Addition of Different Biochars as Catalysts during the Mesophilic Anaerobic Digestion of Mixed Wastewater Sludge
Abstract
:1. Introduction
2. Results and Discussion
2.1. Characteristics of Materials
2.2. Anaerobic Digestion Tests
2.2.1. Biogas and Methane Production
2.2.2. Determination of Kinetic Parameters
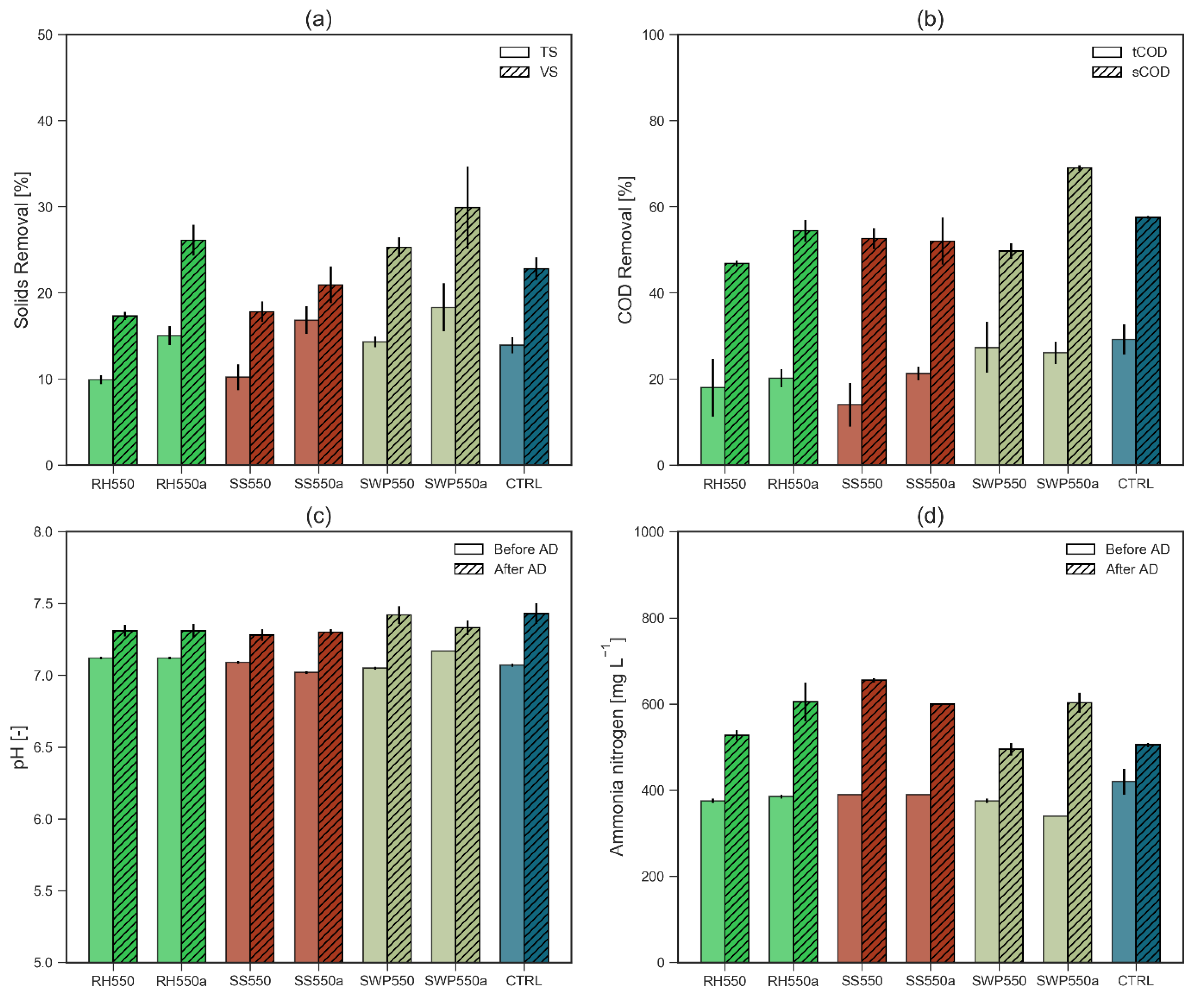
2.2.3. Sludge Properties
2.2.4. Principal Component Analysis
3. Materials and Methods
3.1. Materials
3.2. Setup of Anaerobic Digestion Tests
3.3. Analytical Methods
3.4. Determination of Kinetic Parameters
3.5. Principal Component Analysis
4. Conclusions
Author Contributions
Funding
Acknowledgments
Conflicts of Interest
References
- Gebreeyessus, G.; Jenicek, P. Thermophilic versus Mesophilic Anaerobic Digestion of Sewage Sludge: A Comparative Review. Bioengineering 2016, 3, 15. [Google Scholar] [CrossRef]
- Gherghel, A.; Teodosiu, C.; De Gisi, S. A review on wastewater sludge valorisation and its challenges in the context of circular economy. J. Clean. Prod. 2019, 228, 244–263. [Google Scholar] [CrossRef]
- Shaddel, S.; Bakhtiary-Davijany, H.; Kabbe, C.; Dadgar, F.; Østerhus, S. Sustainable Sewage Sludge Management: From Current Practices to Emerging Nutrient Recovery Technologies. Sustainability 2019, 11, 3435. [Google Scholar] [CrossRef] [Green Version]
- Raheem, A.; Sikarwar, V.S.; He, J.; Dastyar, W.; Dionysiou, D.D.; Wang, W.; Zhao, M. Opportunities and challenges in sustainable treatment and resource reuse of sewage sludge: A review. Chem. Eng. J. 2018, 337, 616–641. [Google Scholar] [CrossRef]
- Oladejo, J.; Shi, K.; Luo, X.; Yang, G.; Wu, T. A Review of Sludge-to-Energy Recovery Methods. Energies 2018, 12, 60. [Google Scholar] [CrossRef] [Green Version]
- Maktabifard, M.; Zaborowska, E.; Makinia, J. Achieving Energy Neutrality in Wastewater Treatment Plants Through Energy Savings and Enhancing Renewable Energy Production; Springer: Berlin/Heidelberg, Germany, 2018; Volume 17, ISBN 1115701894. [Google Scholar]
- Gu, Y.; Li, Y.; Li, X.; Luo, P.; Wang, H.; Robinson, Z.P.; Wang, X.; Wu, J.; Li, F. The feasibility and challenges of energy self-sufficient wastewater treatment plants. Appl. Energy 2017, 204, 1463–1475. [Google Scholar] [CrossRef] [Green Version]
- Bolzonella, D.; Pavan, P.; Battistoni, P.; Cecchi, F. Mesophilic anaerobic digestion of waste activated sludge: Influence of the solid retention time in the wastewater treatment process. Process. Biochem. 2005, 40, 1453–1460. [Google Scholar] [CrossRef]
