The Catalytic Oxidation of Formaldehyde by FeOx-MnO2-CeO2 Catalyst: Effect of Iron Modification
Abstract
1. Introduction
2. Results and Discussion
2.1. Characterization of the Catalysts
2.1.1. N2 Adsorption and Desorption
2.1.2. XRD Patterns
2.1.3. H2-TPR
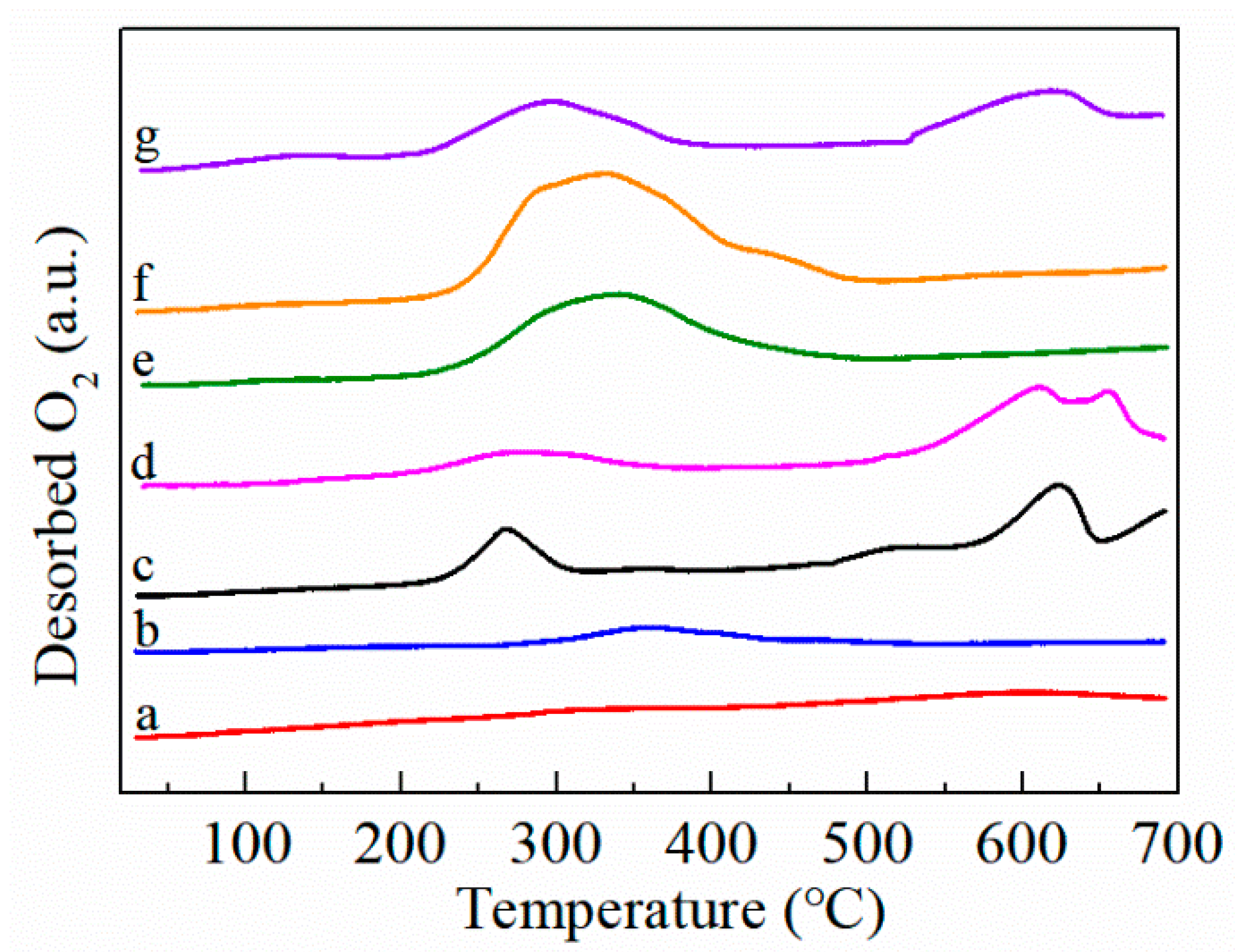
2.1.4. O2-TPD
2.1.5. XPS
2.2. Catalytic Activity
3. Materials and Methods
3.1. Catalyst Preparation
3.2. Characterization
3.3. Catalytic Activity Test
4. Conclusions
Author Contributions
Funding
Data Availability Statement
Conflicts of Interest
References
- Bai, B.; Qiao, Q.; Li, J.; Hao, J. Progress in research on catalysts for catalytic oxidation of formaldehyde. Chin. J. Catal. 2016, 37, 102–122. [Google Scholar] [CrossRef]
- Kamravaei, S.; Shariaty, P.; Lashaki, M.J.; Atkinson, J.D.; Hashisho, Z.; Phillips, J.H.; Anderson, J.E.; Nichols, M. Effffect of beaded activated carbon flfluidization on adsorption of volatile organic compounds. Ind. Eng. Chem. Res. 2017, 56, 1297–1305. [Google Scholar] [CrossRef]
- Lyu, J.; Gao, J.; Zhang, M.; Fu, Q.; Sun, L.; Hu, S.; Zhong, J.; Wang, S.; Li, J. Construction of homojunction-adsorption layer on anatase TiO2 to improve photocatalytic mineralization of volatile organic compounds. Appl. Catal. B Environ. 2017, 202, 664–670. [Google Scholar] [CrossRef]
- Zhu, X.B.; Gao, X.; Qin, R.; Zeng, Y.X.; Qu, R.Y.; Zheng, C.H.; Tu, X. Plasma-cata lytic removal of formaldehyde over Cu-Ce catalysts in a dielectric barrier discharge reactor. Appl. Catal. B Environ. 2015, 170, 293–300. [Google Scholar] [CrossRef]
- Nie, L.; Yu, J.; Jaroniec, M.; Tao, F.F. Room-temperature catalytic oxidation of formaldehyde on catalysts. Catal. Sci. Technol. 2016, 6, 3649–3669. [Google Scholar] [CrossRef]
- Cui, F.H.; Han, W.D.; Si, Y.; Chen, W.K.; Zhang, M.; Kim, H.Y.; Ding, B. In situ synthesis of MnO2@SiO2–TiO2 nanofifibrous membranes for room temperature degradation of formaldehyde. Compos. Commun. 2019, 16, 61–66. [Google Scholar] [CrossRef]
- Liu, F.; Rong, S.; Zhang, P.; Gao, L. One-step synthesis of nanocarbon-decorated MnO2 with superior activity for indoor formaldehyde removal at room temperature. Appl. Catal. B Environ. 2018, 235, 158–167. [Google Scholar] [CrossRef]
- Rong, S.P.; Zhang, P.Y.; Liu, F.; Yang, Y.J. Engineering Crystal Facet of α-MnO2 Nanowire for Highly Efficient Catalytic Oxi-dation of Carcinogenic Airborne Formaldehyde. ACS Catal. 2018, 8, 3435–3446. [Google Scholar] [CrossRef]
