The Impact of In Situ Polymerization Conditions on the Structures and Properties of PANI/ZnO-Based Multiphase Composite Photocatalysts
Abstract
1. Introduction
2. Results and Discussion
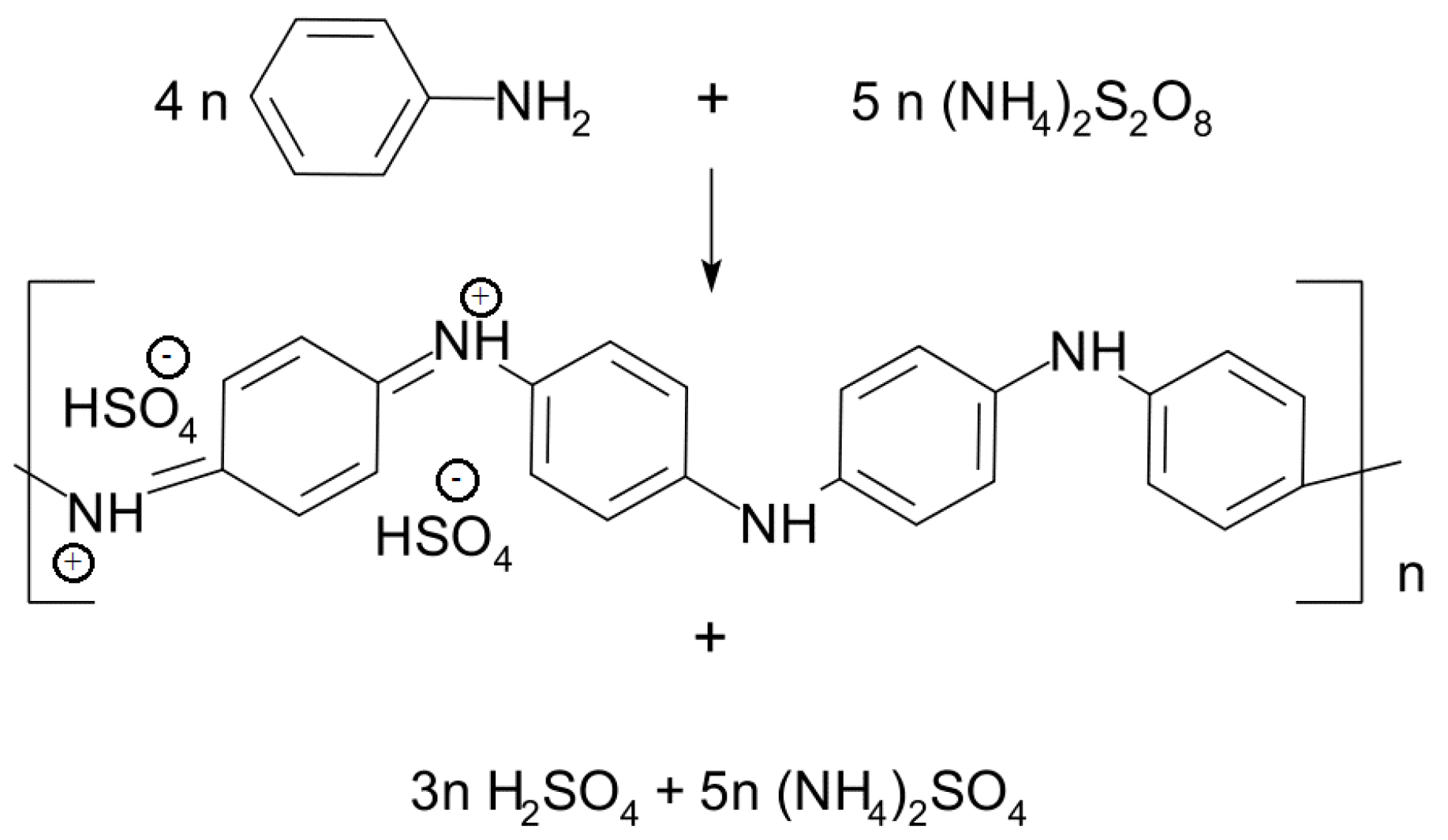
2.1. Analyses of FTIR Spectra
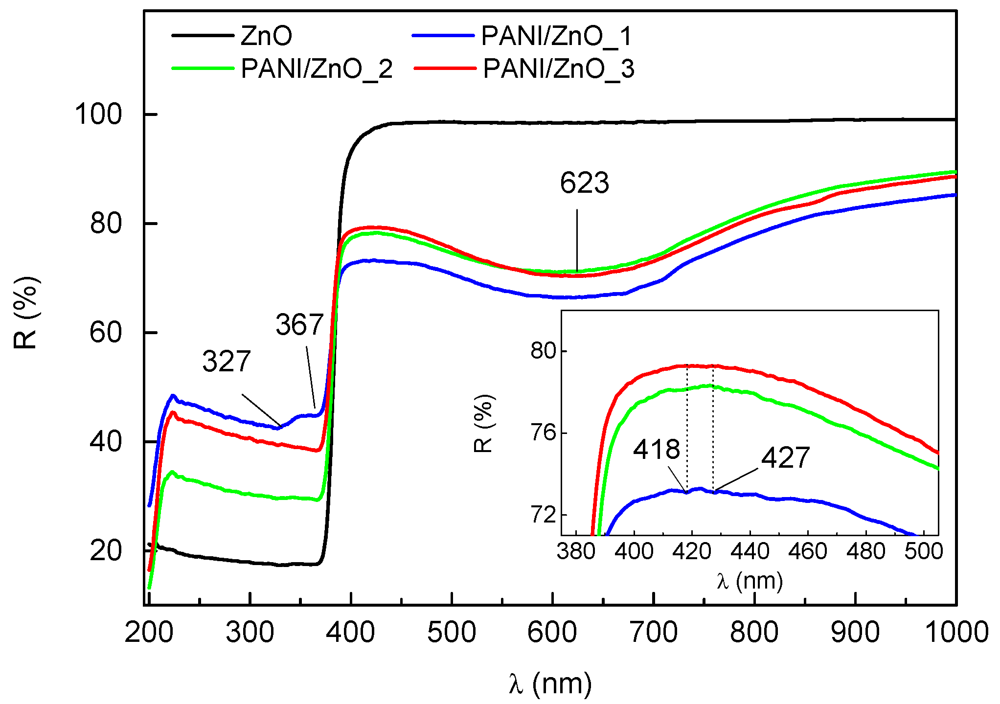
2.2. UV/VIS Analysis
2.3. Conductivity of PANI/ZnO Composites
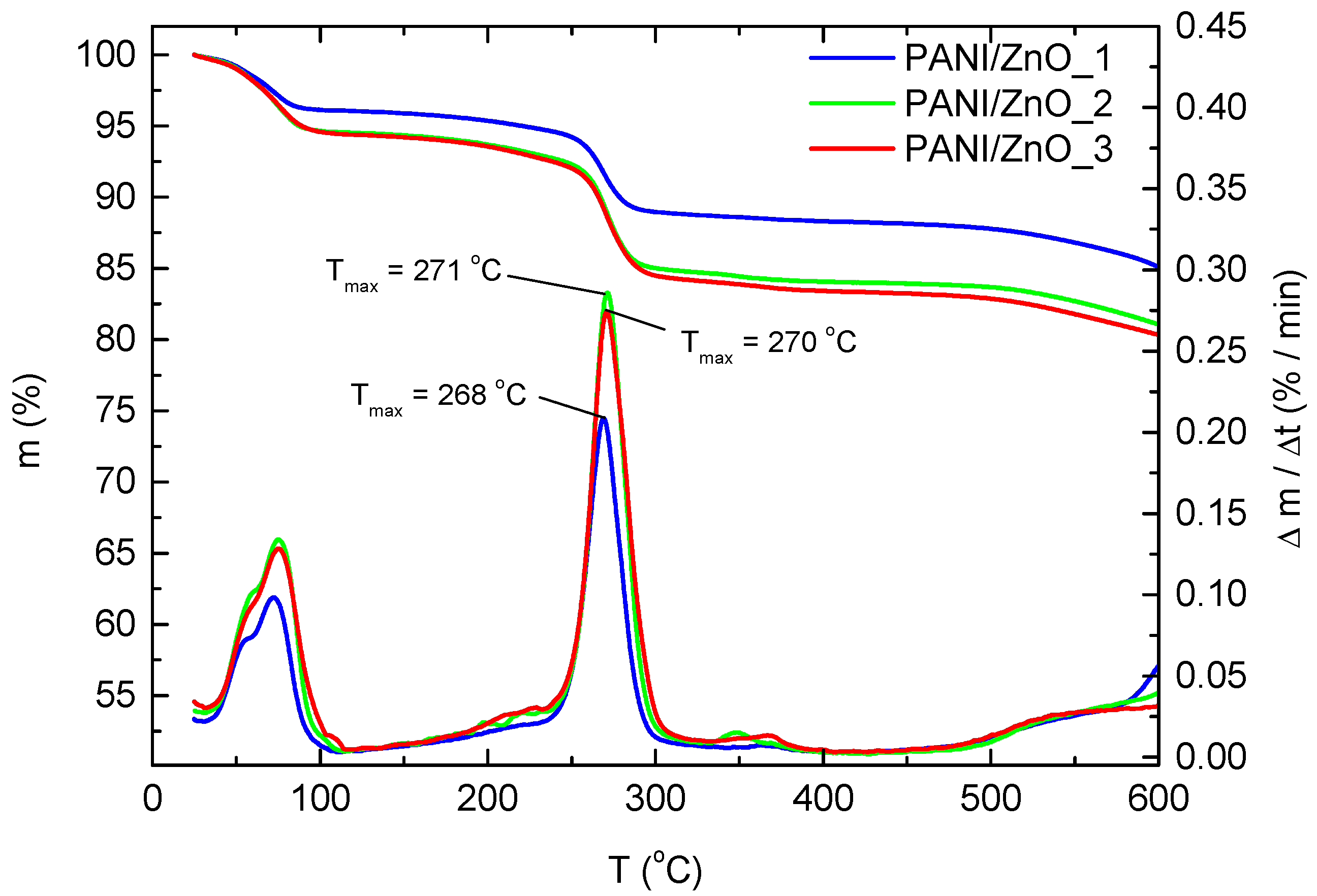
2.4. TG Analyses
2.5. FE-SEM Analysis
2.6. XRD Analysis
2.7. Photocatalytic Degradation of AB 25
3. Experimental
3.1. Materials
3.2. Samples Preparation
3.3. Sample Characterization
4. Conclusions
Author Contributions
Funding
Conflicts of Interest
References
- Truppi, A.; Petronella, F.; Placido, T.; Striccoli, M.; Agostiano, A.; Curri, M.L.; Comparelli, R. Visible-Light-Active TiO2-Based Hybrid Nanocatalysts for Environmental Applications. Catalysts 2017, 7, 100. [Google Scholar] [CrossRef]
- Schneider, J.; Matsuoka, M.; Takeuchi, M.; Zhang, J.L.; Horiuchi, Y.; Anpo, M.; Bahnemann, D.W. Understanding TiO2 Photocatalysis: Mechanisms and Materials. Chem. Rev. 2014, 114, 9919–9986. [Google Scholar] [CrossRef]
- Gobal, F.; Faraji, M. Electrodeposited polyaniline on Pd-loaded TiO2 nanotubes as active material for electrochemical supercapacitor. J. Electroanal. Chem. 2013, 691, 51–56. [Google Scholar] [CrossRef]
- Sahu, K.; Rahamn, K.H.; Kar, A.K. Synergic effect of polyaniline and ZnO to enhance the photocatalytic activity of their nanocomposite. Mater. Res. Express 2019, 6. [Google Scholar] [CrossRef]
- Senapati, V.A.; Kumar, A. ZnO nanoparticles dissolution, penetration and toxicity in human epidermal cells. Influence of pH. Environ. Chem. Lett. 2018, 16, 1129–1135. [Google Scholar] [CrossRef]
- Mudunkotuwa, I.A.; Rupasinghe, T.; Wu, C.M.; Grassian, V.H. Dissolution of ZnO Nanoparticles at Circumneutral pH: A Study of Size Effects in the Presence and Absence of Citric Acid. Langmuir 2012, 28, 396–403. [Google Scholar] [CrossRef]