- Khanh Nguyen, V.; Kumar Chaudhary, D.; Hari Dahal, R.; Hoang Trinh, N.; Kim, J.; Chang, S.W.; Hong, Y.; Duc La, D.; Nguyen, X.C.; Hao Ngo, H.; et al. Review on pretreatment techniques to improve anaerobic digestion of sewage sludge. Fuel 2021, 285, 119105. [Google Scholar] [CrossRef]
- Zhen, G.; Lu, X.; Kato, H.; Zhao, Y.; Li, Y.Y. Overview of pretreatment strategies for enhancing sewage sludge disintegration and subsequent anaerobic digestion: Current advances, full-scale application and future perspectives. Renew. Sustain. Energy Rev. 2017, 69, 559–577. [Google Scholar] [CrossRef]
- Chow, W.L.; Chong, S.; Lim, J.W.; Chan, Y.J.; Chong, M.F.; Tiong, T.J.; Chin, J.K.; Pan, G.-T. Anaerobic co-digestion of wastewater sludge: A review of potential co-substrates and operating factors for improved methane yield. Processes 2020, 8, 39. [Google Scholar] [CrossRef] [Green Version]
- Elalami, D.; Carrere, H.; Monlau, F.; Abdelouahdi, K.; Oukarroum, A.; Barakat, A. Pretreatment and co-digestion of wastewater sludge for biogas production: Recent research advances and trends. Renew. Sustain. Energy Rev. 2019, 114, 109287. [Google Scholar] [CrossRef]
- Lü, C.; Shen, Y.; Li, C.; Zhu, N.; Yuan, H. Redox-active biochar and conductive graphite stimulate methanogenic metabolism in anaerobic digestion of waste-activated sludge: Beyond direct interspecies electron transfer. ACS Sustain. Chem. Eng. 2020, 8, 12626–12636. [Google Scholar] [CrossRef]
- Lu, J.S.; Chang, J.S.; Lee, D.J. Adding carbon-based materials on anaerobic digestion performance: A mini-review. Bioresour. Technol. 2020, 300, 122696. [Google Scholar] [CrossRef] [PubMed]
- Zhang, J.; Zhao, W.; Zhang, H.; Wang, Z.; Fan, C.; Zang, L. Recent achievements in enhancing anaerobic digestion with carbon- based functional materials. Bioresour. Technol. 2018, 266, 555–567. [Google Scholar] [CrossRef]
- Wu, Y.; Wang, S.; Liang, D.; Li, N. Conductive materials in anaerobic digestion: From mechanism to application. Bioresour. Technol. 2020, 298. [Google Scholar] [CrossRef] [PubMed]
- Chiappero, M.; Norouzi, O.; Hu, M.; Demichelis, F.; Berruti, F.; Di Maria, F.; Mašek, O.; Fiore, S. Review of biochar role as additive in anaerobic digestion processes. Renew. Sustain. Energy Rev. 2020, 131. [Google Scholar] [CrossRef]
- Bartoli, M.; Giorcelli, M.; Jagdale, P.; Rovere, M.; Tagliaferro, A. A Review of Non-Soil Biochar Applications. Materials 2020, 13, 261. [Google Scholar] [CrossRef] [PubMed] [Green Version]
- Zhang, Z.; Zhu, Z.; Shen, B.; Liu, L. Insights into biochar and hydrochar production and applications: A review. Energy 2019, 171, 581–598. [Google Scholar] [CrossRef]
