A Short Review on Catalyst, Feedstock, Modernised Process, Current State and Challenges on Biodiesel Production
Abstract
1. Introduction
2. Feedstock for Biodiesel Production
2.1. Edible Oil as Biodiesel Feedstock
2.2. Non-Edible Oils as Feedstock for Biodiesel Production
2.3. Composition of Biodiesel Feedstock
3. Biodiesel Production Processes
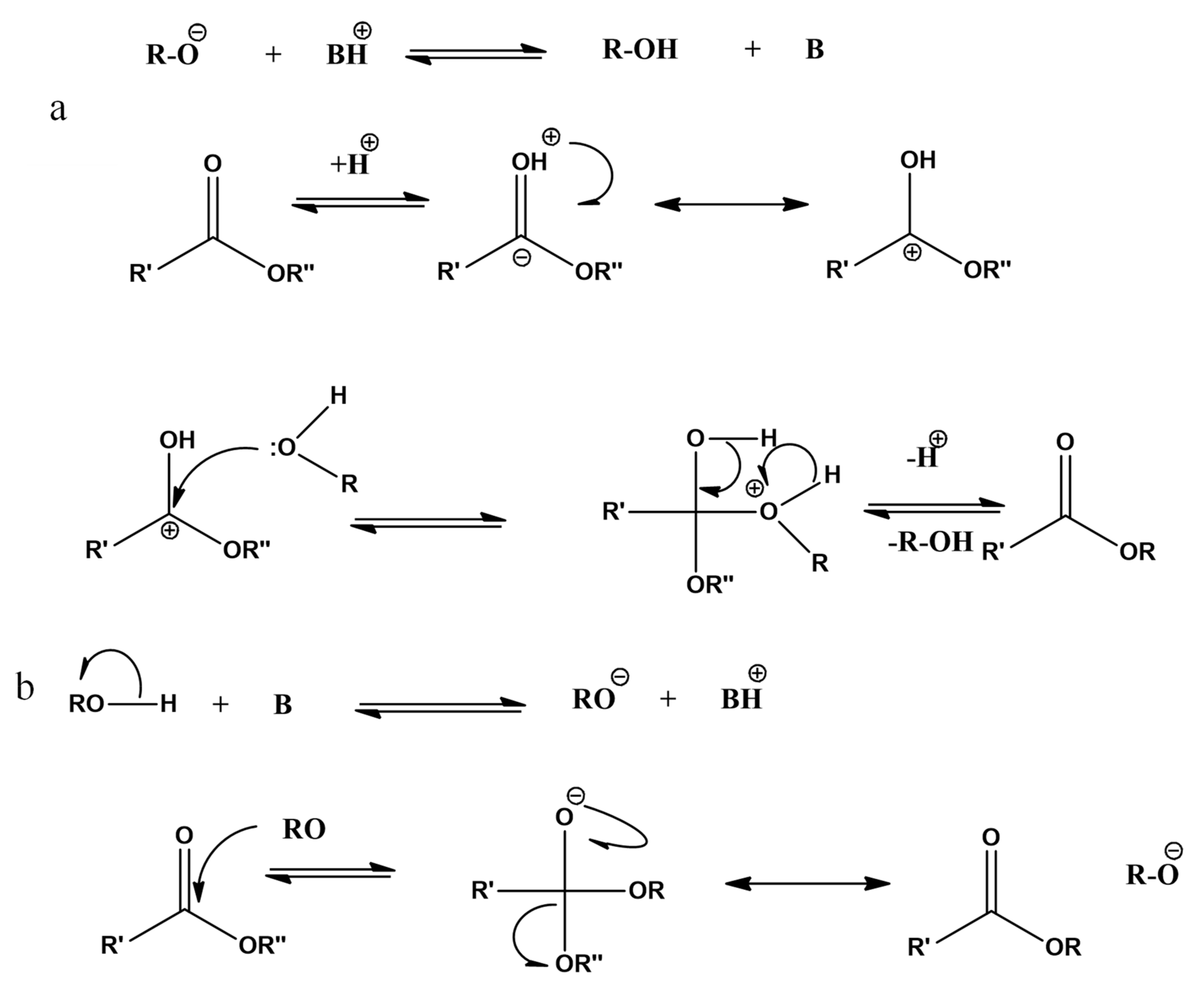
3.1. Transesterification and Esterification of Vegetable Oil Using Homogeneous Acid and Base Catalysts
3.1.1. Homogeneous Base Catalysts for Biodiesel Production
3.1.2. Homogeneous Acid Catalysts for Biodiesel Production
3.2. Transesterification and Esterification of Vegetable Oil Using Heterogenous Acid and Base Catalysts
3.2.1. Heterogeneous Base Catalysts for Biodiesel Production
3.2.2. Heterogeneous Acid Catalysts for Biodiesel Production
3.3. Bio-Catalyst for Biodiesel Production
3.4. Recent Trend of Biomass-Based Catalyst
4. Biodiesel Production Techniques
4.1. Catalytic Transesterification and Esterification
4.1.1. Microwave Irradiation
4.1.2. Reflux System
4.1.3. Ultrasound Conditions
4.2. Non-Catalytic Transesterification and Esterification
Methanol Supercritical
5. Properties of Biodiesel
5.1. Physical Properties
5.2. Analytical Technique to Determine Chemical Properties of Biodiesel
6. Current Status of Biodiesel Production
7. Current and Future Challenges of Biodiesel Fuel Productions
8. Conclusions
Author Contributions
Funding
Conflicts of Interest
References
- Wackernagel, M.; Hanscom, L.; Jayasinghe, P.; Lin, D.; Murthy, A.; Neill, E.; Raven, P. The importance of resource security for poverty eradication. Nat. Sustain. 2021. [Google Scholar] [CrossRef]
- Pata, U.K. Linking renewable energy, globalization, agriculture, CO2 emissions and ecological footprint in BRIC countries: A sustainability perspective. Renew. Energy 2021, 173, 197–208. [Google Scholar] [CrossRef]
- Mansir, N.; Teo, S.H.; Rashid, U.; Saiman, M.I.; Tan, Y.P.; Alsultan, G.A.; Taufiq-Yap, Y.H. Modified waste egg shell derived bifunctional catalyst for biodiesel production from high FFA waste cooking oil. A review. Renew. Sustain. Energy Rev. 2017. [Google Scholar] [CrossRef]
- Piriou, B.; Vaitilingom, G.; Veyssière, B.; Cuq, B.; Rouau, X. Potential direct use of solid biomass in internal combustion engines. Prog. Energy Combust. Sci. 2013, 39, 169–188. [Google Scholar] [CrossRef]
- Thorbecke, W. How oil prices affect East and Southeast Asian economies: Evidence from financial markets and implications for energy security. Energy Policy 2019, 128, 628–638. [Google Scholar] [CrossRef]
- Nur, Z.A.S.; Nizah, M.F.R.; Teo, S.H.; Syazwani, O.N.; Islam, A. Production of biodiesel from palm oil using modified Malaysian natural dolomites. Energy Convers. Manag. 2014, 78, 738–744. [Google Scholar] [CrossRef]
- Alsultan, A.G.; Asikin Mijan, N.; Mansir, N.; Razali, S.Z.; Yunus, R.; Taufiq-Yap, Y.H. Combustion and Emission Performance of CO/NOx/SOxfor Green Diesel Blends in a Swirl Burner. ACS Omega 2021. [Google Scholar] [CrossRef]
- Karp, S.G.; Medina, J.D.C.; Letti, L.A.J.; Woiciechowski, A.L.; de Carvalho, J.C.; Schmitt, C.C.; de Oliveira Penha, R.; Kumlehn, G.S.; Soccol, C.R. Bioeconomy and biofuels: The case of sugarcane ethanol in Brazil. Biofuels Bioprod. Biorefining 2021, 15, 899–912. [Google Scholar] [CrossRef]
- Sajid, Z.; Aparecida, M.; Danial, S.N. Historical Analysis of the Role of Governance Systems in the Sustainable Development of Biofuels in Brazil and the United States of America (USA). Sustainability 2021, 13, 6881. [Google Scholar] [CrossRef]
- Fasanya, O.O.; Osigbesan, A.A.; Avbenake, O.P. Biodiesel Production From Non-Edible and Waste Lipid Sources. In Biodiesel Technology and Applications; Wiley: Hoboken, NJ, USA, 2021; pp. 389–427. [Google Scholar]
- Hafriz, R.S.R.M.; Shafizah, I.N.; Arifin, N.A.; Salmiaton, A.; Yunus, R.; Yap, Y.H.T.; Shamsuddin, A.H. Effect of Ni/Malaysian dolomite catalyst synthesis technique on deoxygenation reaction activity of waste cooking oil. Renew. Energy 2021, 178. [Google Scholar] [CrossRef]
- Maag, S. Alternative Options to Diesel Fuel in Construction Equipment. Constr. Manag. 2007, 2. [Google Scholar]
- Meng, F.; Dornau, A.; Mcqueen Mason, S.J.; Thomas, G.H.; Conradie, A.; McKechnie, J. Bioethanol from autoclaved municipal solid waste: Assessment of environmental and financial viability under policy contexts. Appl. Energy 2021, 298, 117118. [Google Scholar] [CrossRef]
- Wu, N.; Demchuk, Z.; Voronov, A.; Pourhashem, G. Sustainable manufacturing of polymeric materials: A techno-economic analysis of soybean oil-based acrylic monomers production. J. Clean. Prod. 2021, 286, 124939. [Google Scholar] [CrossRef]
- Abuhabaya, A.; Fieldhouse, J.; Brown, D. The optimization of biodiesel production by using response surface methodology and its effect on compression ignition engine. Fuel Process. Technol. 2013, 113, 57–62. [Google Scholar] [CrossRef]
- Papadopoulos, C.E.; Lazaridou, A.; Koutsoumba, A.; Kokkinos, N.; Christoforidis, A.; Nikolaou, N. Optimization of cotton seed biodiesel quality (critical properties) through modification of its FAME composition by highly selective homogeneous hydrogenation. Bioresour. Technol. 2010, 101, 1812–1819. [Google Scholar] [CrossRef]
- Palanisamy, S.; Gevert, B.S. Study of non-catalytic thermal decomposition of triglyceride at hydroprocessing condition. Appl. Therm. Eng. 2016, 107, 301–310. [Google Scholar] [CrossRef]
- Souza, S.P.; Seabra, J.E.A.; Nogueira, L.A.H. Feedstocks for biodiesel production: Brazilian and global perspectives. Biofuels 2018, 9, 455–478. [Google Scholar] [CrossRef]
- Aguieiras, E.C.G.; de Barros, D.S.N.; Sousa, H.; Fernandez-Lafuente, R.; Freire, D.M.G. Influence of the raw material on the final properties of biodiesel produced using lipase from Rhizomucor miehei grown on babassu cake as biocatalyst of esterification reactions. Renew. Energy 2017, 113, 112–118. [Google Scholar] [CrossRef]
- Tan, S.X.; Lim, S.; Ong, H.C.; Pang, Y.L. State of the art review on development of ultrasound-assisted catalytic transesterification process for biodiesel production. Fuel 2019, 235, 886–907. [Google Scholar] [CrossRef]
- Mohiddin, M.N.B.; Tan, Y.H.; Seow, Y.X.; Kansedo, J.; Mubarak, N.M.; Abdullah, M.O.; Chan, Y.S.; Khalid, M. Evaluation on feedstock, technologies, catalyst and reactor for sustainable biodiesel production: A review. J. Ind. Eng. Chem. 2021, 98, 60–81. [Google Scholar] [CrossRef]
- Al-Aboosi, F.Y.; El-Halwagi, M.M.; Moore, M.; Nielsen, R.B. Renewable ammonia as an alternative fuel for the shipping industry. Curr. Opin. Chem. Eng. 2021, 31, 100670. [Google Scholar] [CrossRef]
- Kumar, S.; Singhal, M.K.; Sharma, M.P. Predictability of Biodiesel Fuel Properties from the Fatty Acid Composition of the Feedstock Oils. Arab. J. Sci. Eng. 2021, 1–21. [Google Scholar] [CrossRef]
- García-Martínez, N.; Andreo-Martínez, P.; Quesada-Medina, J.; de los Ríos, A.P.; Chica, A.; Beneito-Ruiz, R.; Carratalá-Abril, J. Optimization of non-catalytic transesterification of tobacco (Nicotiana tabacum) seed oil using supercritical methanol to biodiesel production. Energy Convers. Manag. 2017, 131, 99–108. [Google Scholar] [CrossRef]
- Ambat, I.; Srivastava, V.; Sillanpää, M. Recent advancement in biodiesel production methodologies using various feedstock: A review. Renew. Sustain. Energy Rev. 2018, 90, 356–369. [Google Scholar] [CrossRef]
- Gouran, A.; Aghel, B.; Nasirmanesh, F. Biodiesel production from waste cooking oil using wheat bran ash as a sustainable biomass. Fuel 2021, 295. [Google Scholar] [CrossRef]
- Murguía-Ortiz, D.; Cordova, I.; Manriquez, M.E.; Ortiz-Islas, E.; Cabrera-Sierra, R.; Contreras, J.L.; Alcántar-Vázquez, B.; Trejo-Rubio, M.; Vázquez-Rodríguez, J.T.; Castro, L.V. Na-CaO/MgO dolomites used as heterogeneous catalysts in canola oil transesterification for biodiesel production. Mater. Lett. 2021, 291, 3. [Google Scholar] [CrossRef]
- Maheria, K.C.; Lodhi, A.; Lankapati, H.; Krishna, R. Solid Acid-Catalyzed Esterification of Levulinic Acid for Production of Value-Added Chemicals. In Catalysis for Clean Energy and Environmental Sustainability; Springer International Publishing: Berlin/Heidelberg, Germany, 2021; pp. 345–382. [Google Scholar]
- Melero, J.A.; Iglesias, J.; Morales, G. Heterogeneous acid catalysts for biodiesel production: Current status and future challenges. Green Chem. 2009, 11, 1285–1308. [Google Scholar] [CrossRef]
- Laskar, I.B.; Changmai, B.; Gupta, R.; Shi, D.; Jenkinson, K.J.; Wheatley, A.E.H.; Rokhum, L. A mesoporous polysulfonic acid-formaldehyde polymeric catalyst for biodiesel production from Jatropha curcas oil. Renew. Energy 2021, 173, 415–421. [Google Scholar] [CrossRef]
- Kabir, Z. Social, economic, and environmental aspects of bioenergy resources. In Bioenergy Resources and Technologies; Elsevier: Amsterdam, The Netherlands, 2021; pp. 391–423. [Google Scholar]
- Gebremariam, S.N.; Marchetti, J.M. Economics of biodiesel production: Review. Energy Convers. Manag. 2018, 168, 74–84. [Google Scholar] [CrossRef]
- Lam, W.Y.; Kulak, M.; Sim, S.; King, H.; Huijbregts, M.A.J.; Chaplin-Kramer, R. Greenhouse gas footprints of palm oil production in Indonesia over space and time. Sci. Total Environ. 2019, 688, 827–837. [Google Scholar] [CrossRef]
- Mahlia, T.M.I.; Ismail, N.; Hossain, N.; Silitonga, A.S.; Shamsuddin, A.H. Palm oil and its wastes as bioenergy sources: A comprehensive review. Environ. Sci. Pollut. Res. 2019. [Google Scholar] [CrossRef]
- Celante, D.; Schenkel, J.V.D.; de Castilhos, F. Biodiesel production from soybean oil and dimethyl carbonate catalyzed by potassium methoxide. Fuel 2018, 212, 101–107. [Google Scholar] [CrossRef]
- Jazie, A.A.; Pramanik, H.; Sinha, A.S.K. Transesterification of peanut and rapeseed oils using waste of animal bone as cost effective catalyst. Mater. Renew. Sustain. Energy 2013, 2, 1–10. [Google Scholar] [CrossRef][Green Version]
- Bhuiya, M.M.K.; Rasul, M.G.; Khan, M.M.K.; Ashwath, N.; Azad, A.K.; Hazrat, M.A. Second generation biodiesel: Potential alternative to-edible oil-derived biodiesel. Energy Procedia 2014, 61, 1969–1972. [Google Scholar] [CrossRef]
- Abdul Kapor, N.Z.; Maniam, G.P.; Rahim, M.H.A.; Yusoff, M.M. Palm fatty acid distillate as a potential source for biodiesel production-a review. J. Clean. Prod. 2017, 143, 1–9. [Google Scholar] [CrossRef]
