Water-Active Titanium/Molybdenum/Mixed-Oxides: Removal Efficiency of Organic Water Pollutants by Adsorption and Photocatalysis and Toxicity Assessment
Abstract
:1. Introduction
2. Results and Discussion
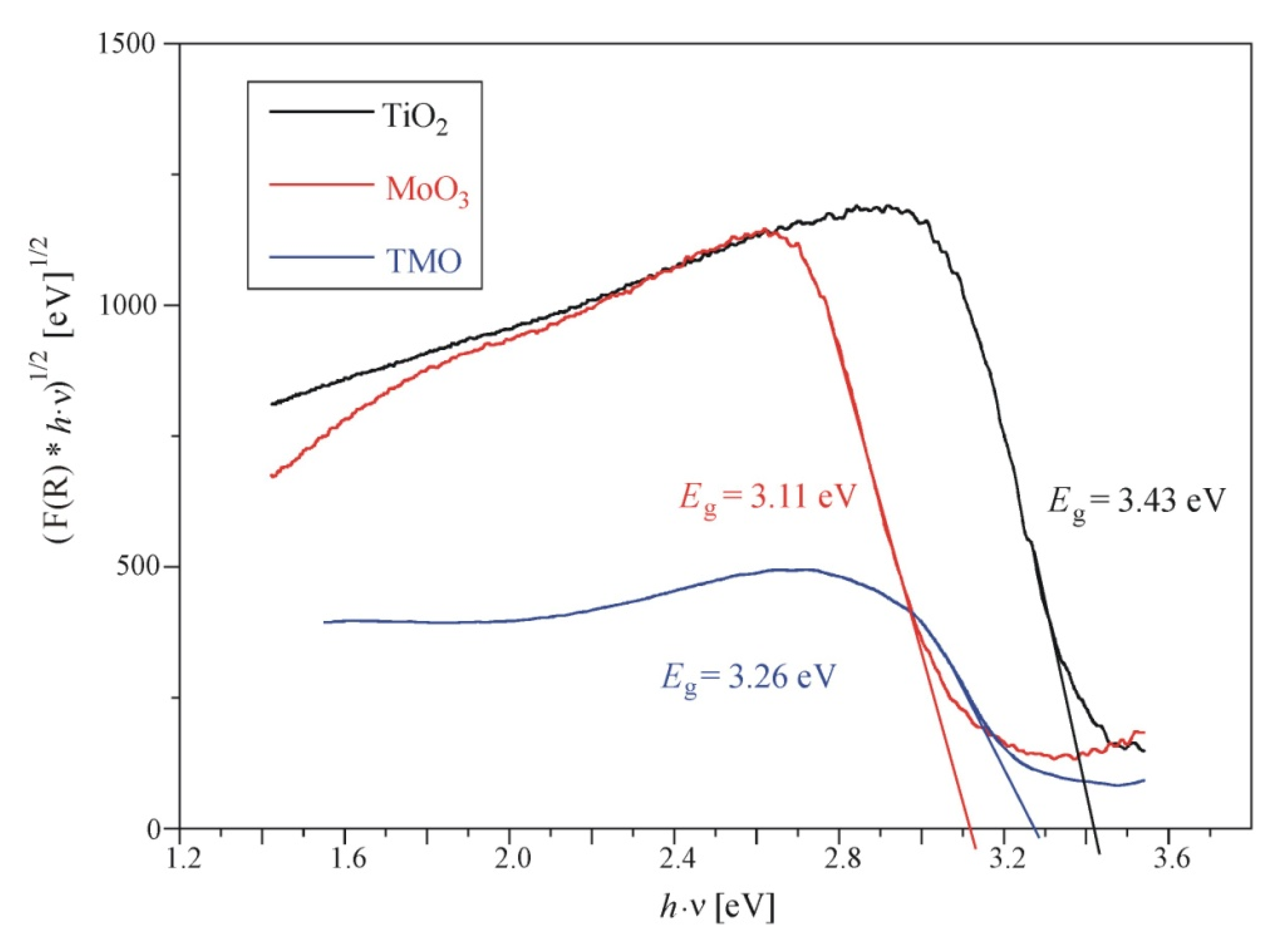
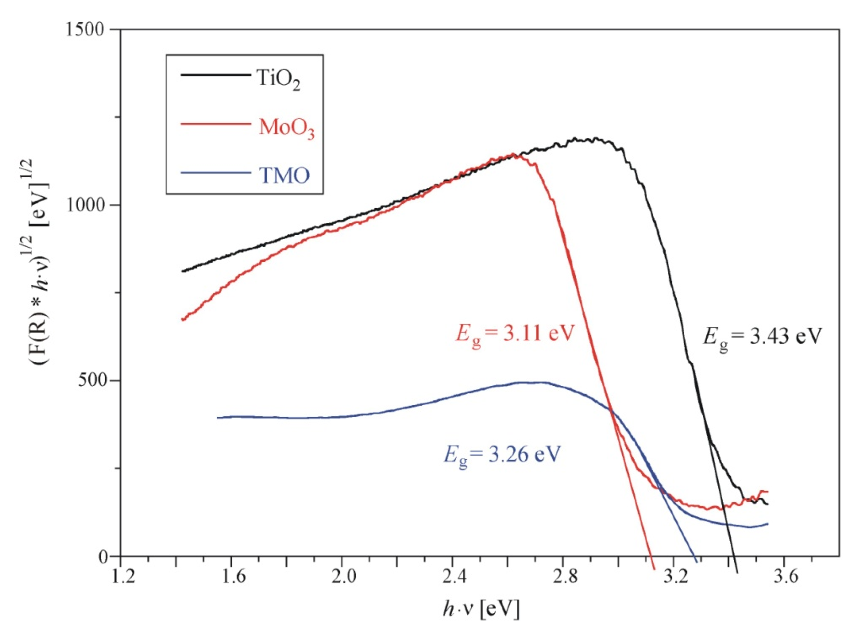
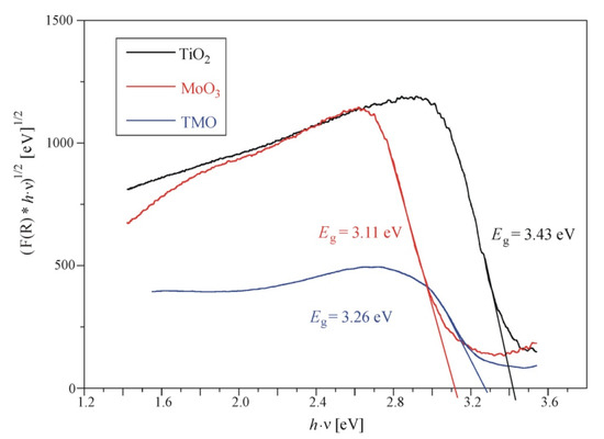
2.1. Structure, Morphology, and Optical Bandgap Characterization
2.2. Application of Titanium/Molybdenum/Mixed-Oxides Catalysts for the Removal of Organic Water Contaminants
2.3. Cytotoxicity of Synthesized Catalysts, Selected Substrates, and Degradation Intermediates
3. Materials and Methods
3.1. Catalysts Preparation and Characterization
3.2. Measurements of Photocatalytic Activity
3.3. Cytotoxicity Evaluation
4. Conclusions
Author Contributions
Funding
Data Availability Statement
Acknowledgments
Conflicts of Interest
References
- Odling, G.; Robertson, N. Bridging the gap between laboratory and application in photocatalytic water purification. Catal. Sci. Technol. 2019, 9, 533–545. [Google Scholar] [CrossRef] [Green Version]
- Belenguer, V.; Martinez-Capela, F.; Masiá, A.; Picó, Y. Patterns of presence and concentration of pesticides in fish and waters of the Júcar River (Eastern Spain). J. Hazard. Mater. 2014, 265, 271–279. [Google Scholar] [CrossRef] [PubMed] [Green Version]
- Radović, T.; Grujić, S.; Petković, A.; Dimkić, M.; Laušević, M. Determination of pharmaceuticals and pesticides in river sediments and corresponding surface and ground water in the Danube River and tributaries in Serbia. Environ. Monit. Assess. 2015, 187, 4092. [Google Scholar] [CrossRef] [PubMed]
- Grossmann, K.; Scheltrup, F. On the mode of action of the new, selective herbicide quinmerac. In Proceedings of the Brighton Crop Protection Conference–Weeds, Brighton, UK, 20–23 November 1995; Volume 1, pp. 393–398. [Google Scholar]
- EFSA. Conclusion on the peer review of the pesticide risk assessment of the active substance quinmerac. EFSA J. 2010, 8, 1523. [Google Scholar]
- Calvayrac, C.; Bontemps, N.; Bissoue-Nouga, A.; Romdhane, S.; Coste, C.-M.; Cooper, J.-F. Photolysis of tembotrione and its main by-products under extreme artificial conditions: Comparison with another β-triketone herbicide. Sci. Total Environ. 2013, 452–453, 227–232. [Google Scholar] [CrossRef]