- Zhou, J.; Qin, L.F.; Xiao, W.; Zeng, C.; Li, N.; Lv, T.; Zhu, H. Oriented growth of layered-MnO2 nanosheets over ɑ-MnO2 nanotubes for enhanced room-temperat ure HCHO oxidation. Appl. Catal. B Environ. 2017, 207, 233–243. [Google Scholar] [CrossRef]
- Huang, Y.; Long, B.; Tang, M.; Rui, Z.; Balogun, M.-S.; Tong, Y.; Ji, H. Bifunctional catalytic material: An ultrastable and high-performance surface defect CeO2 nanosheets for formaldehyde thermal oxidation and photocatalytic oxidation. Appl. Catal. B Environ. 2016, 181, 779–787. [Google Scholar] [CrossRef]
- Liu, P.; Wei, G.; Liang, X.; Chen, D.; He, H.; Chen, T.; Xi, Y.; Chen, H.; Han, D.; Zhu, J. Synergetic effect of Cu and Mn oxides supported on palygorskite for the catalytic oxidation of formaldehyde: Dispersion, microstructure, and catalytic performance. Appl. Clay Sci. 2018, 161, 265–273. [Google Scholar] [CrossRef]
- Zhu, L.; Wang, J.; Rong, S.; Wang, H.; Zhang, P. Cerium modified birnessite-type MnO2 for gaseous formaldehyde oxidation at low temperature. Appl. Catal. B Environ. 2017, 211, 212–221. [Google Scholar] [CrossRef]
- Lu, S.; Wang, F.; Chen, C.; Huang, F.; Li, K. Catalytic oxidation of formaldehyde over CeO2-Co3O4 catalysts. J. Rare Earths 2017, 35, 867–874. [Google Scholar] [CrossRef]
- Genty, E.; Siffert, S.; Cousin, R. Investigation of reaction mechanism and kinetic modelling for the toluene total oxidation in presence of CoAlCe catalyst. Catal. Today 2019, 333, 28–35. [Google Scholar] [CrossRef]
- Jiang, X.; Li, X.; Wang, J.; Long, D.; Ling, L.; Qiao, W. Three-dimensional Mn–Cu–Ce ternary mixed oxide networks prepared by polymer-assisted deposition for HCHO catalytic oxidation. Catal. Sci. Technol. 2018, 8, 2740–2749. [Google Scholar] [CrossRef]
- Lu, S.H.; Li, K.L.; Huang, F.L.; Chen, C.C.; Sun, B. Efficient MnOx-Co3O4-CeO2 catalysts for formaldehyde elimination. Appl. Surf. Sci. 2017, 400, 277–282. [Google Scholar] [CrossRef]
- Wu, J.; Yi, H.; Tang, X.; Zhao, S.; Xu, J.; Meng, J.; Li, Q. Catalytic oxidation of formaldehyde by MnCo3MOx catalyst: Effect of rare earth elements and temperature. Mater. Chem. Phys. 2020, 240, 122123. [Google Scholar] [CrossRef]