- Singh, C.S.; Kumar, N.; Gautam, R. Supercritical transesterification route for biodiesel production: Effect of parameters on yield and future perspectives. Environ. Prog. Sustain. Energy 2021, e13685. [Google Scholar] [CrossRef]
- Erdem, S.; Öksüzoğlu, R.M.; Avşar, S.B.; Erdem, B. Magnetic Mesoporous Silica Nanocomposite for Biodiesel Production. Acta Phys. Pol. A 2017, 132, 763–766. [Google Scholar] [CrossRef]
- Julio, A.A.V.; Batlle, E.A.O.; Trindade, A.B.; Nebra, S.A.; Reyes, A.M.M.; Palacio, J.C.E. Energy, exergy, exergoeconomic, and environmental assessment of different technologies in the production of bio-jet fuel by palm oil biorefineries. Energy Convers. Manag. 2021, 243, 114393. [Google Scholar] [CrossRef]
- Zhang, F.; Tian, X.F.; Fang, Z.; Shah, M.; Wang, Y.T.; Jiang, W.; Yao, M. Catalytic production of Jatropha biodiesel and hydrogen with magnetic carbonaceous acid and base synthesized from Jatropha hulls. Energy Convers. Manag. 2017, 142, 107–116. [Google Scholar] [CrossRef]
- Zulqarnain; Yusoff, M. H.M.; Ayoub, M.; Ramzan, N.; Nazir, M.H.; Zahid, I.; Abbas, N.; Elboughdiri, N.; Mirza, C.R.; Butt, T.A. Overview of Feedstocks for Sustainable Biodiesel Production and Implementation of the Biodiesel Program in Pakistan. ACS Omega 2021, 6, 19099–19114. [Google Scholar] [CrossRef] [PubMed]
- Shaah, M.A.H.; Sohrab Hossain, M.; Allafi, F.A.S.; Alyaa Alsaedi; Norli Ismail; Kadir, M. O.A.; Idayu Ahmad, M. A review on non-edible oil as a potential feedstock for biodiesel: Physicochemical properties and production technologies. RSC Adv. 2021, 11, 25018–25037. [Google Scholar] [CrossRef]
- Yunus Khan, T.M.; Badruddin, I.A.; Ankalgi, R.F.; Badarudin, A.; Hungund, B.S.; Ankalgi, F.R. Biodiesel Production by Direct Transesterification Process via Sequential Use of Acid–Base Catalysis. Arab. J. Sci. Eng. 2018, 43, 5929–5936. [Google Scholar] [CrossRef]
- Teo, S.H.; Islam, A.; Ng, F.L.; Tau, Y.H. RSC Advances Biodiesel synthesis from photoautotrophic cultivated oleoginous microalgae using a sand dollar catalyst. RSC Adv. 2015, 5, 47140–47152. [Google Scholar] [CrossRef]
- Cea, M.; Sangaletti-Gerhard, N.; Acuña, P.; Fuentes, I.; Jorquera, M.; Godoy, K.; Osses, F.; Navia, R. Screening transesterifiable lipid accumulating bacteria from sewage sludge for biodiesel production. Biotechnol. Rep. 2015, 8, 116–123. [Google Scholar] [CrossRef]
- Vallinayagam, R.; Vedharaj, S.; Yang, W.M.; Lee, P.S.; Chua, K.J.E.; Chou, S.K. Pine oil-biodiesel blends: A double biofuel strategy to completely eliminate the use of diesel in a diesel engine. Appl. Energy 2014, 130, 466–473. [Google Scholar] [CrossRef]
- Gurunathan, B.; Ravi, A. Process optimization and kinetics of biodiesel production from neem oil using copper doped zinc oxide heterogeneous nanocatalyst. Bioresour. Technol. 2015, 190, 424–428. [Google Scholar] [CrossRef] [PubMed]
- Winoto, V.; Yoswathana, N. Optimization of biodiesel production using nanomagnetic CaO-based catalysts with subcritical methanol transesterification of rubber seed oil. Energies 2019, 12, 230. [Google Scholar] [CrossRef]
- Aliana-Nasharuddin, N.; Asikin-Mijan, N.; Abdulkareem-Alsultan, G.; Saiman, M.I.; Alharthi, F.A.; Alghamdi, A.A.; Taufiq-Yap, Y.H. Production of green diesel from catalytic deoxygenation of chciken fat oil over series binary metal oxides coated MWCNTs. RSC Adv. 2019, 10, 626–642. [Google Scholar] [CrossRef]
- Sangar, S.K.; Syazwani, O.N.; Farabi, M.S.A.; Razali, S.M.; Shobhana, G.; Teo, S.H.; Taufiq-Yap, Y.H. Effective biodiesel synthesis from palm fatty acid distillate (PFAD)using carbon-based solid acid catalyst derived glycerol. Renew. Energy 2019, 142, 658–667. [Google Scholar] [CrossRef]
- Abdalla, B.K. Biodiesel Production from Vegetable Oil: A Review. J. Mar. Biol. Environ. Sci. 2020, 2, 109. [Google Scholar]
- Asikin-Mijan, N.; Lee, H.V.V.; Juan, J.C.C.; Noorsaadah, A.R.R.; Abdulkareem-Alsultan, G.; Arumugam, M.; Taufiq-Yap, Y.H. Waste Clamshell-Derived CaO Supported Co and W catalysts for Renewable Fuels Production Via Cracking-Deoxygenation of Triolein. J. Anal. Appl. Pyrolysis 2016. [Google Scholar] [CrossRef]
- College, S.; Preeti, N.; Nidhi, H.; Savita, K. Research Paper production and optimization of biodiesel from different generations. J. Glob. Biosci. 2020, 9, 7783–7801. [Google Scholar]
- Khethiwe, E.; Clever, K.; Jerekias, G. Effects of Fatty Acids Composition on Fuel Properties of Jatropha Curcas Biodiesel. Smart Grid Renew. Energy 2020, 11, 165–180. [Google Scholar] [CrossRef]
- Ewunie, G.A.; Morken, J.; Lekang, O.I.; Yigezu, Z.D. Factors affecting the potential of Jatropha curcas for sustainable biodiesel production: A critical review. Renew. Sustain. Energy Rev. 2020, 137, 110500. [Google Scholar] [CrossRef]
- Li, Y.; Ye, B.; Shen, J.; Tian, Z.; Wang, L.; Zhu, L.; Ma, T.; Yang, D.; Qiu, F. Optimization of biodiesel production process from soybean oil using the sodium potassium tartrate doped zirconia catalyst under Microwave Chemical Reactor. Bioresour. Technol. 2013, 137, 220–225. [Google Scholar] [CrossRef] [PubMed]
- Calgaroto, C.; Calgaroto, S.; Mazutti, M.A.; de Oliveira, D.; Pergher, S.; de Oliveira, J. Production of biodiesel from soybean and Jatropha Curcas oils with KSF and amberlyst 15 catalysts in the presence of co-solvents. Sustain. Chem. Process. 2013, 1, 17. [Google Scholar] [CrossRef]
- Lu, Y.; Zhang, Z.; Xu, Y.; Liu, Q.; Qian, G. CaFeAl mixed oxide derived heterogeneous catalysts for transesterification of soybean oil to biodiesel. Bioresour. Technol. 2015, 190, 438–441. [Google Scholar] [CrossRef] [PubMed]
- Bindhu, C.; Reddy, J.R.C.; Rao, B.V.S.K.; Ravinder, T.; Chakrabarti, P.P.; Karuna, M.S.L.; Prasad, R.B.N. Preparation and evaluation of biodiesel from sterculia foetida seed oil. JAOCS. J. Am. Oil Chem. Soc. 2012, 89, 891–896. [Google Scholar] [CrossRef]
- Wang, J.X.; Chen, K.T.; Wu, J.S.; Wang, P.H.; Huang, S.T.; Chen, C.C. Production of biodiesel through transesterification of soybean oil using lithium orthosilicate solid catalyst. Fuel Process. Technol. 2012, 104, 167–173. [Google Scholar] [CrossRef]
- Balakrishnan, A.; Parthasarathy, R.N.; Gollahalli, S.R. Effects of degree of fuel unsaturation on NOx emission from petroleum and biofuel flames. Fuel 2016, 182, 798–806. [Google Scholar] [CrossRef]
- Lang, X.; Dalai, A.K.; Bakhshi, N.N.; Reaney, M.J.; Hertz, P.B. Preparation and characterization of bio-diesels from various bio-oils. Bioresour. Technol. 2001, 80, 53–62. [Google Scholar] [CrossRef]
- Hancsók, J.; Kasza, T.; Kovács, S.; Solymosi, P.; Holló, A. Production of bioparaffins by the catalytic hydrogenation of natural triglycerides. J. Clean. Prod. 2012, 34, 76–81. [Google Scholar] [CrossRef]
- Mei, W.S.C.; Ismail, A.; Esa, N.M.; Akowuah, G.A.; Wai, H.C.; Seng, Y.H. The Effectiveness of Rambutan (Nephelium lappaceum L.) Extract in Stabilization of Sunflower Oil under Accelerated Conditions. Antioxidants 2014, 3, 371–386. [Google Scholar] [CrossRef]
- Ibrahim, N.A.; Kuntom, A.; Tang, T.S.; Siew, W.L. Current Status of Malaysian Crude Palm Kernel Oil Characteristics. Oil Palm Bull. 2003, 47, 15–27. [Google Scholar]
- Somnuk, K.; Soysuwan, N.; Prateepchaikul, G. Continuous process for biodiesel production from palm fatty acid distillate (PFAD) using helical static mixers as reactors. Renew. Energy 2019, 131, 100–110. [Google Scholar] [CrossRef]
- Lin, C.Y.; Cheng, H.H. Application of mesoporous catalysts over palm-oil biodiesel for adjusting fuel properties. Energy Convers. Manag. 2012, 53, 128–134. [Google Scholar] [CrossRef]
- Zhong, Z.Y.; Yang, Q.; Li, X.M.; Luo, K.; Liu, Y.; Zeng, G.M. Preparation of peanut hull-based activated carbon by microwave-induced phosphoric acid activation and its application in Remazol Brilliant Blue R adsorption. Ind. Crops Prod. 2012, 37, 178–185. [Google Scholar] [CrossRef]
- Bilal, M.; Shabbir, M.A.; Xiaobo, Z.; Arslan, M.; Usman, M.; Azam, M.; Aadil, R.M.; Ahmad, N. Characterization of peanut seed oil of selected varieties and its application in the cereal-based product. J. Food Sci. Technol. 2020, 57, 4044–4053. [Google Scholar] [CrossRef]
- Al-farga, A.; Baeshen, M.; Aqlan, F.M.; Siddeeg, A.; Afifi, M. Chemical composition, oxidative stability, and sensory properties of Boerhavia elegana Choisy (alhydwan) seed oil/peanut oil blends. Grasas y Aceites 2020, 71. [Google Scholar] [CrossRef]
- Athar, M.; Zaidi, S. A review of the feedstocks, catalysts, and intensification techniques for sustainable biodiesel production. J. Environ. Chem. Eng. 2020, 8, 104523. [Google Scholar] [CrossRef]
- Rahim, N.A.; Jaafar, M.N.M.; Sapee, S.; Elraheem, H.F. Effect on particulate and gas emissions by combusting biodiesel blend fuels made from different plant oil feedstocks in a liquid fuel burner. Energies 2016, 9, 659. [Google Scholar] [CrossRef]
- Demirbas, A. Progress and recent trends in biodiesel fuels. Energy Convers. Manag. 2009, 50, 14–34. [Google Scholar] [CrossRef]
- Karmakar, A.; Karmakar, S.; Mukherjee, S. Bioresource Technology Properties of various plants and animals feedstocks for biodiesel production. Bioresour. Technol. 2010, 101, 7201–7210. [Google Scholar] [CrossRef]
- Takase, M.; Zhao, T.; Zhang, M.; Chen, Y.; Liu, H.; Yang, L.; Wu, X. An expatiate review of neem, jatropha, rubber and karanja as multipurpose non-edible biodiesel resources and comparison of their fuel, engine and emission properties. Renew. Sustain. Energy Rev. 2015, 43, 495–520. [Google Scholar] [CrossRef]
- Samniang, A.; Tipachan, C.; Kajorncheappun-ngam, S. Comparison of biodiesel production from crude Jatropha oil and Krating oil by supercritical methanol transesterification. Renew. Energy 2014, 68, 351–355. [Google Scholar] [CrossRef]
- Akbar, E.; Yaakob, Z.; Kamarudin, S.K.; Ismail, M.; Salimon, J. Characteristic and composition of Jatropha curcas oil seed from Malaysia and its potential as biodiesel feedstock feedstock. Eur. J. Sci. Res. 2009, 29, 396–403. [Google Scholar]
- Silitonga, A.S.; Masjuki, H.H.; Mahlia, T.M.I.; Ong, H.C.; Atabani, A.E.; Chong, W.T. A global comparative review of biodiesel production from jatropha curcas using different homogeneous acid and alkaline catalysts: Study of physical and chemical properties. Renew. Sustain. Energy Rev. 2013, 24, 514–533. [Google Scholar] [CrossRef]
