Abstract
Ciprofloxacin, a third-generation fluoroquinolones (FQs) antibiotic, is observed to increasingly pollute the environment. In this study, a three-dimensional reduced graphene oxide-attapulgite-based catalyst Fe2O3/RGO-ATP was prepared and used to analyze the degradation of ciprofloxacin in a heterogeneous Fenton reaction. The heterogeneous catalyst Fe2O3/RGO-ATP was prepared by a one-step hydrothermal method, and the samples were characterized using BET(Brunauer-Emmett-Teller) surface area, Raman spectroscopy, X-ray diffraction (XRD), Fourier infrared (FTIR) spectroscopy, scanning electron microscopy (SEM) and X-ray photoelectron spectroscopy (XPS). The effect of reaction time, temperature, pH, initial concentration, H2O2 dosage and reuse time on the degradation of ciprofloxacin by the catalyst Fe2O3/RGO-ATP was investigated. The optimum conditions of degradation of ciprofloxacin are observed to be 60 °C, pH 5, H2O2 concentration of 2.9724 mmol/L, and initial ciprofloxacin concentration of 50 mg/L. The catalyst could be reused several times with a decline in catalytic capacity. Fourier-transform ion cyclotron resonance mass spectrometer (FT) was also employed to study the degradation products of ciprofloxacin in the aqueous solution. The results show that the heterogeneous catalyst Fe2O3/RGO-ATP possessed an excellent ability for the catalytic degradation of ciprofloxacin. Direct hydroxyl oxidation is noted to be the main pathway of degradation of ciprofloxacin, and no defluorination reaction is observed during the degradation process.
1. Introduction
Antibiotics are chemicals that can interfere with the development of living cells. They are often used to prevent or treat diseases in humans or animals [,]. China is a large exporter of antibiotics, along with a major user of antibiotics [,]. The abuse of antibiotics in China is especially obvious as excessive use of antibiotics has stimulated the rapid emergence of drug-resistant bacteria (ARB) and drug-resistant genes (ARGs), thus reducing the therapeutic potential for human and animal pathogens [,]. Studies have shown that the consumption of antibiotics-containing meat, milk and other substances for a long period by humans results in a reduction in immune function. Likewise, long-term exposure to low concentrations of ciprofloxacin in water leads to a chronic poisoning effect on aquatic plants. Thus, this poses a significant threat to human health and the safety of the entire ecosystem [,,].
Ciprofloxacin (CIP) is widely used in human and veterinary medicines due to its broad-spectrum antibacterial activity and good oral absorption rate, classifying it as a third-generation fluoroquinolones (FQs) antibiotic. It is usually passed to animals or humans orally or through injection. However, it is considered to be one of the most important emerging pollutants due to the inhibition of the bacterial [,,,,] DNA unwinding and replication to combat the bacterial infection caused by Gram-negative and Gram-positive bacteria. Ciprofloxacin is generally difficult to biodegrade and enters the environment in the form of prototypes or metabolites [,], thus posing a serious threat to the health of humans and aquatic organisms. Therefore, efficient and cost-effective strategies to deal with ciprofloxacin are the focus of the current research.
