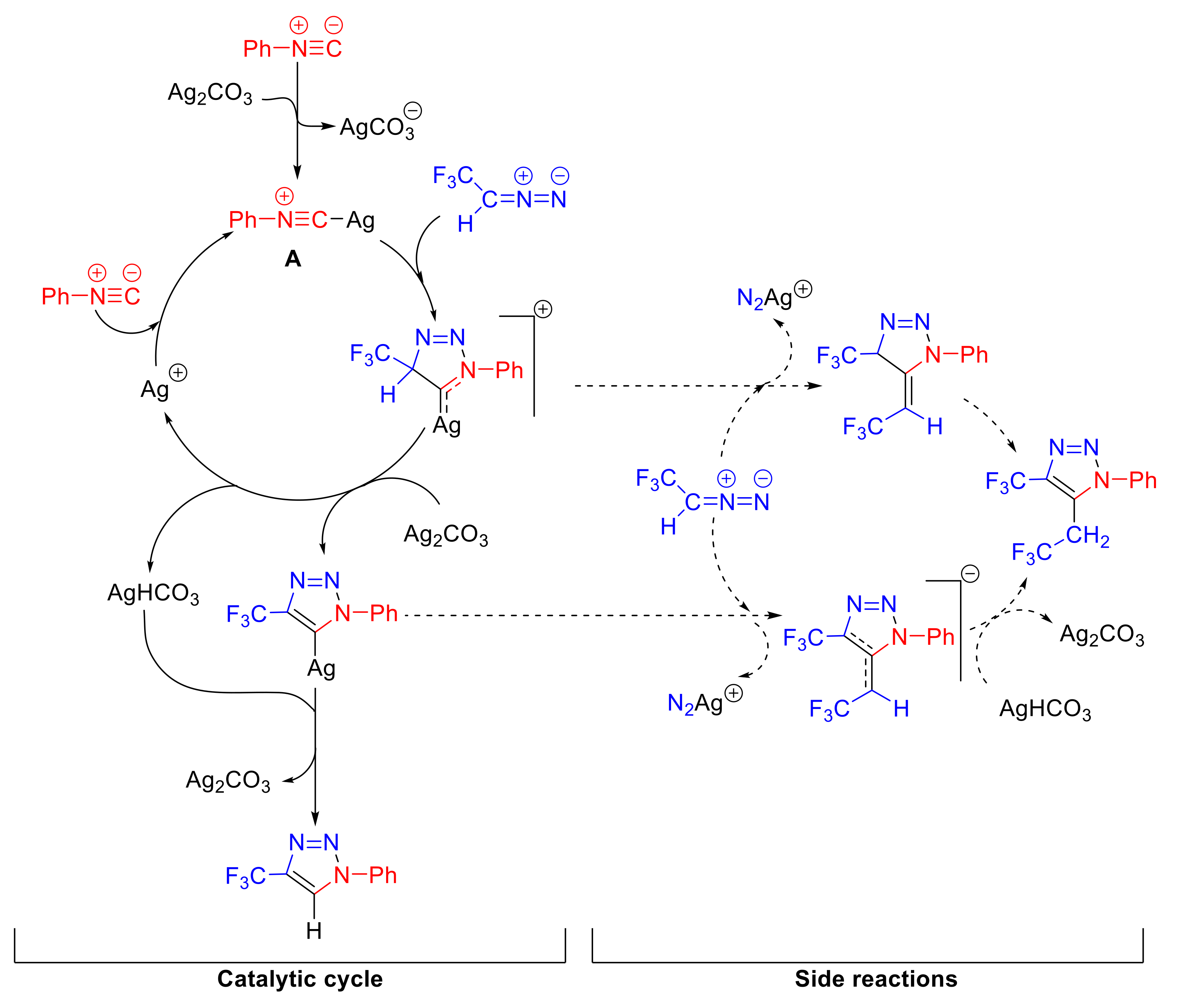
In this contest, a new interesting approach was reported in the literature by Wang et al. for the synthesis of 1,4-DTs, which involved isocyanides 1 and diazo compounds 2 and as dipolarophiles and dipoles, respectively [33]. Developing from a retrosynthetic analysis of 1,4-DTs, the authors tried to use silver salts to coordinate and activate isocyanides, as could be obtained with alkynes. Different silver salts, solvents, and temperatures were explored. Then, several substrates were explored, obtaining the final product 3 from acceptable to excellent results (Scheme 1).
Finally, preliminary mechanistic studies were carried out to understand how Ag (I) could give [3 + 2] cycloaddition, although some key issues were not fully addressed. For this reason, more recently, Jia and Zhang focused their research efforts to highlight the key role of Ag(I) in the three successive steps (cycloaddition, deprotonation, and then protonation) involved in Wang’s conditions reaction [34]. Density functional theory (DFT) calculations were employed, clarifying that silver participates in each step of the transformation and its fundamental contribution to the cycloaddition step, making the isocyanide compound more electrophilic. Furthermore, the author demonstrated that the transition state of the cycloaddition step, between the isocyanide complex (compound A, Scheme 2) and the diazo compound 2, is the reaction rate-determining step. Its free-energy barrier is much higher if compared to the others steps, including the transition states of the two proposed side reaction pathways (Scheme 2).
After a first approach in 2010 about the use of zinc on charcoal as a catalyst for azide-alkyne cycloaddition [35], recently different synthetic procedures have been realized, especially on heterogeneous systems.
In 2017, Morozova et al. reported a new protocol with Zn(OAc)2 as an inexpensive catalyst, with the aim to change the DMF in water as a more green solvent for the environmentally friendly synthesis of 1,4-DTs [36]. The authors developed a ZnAAC applicable for alkyl or aryl azides with internal and terminal alkynes obtaining 1,4-DTs and 1,4,5-trisubstituted-1,2,3-triazoles, respectively. The presence of ascorbic acid (20% molar) was revealed crucial for the full conversion of the starting reagents. Furthermore, microwave irradiation allowed to reduce the time of the reaction. Carrying out the reaction between aromatic and benzylic azides 4 as well as aromatic and terminal aliphatic alkynes 5, suitable to excellent yields were obtained (Scheme 3).
As a heterogenous catalytic system, Sharma et al., in 2016, developed a reusable silica-supported organic-inorganic hybrid zinc catalyst [37]. In fact, mesoporous materials based on silica have gained much interest in the last years as versatile support for diverse metallic heterogeneous catalysts [38]. In addition, metal nanoparticles (MNPs) combined with eco-compatible materials have been used as composites useful in environmental remediation [39,40]. In particular, this zinc-supported catalyst was obtained by covalent immobilization of 2-hydroxy-acetophenone on silica functionalized with aminopropyl groups and subsequent metalation with ZnCl2 (8, SiO2@APTES@2HAP-Zn). This catalyst was then tested in a click chemistry reaction between diverse halides 7 and terminal alkynes 8 in the presence of sodium azide using water and tert-butanol as a solvent, obtaining excellent yields (Scheme 4). In the work, the authors also proposed a plausible mechanism involving a zinc-containing six-member cycle (compound A, Scheme 5).
Another heterogeneous Zn catalyst was more recently developed by Daraie and co-workers in 2020 [41]. Briefly, poly(styrene-co-maleic anhydride) was modified with 3-aminopyridine to give poly(styrene-co-maleimide) (SMI) that was used to immobilize ZnCl2 as nanoparticles (NPs) with high surface area. This Zn(II)-SMI nanocatalyst 14 was then tested to gain triazole derivatives 15 or 164 in suitable yields with both α-halo ketones 10, alkyl halides 12, benzyl halide, and iodomethane (when R1 = H and X = I, Scheme 6).
A heterogeneous catalyst based on the lanthanide cerium(III) as metal was also developed by Mondal and co-workers for the one-pot synthesis of 1,4-DTs, starting from arylamines. Cerium(III) was immobilized on polystyrene support, previously modified with an aldehyde group, then functionalized with 2-aminothiophenol. The polystyrene-cerium catalyst (19, PS-Ce-amtp) was then tested for the reaction between aryl azides, obtained directly from the related anilines 17 and aryl alkynes 18 in an aqueous medium at room temperature. The corresponding 1,4-DTs 20 were obtained in excellent yields in only 3–4 h (Scheme 7) [42].
About the proposed mechanism for this reaction, the key intermediate is a six-member cycle that contains cerium, as well as for zinc-catalyzed reaction (Scheme 5). Recycling tests were also performed and, after five recycling experiments, suitable yields of the product were recorded, and maintenance of high activity was confirmed.
Although ruthenium was principally employed for the synthesis of 1,5-disubstituted 1,2,3-triazoles, some examples of the synthesis of 1,4-DTs are reported [6]. An interesting heterogeneous ruthenium complex was developed by Sharma et al. in 2017 by metal ligation via click chemistry [43]. With this aim, a 1,2,3 triazole moiety was anchored over a mesoporous zeolite SBA-15. Then, [RuCl2(PPh3)3] was immobilized on this modified zeolite, and the resulting new heterogeneous catalyst SBA-15-Tz-Ru(II)TPP (23) was in turn tested for the one-pot synthesis of 1,4-DTs in water (Scheme 8). Thanks to this Ru complex, benzyl bromide reacted in the presence of sodium azide with different aryl alkynes and one long-chain alkyne in 12 h at 90 °C to afford 1,4-DTs with suitable to excellent yields. Finally, the authors proposed a mechanism in which Ru catalyzes the cycloaddition of azide and alkyne to give 4-substituted-1H-1,2,3-triazole (compound A, Scheme 9) that subsequently give an in situ substitution reaction with the benzyl bromide to afford the N-benzylated-products 24 (Scheme 9).
Recently, Arafa and Nayl developed a new interesting method for the regioselective synthesis of 1,4-DTs in water by using a new family of Ru complexes [44]. The main drawbacks related to the employment of ruthenium for azide-alkyne cycloaddition (AAC) reactions, such as long reaction time, limited scopes, thermal activation, were overcome in this protocol, exploiting ultrasonic irradiation as alternative energy sources. Furthermore, a sono-synthesis method was employed by the authors, also for the preparation of the catalyst, starting from diamide ligands, which were obtained by condensing o-phenylene diamines with picolinic acids in the presence of triphenyl phosphite as the coupling reagents. Finally, the diamide ligands reacted firstly with ruthenium (as [Ru (DMSO)4]Cl2) and then with 4-picoline, always under ultrasonic irradiation, to afford the Ru complex 27. Although all the prepared catalysts were capable of giving the product in excellent yields, the Ru complex 27 (Scheme 10) was selected as the most active at 0.1 mol% affording the required product in quantitative yield in only 7 min. Then, the scope of the reaction was assessed, testing different benzyl, phenyl, and cyclohexyl azides 25 with aromatic and heteroaromatic alkynes 26. In all cases, the yields were almost quantitative (96–99%). Moreover, the generality and the scope of this method were also successfully extended by testing the catalyst 27 also in the one-pot synthesis of the 1,4-DTs starting from benzyl halides. Finally, new coumarin hybrids containing a triazole moiety were achieved with this method (Figure 1). Reusability, as well as Ru leaching, was evaluated, and the catalyst was efficiently used eight times.
The greenness of visible light as an alternative energy source has attracted more attention in the last years. The photoredox catalysis induced by visible light was then examined by Wu and co-workers in 2020 as a new pathway for the synthesis of 1,4-DTs [45]. The authors demonstrated that the photocatalyzed AAC (PcAAC) is possible, by exploring diverse common photocatalysts, such as Eosin Y, [Ru(bpy)3Cl2]·6H2O, [Ir(ppy)3], [(piq)2Ir(acac)] (31) and others, in different solvents, and under different light-emitting diodes (LEDs). The best reaction conditions were founded using [(piq)2Ir(acac)] (31) as a catalyst in dichloromethane as a solvent for 6 h under white LED irradiation (Scheme 11).
No heating or inert atmosphere was required, showing suitable results in mild reaction conditions. The generality and substrate scope were investigated, obtaining moderate to excellent yields with a suitable functional group tolerance. The synthesis of a triazole active principle with anticancer activity (Figure 2) was also tested at gram-scale under sunlight irradiation, even without stirring, affording the 1,4-DT with 71% of yield. The catalyst was recycled four times, with a low reduction in the reaction yield.

2.1.2. Metal-Free Synthesis of 1,4-Disubstituted 1,2,3-Triazoles

Metal-free strategies for the synthesis of 1,4-DTs present the advantage of avoiding the employ of metals, such as copper, silver, and others, that restrict their application in biological and life sciences due to their cytotoxicity and hazardous nature. In 2015, Alcaide et al. developed a regioselective protocol for the synthesis of C-trifluoromethanesulfonyl triazoles by using 2-(2-fluoropyridinium-1-yl)-1,1-bis[(trifluoromethyl)sulfonyl]ethane-1-ide 34 as starting material in reaction with several azides, giving 1,4-DTs 35 under mild and metal-free conditions (Scheme 12) [46]. While the aliphatic azides react instantaneously with 34, aromatic azides require more time (3–48 h) to be incorporated in the triazole moiety. This aspect was investigated to obtain a chemoselective reaction on a compound with the two functionalities. It is worth noting that relatively suitable yields were obtained for sugar 35a and β-lactam-linked triazoles 35b without loss of chirality (Figure 3).
In 2016, with the aim to explore more green synthetic ways, enolizable aldehydes were used in base conditions with aryl azides in two very interesting procedures, which explored an alternative energy source and ionic liquid to afford 1,4-DTs. The first method, reported by Singh et al., exploited ultrasonic irradiation at room temperature as a driving force to give triazoles in the presence of 1,8-diazabicyclo[5.4.0]undec-7-ene (DBU) 39 as organic strong base catalyst combined in an ionic liquid (IL), that in this ionic form is easier to separate from the reaction mixture [47]. In the second method, directly hydrated Bu4NOH 40 was tested to extend the use of IL also under conventional heating (Scheme 13). In both cases, the triazole derivatives were obtained in suitable yields and short reaction times through simple operation and easy work-up procedures.
(E)-Methyl 3-Tosyl Acrylate 42 was investigated by Das et al. for the synthesis of methylcarboxylated esters of 1,4-DTs through a [3 + 2] cycloaddition reaction. In particular, compound 42 was combined with a wide range of alkyl azides 41 to afford compounds 43 in suitable yields (Scheme 14) [48].
In the same reaction conditions, the authors also tested the starting reagent 42 with different diazides. Surprisingly, different unsymmetrical bis-triazoles were obtained, containing bis 1,4-DTs, or both 1,4-DTs and 1,5-DTs residues or bis 1,5-DTs, although the last one was the minor product (Scheme 15).
Recently, Sebest et al., after have been synthesized triazolines in deep eutectic solvents (DESs), obtained 1,2,3-triazoles directly from this precursor [49]. DESs are considered very interestingly emerging green solvents, employed both for the synthesis of pharmaceutical building blocks [50] and as extraction media for natural active compounds [51]. In this work, the Sebest research group searched for the best reaction conditions to afford 1,2,3-triazoles in a one-pot reaction via the formation of non-isolated triazoline intermediates. In brief, using 1,1,3,3-tetramethyl-guanidine (TMG) as a base in DES (choline chloride/urea 1:2), the authors obtained 1,5-DTs, and 1,4-DTs, regioselectively in a one-pot reaction, without the isolation step of the triazolines. In particular, 1,5-DTs were obtained working in DES for 24 h at r.t., while to afford 1,4-DTs, it was necessary to heat the reaction mixture. However, the limited tolerance of this approach, the 1,4-DTs 52a and 52b were obtained in a very ecofriendly process (Scheme 16) [49].
Tosylazide was used as a nitrogen source by Wan et al., in a transition-metal-free cycloaddition reaction with enaminones, for the synthesis of 1,4-DTs [52]. In this work of 2016, the authors attempted to realize the direct cycloaddition reaction of the enaminones 53 (Scheme 17) in desired heterocycles 55 using t-BuONa as a base catalyst in MeCN at room temperature. For the first step, it was necessary to use a Lewis acid, such as FeCl3, to catalyze the transamination between 53 and the amines 54. Then, the new enaminone A (Scheme 18) reacted with tosylazide to give 55, in the presence of a base, only present in the second step. As demonstrated by the authors, the metal catalyst is not necessary for the cycloaddition reaction, classifying the reaction as “metal-free”. The authors obtained the designed 1,4-DTs, in suitable yields, in a domino reaction at room temperature with a simple procedure. The postulated reaction mechanism involves a typical Regitz diazo transfer reaction in which a diazo intermediate B (Scheme 18) is formed, and that can be rearranged to provide the cycloaddition step.
In 2018, the same research group exploited alkyl propiolates for the formation of an active enamine as intermediate in a domino reaction for the switchable synthesis of 1,5- and 1,4-disubstituted 1,2,3-triazoles [53]. The synthesis 1,5-DTs was also realized without the use of azides, while for 1,4-DTs, tosylazide (TsN3) was necessary as a nitrogen source. The authors demonstrated that alkyl propiolate 56 in the presence of piperazine gives the key intermediate 60 (Figure 4) by an aza-Michael addition (Scheme 19). Then, 58 reacts with the proper aniline 57 to give NH-enamine intermediate 58, which in the second step affords the related 1,4-DTs 59 at room temperature with tosylazide. As just reported in the previous example, FeCl3 is required in the first step to catalyze the transamination between the aniline and the tertiary amine generated in situ, while t-BuONa is necessary for the second step as a base additive in a Regitz diazo transfer mechanism.
Among the procedure that exploited both alkyl- and aryl azides in the metal-free synthesis of 1,2,3-triazoles, the methodology developed by Zhang and co-workers in 2019 was very interesting [54]. In this work, α-bromoacrolein (62) was chosen as an excellent dienophile for the cycloaddition reaction since the nature of the leaving group of the bromide. More in detail, the authors investigated the reaction between α-bromoacrolein 62 and diverse aryl and alkyl azides, obtaining formyl triazoles 63 in DMSO/H2O as solvents and at room temperature (Scheme 20). This procedure that has been the important advantage to be compatible with aqueous conditions was also extended for the synthesis of formyl triazoles also substituted on the C-5 of the heterocycle.
New synthetic procedures were developed in the last 10 years, eliminating not only the metal catalysts but also the azides as potential explosive substrates. Among the methods developed in the last years, it is possible to highlight two different approaches: the first one requires oxidants (I2 or O2) favoring the cycloaddition of N-tosylhydrazones and anilines; the second one avoids the use of any oxidant exploiting base conditions or the presence of suitable leaving groups. The first approach was less envisaged, except the works coming from the Wang research group [55,56], but recently Mani et al. published an interesting paper in which it was described the direct transformation of aryl alkenes and aryl alkynes using I2 under O2 atmosphere [57]. The nitrogen sources consisted of N-tosylhydrazine and aniline, which in oxidation conditions reacted with the α-iodoacetophenone originated by the alkene/alkyne to give the 1,4-DTs (Scheme 21). Substrate scope was investigated, and suitable yields were obtained with all aromatic substrates. The possible reaction mechanism was investigated, and two plausible ways were proposed. The first one (path a, Scheme 22) carries out the product through the α-iodoacetophenone intermediate A. The second one (path b, Scheme 22) needs the conversion of α-iodoacetophenone in phenylglyoxal B through a Kornblum oxidation mechanism.
Tosylhydrazones are the key intermediate of all these metal- and azide-free transformations. A review of 2017 summarized the sign of progress in the synthesis of 1,2,3-triazoles without any transition metal or azide [58], but very recently, different works were reported in the literature on the green cycloaddition of tosylhydrazones with a suitable leaving group in α-position. Zhou et al., in 2019, used α,α-difluoro-N-tosylhydrazones 44 to carry out the synthesis of 1,2,3-triazoles through the cleavage of C-F bonds, despite this is one of the strongest single bonds [59]. In this way, it was possible to perform this reaction also on aryl substrates, unlike α,α-dichloro-N-tosylhydrazones, which limited the reactivity to the alkyl groups.
The use of LiOtBu was necessary as a strong base (Scheme 23). The reaction condition and scope were investigated by the authors that observed a suitable functional tolerance for the R-group, then obtaining high yields without using azides, metals, or any oxidants.
α,α-Dichloro-N-tosylhydrazones are easily prepared by α,α-dichloroketones and tosyl hydrazine 66. Considering the low stability of α,α-dichloroketones and the undesired byproducts obtained after the base-catalyzed Favorskii rearrangement, Zhender and co-workers developed the replacement of the α, an α-halo functional group with the α,α-dimethoxy acetal (71) [60]. Firstly, the authors tested the two-step process with an overall yield of 53%. The N-tosylhydrazones 72 obtained from α-ketoacetals 70 were transformed in the related 1,4-DTs by simply heating in the presence of the desired primary amine. Then, testing the one-pot procedure, they obtained the 1,4-DTs starting from the α,α-dimethoxyacetal, with an 87% yield. The scope of this method was explored, obtaining with suitable yields both 1,4-DTs and trisubstituted 1,2,3-triazoles (Scheme 24).