- Jin, C.; Xu, X.; Zhen, W.J.; Jing, H.P. Homogeneous introduction of CeOy into MnOx-based catalyst for oxidation of aromatic VOCs. Appl. Catal B Environ. 2018, 224, 825–835. [Google Scholar]
- Liu, J.R.; Zheng, Y.M.; Zhu, Q.Y.; Dong, Y.X.; Li, K.L. MnOx-CeO1 derived from Mn-Ce-MOFs with Highly Efficient Removal of Formaldehyde. Catal. Surv. Asia 2020, 24, 207–218. [Google Scholar] [CrossRef]
- Chagas, C.A.; de Souza, E.F.; Manfro, R.L.; Landi, S.M.; Souza, M.M.; Schmal, M. Copper as promoter of the NiO-CeO2 cata-lyst in the preferential CO oxidation. Appl. Catal. B Environ. 2016, 182, 257–265. [Google Scholar] [CrossRef]
- Lv, T.; Peng, C.; Zhu, H.; Xiao, W. Heterostructured Fe2O3@SnO2 core-shell nanospindles for enhanced Room-temperature HCHO oxidation. Appl. Surf. Sci. 2018, 457, 83–92. [Google Scholar] [CrossRef]
- Zeng, X.H.; Cheng, G.; Liu, Q.; Yu, W.X.; Yu, L. Novel Ordered Mesoporous γ MnO2 Catalyst for High-Performance Catalytic Oxidation of Toluene and o Xylene. Ing. Eng. Chem. Res. 2019, 58, 13926–13934. [Google Scholar] [CrossRef]
- Carvalho, F.L.; Asencios, Y.J.; Bellido, J.D.; Assaf, E.M. Bio-ethanol steam reforming for hydrogen production over Co3O4/CeO2 catalysts synthesized by one-step polymerization method. Fuel Process. Technol. 2016, 142, 182–191. [Google Scholar] [CrossRef]
- Cai, L.; Hu, Z.H.; Branton, P.; Li, W.C. The effect of doping transition metal oxides on copper manganese oxides for the cata-lytic oxidation of CO. Chin. J. Catal. 2014, 35, 159–167. [Google Scholar] [CrossRef]
- Le, M.T.; Nguyen, T.T.; Pham, P.T.M.; Bruneel, E.; Van Driessche, I. Activated MnO2-Co3O4-CeO2 catalysts for the treatment of CO at room temperature. Appl. Catal. A Gen. 2014, 480, 34–41. [Google Scholar] [CrossRef]
- Chen, J.; Chen, X.; Xu, W.J.; Xu, Z.; Chen, J.Z.; Jia, H.P.; Chen, J. Hydrolysis driving redox reaction to synthesize Mn-Fe binary oxides as highly active catalysts for the removal of toluene. Chem. Eng. J. 2017, 330, 281–293. [Google Scholar] [CrossRef]
- Wang, C.; Liu, H.; Chen, T.; Qing, C.; Zou, X.; Xie, J.; Zhang, X. Synthesis of palygorskite-supported Mn1−xCexO2 clusters and their performance in catalytic oxidation of formaldehyde. Appl. Clay Sci. 2018, 159, 50–59. [Google Scholar] [CrossRef]
- Venkataswamy, P.; Rao, K.N.; Jampaiah, D.; Reddy, B.M. Nanostructured manganese doped ceria solid solutions for CO oxidation at lower temperatures. Appl. Catal. B Environ. 2015, 162, 122–132. [Google Scholar] [CrossRef]
