Next Article in Journal
Catalytic Transformation of Renewables (Olefin, Bio-Sourced, et al.)
Previous Article in Journal
Thermochemical Energy Storage Performance Analysis of (Fe,Co,Mn)Ox Mixed Metal Oxides
 
 
Font Type:
Arial Georgia Verdana
Font Size:
Aa Aa Aa
Line Spacing:
Column Width:
Background:
Article

Modification of Ag8SnS6 Photoanodes with Incorporation of Zn Ions for Photo-Driven Hydrogen Production

1
Department of Chemical and Materials Engineering, Chang Gung University, Taoyuan 33302, Taiwan
2
Department of Orthopaedic Surgery, Chang Gung Memorial Hospital, Keelung Branch, Keelung 204, Taiwan
*
Author to whom correspondence should be addressed.
Catalysts 2021, 11(3), 363; https://doi.org/10.3390/catal11030363
Submission received: 29 January 2021 / Revised: 24 February 2021 / Accepted: 8 March 2021 / Published: 10 March 2021
(This article belongs to the Section Photocatalysis)

Abstract

In this study, Zn ions were incorporated into Ag8SnS6 thin films on glass and indium–tin–oxide-coated glass substrates using chemical bath deposition. Detailed procedures for the growth of Ag–Zn–Sn–S semiconductor films and their optical, physical and photoelectrochemical performances were investigated. X-ray diffraction patterns of samples revealed that kesterite Ag2ZnSnS4 phase with a certain amount of Ag8SnS6 phase can be obtained using ethylenediaminetetraacetic acid disodium salt and trisodium citrate as the chelating agent couples. Images of field-emission scanning electron microscope showed that plate-like microstructures with some spherical aggregates were observed for the sample at low Zn content. It changed to irregular spherical grains with the [Zn]/[Sn] ratios being higher than 0.95 in samples. The energy band gaps of the samples were in the range of 1.57–2.61 eV, depending on the [Zn]/[Sn] molar ratio in sample. From the Hall measurements, the carrier concentrations and mobilities of samples were in the ranges of 6.57 × 1012–1.76 × 1014 cm−3 and 7.14–39.22 cm2/V·s, respectively. All samples were n-type semiconductors. The maximum photoelectrochemical performance of sample was 1.38 mA/cm2 in aqueous 0.25 M K2SO3 and 0.35 M Na2S solutions.

1. Introduction

The world consumption of fossil fuel has increased dramatically because of the fast expansion of industrialization and population [1]. However, the main energy sources of industrial applications still come from fossil fuel. The large-scale consumption of fossil fuel results in the production of industrial wastes, such as carbon dioxide, SOx or NOx, which result in the global warming effect, acid rain or the increase in the concentration of particulates in air. To decrease the consumption of fossil fuel, the development and application of renewable energy such as solar, wind, hydropower or geothermal heat have been widely discussed in the academia or the industry [2]. Although the applications of renewable energy are good ways to decrease the consumption of fossil fuel, the variations of renewable energy are the major problem for further applications. Developments of various energy storage systems to store renewable energy are thus necessary. The possible energy storage systems such as Zn–air batteries, Li-based chargeable batteries or supercapacitors have been developed for several decades in order to balance the variations of these renewable energies, but the limitation of these storage capacities is a major obstacle for further application [3,4,5,6]. In contrast, hydrogen energy, which is considered as a clean and high energy density carrier, is a good way to store renewable energy. Converting solar energy into hydrogen gas is a possible way to solve the global energy requirement. Major technologies based on photo-conversion for hydrogen production are photoelectrochemical (PEC) water splitting, photocatalytic reactions or photovoltaic–electrocatalyst tandem cell water splitting [7]. Hydrogen production using the photoelectrochemical reaction is a simple way to obtain hydrogen gas at a certain photoelectrode [8]. However, the photo-driven hydrogen production efficiency for the PEC reactions is still low and far away from the target of industrial application [7,9]. A major obstacle for low photo-driven hydrogen production is the low light absorption, low carrier mobility and high recombination rate of photo-excited electron-hole pairs for these semiconductors. Li and Wu (2015) [9] reviewed and discussed the advantages and weaknesses of these semiconductors. Metal oxides show good stabilities in electrolytes but poor efficiencies for PEC reactions. Metal sulfides are visible-light active semiconductors with good PEC performances. However, their poor stabilities in aqueous solutions limit their further industrial applications. Recently, the interesting ternary I–IV–VI semiconductors and their solid solutions with various II–VI semiconductors have been reported as photoelectrodes used for energy applications under light irradiation [10,11,12,13,14,15,16,17,18,19,20]. However, most reports using I–IV–VI and their solid solution semiconductors have focused on their characterization and application in the photovoltaic-related fields [17,18,19,20]. The reports about the Ag-based I–IV–VI and their solid solutions with II–VI semiconductors are also fewer in number than those for Cu-based semiconductors. For hydrogen productions using Ag-based I–II–IV–VI photoelectrodes, Cheng et al. (2018) [10] observed the influence of Zn contents in samples on the PEC performances of pure Ag2ZnSnS4 photoelectrodes in a salt-water solution. A pure Ag2ZnSnS4 photoelectrode showed a poor PEC performance of 0.19 mA/cm2 at 1.23 V vs. a RHE (reversible hydrogen electrode) in the 0.5 M NaCl aqueous solution. The major reason for the low PEC performance is due to its low carrier concentration. Increasing the Ag content in the Ag2ZnSnS4 photoelectrode resulted in a high carrier concentration and therefore improved its PEC performance. The ratio of [Ag]/[Zn + Sn] at 0.8 and the ratio of [Zn]/[Sn] set at 0.90 in the Ag2ZnSnS4 sample had the highest PEC performance of 0.31 mA/cm2 with the potential set at 1.23 V, versus the relative hydrogen electrode applied on the sample. Almessiere et al. (2015) electrodeposited the Ag–Sn–S thin films on indium–tin–oxide conductive glass substrates. The best PEC performance of their photoelectrode in 0.5 M Na2SO4 was 0.15 mA/cm2 at 0 V vs. Ag/AgCl. Li et al. (2013) [13] also prepared the stannite-type multicomponent metal sulfide (Ag2ZnSnS4) nanoparticles using the solvothermal treatment combined with a post-annealing process. The hydrogen production of 10 μmol/h using these stannite Ag2ZnSnS4 nanoparticles was observed in the aqueous solution containing SO32- and S2- ions under light irradiation. With the loading of 1% Pt nanoparticles on the surface of these stannite Ag2ZnSnS4 nanoparticles, the maximum H2 production of 580 μmol/h was observed due to the fast separation of photo-excited electron-hole pairs. Our group also prepared the Ag8SnS6 photoelectrodes using a simple chemical bath deposition [21]. By adjusting the [Ag]/[Ag + Sn] molar ratio in the reaction bath, pure Ag8SnS6 photoelectrode could be obtained with the [Ag]/[Ag + Sn] molar ratio of 0.5–0.6 in reaction the solution. The best PEC performance of the Ag8SnS6 photoelectrode was 0.71 mA/cm2 in the aqueous solution containing SO32− and S2− ions under light irradiation. Although the Ag–Sn–S and stannite Ag2ZnSnS4 photoelectrodes showed the possibilities for PEC hydrogen production, their poor PEC performances in the aqueous solutions under light irradiation indicate that the Ag-based I–IV–VI and their solid solutions have to be further developed in order to approach the target of industrial application [7,9]. According to the phase diagram of the Ag2SnS3–ZnS system proposed by Nagaoka et al. (2021) [22], ternary Ag–Sn–S (ex. Ag8SnS6) is easily formed during the preparation of the Ag2ZnSnS4 sample. A pure Ag2ZnSnS4 sample with only the stoichiometric ratio of silver, zinc, tin and sulfur powders set in the sample and long heat treatment (~30–40 h) can be obtained. The reports on the phase change with the incorporation of Zn ions into the pure Ag8SnS6 samples and its influence on their PEC performances are still not enough for further industrial applications. In the present study, the incorporation of Zn ions in a solution bath for the growth of Ag–Zn–Sn–S semiconductor thin films was prepared on glass and indium–tin–oxide (ITO) coated glass substrates using a chemical bath deposition (CBD). The influence of Zn ions incorporated into the samples on their phases, morphologies, optical properties and PEC responses in the electrolytes was measured.