2.2. Synthesis of 1,5-Disubstituted 1,2,3-Triazoles

As described above, for 1,4-disubstituted 1,2,3-triazoles, 1,5-disubstituted regioisomer of these nitrogen-based compounds too has been extensively deepened. Even in this case, the great interest toward such compounds is due to their value as peptidomimetics [61], macrocycles for drug delivery systems [62], glycomimetics [63,64], antivirals [65,66], antimicrobiotics [67], and antifungal agents [68]. In the next paragraph, we will be briefly present the evidence found in the scientific literature from 2015 for the synthesis of 1,5-disubstituted 1,2,3-triazoles, which extended highlighted the central role of such compounds as bioactive molecules.

2.2.1. Metal-Catalyzed Synthesis of 1,5-Disubstituted 1,2,3-Triazoles

The major advances in the metal-catalyzed synthesis of 1,5-disubstituted 1,2,3-triazoles mostly continue the trend illustrated in the reviews based on works before 2015. In fact, the main contributes consists of ruthenium (II)-catalyzed reactions for the preparation of bioactive triazolyl cores using the ruthenium-catalyzed azide-alkyne cycloaddition (RuAAC) (Scheme 25) [69]. The reaction starts with the displacement of the two ligands (L), also called spectator ligands, by the two reaction partners (77 and 78), generating an activated intermediate 79. Such an intermediate evolves through the oxidative coupling of the ligands 77 and 78 generating the intermediate 80 (ruthenacycle intermediate). As stated by the authors, this step controls the overall regioselectivity of the reaction. The catalytic cycle ends with reductive elimination on the intermediate 81 that releases the product 82 and regenerates the catalyst 76.
In coherence with the development of biologically active compounds, in 2015, Vernekar and collaborators [70] were able to develop new antiviral triazoles 84, particularly active against West Nile virus (WNV) and Dengue virus (DENV). The so-obtained compounds are 5′-silylated nucleoside scaffolds derived from 3′-azidothymidine (AZT) 83, synthesized via a classic RuAAC Cp*Ru(Cl)(PPh3)2 in THF as solvent (Scheme 26).
A year later, Hornum and co-workers [71] proposed an approach for the insertion of a 1,2,3-triazolyl moiety directly on a pyrimidine ring (Scheme 27). Such a strategy can be intended as a reversed approach to the one followed by Vernekar (Scheme 26) [70]: in this case, it is the nucleoside scaffold 85 that acts as dipolarophile, whereas the role of 1,3-dipole is assumed by phenylazide 86.
In 2016, Kocsis and collaborators [72] developed a synthetic protocol for the Ru-catalyzed synthesis of cinchona-chalcone hybrids for the preparation of 1,5-functionalized 1,2,3-triazoles. In this case, the triazole ring has been used as a linker for a chalcone moiety directly bonded to a ferrocene 90a-b starting from a 2-azidochalcone derivative 88a-b and a propargyl derivative 89a-b (Scheme 28). The obtained substrates have been evaluated against HepG-2 and HT-29 cells in vitro, displaying a significant cytostatic activity.
Successively, a synthetic route has been proposed by Jernei et al. [73] for the preparation of similar cinchona-chalcone hybrids that were revealed to possess an interesting cytostatic activity against PANC-1 cells. Other efficient syntheses have been proposed in the last years for the preparation of numerous substrates possessing notable biological activities against specific biological targets (i.e., Chagas disease, A549, SW480, etc.) by using Ru (II) complexes as catalysts [74,75,76,77,78,79].
Interesting evidence in peptidomimetic and disulfide bond-mimetic preparation has been recently reported, enhancing the potential of 1,5-disubstituted 1,2,3-triazoles in medicinal chemistry. In these cases, triazoles are employed as innovative bioisosteres of amide or disulfide bonds, improving the conformational properties or the chemical stability of the obtained peptides. In 2018, Kracker and co-workers [80] proposed novel peptidotriazolamers combining the features of peptides and triazolamers, which are structures containing triazole rings in place of peptide bonds. In doing so, a propargyl Boc-protected amine 91 and an α-azido Bn-protected ester 92 have been coupled using Cp*RuCl(COD) 93 as catalyst (3–5 mol%) under microwave (MW) irradiation (Scheme 29). In this case, it is noteworthy that the use of a protective group using an ester is indispensable due to the incompatibility of the ruthenium-catalyzed azide-alkyne cycloaddition (RuAAC) approach with carboxylic acids.
Following the same strategy, Stålsmeden [81] and Grob [82], and their respective collaborators, developed a series of novel peptide drugs that have also been biologically tested. In the first case, it has been realized that the RuAAC synthesis of chiral 1,5-disubstituted 1,2,3-triazoles aiming to obtain foldamers useful in pharmaceutics and biotechnology. The optimization of the reaction conditions was performed on a Boc-protected propargylamine 95 and an α-azidomethylester 96 (Scheme 30).
Furthermore, Grob [82] et al. took advantage of the RuAAC synthesis of 1,2,3-triazoles for realizing a series of novel minigastrin analogs successfully tested toward cholecystokinin-2 receptor (CCK2R). Scheme 31 only regards the reaction step where the triazolyl moiety is formed starting from an α-azido Bn-protected ester 98 and a Fmoc-protected amino-propargyl derivative 99.
As for the use of 1,5-disubstituted 1,2,3-triazoles as disulfide bond mimetics, interesting evidence has been reported in the last three years. Tala and collaborators [83] used click chemistry to synthesize 1,2,3-triazole rings in place of a disulfide bridge inside a chimeric AGRP-melanocortin peptide 102. In doing so, they realized a RuAAC between an azide-group of a Fmoc-protected terminal amino acid and a terminal propargylic group linked to an amino acid of the same peptide chain 101 (Scheme 32).
Following this strategy, very recent applications of 1,2,3-triazoles as disulfide bond mimetics have been proposed [84,85,86]. In all the reported cases, the elected catalyst was 93 in amounts ranging from 20 to 50 mol%.
Among other noteworthy works, in 2015, Chen and co-workers [87] proposed a synthetic method for obtaining a 1,5-disubstituted 1,2,3-ditriazole 105 that showed important aggregation-enhanced emission characteristics forming red-emissive charge-transfer complexes. The 1,5-disubstituted product was synthesized via the so-known RuAAC approach, using Cp*RuCl(PPh3)2 as catalyst (Scheme 33). Successively, Anand et al. [88] published a click chemistry-based approach for the regioselective synthesis of 1,5-coumarinyl 1,2,3-triazoles 108 (Scheme 34).
Even though most of the syntheses are exerted using the RuAAC approach, the use of catalytic protocols that involve other metals showed important progress. In this sense, one of the most notable new catalytic development was proposed in 2017 by Mekni [89] and in 2018 by Kumar et al. [90]. In the first report, the authors propose the first attempt of intramolecular 1,3-dipolar cycloaddition of polyoxyethylene diazidoalkynes 109 catalyzed by a Cu (I) salt (Scheme 35). As a result, it has been obtained a mixture of polyoxyethylene 1,5-disubstituted fused-di(1,2,3-triazole)-1,4-oxazines 110 and 1,4-disubstituted mono(1,2,3-triazole)azidoalkyne crown ether 111, with a preponderance of substrate 110.
In a much more comprehensive work, Kumar and co-workers [90] proposed the first evidence of the capability of Cu (I) to catalyze the synthesis of 1,5-disubstituted 1,2,3-triazoles 114 through the coupling of phenylazide derivatives 112 and substituted styryl carboxylic acids 113 with suitable yields (60–80%) (Scheme 36).
In this case, Cu (I) has been generated in situ using ascorbic acid dissolved in the reaction medium (DMF) at a concentration of 25% w/v. It is noteworthy that the use of Cu (I) is highly compatible with the presence of carboxylic acids, which, on the contrary, are not used in co-presence Ru (II) as a catalyst. In addition, a mechanistic pathway has been proposed, showing that a reasonable interpretation of the course of the reaction includes an initial 1,3-dipolar cycloaddition followed by the decarboxylation of the intermediate 114 allowing the aromatization step with the formation of intermediate 117 that easily undergo protonolysis generating the desired product 118 (Scheme 37).
Another contribution to the novel metal-catalyzed approaches proposed in the last years comes from the use of nickel for the synthesis of 1,5-disubstituted 1,2,3-triazoles in open air and water [91]. In this case, Kim and co-workers proposed a convenient green method for the preparation of triazoles in a highly regioselective way, using Cp2Ni and Xantphos (both at 10 mol%) as catalytic systems in water at room temperature (Scheme 38).
Such contribution opens new catalytic pathways, allowing to plan new syntheses of highly valuable scaffolds using a greener catalyst compatible with many substrates.
Recently, other interesting perspectives have been proposed to extend the role of metals in 1,5-disubstituted derivatives synthesis. Two examples of such developments are the papers published in 2015 and 2021, respectively, by Nanjundaswamy [92] and Mahadari [93] and co-workers. Nanjundaswamy’s group indeed proposed a highly regioselective synthesis of 1,5-disubstituted substrates through a heterogeneous catalyst made up by AlCl3 immobilized on γ-Al2O3. Mahadari’s group approach, on the other hand, lies on the role of in situ formations of chloromagnesium acetylides for the preparation of sterically bulky 1-(2-methoxy-1-naphthyl)-5-substituted-1,2,3-triazoles 123 from 1-azidonaphthalene derivatives 122 (Scheme 39). Even though such an approach revealed to be particularly efficient for such substrates if compared to the classical Ru (II) catalysts, one can argue that the use of EtMgCl for the in situ formation of acetylides intermediates would not be compatible with a very large number of substrates containing, for instance, carbonyl groups.
Recently, two innovative methods for the synthesis of 1,5-disubstituted 1,2,3-triazoles were proposed. In 2018, De Nino et al. achieved the unprecedented synthesis of 1,5-disubstituted derivatives using FeCl3 as a catalyst in ionic liquid (IL), demonstrating the high regioselectivity of the synthesis and the high reusability performances of such a catalytic system [94] (Scheme 40). The IL employed, in this case, has been obtained from the direct condensation between pyridine and methyl trifluoromethansulfonate ([mPy]OTf) without passing through the classic anionic exchange used for the synthesis of the most common ILs [95]. Notably, several sensitive functionalities such as chloro-, methyl-, methoxy-, and nitro- were unaffected under the present reaction conditions, and the reaction also tolerated ortho-substitution on the aromatic ring. Such substrates were further revealed to possess a very interesting biological activity as F1FO-ATP(hydrol)ase inhibitors and in preventing permeability transition pore (mPTP) opening [96].
Erbium (III), too, was revealed to be a very interesting catalyst in the regioselective synthesis of 1,5-disubstituted 1,2,3-triazoles. Maiuolo and co-workers proposed in 2019 an insight in terms of synthesis and reaction mechanism [97], analyzing the role exerted by Er(OTf)3, IL (methylpyridinium triflate), and water. As can be seen from Scheme 41, Er(III) may play a role in dipolarophile (nitroolephine derivatives 124) coordination, forcing it in assuming a chair conformation stabilized by the presence of water and ionic liquid’s ions. Furthermore, the cations and the anions of IL may take part in the ionic self-assembly (ISA) structure, which helps in reagents stacking, favoring the cycloaddition step. Even in this case, the reusability of proposed catalytic systems has been evaluated too up to six times without loss in catalyst activity.

