Ruthenium Nanoparticles Intercalated in Montmorillonite (nano-Ru@MMT) Is Highly Efficient Catalyst for the Selective Hydrogenation of 2-Furaldehyde in Benign Aqueous Medium
Abstract
1. Introduction
2. Results and Discussion
3. Experimental Section
3.1. Syntheses
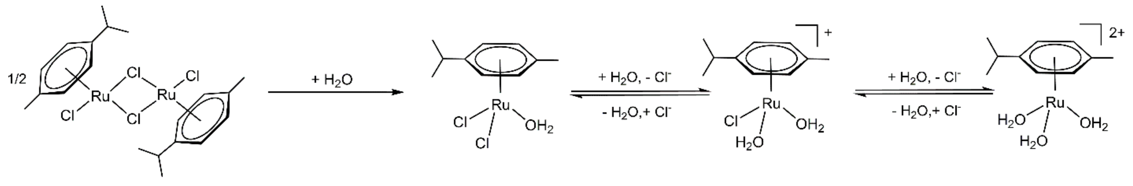
3.1.1. Preparation of the Ru(II)-Containing Montmorillonite 2
3.1.2. Preparation of the Ru(0)-Containing Montmorillonite 3
3.2. Catalysis
3.3. Analysis
4. Conclusions
Supplementary Materials
Author Contributions
Funding
Data Availability Statement
Acknowledgments
Conflicts of Interest
References
- Wang, Y.; Zhao, D.; Rodríguez-Padrón, D.; Len, C. Recent Advances in Catalytic Hydrogenation of Furfural. Catalysts 2019, 9, 796. [Google Scholar] [CrossRef]
- Si, Z.; Zhang, X.; Wang, C.; Ma, L.; Dong, R. An Overview on Catalytic Hydrodeoxygenation of Pyrolysis Oil and Its Model Compounds. Catalysts 2017, 7, 169. [Google Scholar] [CrossRef]
- Mariscal, R.; Maireles-Torres, P.; Ojeda, M.; Sádaba, I.; López Granados, M. Furfural: A renewable and versatile platform molecule for the synthesis of chemicals and fuels. Energy Environ. Sci. 2016, 9, 1144–1189. [Google Scholar] [CrossRef]
- Gómez Millán, G.; Sixta, H. Towards the Green Synthesis of Furfuryl Alcohol in A One-Pot System from Xylose: A Review. Catalysts 2020, 10, 1101. [Google Scholar] [CrossRef]
- Iriondo, A.; Agirre, I.; Viar, N.; Requies, J. Value-Added Bio-Chemicals Commodities from Catalytic Conversion of Biomass Derived Furan-Compounds. Catalysts 2020, 10, 895. [Google Scholar] [CrossRef]
- Fulajtárova, K.; Soták, T.; Hronec, M.; Vávra, I.; Dobročka, E.; Omastová, M. Aqueous phase hydrogenation of furfural to furfuryl alcohol over Pd–Cu catalysts. Appl. Catal. A Gen. 2015, 502, 78–85. [Google Scholar] [CrossRef]
- Dai, Y.; Chu, X.; Gu, J.; Gao, X.; Xu, M.; Lu, D.; Wan, X.; Qi, W.; Zhang, B.; Yang, Y. Water-enhanced selective hydrogenation of cinnamaldehyde to cinnamyl alcohol on RuSnB/CeO2 catalysts. Appl. Catal. A Gen. 2019, 582. [Google Scholar] [CrossRef]
- Yuan, Q.; Zhang, D.; Van Haandel, L.; Ye, F.; Xue, T.; Hensen, E.J.M.; Guan, Y. Selective liquid phase hydrogenation of furfural to furfuryl alcohol by Ru/Zr-MOFs. J. Mol. Catal. A Chem. 2015, 406, 58–64. [Google Scholar] [CrossRef]
- Chen, X.; Zhang, L.; Zhang, B.; Guo, X.; Mu, X. Highly selective hydrogenation of furfural to furfuryl alcohol over Pt nanoparticles supported on g-C3N4 nanosheets catalysts in water. Sci. Rep. 2016, 6, 1–13. [Google Scholar] [CrossRef]
- Ramirez-Barria, C.; Isaacs, M.; Wilson, K.; Guerrero-Ruiz, A.; Rodríguez-Ramos, I. Optimization of ruthenium based catalysts for the aqueous phase hydrogenation of furfural to furfuryl alcohol. Appl. Catal. A Gen. 2018, 563, 177–184. [Google Scholar] [CrossRef]