- Tawk, T.; Deborde, M.; Labanowski, J.; Gallard, H. Chlorination of the β-triketone herbicides tembotrione and sulcotrione: Kinetic and mechanistic study, transformation products identification and toxicity. Water Res. 2015, 76, 132–142. [Google Scholar] [CrossRef]
- Solis, R.R.; Javier Rivas, F.; Gimeno, O. Removal of aqueous metazachlor, tembotrione, tritosulfuron and ethofumesate by heterogeneous monopersulfate decomposition on lanthanum-cobalt perovskites. Appl. Catal. B Environ. 2017, 200, 83–92. [Google Scholar] [CrossRef]
- Van den Brandhof, E.-J.; Montforts, M. Fish embryo toxicity of carbamazepine, diclofenac and metoprolol. Ecotoxicol. Environ. Saf. 2010, 73, 1862–1866. [Google Scholar] [CrossRef]
- Deblonde, T.; Cossu-Leguille, C.; Hartemann, P. Emerging pollutants in wastewater: A review of the literature. Int. J. Hyg. Environ. Health 2011, 214, 442–448. [Google Scholar] [CrossRef]
- Armaković, S.J.; Grujić-Brojčin, M.; Šćepanović, M.; Armaković, S.; Golubović, A.; Babić, B.; Abramović, B.F. Efficiency of La-doped TiO2 calcined at different temperatures in photocatalytic degradation of β-blockers. Arab. J. Chem. 2019, 12, 5355–5369. [Google Scholar] [CrossRef]
- Abbar, J.C.; Lamani, S.D.; Nandibewoor, S.T. Ruthenium(III) Catalyzed oxidative degradation of amitriptyline-a tricyclic antidepressant drug by permanganate in aqueous acidic medium. J. Solut. Chem. 2011, 40, 502–520. [Google Scholar] [CrossRef]
- Togola, A.; Budzinski, H. Multi-residue analysis of pharmaceutical compounds in aqueous samples. J. Chromatogr. A 2008, 1177, 150–158. [Google Scholar] [CrossRef]
- Vystavna, Y.; Huneau, F.; Grynenko, V.; Vergeles, Y.; Celle-Jeanton, H.; Tapie, N.; Budzinski, H.; Le Coustumer, P. Pharmaceuticals in rivers of two regions with contrasted socio-economic conditions: Occurrence, accumulation, and comparison for Ukraine and France. Water Air Soil Pollut. 2012, 223, 2111–2124. [Google Scholar] [CrossRef]
- Lajeunesse, A.; Smyth, S.A.; Barclay, K.; Sauvé, S.; Gagnon, C. Distribution of antidepressant residues in wastewater and biosolids following different treatment processes by municipal wastewater treatment plants in Canada. Water Res. 2012, 46, 5600–5612. [Google Scholar] [CrossRef]
- Thakur, D.; Sharma, A.; Awasthi, A.; Singh Rana, D.; Singh, D.; Pandey, S.; Thakur, S. Manganese-doped zinc oxide nanostructures as potential scaffold for photocatalytic and fluorescence sensing applications. Chemosensors 2020, 8, 120. [Google Scholar] [CrossRef]