- Shen, Y.; Linville, J.L.; Urgun-Demirtas, M.; Schoene, R.P.; Snyder, S.W. Producing pipeline-quality biomethane via anaerobic digestion of sludge amended with corn stover biochar with in-situ CO2 removal. Appl. Energy 2015, 158, 300–309. [Google Scholar] [CrossRef] [Green Version]
- Zhang, M.; Wang, Y. Effects of Fe-Mn-modified biochar addition on anaerobic digestion of sewage sludge: Biomethane production, heavy metal speciation and performance stability. Bioresour. Technol. 2020, 313. [Google Scholar] [CrossRef]
- Zhou, H.; Brown, R.C.; Wen, Z. Biochar as an additive in anaerobic digestion of municipal sludge: Biochar properties and their effects on the digestion performance. ACS Sustain. Chem. Eng. 2020, 8, 6391–6401. [Google Scholar] [CrossRef]
- Shen, Y.; Linville, J.L.; Ignacio-de Leon, P.A.A.; Schoene, R.P.; Urgun-Demirtas, M. Towards a sustainable paradigm of waste-to-energy process: Enhanced anaerobic digestion of sludge with woody biochar. J. Clean. Prod. 2016, 135, 1054–1064. [Google Scholar] [CrossRef] [Green Version]
- Shen, Y.; Forrester, S.; Koval, J.; Urgun-Demirtas, M. Yearlong semi-continuous operation of thermophilic two-stage anaerobic digesters amended with biochar for enhanced biomethane production. J. Clean. Prod. 2017, 167, 863–874. [Google Scholar] [CrossRef]
- Shen, Y.; Yu, Y.; Zhang, Y.; Urgun-Demirtas, M.; Yuan, H.; Zhu, N.; Dai, X. Role of redox-active biochar with distinctive electrochemical properties to promote methane production in anaerobic digestion of waste activated sludge. J. Clean. Prod. 2021, 278. [Google Scholar] [CrossRef]
- Wang, P.; Peng, H.; Adhikari, S.; Higgins, B.; Roy, P.; Dai, W.; Shi, X. Enhancement of biogas production from wastewater sludge via anaerobic digestion assisted with biochar amendment. Bioresour. Technol. 2020, 309. [Google Scholar] [CrossRef]
- Wei, W.; Guo, W.; Ngo, H.H.; Mannina, G.; Wang, D.; Chen, X.; Liu, Y.; Peng, L.; Ni, B.-J. Enhanced high-quality biomethane production from anaerobic digestion of primary sludge by corn stover biochar. Bioresour. Technol. 2020, 306. [Google Scholar] [CrossRef] [PubMed]
- Wu, B.; Yang, Q.; Yao, F.; Chen, S.; He, L.; Hou, K.; Pi, Z.; Yin, H.; Fu, J.; Wang, D.; et al. Evaluating the effect of biochar on mesophilic anaerobic digestion of waste activated sludge and microbial diversity. Bioresour. Technol. 2019, 294. [Google Scholar] [CrossRef]