2. Resuts and Discussion

In this study, we incorporated the Zn ions into the solution bath for the growth of Ag–Zn–Sn–S multicomponent metal sulfides for solar-driven hydrogen production. The concentrations of Zn ions in the precursor solutions were changed in order to investigate their influences on the crystal phases, surface morphologies, optical properties and their PEC performances in electrolytes. The ratios of [Zn]/[Sn] in the precursor solutions were set at 0.1, 0.15, 0.2, 0.25, 0.3, and 0.35, and named as sample A–F, respectively. In an aqueous reaction bath, thioacetamide undergoes the following reaction [21]:
CH3CSNH2 + H2O ↔ CH3CONH2 + H2S
The following reactions then take place:
H2S + H2O → H3O+ + HS
HS + H2O → H3O+ + S2−
Because of the low solubility of metal sulfide, most metal sulfides are formed as powders suspended in the solution instead of films grown on the surface of substrates. To minimize this process, the chelating agents were used to form complexes with these metal ions. It allowed us to control the release rates of Ag+, Zn2+, and Sn2+ ions during the reactions taking place on the surface of the substrate. With the addition of ethylenediaminetetraacetic acid disodium salt (EDTA) and trisodium citrate, cations of Ag+, Zn2+ and Sn2+ in the solution can form complexes. Then, these metal ion complexes and the sulfide ions migrate to the substrate surface, where the heterogeneous reaction takes place to form binary Ag2S, ZnS and SnS2 films. The oxygen dissolved in the solution bath is the oxidation agent for converting Sn(II) ions to Sn(IV) ions [21]:
[Sn(complex)] + 2H2S + O2(aq) → SnS2 +2H2O + complex ion
After thermal treatments of the samples, the following reaction takes place:
Ag2S + xZnS + ySnS2 → Ag–Zn–Sn–S
Figure 1 shows the XRD patterns of samples after thermal treatments. The standard peaks for Ag8SnS6 (JCPDS card no. 38-434), Ag2ZnSnS4 (JCPDS card no. 35-544) and ZnS (JCPDS card no. 80-20) were also shown in Figure 1. All samples had the Ag2ZnSnS4 phase but the orthorhombic Ag8SnS6 (JCPDS no. 38-434) was also observed. With an increase in the Zn content in the precursor solution (samples A–C), the peak at 2θ of 28.95°, which corresponds to the (0 0 2) crystal plane for the Ag8SnS6, decreased while the peak at 2θ of 27.42°, which corresponds to the (1 1 2) crystal plane for the Ag2ZnSnS4, increased. The peak intensity for the (1 1 2) crystal plane of the Ag2ZnSnS4 was almost the same as that for the (0 0 2) crystal plane of the Ag8SnS6 at the sample C ([Zn]/[Sn] molar ratio of 0.2 in the precursor solution). With a further increase in the Zn content in the precursor solution, (samples D–F), the peaks for the Ag2ZnSnS4 phase decreased and the peaks for the Ag8SnS6 increased. At the high Zn content in the precursor solution, minor amount of SnS (JCPDS no. 79-2193) in samples E and F was observed. According to the phase diagram reported by Nagaoka et al. (2021) [22], the ternary Ag–Sn–S phase is easily formed during the preparation of the Ag2ZnSnS4 sample. For the CBD deposition of metal sulfides on substrates, binary metal sulfides were first formed during the deposition. After thermal treatment (>300 °C), binary metal sulfides react with each other to form ternary metal sulfides such as Ag8SnS6. At higher temperature thermal treatment (>450 °C), the ZnS and the ternary Ag8SnS6 then react with each other to form a Ag2ZnSnS4 sample. At low Zn content in the precursor solution, the ternary Ag8SnS6 was first formed during the thermal treatment. Then the ZnS reacted with some ternary Ag8SnS6 to from the Ag2ZnSnS4 sample. The major phase of sample A was therefore the Ag8SnS6 phase with some amount of Ag2ZnSnS4. With an increase in the Zn content in sample, more ZnS were formed during the CBD. After thermal treatments of samples B and C, the peaks for Ag2ZnSnS4 increased. At the high Zn content in the precursor solution (samples D–F), theoretically, the peak intensity of Ag2ZnSnS4 would increase with an increase in Zn content in the sample. However, the results in Figure 1 show different results.
The possible reason may be due to too high Zn content in the sample, which resulted in the decrease in the peak intensity of the Ag2ZnSnS4 phase. Then, we examined the compositions of samples A–F using EDS (energy-dispersive X-ray spectrometry) analysis. Table 1 shows the molar ratios of samples A–F obtained from EDS analysis. From the results shown in Table 1, we found that the [Zn]/[Sn] molar ratios in the samples were much higher than those set in the precursor solutions. This indicated that the growth rate of ZnS was much higher than that for SnS2. The [Zn]/[Sn] molar ratio for sample C approached to the stoichiometric ratio of the Ag2ZnSnS4 phase. For samples D–F, we found that the [Zn]/[Sn] molar ratios for the samples were much higher than 1. High Zn contents in the samples resulted in the phase separations of the Ag2ZnSnS4, Ag8SnS6 and SnS phases. The phase diagram reported by Nagaoka et al. (2021) [22] showed the same result. A pure Ag2ZnSnS4 sample with only the stoichiometric ratio of silver, zinc, tin and sulfur powders set in the sample at a long time heat treatment (~30–40 h) can be obtained [22]. Additionally, by increasing the Zn content in the precursor solution, the [Zn]/[Sn] molar ratios in samples increased, while the [Ag]/[Zn + Sn] molar ratio in samples decreased. The [Ag]/[Zn + Sn] molar ratios for all samples were greater than 1, which indicated that samples were the Ag-rich Ag–Zn–Sn–S samples. The [S]/[Ag + Zn + Sn] molar ratios in samples obtained from EDS analysis were less than 1, which indicated that some S vacancies formed in the samples. According to the results proposed by Yeh and Cheng (2016) [21] and Hu et al. (2012) [23], the sulfur vacancies were easily formed at the ternary Ag8SnS6 samples.
Figure 2 shows the FE-SEM images of samples A–F at 40 k(X). From the results shown in Figure 2, we found that the surface microstructures of samples were affected by the [Zn]/[Sn] molar ratios in the samples. The plate-like microstructures with some spherical aggregates can be observed at sample A. The plate-like microstructures could be the formation of the Ag8SnS6 phase with the orientation (0 0 2) crystal plane, as shown in Figure 1. The surface microstructures of sample A are similar to those for Ag8SnS6 prepared using a solventless method [23], CBD [21] and those of Cu2SnS3 ternary semiconductors [24]. By increasing the Zn content to 0.15 in the precursor solution (sample (B)), the surface microstructures changed to small plate-like microstructures with large amounts of small grain aggregates. Due to the increase in the intensity of the (1 1 2) crystal plane of Ag2ZnSnS4, the microstructures of the sample changed from plate-like microstructures to small spherical aggregates.
With the [Zn]/[Sn] molar ratio kept at 0.2 in the precursor solution (sample C), the surface microstructures became irregular spherical grains. The plate-like microstructures almost disappeared due to the formation of certain amount for Ag2ZnSnS4 phase with the orientation (1 1 2) crystal plane, as shown in Figure 1. The microstructure of sample C was the same as those of the Ag2ZnSnS4 powders reported by Li et al. (2013) [13] and Liang et al. (2019) [25]. With the Zn content in samples further increasing (samples D–F), the microstructures at sample surface were irregular spherical grains. Some pinholes and cracks were also observed in samples E and F. The thicknesses of the samples obtained from surface profile measurements are 1.8 ± 0.1 μm.
The optical properties of samples are important for the evaluation of their PEC performances under light irradiation. Figure 3 shows the transmittance and reflectance spectra of samples measured at the light wavelength in the range of 350–1750 nm. The reflectance spectra of all samples were in the range of 0–20%. The reflectance spectra of all samples approached to 0% at the light wavelength of less than 880 nm and increased to 20% at the light wavelength of greater 1000 nm. The transmittance spectra of samples were in the range of 0–50%. At the light wavelength of greater than 900 nm, the transmittance spectra of samples approached the maximum value. The maximum transmittance of 50% for sample C was observed. The absorption coefficients (α) of samples can be estimated using the Manifacier model [26]:
