Selective Catalytic Reduction of NO by NH3 Using a Combination of Non-Thermal Plasma and Mn-Cu/ZSM5 Catalyst
Abstract
1. Introduction
2. Results and Discussion
2.1. Characterizations of Mn-Cu/ZSM5 Catalysts
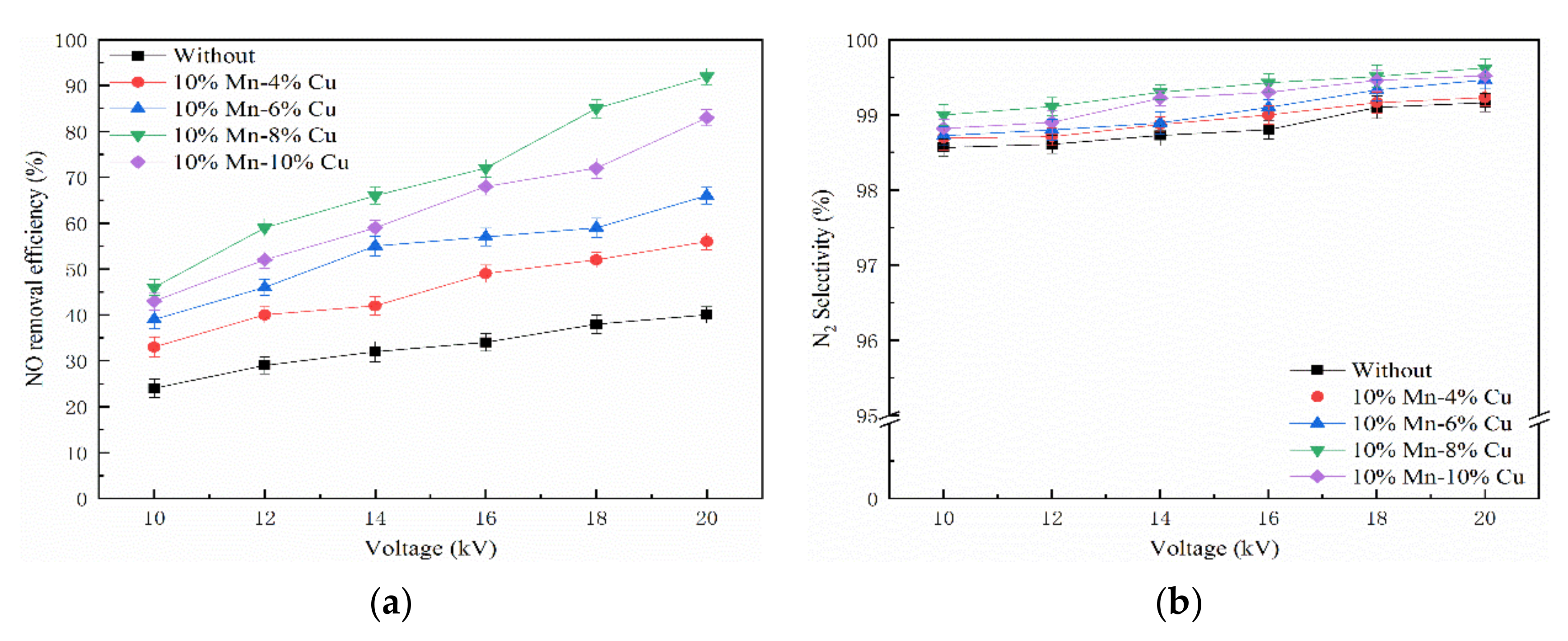
2.2. Effect of Voltage on NO Removal Efficiency
2.3. Effect of Frequency on NO Removal Efficiency
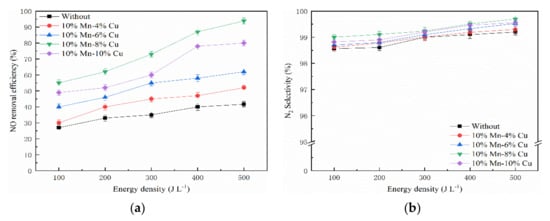
2.4. Effect of Energy Density on NO Removal
2.5. Effect of O2 Concentration on NO Removal
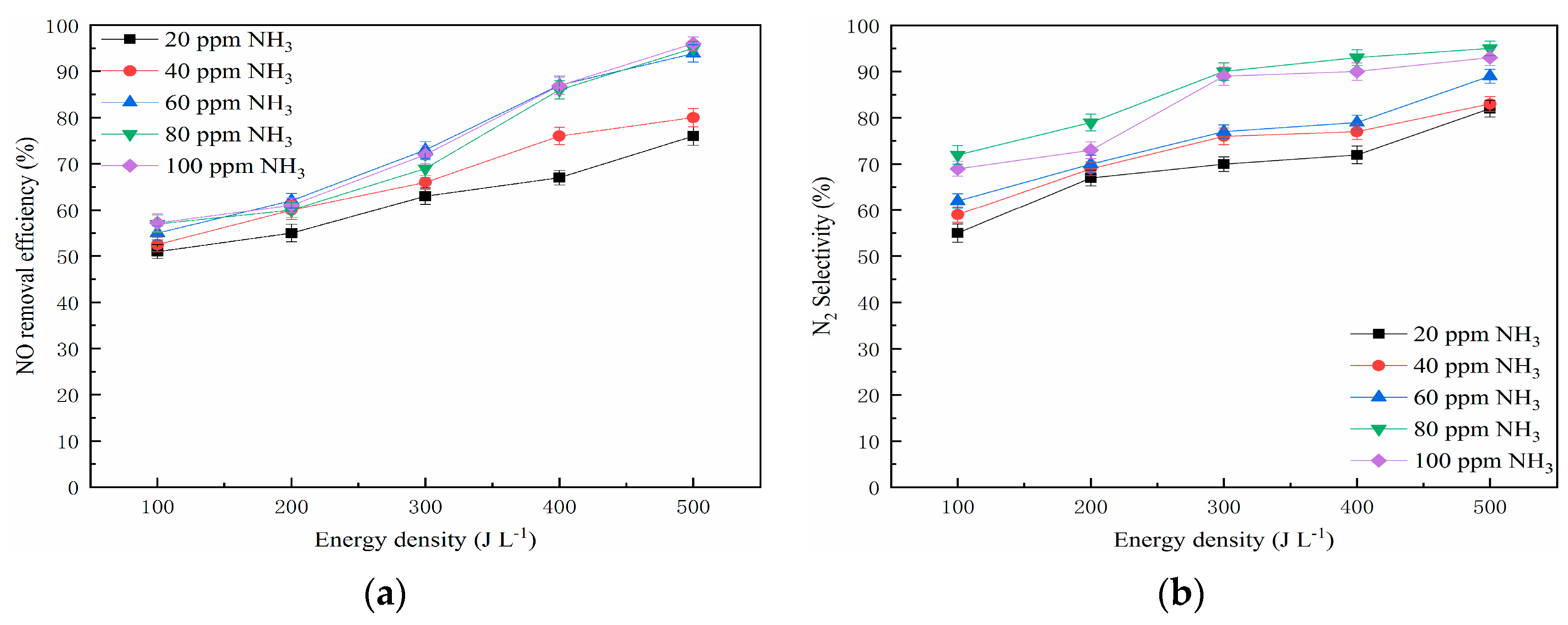
2.6. Effect of NH3 Concentration on NO Removal
2.7. The Catalytic Long-Term Stability of the 10% Mn-8% Cu/ZSM5 Catalyst
3. Materials and Methods
3.1. Catalyst Preparation
3.2. Catalyst Characterization
3.3. Experimental Setup
4. Conclusions
- (1)
- The plasma-assisted SCR process exhibited an obvious improvement in NO removal efficiency, and 10% Mn-8% Cu/ZSM5 shows the highest catalytic activity with about 93.89% at an energy density of 500 J L−1, and the selectivity to N2 was almost 99%.
- (2)
- The voltage and frequency were positively correlated with the power of the NTP system. The NO removal efficiency increased with the voltage, frequency, and energy density increasing.
- (3)
- The O2 concentration was negatively correlated with the NO removal in the NTP system. With the O2 concentration increasing, the NO removal efficiency decreased significantly under the same energy density.
- (4)
- The NH3 concentration was related to the NO removal closely, and the NO removal efficiency could not be improved when the NO removal process reached reaction equilibrium in the NTP system.
