Understanding the Photo- and Electro-Carboxylation of o-Methylbenzophenone with Carbon Dioxide
Abstract
1. Introduction
2. Results and Discussion
2.1. Photo-Carboxylation of Methylbenzophenone with CO2
2.2. Electro-Carboxylation of Methylbenzophenone with CO2
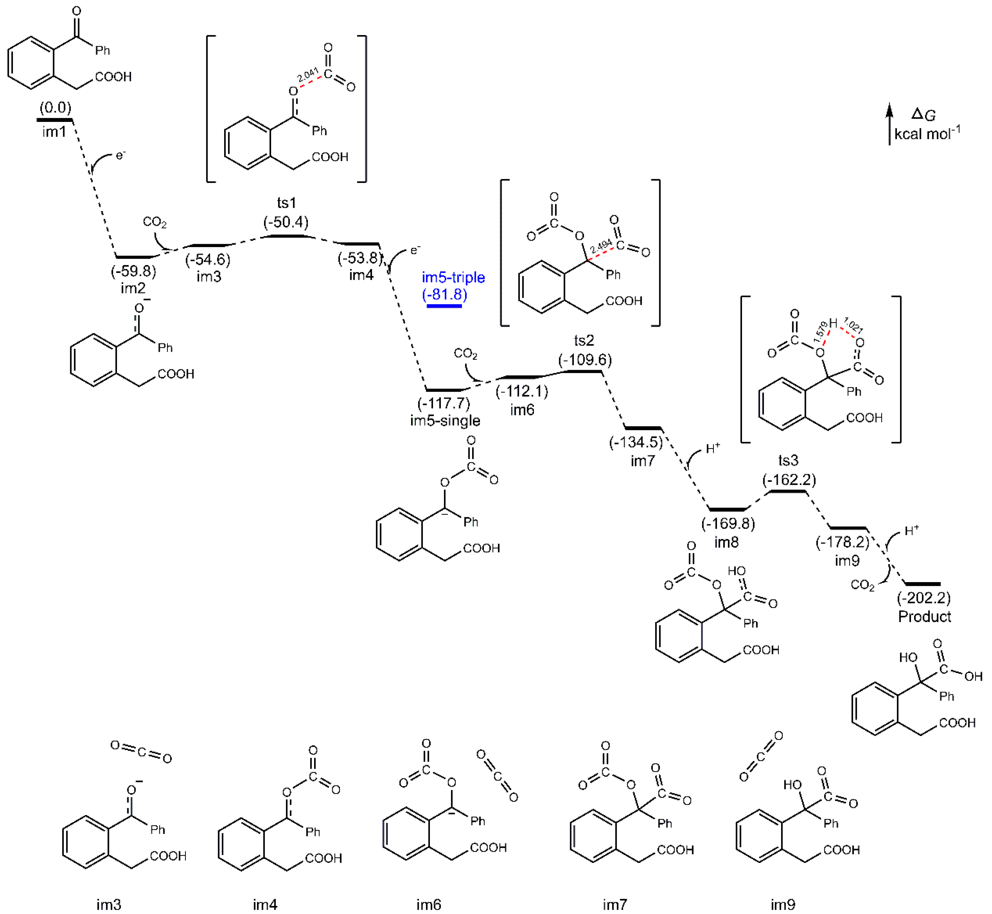
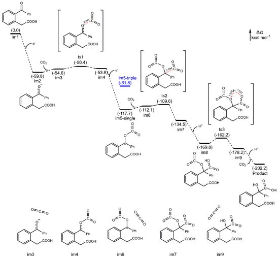
2.3. Dicarboxylation of o-Methylbenzophenone with CO2
3. Materials and Methods
3.1. Photo-Carboxylation of o-Methylbenzophenone
3.2. Electro-Carboxylation of o-Methylbenzophenone
3.3. One-Pot Photoelectro-Dicarboxylation of o-Methylbenzophenone
4. Conclusions
Supplementary Materials
Author Contributions
Funding
Conflicts of Interest
References
- Bushuyev, O.S.; De Luna, P.; Cao, T.D.; Tao, L.; Saur, G.; van de Lagemaat, J.; Kelley, S.O.; Sargent, E.H. What Should We Make with CO2 and How Can We Make It? Joule 2018, 2, 825–832. [Google Scholar] [CrossRef]
- Dindi, A.; Dang, V.Q.; Vega, L.F.; Nashef, E.; Abu-Zahra, M.R.M. Applications of fly ash for CO2 capture, utilization, and storage. J. CO2 Util. 2019, 29, 82–102. [Google Scholar] [CrossRef]
- Xie, Z.; Zhang, X.; Zhang, Z.; Zhou, Z. Metal-CO2 Batteries on the Road: CO2 from Contamination Gas to Energy Source. Adv. Mater. 2017, 29, 1605891. [Google Scholar] [CrossRef] [PubMed]
- Frontera, P.; Macario, A.; Ferraro, M.; Antonucci, P. Supported Catalysts for CO2 Methanation: A Review. Catalysts 2017, 7, 59. [Google Scholar] [CrossRef]
- Ji, L.; Li, L.; Ji, X.; Zhang, Y.; Mou, S.; Wu, T.; Liu, Q.; Li, B.; Zhu, X.; Luo, Y.; et al. Highly Selective Electrochemical Reduction of CO2 to Alcohols on an FeP Nanoarray. Angew. Chem. Int. Ed. 2020, 59, 758–762. [Google Scholar] [CrossRef] [PubMed]
- Fernandez, S.; Franco, F.; Casadevall, C.; Martin-Diaconescu, V.; Luis, J.M.; Lloret-Fillol, J. A Unified Electro- and Photocatalytic CO2 to CO Reduction Mechanism with Aminopyridine Cobalt Complexes. J. Am. Chem. Soc. 2020, 142, 120–133. [Google Scholar] [CrossRef]
- Zheng, T.; Jiang, K.; Wang, H. Recent Advances in Electrochemical CO2-to-CO Conversion on Heterogeneous Catalysts. Adv. Mater. 2018, 30, 1802066. [Google Scholar] [CrossRef]
- Dabral, S.; Schaub, T. The Use of Carbon Dioxide (CO2) as a Building Block in Organic Synthesis from an Industrial Perspective. Adv. Synth. Catal. 2019, 361, 223–246. [Google Scholar] [CrossRef]