α = 1/t ln[(1 − R)/T]
where t is the thickness of the sample and T and R are the transmittance and reflectance data, respectively [26]. The relationship between the absorption coefficient (α) and the incident photon energy (hv) can be written as:
(αhν) = A( − Eg)n
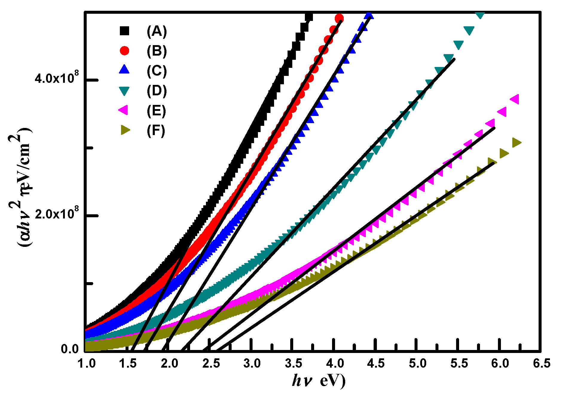
where A is a constant. Generally, n is 1/2 for a direct band gap and 2 for an indirect band gap [27]. The optical energy band gaps (Eg) of samples can be obtained by plotting (αhν)1/n with respect to hv and extrapolating the plot to (αhν)1/n = 0. The linear dependence of (αhν)2 on hv is shown in Figure 4.
The energy band gaps (Eg) of samples A–F obtained from the Figure 4 were 1.57, 1.71, 1.95, 2.16, 2.44 and 2.61 eV, respectively. They are listed in Table 2. The energy band gaps of Ag8SnS6, Ag2ZnSnS4, and ZnS were in the range of 1.28–1.39 eV [21], 2.0–2.1 eV [13,28] and around 3.6 eV [28], respectively. The energy band gap of samples A and B were located in the range between the energy band gaps of Ag8SnS8 and Ag2ZnSnS4. The energy band gap of sample C approached to that for Ag2ZnSnS4 reported in the literature [13,25,28]. The energy band gaps of samples D–F were larger than 2.0 eV due to their high Zn contents in the samples. Some low crystalline ZnS may be formed in the samples although it was not detected in the XRD patterns of samples D–F.
Room-temperature Hall measurements with a magnetic flux of 0.57 T were employed to measure the conduction type, carrier concentration, and mobility of the samples on glass substrates. All samples are n-type semiconductors, which is consistent with previous studies [10,17,25,29]. The carrier concentrations and carrier mobilities of samples were in the ranges of 6.57 × 1012–1.76 × 1014 cm3 and 7.14–39.22 cm2/V·s, respectively. Detailed results are shown in Table 2. The carrier concentrations of samples increased with an increase in Zn content in the samples, while the mobilities of samples increased with increasing Zn content in the samples when the [Z]/[Sn] molar ratio of less than 0.2 was in the reaction solution. After that, the mobility decreased with an increase in the Zn content in the precursor solution. The possible reason is due to the pinholes or cracks formed in the samples, as shown in Figure 2. The pinholes or cracks formed in the samples are the defects that may result in the decrease in the mobilities of the samples and therefore decrease their PEC performances [21]. The carrier concentration and mobility for Ag8SnS6 are 1012 cm−3 and 89.3 cm2/V·s [11,21]. The carrier concentration and mobility of Ag2ZnSnS4 are in the range of 1014–1015 cm−3 and 0.9–7.0 cm2/V·s [17,30]. The carrier concentrations and mobilities of samples were in the range of those for Ag8SnS6 and Ag2ZnSnS4 reported in the literature.
The flat-band potential (EFB) of a sample in an electrolyte is also important for PEC hydrogen production. The relationship between the capacitance (C) of a sample in the electrolyte and the applied voltage (E) is given by the Mott–Schottky equation [21,31]. The Mott-Schottky equation is:
1 / C 2 = ± [ 2 / ( ε ε 0 e N D A 2 ) ] [ E E F B ( k T / e ) ]
where ε is the dielectric constant of the sample, A is the surface area of the sample/electrolyte interface, ND is the sample’s carrier concentration, EFB is the flat-band potential of the sample, e is the electric charge, and ε0 is the permittivity of the vacuum. The slope of the Mott–Schottky plot is +1 (positive) for an n-type semiconductor, and −1 (negative) for a p-type semiconductor. The measurements of Mott–Schottky plots of samples were carried out in the aqueous Na2S (0.35 M) + K2SO3 (0.25 M) solution. The frequency of impedance was set at 10 kHz for these measurements because the equivalent circuit of the samples in the solution can be simplified into a resistance–capacitance (RC) circuit. Figure 5 shows the Mott–Schottky plots for samples in the electrolyte. EFB can be obtained from E0, the point of intersection of a C−2 vs. E plot with the E-axis:
E 0 = E F B + k T / e
The flat-band potentials obtained from the Mott–Schottky plots for samples A–F are −0.84, −0.76, −0.82, −0.80, −0.79 and −0.85 V vs. Ag/AgCl, respectively. They are also listed in Table 2. Since the slopes of the Mott–Schottky plots for all samples are positive, the samples are n-type semiconductors, which is consistent with the Hall measurements. The positions of the conduction and valence bands for samples A–F can be estimated using their flat-band potentials and energy band gaps. Figure 6 shows the band positions of the samples in an aqueous 0.35 M Na2S + 0.25 M K2SO3 solution. The conduction bands of all samples are more negative than the hydrogen reduction potential, making them suitable for hydrogen production.
The current density-applied voltage plots of samples A–F in the dark and under irradiation were employed to examine their PEC performances for hydrogen production. In order to compare with the PEC performances of metal sulfides reported in the literature [13,21,28,30], the aqueous 0.35 M Na2S + 0.25 M K2SO3 solution was employed as the electrolyte. Figure 7 shows the typical current density-applied voltage measurements obtained using the chopping method for samples A–F with applied potentials in the range of −1.0 V to 0.5 V vs. an Ag/AgCl electrode in the 0.25 M Na2S + 0.35 M K2SO3 aqueous solution, respectively.
In the aqueous Na2S + K2SO3 solution, S2− and SO32− ions are hole scavengers, which is the same as those reported in the literature [13,21,27]. Water is reduced to hydrogen by the electrons produced in the conduction band of samples, accompanied by the oxidation of SO32 ions under illumination. The current density of samples at an applied voltage in the Na2S (0.35 M) and K2SO3 (0.25 M) aqueous solution increased under illumination because of the following reactions [13,21,28]:
samples   h v   e +   h +
2 H 2 O + 2   e H 2 + 2 OH
S O 3 2 + 2 O H + 2 h + S O 4 2 + H 2 O
2 S 2 + 2 h + S 2 2
S 2 2 + SO 3 2 S 2 O 3 2 + S 2
S O 3 2 + S 2 + 2 h + S 2 O 3 2
All samples show the increase in anodic current density under illumination in the electrolyte with the applied voltage becoming more positive, which means that the samples were n-type semiconductors. They agree well with those obtained from the Mott–Schottky plots and room-temperature Hall measurements. The differences of current density in the dark and under light irradiation for samples at a certain external bias were named as PEC performances. The PEC performances of samples at 0 V vs. Ag/AgCl are listed in Table 2. The highest PEC performance of samples in this study was 1.38 mA/cm2 in the Na2S (0.35 M) and K2SO3 (0.25 M) solution. It was observed that the PEC performances of the samples increased from 0.23 to 1.38 mA/cm2 when the [Zn]/[Sn] molar ratio in the solution bath was increased from 0.1 to 0.20 (samples A to C). For the [Zn]/[Sn] molar ratios of greater than 0.25 in the precursor solution (samples D–F), their PEC performances decreased. This indicates that there is an optimum [Zn]/[Sn] molar ratio in the sample which leads to the maximum PEC performance under illumination. Several factors such as mobilities, surface microstructures or energy bang gaps of samples may influence their PEC performances in the electrolyte. Bronger and Carius [32] reported that carrier mobility is an important property for the efficiency of solar cells. Low carrier mobility leads to high carrier recombination, which could limit the efficiency of solar cells. Sample C had the highest PEC performance due to its highest carrier mobility and poor PEC performance for sample F was observed due to it having the lowest carrier mobility. The stability of sample C was tested in the K2SO3 (0.25 M) and Na2S (0.35 M) aqueous solution under illumination, as is given in Figure 8. The anodic current changed from 1.40 mA/cm2 to 1.20 mA/cm2 in the aqueous solution during a 1000 sec stability test. These experimental results show that the Ag–Zn–Sn–S sample with an [Zn]/[Sn] molar ratio of 0.95 in the sample had the highest PEC performance in the electrolyte containing S2− and SO32− ions under illumination.