- Yang, J.; Ma, J.; Yuan, Q.; Zhang, P.; Guan, Y. Selective hydrogenation of furfural on Ru/Al-MIL-53: A comparative study on the effect of aromatic and aliphatic organic linkers. RSC Adv. 2016, 6, 92299–92304. [Google Scholar] [CrossRef]
- Bagnato, G.; Figoli, A.; Ursino, C.; Galiano, F.; Sanna, A. A novel Ru–polyethersulfone (PES) catalytic membrane for highly efficient and selective hydrogenation of furfural to furfuryl alcohol. J. Mater. Chem. A 2018, 6, 4955–4965. [Google Scholar] [CrossRef]
- Taylor, M.J.; Durndell, L.J.; Isaacs, M.A.; Parlett, C.M.A.; Wilson, K.; Lee, A.F.; Kyriakou, G. Highly selective hydrogenation of furfural over supported Pt nanoparticles under mild conditions. Appl. Catal. B Environ. 2016, 180, 580–585. [Google Scholar] [CrossRef]
- Selishcheva, S.A.; Smirnov, A.A.; Fedorov, A.V.; Bulavchenko, O.A.; Saraev, A.A.; Lebedev, M.Y.; Yakovlev, V.A. Highly active CuFeAl-containing catalysts for selective hydrogenation of furfural to furfuryl alcohol. Catalysts 2019, 9, 816. [Google Scholar] [CrossRef]
- Jiménez-Gómez, C.P.; Cecilia, J.A.; Moreno-Tost, R.; Maireles-Torres, P. Selective Furfural Hydrogenation to Furfuryl Alcohol Using Cu-Based Catalysts Supported on Clay Minerals. Top. Catal. 2017, 60, 1040–1053. [Google Scholar] [CrossRef]
- Putrakumar, B.; Seelam, P.K.; Srinivasarao, G.; Rajan, K.; Rajesh, R.; Rao, K.R.; Liang, T. High Performance and Sustainable Copper-Modified Hydroxyapatite Catalysts for Catalytic Transfer Hydrogenation of Furfural. Catalysts 2020, 10, 1045. [Google Scholar] [CrossRef]
- Bardestani, R.; Biriaei, R.; Kaliaguine, S. Hydrogenation of Furfural to Furfuryl Alcohol over Ru Particles Supported on Mildly Oxidized Biochar. Catalysts 2020, 10, 934. [Google Scholar] [CrossRef]
- Modelska, M.; Binczarski, M.J.; Kaminski, Z.; Karski, S.; Kolesinska, B.; Mierczynski, P.; Severino, C.J.; Stanishevsky, A.; Witonska, I.A. Bimetallic Pd-Au/SiO2 Catalysts for Reduction of Furfural in Water. Catalysts 2020, 10, 444. [Google Scholar] [CrossRef]
- Rao, R.; Dandekar, A.; Baker, R.T.K.; Vannice, M.A. Properties of Copper Chromite Catalysts in Hydrogenation Reactions. J. Catal. 1997, 171, 406–419. [Google Scholar] [CrossRef]
- Kumar, B.S.; Dhakshinamoorthy, A.; Pitchumani, K. K10 montmorillonite clays as environmentally benign catalysts for organic reactions. Catal. Sci. Technol. 2014, 4, 2378–2396. [Google Scholar] [CrossRef]
- Sun, B.; Khan, F.-A.; Süss-Fink, G.; Therrien, B. Metal Catalysts Intercalated in Smectite Clays. In Encapsulated Catalysts; Elsevier: Amsterdam, The Netherlands, 2017; pp. 387–441. [Google Scholar] [CrossRef]
- Ross, C.S.; Hendricks, S.B. Minerals of the Montmorillonite Group Their Origin and Relation to Soils and Clays. Geol. Surv. 1945, 71. [Google Scholar] [CrossRef]
