Production of Chlorine Dioxide Using Hydrogen Peroxide and Chlorates
Abstract
:1. Introduction
2. Results and Discussion
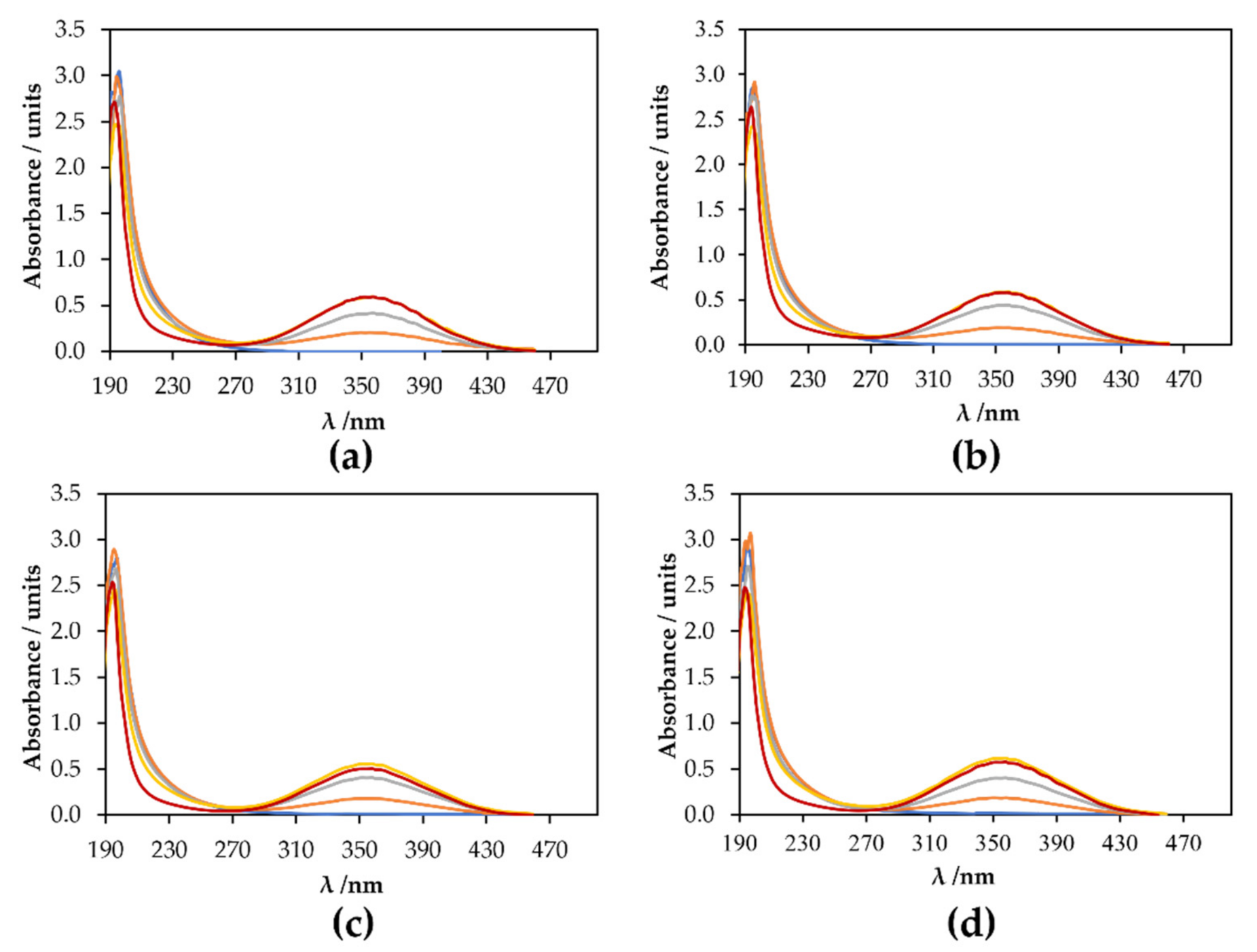
2.1. Production of Chlorine Dioxide
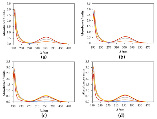
2.2. Reproducibility in the Production of ClO2
3. Materials and Methods
3.1. Chemicals
3.2. Experimental Setup
3.3. Characterization Methods
4. Conclusions
- ClO2 can be produced by the reduction of chlorate with hydrogen peroxide in strongly acidic media. Further reduced chlorinates species can be produced when chlorate is exhausted from the reaction media. This is because ClO2 is further reduced to chlorite and even to hypochlorous acid/chlorine.
- There is a good relationship between the height of the absorption peak at 360 nm and the amount of the limiting reagent consumed in the production of chlorine dioxide, which allows the use of the spectrophotometric measurement to quantify this important oxidant. A value of 13.586 mmol/absorption unit was found by fitting experimental results obtained in a set of tests in which the ratio of hydrogen peroxide/chlorate was evaluated.