3. Materials and Methods

The incorporation of Zn ions in the reaction bath for the growth of Ag–Zn–Sn–S samples on substrates was carried out. Multi-component Ag–Zn–Sn–S thin films were directly deposited on the surface of glass or ITO-coated glass substrates using CBD. The detailed deposition procedure is similar to that used in a previous study [21]. Aqueous cationic and anionic solutions were prepared separately before the growth of films. The cationic solution contained 4 mL of AgNO3 (0.4 M), 3 mL of 0.04–0.14 M Zn(NO3)2, 3 mL of SnCl2 (0.4 M), 1.25 mL of NH4NO3 (0.4 M buffer solution), 10 mL of tri-sodium citrate (0.4 M chelating agent I), and 0.54 mL of 0.4 M ethylenediaminetetraacetic acid disodium salt (Na2-EDTA, chelating agent II). The pH value of the bath was kept at 1 using concentrated H2SO4 in order to decrease the formation of metal complexes such as Sn(OH)2. 35 mL of 0.6 M thioacetamide (TAA, CH3CSNH2) solution, the source of S2− ions, was then added into the cationic solution and mixed well. Pre-cleaned glass or ITO-coated glass substrates were placed vertically into the reaction solution. The reaction solution was put on a hot plate with magnetic stirring and the reaction temperature of the solution was kept at 70 °C. After 4 h of deposition, the samples were removed and cleaned ultrasonically in a water bath for 5 min in order to obtain uniform and compact samples, which were then dried in an oven at 70 °C. The detailed deposition parameters are shown in Table 3. The annealing of Ag–Zn–Sn–S metal samples was carried out in a closed graphite container. The graphite box was loaded into an evacuated quartz tube under a rapid thermal annealing (RTA) process in order to obtain Ag–Zn–Sn–S thin films. The chamber used for RTA was first evacuated to 5.0 × 10−3 Torr in order to avoid the influence of oxygen gas. Thermal treatment of Ag–Zn–Sn–S samples was set at 160 °C for 5 min. and 450 °C for 5 min.
The crystallographic study of films on glass substrates was carried out using an X-ray diffractometer (D2-Phaser X-ray diffractometer, Bruker, A26-X1-1) with CuKα (λ = 1.5405 Å) radiation. The X-ray diffraction (XRD) patterns of samples were recorded in the 2θ range of 10° to 90°. The surface morphology and composition of the film were analyzed using a field emission scanning electron microscope (FE-SEM; JEOL JSM-7500F) equipped with an energy-dispersive X-ray spectrometry (EDS). The spectral transmittance and reflectance of the samples were measured using an ultraviolet-visible-near-infrared (UV-VIS-NIR) spectrophotometer with an integrating sphere (JASCO V-670) in the wavelength range of 350–1750 nm at room temperature. The thickness of the samples was determined using a surface profiler (Surfcorder ET 3000). The mobility, resistivity, and carrier concentrations of the samples were measured using room-temperature Hall measurements (Ecopia HMS-3000) with a magnetic flux of 0.57 T.
The Mott–Schottky plots of samples were measured using a computer-controlled potentiostat (CH Instruments, 600C) equipped with a frequency response analyzer. A three-electrode setup was employed, where the samples, a Pt plate electrode and an Ag/AgCl electrode were the working, counter, and reference electrodes, respectively. The electrolyte, aqueous K2SO3 (0.25 M) and Na2S (0.35 M), was freshly prepared using de-ionized water and degassed by purging with high-purity nitrogen, followed by ultrasonication for 30 min before each experiment. The frequency of 10 kHz was set for the measurement of Mott–Schottky plots of samples. All experiments were carried out in a nitrogen environment at a temperature of 25 °C. The applied potentials were in the range of −1.0–0.0 V vs. an Ag/AgCl electrode.
The measurements of PEC performances of the samples were carried out in a quartz electrolytic cell with the sample (average area = 1.0 cm2), a Pt plate electrode (average area = 1.0 cm2), and an Ag/AgCl electrode as the working, counter, and reference electrodes, respectively. An aqueous K2SO3 (0.25 M) and Na2S (0.35 M) solution was used as the electrolyte. All measurements were carried out in a nitrogen environment at a temperature of 25 °C. Current densities, as a function of the applied potential (−1.0–0.5 V vs. an Ag/AgCl electrode) for the samples, were recorded with a computer-controlled potentiostat (CHI 600 C) for all PEC experiments. A 300-W Xe short arc lamp (Perkin Elmer PE300BF) with a white light intensity of 100 mW/cm2 was employed to simulate solar light.