- Shurbaji, S.; Huong, P.T.; Altahtamouni, T.M. Review on the visible light photocatalysis for the decomposition of ciprofloxacine, norfloxacine, tetracyclines, and sulfonamines antibiotics in wastewater. Catalysts 2021, 11, 437. [Google Scholar] [CrossRef]
- Puddoo, H.; Nithyanandam, R.; Nguyenhuynh, T. Degradation of the antibiotic ceftriaxone by fenton oxidation process and compound analysis. J. Phys. Sci. 2017, 28, 95–114. [Google Scholar] [CrossRef] [Green Version]
- Opris, O.; Soran, M.-L.; Coman, V.; Copaciu, F.; Ristoiu, D. Determination of some frequently used antibiotics in waste waters using solid phase extraction followed by high performance liquid chromatography with diode array and mass spectrometry detection. Cent. Eur. J. Chem. 2013, 11, 1343–1351. [Google Scholar] [CrossRef]
- Diwan, V.; Tamhankar, A.J.; Aggarwal, M.; Sen, S.; Khandal, R.K.; Lundborg, C.S. Detection of antibiotics in hospital effluents in India. Curr. Sci. 2009, 97, 1752–1755. [Google Scholar]
- Yu, X.; Tang, X.; Zuo, J.; Zhang, M.; Chen, L.; Li, Z. Distribution and persistence of cephalosporins in cephalosporin producing wastewater using SPE and UPLC–MS/MS method. Sci. Total Environ. 2016, 569–570, 23–30. [Google Scholar] [CrossRef]
- Fayal, T.; Razzaq, A.; Javed, F.; Hafeez, A.; Rashid, N.; Amjad, U.S.; Rehman, M.S.U.; Faisal, A.; Rehman, F. Integrating adsorption and photocatalysis: A cost effective strategy for textile wastewater treatment using hybrid biochar-TiO2 composite. J. Hazard. Mater. 2020, 390, 121623. [Google Scholar]
- Loeb, S.K.; Alvarez, P.J.J.; Brame, J.A.; Cates, E.L.; Choi, W.; Crittenden, J.; Dionysiou, D.D.; Li, Q.; Li-Puma, G.; Quan, X.; et al. The technology horizon for photocatalytic water treatment: Sunrise or sunset? Environ. Sci. Technol. 2019, 53, 2937–2947. [Google Scholar] [CrossRef] [PubMed]
- Fosso-Kankeu, E.; Panday, S.; Sinha Ray, S. Photocatalysis in Advanced Oxidation Processes for Wastewater Treatment; John Wiley & Sons: New York, NY, USA, 2020; Volume 1, p. 320. [Google Scholar]
- Đačanin Far, L.R.; Finčur, N.L.; Ivetić, T.B.; Abramović, B.F.; Štrbac, D.; Bosak, O.; Lukić-Petrović, S.R. Synthesis, characterization, and photocatalytic activity of lithium-indium oxide and its possible improvement by molybdenum-doping. Rom. J. Phys. 2020, 65, 601. [Google Scholar]