- Yin, C.; Shen, Y.; Yuan, R.; Zhu, N.; Yuan, H.; Lou, Z. Sludge-based biochar-assisted thermophilic anaerobic digestion of waste-activated sludge in microbial electrolysis cell for methane production. Bioresour. Technol. 2019, 284, 315–324. [Google Scholar] [CrossRef] [PubMed]
- Zhang, M.; Li, J.; Wang, Y.; Yang, C. Impacts of different biochar types on the anaerobic digestion of sewage sludge. RSC Adv. 2019, 9, 42375–42386. [Google Scholar] [CrossRef] [Green Version]
- Chiappero, M.; Berruti, F.; Mašek, O.; Fiore, S. Analysis of the influence of activated biochar properties on methane production from anaerobic digestion of waste activated sludge. Biomass Bioenergy 2021, 150, 106129. [Google Scholar] [CrossRef]
- El Achkar, J.H.; Lendormi, T.; Hobaika, Z.; Salameh, D.; Louka, N.; Maroun, R.G.; Lanoisellé, J.L. Anaerobic digestion of nine varieties of grape pomace: Correlation between biochemical composition and methane production. Biomass Bioenergy 2017, 107, 335–344. [Google Scholar] [CrossRef]
- Metcalf & Eddy; Tchobanoglous, G.; Stensel, H.D.; Tsuchihashi, R.; Burton, F. Wastewater Engineering: Treatment and Resource Recovery, 5th ed.; McGraw-Hill Education: New York, NY, USA, 2013; ISBN 9780073401188. [Google Scholar]
- Jindo, K.; Mizumoto, H.; Sawada, Y.; Sanchez-Monedero, M.A.; Sonoki, T. Physical and chemical characterization of biochars derived from different agricultural residues. Biogeosciences 2014, 11, 6613–6621. [Google Scholar] [CrossRef] [Green Version]
- Qambrani, N.A.; Rahman, M.M.; Won, S.; Shim, S.; Ra, C. Biochar properties and eco-friendly applications for climate change mitigation, waste management, and wastewater treatment: A review. Renew. Sustain. Energy Rev. 2017, 79, 255–273. [Google Scholar] [CrossRef]
- Johar, N.; Ahmad, I.; Dufresne, A. Extraction, preparation and characterization of cellulose fibres and nanocrystals from rice husk. Ind. Crop. Prod. 2012, 37, 93–99. [Google Scholar] [CrossRef]
- Zhang, Y.; Ma, Z.; Zhang, Q.; Wang, J.; Ma, Q.; Yang, Y.; Luo, X.; Zhang, W. Comparison of the physicochemical characteristics of bio-char pyrolyzed from moso bamboo and rice husk with different pyrolysis temperatures. BioResources 2017, 12, 4652–4669. [Google Scholar] [CrossRef] [Green Version]
- Wang, L.; Chang, Y.; Li, A. Hydrothermal carbonization for energy-efficient processing of sewage sludge: A review. Renew. Sustain. Energy Rev. 2019, 108, 423–440. [Google Scholar] [CrossRef]
- Fonts, I.; Gea, G.; Azuara, M.; Ábrego, J.; Arauzo, J. Sewage sludge pyrolysis for liquid production: A review. Renew. Sustain. Energy Rev. 2012, 16, 2781–2805. [Google Scholar] [CrossRef]