- Emil, A.; Yaakob, Z.; Kumar, M.N.S.; Jahim, J.M.; Salimon, J. Comparative evaluation of physicochemical properties of jatropha seed oil from Malaysia, Indonesia and Thailand. JAOCS J. Am. Oil Chem. Soc. 2010, 87, 689–695. [Google Scholar] [CrossRef]
- Nayak, B.S.; Patel, K.N. Physicochemical characterization of seed and seed oil of Jatropha curcas L. Collected from bardoli (South Gujarat). Sains Malaysiana 2010, 39, 951–955. [Google Scholar]
- Siroha, A.K.; Punia, S.; Kaur, M.; Sandhu, K.S. A novel starch from Pongamia pinnata seeds: Comparison of its thermal, morphological and rheological behaviour with starches from other botanical sources. Int. J. Biol. Macromol. 2020, 143, 984–990. [Google Scholar] [CrossRef]
- Kumar, D.; Park, C.H.; Kim, C.S. Solvent-free K–CaO/Ca(OH)2 mixed-phase nanocatalytic single-step methanolysis, ethanolysis and aminolysis of Pongamia pinnata triglycerides. Sustain. Chem. Pharm. 2020, 18, 100317. [Google Scholar] [CrossRef]
- Mustapha, A.O.; Amodu, T.A.; Adepoju, R.A. Effects of Degumming Waste Cooking Oil on the Physicochemical and Fuel Properties of Biodiesel. J. Appl. Sci. Environ. Manag. 2020, 24, 749–753. [Google Scholar] [CrossRef]
- Zhou, J.; Gullón, B.; Wang, M.; Gullón, P.; Lorenzo, J.M.; Barba, F.J. The application of supercritical fluids technology to recover healthy valuable compounds from marine and agricultural food processing by-products: A review. Processes 2021, 9, 357. [Google Scholar] [CrossRef]
- Kasirajan, R. Biodiesel production by two step process from an energy source of Chrysophyllum albidum oil using homogeneous catalyst. South African J. Chem. Eng. 2021, 37, 161–166. [Google Scholar] [CrossRef]
- Salih, N. A Review on New Trends, Challenges and Prospects of Ecofriendly Friendly Green Food-Grade Biolubricants. Biointerface Res. Appl. Chem. 2021, 12, 1185–1207. [Google Scholar] [CrossRef]
- Ding, Y.J.; Zhao, X.E.; Zhu, F.; Suo, Y.R.; Li, Y.L.; Chen, G.C.; You, J.M. Identification of Long-Chain Unsaturated Fatty Acids in Deep-Sea Fish Oil by Liquid Chromatography/Mass Spectrometry/Atmospheric Pressure Chemical Ionization. Chinese, J. Anal. Chem. 2007, 35, 375–381. [Google Scholar] [CrossRef]
- Röhrl, C.; Stübl, F.; Maier, M.; Schwarzinger, B.; Schwarzinger, C.; Pitsch, J.; Lanzerstorfer, P.; Iken, M.; Weghuber, J. Increased cellular uptake of polyunsaturated fatty acids and phytosterols from natural micellar oil. Nutrients 2020, 12, 150. [Google Scholar] [CrossRef]
- Orsavova, J.; Misurcova, L.; Vavra Ambrozova, J.; Vicha, R.; Mlcek, J. Fatty acids composition of vegetable oils and its contribution to dietary energy intake and dependence of cardiovascular mortality on dietary intake of fatty acids. Int. J. Mol. Sci. 2015, 16, 12871–12890. [Google Scholar] [CrossRef]
- Ciabotti, S.; Juhász, A.C.P.; Mandarino, J.M.G.; Costa, L.L.; Corrêa, A.D.; Simão, A.A.; Santos, E.N.F. Chemical composition and lipoxygenase activity of soybean (Glycine max L. Merrill.) genotypes, specific for human consumption, with different tegument colours. Brazilian J. Food Technol. 2019, 22, 1–10. [Google Scholar] [CrossRef]
- Masson, L.; Alfaro, T.; Camilo, C.; Carvalho, A.; Illesca, P.; Torres, R.; Do Carmo, M.T.; Mancini-Filho, J.; Bernal, C. Fatty acid composition of soybean/sunflower mix oil, fish oil and butterfat applying the AOCS Ce 1j-07 method with a modified temperature program. Grasas y Aceites 2015, 66. [Google Scholar] [CrossRef]
- Kaur, A.; Singh, B.; Kaur, A.; Singh, N. Chemical, thermal, rheological and FTIR studies of vegetable oils and their effect on eggless muffin characteristics. J. Food Process. Preserv. 2019, 43, 1–11. [Google Scholar] [CrossRef]
- Yu, D.; Wang, X.; Li, D.; Zhang, X.; Yu, C.; Pei, X.; Cheng, J.; Wang, L. A Novel Cinnamic Acid-Based Organogel: Effect of Oil Type on Physical Characteristics and Crystallization Kinetics. Eur. J. Lipid Sci. Technol. 2020, 122, 1–9. [Google Scholar] [CrossRef]
- Narowska, B.; Kułażyński, M.; Łukaszewicz, M.; Burchacka, E. Use of activated carbons as catalyst supports for biodiesel production. Renew. Energy 2019, 135, 176–185. [Google Scholar] [CrossRef]
- Yang, A.; Qi, M.; Wang, X.; Wang, S.; Sun, L.; Qi, D.; Zhu, L.; Duan, Y.; Gao, X.; Ali Rajput, S.; et al. Refined cottonseed oil as a replacement for soybean oil in broiler diet. Food Sci. Nutr. 2019, 7, 1027–1034. [Google Scholar] [CrossRef] [PubMed]
- Moretto, Â.; Byruchko, R.T.; Modesto, E.C.; da Motta, A.S.; Friedrich, M.T.; Rezzadori, K. Effect of olive oil replacement on physicochemical, technological, and microbiological properties of buffalo burger modification. J. Food Process. Preserv. 2020, 44, 1–8. [Google Scholar] [CrossRef]
- Tang, Q.; Zheng, Y.Y.; Wang, T.; Wang, J.; Alcala, A.; Bridgwater, A.V.; Asomaning, J.; Mussone, P.; Bressler, D.C.; Rana, B.S.; et al. Biorefineries for biofuel upgrading: A critical review. Renew. Sustain. Energy Rev. 2017, 58, 520–594. [Google Scholar] [CrossRef]
- Warner, K.; Orr, P.; Glynn, M. Effect of fatty acid composition of oils on flavor and stability of fried foods. JAOCS, J. Am. Oil Chem. Soc. 1997, 74, 347–356. [Google Scholar] [CrossRef]
- Skrzyńska, E.; Matyja, M. Comparison of the physicochemical properties of select natural fats and their methyl esters. Chemik 2011, 65, 930–935. [Google Scholar]
- Al-Bachir, M.; Sahloul, H. Fatty acid profile of olive oil extracted from irradiated and non-irradiated olive fruits. Int. J. Food Prop. 2017, 20, 2550–2558. [Google Scholar] [CrossRef]
- Codex Alimentarius Standard for named vegetable oils. CXS 210-1999. Adopted in 1999. Revised in 2001, 2003, 2009, 2017, 2019. Amended in 2005, 2011, 2013, 2015, 2019. FAO/WHO 1999, 4, 15. [Google Scholar]
- Günç Ergönül, P.; Aksoylu Özbek, Z. Cold pressed safflower (Carthamus tinctorius L.) seed oil. Cold Press. Oils 2020, 323–333. [Google Scholar] [CrossRef]
- Koyuncu, M.A.; Islam, A.; Küçük, M. Fat and fatty acid composition of hazelnut kernels in vacuum packages during storage. Grasas y Aceites 2005, 56, 263–266. [Google Scholar] [CrossRef]
- Çetin, N.; Yaman, M.; Karaman, K.; Demir, B. Determination of some physicomechanical and biochemical parameters of hazelnut (Corylus avellana L.) cultivars. Turkish J. Agric. For. 2020, 44, 439–450. [Google Scholar] [CrossRef]
- Sagan, A.; Blicharz-Kania, A.; Szmigielski, M.; Andrejko, D.; Sobczak, P.; Zawiślak, K.; Starek, A. Assessment of the properties of rapeseed oil enriched with oils characterized by high content of α-linolenic acid. Sustainability 2019, 11, 5638. [Google Scholar] [CrossRef]
- Matthaus, B.; Özcan, M.M.; Juhaimi, F. Al Some rape/canola seed oils: Fatty acid composition and tocopherols. Zeitschrift fur Naturforsch. Sect. C J. Biosci. 2016, 71, 73–77. [Google Scholar] [CrossRef]
- Mancini, A.; Imperlini, E.; Nigro, E.; Montagnese, C.; Daniele, A.; Orrù, S.; Buono, P. Biological and nutritional properties of palm oil and palmitic acid: Effects on health. Molecules 2015, 20, 17339–17361. [Google Scholar] [CrossRef] [PubMed]
- Mozzon, M.; Foligni, R.; Mannozzi, C. Current knowledge on interspecific hybrid palm oils as food and food ingredient. Foods 2020, 9, 631. [Google Scholar] [CrossRef]
- Kerkeni, L.; Ruano, P.; Delgado, L.L.; Picco, S.; Villegas, L.; Tonelli, F.; Merlo, M.; Rigau, J.; Diaz, D.; Masuelli, M. Chemical Characteristics and Nutritional Properties of Hybrid Palm Oils. Intech 2016, 13. [Google Scholar]
- Senou, H.; Xiazheng, C.; Bado Traore, M.; Sissoko, B.; Kamate, M.; Niangaly, O. Oil Content and Fatty Acids Composition during Seeds Storage of Two Ecotypes of Jatropha curcas L. from Mali. Res. Plant Sci. 2017, 5, 9–14. [Google Scholar] [CrossRef][Green Version]
- Yoosuk, B.; Tumnantong, D.; Prasassarakich, P. Amorphous unsupported Ni-Mo sulfide prepared by one step hydrothermal method for phenol hydrodeoxygenation. Fuel 2012, 91, 246–252. [Google Scholar] [CrossRef]
- Cheung, P.C.K.; Mehta, B.M. Handbook of food chemistry; Springer: Berlin/Heidelberg, Germany, 2015; ISBN 9783642366055. [Google Scholar]
- Production, B.; Acid, F.F.; Stability, O.; Oil, C.; Oil, R.; Suresh, K.S. Prospective ecofuel feedstocks for sus- tainable production Feedstocks for advanced biodiesel pro- duction Current Bioenergy Researches. In Advances in Eco-Fuels for a Sustainable Environment; Woodhead Publishing: Sawston, UK, 2019. [Google Scholar]
- Kim, D.S.; Hanifzadeh, M.; Kumar, A. Trend of biodiesel feedstock and its impact on biodiesel emission characteristics. Environ. Prog. Sustain. Energy 2018, 37, 7–19. [Google Scholar] [CrossRef]
- Razak, A.A.; Mohamed, M.A.; Derawi, D. Patents on Biodiesel. In Biodiesel Technology and Applications; Wiley: Hoboken, NJ, USA, 2021; pp. 361–375. [Google Scholar]
- Anuar, M.R.; Abdurahman, M.H.; Basir, N.I.; Abdullah, A.Z. Application of Low-Frequency Ultrasound for Intensified Biodiesel Production Process. In Biodiesel Technology and Applications; Wiley: Hoboken, NJ, USA, 2021; pp. 59–84. [Google Scholar]
- Gebremariam, S.N.; Marchetti, J.M. Biodiesel production through sulfuric acid catalyzed transesterification of acidic oil: Techno economic feasibility of different process alternatives. Energy Convers. Manag. 2018, 174, 639–648. [Google Scholar] [CrossRef]
- Sinha, S.; Agarwal, A.K.; Garg, S. Biodiesel development from rice bran oil: Transesterification process optimization and fuel characterization. Energy Convers. Manag. 2008, 49, 1248–1257. [Google Scholar] [CrossRef]
- Van Kasteren, J.M.N.; Nisworo, A.P. A process model to estimate the cost of industrial scale biodiesel production from waste cooking oil by supercritical transesterification. Resour. Conserv. Recycl. 2007, 50, 442–458. [Google Scholar] [CrossRef]
- Schuchardt, U.; Vargas, R.M.; Gelbard, G. Transesterification of soybean oil catalyzed by alkylguanidines heterogenized on different substituted polystyrenes. J. Mol. Catal. A Chem. 1996, 109, 37–44. [Google Scholar] [CrossRef]
- Demirbas, A. Comparison of transesterification methods for production of biodiesel from vegetable oils and fats. Energy Convers. Manag. 2008, 49, 125–130. [Google Scholar] [CrossRef]
- Masteri-Farahani, M.; Hosseini, M.S.; Forouzeshfar, N. Propyl-SO3H functionalized graphene oxide as multipurpose solid acid catalyst for biodiesel synthesis and acid-catalyzed esterification and acetalization reactions. Renew. Energy 2020, 151, 1092–1101. [Google Scholar] [CrossRef]