- Sun, H.; Yu, X.L.; Ma, X.Y.; Yang, X.Q.; Lin, M.Y.; Ge, M.F. Mnx-CeO2 catalyst derived from metal-organic frameworks for toluene oxidation. Catal Today 2020, 355, 580–586. [Google Scholar] [CrossRef]
- Cai, T.; Huang, H.; Deng, W.; Dai, Q.; Liu, W.; Wang, X. Catalytic combustion of 1,2-dichlorobenzene at low temperature over Mn-modified Co3O4 catalysts. Appl. Catal. B Environ. 2015, 166–167, 393–405. [Google Scholar] [CrossRef]
- Huang, M.; Mi, R.; Liu, H.; Li, F.; Zhao, X.L.; Zhang, W.; He, S.X.; Zhang, Y.X. Layered manganese oxides-decorated and nickel foam-supported carbon nanotubes as advanced binder-free supercapacitor electrodes. J. Power Sources 2014, 269, 760–767. [Google Scholar] [CrossRef]
- Boyjoo, Y.; Rochard, G.; Giraudon, J.M.; Liu, J.; Lamonier, J.F. Mesoporous MnO2 hollow spheres for enhanced catalytic oxi-dation of formaldehyde. Sustain. Mater. Technol. 2018, 17, e00091. [Google Scholar]
- Hu, F.Y.; Chen, J.J.; Zhao, S.; Li, K.Z.; Si, W.Z. Toluene catalytic combustion over copper modified Mn0.5Ce0.5Ox solid solution sponge-like structures. Appl. Catal. A Gen. 2017, 540, 57–67. [Google Scholar]
- Tang, Q.; Du, J.; Xie, B.; Yu, Y.; Yu, W.C.; Tao, C.Y. Rare earth metal modified three dimensionally ordered macroporous MnOx-CeO2 catalyst for diesel soot combustion. J. Rare Earth. 2018, 36, 64–71. [Google Scholar] [CrossRef]
- Wang, T.; Wan, Z.T.; Yang, X.C.; Zhang, X.Y.; Niu, X.X.; Sun, B.M.; Wang, T.; Wan, Z.T.; Yang, X.C.; Zhang, X.Y. Promotion-al effect of iron modification on the catalytic properties of Mn-Fe/ZSM-5 catalysts in the Fast SCR reaction. Fuel Process Technol. 2018, 169, 112–121. [Google Scholar] [CrossRef]
- Feng, J.; Hou, Z.-Y.; Zhou, X.-Y.; Zhang, H.-L.; Cheng, T.-Q.; Lin, T.; Chen, Y.-Q. Low-temperature catalytic oxidation of toluene over Mn–Co–O/Ce0.65Zr0.35O2 mixed oxide catalysts. Chem. Pap. 2018, 72, 161–172. [Google Scholar] [CrossRef]
- Skaf, M.; Aouad, S.; Hany, S.; Cousin, R.; Abi-Aad, E.; Aboukaïs, A. Physicochemical characterization and catalytic performance of 10% Ag/CeO2 catalysts prepared by impregnation and deposition-precipitation. J. Catal. 2014, 320, 137–146. [Google Scholar] [CrossRef]