4. Conclusions

In this study, ternary Ag8SnS6 thin films with the incorporation of Zn ions were deposited onto glass and ITO-coated glass substrates using CBD. With an increase in Zn content in precursor solution, the peak for the (1 1 2) crystal plane for the Ag2ZnSnS4 increased while the peak for the (0 0 2) crystal plane for the Ag8SnS6 decreased. The peak intensity for the (1 1 2) crystal plane of the Ag2ZnSnS4 is almost the same as that for the (0 0 2) crystal plane of the Ag8SnS6 at the [Zn]/[Sn] molar ratio of 0.2 in precursor solution. With a further increase in the Zn content in the samples, the peak for Ag2ZnSnS4 phase decreased and the peak for Ag8SnS6 increased. There were some sulfur defects in the samples. FE-SEM images showed the plate-like microstructures were observed for the Ag8SnS6 phase with the preferred orientation of the (0 0 2) crystal plane. It changed to irregular spherical grains due to the formation of the Ag2ZnSnS4 phase with the preferred orientation (1 1 2) crystal plane. The band gaps and carrier concentrations of the samples were in the ranges of 1.57–2.61 eV and 6.57 × 1012–1.76 × 1014 cm−3, respectively. The flat band potentials and mobilities of the samples were in the ranges of −0.76 V to −0.85 V vs. an Ag/AgCl electrode and 7.14–39.22 cm2/V·s, respectively. The highest PEC performance of the samples prepared in this study was found to be 1.38 mA/cm2 under illumination using a 300-W Xe lamp system with the light intensity set at 100 mW/cm2 due to the influence of carrier mobility of samples. The Ag–Zn–Sn–S polycrystalline film deposition on ITO-coated glass using CBD is thus a suitable process for industrial applications.

Author Contributions

The preparation and characterization of the Ag–Zn–Sn–S samples on substrates were carried out by L.-Y.Y. The analysis of the physical and PEC properties of samples were carried out by L.-Y.Y. The design of the experiment and the writing and correction of this manuscript was made by K.-W.C. and all authors have given approval to this manuscript. All authors have read and agreed to the published version of the manuscript.

Funding

This work was sponsored by the Ministry of Science and Technology of Taiwan, under grants of 106-2628-E-182-002-MY3(NERPD2G0293), 109-2221-E-182-001 (NERPD2K0021) and Chang Gung Memorial Hospital under grant no. BMRP948.

Data Availability Statement

The data presented in this study are available on request from the corresponding author.

Acknowledgments

The authors thank the Chang Gung University Microscope Center for the analysis of SEM.

Conflicts of Interest

The authors declare no conflict of interest.