Author Contributions
Funding
Conflicts of Interest
References
- Yang, Y.; Liu, J.; Liu, F.; Wang, Z.; Ding, J.; Huang, H. Reaction mechanism for NH3-SCR of NOx over CuMn2O4 catalyst. Chem. Eng. J. 2019, 361, 578–587. [Google Scholar] [CrossRef]
- Xu, L.; Yang, Q.; Hu, L.; Wang, D.; Peng, Y.; Shao, Z.; Lu, C.; Li, J. Insights over Titanium Modified FeMgOx Catalysts for Selective Catalytic Reduction of NOx with NH3: Influence of Precursors and Crystalline Structures. Catalysts 2019, 9, 560. [Google Scholar] [CrossRef]
- An, D.H.; Zhang, X.Y.; Cheng, X.X.; Dong, Y. Performance of Mn-Fe-Ce/GOx for Catalytic Oxidation of Hg0 and Selective Catalytic Reduction of NOx in the Same Temperature Range. Catalysts 2018, 8, 399. [Google Scholar] [CrossRef]
- Han, L.P.; Gao, M.; Hasegawa, J.; Li, S.X.; Shen, Y.J.; Li, H.R.; Shi, L.Y.; Zhang, D.S. SO2-Tolerant Selective Catalytic Reduction of NOx over Meso-TiO2@Fe2O3@Al2O3 Metal-Based Monolith Catalysts. Environ. Sci. Technol. 2019, 53, 6462–6473. [Google Scholar] [CrossRef] [PubMed]
- Gao, F.Y.; Tang, X.L.; Yi, H.H.; Zhao, S.Z.; Li, C.L.; Li, J.Y.; Shi, Y.R.; Meng, X.M. A Review on Selective Catalytic Reduction of NOx by NH3 over Mn-Based Catalysts at Low Temperatures: Catalysts, Mechanisms, Kinetics and DFT Calculations. Catalysts 2017, 7, 199. [Google Scholar] [CrossRef]
- Gholami, R.; Stere, C.E.; Goguet, A.; Hardacre, C. Non-thermal-plasma-activated de-NO x catalysis. Philos. Trans. R. Soc. A Math. Phys. Eng. Sci. 2017, 376, 0054. [Google Scholar] [CrossRef] [PubMed]
- Mohapatro, S.; Rajanikanth, B.S. Dielectric barrier discharge cascaded with red mud waste to enhance NO x removal from diesel engine exhaust. IEEE Trans. Dielectr. Electr. Insul. 2012, 19, 641–647. [Google Scholar] [CrossRef]
- Miessner, H.; Francke, K.P.; Rudolph, R.; Hammer, T. NOx removal in excess oxygen by plasma-enhanced selective catalytic reduction. Catal. Today 2002, 75, 325–330. [Google Scholar] [CrossRef]
- Zhou, X.; Yu, F.; Sun, R.B.; Tian, J.Q.; Wang, Q.; Dai, B.; Dan, J.M.; Pfeiffer, H. Two-dimensional MnFeCo layered double oxide as catalyst for enhanced selective catalytic reduction of NOx with NH3 at low temperature (25–150 °C). Appl. Catal. A Gen. 2020, 592, 117432. [Google Scholar] [CrossRef]
- Damma, D.; Ettireddy, P.R.; Reddy, B.M.; Smirniotis, P.G. A Review of Low Temperature NH3-SCR for Removal of NOx. Catalysts 2019, 9, 349. [Google Scholar] [CrossRef]
- Xin, Y.; Li, H.; Zhang, N.N.; Li, Q.; Zhang, Z.L.; Cao, X.M.; Hu, P.; Zheng, L.R.; Anderson, J.A. Molecular-Level Insight into Selective Catalytic Reduction of NOx with NH3 to N2 over a Highly Efficient Bifunctional V-alpha-MnOx Catalyst at Low Temperature. ACS Catal. 2018, 8, 4937–4949. [Google Scholar] [CrossRef]
- Lopez-Hernandez, I.; Mengual, J.; Palomares, A.E. The Influence of the Support on the Activity of Mn-Fe Catalysts Used for the Selective Catalytic Reduction of NOx with Ammonia. Catalysts 2020, 10, 63. [Google Scholar] [CrossRef]