- Yang, Z.Z.; He, L.N.; Gao, J.; Liu, A.H.; Yu, B. Carbon dioxide utilization with C-N bond formation: Carbon dioxide capture and subsequent conversion. Energy Environ. Sci. 2012, 5, 6602–6639. [Google Scholar] [CrossRef]
- Hong, J.; Li, M.; Zhang, J.; Sun, B.; Mo, F. C-H Bond Carboxylation with Carbon Dioxide. Chemsuschem 2019, 12, 6–39. [Google Scholar] [CrossRef]
- Borjesson, M.; Moragas, T.; Gallego, D.; Martin, R. Metal-Catalyzed Carboxylation of Organic (Pseudo)halides with CO2. ACS. Catal. 2016, 6, 6739–6749. [Google Scholar] [CrossRef] [PubMed]
- Kamphuis, A.J.; Picchioni, F.; Pescarmona, P.P. CO2-fixation into cyclic and polymeric carbonates: Principles and applications. Green Chem. 2019, 21, 406–448. [Google Scholar] [CrossRef]
- Yaashikaa, P.R.; Kumar, P.S.; Varjani, S.J.; Saravanan, A. A review on photochemical, biochemical and electrochemical transformation of CO2 into value-added products. J. CO2 Util. 2019, 33, 131–147. [Google Scholar] [CrossRef]
- Takeda, H.; Cometto, C.; Ishitani, O.; Robert, M. Electrons, Photons, Protons and Earth-Abundant Metal Complexes for Molecular Catalysis of CO2 Reduction. ACS. Catal. 2017, 7, 70–88. [Google Scholar] [CrossRef]
- Yeung, C.S. Photoredox Catalysis as a Strategy for CO2 Incorporation: Direct Access to Carboxylic Acids from a Renewable Feedstock. Angew. Chem. Int. Ed. 2019, 58, 5491–5502. [Google Scholar] [CrossRef] [PubMed]
- Wu, J.; Huang, Y.; Ye, W.; Li, Y. CO2 Reduction: From the Electrochemical to Photochemical Approach. Adv. Sci. 2017, 4, 1700194. [Google Scholar] [CrossRef] [PubMed]
- Doherty, A.P.; Marley, E.; Barhdadi, R.; Puchelle, V.; Wagner, K.; Wallace, G.G. Mechanism and kinetics of electrocarboxylation of aromatic ketones in ionic liquid. J. Electroanal. Chem. 2018, 819, 469–473. [Google Scholar] [CrossRef]
- Duan, X.; Xu, J.; Wei, Z.; Ma, J.; Guo, S.; Wang, S.; Liu, H.; Dou, S. Metal-Free Carbon Materials for CO2 Electrochemical Reduction. Adv. Mater. 2017, 29, 1701784. [Google Scholar] [CrossRef]
- Trickett, C.A.; Helal, A.; Al-Maythalony, B.A.; Yamani, Z.H.; Cordova, K.E.; Yaghi, O.M. The chemistry of metal-organic frameworks for CO2 capture, regeneration and conversion. Nat. Rev. Mater. 2017, 2, 17045. [Google Scholar] [CrossRef]
- Xu, S.; Carter, E.A. Theoretical Insights into Heterogeneous (Photo)electrochemical CO2 Reduction. Chem. Rev. 2019, 119, 6631–6669. [Google Scholar] [CrossRef]
- Gao, D.; Aran-Ais, R.M.; Jeon, H.S.; Roldan, C.B. Rational catalyst and electrolyte design for CO2 electroreduction towards multicarbon products. Nat. Catal. 2019, 2, 198–210. [Google Scholar] [CrossRef]