2.2.2. Metal-Free Catalyzed Synthesis of 1,5-Disubstituted 1,2,3-Triazoles

The most common synthetic methodology for the synthesis of 1,5-disubstituted 1,2,3-triazoles is cyclocondensation catalyzed by metals, as described in the previous paragraph. However, in recent years, scientific research has turned its attention toward a series of reactions that do not involve the use of metals for overcoming the disposal of environmental problems. Typically, metal catalysis is avoided by the use of different approaches such as acid or bases Brønsted-catalysts, in-water reactions, and sonication systems. Below, few examples of metal-free cyclocondensations are reported.
In 2015, Kayet et al. [98] realized the synthesis of 1,5-disubstituted 1,2,3-triazolylated monofuranosides and difuranosides in a metal-free aqueous media. The reaction consists of a 1,3-dipolar cycloaddition between vinyl sulfone derivatives (128) with four different azidofuranosides (127) in agreement with Scheme 42.
These syntheses of 1,5-disubstituted triazolylated monosaccharides, as well as 1,5-disubstituted 1,2,3-triazole linked disaccharides, open up a new possibility of connecting furanosides with a stable-triazole backbone. The reaction conditions are simple, performed under reflux in aqueous media without any metal catalyst, and afford the 1,5-disubstituted 1,2,3-triazolylated monofuranosides and difuranosides in high yields (70–89%). Successively, the same authors synthesized other 1,5-disubstituted 1,2,3-triazole linked at disaccharide to evaluate their inhibitor activity against a ribonuclease A [99]. In particular, the introduction of two carboxyl groups on the backbone of substates elicited the best result with an inhibition constant (Ki) of 65 ± 3 μM. This is the first-ever report on the use of disaccharides as RNase A inhibitors.
González-Calderón et al. [100] have synthesized novel triazole-based miconazole analogs 132 as promising antifungal agents by azide-enolate 1,3-dipolar cycloaddition reaction. The synthesis of triazole analogs that maintain the 1-(2-phenylethyl)imidazole core responsible for the biological activity of miconazole is reported in Scheme 43.
The reaction is classified as a base-assisted 1,3-dipolar cycloaddition and is performed using potassium hydroxide as a base for starting β-ketophosphonate deprotonation that generates the dipolarophile in acetonitrile. The heterocycles 132 showed suitable in vitro antifungal activity.
Wan and co-authors realized a metal- and azide-free regioselective-multicomponent reaction for the synthesis of 1,5-disubstituted 1,2,3-triazoles [101]. The synthesis was carried out through the cascade dual C−N bond formation, N−N bond formation, and an acyl migration-based C−C bond formation via a three-component reaction of enaminones 133, tosylhydrazine 135, and primary amines 134. This methodology proceeds in the presence of only molecular iodine used as a catalyst according to Scheme 44.
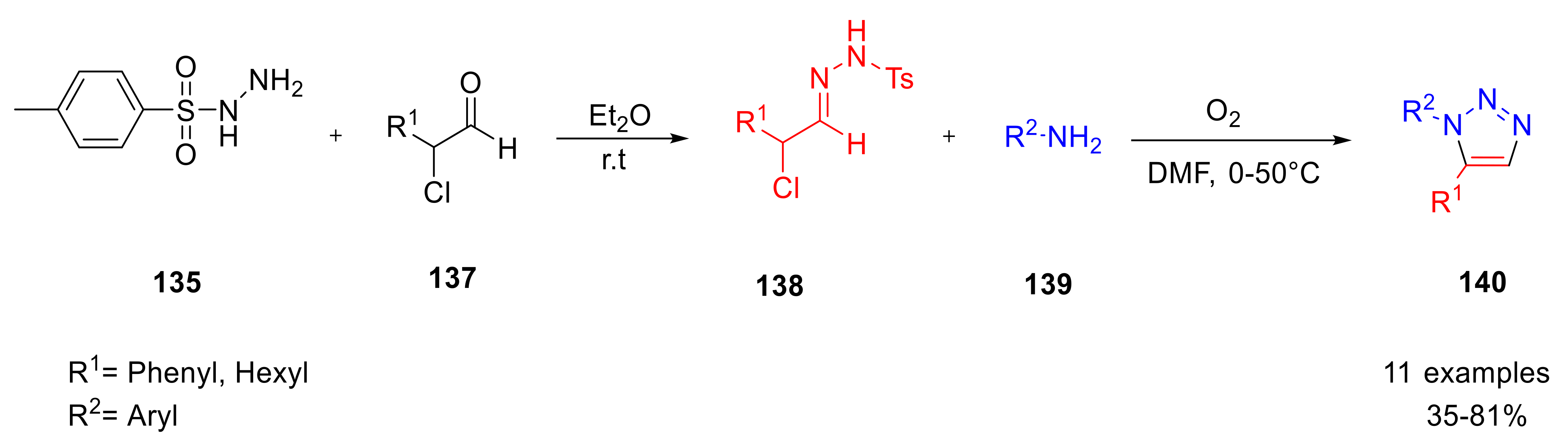
In 2015, Bai et al. developed an aerobic oxidative cycloaddition between α-chlorotosylhydrazones 138 and arylamines 139 to give 1,5-disubstituted 1,2,3-triazoles 140 under azide- and metal-free conditions (Scheme 45) [56]. The authors noticed that the transformation was not influenced by the position of the substituent groups.
In 2016, Thomas and co-workers synthesized 1,5-disubstituted 1,2,3-triazoles 145 starting to primary amines 143, enolizable ketones 142 and 4-nitrophenyl azide 141 by a multicomponent reaction [102]. The reaction is regioselective and is conducted with acetic acid as an acid catalyst in concordance to Scheme 46. All products were obtained with suitable to high yields (67–93%).
Kayet and Pathak [98] synthesized a series of 1,5-disubstituted 1,2,3-triazolylmethylene linked disaccharides (1,5-DTM) 148 in a biodegradable hydroxylammonium-based aqueous ionic liquid with a total absence of metals as catalysts. The molecules are obtained through a 1,3-dipolar cycloaddition reaction between a series of vinyl sulfonylmethylene-modified pyranoses or furanoses 146 and a series of sugar azides 147 under metal-free conditions. Then, the same authors, for the first time, identified a 1,5-disubstituted 1,2,3-triazolylmethylene (1,5-DTM) linked disaccharide as a potential inhibitor of ribonuclease A [103] because, probably, the extra methylene bridge connecting the 1,5-DT ring and the sugar residue could increase the flexibility of 1,5-DTM linked molecules. The reactions between vinyl sulfones and azido-sugars in water/N,N-dimethylethanolammoniumformate (DAF) at reflux are conducted as shown in Scheme 47. The use of a mixture of an ecofriendly ionic liquid and water considerably reduced the reaction time and increased the purity of the 1,5-DTMs crude in comparison with the same reactions conducted with conventional solvents.
In 2018, a practical and straightforward approach to synthesize, for the first time, enantiomerically pure 1,5-disubstituted 1,2,3-triazoles 151 was developed [104]. The synthesis employs enantiomerically pure amino esters 150 derived from amino acids and commercially available enolizable ketones 149 under metal-free conditions as indicated in Scheme 48.
The obtained results showed that the reaction is independent of the electron-rich or electron-deficient nature of the ketones. The products were obtained with suitable yields and, in all cases, with the retention of the chiral center. Furthermore, the reaction was shown to be widely tolerant of aromatic and heteroaromatic substituted ketones and heterocycles.
Another methodology provides the participation of alkyl propiolates 152 in [3 + 2] annulation for the synthesis of 1,5-disubstituted 1,2,3-triazoles containing ester side chain 154 [53]. The reaction consists of metal-free annulation reactions of alkyl propiolates 152 with tosyl hydrazine 135 to give 1,5-disubstituted 1,2,3-triazoles 154 in according to Scheme 49.
In 2020, Zhang et al. realized a regiospecific and base-promoted synthesis of 1,5-disubstituted 1,2,3-triazoles through a C-C bond cleavage process on fully substituted 1,2,3-triazoles 156 [105]. In particular, enaminones 155 react with tosyl azide 135 in basic conditions from DBU to form trisubstituted 1,2,3-triazoles 156 that, in the presence of NaOtBu, produce 1,5-disubstituted 1,2,3-triazoles 157 (Scheme 50).
More recently, Kiranmye and co-workers [106] published the synthesis of 1,5-disubstituted 1,2,3-triazoles 160 in aqueous medium under ultrasound-assisted catalyst-free reaction conditions. The synthetic route is straightforward, convenient, and consists of preparation of 1,5-disubstituted 1,2,3-triazoles 160 via eliminative 1,3-dipolar cycloaddition of azides 158 with nitroolefins 159 (Scheme 51). This approach exhibits high substrates versatility, short reaction time, simple work-up, high regioselectivity, and large-scale synthesis.

2.3. Synthesis of 4,5-Disubstituted 1,2,3-Triazoles

As the reader has just been seen, many methods and catalysts have been reported in the literature for the synthesis of 1,2,3-triazoles, but only a few of them are related to the synthesis of N-unsubstituted 1,2,3-triazoles. The 4,5-disubstituted 1,2,3-triazoles (4,5-DTs) could be considered a direct precursor for 2-substituted 1,2,3-triazoles, which could show much interesting biological activity. Furthermore, the 1,2,3-triazole moieties disubstituted at C-4 and C-5 just demonstrated anticancer activity as analogous to combretastatin A-4, an anti-mitotic agent [107]. Since its sensitivity in solution to undergo double bond isomerization toward the trans isomer, new analogs with the 1,2,3-triazole moiety were synthesized. The key intermediate is (Z)-2,3-diarylacrylonitrile derivative (163) that, via click chemistry, afforded the 4,5-DTs. (Scheme 52). Among them, the compounds more structurally related to the combretastatin A-4 exhibited higher anticancer activity against different human cancer cell lines.
In the same year, Chai and co-worker published another method catalyzed by an ammonium salt for the synthesis of 4,5-DTs. In this work, the key intermediate is a vinyl sulfone that reacts in a 1,3-dipolar cycloaddition with the more nucleophile ammonium azide obtained from sodium azide in the presence of ammonium acetate (Scheme 53). The Julia reagents, benzothiazol-2-yl sufones 165, were exploited by the authors as precursors for vinyl sulfones, in three-component reaction with aldehydes and sodium azide, in mild reaction conditions and without the inconvenient of the multistep process, such as the necessity of inert atmosphere, laborious work-up procedures, and more time required. A broad scope for this method was demonstrated, working both with ester, ketone, and amide functionalities for the Julia reagent and aryl or alkyl aldehydes 166 [108].
In 2016, enolizable cyclic ketones were also employed by Thomas et al. in a one-pot reaction for the synthesis of 4,5-fused NH-triazoles, involving ammonium acetate as a reagent and with 4-nitroaniline 141 as molecule eliminated to obtain final triazoles (Scheme 54). Simply using commercially available or naturally available (flavonoids and terpenoids) ketones, it was possible to afford both 4,5-fused, mono- and disubstituted NH-triazoles with potential biological activity. High functional group tolerance and regioselectivity were demonstrated by the authors, also in the synthesis of different mono-substituted NH-triazoles [109].
Tang and co-workers published a method for the cycloaddition of 1,3-diynes with sodium azide. The resulting 5-substituted-4-acetylene-1H-1,2,3-triazoles (171), obtained in excellent yields in a metal-free procedure (Scheme 55), possess a triple bond that could be useful in the following transition metal-mediated reactions. It is worth noting that unsymmetrical 1,3-diynes could react in these reaction conditions, but the two products, obtained with a 1:1 ratio, are chromatographically inseparable [110].
To the best of our knowledge, only one example is reported in the literature on azide-free synthesis of 4,5-DTs. In this work, Panda and co-workers take advantage of the ambiphilic nature of N-tosylhydrazones to realize in mild basic conditions a regioselective [3 + 2] cyclization (Scheme 56). Worth noting, more reaction times and lower reaction yields were obtained with electron-rich aryl hydrazones, probably for their less electrophilic nature [111].
As the reader has seen so far, the use of ammonium salts as catalysts was applied with different starting reagents for the synthesis of N-unsubstituted 1,2,3-triazoles. More recently, Swarup and co-workers explored another approach by preparing 2-methylthio 1,4-ene-diones 176 under metal-free conditions using iodine and DMSO as the source of the thio-functionality at 90 °C (Scheme 57). With this method, symmetrical 4,5-DTs were obtained in suitable yields and avoiding the formation of the highly toxic and explosive HN3 [112].
The presence of an electron-deficient double bond in olefinic sulfur salts was exploited by Wu G.-L. and Wu Q.-P. in 2017 to form 4,5-DTs in a [2 + 3] cycloaddition. In this work, α-bromoacetate 178 was firstly converted in the corresponding sulfur salt 179, which then reacted with benzaldehyde in the presence of L-proline as organocatalyst, affording the product in high yields (95%). Other small organic molecules, such as morpholine (91%), piperidine (93%), and other aminoacids, were tested in the same reaction conditions, but the best results were obtained using DMSO as a solvent at room temperature (Scheme 58). This procedure has been demonstrated high tolerance not only toward aldehyde substrates but also toward some organohalides, obtaining in all cases excellent results [113].
In recent years, the cycloaddition reaction of nitroalkenes was largely explored for the synthesis of NH-1,2,3-triazoles, using different catalytic conditions [114,115]. More recently, Reddy et al. paid their attention, in particular, to easily accessible α-functionalized nitroolefins for the acid-assisted synthesis of 4,5-DTs [116]. The best reaction conditions were founded using p-toluenesulfonic acid in stoichiometric amounts with nytroallylic acetates 180 or nitroallylic alcohols 181 and nytroallylic sulfones 182 in the presence of sodium azide, to afford 4,5-DTs 183, 184, and 185, respectively (Scheme 59). A plausible mechanism was proposed by authors who considered the additive acid as an activator of the nitro group through the H-bond, thus favoring the elimination of HNO2.
More recently, another metal-free alkyne cyclization with sodium azide was developed by Rocha et al. in 2019. In this work, the authors reported the synthesis of 4,5-DTs by simply heating in DMF at 110 °C, starting from nine different 1,3-diarylprop-2-yn-1-ones 186, previously obtained by Sonogashira cross-coupling reaction of aroyl chlorides and aryl acetylenes, with electron-neutral, -withdrawing, or -donating groups. These 1,3-diarylprop-2-yn-1-ones 186 reacted with sodium azide to give as many NH-1,2,3-triazoles under conventional heating (Scheme 60). In some cases, better results were obtained under microwave-assisted conditions, which allowed reducing the reaction times from hours to minutes, enhancing the yields at the same time [117].

3. Advances in Trisubstituted 1,2,3-Triazole Preparation

Trisubstituted 1,2,3-triazoles are a class of heterocycles with a huge number of applications in organic synthesis such as, for example, the role of ligands for catalysis, directing groups in metal-catalyzed C-H activation, or platform molecules to build complex organic materials. They are also inserted in specific molecular structures due to their potential pharmacological activity.

3.1. Metal-Catalyzed Synthesis of Trisubstituted 1,2,3-Triazoles

The copper-catalyzed azide-alkyne cycloaddition is one of the most used catalytic strategies to afford trisubstituted 1,2,3 triazoles with potential applications in medicine and materials science. This reaction is usually employed for terminal alkynes due to the complex copper (I) acetylide that allows accelerating the reaction. Wei et al. [118] developed a one-pot strategy for the synthesis of differently trisubstituted triazoles by a three-component click reaction of alkynes 188, azides 189, and aryl halides 190, catalyzed by Cu/Pd. Aliphatic and aromatic alkynes were used, and different trisubstituted triazoles were obtained in suitable yield as a single regioisomer. Surprisingly, the electron-withdrawing or electron-donating group at the para position of the aromatic did not affect the reaction outcome (Scheme 61).
The authors proposed a possible mechanism that starts with the cycloaddition of Cu(I) acetylide with azide to afford cuprate-triazole as a reaction intermediate. Simultaneously, the oxidative addition of aryl halide to Pd(0) produces the palladium intermediate. The transmetallation between the two products followed by the reductive elimination gives the trisubstituted triazole and the regenerated Pd(0).
Zhang et al. [119] realized a one-pot-three-component synthesis of 1,4,5-trisubstituted 5-iodo-1,2,3-triazoles 194 by using substituted azides 192, 1-copper(I)alkynes 193, and molecular iodine as illustrated in Scheme 62. All the products were obtained from acceptable to suitable yields (40–92%).
Yamada and co-workers [120] used CuBr under aerobic conditions to afford an azide-alkyne cycloaddition reaction of different ethynylstibanes 195 with benzylazide 196 to obtain trisubstituted 5-organostibano-1H-1,2,3-triazoles 197 in discrete yield (64–93%) (Scheme 63).
A possible mechanism proposed by the authors involves the catalytic activity of copper, as reported in Scheme 64.
In succession, the trisubstituted 5-organostibano-1-H-1,2,3-triazoles 197 were treated with different acyl chlorides 198, giving the corresponding trisubstituted 5-acyltriazoles 199 by deantimonation reaction (Scheme 65).
Then, in other work, the same research group [121] proposed a synthesis of newly discovered 4-substituted 1-benzyl-5-diphenyl-stibano-1,2,3-triazoles 201 through an azide-alkyne cycloaddition reaction between ethynyldiphenylstibanes 200 and benzyl azide 196 catalyzed by copper. The obtained organoantimony compounds were reacted with hydrochloric acid to afford C5-unsubstituted 1,2,3-triazoles 202 in high yields (Scheme 66). The antitumoral activity and cytotoxicity were evaluated in several tumor cell lines and compared for both the products organoantimony compounds 201 and 5-unsubstituted 1,2,3 triazoles 202. The authors concluded that the presence of organometal (antimony) in the molecule was crucial for greater antitumor activity.
In 2017, Amdouni and co-workers [122] developed a synthesis of 1,4,5-trisubstituted-1,2,3-triazole aglycones 206 by proposing two strategies: the first follows a click/electrophilic addition, while the second a click/oxidative coupling. The two methodologies to obtain fully decorated 1,2,3-triazoles start with the trapping of the 5-cuprated-1,2,3-triazole intermediate. For the first method, the intermediate can be trapped by various electrophiles in the CUAAC/electrophilic trapping sequence. The reaction scheme is reported in Scheme 67.
In the second method, the CuAAC/oxidative coupling reaction, copper cyanide was used as Cu (I) source, N,N-diisopropylethylamine as the base ligand, hydrogen peroxide as terminal oxidant as depicted in Scheme 68.
Finally, the produced compounds were tested in vitro and in vivo and showed promising antileukemic effects on chronic myeloid leukemia (CML) and myelodysplastic syndromes (MDS).
In 2017, Zhou et al. [123] developed a one-pot three-components synthetic strategy to obtain enamine-functionalized 1,2,3-triazoles 213 by Cu-catalyzed reaction between terminal alkynes 210, azides 211, and 2H-azirines 212 (Scheme 69). After the reaction optimization, the authors tested alkynes differently substituted on aromatic rings. Alkynes with electron-donating groups give higher yields on the contrary of ones with electron-withdrawing groups.
In 2018, Wu and co-workers [124] proposed a copper-mediated three-component reaction for the synthesis of 5-allenyl-1,2,3-triazoles 217, starting from substituted alkynes 214, azides 215, and the carbonate derivative 216 (Scheme 70). The reaction yields were from acceptable to suitable.
In recent work, Chang and co-workers [125] reported the synthesis of 1,4,5-trisubtituted triazoles by a [3 + 2] cycloaddition reaction. In this work, the reactivity of ruthenium azide 219, formed by 218 with sodium azide with a series of ynoate esters 220, was investigated, forming differently substituted triazolate complexes 221 that were treated with several electrophiles to form 1-alkylated-4,5-bis(ethoxycarbonyl)-1,2,3-triazoles (222) (Scheme 71).
In 2017, Gribanov and co-workers [126] described a Suzuki–Miyaura cross-coupling of 4- or 5-halo-1,2,3-triazoles with arylboronic acids in water to obtain different 1,4,5-trisubstituted-1,2,3-triazoles 226 and 227 with an expanded-ring N-heterocyclic carbine palladium complex as catalyst 228 (Scheme 72). The products were obtained in high yields using 4-bromo-1,2,3-triazoles with an aromatic and benzylic substituent on the nitrogen.
In more recent work, Duan et al. [127] reported a palladium-catalyzed selective three-component tandem reaction of allenynes 229, aryl or alkenyl iodides 230, and sodium azide for the synthesis of differently substituted bicyclic 1,2,3-triazoles 231 in discrete yields (45–79%). The employed substrates include mono-substituted-,1,3-disubstituted-, trisubstituted allenynes, and different types of organic iodides. Finally, the authors proposed a plausible reaction mechanism (Scheme 73).