- Gaur, R.; Mishra, L.; Siddiqi, M.A.; Atakan, B. Ruthenium complexes as precursors for chemical vapor-deposition (CVD). RSC Adv. 2014, 4, 33785–33805. [Google Scholar] [CrossRef]
- Cormary, B.; Dumestre, F.; Liakakos, N.; Soulantica, K.; Chaudret, B. Organometallic precursors of nano-objects, a critical view. Dalton Trans. 2013, 42, 12546. [Google Scholar] [CrossRef]
- Sun, B.; Khan, F.-A.; Vallat, A.; Süss-Fink, G. NanoRu@hectorite: A heterogeneous catalyst with switchable selectivity for the hydrogenation of quinoline. Appl. Catal. A Gen. 2013, 467, 310–314. [Google Scholar] [CrossRef]
- Khan, F.-A.; Vallat, A.; Süss-Fink, G. Highly selective low-temperature hydrogenation of furfuryl alcohol to tetrahydrofurfuryl alcohol catalysed by hectorite-supported ruthenium nanoparticles. Catal. Commun. 2011, 12, 1428–1431. [Google Scholar] [CrossRef]
- Khan, F.-A.; Vallat, A.; Süss-Fink, G. Highly selective CC bond hydrogenation in α,β-unsaturated ketones catalyzed by hectorite-supported ruthenium nanoparticles. J. Mol. Catal. A Chem. 2012, 355, 168–173. [Google Scholar] [CrossRef]
- Süss-Fink, G.; Khan, F.-A.; Boudon, J.; Spassov, V. Shape- and Size-Selective Preparation of Hectorite-Supported Ruthenium Nanoparticles for the Catalytic Hydrogenation of Benzene. J. Clust. Sci. 2009, 20, 341–353. [Google Scholar] [CrossRef][Green Version]
- Khan, F.-A.; Süss-Fink, G. Superparamagnetic Core-Shell-Type Fe3O4/Ru Nanoparticles as Catalysts for the Selective Hydrogenation of an Unconstrained α,β-Unsaturated Ketone. Eur. J. Inorg. Chem. 2012, 2012, 727–732. [Google Scholar] [CrossRef]
- Sun, B.; Carnevale, D.; Süss-Fink, G. Selective N-cycle hydrogenation of quinolines with sodium borohydride in aqueous media catalyzed by hectorite-supported ruthenium nanoparticles. J. Organomet. Chem. 2016, 821, 197–205. [Google Scholar] [CrossRef]
- Sun, B.; Süss-Fink, G. Ruthenium-catalyzed hydrogenation of aromatic amino acids in aqueous solution. J. Organomet. Chem. 2016, 812, 81–86. [Google Scholar] [CrossRef]
- Stebler-Roethlisberger, M.; Hummel, W.; Pittet, P.A.; Buergi, H.B.; Ludi, A.; Merbach, A.E. Triaqua(benzene)ruthenium(II) and triaqua(benzene)osmium(II): Synthesis, molecular structure, and water-exchange kinetics. Inorg. Chem. 1988, 27, 1358–1363. [Google Scholar] [CrossRef]
- Levitt, M.; Perutz, M.F. Aromatic rings act as hydrogen bond acceptors. J. Mol. Biol. 1988, 201, 751–754. [Google Scholar] [CrossRef]
- Burley, S.K.; Petsko, G.A. Amino-aromatic interactions in proteins. FEBS Lett. 1986, 203, 139–143. [Google Scholar] [CrossRef]
- Suzuki, S.; Green, P.G.; Bumgarner, R.E.; Dasgupta, S.; Goddard, W.A.; Blake, G.A. Benzene Forms Hydrogen Bonds with Water. Science 1992, 257, 942–945. [Google Scholar] [CrossRef]