- Prakongkep, N.; Gilkes, R.J.; Wiriyakitnateekul, W.; Duangchan, A. The effects of pyrolysis conditions on the chemical and physical properties of rice husk biochar. Int. J. Mater. Sci. 2013, 3, 97–103. [Google Scholar]
- Zhang, J.; Lü, F.; Zhang, H.; Shao, L.; Chen, D.; He, P. Multiscale visualization of the structural and characteristic changes of sewage sludge biochar oriented towards potential agronomic and environmental implication. Sci. Rep. 2015, 5, 1–8. [Google Scholar] [CrossRef] [Green Version]
- Li, H.; Dong, X.; da Silva, E.B.; de Oliveira, L.M.; Chen, Y.; Ma, L.Q. Mechanisms of metal sorption by biochars: Biochar characteristics and modifications. Chemosphere 2017, 178, 466–478. [Google Scholar] [CrossRef]
- Rehrah, D.; Reddy, M.R.; Novak, J.M.; Bansode, R.R.; Schimmel, K.A.; Yu, J.; Watts, D.W.; Ahmedna, M. Production and characterization of biochars from agricultural by-products for use in soil quality enhancement. J. Anal. Appl. Pyrolysis 2014, 108, 301–309. [Google Scholar] [CrossRef]
- Speece, R.E. A survey of municipal anaerobic sludge digesters and diagnostic activity assays. Water Res. 1988, 22, 365–372. [Google Scholar] [CrossRef]
- Wang, G.; Li, Q.; Li, Y.; Xing, Y.; Yao, G.; Liu, Y.; Chen, R.; Wang, X.C. Redox-active biochar facilitates potential electron tranfer between syntrophic partners to enhance anaerobic digestion under high organic loading rate. Bioresour. Technol. 2020, 298. [Google Scholar] [CrossRef] [PubMed]
- Yin, Q.; Zhang, B.; Wang, R.; Zhao, Z. Biochar as an adsorbent for inorganic nitrogen and phosphorus removal from water: A review. Environ. Sci. Pollut. Res. 2017, 24, 26297–26309. [Google Scholar] [CrossRef] [PubMed]
- Chen, Y.; Cheng, J.J.; Creamer, K.S. Inhibition of anaerobic digestion process: A review. Bioresour. Technol. 2008, 99, 4044–4064. [Google Scholar] [CrossRef]
- Yenigün, O.; Demirel, B. Ammonia inhibition in anaerobic digestion: A review. Process. Biochem. 2013, 48, 901–911. [Google Scholar] [CrossRef]
- Zhao, W.; Yang, H.; He, S.; Zhao, Q.; Wei, L. A review of biochar in anaerobic digestion to improve biogas production: Performances, mechanisms and economic assessments. Bioresour. Technol. 2021, 341, 125797. [Google Scholar] [CrossRef]
- Sun, T.; Levin, B.D.A.; Guzman, J.J.L.; Enders, A.; Muller, D.A.; Angenent, L.T.; Lehmann, J. Rapid electron transfer by the carbon matrix in natural pyrogenic carbon. Nat. Commun. 2017, 1–12. [Google Scholar] [CrossRef] [Green Version]