- Wang, R.H.; Hao, Z.F.; Li, Y.; Liu, G.Q.; Zhang, H.; Wang, H.T.; Xia, Y.G.; Zhan, S.H. Relationship between structure and performance of a novel highly dispersed MnOx on Co-Al layered double oxide for low temperature NH3-SCR. Appl. Catal. B Environ. 2019, 258, 117983. [Google Scholar] [CrossRef]
- Li, L.C.; Wang, Y.S.; Zhang, L.; Yu, Y.X.; He, H.B. Low-Temperature Selective Catalytic Reduction of NOx on MnO2 Octahedral Molecular Sieves (OMS-2) Doped with Co. Catalysts 2020, 10, 396. [Google Scholar] [CrossRef]
- Han, L.P.; Cai, S.X.; Gao, M.; Hasegawa, J.; Wang, P.L.; Zhang, J.P.; Shi, L.Y.; Zhang, D.S. Selective Catalytic Reduction of NOx with NH3 by Using Novel Catalysts: State of the Art and Future Prospects. Chem. Rev. 2019, 119, 10916–10976. [Google Scholar] [CrossRef]
- You, Y.C.; Chen, S.Y.; Li, J.Y.; Zeng, J.; Chang, H.Z.; Ma, L.; Li, J.H. Low-temperature selective catalytic reduction of N2O by CO over Fe-ZSM5 catalysts in the presence of O2. J. Hazard. Mater. 2020, 383, 121117. [Google Scholar] [CrossRef]
- Bozbag, S.E.; Sanli, D.; Ozener, B.; Hisar, G.; Erkey, C. An Aging Model of NH3 Storage Sites for Predicting Kinetics of NH3 Adsorption, Desorption and Oxidation over Hydrothermally Aged Cu-Chabazite. Catalysts 2020, 10, 411. [Google Scholar] [CrossRef]
- Zhu, T.; Zhang, X.; Bian, W.J.; Han, Y.W.; Liu, T.S.; Liu, H.B. DeNO(x) of Nano-Catalyst of Selective Catalytic Reduction Using Active Carbon Loading MnOx-Cu at Low Temperature. Catalysts 2020, 10, 135. [Google Scholar] [CrossRef]
- Husnain, N.; Wang, E.L.; Fareed, S. Low-Temperature Selective Catalytic Reduction of NO with NH3 over Natural Iron Ore Catalyst. Catalysts 2019, 9, 956. [Google Scholar] [CrossRef]
- Wang, C.; Wang, J.; Wang, J.Q.; Wang, Z.X.; Chen, Z.X.; Li, X.L.; Shen, M.Q.; Yan, W.J.; Kang, X. The Role of Impregnated Sodium Ions in Cu/SSZ-13 NH3-SCR Catalysts. Catalysts 2018, 8, 593. [Google Scholar] [CrossRef]
- Wang, T.; Zhang, X.Y.; Liu, J.; Liu, H.Z.; Wang, Y.; Sun, B.M. Effects of temperature on NOx removal with Mn-Cu/ZSM5 catalysts assisted by plasma. Appl. Therm. Eng. 2018, 130, 1224–1232. [Google Scholar] [CrossRef]
- Yan, Q.H.; Chen, S.N.; Zhang, C.; Wang, Q.; Louis, B. Synthesis and catalytic performance of Cu1Mn0.5Ti0.5Ox mixed oxide as low-temperature NH3-SCR catalyst with enhanced SO2 resistance. Appl. Catal. B Environ. 2018, 238, 236–247. [Google Scholar] [CrossRef]
- Wen, Z.C.; Du, M.M.; Li, Y.; Wang, Z.H.; Xu, J.R.; Cen, K.F. Quantum chemistry study on the oxidation of NO catalyzed by ZSM5 supported Mn/Co-Al/Ce. J. Theor. Comput. Chem. 2017, 16, 1750044. [Google Scholar] [CrossRef]
- Jodlowski, P.J.; Kuterasinski, L.; Jedrzejczyk, R.J.; Chlebda, D.; Gancarczyk, A.; Basag, S.; Chmielarz, L. DeNO(x) Abatement Modelling over Sonically Prepared Copper USY and ZSM5 Structured Catalysts. Catalysts 2017, 7, 205. [Google Scholar] [CrossRef]