- Masuda, Y.; Ishida, N.; Murakami, M. Light-Driven Carboxylation of o-Alkylphenyl Ketones with CO2. J. Am. Chem. Soc. 2015, 137, 14063–14066. [Google Scholar] [CrossRef] [PubMed]
- Su, S.H.; Su, M.D. Mechanistic analysis of the photochemical carboxylation of o-alkylphenyl ketones with carbon dioxide. RSC Adv. 2016, 6, 50825–50832. [Google Scholar] [CrossRef]
- Blyth, M.T.; Noble, B.B.; Russell, I.C.; Coote, M.L. Oriented Internal Electrostatic Fields Cooperatively Promote Ground- and Excited-State Reactivity: A Case Study in Photochemical CO2 Capture. J. Am. Chem. Soc. 2020, 142, 606–613. [Google Scholar] [CrossRef] [PubMed]
- Liu, R.; Yuan, G.; Joe, C.L.; Lightburn, T.E.; Tan, K.L.; Wang, D. Silicon Nanowires as Photoelectrodes for Carbon Dioxide Fixation. Angew. Chem. Int. Ed. 2012, 51, 6709–6712. [Google Scholar] [CrossRef]
- Javier, M.; Alessio, C.C.; Tommaso, C.; Marcella, B.; Nadia, M.; Xavier, C.; Luca, A.A. A microfluidic photoreactor enables 2-methybenzophenone light-driven reactions with superior performance. Chem. Commun. 2018, 54, 6820–6823. [Google Scholar]
- Isse, A.A.; Galia, A.; Belfiore, C.; Silvestri, G.; Gennaro, A. Electrochemical reduction and carboxylation of halobenzophenones. J. Electroanal. Chem. 2002, 526, 41–52. [Google Scholar] [CrossRef]
- Frisch, M.J.; Trucks, G.W.; Schlegel, H.B.; Scuseria, G.E.; Robb, M.A.; Cheeseman, J.R.; Scalmani, G.; Barone, V.; Mennucci, B.; Petersson, G.A.; et al. Gaussian 09 (Revision D.01); Gaussian, Inc.: Wallingford, CT, USA, 2013. [Google Scholar]
- Zhao, Y.; Truhlar, D.G. Density functionals with broad applicability in chemistry. Accounts Chem. Res. 2008, 41, 157–167. [Google Scholar] [CrossRef]
- Krishnan, R.; Binkley, J.S.; Seeger, R.; Pople, J.A. Self-Consistent Molcular-orbital Methods.20. Basis Set for Correlated Wave-functions. J. Chem. Phys. 1980, 72, 650–654. [Google Scholar] [CrossRef]
- Marenich, A.V.; Cramer, C.J.; Truhlar, D.G. Universal solvation model based on solute electron density and on a continuum model of the solvent defined by the bulk dielectric constant and atomic surface tensions. J. Phys. Chem. B 2009, 113, 6378–6396. [Google Scholar] [CrossRef]
- Gonzalez, C.; Schlegel, H.B. An Improved Algorithm for Reaction-path Following. J. Chem. Phys. 1989, 90, 2154–2161. [Google Scholar] [CrossRef]