- Singh, D.P. Synthesis and growth of ZnO nanowires. Sci. Adv. Mater. 2010, 2, 245–272. [Google Scholar] [CrossRef]
- Lee, S.L.; Chang, C.J. Recent developments about conductive polymer based composite photocatalysts. Polymers 2019, 11, 206. [Google Scholar] [CrossRef] [PubMed]
- Gupta, S.; Tripathi, M. A review of TiO2 nanoparticles. Chin. Sci. Bull. 2011, 56, 1639–1657. [Google Scholar] [CrossRef]
- Gilja, V.; Vrban, I.; Mandic, V.; Zic, M.; Hrnjak-Murgic, Z. Preparation of a PANI/ZnO Composite for Efficient Photocatalytic Degradation of Acid Blue. Polymers 2018, 10, 940. [Google Scholar] [CrossRef] [PubMed]
- Gilja, V.; Novaković, K.; Travas-Sejdic, J.; Hrnjak-Murgić, Z.; Roković, M.K.; Žic, M. Stability and synergistic effect of polyaniline/TiO2photocatalysts in degradation of Azo dye in wastewater. Nanomaterials 2017, 7, 412. [Google Scholar] [CrossRef] [PubMed]
- Lin, Y.M.; Li, D.Z.; Hu, J.H.; Xiao, G.C.; Wang, J.X.; Li, W.J.; Fu, X.Z. Highly Efficient Photocatalytic Degradation of Organic Pollutants by PANI-Modified TiO2 Composite. J. Phys. Chem. C 2012, 116, 5764–5772. [Google Scholar] [CrossRef]
- Sapurina, I.Y.; Shishov, M.A. Oxidative Polymerization of Aniline: Molecular Synthesis of Polyaniline and the Formation of Supramolecular Structures. In New Polymers for Special Applications; Gomes, A.D.S., Ed.; IntechOpen: Rijeka, Croatia, 2012. [Google Scholar]
- Kraljic, M.; Zic, M.; Duic, L. O-phenlylenediamine-containing polyaniline coatings for corrosion protection of stainless steel. Bull. Electrochem. 2004, 20, 567–570. [Google Scholar]
- Rokovic, M.K.; Jurisic, A.; Zic, M.; Duic, L.; Schauperl, Z. Manipulation of Polymer Layer Characteristics by Electrochemical Polymerization from Mixtures of Aniline and ortho-Phenylenediamine Monomers. J. Appl. Polym. Sci. 2009, 113, 427–436. [Google Scholar] [CrossRef]