Current methods for the treatment of antibiotic-polluted water include biological processes and advanced oxidation technologies. A large number of research studies have demonstrated that the removal efficiency of ciprofloxacin by the activated sludge treatment method is negligible (<15%). The removal rate of ciprofloxacin by laboratory-scale membrane bioreactors is as high as 52.8% [], but the residual extent of ciprofloxacin in the sludge is still very harmful to the environment and groundwater. A high ciprofloxacin concentration of 99 ng/L and 155 ng/L has been detected in recycled water is and groundwater, respectively []. In Canada, ciprofloxacin was also detected in the final wastewater of eight sewage treatment plants, with a maximum concentration of 0.12 mg/L []. At the same time, ciprofloxacin was also detected in the remaining sludge of the sewage treatment systems in different countries. The presence of ciprofloxacin in Sweden has been reported to be 9300-11700 mg/kg, whereas a value of 2.09 mg/kg has been observed in Italy []. Due to the low efficiency of the biological methods in treating antibiotics, advanced oxidation technologies, such as ozone oxidation, electrochemical oxidation, photocatalytic oxidation and Fenton oxidation, have often been used in antibiotics treatments. The aim of advanced oxidation processes (AOPs) is to generate hydroxyl radicals (•OH), which can oxidize most chemical species, especially hard-to-degrade organics. However, the hydroxyl radicals are non-selective when used for the oxidization of organics [,,]. Heterogeneous catalysis is one of advanced oxidation technologies, which has attracted considerable research interest for the degradation of persistent organic compounds due to its high efficiency, absence of secondary pollution and simple operating conditions [,,]. Catalysts often employ porous materials as supports, and active components, such as metals or metal oxides, are coated on the surface of the supports to form the catalyst structures. In this study, reduced grapheme oxide-combined attapulgite (ATP) has been used as support and Fe2O3 as the active component for the development of an advanced catalyst system.
Graphene, a 2-dimensional (2D) sheet structure of carbon atoms, has many desirable properties such as high mechanical strength, electrical conductivity and molecular barrier ability []. Graphene oxide (GO), a graphene derivative possessing a surface with functionalized oxygen groups, has received significant attention due to its availability in large quantities, ease of modification, good conductivity and excellent chemical stability []. GO can be treated by different methods to synthesize reduced graphene oxide (RGO) so as to minimize the number of oxygen groups and achieve properties closer to those of grapheme []. Compared to the GO structure, the RGO-based material exhibits higher surface area, chemical stability, and electrical conductivity, which makes it possible for RGO to provide more stable active sites for catalytic reaction [,,,]. Xiaoyu Wang et al. [] chemically anchored RGO with triethylenetetramine (TETA) molecules via a nucleophilic reaction, and bonded with Fe3O4 nanoparticles by forming stable chelating bonds, resulting in a RGO-TETA-Fe3O4 nanocomposite, which exhibited remarkable catalytic ability and excellent reusability to degrade Acid Orange 7 dye (AO7). Xiangyang Xu et al. [] synthesized RGO based NiFe2−xCoxO4 nanocomposite (NiFe2−xCoxO4-RGO) to activate persulfate (PS) for the degradation of bisphenol A (BPA). Ying-Hua Zhou et al. [] successfully immobilized ceria-doped CuNi nanoparticles on the surface of RGO by a simple co-reduction approach in aqueous solution at room temperature, which were then employed as heterogeneous catalysts for the hydrolytic dehydrogenation of ammonia borane (NH3BH3, AB), and the obtained in situ hydrogen from AB hydrolysis could be further applied to reduce 4-nitrophenol.
Clays such as montomorillonite, kaoline, bentonite, attapulgite, etc., have been used as a natural cost-effective supporter for heterogeneous catalysis in wastewater treatment [,,,]. Attapulgite (ATP), with a unique fibrous morphology, is a crystalline hydrated magnesium aluminum silicate []. Given its unique structure, ATP has a large surface area exhibiting excellent adsorption properties and catalytic activity, which make it possible to be widely used as an adsorbent and catalyst support [,]. Zhi Zhu et al. [] firstly synthesized the intercalation structure g-C3N4@ATP using a eutectic technique and calcination method and observed the enhanced separation of photogenerated electron holes. Ma et al. [] synthesized well-spread Ag3PO4 particles on the surface of attapulgite (ATP) for the sunlight-driven catalytic removal of Orange II from water, and the photocatalytic activity and stability of Ag3PO4 were observed to be significantly improved by the loading on ATP.
Among the iron-based catalysts, Fe2O3 has been widely used in the heterogeneous Fenton reaction due to its simple preparation, good stability and nontoxicity []. Fe2O3 is often employed as a component to mix with other materials, for instance, mesoporous Fe2O3·SiO2 composite [] or as an active part to be coated on supports, such as diatomite-Fe2O3 catalyst [] or Fe2O3–Kaolin composite []. Our research group has also synthesized Fe2O3-coated heterogeneous catalysts for persistent organics degradation [,,].