3.2. Catalyst-Free Synthesis of Trisubstituted 1,2,3-Triazoles

To afford more environmentally friendly synthetic procedures, many studies were recently focused on the discovery of metal-free reactions due to the negative effect of transition heavy metals on the environment and on human health.
Sulfur plays a central role in the medicinal activities of organic compounds [128,129]. Ramachary et al. [130] reported the regioselective synthesis of 1,5-disubstituted 4-thio-1,2,3-triazoles 234, in an azide-ketone [3 + 2] cycloaddition reaction. They explored the reactivity of differently substituted azides 233 with alkyl- or arylthioethanone derivatives 232 (Scheme 74). The yields are all from acceptable to suitable despite the structural change of the substrates.
Gangaprasad et al. [131] described an aqueous oxidative azide-olefin cycloaddition promoted by TEMPO for the synthesis of 1,4,5-trisubstituted-1,2,3-triazoles 237, starting from a series of internal olefines 235 with several substituted azides 236 (Scheme 75).
The authors proposed a probable mechanism that starts with the production of triazoline 240, deriving from cycloaddition of olefine 238 and azide 239. Then, 240 is converted to the radical cation 241 by the action of TEMPO A that turns to the anionic form B. A successive loss of hydrogen radical from 241 leads to the production of an iminium-type ion 242 that is in equilibrium with 243. Lastly, the iminium ion 242 was aromatized by losing a proton due to the base action of TEMPO anion C to give the final triazole 244 (Scheme 76). TEMPO A is regenerated by the action of oxygen.
In 2018, Silveira-Dorta and collaborators [104] described a direct synthesis of enantiomerically pure 1,4,5-trisubstituted-fused triazoles 247 starting from p-nitrophenylazide 141 and amino esters 246 (Scheme 77). After the optimization of the reaction conditions, different starting materials were tested, observing that, in general, the nature of substituents and the steric hindrance did not affect the reaction outcome. However, when serine with free OH group was employed, the reaction yield was low even with prolonged time and higher temperature, a problem that was partially overcome with the protection of serine.
The authors also proposed the synthesis of 1,4,5-trisubsituted 1,2,3-triazoles 250 starting from acyclic ketones 248 with encouraging yields (20–61%), as reported in Scheme 78.
Another example of reactions without a catalyst to afford these products is represented by strain-promoted azide-alkyne cycloaddition (SPAAC) [132]. Yoshida and co-workers in 2011 [133] proposed a methodology in which 2,6-diisopropylphenyl azide showed 76 times higher reactivity than phenyl azide with dibenzo-fused cyclooctynes, and the reason was the steric inhibition of resonance. We report in the following Scheme 79 the selective SPAAC cycloaddition through the reaction of cyclooctyne 252 on the doubly sterically hindered aromatic azido group of diazide 251.

3.3. Acid-Assisted Synthesis of Trisubstituted 1,2,3-Triazoles

Among the strategies to substitute transition heavy metal catalysts for the synthesis of trisubstituted 1,2,3-Triazoles, the use of catalytic quantities of inorganic acids is one of the most used. In recent work, Guo et al. [134] reported a simple and efficient strategy for the synthesis of 1,4,5-trisubstituted 1,2,3-triazoles 258 promoted by acetic acid. The employed protocol is metal-free and makes use of 1,3-dicarbonyls 255, primary amines 256, and tosylazide 257 by a 1,3-dipolar cycloaddition reaction. After the reaction optimization, the authors starting to explore the method from several diketones and amines, obtaining triazole derivatives with yields from acceptable to suitable (24–93%) (Scheme 80). The authors noticed that substituents with steric hindrance reduce the reaction yields.
The authors also proposed a mechanism of the reaction. In particular, they hypotized the rule of acetic acid as a promoter of ring-opening of triazoline intermediate before of formation of final triazole product.
In a recent study, Jana and collaborators [135] described a regioselective synthesis of 4-fluoro-1,5-disubstituted-1,2,3-triazoles 261 starting from α-fluoronitroalkenes 259 as starting material in [3 + 2] cycloaddition reactions with organic azides 260, in the presence of trifluoroacetic acid as catalyst. The reaction showed suitable to excellent yields using different aryl- and alkyl azides (Scheme 81). The optimized protocol was also tested using different α-fluoronitroalkenes. Both the substrates with electron-donating and electron-withdrawing groups showed suitable yields, but the first showed better performance.

3.4. Base-Assisted Synthesis of Trisubstituted 1,2,3-Triazoles

Another alternative to substitute transition heavy metals is the base-assisted synthesis in which organic bases are used to afford trisubsituted 1,2,3 triazoles in suitable yield and short times. In 2015, González-Calderón et al. developed two efficient methods for the production of 1,4,5-trisubsituted 1,2,3-triazoles through a one-pot three-component azide-enolate [3 + 2] cycloaddition. In particular, in the first work [136], the authors used benzylic alcohols 262, diphenylphosphoryl azide (DPPA), several ketones 263, and DBU as a base, obtaining highly regioselective products 264 under mild conditions with yields from acceptable to suitable (62–82%) (Scheme 82A). In the second approach, sodium azide and alkyl halides 265 were reacted with variously substituted ketones 266 in suitable yields (Scheme 82B) [137].
More recently, Blastik et al. [138] proposed an efficient methodology for the production of differently functionalized N-perfluoroalkyl-1,2,3-trizoles 270 from azidoperfluoroalkanes 268 and various β-ketoesters and 1,3-diketones 269 through an enamine-mediated azide-ketone [3 + 2] cycloaddition reaction (Scheme 83).
A plausible mechanism considers an initial cycloaddition of azidoperfluoro derivative with the enamine formed in situ to obtain the triazoline intermediate. The latter undergoes a rearrangement to the zwitterionic form. The final pyrrolidine elimination leads to the triazole product 270, regenerating the catalyst.
Such precursors have also been used in 2019 by De Nino and co-workers [139]. In particular, they synthesized 1,4,5-trisubstited 1,2,3-triazoles by the 1,3-DPCA between aryl azides 271 and the enaminones 272 (Scheme 84).
The use of an IL in the presence of water and triethylamine was revealed to be fundamental for the course of the entire reaction. The process consists of a water-promoted 1,3-DPCA followed by a base-promoted retro-aza-Michael reaction, which gave the products excellent yields. In 2020, 1,4-disubstituted-5-arylthiomethyl-1,2,3-triazoles 278 and 1,5-disubstituted-4-arylthio-1,2,3-triazoles 277 were synthesized by Reddy and co-workers [140] via a metal-free organocatalytic enolate-mediated regioselective 1,3-dipolar cycloaddition between nonsymmetrical 1- alkyl- or 1-aryl-3-(arylthio)propan-2-ones 274 with a variety of aryl/vinyl/alkyl azides 275 by using DBU (279) as organocatalyst (Scheme 85). The proposed mechanism provides that the organocatalyst system favors the [1,3]-H shift of enolate that discriminates the regioselectivity of the reaction.

4. Conclusions

The review has been focused on the development of the chemical synthesis of 1,2,3-triazoles since 2015. As it has been illustrated, the scientific production about the preparation of such compounds has been mainly oriented toward new metal catalysts alongside the implementation of new green protocols. In particular, the use of ionic liquids (ILs) and other non-conventional solvents revealed new and unprecedented chemical pathways, with particular attention not only for the use of new catalysts but also on the recyclability of the entire catalytic system. Nonetheless, the use of new metals, alternative to the classic CuAAC and RuAAC reactions, also allowed the realization of numerous reactions, giving rise to a fertile “green” branch of the chemical realization of unprecedented molecules.
The aims of this review are not only devoted to the synthesis of 1,2,3-trizoles itself but also fill the lack of reports on the evolution of the catalytic techniques employed in such branch of organic chemistry in last years, which reflects the importance of always greener methodologies for the synthesis of highly valued compounds. The substantial advances described in this review fill the lack of a more general and complete report on the more efficient, cheap, and eco-sustainable catalyzed synthesis of polysubstituted 1,2,3-triazoles in the most recent years. Of course, we are hopeful that our contribution will facilitate future synthetic chemistry research and will provide many challenges for future works, such as, for example, the development of novel and innovative metal- or metal-free catalysts to produce stereoselectively triazole derivatives as key substrates in many research fields.

Author Contributions

Conceptualization, A.D.N., L.M., and P.C.; methodology, V.A., F.O., and M.A.T.; data curation, V.A., F.O., M.A.T., A.J., and P.C.; writing—original draft preparation, A.D.N., L.M., P.C., V.A., F.O., M.A.T., and A.J.; writing—review and editing, A.D.N., L.M., and P.C.; supervision, A.D.N. and L.M. All authors have read and agreed to the published version of the manuscript.

Funding

This research received no external funding.

Institutional Review Board Statement

Not applicable.

Informed Consent Statement

Not applicable.

Data Availability Statement

Date is contained within the article.

Acknowledgments

We thank the University of Calabria and Calabria Region (PAC CALABRIA 2014–2020—Asse Prioritario 12, Azione B 10.5.12 CUP: H28D19000040006) and the Italian Ministry of University and Research (MUR) for a doctoral grant and the project SI.F.I.PA.CRO.DE (PON ARS01_00568, CONCESSIONE RNA-COR: 4646672 CUP: B29C20000360005) for financial support.

Conflicts of Interest

The authors declare no conflict of interest.