- Chen, G.-Y.; Shan, R.; Yan, B.-B.; Shi, J.-F.; Li, S.-Y.; Liu, C.-Y. Remarkably enhancing the biodiesel yield from palm oil upon abalone shell-derived CaO catalysts treated by ethanol. Fuel Process. Technol. 2016, 143, 110–117. [Google Scholar] [CrossRef]
- Dossin, T.F.; Berger, R.J.; Marin, G.B. Simulation of heterogeneously MgO-catalyzed transesterification for fine-chemical and biodiesel industrial production. Appl. Catal. B Environ. 2006, 67, 136–148. [Google Scholar] [CrossRef]
- Thomas, S. Fatty Acid Esters in Europe: Market Trends and Technological Perspectives. Oil Gas Sci. Technol. 2008, 63, 9–19. [Google Scholar] [CrossRef]
- Yang, J.; Qiu, K. Development of high surface area mesoporous activated carbons from herb residues. Chem. Eng. J. 2011, 167, 148–154. [Google Scholar] [CrossRef]
- Ajala, E.O.; Ajala, M.A.; Odetoye, T.E.; Aderibigbe, F.A.; Osanyinpeju, H.O.; Ayanshola, M.A. Thermal modification of chicken eggshell as heterogeneous catalyst for palm kernel biodiesel production in an optimization process. Biomass Convers. Biorefinery 2020. [Google Scholar] [CrossRef]
- Wong, W.-Y.; Lim, S.; Pang, Y.-L.; Chen, W.-H.; Lam, M.-K.; Tan, I.-S. Synthesis of glycerol-free fatty acid methyl ester using interesterification reaction based on solid acid carbon catalyst derived from low-cost biomass wastes. Int. J. Energy Res. 2020, 1–16. [Google Scholar] [CrossRef]
- Demirbas, A. Competitive liquid biofuels from biomass. Appl. Energy 2011, 88, 17–28. [Google Scholar] [CrossRef]
- Guo, M.; Song, W.; Buhain, J. Bioenergy and biofuels: History, status, and perspective. Renew. Sustain. Energy Rev. 2015, 42, 712–725. [Google Scholar] [CrossRef]
- Fadhil, A.B.; Aziz, A.M.; Al-Tamer, M.H. Biodiesel production from Silybum marianum L. seed oil with high FFA content using sulfonated carbon catalyst for esterification and base catalyst for transesterification. Energy Convers. Manag. 2016, 108, 255–265. [Google Scholar] [CrossRef]
- Balan, V. Current Challenges in Commercially Producing Biofuels from Lignocellulosic Biomass. ISRN Biotechnol. 2014, 2014, 1–31. [Google Scholar] [CrossRef] [PubMed]
- Jothiramalingam, R.; Wang, M.K. Review of Recent Developments in Solid Acid, Base, and Enzyme Catalysts (Heterogeneous) for Biodiesel Production via Transesterification. Ind. Eng. Chem. Res. 2009, 6162–6172. [Google Scholar] [CrossRef]
- Lee, A.F.; Bennett, J.A.; Manayil, J.C.; Wilson, K.; Lee, A.F. Heterogeneous catalysis for sustainable biodiesel production via esterification and transesterification. Chem. Soc. Rev. 2014, 43, 7887–7916. [Google Scholar] [CrossRef] [PubMed]
- Faruque, M.O.; Razzak, S.A.; Hossain, M.M. Application of heterogeneous catalysts for biodiesel production from microalgal oil—a review. Catalysts 2020, 10, 1025. [Google Scholar] [CrossRef]
- Atadashi, I.M.; Aroua, M.K.; Abdul Aziz, A.R.; Sulaiman, N.M.N. The effects of catalysts in biodiesel production: A review. J. Ind. Eng. Chem. 2013, 19, 14–26. [Google Scholar] [CrossRef]
- Ejikeme, P.M.; Anyaogu, I.D.; Ejikeme, C.L.; Nwafor, N.P.; Egbuonu, C.A.C.; Ukogu, K.; Ibemesi, J.A. Catalysis in biodiesel production by transesterification processes-an insight. E-Journal Chem. 2010, 7, 1120–1132. [Google Scholar] [CrossRef]
- Kaushik, N.; Kumar, K.; Kumar, S. Potential of Jatropha curcas for Biofuels. J. Biobased Mater. Bioenergy 2008, 1, 301–314. [Google Scholar] [CrossRef]
- Lee, D.W.; Park, Y.M.; Lee, K.Y. Heterogeneous base catalysts for transesterification in biodiesel synthesis. Catal. Surv. from Asia 2009, 13, 63–77. [Google Scholar] [CrossRef]
- Abdullah, S.H.Y.S.; Hanapi, N.H.M.; Azid, A.; Umar, R.; Juahir, H.; Khatoon, H.; Endut, A. A review of biomass-derived heterogeneous catalyst for a sustainable biodiesel production. Renew. Sustain. Energy Rev. 2017, 70, 1040–1051. [Google Scholar] [CrossRef]
- Obidike, L.I.; Yoro, K.O. Effect of zeolitic nano-catalyst on biodiesel yield and biochar formation during the pyrolysis of tallow. Biofuels 2021. [Google Scholar] [CrossRef]
- Zhang, Y. Synthesis and Characterization of Zirconia Based Solid Acid Catalysts for Biodiesel Production; Open Dissertation Press: Hong Kong, China, 2012. [Google Scholar] [CrossRef]
- Chua, S.Y.; Periasamy, L.A.; Goh, C.M.H.; Tan, Y.H.; Mubarak, N.M.; Kansedo, J.; Khalid, M.; Walvekar, R.; Abdullah, E.C. Biodiesel synthesis using natural solid catalyst derived from biomass waste—A review. J. Ind. Eng. Chem. 2020, 81, 41–60. [Google Scholar] [CrossRef]
- Lee, H.V.; Juan, J.C.; Taufiq-Yap, Y.H. Preparation and application of binary acid–base CaO–La2O3 catalyst for biodiesel production. Renew. Energy 2015, 74, 124–132. [Google Scholar] [CrossRef]
- Di Cosimo, J.I.; Apesteguía, C.R. Study of the catalyst deactivation in the base-catalyzed oligomerization of acetone. J. Mol. Catal. A Chem. 1998, 130, 177–185. [Google Scholar] [CrossRef]
- Helwani, Z.; Othman, M.R.; Aziz, N.; Kim, J.; Fernando, W.J.N. Solid heterogeneous catalysts for transesterification of triglycerides with methanol: A review. Appl. Catal. A Gen. 2009, 363, 1–10. [Google Scholar] [CrossRef]
- Ahmad, I.; Sana, A.; Kano, M.; Cheema, I.I.; Menezes, B.C.; Shahzad, J.; Ullah, Z.; Khan, M.; Habib, A. Machine Learning Applications in Biofuels’ Life Cycle: Soil, Feedstock, Production, Consumption, and Emissions. Energies 2021, 14, 5072. [Google Scholar] [CrossRef]
- Chin, S.Y.; Shahruddin, S.; Chua, G.K.; Samsodin, N.; Setiabudi, H.D.; Chand, N.S.K.; Chew, F.N.; Leong, J.X.; Jusoh, R.; Samsudin, N.A. Palm Oil-Based Chemicals for Sustainable Development of Petrochemical Industries in Malaysia: Progress, Prospect, and Challenges. ACS Sustain. Chem. Eng. 2021, 9, 6510–6533. [Google Scholar] [CrossRef]
- Granados, M.L.; Alonso, D.M.; Sdaba, I.; Mariscal, R.; Ocn, P. Leaching and homogeneous contribution in liquid phase reaction catalysed by solids: The case of triglycerides methanolysis using CaO. Appl. Catal. B Environ. 2009, 89, 265–272. [Google Scholar] [CrossRef]
- Demirbas, A. Biodiesel from sunflower oil in supercritical methanol with calcium oxide. Energy Convers. Manag. 2007, 48, 937–941. [Google Scholar] [CrossRef]
- Refaat, A.A. Biodiesel production using solid metal oxide catalysts. Int. J. Environ. Sci. Technol. 2011, 8, 203–221. [Google Scholar] [CrossRef]
- Lee, H.V.; Taufiq-Yap, Y.H. Optimization study of binary metal oxides catalyzed transesterification system for biodiesel production. Process Saf. Environ. Prot. 2015, 94, 430–440. [Google Scholar] [CrossRef]
- Stankic, S.; Suman, S.; Haque, F.; Vidic, J. Pure and multi metal oxide nanoparticles: Synthesis, antibacterial and cytotoxic properties. J. Nanobiotechnology 2016, 14, 1–20. [Google Scholar] [CrossRef]
- Macedo, C.C.S.; Abreu, F.R.; Tavares, A.P.; Alves, M.B.; Zara, L.F.; Rubim, J.C.; Suarez, P.A.Z. New heterogeneous metal-oxides based catalyst for vegetable oil trans-esterification. J. Braz. Chem. Soc. 2006, 17, 1291–1296. [Google Scholar] [CrossRef]
- Kawashima, A.; Matsubara, K.; Honda, K. Development of heterogeneous base catalysts for biodiesel production. Bioresour. Technol. 2008, 99, 3439–3443. [Google Scholar] [CrossRef]
- Mazaheri, H.; Ong, H.C.; Amini, Z.; Masjuki, H.H.; Mofijur, M.; Su, C.H.; Badruddin, I.A.; Khan, T.M.Y. An Overview of Biodiesel Production via Calcium Oxide Based Catalysts: Current State and Perspective. Energies 2021, 14, 3950. [Google Scholar] [CrossRef]
- Nda-Umar, U.I.; Ramli, I.; Taufiq-Yap, Y.H.; Muhamad, E.N. An overview of recent research in the conversion of glycerol into biofuels, fuel additives and other bio-based chemicals. Catalysts 2019, 9, 15. [Google Scholar] [CrossRef]
- Yan, S.; Lu, H.; Liang, B. Supported CaO Catalysts Used in the Transesterification of Rapeseed Oil for the Purpose of Biodiesel Production Supported CaO Catalysts Used in the Transesterification of Rapeseed Oil for the Purpose of Biodiesel Production. Energy Fuels 2008, 1–7. [Google Scholar] [CrossRef]
- Thangaraj, B.; Solomon, P.R.; Muniyandi, B.; Ranganathan, S.; Lin, L. Catalysis in biodiesel production—a review. Clean Energy 2019, 3, 2–23. [Google Scholar] [CrossRef]
- Ruano, P.; Delgado, L.L.; Picco, S.; Villegas, L.; Tonelli, F.; Merlo, M.; Rigau, J.; Diaz, D.; Masuelli, M. eview of Catalytic Transesterification Methods for Biodiesel Production. Intech 2016, 13. [Google Scholar]
- Babu, N.S.; Sree, R.; Prasad, P.S.S.; Lingaiah, N. Room-temperature transesterification of edible and nonedible oils using a heterogeneous strong basic Mg/La catalyst. Energy Fuels 2008, 22, 1965–1971. [Google Scholar] [CrossRef]
- Asikin-Mijan, N.; H. V. Lee; Juan, J.C.; Noorsaadah, A.R.; Ong, H.C.; Razali, S.M.; Taufiq-Yap, Y.H. Influence of K-doping on a Pd/SiO2—Al2O3 catalyst. J. Catal. 2009, 267, 40–49. [Google Scholar] [CrossRef]
- Lim, S.; Teong, L.K. Recent trends, opportunities and challenges of biodiesel in Malaysia: An overview. Renew. Sustain. Energy Rev. 2010, 14, 938–954. [Google Scholar] [CrossRef]
- Mierczynski, P.; Ciesielski, R.; Kedziora, A.; Maniukiewicz, W.; Shtyka, O.; Kubicki, J.; Albinska, J.; Maniecki, T.P. Biodiesel Production on MgO, CaO, SrO and BaO Oxides Supported on (SrO)(Al2O3) Mixed Oxide. Catal. Letters 2015, 145, 1196–1205. [Google Scholar] [CrossRef]
- Alsultan, A.; Mijan, A.; Taufiq-Yap, Y.H.; Asikin-mijan, N.; Yun Hin, T.Y. Preparation of Activated Carbon from Walnut Shell Doped La and Ca Catalyst for Biodiesel Production from Waste Cooking Oil. Mater. Sci. Forum 2016, 840, 348–352. [Google Scholar] [CrossRef]
- Asikin-Mijan, N.; Rosman, N.A.; AbdulKareem-Alsultan, G.; Mastuli, M.S.; Lee, H.V.; Nabihah-Fauzi, N.; Lokman, I.M.; Alharthi, F.A.; Alghamdi, A.A.; Aisyahi, A.A.; et al. Production of renewable diesel from Jatropha curcas oil via pyrolytic-deoxygenation over various multi-wall carbon nanotube-based catalysts. Process Saf. Environ. Prot. 2020, 142, 336–349. [Google Scholar] [CrossRef]
- Education, C. Lithium, Sodium, Potassium, Rubidium, Caesium and Francium. Chem. Elem. 1997, 68–106. [Google Scholar] [CrossRef]
- Borovinskaya, E.; Khaydarov, V.; Strehle, N.; Musaev, A.; Reschetilowski, W. Experimental studies of ethyl acetate saponification using different reactor systems: The effect of volume flow rate on reactor performance and pressure drop. Appl. Sci. 2019, 9, 532. [Google Scholar] [CrossRef]
- Pinho, M.T.; Gomes, H.T.; Ribeiro, R.S.; Faria, J.L.; Silva, A.M.T. Carbon nanotubes as catalysts for catalytic wet peroxide oxidation of highly concentrated phenol solutions: Towards process intensification. Appl. Catal. B Environ. 2015, 165, 706–714. [Google Scholar] [CrossRef]