References

  1. Zou, X.; Sun, Z.; Hu, Y.H. g-C3N4-based photoelectrodes for photoelectrochemical water splitting: A review. J. Mater. Chem. A 2020, 8, 21474–21502. [Google Scholar] [CrossRef]
  2. Reddy, C.V.; Reddy, K.R.; Shetti, N.P.; Shim, J.; Aminabhavi, T.M.; Dionysiou, D.D. Hetero-nanostructured metal oxide-based hybrid photocatalysts for enhanced photoelectrochemical water splitting: A review. Int. J. Hydrogen Energ. 2020, 45, 18331–18347. [Google Scholar] [CrossRef]
  3. Saad, A.; Cheng, Z.; Shen, H.; Thomas, T.; Yang, M. Recent Advances in Nanocasting Cobalt-Based Mesoporous Materials for Energy Storage and Conversion. Electrocatalysis 2021, 11, 465–484. [Google Scholar] [CrossRef]
  4. Chen, Y.; Kang, Y.; Zhao, Y.; Wang, L.; Liu, J.; Li, Y.; Liang, Z.; He, X.; Li, X.; Tavajohi, N.; et al. A review of lithium-ion battery safety concerns: The issues, strategies, and testing standards. J. Energy Chem. 2021, 59, 83–99. [Google Scholar] [CrossRef]
  5. Zhao, J.A.; Burke, A.F. Review on supercapacitors: Technologies and performance evaluation. J. Energy Chem. 2021, 59, 276–291. [Google Scholar] [CrossRef]
  6. Che, D.; Lu, M.; Cai, D.; Yang, H.; Han, W. Recent advances in energy storage mechanism of aqueous zinc-ion batteries. J. Energy Chem. 2021, 54, 712–726. [Google Scholar]
  7. Dai, Y.; Yu, J.; Cheng, C.; Tan, P.; Ni, M. Engineering the interfaces in water-splitting photoelectrodes—An overview of the technique development. J. Mater. Chem. A 2020, 8, 6984–7002. [Google Scholar] [CrossRef]
  8. Cheng, K.W.; Hinaro, K.; Antony, M.P. Photoelectrochemical water splitting using Cu(In,Al)Se2 photoelectrodes developed via selenization of sputtered Cu–In–Al metal precursors. Solar Energy Mater. Sol. Cells 2016, 151, 120–130. [Google Scholar] [CrossRef]
  9. Li, J.; Wu, N. Semiconductor-based photocatalysts and photoelectrochemical cells for solar fuel generation, a review. Catal. Sci. Technol. 2015, 5, 1360–1384. [Google Scholar] [CrossRef]
  10. Cheng, K.W.; Hong, S.W. Influences of silver and zinc contents in the stannite Ag2ZnSnS4 photoelectrodes on their photoelectrochemical performances in the saltwater solution. ACS Appl. Mater. Interface 2018, 10, 22130–22142. [Google Scholar] [CrossRef] [PubMed]
  11. Cheng, K.W.; Tasi, W.T.; Wu, Y.H. Photo-enhanced salt-water splitting using orthorhombic Ag8SnS6 photoelectrodes in photoelectrochemical cells. J. Power Sources 2016, 317, 81–92. [Google Scholar] [CrossRef]
  12. Almessiere, M.A.; Al-Otaibi, A.L.; Assaker, I.B.; Ghirb, T.; Chtourou, R. Electrodeposited and characterization of Ag–Sn–S semiconductor thin films. Mater. Sci. Semicond. Process. 2015, 40, 267–275. [Google Scholar] [CrossRef]
  13. Li, B.; Chai, B.; Peng, T.; Mao, J.; Zan, L. Synthesis of multicomponent sulfide Ag2ZnSnS4 as an efficient photocatalyst for H2 production under visible light irradiation. RSC Adv. 2013, 3, 253–258. [Google Scholar] [CrossRef]
  14. Shelke, H.D.; Lokhande, A.C.; Patil, A.M.; Kim, J.H.; Lokhande, C.D. Cu2SnS3 thin film: Structural, morphological, optical and photoelectrochemical studies. Surf. Interface 2017, 9, 238–244. [Google Scholar] [CrossRef]
  15. Shelke, H.D.; Lokhande, A.C.; Kim, J.H.; Lokhande, C.D. Photoelectrochemical (PEC) studies on Cu2SnS3 (CTS) thin films deposited by chemical bath deposition method. J. Colloid Interface Sci. 2017, 506, 144–153. [Google Scholar] [CrossRef]
  16. Cheng, K.W. Photoelectrochemical performances of kesterite Ag2ZnSnSe4 photoelectrodes in the salt-water and water solutions. J. Taiwan Inst. Chem. Eng. 2017, 75, 199–208. [Google Scholar] [CrossRef]
  17. Ma, C.; Guo, H.; Zhang, K.; Li, Y.; Yuan, N.; Ding, J. The preparation of Ag2ZnSnS4 homojunction solar cells. Mater. Lett. 2017, 207, 209–212. [Google Scholar] [CrossRef]
  18. Guo, H.; Ma, C.; Zhang, K.; Jia, X.; Li, Y.; Yuan, N.; Ding, J. The fabrication of Cd-free Cu2ZnSnS4-Ag2ZnSnS4 heterojuntion photovoltaic devices. Solar Energy Mater. Solar Cells 2018, 178, 146–153. [Google Scholar] [CrossRef]
  19. Qi, Y.; Tian, Q.; Meng, Y.; Kou, D.; Zhou, Z.; Zhou, W.; Wu, S. Elemental Precursor Solution Processed (Cu1-xAgx)2ZnSn(S,Se)4 Photovoltaic Devices with over 10 % Efficiency. ACS Appl. Mater. Interface 2017, 9, 21243–21250. [Google Scholar] [CrossRef]
  20. Hages, C.J.; Koeper, M.K.; Agrawal, R. Optoelectronic and Material Properties of Nanocrystal-based CZTSe Absorbers with Ag-alloying. Solar Energy Mater. Solar Cells 2016, 145, 342–348. [Google Scholar] [CrossRef]
  21. Yhe, L.Y.; Cheng, K.W. Preparation of chemical bath synthesized ternary Ag-Sn-S thin films as the photoelectrodes in photoelectrochemical cell. J. Power Sources 2015, 275, 750–759. [Google Scholar]
  22. Nogaoka, A.; Yoshino, K.; Kakimoto, K.; Nishioka, K. Phase diagram of the Ag2SnS3–ZnS pseudobinary system for Ag2ZnSnS4 crystal growth. J. Cryst. Growth 2021, 555, 125967. [Google Scholar] [CrossRef]
  23. Hu, W.Q.; Shi, Y.F.; Wu, L.M. Synthesis and shape control of Ag8SnS6 submicropriamids with high surface energy. Cryst. Growth Des. 2012, 12, 3458–3464. [Google Scholar] [CrossRef]
  24. Liang, X.; Cai, Q.; Xiang, W.; Chen, Z.; Zhong, J.; Wang, Y.; Shao, M.; Li, Z. Preparation and characterization of flower-like Cu2SnS3 nanostructures by solvothermal route. J. Mater. Sci. Technol. 2013, 29, 231–236. [Google Scholar] [CrossRef]