References

  1. Dheer, D.; Singh, V.; Shankar, R. Medicinal Attributes of 1,2,3-Triazoles: Current Developments. Bioorg. Chem. 2017, 71, 30–54. [Google Scholar] [CrossRef] [PubMed]
  2. Aggarwal, R.; Sumran, G. An Insight on Medicinal Attributes of 1,2,4-Triazoles. Eur. J. Med. Chem. 2020, 205, 112652. [Google Scholar] [CrossRef] [PubMed]
  3. Toda, M.; Beer, K.D.; Kuivila, K.M.; Chiller, T.M.; Jackson, B.R. Trends in Agricultural Triazole Fungicide Use in the United States, 1992–2016 and Possible Implications for Antifungal-Resistant Fungi in Human Disease. Environ. Health Perspect. 2021, 129, 1–12. [Google Scholar] [CrossRef] [PubMed]
  4. Breugst, M.; Reissig, H. The Huisgen Reaction : Milestones of the 1, 3-Dipolar Cycloaddition. Angew. Chem. Int. Ed. 2020, 115, 12293–12307. [Google Scholar] [CrossRef] [PubMed] [Green Version]
  5. Rostovtsev, V.V.; Green, L.G.; Fokin, V.V.; Sharpless, K.B. A Stepwise Huisgen Cycloaddition Process: Copper(I)-Catalyzed Regioselective “Ligation” of Azides and Terminal Alkynes. Angew. Chem. Int. Ed. 2002, 41, 2596–2599. [Google Scholar] [CrossRef]
  6. Johansson, J.R.; Beke-Somfai, T.; Said Stålsmeden, A.; Kann, N. Ruthenium-Catalyzed Azide Alkyne Cycloaddition Reaction: Scope, Mechanism, and Applications. Chem. Rev. 2016, 116, 14726–14768. [Google Scholar] [CrossRef] [PubMed] [Green Version]
  7. Maiuolo, L.; Algieri, V.; Olivito, F.; De Nino, A. Recent Developments on 1,3-Dipolar Cycloaddition Reactions by Catalysis in Green Solvents. Catalysts 2020, 10, 65. [Google Scholar] [CrossRef] [Green Version]
  8. Maiuolo, L.; Algieri, V.; Olivito, F.; Tallarida, M.A.; Costanzo, P.; Jiritano, A.; De Nino, A. Chronicle of Nanocelluloses (NCs) for Catalytic Applications: Key Advances. Catalysts 2021, 11, 96. [Google Scholar] [CrossRef]
  9. Chetia, M.; Ali, A.A.; Bordoloi, A.; Sarma, D. Facile route for the regioselective synthesis of 1,4-disubstituted 1,2,3-triazole using copper nanoparticles supported on nanocellulose as recyclable heterogeneous catalyst. J. Chem. Sci. 2017, 129, 1211–1217. [Google Scholar] [CrossRef] [Green Version]
  10. Huisgen, R. 1,3-Dipolar Cycloadditions. Past and Future. Angew. Chem. Int. Ed. Engl. 1963, 2, 565–598. [Google Scholar] [CrossRef]
  11. Maiuolo, L.; Feriotto, G.; Algieri, V.; Nardi, M.; Russo, B.; Di Gioia, M.L.; Furia, E.; Tallarida, M.A.; Mischiati, C.; De Nino, A. Antiproliferative activity of novel isatinyl/indanyl nitrones (INs) as potential spin trapping agents of free radical intermediates. Medchemcomm 2018, 9, 299–304. [Google Scholar] [CrossRef]
  12. Merino, P.; Maiuolo, L.; Delso, I.; Algieri, V.; De Nino, A.; Tejero, T. Chemical approaches to inhibitors of isoprenoid biosynthesis: Targeting farnesyl and geranylgeranyl pyrophosphate synthases. RSC Adv. 2017, 7, 10947–10967. [Google Scholar] [CrossRef] [Green Version]
  13. Maiuolo, L.; De Nino, A.; Algieri, V.; Nardi, M. Microwave-Assisted 1,3-Dipolar Cyclo-addition: Recent Advances in Synthesis of Isoxazolidines. Mini Rev. Org. Chem. 2017, 14, 2. [Google Scholar] [CrossRef] [Green Version]
  14. Maiuolo, L.; Merino, P.; Algieri, V.; Nardi, M.; Di Gioia, M.L.; Russo, B.; Delso, I.; Tallarida, M.A.; De Nino, A. Nitrones and nucleobase-containing spiro-isoxazolidines derived from isatin and indanone: Solvent-free microwave-assisted stereoselective synthesis and theoretical calculations. RSC Adv. 2017, 7, 48980–48988. [Google Scholar] [CrossRef] [Green Version]
  15. Martina, K.; Tagliapietra, S.; Veselov, V.V.; Cravotto, G. Green protocols in heterocycle syntheses via 1,3-dipolar cycloadditions. Front. Chem. 2019, 7, 1–21. [Google Scholar] [CrossRef] [PubMed]
  16. Calandra, P.; Szerb, E.I.; Lombardo, D.; Algieri, V.; De Nino, A.; Maiuolo, L. A Presentation of Ionic Liquids as Lubricants: Some Critical Comments. Appl. Sci. 2021, 11, 5677. [Google Scholar] [CrossRef]
  17. Kumar, S.; Sharma, B.; Mehra, V.; Kumar, V. Recent accomplishments on the synthetic/biological facets of pharmacologically active 1H-1,2,3-triazoles. Eur. J. Med. Chem. 2021, 212, 113069. [Google Scholar] [CrossRef] [PubMed]
  18. Lal, K.; Yadav, P. Recent Advancements in 1,4-Disubstituted 1H-1,2,3-Triazoles as Potential Anticancer Agents. Anticancer Agents Med. Chem. 2018, 18, 21–37. [Google Scholar] [CrossRef] [PubMed]
  19. Xu, Z.; Zhao, S.J.; Liu, Y. 1,2,3-Triazole-containing hybrids as potential anticancer agents: Current developments, action mechanisms and structure-activity relationships. Eur. J. Med. Chem. 2019, 183, 111700. [Google Scholar] [CrossRef] [PubMed]
  20. Kaushik, C.P.; Kumar, K.; Singh, S.K.; Singh, D.; Saini, S. Synthesis and antimicrobial evaluation of 1,4-disubstituted 1,2,3-triazoles with aromatic ester functionality. Arab. J. Chem. 2016, 9, 865–871. [Google Scholar] [CrossRef] [Green Version]
  21. Kella, C.R.; Balachandran, C.; Arun, Y.; Kaliyappan, E.; Mahalingam, S.M.; Ignacimuthu, S.; Arumugam, N.; Almansour, A.I.; Kumar, R.S.; Perumal, P.T. A novel class of 1,4-disubstituted 1,2,3-triazoles: Regioselective synthesis, antimicrobial activity and molecular docking studies. Arab. J. Chem. 2020, 13, 9047–9057. [Google Scholar] [CrossRef]
  22. Jiang, X.; Wu, G.; Zalloum, W.A.; Meuser, M.E.; Dick, A.; Sun, L.; Chen, C.H.; Kang, D.; Jing, L.; Jia, R.; et al. Discovery of novel 1,4-disubstituted 1,2,3-triazole phenylalanine derivatives as HIV-1 capsid inhibitors. RSC Adv. 2019, 9, 28961–28986. [Google Scholar] [CrossRef] [PubMed] [Green Version]
  23. Chouaïb, K.; Delemasure, S.; Dutartre, P.; Jannet, H.B. Microwave-assisted synthesis, anti-inflammatory and anti-proliferative activities of new maslinic acid derivatives bearing 1,5- and 1,4-disubstituted triazoles. J. Enzyme Inhib. Med. Chem. 2016, 31, 130–147. [Google Scholar] [CrossRef]
  24. Cheng, C.Y.; Haque, A.; Hsieh, M.F.; Imran Hassan, S.; Faizi, M.S.H.; Dege, N.; Khan, M.S. 1,4-Disubstituted 1H-1,2,3-Triazoles for Renal Diseases: Studies of Viability, Anti-Inflammatory, and Antioxidant Activities. Int. J. Mol. Sci. 2020, 21, 3823. [Google Scholar] [CrossRef]
  25. Rečnik, L.-M.; Kandioller, W.; Mindt, T.L. 1,4-Disubstituted 1,2,3-Triazoles as Amide Bond Surrogates for the Stabilisation of Linear Peptides with Biological Activity. Molecules 2020, 25, 3576. [Google Scholar] [CrossRef]
  26. Schröder, D.C.; Kracker, O.; Fröhr, T.; Góra, J.; Jewginski, M.; Nieß, A.; Antes, I.; Latajka, R.; Marion, A.; Sewald, N. 1,4-Disubstituted 1H-1,2,3-Triazole Containing Peptidotriazolamers: A New Class of Peptidomimetics With Interesting Foldamer Properties. Front Chem. 2019, 7, 155. [Google Scholar] [CrossRef] [PubMed]
  27. Massarotti, A.; Aprile, S.; Mercalli, V.; Del Grosso, E.; Grosa, G.; Sorba, G.; Tron, G.C. Are 1,4- and 1,5-disubstituted 1,2,3-triazoles good pharmacophoric groups? ChemMedChem 2014, 9, 2497–2508. [Google Scholar] [CrossRef] [PubMed]
  28. Tornøe, C.W.; Christensen, C.; Meldal, M. Peptidotriazoles on Solid Phase: [1,2,3]-Triazoles by Regiospecific Copper(I)-Catalyzed 1,3-Dipolar Cycloadditions of Terminal Alkynes to Azides. J. Org. Chem. 2002, 67, 3057–3064. [Google Scholar] [CrossRef]
  29. Nemallapudi, B.R.; Guda, D.R.; Ummadi, N.; Avula, B.; Zyryanov, G.V.; Cirandur, S.R.; Gundala, S. New Methods for Synthesis of 1,2,3-Triazoles: A Review. Polycycl. Aromat. Comp. 2020, 18, 338. [Google Scholar] [CrossRef]
  30. Neto, J.S.S.; Zeni, G. A decade of advances in the reaction of nitrogen sources and alkynes for the synthesis of triazoles. Coord. Chem. Rev. 2020, 409, 213217. [Google Scholar] [CrossRef]
  31. Saini, P.; Sonika, S.; Singh, G.; Kaur, G.; Singh, J.; Singh, H. Robust and Versatile Cu(I) metal frameworks as potential catalysts for azide-alkyne cycloaddition reactions: Review. Mol. Catal. 2021, 504, 111432. [Google Scholar] [CrossRef]
  32. Sultana, J.; Sarma, D. Ag-catalyzed azide-alkyne cycloaddition: Copper free approaches for synthesis of 1,4-disubstituted 1,2,3-triazoles. Catal. Rev. 2020, 62, 96–117. [Google Scholar] [CrossRef]
  33. Wang, S.; Yang, L.-J.; Zeng, J.-L.; Zheng, Y.; Ma, J.-A. Silvercatalyze [3+2] cycloaddition of isocyanides with diazo compounds: New regioselective access to 1,4-disubstituted-1,2,3-triazoles. Org. Chem. Front. 2015, 2, 1468–1474. [Google Scholar] [CrossRef]
  34. Jia, F.; Zhang, B. Mechanistic insight into the silver-catalyzed cycloaddition synthesis of 1,4-disubstituted-1,2,3-triazoles: The key role of silver. New J. Chem. 2019, 43, 8634–8643. [Google Scholar] [CrossRef]
  35. Meng, X.; Xu, X.; Gao, T.; Chen, B. Zn/C-Catalyzed Cycloaddition of Azides and Aryl Alkynes. Eur. J. Org. Chem. 2010, 16, 5409. [Google Scholar] [CrossRef]
  36. Morozova, M.A.; Yusubov, M.S.; Kratochvil, B.; Eigner, V.; Bondarev, A.A.; Yoshimura, A.; Saito, A.; Zhdankin, V.V.; Trusova, M.E.; Postnikov, P.S. Regioselective Zn(OAc) 2-catalyzed Azide–Alkyne Cycloaddition in Water: The Green Click-chemistry. Org. Chem. Front. 2017, 4, 978–985. [Google Scholar] [CrossRef] [Green Version]
  37. Sharma, R.K.; Mishra, M.; Sharma, S.; Dutta, S. Zinc(II) complex immobilized on amine functionalized silica gel: A novel, highly efficient and recyclable catalyst for multicomponent click synthesis of 1,4-disubstituted 1,2,3-triazoles. J. Coord. Chem. 2016, 69, 1152–1165. [Google Scholar] [CrossRef]
  38. Oliverio, M.; Costanzo, P.; Macario, A.; De Luca, G.; Nardi, M.; Procopio, A. An erbium-based bifuctional heterogeneous catalyst: A cooperative route towards C-C bond formation. Molecules 2014, 19, 10218–10229. [Google Scholar] [CrossRef] [PubMed] [Green Version]
  39. Mehta, D.; Mazumdar, S.; Singh, S.K. Magnetic adsorbents for the treatment of water/wastewater—A review. J. Water Process Eng. 2015, 7, 244–265. [Google Scholar] [CrossRef]
  40. De Nino, A.; Tallarida, M.A.; Algieri, V.; Olivito, F.; Costanzo, P.; De Filpo, G.; Maiuolo, L. Sulfonated cellulose-based magnetic composite as useful media for water remediation from amine pollutants. Appl. Sci. 2020, 10, 8155. [Google Scholar] [CrossRef]
  41. Daraie, M.; Heravi, M.M.; Sarmasti, N. Synthesis of polymer-supported Zn(II) as a novel and green nanocatalyst for promoting click reactions and using design of experiment for optimization of reaction conditions. J. Macromol. Sci. Part A 2020, 57, 488–498. [Google Scholar] [CrossRef]
  42. Mondal, P.; Ghosh, S.; Das, S.K.; Bhaumik, A.; Das, D.; Islam, S.M. Use of an efficient polystyrene-supported cerium catalyst for one-pot multicomponent synthesis of spiro-piperidine derivatives and click reactions in green solvent. Appl Organometal Chem. 2018, 32, e4227. [Google Scholar] [CrossRef]
  43. Sharma, P.; Rathod, J.; Singh, A.P.; Kumar, P.; Sasson, Y. Synthesis of heterogeneous Ru(II)-1,2,3-triazole catalyst supported over SBA-15: Application to the hydrogen transfer reaction and unusual highly selective 1,4-disubstituted triazole formation via multicomponent click reaction. Catal. Sci. Technol. 2018, 8, 3246–3259. [Google Scholar] [CrossRef]
  44. Arafa, W.A.A.; Nayl, A.A. Water as a solvent for Ru-catalyzed click reaction: Highly efficient recyclable catalytic system for triazolocoumarins synthesis. Appl Organometal Chem. 2019, 33, e5156. [Google Scholar] [CrossRef]
  45. Wu, Z.-G.; Liao, X.-J.; Yuan, L.; Wang, L.; Zheng, Y.-X.; Zuo, J.-L.; Pan, Y. Visible-Light-Mediated Click Chemistry for Highly Regioselective Azide–Alkyne Cycloaddition by a Photoredox Electron-Transfer Strategy. Chem. Eur. J. 2020, 26, 5694–5700. [Google Scholar] [CrossRef]
  46. Alcaide, B.; Almendros, P.; Lazaro-Milla, C. Metal-free [3+2] cycloaddition of azides with Tf2C=CH2 for the regioselective preparation of elusive 4-(trifluoromethylsulfonyl)-1,2,3-triazoles. Chem. Commun. 2015, 51, 6992–6995. [Google Scholar] [CrossRef] [Green Version]
  47. Singh, H.; Khanna, G.; Nand, B.; Khurana, M.J. Metal-free synthesis of 1,2,3-triazoles by azide–aldehyde cycloaddition under ultrasonic irradiation in TSIL [DBU-Bu]OH and in hydrated IL Bu4NOH under heating. Monatsh. Chem. 2016, 147, 1215–1219. [Google Scholar] [CrossRef]
  48. Das, J.; Dey, S.; Pathak, T. Metal-Free Route to Carboxylated 1,4-Disubstituted 1,2,3-Triazoles from Methoxycarbonyl-Modified Vinyl Sulfone. J. Org. Chem. 2019, 84, 15437–15447. [Google Scholar] [CrossRef]
  49. Sebest, F.; Haselgrove, S.; White, A.J.P.; Diez-Gonzales, S. Metal-free 1,2,3-triazole synthesis in deep eutectic solvents. Synlett 2020, 31, 605–609. [Google Scholar] [CrossRef]
  50. Di Gioia, M.L.; Cassano, R.; Costanzo, P.; Cano, N.H.; Maiuolo, L.; Nardi, M.; Nicoletta, F.P.; Oliverio, M.; Procopio, A. Green synthesis of privileged benzimidazole scaffolds using active deep eutectic solvent. Molecules 2019, 24, 2885. [Google Scholar] [CrossRef] [Green Version]
  51. Bonacci, S.; Di Gioia, M.L.; Costanzo, P.; Maiuolo, L.; Tallarico, S.; Nardi, M. Natural deep eutectic solvent as extraction media for the main phenolic compounds from olive oil processing wastes. Antioxidants 2020, 9, 513. [Google Scholar] [CrossRef] [PubMed]
  52. Wan, J.-P.; Cao, S.; Liu, Y. Base-Promoted Synthesis of N-Substituted 1,2,3-Triazoles via Enaminone−Azide Cycloaddition Involving Regitz Diazo Transfer. Org. Lett. 2016, 18, 6034–6037. [Google Scholar] [CrossRef]
  53. Cao, S.; Liu, Y.; Hu, C.; Wen, C.; Wan, J.-P. Alkyl Propiolates Participated [3+2] Annulation for the Switchable Synthesis of 1,5- and 1,4-Disubstituted 1,2,3-Triazoles Containing Ester Side Chain. ChemCatChem 2018, 10, 5007–5011. [Google Scholar] [CrossRef]
  54. Zhang, D.; Fan, Y.; Yan, Z.; Nie, Y.; Xiong, X.; Gao, L. Reactions of α-haloacroleins with azides: Highly regioselective synthesis of formyl triazoles. Green Chem. 2019, 21, 4211. [Google Scholar] [CrossRef]
  55. Cai, Z.-J.; Lu, X.-M.; Zi, Y.; Yang, C.; Shen, L.-J.; Li, J.; Wang, S.-Y.; Ji, S.-J. I2/TBPB Mediated Oxidative Reaction of N-Tosylhydrazones with Anilines: Practical Construction of 1,4-Disubstituted 1,2,3-Triazoles under Metal-Free and Azide-Free Conditions. Org. Lett. 2014, 16, 5108–5111. [Google Scholar] [CrossRef]
  56. Bai, H.-W.; Cai, Z.-J.; Wang, S.-Y.; Ji, S.-J. Aerobic Oxidative Cycloaddition of α-Chlorotosylhydrazones with Arylamines: General Chemoselective Construction of 1,4-Disubstituted and 1,5-Disubstituted 1,2,3-Triazoles under Metal-Free and Azide-Free Conditions. Org. Lett. 2015, 17, 2898–2901. [Google Scholar] [CrossRef]
  57. Mani, G.S.; Donthiboina, K.; Shaik, S.P.; Shankaraiah, N.; Kamal, A. Iodine-mediated C–N and N–N bond formation: A facile one-pot synthetic approach to 1,2,3-triazoles under metal-free and azide-free conditions. RSC Adv. 2019, 9, 27021–27031. [Google Scholar] [CrossRef] [Green Version]
  58. Ahmed, M.; Razaq, H.; Faisal, M.; Siyal, A.N.; Haider, A. Metal Free and Azide Free Synthesis of 1,2,3- Triazoles Derivatives. Synth. Commun. 2017, 47, 1193–1200. [Google Scholar] [CrossRef]
  59. Zhou, Q.; Fu, Z.; Yu, L.; Wang, J. Transition-Metal-Free [4+1] Cycloaddition for the Synthesis of 1,2,3-Triazole from α,α-Difluoro-N-Tosylhydrazone and Amine through C-F Bond Cleavage. Asian J. Org. Chem. 2019, 8, 646–649. [Google Scholar] [CrossRef]
  60. Zehnder, L.R.; Hawkins, J.M.; Sutton, S.C. One-Pot, Metal- and Azide-Free Synthesis of 1,2,3-Triazoles from α-Ketoacetals and Amines. Synlett 2019, 30, 175–178. [Google Scholar] [CrossRef]
  61. Pedersen, D.S.; Abell, A. 1,2,3-Triazoles in Peptidomimetic Chemistry. European J. Org. Chem. 2011, 11, 2399–2411. [Google Scholar] [CrossRef]
  62. White, C.J.; Yudin, A.K. Contemporary Strategies for Peptide Macrocyclization. Nat. Chem. 2011, 3, 509–524. [Google Scholar] [CrossRef] [PubMed]
  63. Oppilliart, S.; Mousseau, G.; Zhang, L.; Jia, G.; Thuéry, P.; Rousseau, B.; Cintrat, J.C. 1-Protected 5-Amido 1,2,3-Triazoles via Ruthenium-Catalyzed [3+2] Cycloaddition of Azides and Ynamides. Tetrahedron 2007, 63, 8094–8098. [Google Scholar] [CrossRef]
  64. Crich, D.; Yang, F. Phenylthiomethyl Glycosides: Convenient Synthons for the Formation of Azidomethyl and Glycosylmethyl Glycosides and Their Derivatives. Angew. Chem. Int. Ed. 2009, 48, 8896–8899. [Google Scholar] [CrossRef]
  65. Mohammed, I.; Kummetha, I.R.; Singh, G.; Sharova, N.; Lichinchi, G.; Dang, J.; Stevenson, M.; Rana, T.M. 1,2,3-Triazoles as Amide Bioisosteres: Discovery of a New Class of Potent HIV-1 Vif Antagonists. J. Med. Chem. 2016, 59, 7677–7682. [Google Scholar] [CrossRef] [Green Version]
  66. Sirivolu, V.R.; Vernekar, S.K.V.; Ilina, T.; Myshakina, N.S.; Parniak, M.A.; Wang, Z. Clicking 3′-Azidothymidine into Novel Potent Inhibitors of Human Immunodeficiency Virus. J. Med. Chem. 2013, 56, 8765–8780. [Google Scholar] [CrossRef] [PubMed] [Green Version]
  67. Hansen, M.R.; Jakobsen, T.H.; Bang, C.G.; Cohrt, A.E.; Hansen, C.L.; Clausen, J.W.; Le Quement, S.T.; Tolker-Nielsen, T.; Givskov, M.; Nielsen, T.E. Triazole-Containing N-Acyl Homoserine Lactones Targeting the Quorum Sensing System in Pseudomonas Aeruginosa. Bioorgan. Med. Chem. 2015, 23, 1638–1650. [Google Scholar] [CrossRef] [PubMed]
  68. Pore, V.S.; Jagtap, M.A.; Agalave, S.G.; Pandey, A.K.; Siddiqi, M.I.; Kumar, V.; Shukla, P.K. Synthesis and Antifungal Activity of 1,5-Disubstituted-1,2,3-Triazole Containing Fluconazole Analogues. Medchemcomm 2012, 3, 484–488. [Google Scholar] [CrossRef]
  69. Boren, B.C.; Narayan, S.; Rasmussen, L.K.; Zhang, L.; Zhao, H.; Lin, Z.; Jia, G.; Fokin, V.V. Ruthenium-catalyzed azide-alkyne cycloaddition: Scope and mechanism. J. Am. Chem. Soc. 2008, 130, 8923–8930. [Google Scholar] [CrossRef]
  70. Vernekar, S.K.V.; Qiu, L.; Zhang, J.; Kankanala, J.; Li, H.; Geraghty, R.J.; Wang, Z. 5′-silylated 3′-1,2,3-triazolyl thymidine analogues as inhibitors of West Nile Virus and Dengue virus. J. Med. Chem. 2015, 58, 4016–4028. [Google Scholar] [CrossRef] [Green Version]
  71. Hornum, M.; Djukina, A.; Sassnau, A.K.; Nielsen, P. Synthesis of new C-5-triazolyl-functionalized thymidine analogs and their ability to engage in aromatic stacking in DNA:DNA and DNA:RNA duplexes. Org. Biomol. Chem. 2016, 14, 4436–4447. [Google Scholar] [CrossRef] [Green Version]
  72. Kocsis, L.; Szabó, I.; Bosze, S.; Jernei, T.; Hudecz, F.; Csámpai, A. Synthesis, structure and in vitro cytostatic activity of ferrocene—Cinchona hybrids. Bioorgan. Med. Chem. Lett. 2016, 26, 946–949. [Google Scholar] [CrossRef] [PubMed] [Green Version]
  73. Jernei, T.; Durò, C.; Dembo, A.; Lajkò, E.; Takacs, A.; Kohidai, L.; Schlosser, G.; Csàmpai, A. Synthesis, Structure and In Vitro Cytotoxic Activity of Novel Cinchona—Chalcone Hybrids With 1,4-Disubstituted-and 1,5-Disubstituted 1,2,3-Triazole Linkers. Molecules 2019, 24, 4077. [Google Scholar] [CrossRef] [Green Version]
  74. De Andrade, P.; Galo, O.A.; Carvalho, M.R.; Lopes, C.D.; Carneiro, Z.A.; Sesti-Costa, R.; De Melo, E.B.; Silva, J.S.; Carvalho, I. 1,2,3-Triazole-based analogue of benznidazole displays remarkable activity against Trypanosoma cruzi. Bioorgan. Med. Chem. 2015, 23, 6815–6826. [Google Scholar] [CrossRef]