- Zhang, X.; Zhao, J.; Song, Z.; Liu, W.; Du, H.X. The catalytic oxidation performance of toluene over the Ce-Mn-Ox catalysts: Effect of synthetic routes. J. Colloid. Interf. Sci. 2020, 562, 170–181. [Google Scholar] [CrossRef] [PubMed]











| Catalyst | SBET (m2·g−1) | Average Pore Diameter (nm) | Pore Volume (cm3 g−1) |
|---|---|---|---|
| CeO2 | 20 | 9.5 | 0.1 |
| Fe3O4 | 22 | 25.9 | 0.2 |
| MnO2 | 22 | 29.1 | 0.2 |
| MnO2-CeO2 | 73 | 10.6 | 0.2 |
| FMC-1:5:5 | 87 | 16.6 | 0.3 |
| FMC-2:5:5 | 99 | 12.2 | 0.4 |
| FMC-3:5:5 | 82 | 11.6 | 0.3 |
| Samples | H2 Consumption (mmol/g) | |
|---|---|---|
| α | β | |
| MnO2-CeO2 | 0.20 | 0.63 |
| FMC-1:5:5 | 0.38 | 1.28 |
| FMC-2:5:5 | 0.32 | 1.65 |
| FMC-3:5:5 | 0.30 | 1.39 |
| Samples | Desorbed O2 (mmol/g) |
|---|---|
| MnO2-CeO2 | 1.45 |
| FMC-1:5:5 | 1.68 |
| FMC-2:5:5 | 1.89 |
| FMC-3:5:5 | 1.71 |
| Sample | Mn4+/(Mn3+ + Mn4+) | Oα/(Oα + Oβ) | Ce3+/(Ce3+ + Ce4+) |
|---|---|---|---|
| MnO2-CeO2 | 37.81% | 58.77% | 20.78% |
| FMC-1:5:5 | 43.51% | 59.42% | 23.29% |
| FMC-2:5:5 | 47.63% | 66.76% | 25.79% |
| FMC-3:5:5 | 46.28% | 62.83% | 21.26% |
Publisher’s Note: MDPI stays neutral with regard to jurisdictional claims in published maps and institutional affiliations. |
© 2021 by the authors. Licensee MDPI, Basel, Switzerland. This article is an open access article distributed under the terms and conditions of the Creative Commons Attribution (CC BY) license (https://creativecommons.org/licenses/by/4.0/).
Share and Cite
Dong, Y.; Su, C.; Liu, K.; Wang, H.; Zheng, Z.; Zhao, W.; Lu, S. The Catalytic Oxidation of Formaldehyde by FeOx-MnO2-CeO2 Catalyst: Effect of Iron Modification. Catalysts 2021, 11, 555. https://doi.org/10.3390/catal11050555
Dong Y, Su C, Liu K, Wang H, Zheng Z, Zhao W, Lu S. The Catalytic Oxidation of Formaldehyde by FeOx-MnO2-CeO2 Catalyst: Effect of Iron Modification. Catalysts. 2021; 11(5):555. https://doi.org/10.3390/catal11050555
Chicago/Turabian StyleDong, Yaxin, Chenguang Su, Kai Liu, Haomeng Wang, Zheng Zheng, Wei Zhao, and Suhong Lu. 2021. "The Catalytic Oxidation of Formaldehyde by FeOx-MnO2-CeO2 Catalyst: Effect of Iron Modification" Catalysts 11, no. 5: 555. https://doi.org/10.3390/catal11050555
APA StyleDong, Y., Su, C., Liu, K., Wang, H., Zheng, Z., Zhao, W., & Lu, S. (2021). The Catalytic Oxidation of Formaldehyde by FeOx-MnO2-CeO2 Catalyst: Effect of Iron Modification. Catalysts, 11(5), 555. https://doi.org/10.3390/catal11050555