- Zic, M. Influence of the OPDA additions on impedance response and on anion exchange property of the modified PANI. J. Electroanal. Chem. 2010, 647, 43–52. [Google Scholar] [CrossRef]
- Wang, H.; Lin, J.; Shen, Z.X. Polyaniline (PANi) based electrode materials for energy storage and conversion. J. Sci. Adv. Mater. Devices 2016, 1, 225–255. [Google Scholar] [CrossRef]
- Jiang, X.; Setodoi, S.; Fukumoto, S.; Imae, I.; Komaguchi, K.; Yano, J.; Mizota, H.; Harima, Y. An easy one-step electrosynthesis of graphene/polyaniline composites and electrochemical capacitor. Carbon 2014, 67, 662–672. [Google Scholar] [CrossRef]
- Cheng, Y.; An, L.; Zhao, Z.; Wang, G. Preparation of polyaniline/TiO2 composite nanotubes for photodegradation of AZO dyes. J. Wuhan Univ. Technol. Mater. Sci. Ed. 2014, 29, 468–472. [Google Scholar] [CrossRef]
- Salem, M.A.; Al-Ghonemiy, A.F.; Zaki, A.B. Photocatalytic degradation of Allura red and Quinoline yellow with Polyaniline/TiO2 nanocomposite. Appl. Catal. B-Environ. 2009, 91, 59–66. [Google Scholar] [CrossRef]
- Mahanta, D.; Madras, G.; Radhakrishnan, S.; Patil, S. Adsorption of sulfonated dyes by polyaniline emeraldine salt and its kinetics. J. Phys. Chem. B 2008, 112, 10153–10157. [Google Scholar] [CrossRef]
- Brožová, L.; Holler, P.; Kovářová, J.; Stejskal, J.; Trchová, M. The stability of polyaniline in strongly alkaline or acidic aqueous media. Polym. Degrad. Stab. 2008, 93, 592–600. [Google Scholar] [CrossRef]
- Trchova, M.; Stejskal, J. Polyaniline: The infrared spectroscopy of conducting polymer nanotubes (IUPAC Technical Report). Pure Appl. Chem. 2011, 83, 1803–1817. [Google Scholar] [CrossRef]