  75. Toguchi, S.; Hirose, T.; Yorita, K.; Fukui, K.; Sharpless, K.B.; Omura, S.; Sunazuka, T. In situ click chemistry for the identification of a potent D-amino acid oxidase inhibitor. Chem. Pharm. Bull. 2016, 64, 695–703. [Google Scholar] [CrossRef] [Green Version]
  76. Cao, G.; Yang, K.; Li, Y.; Huang, L.; Teng, D. Synthetic strategy and anti-tumor activities of macrocyclic scaffolds based on 4-hydroxyproline. Molecules 2016, 21, 212. [Google Scholar] [CrossRef] [PubMed] [Green Version]
  77. Baltus, C.B.; Jorda, R.; Marot, C.; Berka, K.; Bazgier, V.; Kryštof, V.; Prié, G.; Viaud-Massuard, M.C. Synthesis, biological evaluation and molecular modeling of a novel series of 7-azaindole based tri-heterocyclic compounds as potent CDK2/Cyclin E inhibitors. Eur. J. Med. Chem. 2016, 108, 701–719. [Google Scholar] [CrossRef]
  78. Bahia, S.B.B.B.; Reis, W.J.; Jardim, G.A.M.; Souto, F.T.; De Simone, C.A.; Gatto, C.C.; Menna-Barreto, R.F.S.; De Castro, S.L.; Cavalcanti, B.C.; Pessoa, C.; et al. Molecular hybridization as a powerful tool towards multitarget quinoidal systems: Synthesis, trypanocidal and antitumor activities of naphthoquinone-based 5-iodo-1,4-disubstituted-, 1,4- and 1,5-disubstituted-1,2,3-triazoles. Medchemcomm 2016, 7, 1555–1563. [Google Scholar] [CrossRef]
  79. Chouaïb, K.; Romdhane, A.; Delemasure, S.; Dutartre, P.; Elie, N.; Touboul, D.; Ben Jannet, H. Regiospecific synthesis by copper- and ruthenium-catalyzed azide–alkyne 1,3-dipolar cycloaddition, anticancer and anti-inflammatory activities of oleanolic acid triazole derivatives. Arab. J. Chem. 2019, 12, 3732–3742. [Google Scholar] [CrossRef] [Green Version]
  80. Kracker, O.; Góra, J.; Krzciuk-Gula, J.; Marion, A.; Neumann, B.; Stammler, H.G.; Nieß, A.; Antes, I.; Latajka, R.; Sewald, N. 1,5-Disubstituted 1,2,3-Triazole-Containing Peptidotriazolamers: Design Principles for a Class of Versatile Peptidomimetics. Chem. A Eur. J. 2018, 24, 953–961. [Google Scholar] [CrossRef] [PubMed]
  81. Stålsmeden, S.A.; Paterson, A.J.; Szigyártó, I.C.; Thunberg, L.; Johansson, J.R.; Beke-Somfai, T.; Kann, N. Chiral 1,5-disubstituted 1,2,3-triazoles-versatile tools for foldamers and peptidomimetic applications. Org. Biomol. Chem. 2020, 18, 1957–1967. [Google Scholar] [CrossRef] [PubMed] [Green Version]
  82. Grob, N.M.; Schibli, R.; Béhé, M.; Valverde, I.E.; Mindt, T.L. 1,5-Disubstituted 1,2,3-Triazoles as Amide Bond Isosteres Yield Novel Tumor-Targeting Minigastrin Analogs. ACS Med. Chem. Lett. 2021, 12, 585. [Google Scholar] [CrossRef] [PubMed]
  83. Tala, S.R.; Singh, A.; Lensing, C.J.; Schnell, S.M.; Freeman, K.T.; Rocca, J.R.; Haskell-Luevano, C. 1,2,3-Triazole Rings as a Disulfide Bond Mimetic in Chimeric AGRP-Melanocortin Peptides: Design, Synthesis, and Functional Characterization. ACS Chem. Neurosci. 2018, 9, 1001–1013. [Google Scholar] [CrossRef] [PubMed]
  84. Knuhtsen, A.; Whitmore, C.; McWhinnie, F.S.; McDougall, L.; Whiting, R.; Smith, B.O.; Timperley, C.M.; Green, A.C.; Kinnear, K.I.; Jamieson, A.G. α-Conotoxin GI triazole-peptidomimetics: Potent and stable blockers of a human acetylcholine receptor. Chem. Sci. 2019, 10, 1671–1676. [Google Scholar] [CrossRef] [Green Version]
  85. White, A.M.; de Veer, S.J.; Wu, G.; Harvey, P.J.; Yap, K.; King, G.J.; Swedberg, J.E.; Wang, C.K.; Law, R.H.P.; Durek, T.; et al. Application and Structural Analysis of Triazole-Bridged Disulfide Mimetics in Cyclic Peptides. Angew. Chem. Int. Ed. 2020, 59, 11273–11277. [Google Scholar] [CrossRef]
  86. Tomassi, S.; Trotta, A.M.; Ieranò, C.; Merlino, F.; Messere, A.; Rea, G.; Santoro, F.; Brancaccio, D.; Carotenuto, A.; D’Amore, V.M.; et al. Disulfide Bond Replacement with 1,4- and 1,5-Disubstituted [1,2,3]-Triazole on C-X-C Chemokine Receptor Type 4 (CXCR4) Peptide Ligands: Small Changes that Make Big Differences. Chem. A Eur. J. 2020, 26, 10113–10125. [Google Scholar] [CrossRef]
  87. Chen, M.; Li, L.; Nie, H.; Shi, Y.; Mei, J.; Wang, J.; Sun, J.Z.; Qin, A.; Tang, B.Z. N-type pyrazine and triazole-based luminogens with aggregation-enhanced emission characteristics. Chem. Commun. 2015, 51, 10710–10713. [Google Scholar] [CrossRef]
  88. Anand, A.; Kulkarni, M.V. Click chemistry approach for the regioselective synthesis of iso-indoline-1,3-dione-linked 1,4 and 1,5 coumarinyl 1,2,3-triazoles and their photophysical properties. Synth. Commun. 2017, 47, 722–733. [Google Scholar] [CrossRef]
  89. Mekni, N.H. Cu+-catalyzed 1,3-Dipolar Intramolecular Click Opposite Cross Cyclization Reaction of Polyoxyethylene Bis(azido-terminal alkynes): Synthesis of New 1,2,3-Triazolo-crown Ethers. J. Heterocycl. Chem. 2017, 54, 2664–2669. [Google Scholar] [CrossRef]
  90. Kumar, N.; Ansari, M.Y.; Kant, R.; Kumar, A. Copper-catalyzed decarboxylative regioselective synthesis of 1,5-disubstituted 1,2,3-triazoles. Chem. Commun. 2018, 54, 2627–2630. [Google Scholar] [CrossRef]
  91. Kim, W.G.; Kang, M.E.; Lee, J.B.; Jeon, M.H.; Lee, S.; Lee, J.; Choi, B.; Cal, P.M.S.D.; Kang, S.; Kee, J.M.; et al. Nickel-Catalyzed Azide-Alkyne Cycloaddition to Access 1,5-Disubstituted 1,2,3-Triazoles in Air and Water. J. Am. Chem. Soc. 2017, 139, 12121–12124. [Google Scholar] [CrossRef]
  92. Nanjundaswamy, H.M.; Abrahamse, H. Regioselective Synthesis of 1,5-Disubstituted 1,2,3-Triazoles by Reusable AlCl3 Immobilized on γ-Al2O3. Synth. Commun. 2015, 45, 967–974. [Google Scholar] [CrossRef]
  93. Mahadari, M.K.; Tague, A.J.; Keller, P.A.; Pyne, S.G. Synthesis of sterically congested 1,5-disubstituted-1,2,3-Triazoles using chloromagnesium acetylides and hindered 1-naphthyl azides. Tetrahedron 2021, 81, 131916. [Google Scholar] [CrossRef]
  94. De Nino, A.; Merino, P.; Algieri, V.; Nardi, M.; Di Gioia, M.L.; Russo, B.; Tallarida, M.A.; Maiuolo, L. Synthesis of 1,5-functionalized 1,2,3-triazoles using ionic liquid/iron(III) chloride as an efficient and reusable homogeneous catalyst. Catalysts 2018, 8, 364. [Google Scholar] [CrossRef]
  95. De Nino, A.; Maiuolo, L.; Merino, P.; Nardi, M.; Procopio, A.; Roca-Lõpez, D.; Russo, B.; Algieri, V. Efficient organocatalyst supported on a simple ionic liquid as a recoverable system for the asymmetric diels-alder reaction in the presence of water. ChemCatChem 2015, 7, 830–835. [Google Scholar] [CrossRef]
  96. Algieri, V.; Algieri, C.; Maiuolo, L.; De Nino, A.; Pagliarani, A.; Tallarida, M.A.; Trombetti, F.; Nesci, S. 1,5-Disubstituted-1,2,3-triazoles as inhibitors of the mitochondrial Ca2+-activated F1FO-ATP(hydrol)ase and the permeability transition pore. Ann. N. Y. Acad. Sci. 2020, 7, 1–13. [Google Scholar] [CrossRef]
  97. Maiuolo, L.; Russo, B.; Algieri, V.; Nardi, M.; Di Gioia, M.L.; Tallarida, M.A.; De Nino, A. Regioselective synthesis of 1,5-disubstituted 1,2,3-triazoles by 1,3-dipolar cycloaddition: Role of Er(OTf) 3, ionic liquid and water. Tetrahedron Lett. 2019, 60, 672–674. [Google Scholar] [CrossRef]
  98. Kayet, A.; Dey, S.; Pathak, T. A metal free aqueous route to 1,5-disubstituted 1,2,3-triazolylated monofuranosides and di-furanosides. Tetrahedron Lett. 2015, 56, 5521–5524. [Google Scholar] [CrossRef]
  99. Kayet, A.; Datta, D.; Das, A.; Dasgupta, S.; Pathak, T. 1,5-Disubstituted 1,2,3-triazole linked disaccharides: Metal-free syntheses and screening of a new class of ribonuclease A inhibitors. Bioorgan. Med. Chem. 2018, 26, 455–462. [Google Scholar] [CrossRef]
  100. González-Calderón, D.; Mejía-Dionicio, M.G.; Morales-Reza, M.A.; Ramírez-Villalva, A.; Morales-Rodríguez, M.; Jau-regui-Rodríguez, B.; Díaz-Torres, E.; González-Romero, C.; Fuentes-Benítes, A. Azide-enolate 1,3-dipolar cycloaddition in the synthesis of novel triazole-based miconazole analogues as promising antifungal agents. Eur. J. Med. Chem. 2016, 112, 60–65. [Google Scholar] [CrossRef]
  101. Wan, J.-P.; Cao, S.; Liu, Y. A Metal- and Azide-Free Multicomponent Assembly toward Regioselective Construction of 1,5-Disubstituted 1,2,3-Triazoles. J. Org. Chem. 2015, 80, 9028–9033. [Google Scholar] [CrossRef]
  102. Thomas, J.; Jana, S.; John, J.; Liekens, S.; Dehaen, W. A general metal-free route towards the synthesis of 1,2,3-triazoles from readily available primary amines and ketones. Chem. Commun. 2016, 52, 2885–2888. [Google Scholar] [CrossRef] [PubMed]
  103. Kayet, A.; Pathak, T. metal-free route towards 1,5-disubstituted 1,2,3-triazolylmethylene linked disaccharides: Synthesis in a biodegradable hydroxylammonium-based aqueous ionic liquid media. Tetrahedron Lett. 2018, 59, 3341–3344. [Google Scholar] [CrossRef]
  104. Silveira-Dorta, G.; Jana, S.; Borkova, L.; Thomas, J.; Dehaen, W. Straightforward synthesis of enantiomerically pure 1,2,3-triazoles derived from amino esters. Org. Biomol. Chem. 2018, 16, 3168–3176. [Google Scholar] [CrossRef] [PubMed]
  105. Zhang, X.; Cui, X.; Wang, W.; Zeng, T.; Wang, Y.; Tan, Y.; Liu, D.; Wang, X.; Li, Y. Base-Promoted Regiospecific Synthesis of Fully Substituted 1,2,3-Triazoles and 1,5-Disubstituted 1,2,3-Triazoles. Asian J. Org. Chem. 2020, 9, 2176–2183. [Google Scholar] [CrossRef]
  106. Kiranmye, T.; Vadivelu, M.; Sampath, S.; Muthu, K.; Karthikeyan, K. Ultrasound-assisted catalyst free synthesis of 1,4-/1,5-disubstituted-1,2,3-triazoles in aqueous medium. Sustain. Chem. Pharm. 2021, 19, 100358. [Google Scholar] [CrossRef]
  107. Madadi, N.R.; Penthala, N.R.; Howk, K.; Ketkar, A.; Eoff, R.L.; Borrelli, M.J.; Crooks, P.A. Synthesis and biological evaluation of novel 4,5-disubstituted 2H-1,2,3-triazoles as cis-constrained analogues of combretastatin A-4. Eur. J. Med. Chem. 2015, 103, 123. [Google Scholar] [CrossRef] [Green Version]
  108. Chai, H.; Guo, R.; Yin, W.; Cheng, L.; Liu, R.; Chu, C. One-Pot, Three-Component Reaction Using Modified Julia Reagents: A Facile Synthesis of 4,5-Disubstituted 1,2,3-(NH)-Triazoles in a Wet Organic Solvent. ACS Comb. Sci. 2015, 17, 147–151. [Google Scholar] [CrossRef]
  109. Thomas, J.; Hana, S.; Liekens, S.; Dehaen, W. A single-step acid catalyzed reaction for rapid assembly of NH-1,2,3-triazoles. Chem. Commun. 2016, 52, 9236–9239. [Google Scholar] [CrossRef] [Green Version]
  110. Tang, J.-L.; Ming, L.; Zhao, X.-M. Highly Efficient Cycloaddition Reaction of 1,3-Diynes with Sodium Azide: A New Way to 5-Substituted-4-acetylene-1H-1,2,3-triazoles. J. Heterocycl. Chem. 2016, 53, 1367–1370. [Google Scholar] [CrossRef]
  111. Panda, S.; Maity, P.; Manna, D. Transition Metal, Azide, and Oxidant-Free Homo- and Heterocoupling of Ambiphilic Tosylhydrazones to the Regioselective Triazoles and Pyrazoles. Org. Lett. 2017, 19, 1534–1537. [Google Scholar] [CrossRef]
  112. Swarup, H.A.; Mantelingu, K.; Rangappa, K.S. Effective and Transition-Metal-Free Construction of Disubstituted, Trisubstituted 1,2,3-NH-Triazoles and Triazolo Pyridazine via Intermolecular 1,3-Dipolar Cycloaddition Reaction. ChemistrySelect 2018, 3, 703–708. [Google Scholar] [CrossRef]
  113. Wu, G.-L.; Wu, Q.-P. Metal-Free Multicomponent Reaction for Synthesis of 4,5-Disubstituted 1,2,3-(NH)-Triazoles. Adv. Synth. Catal. 2018, 360, 1949–1953. [Google Scholar] [CrossRef]
  114. Hui, R.; Zhao, M.; Chen, M.; Ren, Z.; Gua, Z. One-Pot Synthesis of 4-Aryl-NH-1,2,3-Triazoles through Three Component Reaction of Aldehydes, Nitroalkanes and NaN3. Chin. J. Chem. 2017, 35, 1808–1812. [Google Scholar] [CrossRef]
  115. Wu, L.; Wang, X.; Chen, Y.; Huang, Q.; Lin, Q.; Wu, M. 4-Aryl-NH-1,2,3-Triazoles via Multicomponent Reaction of Aldehydes, Nitroalkanes, and Sodium Azide. Synlett 2016, 27, 437–441. [Google Scholar] [CrossRef]
  116. Reddy, R.J.; Waheed, M.; Karthik, T.; Shankar, A. An efficient synthesis of 4,5-disubstituted-2H-1,2,3-triazoles from nitroallylic derivatives via a cycloaddition–denitration process. New J. Chem. 2018, 42, 980–987. [Google Scholar] [CrossRef]
  117. Rocha, D.H.A.; Pinto, D.C.G.A.; Silva, A.M.S. Synthesis of 4,5-disubstituted-1H-1,2,3-triazoles. Monatsh. Chem. 2019, 150, 1479–1486. [Google Scholar] [CrossRef]
  118. Wei, F.; Li, H.; Song, C.; Ma, Y.; Zhou, L.; Tung, C.H.; Xu, Z. Cu/Pd-Catalyzed, Three-Component Click Reaction of Azide, Alkyne, and Aryl Halide: One-Pot Strategy toward Trisubstituted Triazoles. Org. Lett. 2015, 17, 2860–2863. [Google Scholar] [CrossRef] [PubMed]
  119. Zhang, J.; Chen, W.; Wang, B.; Zhao, Z.; Wang, X.; Hu, Y. One-pot three-component synthesis of 1,4,5-trisubstituted 5-iodo-1,2,3-triazoles from 1-copper(I) alkyne, azide and molecular iodine. RSC Adv. 2015, 5, 14561–14566. [Google Scholar] [CrossRef]
  120. Yamada, M.; Matsumura, M.; Murata, Y.; Kawahata, M.; Saito, K.; Kakusawa, N.; Yamaguchi, K.; Yasuike, S. Synthesis of 5-organostibano-1H-1,2,3-triazoles by Cu-catalyzed azide-alkyne cycloaddition and their application in the acyl-induced deantimonation for the preparation of fully substituted 5-acyl-1,2,3-triazoles. Tetrahedron 2017, 73, 2614–2622. [Google Scholar] [CrossRef]
  121. Yamada, M.; Takahashi, T.; Hasegawa, M.; Matsumura, M.; Ono, K.; Fujimoto, R.; Kitamura, Y.; Murata, Y.; Kakusawa, N.; Tanaka, M.; et al. Synthesis, antitumor activity, and cytotoxicity of 4-substituted 1-benzyl-5-diphenylstibano-1H-1,2,3-triazoles. Bioorg. Med. Chem. Lett. 2018, 28, 152–154. [Google Scholar] [CrossRef] [PubMed]
  122. Amdouni, H.; Robert, G.; Driowya, M.; Furstoss, N.; Métier, C.; Dubois, A.; Dufies, M.; Zerhouni, M.; Orange, F.; Lacas-Gervais, S.; et al. In Vitro and in Vivo Evaluation of Fully Substituted (5-(3-Ethoxy-3-oxopropynyl)-4-(ethoxycarbonyl)-1,2,3-triazolyl-glycosides as Original Nucleoside Analogues to Circumvent Resistance in Myeloid Malignancies. J. Med. Chem. 2017, 60, 1523–1533. [Google Scholar] [CrossRef]
  123. Zhou, W.; Zhang, M.; Li, H.; Chen, W. One-Pot Three-Component Synthesis of Enamine-Functionalized 1,2,3-Triazoles via Cu-Catalytic Azide−Alkyne Click (CuAAC) and Cu Catalyzed Vinyl Nitrene Transfer Sequence. Org. Lett. 2017, 19, 10–13. [Google Scholar] [CrossRef] [PubMed]
  124. Wu, F.; Zhou, W.; Chen, K.; Chen, W.; Liu, M.; Wu, H. Copper Mediated Three-Component Reactions of Alkynes, Azides, and Propargylic Carbonates: Synthesis of 5-Allenyl-1,2,3-Triazoles. Adv. Synth. Catal. 2018, 360, 2435–2439. [Google Scholar] [CrossRef]
  125. Chang, C.W.; Lee, G.H. Synthesis of 1,4,5-trisubstituted triazoles by [3+2] cycloaddition of a ruthenium azido complex with ynoate esters. J. Organomet. Chem. 2019, 896, 146–153. [Google Scholar] [CrossRef]
  126. Gribanov, P.S.; Chesnokov, G.A.; Topchiy, M.A.; Asachenko, A.F.; Nechaev, M.S. A general method of Suzuki–Miyaura crosscoupling of 4- and 5-halo-1,2,3-triazoles in water. Org. Biomol. Chem. 2017, 15, 9575–9578. [Google Scholar] [CrossRef]
  127. Duan, X.; Huang, X.; Fu, C.; Ma, S. Palladium-Catalyzed Selective Three-Component Tandem Reaction to Bicyclic 1,2,3-Triazole Derivatives. Adv. Synth. Catal. 2020, 362, 627–647. [Google Scholar] [CrossRef]
  128. Olivito, F.; Costanzo, P.; Di Gioia, M.L.; Nardi, M.; Oliverio, M.; Procopio, A. E_cientsynthesis of organic thioacetates in water. Org. Biomol. Chem. 2018, 16, 7753–7759. [Google Scholar] [CrossRef]
  129. Olivito, F.; Amodio, N.; Di Gioia, M.L.; Nardi, M.; Oliverio, M.; Juli, G.; Tassone, P.; Procopio, A. Synthesis and preliminary evaluation of the anti-cancer activity on A549 lung cancer cells of a series of unsaturated disulfides. MedChemComm 2019, 10, 116–119. [Google Scholar] [CrossRef]
  130. Ramachary, D.B.; Krishna, P.M.; Gujral, J.; Reddy, G.S. An Organocatalytic Regiospecific Synthesis of 1,5-Disubstituted 4-Thio-1,2,3-triazoles and 1,5-Disubstituted 1,2,3-Triazoles. Chem. Eur. J. 2015, 21, 16775–16780. [Google Scholar] [CrossRef]
  131. Gangaprasad, D.; Raj, J.P.; Kiranmye, T.; Karthikeyan, K.; Elangovan, J. Another Example of Organo-Click Reactions: TEMPO-Promoted Oxidative Azide–Olefin Cycloaddition for the Synthesis of 1,2,3-Triazoles in Water. Eur. J. Org. Chem. 2016, 18, 5642–5646. [Google Scholar] [CrossRef]
  132. Dommerholt, J.; Rutjes, F.P.J.T.; van Delft, F.L. Strain-Promoted 1,3-Dipolar Cycloaddition of Cycloalkynes and Organic Azides. Top. Curr. Chem. 2016, 16, 374–393. [Google Scholar]
  133. Yoshida, S.; Shiraishi, A.; Kanno, K.; Matsushita, T.; Johmoto, K.; Uekusa, H.; Hosoya, T. Enhanced clickability of doubly-sterically-hindered aryl azides. Sci. Rep. 2011, 1, 82–85. [Google Scholar] [CrossRef] [Green Version]
  134. Guo, N.; Liu, X.; Xu, H.; Zhou, X.; Zhao, H. A simple route towards the synthesis of 1,4,5-trisubstituted 1,2,3-triazoles from primary amines and 1,3-dicarbonyl compounds under metal-free conditions. Org. Biomol. Chem. 2019, 17, 6148–6152. [Google Scholar] [CrossRef]
  135. Jana, S.; Adhikari, S.; Cox, M.R.; Roy, S. Regioselective synthesis of 4-fluoro-1,5-disubstituted-1,2,3-triazoles from synthetic surrogates of a-fluoroalkynes. Chem. Commun. 2020, 56, 1871–1874. [Google Scholar] [CrossRef] [PubMed]
  136. González-Calderón, D.; Santillán-Iniesta, I.; González-González, C.A.; Fuentes-Benítes, A.; González-Romero, C. A novel and facile synthesis of 1,4,5-trisubstituted 1,2,3-triazoles from benzylic alcohols through a one-pot, three-component system. Tetrahedron Lett. 2015, 56, 514–516. [Google Scholar] [CrossRef]
  137. González-Calderón, D.; Aguirre-De Paz, J.G.; González-González, C.A.; Fuentes-Benítes, A.; González-Romero, C. A straightforward and versatile approach to the synthesis of 1,4,5-trisubstituted 1,2,3-triazoles from alkyl halides via a one-pot, three-component reaction. Tetrahedron Lett. 2015, 56, 1713–1715. [Google Scholar] [CrossRef]
  138. Blastik, Z.E.; Klepetářová, B.; Beier, P. Enamine-Mediated Azide-Ketone [3 + 2] Cycloaddition of Azidoperfluoroalkanes. ChemistrySelect 2018, 3, 7045–7048. [Google Scholar] [CrossRef]
  139. De Nino, A.; Algieri, V.; Tallarida, M.A.; Constanzo, P.; Pedrón, M.; Tejero, T.; Merino, P.; Maiuolo, L. Regioselective Synthesis of 1,4,5-Trisubstituted-1,2,3-Triazoles from Aryl Azides and Enaminones. Eur. J. Org. Chem. 2019, 2019, 5725–5731. [Google Scholar] [CrossRef]
  140. Reddy, G.S.; Reddy, L.M.; Kumar, A.S.; Ramachary, D.B. Organocatalytic Selective [3+2] Cycloadditions: Synthesis of Functionalized 5-Arylthiomethyl-1,2,3-triazoles and 4 Arylthio-1,2,3-triazoles. J. Org. Chem. 2020, 85, 15488–15501. [Google Scholar] [CrossRef]
Scheme 1. Ag-catalyzed cycloaddition of various isocyanides and diazo compounds.
Scheme 1. Ag-catalyzed cycloaddition of various isocyanides and diazo compounds.
Catalysts 11 01120 sch001
Scheme 2. Plausible mechanism for the isocyanide-diazo compounds cycloaddition.
Scheme 2. Plausible mechanism for the isocyanide-diazo compounds cycloaddition.
Catalysts 11 01120 sch002
Scheme 3. ZnAAC of organic azides and terminal acetylenes for the synthesis of 1,4-DTs.
Scheme 3. ZnAAC of organic azides and terminal acetylenes for the synthesis of 1,4-DTs.
Catalysts 11 01120 sch003
Scheme 4. One-pot synthesis of 1,4-DTs catalyzed by the SiO2@APTES@2HAP-Zn catalyst.
Scheme 4. One-pot synthesis of 1,4-DTs catalyzed by the SiO2@APTES@2HAP-Zn catalyst.