- Markovic, Z.; Tosovic, J.; Milenkovic, D.; Markovic, S. Revisiting the solvation enthalpies and free energies of the proton and electron in various solvents. Comput. Theor. Chem. 2016, 1077, 11–17. [Google Scholar] [CrossRef]
- Fifen, J.J.; Dhaouadi, Z.; Nsangou, M. Revision of the Thermodynamics of the Proton in Gas Phase. J. Phys. Chem. A 2014, 118, 11090–11097. [Google Scholar] [CrossRef] [PubMed]
- Fifen, J.J. Thermodynamics of the Electron Revisited and Generalized. J. Chem. Theory Comput. 2013, 9, 3165–3169. [Google Scholar] [CrossRef] [PubMed]





![]() | |||
|---|---|---|---|
| Entry | Deviation from Standard Condition | Conversion [%] b | Yield [%] c |
| 1 | None (2 h) d | 98 (98) | 91 (89) |
| 2 | Xe Light (100 mW/cm2) | 35 | 18 |
| 3 | No Light | 0 | 0 |
| 4 | DMA | 94 | 51 |
| 5 | ACN | 62 | trace |
| 6 | Toluene | 27 | 11 |
| 7 | DCM | 4 | 1 |
![]() | |||
|---|---|---|---|
| Entry. | Deviation from Standard Condition | Conversion [%] b | Yield [%] c |
| 1 | −1.4 V | trace | not available |
| 2 | −1.5 V | 43 | 36 |
| 3 | −1.6 V | 52 | 44 |
| 4 | −1.7 V | 74 | 62 |
| 5 | None | 94 | 88 |
| 6 | −1.9 V | 98 | 25 |
| 7 | DMSO | 90 | 78 |
| 8 | DMA | 90 | 76 |
| 9 | Xe light (30 mW/cm2) | 95 (26) d | 68 |
| 10 | Xe light (300 mW/cm2) | 99 (84) d | 14 |
© 2020 by the authors. Licensee MDPI, Basel, Switzerland. This article is an open access article distributed under the terms and conditions of the Creative Commons Attribution (CC BY) license (http://creativecommons.org/licenses/by/4.0/).
Share and Cite
Tian, K.; Chen, R.; Xu, J.; Yang, G.; Xu, X.; Zhang, Y. Understanding the Photo- and Electro-Carboxylation of o-Methylbenzophenone with Carbon Dioxide. Catalysts 2020, 10, 664. https://doi.org/10.3390/catal10060664
Tian K, Chen R, Xu J, Yang G, Xu X, Zhang Y. Understanding the Photo- and Electro-Carboxylation of o-Methylbenzophenone with Carbon Dioxide. Catalysts. 2020; 10(6):664. https://doi.org/10.3390/catal10060664
Chicago/Turabian StyleTian, Keyi, Ruonan Chen, Jiafang Xu, Ge Yang, Xintong Xu, and Yanhua Zhang. 2020. "Understanding the Photo- and Electro-Carboxylation of o-Methylbenzophenone with Carbon Dioxide" Catalysts 10, no. 6: 664. https://doi.org/10.3390/catal10060664
APA StyleTian, K., Chen, R., Xu, J., Yang, G., Xu, X., & Zhang, Y. (2020). Understanding the Photo- and Electro-Carboxylation of o-Methylbenzophenone with Carbon Dioxide. Catalysts, 10(6), 664. https://doi.org/10.3390/catal10060664