- Kumar, S.; Isaacs, M.A.; Trofimovaite, R.; Durndell, L.; Parlett, C.M.A.; Douthwaite, R.E.; Coulson, B.; Cockett, M.C.R.; Wilson, K.; Lee, A.F. P25@CoAl layered double hydroxide heterojunction nanocomposites for CO2 photocatalytic reduction. Appl. Catal. B-Environ. 2017, 209, 394–404. [Google Scholar] [CrossRef]
- Stejskal, J.; Trchova, M. Aniline oligomers versus polyaniline. Polym. Int. 2012, 61, 240–251. [Google Scholar] [CrossRef]
- Lee-Thorp, J.A.; Rüede, J.E.; Thornton, D.A. The infrared spectra (3500-150 cm−1) of aniline complexes of cobalt(II), nickel(II), copper(II) and zinc(II) halides. J. Mol. Struct. 1978, 50, 65–71. [Google Scholar] [CrossRef]
- Ding, L.L.; Wang, X.W.; Gregory, R.V. Thermal properties of chemically synthesized polyaniline (EB) powder. Synth. Met. 1999, 104, 73–78. [Google Scholar] [CrossRef]
- Trchova, M.; Sedenkova, I.; Konyushenko, E.N.; Stejskal, J.; Holler, P.; Ciric-Marjanovic, G. Evolution of polyaniline nanotubes: The oxidation of aniline in water. J. Phys. Chem. B 2006, 110, 9461–9468. [Google Scholar] [CrossRef]
- Zic, M. The influence of the PANI structure on the conductive mechanism and on the electrical equivalent circuit analysis. J. Electroanal. Chem. 2009, 635, 29–38. [Google Scholar] [CrossRef]
- Žic, M. The effect of the PANI-free volume on impedance response. J. Electroanal. Chem. 2007, 610, 57–66. [Google Scholar] [CrossRef]
- Zujovic, Z.D.; Laslau, C.; Bowmaker, G.A.; Kilmartin, P.A.; Webber, A.L.; Brown, S.P.; Travas-Sejdic, J. Role of Aniline Oligomeric Nanosheets in the Formation of Polyaniline Nanotubes. Macromolecules 2010, 43, 662–670. [Google Scholar] [CrossRef]
- Stejskal, J.; Kratochvil, P.; Radhakrishnan, N. Polyaniline dispersions.2. UV-VIS absorption-spectra. Synth. Met. 1993, 61, 225–231. [Google Scholar] [CrossRef]