- Holliger, C.; Alves, M.; Andrade, D.; Angelidaki, I.; Astals, S.; Baier, U.; Bougrier, C.; Buffière, P.; Carballa, M.; de Wilde, V.; et al. Towards a standardization of biomethane potential tests. Water Sci. Technol. 2016, 74, 2515–2522. [Google Scholar] [CrossRef]
- Qin, Y.; Wang, H.; Li, X.; Cheng, J.J.; Wu, W. Improving methane yield from organic fraction of municipal solid waste (OFMSW) with magnetic rice-straw biochar. Bioresour. Technol. 2017, 245, 1058–1066. [Google Scholar] [CrossRef]
- Esposito, G. Bio-Methane Potential Tests to Measure The Biogas Production from The Digestion and Co-Digestion of Complex Organic Substrates. Open Environ. Eng. J. 2012, 5, 1–8. [Google Scholar] [CrossRef]
- McEniry, J.; Allen, E.; Murphy, J.D.; O’Kiely, P. Grass for biogas production: The impact of silage fermentation characteristics on methane yield in two contrasting biomethane potential test systems. Renew. Energy 2014, 63, 524–530. [Google Scholar] [CrossRef]
- Yoo, M.; Han, S.J.; Wee, J.H. Carbon dioxide capture capacity of sodium hydroxide aqueous solution. J. Environ. Manag. 2013, 114, 512–519. [Google Scholar] [CrossRef]
- Pham, C.H.; Triolo, J.M.; Cu, T.T.T.; Pedersen, L.; Sommer, S.G. Validation and recommendation of methods to measure biogas production potential of animal manure. Asian-Australas. J. Anim. Sci. 2013, 26, 864–873. [Google Scholar] [CrossRef] [PubMed] [Green Version]
- APHA-AWWA-WEF. Standard Methods for the Examination of Water and Wastewater, 22nd ed.; American Public Health Association, American Water Works Association, and Water Environment Federation: Washington, DC, USA, 2012. [Google Scholar]
- Zwietering, M.H.; Jongenburger, I.; Rombouts, F.M.; van’t Riet, K. Modeling of the Bacterial Growth Curve. Appl. Environ. Microbiol. 1990, 56, 1875–1881. [Google Scholar] [CrossRef] [PubMed] [Green Version]
- Veluchamy, C.; Kalamdhad, A.S. Enhanced methane production and its kinetics model of thermally pretreated lignocellulose waste material. Bioresour. Technol. 2017, 241, 1–9. [Google Scholar] [CrossRef] [PubMed]
- Brown, A.M. A step-by-step guide to non-linear regression analysis of experimental data using a Microsoft Excel spreadsheet. Comput. Methods Programs Biomed. 2001, 65, 191–200. [Google Scholar] [CrossRef]
- Molinuevo-Salces, B.; Fernández-Varela, R.; Uellendahl, H. Key factors influencing the potential of catch crops for methane production. Environ. Technol. 2014, 35, 1685–1694. [Google Scholar] [CrossRef]
- Bayard, R.; Benbelkacem, H.; Gourdon, R.; Buffière, P. Characterization of selected municipal solid waste components to estimate their biodegradability. J. Environ. Manag. 2018, 216, 4–12. [Google Scholar] [CrossRef]