In our previous work, we investigated the catalyst Fe2O3/ATP in a Fenton system for degrading sodium dodecyl benzene sulfonate (SDBS), Methylene blue (MB) and Congo red (CR) [,]. It was observed that Fe2O3/ATP possessed high catalytic reactivity in a wide pH range with possibility for repeated use. In order to enlarge the surface area of ATP support to further reinforce the catalytic performance of the catalyst for degradation of other organics, a one-step hydrothermal method was used in this study to prepare a three-dimensional reduced grapheme oxide-attapulgite (RGO-ATP) based catalyst. The developed catalyst was applied for the catalytic degradation of ciprofloxacin, along with the study of the degradation mechanism and pathway.
2. Results and Discussion
2.1. Characteristics of Catalyst Fe2O3/RGO-ATP
Electron micrographs of ATP, GO and Fe2O3/RGO-ATP are shown in Figure 1. Figure 1a shows the rod-like fiber structure of attapulgite clay. As can be seen, the rod-like structures of ATP are interlaced with each other, and the rod crystal length is about 500 nm. The SEM image of GO is shown in Figure 1b, which presents a wrinkled sheet structure of GO. Figure 1c demonstrates the SEM image of the catalyst Fe2O3/RGO-ATP. Successful incorporation of RGO and ATP, to develop a three-dimensional pore structure of composite support (RGO-ATP), can be observed. The sheet structure of graphene oxide can also be seen in the upper right corner of Figure 1c, indicating that GO is not completely reduced after subjecting graphene to a high-temperature treatment.

Figure 1.
(a) Electron micrograph of attapulgite (ATP); (b) Electron micrograph of graphene oxide (GO); (c) Electron micrograph of Fe2O3/RGO-ATP.
Table 1 presents the BET (Brunauer-Emmett-Teller) analysis of Fe2O3/RGO-ATP and ATP. As can be seen from Table 1, the BET surface area of ATP is not very high. After introducing RGO, the surface area of the sample is observed to significantly increase, which indicates the positive impact of RGO incorporation.

Table 1.
BET (Brunauer-Emmett-Teller) measurement results of Fe2O3/RGO-ATP and ATP.
The Raman characterization of the catalyst is presented in Figure 2a. The peak at 1342 cm−1 (D-band) is associated with the vibrations of the carbon atoms with dangling bonds in the plane terminations of the disordered graphite from the defects and disorders of the structures in the carbon materials []. The peak at 410 cm−1 represents the vibration of α-Fe2O3 [,].

Figure 2.
(a) Raman spectrum of Fe2O3/RGO-ATP; (b) FTIR diagrams of ATP, GO, Fe2O3/RGO-ATP; (c) XRD patterns of ATP, GO, Fe2O3/RGO-ATP.
FTIR characterization of ATP, GO and Fe2O3/RGO-ATP is shown in Figure 2b. It can be seen that GO has a broad absorption peak at 3450 cm−1, which corresponds to the stretching vibration of the –OH groups on the surface of graphene oxide. The peak at 1737 cm−1 corresponds to C=O and –COOH stretching vibration peaks, whereas the peak at 1627 cm−1 is the stretching vibration of C-C in the sp2 hybrid carbon skeleton network. The peaks at 1387 cm−1 and 1065 cm−1 are the stretching vibration peaks of C-OH and C–O–C [,]. From the FTIR spectrum of ATP, it can be observed that the weak absorption peaks at 3530 cm−1 and 3417 cm−1 result from the stretching vibrations of –OH from the water molecules adsorbed on the surface as well in the mineral layer in the crystal structure of ATP clay. The absorption peak at 1650 cm−1 is the characteristic peak of water adsorbed in mineral as well as interlayer water, and the absorption peak near 1030 cm−1 is the result of the Si–O bending vibration in the ATP clay crystal structure [,,]. The obvious characteristic peaks appearing at 3530 cm−1 and 1650 cm−1 are consistent with the characteristic peaks of ATP, indicating that the ATP incorporation was successful. The characteristic peaks at 1737 cm−1, 1387 cm−1 and 1065 cm−1 disappeared or weakened, illustrating that the oxygen-containing functional groups were significantly reduced after high-temperature reduction of graphene oxide. A weaker absorption peak at 585 cm−1 is noted to be the characteristic absorption peak of Fe–O [].