- Li, X.W.; Chen, W.; Bian, C.Q.; He, J.B.; Xu, N.; Xue, G. Surface modification of TiO2 nanoparticles by polyaniline. Appl. Surf. Sci. 2003, 217, 16–22. [Google Scholar] [CrossRef]
- Barbero, C.; Miras, M.C.; Haas, O.; Kotz, R. Direct in situ evidence for proton/anion exchange in polyaniline films by means of probe beam deflection. J. Electrochem. Soc. 1991, 138, 669–672. [Google Scholar] [CrossRef]
- Stejskal, J.; Sapurina, I.; Trchova, M. Polyaniline nanostructures and the role of aniline oligomers in their formation. Prog. Polym. Sci. 2010, 35, 1420–1481. [Google Scholar] [CrossRef]
- Curtis, M.D.; Cao, J.; Kampf, J.W. Solid-state packing of conjugated oligomers: From pi-stacks to the herringbone structure. J. Am. Chem. Soc. 2004, 126, 4318–4328. [Google Scholar] [CrossRef]
- Stahlin, W.; Oswald, H.R. Crystal structure of zinc hydroxide nitrate, Zn5(OH)8(NO3)2.2H2O. Acta Crystallogr. Sect. B-Struct. Crystallogr. Cryst. Chem. 1970, 26, 860. [Google Scholar] [CrossRef]
- Zhang, H.; Zong, R.L.; Zhu, Y.F. Photocorrosion Inhibition and Photoactivity Enhancement for Zinc Oxide via Hybridization with Monolayer Polyaniline. J. Phys. Chem. C 2009, 113, 4605–4611. [Google Scholar] [CrossRef]












| Sample | ZnO | PANI/ZnO_1 | PANI/ZnO_2 | PANI/ZnO_3 |
|---|---|---|---|---|
| Eg (eV) | 3.27 | 3.23 | 3.25 | 3.26 |
| Sample | ZnO | PANI/ZnO_1 | PANI/ZnO_2 | PANI/ZnO_3 |
|---|---|---|---|---|
| κ (S cm−1) | 2.955 10−7 | 2.632 10−5 | 2.380 10−5 | 2.874 10−5 |
| Sample | PANI/ZnO_1 | PANI/ZnO_2 | PANI/ZnO_3 |
|---|---|---|---|
| Organic matter (%) | 15.55 | 18.16 | 21.28 |
| ZnO (%) | 84.45 | 81.84 | 78.72 |
| Sample | ZnO | PANI/ZnO_1 | PANI/ZnO_2 | PANI/ZnO_3 |
|---|---|---|---|---|
| kapp (min−1) | 0.00686 ± 0.000543 | 0.01775 ± 0.000697 | 0.01918 ± 0.000618 | 0.00946 ± 0.000321 |
| Suspensions Components | |
|---|---|
| - | Suspension A (25 mL, 250 rph) |
| V(An)/ml | 0.0390 |