| Parameter (Unit) | Mixed Sludge | Inoculum |
|---|---|---|
| pH units | 6.14 (0.003) | 7.33 (0.003) |
| Total solids, TS (% wt) | 3.33 (0.01) | 2.51 (0.04) |
| Volatile solids, vs. (% wt) | 2.17 (0.01) | 1.36 (0.03) |
| VS/TS (%) | 65.1 (0.1) | 54.3 (0.1) |
| Total COD (g L−1) | 38.4 (0.9) | 21.0 (0.7) |
| Soluble COD (mg L−1) | 1123 (11) | 340 (35) |
| Parameter (Unit) | RH550 | SS550 | SWP550 | RH550a | SS550a | SWP550a |
|---|---|---|---|---|---|---|
| Specific surface area (m2 g−1) | 19.2 | 15.7 | 25.9 | 263.4 | 109.2 | 605.1 |
| Total pore volume (cm3 g−1) | 0.012 | 0.010 | 0.027 | 0.209 | 0.169 | 0.416 |
| Average pore diameter (nm) | 4.82 | 7.65 | 5.25 | 3.18 | 6.19 | 2.75 |
| pH units | 9.71 (0.26) | 8.17 (0.64) | 7.91 (0.30) | 9.71 (0.26) | 8.17 (0.64) | 7.91 (0.30) |
| Electrical conductivity (dS m−1) | 0.48 (0.14) | 280.80 (15.3) | 0.09 (0.03) | 0.48 (0.14) | 280.80 (15.3) | 0.09 (0.03) |
| Moisture (% wt) | 1.54 (0.30) | 2.48 (0.08) | 1.52 (0.16) | 1.54 (0.30) | 2.48 (0.08) | 1.52 (0.16) |
| Ash (% wt) | 47.93 (5.43) | 58.89 (0.45) | 1.25 (0.42) | 47.93 (5.43) | 58.89 (0.45) | 1.25 (0.42) |
| Volatile matter (% wt) | 7.48 (1.22) | 21.37 (0.03) | 14.20 (0.81) | 7.48 (1.22) | 21.37 (0.03) | 14.20 (0.81) |
| Fixed C (% wt) | 43.05 (5.57) | 17.26 (0.46) | 83.03 (0.93) | 43.05 (5.57) | 17.26 (0.46) | 83.03 (0.93) |
| Total C (% wt) | 48.69 (2.37) | 29.53 (0.42) | 85.52 (1.22) | 48.69 (2.37) | 29.53 (0.42) | 85.52 (1.22) |
| H (% wt) | 1.24 (0.12) | 1.33 (0.07) | 2.77 (0.09) | 1.24 (0.12) | 1.33 (0.07) | 2.77 (0.09) |
| N (% wt) | 1.04 (0.09) | 3.75 (0.08) | <0.10 | 1.04 (0.09) | 3.75 (0.08) | <0.10 |
| O (% wt) | 2.47 (0.37) | 6.50 (0.47) | 10.36 (1.19) | 2.47 (0.37) | 6.50 (0.47) | 10.36 (1.19) |
| P (% wt) | 0.10 (0.07) | 2.29 (0.05) | 0.06 (0.04) | 0.10 (0.07) | 2.29 (0.05) | 0.06 (0.04) |
| K (% wt) | 0.39 (0.17) | 0.34 (0.01) | 0.25 (0.07) | 0.39 (0.17) | 0.34 (0.01) | 0.25 (0.07) |
| H:C (molar ratio) | 0.28 (0.06) | 0.54 (0.03) | 0.39 (0.01) | 0.28 (0.06) | 0.54 (0.03) | 0.39 (0.01) |
| O:C (molar ratio) | 0.04 (0.01) | 0.17 (0.01) | 0.09 (0.01) | 0.04 (0.01) | 0.17 (0.01) | 0.09 (0.01) |
| Elements (mg kg−1) | ||||||
| Al | 2110 | 25,833 (58) | 1617 (12) | ND | 28,967 (153) | 1520 (-) |
| As | ND | 11 (2) | ND | 0.2 (-) | 13 (2) | ND |
| Ca | 1550 (36) | 14,567 (153) | 3157 (23) | 1737 (84) | 16,533 (58) | 2630 (20) |
| Cd | ND | ND | ND | ND | ND | ND |