Catalysts 11 01120 sch004
Scheme 5. Proposed mechanism for the 1,4-DTs synthesis catalyzed by SiO2@APTES@2HAP-Zn.
Scheme 5. Proposed mechanism for the 1,4-DTs synthesis catalyzed by SiO2@APTES@2HAP-Zn.
Catalysts 11 01120 sch005
Scheme 6. Synthesis of 1,4-DTs in the presence of Zn(II)-SMI.
Scheme 6. Synthesis of 1,4-DTs in the presence of Zn(II)-SMI.
Catalysts 11 01120 sch006
Scheme 7. Click reaction between various aryl amines and aryl alkynes catalyzed by PS-Ce-amtp 16.
Scheme 7. Click reaction between various aryl amines and aryl alkynes catalyzed by PS-Ce-amtp 16.
Catalysts 11 01120 sch007
Scheme 8. Azide-alkyne cycloaddition catalyzed by the SBA-15-Tz-Ru(II)TPP (18) heterogenous catalyst.
Scheme 8. Azide-alkyne cycloaddition catalyzed by the SBA-15-Tz-Ru(II)TPP (18) heterogenous catalyst.
Catalysts 11 01120 sch008
Scheme 9. Plausible mechanism for the click reaction catalyzed by SBA-15-Tz-Ru(II)TPP.
Scheme 9. Plausible mechanism for the click reaction catalyzed by SBA-15-Tz-Ru(II)TPP.
Catalysts 11 01120 sch009
Scheme 10. Ru-complex catalysis under US irradiation of 1,3-dipolar cycloaddition toward 1,4-DTs.
Scheme 10. Ru-complex catalysis under US irradiation of 1,3-dipolar cycloaddition toward 1,4-DTs.
Catalysts 11 01120 sch010
Figure 1. Coumarin hybrids tethering 1,2,3-triazole moiety.
Figure 1. Coumarin hybrids tethering 1,2,3-triazole moiety.
Catalysts 11 01120 g001
Scheme 11. PcAAC by an iridium complex 31.
Scheme 11. PcAAC by an iridium complex 31.
Catalysts 11 01120 sch011
Figure 2. 1,4-DT with anticancer activity obtained in gram-scale through PcAAC.
Figure 2. 1,4-DT with anticancer activity obtained in gram-scale through PcAAC.
Catalysts 11 01120 g002
Scheme 12. Uncatalyzed synthesis of 1-alchyl- or 1-aryl-4-triflyl-1,2,3-triazoles at room temperature.
Scheme 12. Uncatalyzed synthesis of 1-alchyl- or 1-aryl-4-triflyl-1,2,3-triazoles at room temperature.
Catalysts 11 01120 sch012
Figure 3. 1,4-DTs obtained by Alcaide et al. maintaining the stereochemical integrity of the enantiopure reagents.
Figure 3. 1,4-DTs obtained by Alcaide et al. maintaining the stereochemical integrity of the enantiopure reagents.
Catalysts 11 01120 g003
Scheme 13. Synthesis of 1,4-DTs in ionic liquids.
Scheme 13. Synthesis of 1,4-DTs in ionic liquids.
Catalysts 11 01120 sch013
Scheme 14. Synthesis of 4-carboxylated 1,4-DTs 43.
Scheme 14. Synthesis of 4-carboxylated 1,4-DTs 43.
Catalysts 11 01120 sch014
Scheme 15. Reaction of 42 with diazides 44a or 44b.
Scheme 15. Reaction of 42 with diazides 44a or 44b.
Catalysts 11 01120 sch015
Scheme 16. One-pot synthesis of 1,2,3-triazole in DES.
Scheme 16. One-pot synthesis of 1,2,3-triazole in DES.
Catalysts 11 01120 sch016
Scheme 17. Domino reaction for the synthesis of 1,4-DTs starting from enaminones.
Scheme 17. Domino reaction for the synthesis of 1,4-DTs starting from enaminones.
Catalysts 11 01120 sch017
Scheme 18. Postulated mechanism involving a Regitz diazo transfer reaction.
Scheme 18. Postulated mechanism involving a Regitz diazo transfer reaction.
Catalysts 11 01120 sch018
Scheme 19. Metal-free synthesis of 1,4-DTs through enamine activation.
Scheme 19. Metal-free synthesis of 1,4-DTs through enamine activation.
Catalysts 11 01120 sch019
Figure 4. Tertiary enamine intermediate for the synthesis of 1,4-DTs 59.
Figure 4. Tertiary enamine intermediate for the synthesis of 1,4-DTs 59.
Catalysts 11 01120 g004
Scheme 20. α-Bromoacrolein as a dienophile for cycloaddition with azides.
Scheme 20. α-Bromoacrolein as a dienophile for cycloaddition with azides.
Catalysts 11 01120 sch020
Scheme 21. I2 catalyzed direct synthesis of 1,4-DTs from diverse aryl alkene and alkyne.
Scheme 21. I2 catalyzed direct synthesis of 1,4-DTs from diverse aryl alkene and alkyne.
Catalysts 11 01120 sch021
Scheme 22. Plausible mechanism for the synthesis of 1,4-DTs with I2 as a catalyst.
Scheme 22. Plausible mechanism for the synthesis of 1,4-DTs with I2 as a catalyst.
Catalysts 11 01120 sch022
Scheme 23. α,α-difluoro-tosylhydrazone 69 as a starting substrate for the synthesis of 1,4-DTs.
Scheme 23. α,α-difluoro-tosylhydrazone 69 as a starting substrate for the synthesis of 1,4-DTs.
Catalysts 11 01120 sch023
Scheme 24. Reaction scope for the synthesis of 1,4-DTs starting from α, α-dimethoxy ketones 71 and primary amines 74.
Scheme 24. Reaction scope for the synthesis of 1,4-DTs starting from α, α-dimethoxy ketones 71 and primary amines 74.
Catalysts 11 01120 sch024
Scheme 25. Catalytic cycle of RuAAC proposed by Boren and co-workers.
Scheme 25. Catalytic cycle of RuAAC proposed by Boren and co-workers.
Catalysts 11 01120 sch025
Scheme 26. Vernekar synthesis of 1,5-disubstituted 1,2,3-triazoles functionalized with a nucleoside scaffold.
Scheme 26. Vernekar synthesis of 1,5-disubstituted 1,2,3-triazoles functionalized with a nucleoside scaffold.
Catalysts 11 01120 sch026
Scheme 27. Hornum synthesis of 1,5-disubstituted 1,2,3-triazoles bonded linked to a pyrimidine ring 51.
Scheme 27. Hornum synthesis of 1,5-disubstituted 1,2,3-triazoles bonded linked to a pyrimidine ring 51.
Catalysts 11 01120 sch027
Scheme 28. 1,5-disubstituted 1,2,3-triazoles-containing ferrocene-cinchone hybrids.
Scheme 28. 1,5-disubstituted 1,2,3-triazoles-containing ferrocene-cinchone hybrids.
Catalysts 11 01120 sch028
Scheme 29. RuAAC synthesis of 1,5-disubstituted 1,2,3-triazoles as peptide bond isosteres.
Scheme 29. RuAAC synthesis of 1,5-disubstituted 1,2,3-triazoles as peptide bond isosteres.
Catalysts 11 01120 sch029
Scheme 30. Ru-catalyzed synthesis of 1,5-disubstitute 1,2,3-triazoles as bioisosteres of the amide bond.
Scheme 30. Ru-catalyzed synthesis of 1,5-disubstitute 1,2,3-triazoles as bioisosteres of the amide bond.
Catalysts 11 01120 sch030
Scheme 31. RuAAC synthesis of 1,2,3-triazolyl minigastrin analogs.
Scheme 31. RuAAC synthesis of 1,2,3-triazolyl minigastrin analogs.
Catalysts 11 01120 sch031
Scheme 32. RuAAC synthesis of 1,2,3-triazoles as disulfide bond isosteres.
Scheme 32. RuAAC synthesis of 1,2,3-triazoles as disulfide bond isosteres.
Catalysts 11 01120 sch032
Scheme 33. 1,5-disubstituted 1,2,3-triazole-containing molecule with aggregation-enhanced emission characteristics developed by Chen group.
Scheme 33. 1,5-disubstituted 1,2,3-triazole-containing molecule with aggregation-enhanced emission characteristics developed by Chen group.
Catalysts 11 01120 sch033
Scheme 34. 1,5-disubstituted 1,2,3-triazole employed as photosensitizer developed by Anand group.
Scheme 34. 1,5-disubstituted 1,2,3-triazole employed as photosensitizer developed by Anand group.
Catalysts 11 01120 sch034
Scheme 35. Preparation of polyoxoethylene 1,5-disubstituted fused-di(1,2,3-triazole)-1,4-oxazines 110 via a Cu (I)-catalyzed intramolecular 1,3-dipolar cycloaddition.
Scheme 35. Preparation of polyoxoethylene 1,5-disubstituted fused-di(1,2,3-triazole)-1,4-oxazines 110 via a Cu (I)-catalyzed intramolecular 1,3-dipolar cycloaddition.
Catalysts 11 01120 sch035
Scheme 36. Synthesis of 1,5-disubstitute 1,2,3-triazoles 114 via Cu (I)-catalyzed decarboxylation method.
Scheme 36. Synthesis of 1,5-disubstitute 1,2,3-triazoles 114 via Cu (I)-catalyzed decarboxylation method.
Catalysts 11 01120 sch036
Scheme 37. Catalytic cycle for the Cu (I)-catalyzed synthesis of 1,5-disubstituted 1,2,3-triazoles 118 proposed by Kumar et al.
Scheme 37. Catalytic cycle for the Cu (I)-catalyzed synthesis of 1,5-disubstituted 1,2,3-triazoles 118 proposed by Kumar et al.
Catalysts 11 01120 sch037
Scheme 38. NiAAC synthesis of 1,5-disubstituted 1,2,3-triazoles.
Scheme 38. NiAAC synthesis of 1,5-disubstituted 1,2,3-triazoles.
Catalysts 11 01120 sch038
Scheme 39. 1,5-disubstituted naphtyl-1,2,3-triazoles obtained from in situ formation of chloromagnesium acetylides.
Scheme 39. 1,5-disubstituted naphtyl-1,2,3-triazoles obtained from in situ formation of chloromagnesium acetylides.
Catalysts 11 01120 sch039
Scheme 40. [mPy]OTf/FeCl3 20% as efficient and reusable catalytic systems for 1,5-disubstituted 1,2,3-triazoles synthesis.
Scheme 40. [mPy]OTf/FeCl3 20% as efficient and reusable catalytic systems for 1,5-disubstituted 1,2,3-triazoles synthesis.
Catalysts 11 01120 sch040
Scheme 41. Proposed role exerted by Er (III), water, and ionic liquid in 1,5-disubstituted 1,2,3-triazoles synthesis. The blue shapes represent the cation [mpy]+, and the red shapes the anion [OTf] of the IL employed.
Scheme 41. Proposed role exerted by Er (III), water, and ionic liquid in 1,5-disubstituted 1,2,3-triazoles synthesis. The blue shapes represent the cation [mpy]+, and the red shapes the anion [OTf] of the IL employed.
Catalysts 11 01120 sch041
Scheme 42. Synthesis of 1,5-disubstituted 1,2,3-triazonylated monofuranosides or 1,5-disubstituted 1,2,3-triazole linked disaccharides129.
Scheme 42. Synthesis of 1,5-disubstituted 1,2,3-triazonylated monofuranosides or 1,5-disubstituted 1,2,3-triazole linked disaccharides129.
Catalysts 11 01120 sch042
Scheme 43. Synthesis of 1,5-disubstituted 1,2,3-triazole 132 (miconazole analogs) from azide 131 by cycloaddition with β-ketophosphonates 130.
Scheme 43. Synthesis of 1,5-disubstituted 1,2,3-triazole 132 (miconazole analogs) from azide 131 by cycloaddition with β-ketophosphonates 130.
Catalysts 11 01120 sch043
Scheme 44. Synthesis of 1,5-disubstituted 1,2,3-triazoles 136 by metal- and azide-free regioselective-multicomponent reaction.
Scheme 44. Synthesis of 1,5-disubstituted 1,2,3-triazoles 136 by metal- and azide-free regioselective-multicomponent reaction.
Catalysts 11 01120 sch044
Scheme 45. Regioselective synthesis of 1,5-disubstituted 1,2,3-triazoles 140 through an aerobic and oxidative cycloaddition.
Scheme 45. Regioselective synthesis of 1,5-disubstituted 1,2,3-triazoles 140 through an aerobic and oxidative cycloaddition.
Catalysts 11 01120 sch045
Scheme 46. Multicomponent reaction for the synthesis of 1,5-disubstituted 1,2,3-triazoles 89.
Scheme 46. Multicomponent reaction for the synthesis of 1,5-disubstituted 1,2,3-triazoles 89.
Catalysts 11 01120 sch046
Scheme 47. Synthesis of 1,5-DTM linked disaccharides 93 by metal-free 1,3-dipolar cycloaddition in the eco-compatible system.
Scheme 47. Synthesis of 1,5-DTM linked disaccharides 93 by metal-free 1,3-dipolar cycloaddition in the eco-compatible system.
Catalysts 11 01120 sch047
Scheme 48. Synthesis of enantiomerically pure 1,5-disubstituted 1,2,3-triazoles 151.
Scheme 48. Synthesis of enantiomerically pure 1,5-disubstituted 1,2,3-triazoles 151.
Catalysts 11 01120 sch048
Scheme 49. Metal-free [3 + 2] annulation reaction to synthesize 1,5-disubstituted 1,2,3-triazoles 154.
Scheme 49. Metal-free [3 + 2] annulation reaction to synthesize 1,5-disubstituted 1,2,3-triazoles 154.
Catalysts 11 01120 sch049
Scheme 50. Regiospecific synthesis of 1,5-disubstituted 1,2,3-triazoles 157 through C-C bond cleavage on 1,4,5-trisubstituted 1,2,3-triazoles 156.
Scheme 50. Regiospecific synthesis of 1,5-disubstituted 1,2,3-triazoles 157 through C-C bond cleavage on 1,4,5-trisubstituted 1,2,3-triazoles 156.
Catalysts 11 01120 sch050
Scheme 51. Synthesis of 1,5-disubstituted 1,2,3-triazoles 160 via catalyst-free eliminative 1,3-dipolar cycloaddition.
Scheme 51. Synthesis of 1,5-disubstituted 1,2,3-triazoles 160 via catalyst-free eliminative 1,3-dipolar cycloaddition.
Catalysts 11 01120 sch051
Scheme 52. Synthesis of 4,5-DTs analogs of combretastatin A-4.
Scheme 52. Synthesis of 4,5-DTs analogs of combretastatin A-4.
Catalysts 11 01120 sch052
Scheme 53. Three-component reaction with Julia reagents for the synthesis of 4,5-DTs.
Scheme 53. Three-component reaction with Julia reagents for the synthesis of 4,5-DTs.
Catalysts 11 01120 sch053
Scheme 54. Synthesis of NH-triazoles (169 and 170).
Scheme 54. Synthesis of NH-triazoles (169 and 170).
Catalysts 11 01120 sch054
Scheme 55. Cycloaddition of various 1, 3-diynes 171 with NaN3.
Scheme 55. Cycloaddition of various 1, 3-diynes 171 with NaN3.
Catalysts 11 01120 sch055
Scheme 56. Azide-free synthesis of 4,5-DTs with N-tosylhydrazones.
Scheme 56. Azide-free synthesis of 4,5-DTs with N-tosylhydrazones.
Catalysts 11 01120 sch056
Scheme 57. Preparation of N-unsubstituted 1,2,3-triazoles from 2-methylthio 1,4-ene-diones 176.
Scheme 57. Preparation of N-unsubstituted 1,2,3-triazoles from 2-methylthio 1,4-ene-diones 176.
Catalysts 11 01120 sch057
Scheme 58. Synthesis of 4,5-DTs through sulfur salt 179 as intermediate.
Scheme 58. Synthesis of 4,5-DTs through sulfur salt 179 as intermediate.
Catalysts 11 01120 sch058
Scheme 59. Acid-assisted synthesis of 4,5-DTs.
Scheme 59. Acid-assisted synthesis of 4,5-DTs.
Catalysts 11 01120 sch059
Scheme 60. Synthesis of 4,5-DTs starting from 1,3-diarylprop-2-yn-1-ones 186.
Scheme 60. Synthesis of 4,5-DTs starting from 1,3-diarylprop-2-yn-1-ones 186.
Catalysts 11 01120 sch060
Scheme 61. Synthesis of trisubstituted triazoles 191 by a three-component click reaction.
Scheme 61. Synthesis of trisubstituted triazoles 191 by a three-component click reaction.
Catalysts 11 01120 sch061
Scheme 62. The one-pot-three-component synthesis of 1,4,5-trisubstituted 5-iodo-1,2,3-triazoles 194.
Scheme 62. The one-pot-three-component synthesis of 1,4,5-trisubstituted 5-iodo-1,2,3-triazoles 194.
Catalysts 11 01120 sch062
Scheme 63. Synthesis of trisubstituted 5-organostibano-1H-1,2,3-triazoles 197 using various ethynylstibanes 195.
Scheme 63. Synthesis of trisubstituted 5-organostibano-1H-1,2,3-triazoles 197 using various ethynylstibanes 195.
Catalysts 11 01120 sch063
Scheme 64. Plausible synthetic mechanism of trisubstituted 5-organostibano-1H-1,2,3-triazoles 197. CuBr addition generates a π-complex A. After that, the coordination of this complex with organic azides gives another complex B. The vinylidene transition state C undergoes cyclization to give the product 197.
Scheme 64. Plausible synthetic mechanism of trisubstituted 5-organostibano-1H-1,2,3-triazoles 197. CuBr addition generates a π-complex A. After that, the coordination of this complex with organic azides gives another complex B. The vinylidene transition state C undergoes cyclization to give the product 197.
Catalysts 11 01120 sch064
Scheme 65. Synthesis of trisubstituted 5-acyltriazoles 199.
Scheme 65. Synthesis of trisubstituted 5-acyltriazoles 199.
Catalysts 11 01120 sch065
Scheme 66. Synthesis of C5-unsubstituted 1,2,3-triazoles 202 through 4-substituted 1-benzyl-5-diphenyl-stibano-1,2,3-triazoles 201 as intermediates.
Scheme 66. Synthesis of C5-unsubstituted 1,2,3-triazoles 202 through 4-substituted 1-benzyl-5-diphenyl-stibano-1,2,3-triazoles 201 as intermediates.
Catalysts 11 01120 sch066
Scheme 67. Synthesis of 1,4,5-trisubstituted-1,2,3-triazole aglycones 206 by a click/electrophilic addition.
Scheme 67. Synthesis of 1,4,5-trisubstituted-1,2,3-triazole aglycones 206 by a click/electrophilic addition.
Catalysts 11 01120 sch067
Scheme 68. Synthesis of 1,4,5-trisubstituted-1,2,3-triazole aglycones 209 by a CuAAC/oxidative coupling reaction.
Scheme 68. Synthesis of 1,4,5-trisubstituted-1,2,3-triazole aglycones 209 by a CuAAC/oxidative coupling reaction.
Catalysts 11 01120 sch068
Scheme 69. Synthesis of enamine-functionalized 1,2,3-triazoles 213.
Scheme 69. Synthesis of enamine-functionalized 1,2,3-triazoles 213.
Catalysts 11 01120 sch069
Scheme 70. Synthesis of 5-allenyl-1,2,3-triazoles 217 by a copper-mediated three-component reaction.
Scheme 70. Synthesis of 5-allenyl-1,2,3-triazoles 217 by a copper-mediated three-component reaction.
Catalysts 11 01120 sch070
Scheme 71. Synthesis of 1,4,5-trisubstituted triazoles by a 3 + 2 cycloaddition using different ynoate esters.
Scheme 71. Synthesis of 1,4,5-trisubstituted triazoles by a 3 + 2 cycloaddition using different ynoate esters.
Catalysts 11 01120 sch071
Scheme 72. Suzuki–Miyaura cross-coupling of 4- or 5-halo-1,2,3-triazoles with arylboronic acids.
Scheme 72. Suzuki–Miyaura cross-coupling of 4- or 5-halo-1,2,3-triazoles with arylboronic acids.
Catalysts 11 01120 sch072
Scheme 73. Palladium-catalyzed three-component reaction using different organic iodides.
Scheme 73. Palladium-catalyzed three-component reaction using different organic iodides.
Catalysts 11 01120 sch073
Scheme 74. Synthesis of 1,5-disubstituted 4-thio-1,2,3-triazoles 234.
Scheme 74. Synthesis of 1,5-disubstituted 4-thio-1,2,3-triazoles 234.
Catalysts 11 01120 sch074
Scheme 75. Synthesis of 1,4,5-trisubstituted 1,2,3-triazoles 237.
Scheme 75. Synthesis of 1,4,5-trisubstituted 1,2,3-triazoles 237.
Catalysts 11 01120 sch075
Scheme 76. Proposed mechanism for synthesis of 244 through oxidative azide-olefin cycloaddition promoted by TEMPO.
Scheme 76. Proposed mechanism for synthesis of 244 through oxidative azide-olefin cycloaddition promoted by TEMPO.
Catalysts 11 01120 sch076
Scheme 77. Synthesis of enantiomerically pure 1,4,5-trisubstituted-fused triazoles 247.
Scheme 77. Synthesis of enantiomerically pure 1,4,5-trisubstituted-fused triazoles 247.
Catalysts 11 01120 sch077
Scheme 78. Synthesis of 1,4,5-trisubsituted 1,2,3-triazoles 250 using acyclic ketones.
Scheme 78. Synthesis of 1,4,5-trisubsituted 1,2,3-triazoles 250 using acyclic ketones.
Catalysts 11 01120 sch078
Scheme 79. SPAAC reaction using diazide 251 and cyclooctyne 252.
Scheme 79. SPAAC reaction using diazide 251 and cyclooctyne 252.
Catalysts 11 01120 sch079
Scheme 80. Synthesis of 1,4,5-trisubstituted 1,2,3-triazoles 258.
Scheme 80. Synthesis of 1,4,5-trisubstituted 1,2,3-triazoles 258.
Catalysts 11 01120 sch080
Scheme 81. Regioselective synthesis of 4-fluoro-1,5-disubstituted -1,2,3-triazoles 261 using different azides and α-fluoronitroalkenes.
Scheme 81. Regioselective synthesis of 4-fluoro-1,5-disubstituted -1,2,3-triazoles 261 using different azides and α-fluoronitroalkenes.
Catalysts 11 01120 sch081
Scheme 82. Different methodologies for the synthesis of 1,4,5-trisubsituted 1,2,3-triazoles 264 (method A) and 267 (method B).
Scheme 82. Different methodologies for the synthesis of 1,4,5-trisubsituted 1,2,3-triazoles 264 (method A) and 267 (method B).
Catalysts 11 01120 sch082
Scheme 83. Synthesis of N-perfluoroalkyl-1,2,3-trizoles 270 by enamine-mediated azide-ketone [3 + 2] cycloaddition.
Scheme 83. Synthesis of N-perfluoroalkyl-1,2,3-trizoles 270 by enamine-mediated azide-ketone [3 + 2] cycloaddition.
Catalysts 11 01120 sch083
Scheme 84. Synthesis 1,4,5-tribstituted 1,2,3-triazoles 273 between base-assisted eliminative cycloaddition.
Scheme 84. Synthesis 1,4,5-tribstituted 1,2,3-triazoles 273 between base-assisted eliminative cycloaddition.
Catalysts 11 01120 sch084
Scheme 85. A selective organocatalytic azide-ketone [3 + 2] cycloaddition assisted by DBU.
Scheme 85. A selective organocatalytic azide-ketone [3 + 2] cycloaddition assisted by DBU.
Catalysts 11 01120 sch085
Publisher’s Note: MDPI stays neutral with regard to jurisdictional claims in published maps and institutional affiliations.