  25. Liang, X.; Wang, P.; Huang, B.; Zhang, Q.; Wang, Z.; Liu, Y.; Zheng, Z.; Qin, X.; Zhang, X.; Dai, Y. Ag2ZnSnS4/Mo-mesh photoelectrode prepared by electroplating for efficient photoelectrochemical hydrogen generation. J. Mater. Chem. 2019, 7, 1647–1657. [Google Scholar] [CrossRef]
  26. Manifacier, J.C.; De Murcia, M.; Fillard, J.P.; Vicario, E. Optical and electrical properties of SnO2 thin films in relation to their stoichiometric deviation and their crystalline structure. Thin Solid Films 1977, 41, 127–135. [Google Scholar] [CrossRef]
  27. Hagfeidt, A.; Grätzel, M. Light-induced redox reactions in nanocrystalline systems. Chem. Rev. 1995, 95, 49–68. [Google Scholar] [CrossRef]
  28. Tsuji, I.; Shimodaira, Y.; Kato, H.; Kobayashi, H.; Kudo, A. Novel Stannite-type Complex Sulfide Photocatalysts AI2-Zn-AIV-S4 (AI = Cu and Ag; AIV = Sn and Ge) for Hydrogen Evolution under Visible-Light Irradiation. Chem. Mater. 2010, 22, 1402–1409. [Google Scholar] [CrossRef]
  29. Saha, A.; Figueroba, A.; Konstantatos, G. Ag2ZnSnS4 nanocrystals expand the availability of RoHS compliant colloidal quantum dots. Chem. Mater. 2020, 32, 2148–2155. [Google Scholar] [CrossRef]
  30. Yeh, L.Y.; Cheng, K.W. Preparation of the Ag-Zn-Sn-S quaternary photoelectrodes using chemical bath deposition for photoelectrochemical applications. Thin Solid Films 2014, 558, 289–293. [Google Scholar] [CrossRef]
  31. Cardon, F.; Gomes, W.P. On the determination of the flat band potential of a semiconductor in contact with a metal or an electrolyte from the Mott-Schottky plot. J. Phys. D Appl. Phys. 1978, 11, L63–L67. [Google Scholar] [CrossRef]
  32. Bronger, T.; Carius, R. Carrier mobilities in microcrystalline silicon films. Thin Solid Films 2007, 515, 7486–7489. [Google Scholar] [CrossRef]
Figure 1. XRD patterns of samples prepared in this study.
Figure 1. XRD patterns of samples prepared in this study.
Catalysts 11 00363 g001
Figure 2. FE-SEM images of samples (AF).
Figure 2. FE-SEM images of samples (AF).
Catalysts 11 00363 g002aCatalysts 11 00363 g002b
Figure 3. Transmittance and reflectance spectra versus light wavelength for all samples.
Figure 3. Transmittance and reflectance spectra versus light wavelength for all samples.
Catalysts 11 00363 g003
Figure 4. Plots of (αhν)2 versus incident photon energy (hv) for all samples.
Figure 4. Plots of (αhν)2 versus incident photon energy (hv) for all samples.
Catalysts 11 00363 g004
Figure 5. Mott–Schottky plots of samples in the aqueous 0.25 M Na2S + 0.35 M K2SO3 solution (pH value of electrolyte = 13.3).
Figure 5. Mott–Schottky plots of samples in the aqueous 0.25 M Na2S + 0.35 M K2SO3 solution (pH value of electrolyte = 13.3).
Catalysts 11 00363 g005
Figure 6. Band position of samples in the aqueous 0.25 M Na2S + 0.35 M K2SO3 solution.
Figure 6. Band position of samples in the aqueous 0.25 M Na2S + 0.35 M K2SO3 solution.
Catalysts 11 00363 g006
Figure 7. Current density-applied voltage plots for samples in the aqueous 0.25 M Na2S + 0.35 M K2SO3 solution.
Figure 7. Current density-applied voltage plots for samples in the aqueous 0.25 M Na2S + 0.35 M K2SO3 solution.
Catalysts 11 00363 g007aCatalysts 11 00363 g007b
Figure 8. Current density of sample C as a function of time at applied voltage of 0 V vs. Ag/AgCl in the 0.35 M Na2S + 0.25 M K2SO3 solution.
Figure 8. Current density of sample C as a function of time at applied voltage of 0 V vs. Ag/AgCl in the 0.35 M Na2S + 0.25 M K2SO3 solution.
Catalysts 11 00363 g008
Table 1. Molar ratios of samples obtained from EDS analysis.
Table 1. Molar ratios of samples obtained from EDS analysis.
Sample[Zn]/[Sn]
in Precursor Solution
Molar Ratios of Samples (from EDS Analysis)
[Zn]/[Sn][Ag]/[Zn + Sn][S]/[Ag + Zn + Sn]
A0.100.71 ± 0.031.38 ± 0.050.82 ± 0.04
B0.150.84 ± 0.031.36 ± 0.040.82 ± 0.04
C0.200.95 ± 0.051.31 ± 0.050.82 ±0.04
D0.251.20 ± 0.051.12 ± 0.040.82 ±0.03
E0.301.36 ± 0.041.05 ± 0.030.81 ± 0.03
F0.351.60 ± 0.031.02 ± 0.040.79 ± 0.02
Table 2. Physical properties of samples prepared in this study. EFB: flat-band potential; PEC: photoelectrochemical.
Table 2. Physical properties of samples prepared in this study. EFB: flat-band potential; PEC: photoelectrochemical.
SampleCarrier ConcentrationMobilityPEC PerformancesEgEFBConduction Type
cm−3cm2/V·smA/cm2 at 0 V vs. Ag/AgCleVV vs. Ag/AgCl
A6.57 × 101211.370.231.57−0.84n
B1.23 × 101329.301.301.71−0.76n
C1.85 × 101339.221.381.92−0.82n
D3.94 × 101322.440.692.16−0.80n
E6.23 × 101313.610.512.44−0.79n
F1.76 × 10147.140.172.61−0.85n
Table 3. Deposition parameters of chemical-bath-synthesized Ag–Zn–Sn–S semiconductor films. EDTA: ethylenediaminetetraacetic acid disodium salt; TAA: thioacetamide.
Table 3. Deposition parameters of chemical-bath-synthesized Ag–Zn–Sn–S semiconductor films. EDTA: ethylenediaminetetraacetic acid disodium salt; TAA: thioacetamide.
Sample4 mL
Ag(NO3)
3 mL
Zn(NO2)3
3 mL
SnCl2
0.4 M
NH4NO3
0.4 M
EDTA
0.4 M
Trisodium Citrate
0.6 M
TAA
pH
(M)(M)(M)(mL)(mL)(mL)(mL)
A0.40.040.41.250.5410351
B0.40.060.41.250.5410351
C0.40.080.41.250.5410351
D0.40.10.41.250.5410351
E0.40.120.41.250.5410351
F0.40.140.41.250.5410351
Publisher’s Note: MDPI stays neutral with regard to jurisdictional claims in published maps and institutional affiliations.