- Islam, A.; Teo, S.H.; Ahmed, M.T.; Khandaker, S.; Ibrahim, M.L.; Vo, D.V.N.; Abdulkreem-Alsultan, G.; Khan, A.S. Novel micro-structured carbon-based adsorbents for notorious arsenic removal from wastewater. Chemosphere 2021, 272, 129653. [Google Scholar] [CrossRef] [PubMed]
- Gomes, J.F.P.; Puna, J.F.B.; Gonçalves, L.M.; Bordado, J.C.M. Study on the use of MgAl hydrotalcites as solid heterogeneous catalysts for biodiesel production. Energy 2011, 36, 6770–6778. [Google Scholar] [CrossRef]
- Zhang, F.; Xiang, X.; Li, F.; Duan, X. Layered double hydroxides as catalytic materials: Recent development. Catal. Surv. from Asia 2008, 12, 253–265. [Google Scholar] [CrossRef]
- Hsu, Y.T.; Wu, J.C.S.; Nguyen, V.H. MgxAl-LDHs layered double hydroxides catalysts for boosting catalytic synthesis of biodiesel and conversion of by-product into valuable glycerol carbonate. J. Taiwan Inst. Chem. Eng. 2019, 104, 219–226. [Google Scholar] [CrossRef]
- Barakos, N.; Pasias, S.; Papayannakos, N. Transesterification of triglycerides in high and low quality oil feeds over an HT2 hydrotalcite catalyst. Bioresour. Technol. 2008, 99, 5037–5042. [Google Scholar] [CrossRef] [PubMed]
- Basąg, S.; Piwowarska, Z.; Kowalczyk, A.; Węgrzyn, A.; Baran, R.; Gil, B.; Michalik, M.; Chmielarz, L. Cu-Mg-Al hydrotalcite-like materials as precursors of effective catalysts for selective oxidation of ammonia to dinitrogen—The influence of Mg/Al ratio and calcination temperature. Appl. Clay Sci. 2016, 129, 122–130. [Google Scholar] [CrossRef]
- Pfeiffer, M.; Kaplan, J.O. Response of terrestrial N 2 O and NO x emissions to abrupt climate change. IOP Conf. Ser. Earth Environ. Sci. 2010, 9, 012001. [Google Scholar] [CrossRef]
- Karásková, K.; Pacultová, K.; Jirátová, K.; Fridrichová, D.; Koštejn, M.; Obalová, L. K-Modified Co–Mn–Al Mixed Oxide—Effect of Calcination Temperature on N2O Conversion in the Presence of H2O and NOx. Catalysts 2020, 10, 1134. [Google Scholar] [CrossRef]
- González, A.R.; Asencios, Y.J.O.; Assaf, E.M.; Assaf, J.M. Dry reforming of methane on Ni-Mg-Al nano-spheroid oxide catalysts prepared by the sol-gel method from hydrotalcite-like precursors. Appl. Surf. Sci. 2013, 280, 876–887. [Google Scholar] [CrossRef]
- Liu, Y.; Lotero, E.; Goodwin, J.G.; Mo, X. Transesterification of poultry fat with methanol using Mg-Al hydrotalcite derived catalysts. Appl. Catal. A Gen. 2007, 331, 138–148. [Google Scholar] [CrossRef]
- Sercheli, R.; Matheus Vargas, R.; Schuchardt, U. Alkylguanidine-catalyzed heterogeneous transesterification of soybean oil. J. Am. Oil Chem. Soc. 1999, 76, 1207–1210. [Google Scholar] [CrossRef]
- Ren, Y.; He, B.; Yan, F.; Wang, H.; Cheng, Y.; Lin, L.; Feng, Y.; Li, J. Continuous biodiesel production in a fixed bed reactor packed with anion-exchange resin as heterogeneous catalyst. Bioresour. Technol. 2012, 113, 19–22. [Google Scholar] [CrossRef]
- Gupta, A.R.; Rathod, V.K. Application of Catalysts in Biodiesel Production. In Biodiesel Technology and Applications; Wiley: Hoboken, NJ, USA, 2021; pp. 85–136. [Google Scholar]
- Vásquez-Céspedes, S.; Betori, R.C.; Cismesia, M.A.; Kirsch, J.K.; Yang, Q. Heterogeneous Catalysis for Cross-Coupling Reactions: An Underutilized Powerful and Sustainable Tool in the Fine Chemical Industry? Org. Process Res. Dev. 2021, 25, 740–753. [Google Scholar] [CrossRef]
- Crocker, M.; Andrews, R. Heterogeneous catalysts for biodiesel production. Thermochem. Convers. Biomass Liq. Fuels Chem. 2010, 1–25. [Google Scholar] [CrossRef]
- Kiss, A.A.; Dimian, A.C.; Rothenberg, G. Solid Acid Catalysts for Biodiesel Production –-Towards Sustainable Energy. Adv. Synth. Catal. 2006, 348, 75–81. [Google Scholar] [CrossRef]
- Badruzzaman, A.; Yuda, A.; Ashok, A.; Kumar, A. Recent advances in cobalt based heterogeneous catalysts for oxygen evolution reaction. Inorganica Chim. Acta 2020, 511, 119854. [Google Scholar] [CrossRef]
- Farabi, M.S.A.; Ibrahim, M.L.; Rashid, U.; Taufiq-Yap, Y.H. Esterification of palm fatty acid distillate using sulfonated carbon-based catalyst derived from palm kernel shell and bamboo. Energy Convers. Manag. 2019, 181, 562–570. [Google Scholar] [CrossRef]
- Zhang, M.; Ji, S.; Hu, L.; Yin, F.; Li, C.; Liu, H. Structural characterization of highly stable Ni/SBA-15 catalyst and its catalytic performance for methane reforming with CO2. Chinese J. Catal. 2006, 27, 777–781. [Google Scholar] [CrossRef]
- Su, F.; Guo, Y. Advancements in solid acid catalysts for biodiesel production. Green Chem. 2014, 16. [Google Scholar] [CrossRef]
- Soldi, R.A.; Oliveira, A.R.S.; Ramos, L.P.; Csar-Oliveira, M.A.F. Soybean oil and beef tallow alcoholysis by acid heterogeneous catalysis. Appl. Catal. A Gen. 2009, 361, 42–48. [Google Scholar] [CrossRef]
- Mo, X.; López, D.E.; Suwannakarn, K.; Liu, Y.; Lotero, E.; Goodwin, J.G.; Lu, C. Activation and deactivation characteristics of sulfonated carbon catalysts. J. Catal. 2008, 254, 332–338. [Google Scholar] [CrossRef]
- Suwannakarn, K.; Lotero, E.; Goodwin, J.G.; Lu, C. Stability of sulfated zirconia and the nature of the catalytically active species in the transesterification of triglycerides. J. Catal. 2008, 255, 279–286. [Google Scholar] [CrossRef]
- Choma, J. Scattering Parameters: Concept, Theory, and Applications. Lecture 2009, 541. [Google Scholar]
- Yun, Y.; Araujo, J.R.; Melaet, G.; Baek, J.; Archanjo, B.S.; Oh, M.; Alivisatos, A.P.; Somorjai, G.A. Activation of Tungsten Oxide for Propane Dehydrogenation and Its High Catalytic Activity and Selectivity. Catal. Letters 2017, 147, 622–632. [Google Scholar] [CrossRef]
- Kouzu, M.; Hidaka, J. Transesterification of vegetable oil into biodiesel catalyzed by CaO: A review. Fuel 2012, 93, 1–12. [Google Scholar] [CrossRef]
- Li, W.; Du, W.; Liu, D. Rhizopus oryzae IFO 4697 whole cell catalyzed methanolysis of crude and acidified rapeseed oils for biodiesel production in tert-butanol system. Process Biochem. 2007, 42, 1481–1485. [Google Scholar] [CrossRef]
- Xu, Y.; Du, W.; Liu, D.; Zeng, J. A novel enzymatic route for biodiesel production from renewable oils in a solvent-free medium. Biotechnol. Lett. 2003, 25, 1239–1241. [Google Scholar] [CrossRef] [PubMed]
- Siedentop, R.; Claaßen, C.; Rother, D.; Lütz, S.; Rosenthal, K. Getting the Most Out of Enzyme Cascades: Strategies to Optimize In Vitro Multi-Enzymatic Reactions. Catalysts 2021, 11, 1183. [Google Scholar] [CrossRef]
- Wang, Q.; Ge, M.; Guo, X.; Li, Z.; Huang, A.; Yang, F.; Guo, R. Hydrophobic poly(ionic liquid)s as “two-handed weapons”: Maximizing lipase catalytic efficiency in transesterification of soybean oil toward biodiesel. Appl. Catal. A Gen. 2021, 626, 118350. [Google Scholar] [CrossRef]
- Subramanian, A.; Kennel, S.J.; Oden, P.I.; Jacobson, K.B.; Woodward, J.; Doktycz, M.J. Comparison of techniques for enzyme immobilization on silicon supports. Enzyme Microb. Technol. 1999, 24, 26–34. [Google Scholar] [CrossRef]
- Zheng, Y.; Quan, J.; Ning, X.; Zhu, L.M.; Jiang, B.; He, Z.Y. Lipase-catalyzed transesterification of soybean oil for biodiesel production in tert-amyl alcohol. World J. Microbiol. Biotechnol. 2009, 25, 41–46. [Google Scholar] [CrossRef]
- Koesoema, A.A.; Matsuda, T. Application of Nonaqueous Media in Biocatalysis. Biocatal. Pract. 2021, 245–274. [Google Scholar] [CrossRef]
- Sun, Y.; Zhong, M.; Zhao, X.; Li, Y.; Qi, B. Stability and digestion characteristics of pickering high internal phase emulsions formed by acid-induced soy lipophilic protein, β -conglycinin, and globulin. LWT 2021, 153, 112554. [Google Scholar] [CrossRef]
- Mashuri, S.I.S.; Ibrahim, M.L.; Kasim, M.F.; Mastuli, M.S.; Rashid, U.; Abdullah, A.H.; Islam, A.; Asikin-Mijan, N.; Tan, Y.H.; Mansir, N.; et al. Photocatalysis for organic wastewater treatment: From the basis to current challenges for society. Catalysts 2020, 10, 1260. [Google Scholar] [CrossRef]
- Iso, M.; Chen, B.; Eguchi, M.; Kudo, T.; Shrestha, S. Production of biodiesel fuel from triglycerides and alcohol using immobilized lipase. J. Mol. Catal. B Enzym. 2001, 16, 53–58. [Google Scholar] [CrossRef]
- Dizge, N.; Keskinler, B. Enzymatic production of biodiesel from canola oil using immobilized lipase. Biomass Bioenergy 2008, 32, 1274–1278. [Google Scholar] [CrossRef]
- Dizge, N.; Aydiner, C.; Imer, D.Y.; Bayramoglu, M.; Tanriseven, A.; Keskinler, B. Biodiesel production from sunflower, soybean, and waste cooking oils by transesterification using lipase immobilized onto a novel microporous polymer. Bioresour. Technol. 2009, 100, 1983–1991. [Google Scholar] [CrossRef]
- Ansari, S.A.; Husain, Q. Potential applications of enzymes immobilized on/in nano materials: A review. Biotechnol. Adv. 2012, 30, 512–523. [Google Scholar] [CrossRef]
- Abdulkareem Ghassan, A.; Mijan, N.-A.; Hin Taufiq-Yap, Y. Nanomaterials: An Overview of Nanorods Synthesis and Optimization. In Nanorods: An Overview from Synthesis to Emerging Device Applications; IntechOpen: London, UK, 2019. [Google Scholar]
- Ahmad, R.; Sardar, M. Enzyme Immobilization: An Overview on Nanoparticles as Immobilization Matrix. Biochem. Analytical Biochem. 2015, 4. [Google Scholar] [CrossRef]
- Shobhana-Gnanaserkhar; Asikin-Mijan, N.; AbdulKareem-Alsultan, G.; Sivasangar-Seenivasagam; Izham, S.M.; Taufiq-Yap, Y.H. Biodiesel production via simultaneous esterification and transesterification of chicken fat oil by mesoporous sulfated Ce supported activated carbon. Biomass Bioenergy 2020, 141, 105714. [Google Scholar] [CrossRef]
- Abdulkareem-Alsultan, G.; Asikin-Mijan, N.; Lee, H.V.V.; Taufiq-Yap, Y.H. A new route for the synthesis of La-Ca oxide supported on nano activated carbon via vacuum impregnation method for one pot esterification-transesterification reaction. Chem. Eng. J. 2016, 304, 61–71. [Google Scholar] [CrossRef]
- Abdulkareem-Alsultan, G.; Asikin-Mijan, N.; Taufiq-Yap, Y.H. Effective catalytic deoxygenation of waste cooking oil over nanorods activated carbon supported CaO. In Key Engineering Materials; Trans Tech Publications Ltd: Bäch, Switzerland, 2016; Volume 707, pp. 175–181. [Google Scholar]
- Tang, Z.E.; Lim, S.; Pang, Y.L.; Shuit, S.H.; Ong, H.C. Utilisation of biomass wastes based activated carbon supported heterogeneous acid catalyst for biodiesel production. Renew. Energy 2020, 158, 91–102. [Google Scholar] [CrossRef]