- Reinholdt, M.X. Synthèse en milieu fluoré et caractérisation de phyllosilicates de type montmorillonite. Etude structurale par spectroscopies d’Absorption des Rayons X et de Résonance Magnétique Nucléaire. Ph.D. Thesis, Université de Haute Alsace-Mulhouse, Mulhouse, France, 2006. [Google Scholar]
- Ammann, L.; Bergaya, F.; Lagaly, G. Determination of the cation exchange capacity of clays with copper complexes revisited. Clay Miner. 2005, 40, 441–453. [Google Scholar] [CrossRef]
- Bennett, M.A.; Huang, T.-N.; Matheson, T.W.; Smith, A.K.; Ittel, S.; Nickerson, W. (η6-Hexamethylbenzene)ruthenium Complexes. In Inorganic Synthesis; John Wiley & Sons, Inc.: Hoboken, NJ, USA, 2007; pp. 74–78. [Google Scholar]





| Cat. Run | 2-Furaldehyde Conversion (%) | Time (h) | TON | Furfuryl Alcohol Selectivity (%) | Carbon Balance (%) |
|---|---|---|---|---|---|
| 1 | 100 | 12 | 203 | >99 | 99 |
| 2 | 100 | 12 | 203 | >99 | 99 |
| 3 | 100 | 12 | 201 | >98 | 98 |
| 4 | 100 | 12 | 201 | >98 | 98 |
| 5 | 100 | 12 | 203 | >99 | 99 |
| 6 | 76 | 12 | 154 | >99 | 76 |
Publisher’s Note: MDPI stays neutral with regard to jurisdictional claims in published maps and institutional affiliations. |
© 2021 by the authors. Licensee MDPI, Basel, Switzerland. This article is an open access article distributed under the terms and conditions of the Creative Commons Attribution (CC BY) license (http://creativecommons.org/licenses/by/4.0/).
Share and Cite
Khan, F.-A.; Yaqoob, S.; Nasim, N.; Wang, Y.; Usman, M.; Isab, A.A.; Altaf, M.; Sun, B.; El Azab, I.H.; El-Seedi, H.R. Ruthenium Nanoparticles Intercalated in Montmorillonite (nano-Ru@MMT) Is Highly Efficient Catalyst for the Selective Hydrogenation of 2-Furaldehyde in Benign Aqueous Medium. Catalysts 2021, 11, 66. https://doi.org/10.3390/catal11010066
Khan F-A, Yaqoob S, Nasim N, Wang Y, Usman M, Isab AA, Altaf M, Sun B, El Azab IH, El-Seedi HR. Ruthenium Nanoparticles Intercalated in Montmorillonite (nano-Ru@MMT) Is Highly Efficient Catalyst for the Selective Hydrogenation of 2-Furaldehyde in Benign Aqueous Medium. Catalysts. 2021; 11(1):66. https://doi.org/10.3390/catal11010066
Chicago/Turabian StyleKhan, Farooq-Ahmad, Sana Yaqoob, Nourina Nasim, Yan Wang, Muhammad Usman, Anvarhusein A. Isab, Muhammad Altaf, Bing Sun, Islam H. El Azab, and Hesham R. El-Seedi. 2021. "Ruthenium Nanoparticles Intercalated in Montmorillonite (nano-Ru@MMT) Is Highly Efficient Catalyst for the Selective Hydrogenation of 2-Furaldehyde in Benign Aqueous Medium" Catalysts 11, no. 1: 66. https://doi.org/10.3390/catal11010066
APA StyleKhan, F.-A., Yaqoob, S., Nasim, N., Wang, Y., Usman, M., Isab, A. A., Altaf, M., Sun, B., El Azab, I. H., & El-Seedi, H. R. (2021). Ruthenium Nanoparticles Intercalated in Montmorillonite (nano-Ru@MMT) Is Highly Efficient Catalyst for the Selective Hydrogenation of 2-Furaldehyde in Benign Aqueous Medium. Catalysts, 11(1), 66. https://doi.org/10.3390/catal11010066