- Neon, M.H.K.; Islam, M.S. MoO3 and Ag co-synthesized TiO2 as a novel heterogeneous photocatalyst with enhanced visible-light-driven photocatalytic activity for methyl orange dye degradation. Environ. Nanotech. Monit. Manag. 2019, 12, 100244. [Google Scholar]
- Yang, K.; Li, X.; Yu, C.; Zeng, D.; Chen, F.; Zhang, K.; Huang, W.; Ji, H. Review on heterophase/homophase junctions for efficient photocatalysis: The case of phase transition construction. Chin. J. Catal. 2019, 40, 796–818. [Google Scholar] [CrossRef]
- Chen, Y.; Zhu, G.; Hojamberdiev, M.; Gao, J.; Zhu, R.; Wang, C.; Wei, X.; Liu, P. Three-dimensional Ag2O/Bi5O7I p-n heterojunction photocatalyst harnessing UV-vis-NIR broad spectrum for photodegradation of organic pollutants. J. Hazard. Mater. 2018, 344, 42–54. [Google Scholar] [CrossRef]
- Fiorenza, R.; Bellardita, M.; Balsamo, S.A.; Spitaleri, L.; Guliano, A.; Condorelli, M.; D’Urso, L.; Scire, S.; Palmisano, L. A solar photothermocatalytic approach for the CO2 conversion: Investigation of different synergisms on CuO-CuO/brookite TiO2-CeO2 catalysts. Chem. Eng. J. 2021, 428, 131249. [Google Scholar] [CrossRef]
- Yang, H.; Li, X.; Wang, A.; Wang, Y.; Chen, Y. Photocatalytic degradation of methylene blue by MoO3 modified TiO2 under visible light. Chin. J. Catal. 2014, 35, 140–147. [Google Scholar] [CrossRef]
- Liu, H.; Lv, T.; Zhu, C.; Zhu, Z. Direct bandgap narrowing of TiO2/MoO3 heterostructure composites for enhanced solar-driven photocatalytic activity. Sol. Energy Mater. Sol. C 2016, 153, 1–8. [Google Scholar] [CrossRef] [Green Version]
- Hanaor, D.A.H.; Sorrell, C.C. Review of the anatase to rutile phase transformation. J. Mater. Sci. 2011, 46, 855–874. [Google Scholar] [CrossRef] [Green Version]
- Frank, O.; Zukaiova, M.; Laskova, B.; Kürti, J.; Koltai, J.; Kavan, L. Raman spectra of titanium dioxide (anatase, rutile) with identified oxygen isotopes (16, 17, 18). Phys. Chem. Chem. Phys. 2012, 14, 14567–14572. [Google Scholar] [CrossRef]
- Joya, M.R.; Alfonso, J.E.; Moreno, L.C. Photoluminescence and raman studies of α-MoO3 doped with erbium and neodymium. Curr. Sci. 2019, 116, 1690–1695. [Google Scholar] [CrossRef]
- Diaz-Droguett, D.E.; El Far, R.; Fuenzalide, V.M.; Cabrera, A.L. In situ-Raman studies on thermally induced structural changes of porous MoO3 prepared in vapor phase under He and H2. Mater. Chem. Phys. 2012, 134, 631–638. [Google Scholar] [CrossRef]