| n(APS):n(An) | 1.25 |
| V(H2SO4)/ml | 0.0935 |
| pH | 2 |
| - | Suspension B (25 mL, 250 rph) |
| m(ZnO)/g | 1 |
| - | Suspension C (50 mL, 250 rph) |
| m(ZnO)/g | 1 (i.e., 20 g/L) |
| m(An)/g | Leftovers from the A solution |
| m(APS)/g | Leftovers from the A solution |
| m(PANI)/g | PANI salt from the A solution |
| pH | ≈ 5 |
© 2020 by the authors. Licensee MDPI, Basel, Switzerland. This article is an open access article distributed under the terms and conditions of the Creative Commons Attribution (CC BY) license (http://creativecommons.org/licenses/by/4.0/).
Share and Cite
Gilja, V.; Živković, I.; Klaser, T.; Skoko, Ž.; Kraljić Roković, M.; Hrnjak-Murgić, Z.; Žic, M. The Impact of In Situ Polymerization Conditions on the Structures and Properties of PANI/ZnO-Based Multiphase Composite Photocatalysts. Catalysts 2020, 10, 400. https://doi.org/10.3390/catal10040400
Gilja V, Živković I, Klaser T, Skoko Ž, Kraljić Roković M, Hrnjak-Murgić Z, Žic M. The Impact of In Situ Polymerization Conditions on the Structures and Properties of PANI/ZnO-Based Multiphase Composite Photocatalysts. Catalysts. 2020; 10(4):400. https://doi.org/10.3390/catal10040400
Chicago/Turabian StyleGilja, Vanja, Ivana Živković, Teodoro Klaser, Željko Skoko, Marijana Kraljić Roković, Zlata Hrnjak-Murgić, and Mark Žic. 2020. "The Impact of In Situ Polymerization Conditions on the Structures and Properties of PANI/ZnO-Based Multiphase Composite Photocatalysts" Catalysts 10, no. 4: 400. https://doi.org/10.3390/catal10040400
APA StyleGilja, V., Živković, I., Klaser, T., Skoko, Ž., Kraljić Roković, M., Hrnjak-Murgić, Z., & Žic, M. (2020). The Impact of In Situ Polymerization Conditions on the Structures and Properties of PANI/ZnO-Based Multiphase Composite Photocatalysts. Catalysts, 10(4), 400. https://doi.org/10.3390/catal10040400