- Zhu, T.; Wang, R.N.; Bian, W.J.; Chen, Y.; Jing, W.D. Advanced oxidation technology for H2S odor gas using non-thermal plasma. Plasma Sci. Technol. 2018, 20, 054007. [Google Scholar] [CrossRef]
- Pan, H.; Qiang, Y. Promotion of Non-thermal Plasma on Catalytic Reduction of NOx by C3H8 Over Co/BEA Catalyst at Low Temperature. Plasma Chem. Plasma P. 2014, 34, 811–824. [Google Scholar] [CrossRef]
- Nguyen, D.B.; Nguyen, V.T.; Heo, I.J.; Mok, Y.S. Removal of NOx by selective catalytic reduction coupled with plasma under temperature fluctuation condition. J. Ind. Eng. Chem. 2019, 72, 400–407. [Google Scholar] [CrossRef]
- Zhu, T.; Bian, W.J.; Ma, M.F.; Ye, W.L.; Wang, R.N.; Zhang, X. Influence of gas atmosphere on synergistic control of mercury and dioxin by non-thermal plasma. Plasma Sci. Technol. 2019, 21, 044006. [Google Scholar] [CrossRef]
- Broer, S.; Hammer, T. Selective catalytic reduction of nitrogen oxides by combining a non-thermal plasma and a V2O5-WO3/TiO2 catalyst. Appl. Catal. B Environ. 2000, 28, 101–111. [Google Scholar] [CrossRef]
- Guan, B.; Lin, H.; Cheng, Q.; Huang, Z. Removal of NOx with Selective Catalytic Reduction Based on Nonthermal Plasma Preoxidation. Ind. Eng. Chem. Res. 2011, 50, 5401–5413. [Google Scholar] [CrossRef]
- Chen, J.X.; Pan, K.L.; Yu, S.J.; Yen, S.Y.; Chang, M.B. Combined fast selective reduction using Mn-based catalysts and nonthermal plasma for NOx removal. Environ. Sci. Pollut. Res. 2017, 24, 21496–21508. [Google Scholar] [CrossRef] [PubMed]
- Wang, T.; Liu, H.Z.; Zhang, X.Y.; Guo, Y.H.; Zhang, Y.S.; Wang, Y.; Sun, B.M. A plasma-assisted catalytic system for NO removal over CuCe/ZSM-5 catalysts at ambient temperature. Fuel Process. Technol. 2017, 158, 199–205. [Google Scholar] [CrossRef]
- Wang, T.; Liu, H.Z.; Yang, B.; Sun, B.M.; Xiao, H.P.; Zhang, Y.S. Effect of plasma-catalyst system on NO removal using M-Cu (M=Mn, Ce, Cr, Co, and Fe) catalysts. Jpn. J. Appl. Phys. 2016, 55, 116202. [Google Scholar] [CrossRef]
- Rajanikanth, B.S.; Ravi, V. DeNOx study in diesel engine exhaust using barrier discharge corona assisted by V2O5/TiO2 catalyst. Plasma Sci. Technol. 2004, 6, 2411–2415. [Google Scholar] [CrossRef]
- Sun, Q.; Zhu, A.M.; Yang, X.F.; Niu, J.H.; Xu, Y.; Song, Z.M.; Liu, J. Selective catalytic reduction of NOx in dielectric barrier discharge plasmas. Eur. Phys. J. Appl. Phys. 2005, 30, 129–133. [Google Scholar] [CrossRef]
- Kwak, J.H.; Peden, C.H.F.; Szanyi, J. Non-thermal plasma-assisted NOx reduction over Na-Y zeolites: The promotional effect of acid sites. Catal. Lett. 2006, 109, 1–6. [Google Scholar] [CrossRef]
- Li, L.; Wang, L.S.; Pan, S.W.; Wei, Z.L.; Huang, B.C. Effects of cerium on the selective catalytic reduction activity and structural properties of manganese oxides supported on multi-walled carbon nanotubes catalysts. Chin. J. Catal. 2013, 34, 1087–1097. [Google Scholar] [CrossRef]