- Kroumova, E.; Aroyo, M.I.; Perez Mato, J.M.; Kirov, A.; Capillas, C.; Ivantchev, S.; Wondratschek, H. Bilbao Crystallographic Server: Useful databases and tools for phase transitions studies. Phase Transit. 2003, 76, 155–170. [Google Scholar] [CrossRef]
- Malato, S.; Fernández-Ibáñez, P.; Maldonado, M.I.; Blanco, J.; Gernjak, W. Decontamination and disinfection of water by solar photocatalysis: Recent overview and trends. Catal. Today 2009, 147, 1–59. [Google Scholar] [CrossRef]
- Abramović, B.F.; Despotović, V.N.; Šojić, D.V.; Orčić, D.Z.; Csanádi, J.J.; Četojević-Simin, D.D. Photocatalytic degradation of the herbicide clomazone in natural water using TiO2: Kinetics, mechanism, and toxicity of degradation products. Chemosphere 2013, 93, 166–171. [Google Scholar] [CrossRef] [PubMed]
- Finčur, N.L.; Šćepanović, M.J.; Grujić-Brojčin, M.; Abramović, B.F.; Krstić, J.B.; Kremenović, A.; Srećković, T.; Golubović, A. Adsorption and degradation of some psychiatric drugs by sol-gel synthesized titania-based photocatalysts: Influence of tungsten and sodium content. Sol-Gel Sci. Technol. 2019, 90, 510–524. [Google Scholar] [CrossRef]
- Liu, W.; He, T.; Wang, Y.; Ning, G.; Xu, Z.; Chen, X.; Hu, X.; Wu, Y.; Zhao, Y. Synergistic adsorption-photocatalytic degradation effect and norfoxacin mechanism of ZnO/ZnS@BC under UV-light irradiation. Sci. Rep. 2020, 10, 11903. [Google Scholar] [CrossRef] [PubMed]
- Ivetić, T.B.; Finčur, N.L.; Abramović, B.F.; Dimitrievska, M.; Štrbac, G.R.; Čajko, K.O.; Miljević, B.B.; Đačanin, L.R.; Lukić-Petrović, S.R. Environmentally friendly photoactive heterojunction zinc tin oxide nanoparticles. Ceram. Int. 2016, 42, 3575–3583. [Google Scholar] [CrossRef]
- Ivetić, T.B.; Finčur, N.L.; Đačanin, L.R.; Abramović, B.F.; Lukić-Petrović, S.R. Ternary and coupled binary zinc tin oxide nanopowders: Synthesis, characterization, and potential application in photocatalytic processes. Mater. Res. Bull. 2015, 62, 114–121. [Google Scholar] [CrossRef]
- Ivetić, T.; Finčur, N.; Miljević, B.; Đačanin Far, L.; Lukić-Petrović, S.; Abramović, B. Indium-zinc-oxide nanocrystallites: Preparation, properties and visible-light-generated photocatalytic efficiency in degradation of psychoactive drugs from water systems. Rom. J. Phys. 2018, 63, 608. [Google Scholar]