Share and Cite

MDPI and ACS Style

Yeh, L.-Y.; Cheng, K.-W. Modification of Ag8SnS6 Photoanodes with Incorporation of Zn Ions for Photo-Driven Hydrogen Production. Catalysts 2021, 11, 363. https://doi.org/10.3390/catal11030363

AMA Style

Yeh L-Y, Cheng K-W. Modification of Ag8SnS6 Photoanodes with Incorporation of Zn Ions for Photo-Driven Hydrogen Production. Catalysts. 2021; 11(3):363. https://doi.org/10.3390/catal11030363

Chicago/Turabian Style

Yeh, Lin-Ya, and Kong-Wei Cheng. 2021. "Modification of Ag8SnS6 Photoanodes with Incorporation of Zn Ions for Photo-Driven Hydrogen Production" Catalysts 11, no. 3: 363. https://doi.org/10.3390/catal11030363

APA Style

Yeh, L.-Y., & Cheng, K.-W. (2021). Modification of Ag8SnS6 Photoanodes with Incorporation of Zn Ions for Photo-Driven Hydrogen Production. Catalysts, 11(3), 363. https://doi.org/10.3390/catal11030363

Note that from the first issue of 2016, this journal uses article numbers instead of page numbers. See further details here.

Article Metrics

Back to TopTop