- Fan, X.Y.; Qiu, F.M.; Yang, H.S.; Tian, W.; Hou, T.F.; Zhang, X.B. Selective catalytic reduction of NOx with ammonia over Mn-CeOx/TiO2-carbon nanotube composites. Catal. Commun. 2011, 12, 1298–1301. [Google Scholar] [CrossRef]
- Jiang, L.J.; Liu, Q.C.; Zhao, Q.; Ren, S.; Kong, M.; Yao, L.; Meng, F. Promotional effect of Ce on the SCR of NO with NH3 at low temperature over MnO(x) supported by nitric acid-modified activated carbon. Res. Chem. Intermed. 2018, 44, 1729–1744. [Google Scholar] [CrossRef]
- Tang, X.L.; Hao, J.M.; Xu, W.G.; Li, J.H. Low temperature selective catalytic reduction of NOx with NH3 over amorphous MnOx catalysts prepared by three methods. Catal. Commun. 2006, 8, 329–334. [Google Scholar] [CrossRef]
- Boningari, T.; Ettireddy, P.R.; Somogyvari, A.; Liu, Y.; Vorontsov, A.; McDonald, C.A.; Smirniotis, P.G. Influence of elevated surface texture hydrated titania on Ce-doped Mn/TiO2 catalysts for the low-temperature SCR of NOx under oxygen-rich conditions. J. Catal. 2015, 325, 145–155. [Google Scholar] [CrossRef]
- Fang, D.; Xie, J.L.; Mei, D.; Zhang, Y.M.; He, F.; Liu, X.Q.; Li, Y.M. Effect of CuMn2O4 spinel in Cu–Mn oxide catalysts on selective catalytic reduction of NOx with NH3 at low temperature. RSC Adv. 2014, 4, 25540. [Google Scholar] [CrossRef]
- Zhao, Z.W.; Li, E.W.; Qin, Y.; Liu, X.L.; Zou, Y.; Wu, H.; Zhu, T.Y. Density functional theory (DFT) studies of vanadium-titanium based selective catalytic reduction (SCR) catalysts. J. Environ. Sci. China 2020, 90, 119–137. [Google Scholar] [CrossRef] [PubMed]
- Fang, D.; Xie, J.L.; Hu, H.; Yang, H.; He, F.; Fu, Z.B. Identification of MnOx species and Mn valence states in MnOx/TiO2 catalysts for low temperature SCR. Chem. Eng. J. 2015, 271, 23–30. [Google Scholar] [CrossRef]
- Stanciulescu, M.; Caravaggio, G.; Dobri, A.; Moir, J.; Burich, R.; Charland, J.P.; Bulsink, P. Low-temperature selective catalytic reduction of NOx with NH3 over Mn-containing catalysts. Appl. Catal. B Environ. 2012, 123, 229–240. [Google Scholar] [CrossRef]
- Jiang, B.Q.; Liu, Y.; Wu, Z.B. Low-temperature selective catalytic reduction of NO on MnOx/TiO2 prepared by different methods. J. Hazard. Mater. 2009, 162, 1249–1254. [Google Scholar] [CrossRef]
- Brookshear, D.W.; Nam, J.G.; Nguyen, K.; Toops, T.J.; Binder, A. Impact of sulfation and desulfation on NOx reduction using Cu-chabazite SCR catalysts. Catal. Today 2015, 258, 359–366. [Google Scholar] [CrossRef]
- Samojeden, B.; Grzybek, T. The influence of the promotion of N-modified activated carbon with iron on NO removal by NH3-SCR (Selective catalytic reduction). Energy 2016, 116, 1484–1491. [Google Scholar] [CrossRef]
- Salazar, M.; Hoffmann, S.; Singer, V.; Becker, R.; Grunert, W. Hybrid catalysts for the selective catalytic reduction (SCR) of NO by NH3 center dot On the role of fast SCR in the reaction network. Appl. Catal. B Environ. 2016, 199, 433–438. [Google Scholar] [CrossRef]