- Part of the chlorine dioxide produced is stripped to the gas flow producing gas with high oxidation capacity.
- Reproducibility of the reaction is very high with standard deviations in the range 0.14–0.49 mmol L−1 during the oxidation (3.6–6.5% of the average values). If a suitable hydrogen peroxide/chlorate is used and chlorate is not exhausted from the reaction media, production of chlorine dioxide can be very high with conversions near 100%.
Author Contributions
Funding
Data Availability Statement
Conflicts of Interest
References
- Crump, B.; Ernst, W.R.; Neumann, H.M. Influence of H2O2 on a chloride-dependent reaction path to chlorine dioxide. AIChE J. 1998, 44, 2494–2500. [Google Scholar] [CrossRef]
- Zada, A.; Khan, M.; Khan, M.A.; Khan, Q.; Habibi-Yangjeh, A.; Dang, A.; Maqbool, M. Review on the hazardous applications and photodegradation mechanisms of chlorophenols over different photocatalysts. Environ. Res. 2021, 195, 110742. [Google Scholar] [CrossRef]
- Al-Otoum, F.; Al-Ghouti, M.A.; Ahmed, T.A.; Abu-Dieyeh, M.; Ali, M. Disinfection by-products of chlorine dioxide (chlorite, chlorate, and trihalomethanes): Occurrence in drinking water in Qatar. Chemosphere 2016, 164, 649–656. [Google Scholar] [CrossRef]
- Herraiz-Carboné, M.; Lacasa, E.; Cotillas, S.; Vasileva, M.; Cañizares, P.; Rodrigo, M.A.; Sáez, C. The role of chloramines on the electrodisinfection of Klebsiella pneumoniae in hospital urines. Chem. Eng. J. 2021, 409, 128253. [Google Scholar] [CrossRef]
- Marín, A.; Tudela, J.A.; Garrido, Y.; Albolafio, S.; Hernández, N.; Andújar, S.; Allende, A.; Gil, M.I. Chlorinated wash water and pH regulators affect chlorine gas emission and disinfection by-products. Innov. Food Sci. Emerg. Technol. 2020, 66, 102533. [Google Scholar] [CrossRef]
- Bergmann, H.; Koparal, S. The formation of chlorine dioxide in the electrochemical treatment of drinking water for disinfection. Electrochim. Acta 2005, 50, 5218–5228. [Google Scholar] [CrossRef]
- Sales Monteiro, M.K.; Sales Monteiro, M.M.; de Melo Henrique, A.M.; Llanos, J.; Saez, C.; Dos Santos, E.V.; Rodrigo, M.A. A review on the electrochemical production of chlorine dioxide from chlorates and hydrogen peroxide. Curr. Opin. Electrochem. 2021, 27, 100685. [Google Scholar] [CrossRef]
- Deshwal, B.R.; Lee, H.K. Kinetics and mechanism of chloride based chlorine dioxide generation process from acidic sodium chlorate. J. Hazard. Mater. 2004, 108, 173–182. [Google Scholar] [CrossRef] [PubMed]
- Bergmann, H. Electrochemical disinfection—State of the art and tendencies. Curr. Opin. Electrochem. 2021, 28, 100694. [Google Scholar] [CrossRef]
- Deshwal, B.R.; Lee, H.K. Manufacture of chlorine dioxide from sodium chlorate: State of the art. J. Ind. Eng. Chem. 2005, 11, 330–346. [Google Scholar]
- Vincenti, S.; de Waure, C.; Raponi, M.; Teleman, A.A.; Boninti, F.; Bruno, S.; Boccia, S.; Damiani, G.; Laurenti, P. Environmental surveillance of Legionella spp. colonization in the water system of a large academic hospital: Analysis of the four–year results on the effectiveness of the chlorine dioxide disinfection method. Sci. Total. Environ. 2019, 657, 248–253. [Google Scholar] [CrossRef]
- Lv, J.; Ou, C.; Fu, M.; Xu, Z. Characteristics and transformation pathways of venlafaxine degradation during disinfection processes using free chlorine and chlorine dioxide. Chemosphere 2021, 276, 130147. [Google Scholar] [CrossRef]
- Wu, C.T.; Chang, C.Y.; Li, Y.Y.; Kuan, Y.L.; Lin, P.H. An efficiency analysis for the production of chlorine dioxide by the electrolysis of brine in seawater desalination plants. Water Qual. Res. J. 2019, 54, 127–133. [Google Scholar] [CrossRef]
- Qian, Y.; Chen, Y.; Jiang, Y.; Zhang, L. A clean production process of sodium chlorite from sodium chlorate. J. Clean. Prod. 2007, 15, 920–926. [Google Scholar] [CrossRef]