- Wang, R.; Yang, P.; Wang, S.; Wang, X. Distorted carbon nitride nanosheets with activated n → π* transition and preferred textural properties for photocatalytic CO2 reduction. J. Catal. 2021, 402, 166–176. [Google Scholar] [CrossRef]
- Matrose, N.A.; Obikese, K.; Belay, Z.A.; Caleb, O.J. Sulfur/oxygen-doped porous carbon via NaCl-assisted thermolysis of molecular precursor for CO2 capture. Sci. Total Environ. 2019, 135907. [Google Scholar] [CrossRef]
- Kiełbasa, K.; Sreńscek-Nazzal, J.; Michalkiewicz, B. Impact of tailored textural properties of activated carbons on methane storage. Powder Technol. 2021, 394, 336–352. [Google Scholar] [CrossRef]
- Yu, J.T.; Dehkhoda, A.M.; Ellis, N. Development of biochar-based catalyst for transesterification of canola oil. Energy Fuels 2011, 25, 337–344. [Google Scholar] [CrossRef]
- Kastner, J.R.; Miller, J.; Geller, D.P.; Locklin, J.; Keith, L.H.; Johnson, T. Catalytic esterification of fatty acids using solid acid catalysts generated from biochar and activated carbon. Catal. Today 2012, 190, 122–132. [Google Scholar] [CrossRef]
- Chin, L.H.; Abdullah, A.Z.; Hameed, B.H. Sugar cane bagasse as solid catalyst for synthesis of methyl esters from palm fatty acid distillate. Chem. Eng. J. 2012, 183, 104–107. [Google Scholar] [CrossRef]
- Anto, S.; Karpagam, R.; Renukadevi, P.; Jawaharraj, K.; Varalakshmi, P. Biomass enhancement and bioconversion of brown marine microalgal lipid using heterogeneous catalysts mediated transesterification from biowaste derived biochar and bionanoparticle. Fuel 2019, 255, 115789. [Google Scholar] [CrossRef]
- Chellappan, S.; Nair, V.; Sajith, V.; Aparna, K. Synthesis, optimization and characterization of biochar based catalyst from sawdust for simultaneous esterification and transesterification. Chinese J. Chem. Eng. 2018, 26, 2654–2663. [Google Scholar] [CrossRef]
- Zhao, C.; Lv, P.; Yang, L.; Xing, S.; Luo, W.; Wang, Z. Biodiesel synthesis over biochar-based catalyst from biomass waste pomelo peel. Energy Convers. Manag. 2018, 160, 477–485. [Google Scholar] [CrossRef]
- Bušić, A.; Kundas, S.; Morzak, G.; Belskaya, H.; Mardetko, N.; Šantek, M.I.; Komes, D.; Novak, S.; Šantek, B. Recent trends in biodiesel and biogas production. Food Technol. Biotechnol. 2018, 56, 152–173. [Google Scholar] [CrossRef] [PubMed]
- Musa, I.A. The effects of alcohol to oil molar ratios and the type of alcohol on biodiesel production using transesterification process. Egypt. J. Pet. 2016, 25, 21–31. [Google Scholar] [CrossRef]
- Bharti, M.K.; Chalia, S.; Thakur, P.; Sridhara, S.N.; Thakur, A.; Sharma, P.B. Nanoferrites heterogeneous catalysts for biodiesel production from soybean and canola oil: A review. Environ. Chem. Lett. 2021. [Google Scholar] [CrossRef]
- Helwani, Z.; Othman, M.R.; Aziz, N.; Fernando, W.J.N.; Kim, J. Technologies for production of biodiesel focusing on green catalytic techniques: A review. Fuel Process. Technol. 2009, 90, 1502–1514. [Google Scholar] [CrossRef]
- Lukić, I.; Kesić, Ž.; Maksimović, S.; Zdujić, M.; Liu, H.; Krstić, J.; Skala, D. Kinetics of sunflower and used vegetable oil methanolysis catalyzed by CaO·ZnO. Fuel 2013, 113, 367–378. [Google Scholar] [CrossRef]
- Islam, A.; Taufiq-Yap, Y.H.; Chu, C.M.; Chan, E.S.; Ravindra, P. Studies on design of heterogeneous catalysts for biodiesel production. Process Saf. Environ. Prot. 2013, 91, 131–144. [Google Scholar] [CrossRef]
- Ruhul, A.M.; Kalam, M.A.; Masjuki, H.H.; Fattah, I.M.R.; Reham, S.S.; Rashed, M.M. RSC Advances State of the art of biodiesel production processes: A review of the heterogeneous catalyst. RSC Adv. 2015, 5, 101023–101044. [Google Scholar] [CrossRef]
- Patil, P.D.; Gude, V.G.; Reddy, H.K.; Muppaneni, T.; Deng, S. Biodiesel Production from Waste Cooking Oil Using Sulfuric Acid and Microwave Irradiation Processes. J. Environ. Prot. 2012, 2012, 107–113. [Google Scholar] [CrossRef]
- Balaraman, H.B.; Rathnasamy, S.K. Kinetics and microwave-assisted extractive transesterification studies of high octane methyl esters (HOME) from karanja and chicken lard oil using protic deep eutectic solvent. Fuel 2020, 268, 117299. [Google Scholar] [CrossRef]
- Idowu, I.; Pedrola, M.O.; Wylie, S.; Teng, K.H.; Kot, P.; Phipps, D.; Shaw, A. Improving biodiesel yield of animal waste fats by combination of a pre-treatment technique and microwave technology. Renew. Energy 2019, 142, 535–542. [Google Scholar] [CrossRef]
- Kiraz, N.; Burunkaya, E.; Kesmez, Ö.; Çamurlu, H.E.; Asiltürk, M.; Yeşil, Z.; Arpaç, E. Preparation of Sn doped nanometric TiO2 powders by reflux and hydrothermal syntheses and their characterization. J. Sol Gel Sci. Technol. 2011, 59, 381–386. [Google Scholar] [CrossRef]
- Al-jaberi, S.H.H.H.; Rashid, U.; Al-Doghachi, F.A.J.J.; Abdulkareem-alsultan, G.; Taufiq-Yap, Y.H. Synthesis of MnO-NiO-SO4−2/ZrO2 solid acid catalyst for methyl ester production from palm fatty acid distillate. Energy Convers. Manag. 2017, 139, 166–174. [Google Scholar] [CrossRef]
- Lin, C.-W.; Tsai, S.-W. Production of biodiesel from chicken wastes by various alcohol-catalyst combinations. J. Energy South. Africa 2015, 26, 36–45. [Google Scholar] [CrossRef]
- Ji, J.; Wang, J.; Li, Y.; Yu, Y.; Xu, Z. Preparation of biodiesel with the help of ultrasonic and hydrodynamic cavitation. Ultrasonics 2006, 44. [Google Scholar] [CrossRef] [PubMed]
- Deng, X.; Fang, Z.; Liu, Y.H.; Yu, C.L. Production of biodiesel from Jatropha oil catalyzed by nanosized solid basic catalyst. Energy 2011, 36, 777–784. [Google Scholar] [CrossRef]
- Hingu, S.M.; Gogate, P.R.; Rathod, V.K. Synthesis of biodiesel from waste cooking oil using sonochemical reactors. Ultrason. Sonochem. 2010, 17, 827–832. [Google Scholar] [CrossRef]
- Nematian, T.; Fatehi, M.; Hosseinpour, M.; Barati, M. One-pot conversion of sesame cake to low N-content biodiesel via nano-catalytic supercritical methanol. Renew. Energy 2021, 170, 964–973. [Google Scholar] [CrossRef]
- Sun, S.; Guo, J.; Chen, X. Industrial Crops & Products Biodiesel preparation from Semen Abutili (Abutilon theophrasti Medic) seed oil using low-cost liquid lipase Eversa ® transform 2.0 as a catalyst. Ind. Crops Prod. 2021, 169, 113643. [Google Scholar]
- Yaakob, Z.; Mohammad, M.; Alherbawi, M.; Alam, Z. Overview of the production of biodiesel from Waste cooking oil. Renew. Sustain. Energy Rev. 2013, 18, 184–193. [Google Scholar] [CrossRef]
- Da Conceição, L.R.V.; Carneiro, L.M.; Rivaldi, J.D.; de Castro, H.F. Solid acid as catalyst for biodiesel production via simultaneous esterification and transesterification of macaw palm oil. Ind. Crops Prod. 2016, 89, 416–424. [Google Scholar] [CrossRef]
- Abdulkreem-Alsultan, G.; Islam, A.; Janaun, J.; Mastuli, M.S.S.; Taufiq-Yap, Y.-H. Synthesis of structured carbon nanorods for efficient hydrogen storage. Mater. Lett. 2016, 179, 57–60. [Google Scholar] [CrossRef]
- Razak, N.H.; Hashim, H.; Yunus, N.A.; Klemeš, J.J. Reducing diesel exhaust emissions by optimisation of alcohol oxygenates blend with diesel/biodiesel. J. Clean. Prod. 2021, 316, 128090. [Google Scholar] [CrossRef]
- Awang, M.S.N.; Zulkifli, N.W.M.; Abbas, M.M.; Zulkifli, S.A.; Kalam, M.A.; Ahmad, M.H.; Yusoff, M.N.A.M.; Mazlan, M.; Daud, W.M.A.W. Effect of Addition of Palm Oil Biodiesel in Waste Plastic Oil on Diesel Engine Performance, Emission, and Lubricity. ACS Omega 2021, 6, 21655–21675. [Google Scholar] [CrossRef]
- Syafiuddin, A.; Chong, J.H.; Yuniarto, A.; Hadibarata, T. The current scenario and challenges of biodiesel production in Asian countries: A review. Bioresour. Technol. Reports 2020, 12, 100608. [Google Scholar] [CrossRef]
- Azad, A.K.; Rasul, M.G.; Khan, M.M.K.; Sharma, S.C.; Mofijur, M.; Bhuiya, M.M.K. Prospects, feedstocks and challenges of biodiesel production from beauty leaf oil and castor oil: A nonedible oil sources in Australia. Renew. Sustain. Energy Rev. 2016, 61, 302–318. [Google Scholar] [CrossRef]
- Eryilmaz, T.; Yesilyurt, M.K.; Cesur, C.; Gokdogan, O. Biodiesel production potential from oil seeds in Turkey. Renew. Sustain. Energy Rev. 2016, 58, 842–851. [Google Scholar] [CrossRef]
- Habibullah, M.; Masjuki, H.H.; Kalam, M.A.; Rahman, S.M.A.; Mofijur, M.; Mobarak, H.M.; Ashraful, A.M. Potential of biodiesel as a renewable energy source in Bangladesh. Renew. Sustain. Energy Rev. 2015, 50, 819–834. [Google Scholar] [CrossRef]
- Yang, L.; Takase, M.; Zhang, M.; Zhao, T.; Wu, X. Potential non-edible oil feedstock for biodiesel production in Africa: A survey. Renew. Sustain. Energy Rev. 2014, 38, 461–477. [Google Scholar] [CrossRef]
- Zhong, H.; Watanabe, M.; Enomoto, H.; Jin, F.; Kishita, A.; Aida, T.M.; Smith, R.L. Winterization of vegetable oil blends for biodiesel fuels and correlation based on initial saturated fatty acid constituents. Energy Fuels 2016, 30, 4841–4847. [Google Scholar] [CrossRef]
- Ewing, M.; Msangi, S. Biofuels production in developing countries: Assessing tradeoffs in welfare and food security. Environ. Sci. Policy 2009, 12, 520–528. [Google Scholar] [CrossRef]
- Gowrishankar, S.; Krishnasamy, A. A relative assessment of emulsification and water injection methods to mitigate higher oxides of nitrogen emissions from biodiesel fueled light-duty diesel engine. Fuel 2022, 308, 121926. [Google Scholar] [CrossRef]
- Badawy, T.; Mansour, M.S.; Daabo, A.M.; Abdel Aziz, M.M.; Othman, A.A.; Barsoum, F.; Basouni, M.; Hussien, M.; Ghareeb, M.; Hamza, M.; et al. Selection of second-generation crop for biodiesel extraction and testing its impact with nano additives on diesel engine performance and emissions. Energy 2021, 237. [Google Scholar] [CrossRef]
- Doudin, K.I. Quantitative and qualitative analysis of biodiesel by NMR spectroscopic methods. Fuel 2021, 284, 119114. [Google Scholar] [CrossRef]
- Barreiro, R.; Rodríguez-Solana, R.; Alonso, L.; Salinero, C.; Sánchez, J.I.L.; Pérez-Santín, E. Fast1H-nmr species differentiation method for camellia seed oils applied to spanish ornamentals plants. Comparison with traditional gas chromatography. Plants 2021, 10, 1984. [Google Scholar] [CrossRef]
- Knothe, G. Analytical methods used in the production and fuel quality assessment of biodiesel. Trans. Am. Soc. Agric. Eng. 2001, 44, 193–200. [Google Scholar] [CrossRef]
- International-U.S. Energy Information Administration (EIA). Available online: https://www.eia.gov/international/analysis/country/NGA (accessed on 13 October 2021).