- Banić, N.D.; Šojić, D.V.; Krstić, J.B.; Abramović, B.F. Photodegradation of neonicotinoid active ingredients and their commercial formulations in water by different advanced oxidation processes. Water Air Soil Pollut. 2014, 225, 1954. [Google Scholar] [CrossRef]
- Finčur, N.; Sfirloaga, P.; Putnik, P.; Despotović, V.; Lazarević, M.; Uzelac, M.; Abramović, B.; Vlazan, P.; Ianasi, C.; Alapi, T.; et al. Removal of emerging pollutants from water using environmentally friendly processes: Photocatalysts preparation, characterization, intermediates identification and toxicity assessment. Nanomaterials 2021, 11, 215. [Google Scholar] [CrossRef] [PubMed]
- Abramović, B.F.; Uzelac, M.M.; Armaković, S.J.; Gašić, U.; Četojević-Simin, D.D.; Armaković, S. Experimental and computational study of hydrolysis and photolysis of antibiotic ceftriaxone: Degradation kinetics, pathways, and toxicity. Sci. Total Environ. 2021, 768, 144991. [Google Scholar] [CrossRef]
- Četojević-Simin, D.D.; Armaković, S.J.; Šojić, D.V.; Abramović, B.F. Toxicity assessment of metoprolol and its photodegradation mixtures obtained by using different type of TiO2 catalysts in the mammalian cell lines. Sci. Total Environ. 2013, 463–464, 968–974. [Google Scholar] [CrossRef]
- Skehan, S.; Storeng, R.; Scudiero, D.; Monks, A.; McMahon, J.; Vistica, D.; Warren, J.T.; Bokesch, H.; Kenney, S.; Boyd, M.R. New colorimetric cytotoxicity assay for anticancer-drug screening. J. Natl. Cancer Inst. 1990, 82, 1107–1112. [Google Scholar] [CrossRef]
- Cetojevic-Simin, D.D.; Bogdanovic, G.M.; Cvetkovic, D.D.; Velicanski, A.S. Antiproliferative and antimicrobial activity of traditional Kombucha and Satureja montana L. Kombucha. J. BUON 2008, 13, 395–401. [Google Scholar]












| Parameters | TiO2 Rutile | TiO2 Anatase | MoO3 Molybdite |
|---|---|---|---|
| Space group | P42/mnm (136) | I41/amd (141) | Pbnm (62) |
| % wt. | 36.8 | 24.6 | 38.6 |
| a (Å) | 4.5930 | 3.7841 | 3.9608 |
| b (Å) | 4.5930 | 3.7841 | 13.8459 |
| c (Å) | 2.9577 | 9.5084 | 3.6972 |
| Cell volume (Å3) | 62.396 | 136.153 | 202.759 |
| Crystallite size (nm) | 214 | 221 | 1462 |
| Strain (%) | 0.003 | 0.086 | 0.042 |
| Evaluation values 1: RWP = 9.73%; Rp = 7.16%; Re = 4.15%; Chi^2 = 5.49. | |||
| Catalyst Type | pH Value | Pollutant Type | ||||
|---|---|---|---|---|---|---|
| QUI | TEM | MET | AMI | CEF | ||
| TiO2 | ~4–5 | 2.3 | 19.6 | 0.7 | 9.2 | 91.6 |