- Pillai, K.C.; Kwon, T.O.; Park, B.B.; Moon, I.S. Using RuO2 anode for chlorine dioxide production in an un-divided electrochemical cell. Water Sci. Technol. 2010, 61, 2151–2160. [Google Scholar] [CrossRef]
- Pillai, K.C.; Kwon, T.O.; Park, B.B.; Moon, I.S. Studies on process parameters for chlorine dioxide production using IrO2 anode in an un-divided electrochemical cell. J. Hazard. Mater. 2009, 164, 812–819. [Google Scholar] [CrossRef] [PubMed]
- Brito, C.d.N.; de Araújo, D.M.; Martínez-Huitle, C.A.; Rodrigo, M.A. Understanding active chlorine species production using boron doped diamond films with lower and higher sp3/sp2 ratio. Electrochem. Commun. 2015, 55, 34–38. [Google Scholar] [CrossRef]
- Bergmann, M.E.H.; Rollin, J. Product and by-product formation in laboratory studies on disinfection electrolysis of water using boron-doped diamond anodes. Catal. Today 2007, 124, 198–203. [Google Scholar] [CrossRef]
- Ryu, S.Y.; Hoffmann, M.R. Mixed-metal semiconductor anodes for electrochemical water splitting and reactive chlorine species generation: Implications for electrochemicalwastewater treatment. Catalysts 2016, 6, 59. [Google Scholar] [CrossRef] [Green Version]
- Mostafa, E.; Reinsberg, P.; Garcia-Segura, S.; Baltruschat, H. Chlorine species evolution during electrochlorination on boron-doped diamond anodes: In-situ electrogeneration of Cl2, Cl2O and ClO2. Electrochim. Acta 2018, 281, 831–840. [Google Scholar] [CrossRef]
- Souza, F.L.; Saéz, C.; Lanza, M.R.V.; Cañizares, P.; Rodrigo, M.A. The effect of the sp3/sp2 carbon ratio on the electrochemical oxidation of 2,4-D with p-Si BDD anodes. Electrochim. Acta 2016, 187, 119–124. [Google Scholar] [CrossRef] [Green Version]
- Burke, M.; Hoq, M.F.; Ernst, W.R. Rate of reaction of chlorine dioxide and hydrogen peroxide. Chem. Eng. J. Biochem. Eng. J. 1995, 60, 101–104. [Google Scholar] [CrossRef]
- Burke, M.; Tenney, J.; Indu, B.; Hoq, M.F.; Carr, S.; Ernst, W.R. Kinetics of hydrogen peroxide-chlorate reaction in the formation of chlorine dioxide. Ind. Eng. Chem. Res. 1993, 32, 1449–1456. [Google Scholar] [CrossRef]
- Neodo, S.; Rosestolato, D.; Ferro, S.; De Battisti, A. On the electrolysis of dilute chloride solutions: Influence of the electrode material on Faradaic efficiency for active chlorine, chlorate and perchlorate. Electrochim. Acta 2012, 80, 282–291. [Google Scholar] [CrossRef]
- Eisenberg, G. Colorimetric Determination of Hydrogen Peroxide. Ind. Eng. Chem. Anal. Ed. 1943, 15, 327–328. [Google Scholar] [CrossRef]







Publisher’s Note: MDPI stays neutral with regard to jurisdictional claims in published maps and institutional affiliations. |
© 2021 by the authors. Licensee MDPI, Basel, Switzerland. This article is an open access article distributed under the terms and conditions of the Creative Commons Attribution (CC BY) license (https://creativecommons.org/licenses/by/4.0/).
Share and Cite
Monteiro, M.K.S.; Moratalla, Á.; Sáez, C.; Dos Santos, E.V.; Rodrigo, M.A. Production of Chlorine Dioxide Using Hydrogen Peroxide and Chlorates. Catalysts 2021, 11, 1478. https://doi.org/10.3390/catal11121478
Monteiro MKS, Moratalla Á, Sáez C, Dos Santos EV, Rodrigo MA. Production of Chlorine Dioxide Using Hydrogen Peroxide and Chlorates. Catalysts. 2021; 11(12):1478. https://doi.org/10.3390/catal11121478
Chicago/Turabian StyleMonteiro, Mayra K. S., Ángela Moratalla, Cristina Sáez, Elisama V. Dos Santos, and Manuel A. Rodrigo. 2021. "Production of Chlorine Dioxide Using Hydrogen Peroxide and Chlorates" Catalysts 11, no. 12: 1478. https://doi.org/10.3390/catal11121478
APA StyleMonteiro, M. K. S., Moratalla, Á., Sáez, C., Dos Santos, E. V., & Rodrigo, M. A. (2021). Production of Chlorine Dioxide Using Hydrogen Peroxide and Chlorates. Catalysts, 11(12), 1478. https://doi.org/10.3390/catal11121478