- Coyle, W. The future of biofuels: A global perspective. Future 2007, 5, 24–29. [Google Scholar] [CrossRef][Green Version]
- Ministry of Mines and Energy Biofuels Conjuncture Analysis Year 2018 Ministry of Mines and Energy. 2019. Available online: https://www.epe.gov.br/sites-pt/publicacoes-dados-abertos/publicacoes/PublicacoesArquivos/publicacao-489/Analysis_Biofuels_Current_Outlook_2019.pdf (accessed on 13 October 2021).
- Silalahi, F.T.R.; Simatupang, T.M.; Siallagan, M.P. Biodiesel produced from palm oil in Indonesia: Current status and opportunities. AIMS Energy 2020, 8, 81–101. [Google Scholar] [CrossRef]
- German Rapeseed Harvest Down but Biodiesel Production Remains Robust | Biofuels International Magazine. Available online: https://biofuels-news.com/news/german-rapeseed-harvest-down-but-biodiesel-production-remains-robust/ (accessed on 13 October 2021).
- From 1st- to 2nd-Generation Biofuel Technologies: Full Report 2008. Available online: https://www.iea.org/reports/from-1st-to-2nd-generation-biofuel-technologies (accessed on 13 October 2021).
- Invierten US$5millones Para Transformar Desechos Cloacales en Biodiésel-LA NACION. Available online: https://www.lanacion.com.ar/economia/campo/invierten-us5millones-transformar-desechos-cloacales-biodiesel-nid2525659/ (accessed on 13 October 2021).
- 5 Environmental Effects and Tradeoffs of Biofuels|Renewable Fuel Standard: Potential Economic and Environmental Effects of U.S. Biofuel Policy|The National Academies Press. Available online: https://www.nap.edu/read/13105/chapter/7 (accessed on 24 June 2021).
- Vongvisith, B.; Theuambounmy, H. Bio-Energy Science and Technology Innovation and Policy in Lao P.D.R. J. Sus. Energy Environ. Spec. Issue 2015, 13, 18. [Google Scholar]
- Gaillard, L.; Robert, P.; Rietzler, J. Biofuel development in the Lao PDR: Baseline assessment and policy evaluation. In Proceedings of the International Conference on Energy and Sustainable Development: Issues and Strategies, ESD 2010, Chiang Mai, Thailand, 2–4 June 2010; IEEE Computer Society: New York, NY, USA, 2010. [Google Scholar]
- Souliyathai, D.; Chen, Y.; Vongvisith, B.; Li, X.; Li, M.; Zhang, W. Research development of biofuels potential in Lao PDR. In IOP Conference Series: Earth and Environmental Science; Institute of Physics Publishing: Bristol, UK, 2018; Volume 170, p. 42018. [Google Scholar]
- Le, H.N.T.; Imamura, K.; Furuta, M.; Van Boi, L.; Maeda, Y. Production of biodiesel from Vernicia Montana Lour. oil using a co-solvent method and the subsequent evaluation of its stability during storage. Green Process. Synth. 2018, 7, 170–179. [Google Scholar] [CrossRef]
- Chandra, A.; Rosmann, M. Biofuels Annual: India. Energy Policy 2020, 143, 111595. [Google Scholar]
- Bilal Abdi India Bio-Diesel Blending: India’s Bio-Diesel Blending for Road Transport to Remain Muted in 2019: US Dept of Agriculture, Energy News, ET EnergyWorld. Available online: https://energy.economictimes.indiatimes.com/news/oil-and-gas/indias-bio-diesel-blending-for-road-transport-to-remain-muted-in-2019-us-dept-of-agriculture/70868387 (accessed on 13 October 2021).
- Pugazhendhi, A.; Alagumalai, A.; Mathimani, T.; Atabani, A.E. Optimization, kinetic and thermodynamic studies on sustainable biodiesel production from waste cooking oil: An Indian perspective. Fuel 2020, 273, 117725. [Google Scholar] [CrossRef]
- National Policy on Biofuels; Ministry of Petroleum & Natural Gas: New Delhi, India, 2019.
- Joshi, S.; Hadiya, P.; Shah, M.; Sircar, A. Techno-economical and Experimental Analysis of Biodiesel Production from Used Cooking Oil. Biophys. Econ. Resour. Qual. 2019, 4, 1–6. [Google Scholar] [CrossRef]
- Singh, B.; Singh, K.; Rejeshwar Rao, G.; Chikara, J.; Kumar, D.; Mishra, D.K.; Saikia, S.P.; Pathre, U.V.; Raghuvanshi, N.; Rahi, T.S.; et al. Agro-technology of Jatropha curcas for diverse environmental conditions in India. Biomass Bioenergy 2013, 48, 191–202. [Google Scholar] [CrossRef]
- Ellison, C.A.; Sawadogo, A.; Braman, S.; Nacro, S. First report of colletotrichum truncatum causing stem cankers on jatropha curcas in Burkina Faso. Plant. Dis. 2015, 99, 14–20. [Google Scholar] [CrossRef]
- Mohammad, A.; Bello, I.; Maruthi, M.N.; Seal, S.E.; Garga, M.A. View of Detection of Jatropha Mosaic Indian Virus (JMIV) on Jatropha Plant (Jatropha Curcas). J. Adv. Res. Biochem. Pharmacol. 2019, 2, 1–4. [Google Scholar]
- Machado, A.R.; Pinho, D.B.; Pereira, O.L. Phylogeny, identification and pathogenicity of the Botryosphaeriaceae associated with collar and root rot of the biofuel plant Jatropha curcas in Brazil, with a description of new species of Lasiodiplodia. Fungal Divers. 2014, 67, 231–247. [Google Scholar] [CrossRef]
- Soto, I.; Ellison, C.; Kenis, M.; Diaz, B.; Muys, B.; Mathijs, E. Why do farmers abandon jatropha cultivation? The case of Chiapas, Mexico. Energy Sustain. Dev. 2018, 42, 77–86. [Google Scholar] [CrossRef]
- Sobhani, S.; Legg, J.; Bartz, D.F.; Kojima, J.J.; Chang, C.T.; Sullivan, J.D.; Moder, J.P.; Ihme, M. Experimental investigation of lean premixed pre-vaporized liquid-fuel combustion in porous media burners at elevated pressures up to 20 bar. Combust. Flame 2020, 212, 123–134. [Google Scholar] [CrossRef]
- Jin, B.; Wang, M.; Zhu, R.; Jia, M.; Wang, Y.; Li, S.; Bao, X. Evaluation of additives used in gasoline vehicles in China: Fuel economy, regulated gaseous pollutants and volatile organic compounds based on both chassis dynamometer and on-road tests. Clean Technol. Environ. Policy 2021. [Google Scholar] [CrossRef]
- Wong, K.Y.; Ng, J.H.; Chong, C.T.; Lam, S.S.; Chong, W.T. Biodiesel process intensification through catalytic enhancement and emerging reactor designs: A critical review. Renew. Sustain. Energy Rev. 2019, 116. [Google Scholar] [CrossRef]
- Tabatabaei, M.; Aghbashlo, M.; Dehhaghi, M.; Panahi, H.K.S.; Mollahosseini, A.; Hosseini, M.; Soufiyan, M.M. Reactor technologies for biodiesel production and processing: A review. Prog. Energy Combust. Sci. 2019, 74, 239–303. [Google Scholar] [CrossRef]
- Qiu, Z.; Zhao, L.; Weatherley, L. Process intensification technologies in continuous biodiesel production. Chem. Eng. Process. Process. Intensif. 2010, 49, 323–330. [Google Scholar] [CrossRef]
- Dubé, M.A.; Tremblay, A.Y.; Liu, J. Biodiesel production using a membrane reactor. Bioresour. Technol. 2007, 98, 639–647. [Google Scholar] [CrossRef]
- Cao, P.; Dubé, M.A.; Tremblay, A.Y. High-purity fatty acid methyl ester production from canola, soybean, palm, and yellow grease lipids by means of a membrane reactor. Biomass and Bioenergy 2008, 32, 1028–1036. [Google Scholar] [CrossRef]
- Seidel-morgenstern, A. Nonporous Inorganic Membranes Monitoring and Visualizing Membrane-Based Processes Materials Science of Membranes for Gas. and Vapor Separation Membranes in Clean Technologies; John Wiley & Sons: Hoboken, NJ, USA, 2009; ISBN 9783527313167. [Google Scholar]
- Shuit, S.H.; Ong, Y.T.; Lee, K.T.; Subhash, B.; Tan, S.H. Membrane technology as a promising alternative in biodiesel production: A review. Biotechnol. Adv. 2012, 30, 1364–1380. [Google Scholar] [CrossRef] [PubMed]
- Gomes, M.C.S.; Arroyo, P.A.; Pereira, N.C. Biodiesel production from degummed soybean oil and glycerol removal using ceramic membrane. J. Memb. Sci. 2011, 378, 453–461. [Google Scholar] [CrossRef]
- Likozar, B.; Pohar, A.; Levec, J. Transesterification of oil to biodiesel in a continuous tubular reactor with static mixers: Modelling reaction kinetics, mass transfer, scale-up and optimization considering fatty acid composition. Fuel Process. Technol. 2016, 142, 326–336. [Google Scholar] [CrossRef]
- Thompson, J.C.; He, B.B. Biodiesel production using static mixers. Trans. ASABE 2007, 50, 161–165. [Google Scholar] [CrossRef]
- Leong, J.; Chuan, Y. Experimental and Numerical Investigation of a Static Mixer for the Production of Biodiesel. Ph.D. Thesis, Monash University, Clayton, VIC, Australia, 2012; pp. 1–170. [Google Scholar]
- He, B.B.; Singh, A.P.; Thompson, J.C. A novel continuous-flow reactor using reactive distillation for biodiesel production. Trans. ASABE 2006, 49, 107–112. [Google Scholar]
- Pradana, Y.S.; Hidayat, A.; Prasetya, A.; Budiman, A. Biodiesel production in a reactive distillation column catalyzed by heterogeneous potassium catalyst. Energy Procedia 2017, 143, 742–747. [Google Scholar] [CrossRef]
- Kiss, A.A.; Bildea, C.S. A review of biodiesel production by integrated reactive separation technologies. J. Chem. Technol. Biotechnol. 2012, 87, 861–879. [Google Scholar] [CrossRef]
- Bildea, C.S.; Kiss, A.A. Dynamics and control of a biodiesel process by reactive absorption. Chem. Eng. Res. Des. 2011, 89, 187–196. [Google Scholar] [CrossRef]
- Xu, W.; Gao, L.; Wang, S.; Xiao, G. Biodiesel production in a membrane reactor using MCM-41 supported solid acid catalyst. Bioresour. Technol. 2014, 159, 286–291. [Google Scholar] [CrossRef] [PubMed]
- Sastry, S.; Murthy, C. Synthesis of biodiesel by In-situ transesterification of Karanja oil. Bangladesh J. Sci. Ind. Res. 2015, 49, 211–218. [Google Scholar] [CrossRef]
- Prapainainar, C.; Yotkamchonkun, C.; Panjatharakul, S.; Ratana, T.; Seeyangnok, S.; Narataruksa, P. Esterification of acetic acid via semi-batch reactive distillation for pyrolysis oil upgrading: Experimental approach. Energy Procedia 2014, 52, 559–566. [Google Scholar] [CrossRef][Green Version]
- Perez-Cisneros, E.S.; Sales-Cruz, M.; Lobo-Oehmichen, R.; Viveros-García, T. A reactive distillation process for co-hydrotreating of non-edible vegetable oils and petro-diesel blends to produce green diesel fuel. Comput. Chem. Eng. 2017, 105, 105–122. [Google Scholar] [CrossRef]
- Mondala, A.; Liang, K.; Toghiani, H.; Hernandez, R.; French, T. Biodiesel production by in situ transesterification of municipal primary and secondary sludges. Bioresour. Technol. 2009, 100, 1203–1210. [Google Scholar] [CrossRef] [PubMed]
- Samuel, O.D.; Eng, M.; Dairo, O.U.; Ph, D. A Critical Review of In-situ Transesterification Process for Biodiesel Production. Pacific J. Sci. Technol. 2012, 13, 72–79. [Google Scholar]
- Tuntiwiwattanapun, N.; Monono, E.; Wiesenborn, D.; Tongcumpou, C. In-situ transesterification process for biodiesel production using spent coffee grounds from the instant coffee industry. Ind. Crops Prod. 2017, 102, 23–31. [Google Scholar] [CrossRef]







| Type of Oil | Kinematic Viscosity at 40 °C (cSt) | Density (g/cm3) | Saponification Number | Iodine Value | Acid Value (mg KOH/g) | Cetane Number | Heating Value (MJ/kg) | Yield % | References |