- Du, C.M.; Wang, J.; Zhang, L.; Li, H.X.; Liu, H.; Xiong, Y. The application of a non-thermal plasma generated by gas-liquid gliding arc discharge in sterilization. New J. Phys. 2012, 14, 013010. [Google Scholar] [CrossRef]
- Zhu, T.; Zhang, X.; Ma, M.F.; Wang, L.F.; Xue, Z.Y.; Hou, Y.M.; Ye, Z.F.; Liu, T.S. 1,2,4-trichlorobenzene decomposition using non-thermal plasma technology. Plasma Sci. Technol. 2020, 22, 034011. [Google Scholar] [CrossRef]
- Yan, X.F.; Hu, Z. Experiment and analysis on the treatment of gaseous benzene using pulsed corona discharge plasma. Plasma Sci. Technol. 2004, 6, 2241–2246. [Google Scholar]
- Liang, W.J.; Ma, L.; Li, J.; Li, J.X.; Zheng, F. Control of Hydrogen Sulfide by a Wire-Tube Dielectric Barrier Discharge AC Plasma Reactor. CLEAN-Soil Air Water 2012, 40, 586–591. [Google Scholar] [CrossRef]
- Zhao, G.B.; Garikipati, S.V.B.; Hu, X.D.; Argyle, M.D.; Radosz, M. Effect of oxygen on nonthermal plasma reactions of nitrogen oxides in nitrogen. AIChE J. 2005, 51, 1800–1812. [Google Scholar] [CrossRef]
- Liu, Y.H.C.; Zhang, R.X.; Hou, H.Q.; Chen, S.P.; Zhang, R.N. NO reduction using low-temperature SCR assisted by a DBD method. Plasma Sci. Technol. 2018, 20, 014002. [Google Scholar] [CrossRef]
- Kuwahara, T.; Yoshida, K.; Kuroki, T.; Hanamoto, K.; Sato, K.; Okubo, M. High Reduction Efficiencies of Adsorbed NOx in Pilot-Scale Aftertreatment Using Nonthermal Plasma in Marine Diesel-Engine Exhaust Gas. Energies 2019, 12, 3800. [Google Scholar] [CrossRef]
- Babaie, M.; Kishi, T.; Arai, M.; Zama, Y.; Furuhata, T.; Ristovski, Z.; Rahimzadeh, H.; Brown, R. Influence of non-thermal plasma after-treatment technology on diesel engine particulate matter composition and NOx concentration. Int. J. Environ. Sci. Technol. 2015, 13, 221–230. [Google Scholar] [CrossRef]
- Hammer, T.; Kappes, T.; Baldauf, M. Plasma catalytic hybrid processes: Gas discharge initiation and plasma activation of catalytic processes. Catal. Today 2004, 89, 5–14. [Google Scholar] [CrossRef]
- Li, J.H.; Ke, R.; Li, W.; Hao, J.M. Mechanism of selective catalytic reduction of NO over Ag/Al2O3 with the aid of non-thermal plasma. Catal. Today 2008, 139, 49–58. [Google Scholar] [CrossRef]
- Ruggeri, M.P.; Nova, I.; Tronconi, E.; Pihl, J.A.; Toops, T.J.; Partridge, W.P. In-situ DRIFTS measurements for the mechanistic study of NO oxidation over a commercial Cu-CHA catalyst. Appl. Catal. B Environ. 2015, 166, 181–192. [Google Scholar] [CrossRef]
- Koebel, M.; Madia, G.; Elsener, M. Selective catalytic reduction of NO and NO2 at low temperatures. Catal. Today 2002, 73, 239–247. [Google Scholar] [CrossRef]
- Guo, X.R.; Ha, K.H.; Du, D.F. New Experiment of Diesel Exhaust Treatment by Atmospheric Pressure Plasma-Wood Fiber Combination. Catalysts 2020, 10, 577. [Google Scholar] [CrossRef]
- Miessner, H.; Francke, K.P.; Rudolph, R. Plasma-enhanced HC-SCR of NOx in the presence of excess oxygen. Appl. Catal. B Environ. 2002, 36, 53–62. [Google Scholar] [CrossRef]