| ~7 | 2.1 | 5.2 | 1.6 | 44.8 | 91.0 | |
| ~9 | 2.2 | 1.3 | 1.5 | 74.5 | 43.1 | |
| MoO3 | ~5–6 | 3.0 | 6.6 | 0.8 | 18.1 | 0.8 |
| ~7 | 3.1 | 7.6 | 0.2 | 19.1 | 1.7 | |
| ~9 | 3.9 | 11.5 | 1.3 | 52.9 | 13.2 | |
| TMO | ~4–6 | 2.0 | 1.1 | 0.1 | 50.5 | 2.0 |
| ~7 | 1.8 | 6.9 | 0.1 | 41.8 | 13.5 | |
| ~9 | 1.9 | 6.5 | 0.2 | 56.7 | 16.6 | |
Publisher’s Note: MDPI stays neutral with regard to jurisdictional claims in published maps and institutional affiliations. |
© 2021 by the authors. Licensee MDPI, Basel, Switzerland. This article is an open access article distributed under the terms and conditions of the Creative Commons Attribution (CC BY) license (https://creativecommons.org/licenses/by/4.0/).
Share and Cite
Ivetić, T.B.; Finčur, N.L.; Šojić Merkulov, D.V.; Despotović, V.N.; Četojević-Simin, D.D.; Armaković, S.J.; Uzelac, M.M.; Bognár, S.I.; Zec, N.J.; Lukić-Petrović, S.R.; et al. Water-Active Titanium/Molybdenum/Mixed-Oxides: Removal Efficiency of Organic Water Pollutants by Adsorption and Photocatalysis and Toxicity Assessment. Catalysts 2021, 11, 1054. https://doi.org/10.3390/catal11091054
Ivetić TB, Finčur NL, Šojić Merkulov DV, Despotović VN, Četojević-Simin DD, Armaković SJ, Uzelac MM, Bognár SI, Zec NJ, Lukić-Petrović SR, et al. Water-Active Titanium/Molybdenum/Mixed-Oxides: Removal Efficiency of Organic Water Pollutants by Adsorption and Photocatalysis and Toxicity Assessment. Catalysts. 2021; 11(9):1054. https://doi.org/10.3390/catal11091054
Chicago/Turabian StyleIvetić, Tamara B., Nina L. Finčur, Daniela V. Šojić Merkulov, Vesna N. Despotović, Dragana D. Četojević-Simin, Sanja J. Armaković, Maria M. Uzelac, Szabolcs I. Bognár, Nataša J. Zec, Svetlana R. Lukić-Petrović, and et al. 2021. "Water-Active Titanium/Molybdenum/Mixed-Oxides: Removal Efficiency of Organic Water Pollutants by Adsorption and Photocatalysis and Toxicity Assessment" Catalysts 11, no. 9: 1054. https://doi.org/10.3390/catal11091054
APA StyleIvetić, T. B., Finčur, N. L., Šojić Merkulov, D. V., Despotović, V. N., Četojević-Simin, D. D., Armaković, S. J., Uzelac, M. M., Bognár, S. I., Zec, N. J., Lukić-Petrović, S. R., & Abramović, B. F. (2021). Water-Active Titanium/Molybdenum/Mixed-Oxides: Removal Efficiency of Organic Water Pollutants by Adsorption and Photocatalysis and Toxicity Assessment. Catalysts, 11(9), 1054. https://doi.org/10.3390/catal11091054