| Cl | 1047 (12) | 555 (0) | 81.0 (0.7) | 744 (1) | 633 (5) | 60 (1) |
| Co | 11.0 (0.5) | 191 (6) | 0.77 (0.04) | 8.4 (0.8) | 201 (8) | ND |
| Cr | 15 (1) | 265 (6) | ND | 6.2 (0.6) | 299 (6) | ND |
| Cu | 8.6 (0.4) | 81 (2) | 3.1 (0.1) | 11.3 (0.3) | 92.4 (0.6) | 3.0 (0.1) |
| Hg | ND | ND | ND | ND | ND | ND |
| Mg | ND | ND | ND | ND | ND | ND |
| Na | ND | ND | ND | ND | ND | ND |
| Ni | 7.4 (0.2) | 12.1 (0.9) | 1.7 (0.1) | 5.8 (0.5) | 13 (1) | 1.2 (0.2) |
| Pb | ND | 98.1 | ND | ND | 99 | ND |
| S | 179 (24) | 2187 (21) | 129 (1) | 114 (8) | 2457 (23) | 32 (8) |
| Se | ND | ND | ND | ND | ND | ND |
| Si | 116,667 (1155) | 41,200 (0) | 717 (9) | 125,333 (577) | 48,833 (115) | 204 (3) |
| Zn | 28.4 (0.6) | 262 (3) | 11.8 (0.2) | 35.4 (0.2) | 296 (2) | 11.07 (0.06) |
| Biochar | P (Nm3 kgVS−1) | Rmax (Nm3 kgVS−1 d−1) | λ (d) | R2 |
|---|---|---|---|---|
| RH550 | 0.121 | 0.014 | 0.0 | 0.960 |
| RH550a | 0.153 | 0.026 | 0.0 | 0.961 |
| SS550 | 0.162 | 0.024 | 0.0 | 0.940 |
| SS550a | 0.183 | 0.027 | 0.0 | 0.926 |
| SWP550 | 0.181 | 0.034 | 0.0 | 0.936 |
| SWP550a | 0.119 | 0.014 | 0.0 | 0.973 |
| CTRL | 0.150 | 0.027 | 0.0 | 0.910 |
Publisher’s Note: MDPI stays neutral with regard to jurisdictional claims in published maps and institutional affiliations. |
© 2021 by the authors. Licensee MDPI, Basel, Switzerland. This article is an open access article distributed under the terms and conditions of the Creative Commons Attribution (CC BY) license (https://creativecommons.org/licenses/by/4.0/).
Share and Cite
Chiappero, M.; Cillerai, F.; Berruti, F.; Mašek, O.; Fiore, S. Addition of Different Biochars as Catalysts during the Mesophilic Anaerobic Digestion of Mixed Wastewater Sludge. Catalysts 2021, 11, 1094. https://doi.org/10.3390/catal11091094
Chiappero M, Cillerai F, Berruti F, Mašek O, Fiore S. Addition of Different Biochars as Catalysts during the Mesophilic Anaerobic Digestion of Mixed Wastewater Sludge. Catalysts. 2021; 11(9):1094. https://doi.org/10.3390/catal11091094
Chicago/Turabian StyleChiappero, Marco, Francesca Cillerai, Franco Berruti, Ondřej Mašek, and Silvia Fiore. 2021. "Addition of Different Biochars as Catalysts during the Mesophilic Anaerobic Digestion of Mixed Wastewater Sludge" Catalysts 11, no. 9: 1094. https://doi.org/10.3390/catal11091094
APA StyleChiappero, M., Cillerai, F., Berruti, F., Mašek, O., & Fiore, S. (2021). Addition of Different Biochars as Catalysts during the Mesophilic Anaerobic Digestion of Mixed Wastewater Sludge. Catalysts, 11(9), 1094. https://doi.org/10.3390/catal11091094