|---|---|---|---|---|---|---|---|---|---|
| Soybean | 4.08 | 0.885 | 201 | 138.7 | 0.15 | 52 | 40 | >95 | [58,59,60,61,62] |
| Rapeseed | 4.3–5.83 | 0.88 | Nd | Nd | 0.25–0.45 | 49–50 | 45 | 95–96 | [63,64,65] |
| Sunflower | 4.9 | 0.88 | 200 | 142.7 | 0.24 | 49 | 45.3 | 97.1 | [61,64,66] |
| Palm | 4.42 | 0.86–0.9 | 207 | 60.07 | 0.08 | 62 | 34 | 89.23 | [67,68,69] |
| Peanut | 4.42 | 0.883 | 200 | 67.45 | Nd | 62 | 40.1 | 89 | [70,71,72] |
| Corn | 3.39 | 0.88–0.89 | 202 | 120.3 | Nd | 58–59 | 45 | 85–96 | [66,73,74] |
| Cotton | 4.07 | 0.875 | 204 | 104.7 | 0.16 | 54 | 45 | 96.9 | [75,76,77] |
| Jatropha curcas | 4.78 | 0.8636 | 202 | 108.4 | 0.496 | 61–63 | 40–42 | 98 | [78,79,80,81,82] |
| Pongamia piñata | 4.8 | 0.883 | Nd | Nd | 0.62 | 60–61 | 42 | 97–98 | [53,83,84,85] |
| Fatty Acid | References | ||||||||||||
|---|---|---|---|---|---|---|---|---|---|---|---|---|---|
| Lauric | Behenic | Palmitic | Stearic | Palmioleic | Linolenic | Oleic | Gadoleic | Linoleic | Arachidic | Myristic | Erucic | ||
| Closed Formula | C12H24O2 | C22H44O2 | C16H32O2 | C18H36O2 | C16H30O2 | C18H30O2 | C18H34O | C20H38O2 | C18H32O2 | C20H40O2 | C14H28O2 | C22H42O2 | |
| C:D | C 12:0 | C22:0 | C 16:0 | C 18:0 | C 16:1 | C 18:3 | C 18:1 | C 20:1 | C 18:2 | C 20:0 | C 14:0 | C 22:1 | |
| Algae | Nd | 0.33 | 15.64 | 2.10 | 0.32 | 4.88 | 54.89 | Nd | 19.56 | 2.24 | Nd | Nd | [90] |
| Soybean | Nd | 0.57 | 11.43 | 4.03 | 0.07 | 3.34 | 24.85 | Nd | 55.33 | 0.25 | 0.07 | Nd | [91,92,93] |
| Sunflower | Nd | 0.46 | 5.93 | 3.44 | 0.14 | 0.38 | 36.22 | Nd | 52.95 | 0.23 | 0.08 | Nd | [94,95] |
| Corn | Nd | 0.13 | 12.23 | 2.62 | 0.13 | 0.85 | 31.40 | Nd | 51.21 | 0.32 | 0.02 | Nd | [96] |
| Cottonseed | Nd | 0.14 | 21.47 | 2.61 | 0.56 | 0.15 | 18.21 | Nd | 55.45 | 0.06 | 0.69 | Nd | [97,98] |
| Canola | Nd | 037 | 6.23 | 2.49 | 0.34 | 5.11 | 61.46 | Nd | 22.12 | 1.43 | 0.05 | Nd | [91,99,100] |
| Olive | Nd | 0.24 | 13.27 | 3.69 | 0.86 | 0.76 | 68.00 | Nd | 12.48 | 0.48 | Nd | Nd | [101,102] |
| Safflower | Nd | Nd | 6.70 | 2.40 | 0.08 | 0.15 | 11.50 | Nd | 79.00 | Nd | 0.10 | Nd | [91,103,104] |
| Hazelnut | Nd | Nd | 5.82 | 2.74 | 0.29 | 0.46 | 79.30 | Nd | 10.39 | 0.16 | 0.13 | Nd | [105,106] |
| Rapeseed | Nd | Nd | 3.49 | 0.85 | Nd | 8.23 | 64.40 | Nd | 22.30 | Nd | Nd | Nd | [91,107,108] |
| Palm oil | 0.1 | 0.1 | 36.7 | 6.6 | 0.1 | 0.3 | 46.1 | 0.2 | 8.6 | 0.4 | 0.7 | Nd | [109,110,111] |
| Jatropha curcas | Nd | Nd | 14.2 | 7.0 | 0.7 | 0.2 | 44.7 | Nd | 32.8 | 0.2 | 0.1 | Nd | [79,81,82,112] |
| Palm kernel | 47.8 | Nd | 8.4 | 2.4 | Nd | Nd | 15.4 | Nd | 2.4 | 0.1 | 16.3 | Nd | [67,109,113] |
| Animal fats | Nd | 0.01 | 28.4 | 15.7 | Nd | 0.6 | 42.2 | 0.86 | 9.4 | 0.16 | 2.52 | 0.01 | [114,115] |
| WCO | Nd | 0.03 | 20.4 | 4.8 | 4.6 | 0.8 | 52.9 | Nd | 13.5 | 0.12 | 0.9 | 0.07 | [116] |
| Biochar Sources | Activation Conditions | Surface Area (m2/g) | Pore Volume (cm3/g) | Pore Size (nm) | Type of Reaction | FAME Yield a | References |
|---|---|---|---|---|---|---|---|
| Woody biomass | Sulfonation, Activation temperature: 875 °C | 1411 | 0.71 | 2.20 | Transesterification | 44.20 | [220] |
| CCAC900 | Sulfonation at 900 °C | 972.66 | 0.11 | 2.43 | Esterification | 93.49 | [216] |
| Peanut hull | Sulfonation, Activation temperature: 100 °C | 242 | 0.13 | 1.05 | Esterification | 97.00 | [221] |
| Sugarcane bagasse | Sulfonation, Activation temperature: 150 °C | 54.74 | - | 2.7 | Esterification | 80.00 | [222] |
| Mixture of dried leaves | Charring temperature: 470 °C | 18.767 | 0.019 | 2.785 | Transesterification | 85.00 | [223] |
| Irul wood biomass | Sulfonation | 13.30 | 0.005 | 101.02 | Esterification and Transesterification | 95.60 | [224] |
| Pomelo peel | KOH activation | 278.2 | 0.154 | - | Transesterification | >82.00 | [225] |
| Variables | Acid Catalyst | Base Catalyst | Supercritical Alcohol | Heterogeneous Catalyst |
|---|---|---|---|---|
| Reaction temperature (°C) | 55–80 | 60–70 | 239–385 | 180–220 |
| Water in the feedstock | Interfere with reaction | Interfere with reaction | Not sensitive | |
| Free fatty acid in feedstock | Esters | Saponified products | Esters | Not sensitive |
| Yields of methyl esters | Normal | Normal | Good | Normal |
| Purification of methyl esters | Repeated washing | Repeated washing | Nd | Easy |
| Recovery of glycerol | Difficult | Difficult | Nd | Easy |
| Production cost of catalyst | Cheap | Cheap | Medium | Potentially cheaper |
| Property of the Fuel | Biodiesel | Diesel |
|---|---|---|
| Standard method | ASTM D6751 | ASTM D975 |
| Fuel composition | FAME(C12-C22) | Hydrocarbon(n-C10- n-C21) |
| Density(g/cm3) | 0.878 | 0.848 |
| Pour point (°C) | −15 to 16 | −30 to −15 |
| Cloud point (°C) | −3 to 12 | −15 to 5 |
| Flash point (°C) | 100–170 | 60–80 |
| Cetane number | 48–60 | 40–55 |
| Water (vol %) | 0.05 | 0.05 |
| Carbon (wt. %) | 77 | 87 |
| Hydrogen (wt. %) | 12 | 13 |
| Oxygen (wt. %) | 11 | 0 |
| Sulphur (wt. %) | 0.05 | 0.05 |
| Techniques | Concept/ Principle | Advantages | Disadvantages | Current Status | References |
|---|---|---|---|---|---|
| Ultrasonic method | Ultrasound radiation promotes phase miscibility through microturbulence-induced emulsification | Heightened interface contact area for the immiscible components Diminished period of reaction Lower quantity of catalyst necessary Reduced standards of feedstock can be utilised, e.g., animal fats and waste oils Decreased need for catalyst and methanol by up to half Lower waste therefore less toxic to environment | High likelihood of erosion of probe ultrasonic reactor’s horn tip Difficulty in maintaining even temperature Mechanical mixer also necessary Unwanted by-products Requires additional research | Industrial scale | [285,286,287,288,289,290,291,292] |
| Microwavemethod | Ongoing changes in microwave magnetic field orients polar alcohol molecules, leading to molecular friction-generated heat | Lower thermal gradient Mitigates excessive surface temperature rise Superheating can occur locally Brief reaction time required Improved kinetics of the reaction Diminished time required for segregation and removal of impurities Environmentally friendly Low energy requirement | Microwaves only infiltrate a depth of several centimetres Requires internal stirring Local superheating needs minimising Mass transfer is restricted Safety issues Difficulties associated with scale-up | Laboratory scale | [68,286,293,294,295] |
| Co-solvent method | Deployment of a secondary solvent, which can dissolve in alcohol and oil liquids, thus improving reactant miscibility and diminishing resistance of the first mass transfer | Faster reaction rate Reaction temperature, pressure and molar proportions of oil: alcohol diminished | Extraction of cosolvent from reaction medium Additional quantity of wastewater created Increased expense of manufacture owing to cosolvent cleansing required | Industrial scale | [286,287,296,297,298,299] |
| Membrane reactor | Membrane deployed for selective transport of components at varying mass transfer speeds Reaction and segregation occur in a chamber Mechanism involves the immiscibility of oil and alcohol and the diverse surface dynamics | Efficacious segregation and cleansing owing to a lower number of rinsing phases Lower glycerine content compared to biodiesel generated in a batch reactor Temperature and pressure requirements reduced Ester conversion augmented Reduced processing expense | Soap configuration in the reactor may contaminate the costly membrane Accurate governance of process Strict variables maintained to inhibit membrane contamination | Pilot scale | [288,300,301] |
| Motionless mixer | Static helical mixing component within hollow tube Offers dynamic and efficacious mixing | No parts in motion Likely diminished power requirements Upkeep straightforward Expense and area necessary reduced Low energy requirement Increased reaction rateHigher FAME harvest | Admixture has a brief period in the mixer Accurate and timely quantities of constituents necessary | Laboratory scale | [286,293] |
| Reactive distillation | Chemical reaction and distillation take place within one entity | Eradicates the need for extrinsic recycling flows from segregation units and therefore diminishes the requirement for contact with wasteReduced quantity of catalyst Brief reaction durationLarge transformation rate and biodiesel harvest Easy segregation of products | High energy requirement Transformation impacted by catalyst efficacy | Pilot scale | [99,298,302,303] |
| In-situ biodiesel production | Concurrent extraction and transesterification | Operation time, solvent, amount and total expense diminished | Biodiesel purification is more complex and expensive | Laboratory scale | [301,304,305,306] |
Publisher’s Note: MDPI stays neutral with regard to jurisdictional claims in published maps and institutional affiliations. |
© 2021 by the authors. Licensee MDPI, Basel, Switzerland. This article is an open access article distributed under the terms and conditions of the Creative Commons Attribution (CC BY) license (https://creativecommons.org/licenses/by/4.0/).
Share and Cite
Alsultan, A.G.; Asikin-Mijan, N.; Ibrahim, Z.; Yunus, R.; Razali, S.Z.; Mansir, N.; Islam, A.; Seenivasagam, S.; Taufiq-Yap, Y.H. A Short Review on Catalyst, Feedstock, Modernised Process, Current State and Challenges on Biodiesel Production. Catalysts 2021, 11, 1261. https://doi.org/10.3390/catal11111261
Alsultan AG, Asikin-Mijan N, Ibrahim Z, Yunus R, Razali SZ, Mansir N, Islam A, Seenivasagam S, Taufiq-Yap YH. A Short Review on Catalyst, Feedstock, Modernised Process, Current State and Challenges on Biodiesel Production. Catalysts. 2021; 11(11):1261. https://doi.org/10.3390/catal11111261
Chicago/Turabian StyleAlsultan, Abdulkareem G., Nurul Asikin-Mijan, Zueriani Ibrahim, Robiah Yunus, Siti Zulaika Razali, Nasar Mansir, Aminul Islam, Sivasangar Seenivasagam, and Yun Hin Taufiq-Yap. 2021. "A Short Review on Catalyst, Feedstock, Modernised Process, Current State and Challenges on Biodiesel Production" Catalysts 11, no. 11: 1261. https://doi.org/10.3390/catal11111261
APA StyleAlsultan, A. G., Asikin-Mijan, N., Ibrahim, Z., Yunus, R., Razali, S. Z., Mansir, N., Islam, A., Seenivasagam, S., & Taufiq-Yap, Y. H. (2021). A Short Review on Catalyst, Feedstock, Modernised Process, Current State and Challenges on Biodiesel Production. Catalysts, 11(11), 1261. https://doi.org/10.3390/catal11111261