Share and Cite

MDPI and ACS Style

De Nino, A.; Maiuolo, L.; Costanzo, P.; Algieri, V.; Jiritano, A.; Olivito, F.; Tallarida, M.A. Recent Progress in Catalytic Synthesis of 1,2,3-Triazoles. Catalysts 2021, 11, 1120. https://doi.org/10.3390/catal11091120

AMA Style

De Nino A, Maiuolo L, Costanzo P, Algieri V, Jiritano A, Olivito F, Tallarida MA. Recent Progress in Catalytic Synthesis of 1,2,3-Triazoles. Catalysts. 2021; 11(9):1120. https://doi.org/10.3390/catal11091120

Chicago/Turabian Style

De Nino, Antonio, Loredana Maiuolo, Paola Costanzo, Vincenzo Algieri, Antonio Jiritano, Fabrizio Olivito, and Matteo Antonio Tallarida. 2021. "Recent Progress in Catalytic Synthesis of 1,2,3-Triazoles" Catalysts 11, no. 9: 1120. https://doi.org/10.3390/catal11091120

APA Style

De Nino, A., Maiuolo, L., Costanzo, P., Algieri, V., Jiritano, A., Olivito, F., & Tallarida, M. A. (2021). Recent Progress in Catalytic Synthesis of 1,2,3-Triazoles. Catalysts, 11(9), 1120. https://doi.org/10.3390/catal11091120

Note that from the first issue of 2016, this journal uses article numbers instead of page numbers. See further details here.

Article Metrics

Back to TopTop