- McAdams, R.; Beech, P.; Shawcross, J.T. Low Temperature Plasma Assisted Catalytic Reduction of NOx in Simulated Marine Diesel Exhaust. Plasma Chem. Plasma P. 2008, 28, 159–171. [Google Scholar] [CrossRef]
- Hammer, T. Non-thermal plasma application to the abatement of noxious emissions in automotive exhaust gases. Plasma Sources Sci. T. 2002, 11, A196. [Google Scholar] [CrossRef]
- Wang, Z.Y.; Kuang, H.L.; Zhang, J.F.; Chu, L.L.; Ji, Y.L. Nitrogen oxide removal by non-thermal plasma for marine diesel engines. RSC Adv. 2019, 9, 5402–5416. [Google Scholar] [CrossRef]
- Park, S.Y.; Deshwal, B.R.; Moon, S.H. NOx removal from the flue gas of oil-fired boiler using a multistage plasma-catalyst hybrid system. Fuel Process. Technol. 2008, 89, 540–548. [Google Scholar] [CrossRef]
- Talebizadeh, P.; Babaie, M.; Brown, R.; Rahimzadeh, H.; Ristovski, Z.; Arai, M. The role of non-thermal plasma technique in NOx treatment: A review. Renew. Sustain. Energy Rev. 2014, 40, 886–901. [Google Scholar] [CrossRef]













| Sample | BET Surface Area (m2/g) | Pore Volume (cm3/g) | Pore Diameter (nm) |
|---|---|---|---|
| ZSM5 | 388 ± 1.56 | 0.138 ± 0.01 | 1.46 ± 0.03 |
| 10% Mn-4% Cu/ZSM5 | 302 ± 1.62 | 0.107 ± 0.02 | 1.59 ± 0.01 |
| 10% Mn-6% Cu/ZSM5 | 296 ± 1.28 | 0.103 ± 0.01 | 1.62 ± 0.02 |
| 10% Mn-8% Cu/ZSM5 | 286 ± 2.28 | 0.101 ± 0.02 | 1.66 ± 0.01 |
| 10% Mn-10% Cu/ZSM5 | 283 ± 2.28 | 0.098 ± 0.01 | 1.70 ± 0.01 |
| SCR Catalysts | Mn2+ (eV) | Mn3+ (eV) | Mn4+ (eV) | N (Mn3+ + Mn4+)/n(Mnx+) |
|---|---|---|---|---|
| 10% MnOx-4% Cu | 641.2 | 642.0 | 643.6 | 0.82 |
| 10% MnOx-6% Cu | 641.2 | 642.0 | 643.5 | 0.85 |
| 10% MnOx-8% Cu | 641.1 | 641.9 | 643.4 | 0.87 |
| 10% MnOx-10% Cu | 641.2 | 641.9 | 643.5 | 0.86 |
© 2020 by the authors. Licensee MDPI, Basel, Switzerland. This article is an open access article distributed under the terms and conditions of the Creative Commons Attribution (CC BY) license (http://creativecommons.org/licenses/by/4.0/).
Share and Cite
Zhu, T.; Zhang, X.; Niu, W.; Liu, Y.; Yuan, B.; Li, Z.; Liu, H. Selective Catalytic Reduction of NO by NH3 Using a Combination of Non-Thermal Plasma and Mn-Cu/ZSM5 Catalyst. Catalysts 2020, 10, 1044. https://doi.org/10.3390/catal10091044
Zhu T, Zhang X, Niu W, Liu Y, Yuan B, Li Z, Liu H. Selective Catalytic Reduction of NO by NH3 Using a Combination of Non-Thermal Plasma and Mn-Cu/ZSM5 Catalyst. Catalysts. 2020; 10(9):1044. https://doi.org/10.3390/catal10091044
Chicago/Turabian StyleZhu, Tao, Xing Zhang, Wenfeng Niu, Yatao Liu, Bo Yuan, Zhenguo Li, and Haibing Liu. 2020. "Selective Catalytic Reduction of NO by NH3 Using a Combination of Non-Thermal Plasma and Mn-Cu/ZSM5 Catalyst" Catalysts 10, no. 9: 1044. https://doi.org/10.3390/catal10091044
APA StyleZhu, T., Zhang, X., Niu, W., Liu, Y., Yuan, B., Li, Z., & Liu, H. (2020). Selective Catalytic Reduction of NO by NH3 Using a Combination of Non-Thermal Plasma and Mn-Cu/ZSM5 Catalyst. Catalysts, 10(9), 1044. https://doi.org/10.3390/catal10091044