The XRD patterns of ATP, GO and Fe2O3/RGO-ATP are shown in Figure 2c. The diffraction peaks at 2θ = 8.495°, 13.979°, 16.463°, 19.891°, 20.835°, 21.498°, 26.586°, 34.673° and 35.365° corresponded to 21-0957 in the standard card library, indicating the diffraction peaks of the ATP clay crystal structure. It can be seen that the catalyst Fe2O3/RGO-ATP did not induce changes in the physicochemical properties of the ATP clay during preparation. The weak diffraction peaks at 2θ = 30.416°, 41.909°, 45.117°, 49.928°, 63.492° and 69.707° in the Fe2O3/RGO-ATP catalyst sample were analyzed by the Jade6 XRD software, which corresponded with 33-0664 in the standard card library, indicating the characteristic diffraction peaks of Fe2O3. It confirmed that Fe2O3 was successfully loaded on the structure of the RGO-ATP support. At the same time, the catalyst Fe2O3/RGO-ATP shows a broader peak at 2θ = 20~30° as compared to the ATP clay structure, which is attributed to the characteristic peak generated by graphene after high-temperature reduction. GO exhibited a strong characteristic peak at 2θ = 11.42°, indicating that the surface of GO contained plenty of oxygen-containing functional groups after oxidation of graphene [,]. However, the peak disappeared in the XRD pattern Fe2O3/RGO-ATP, implying that most of the oxygen-containing functional groups were reduced after high-temperature treatment.
The chemical states of C, O, Fe, and N in Fe2O3/RGO-ATP catalyst were analyzed by XPS, as shown in the overall spectrum in Figure 3a. The C1s spectrum in Figure 3b includes five peaks: the peak at 284.8 eV is attributed to the sp2 bonded carbon (C–C) in graphene, the peak at 287.8 eV originated from the carbonyl group, the peak at 286.1 eV is attributed to the epoxy and hydroxyl (C–O) or C=O, and the peak at 288.4 eV results from the carboxyl group (O–C=O), demonstrating that the oxygen-containing functional groups on the graphene surface were not completely reduced after the high-temperature treatment [,,,]. It can also be attributed to the C=N and C–N bonding configurations, which means that the C–N species are formed in the composite material []. Figure 3c shows the spectrum of N1s with four main peaks: the peak at 401 eV represents the graphitic carbon [,] and the peak at 406 eV represents the nitro group. After long-term high-temperature heating of the ferric nitrate solution, nitrate ions undergo auto-oxidation to produce nitro moieties []. Furthermore, the peak at 400.35 eV represents pyrroleN []. Figure 3d presents the spectrum of O1s with three main peaks: the peak at 532.5 eV indicates C=O on graphene, whereas the peaks at 533.5 eV and 534.0 eV represent C–O [,]. Figure 3e shows the spectrum of Fe2p with two main peaks: the satellite peak of Fe 2p3/2 at 715 eV demonstrates Fe (II) 2p3/2 and the satellite peak of 729 eV represents Fe 2p1/2 [,].

Figure 3.
XPS spectra of C1s (b), N1s (c), O1s (d), and Fe2p (e) in Fe2O3/RGO-ATP, (a) is the total spectrum.
2.2. Ciprofloxacin Degradation
Temperature is one of the important influencing factors for the effective removal of ciprofloxacin by the catalyst. Especially, the temperature is noted to have a significant effect on the catalytic degradation of ciprofloxacin in wastewater in the heterogeneous Fenton reaction system, as shown in Figure 4a. Figure 4a shows that in the reaction temperature range from 30 °C to 70 °C, the degradation ratio of ciprofloxacin increases at first and subsequently decreases. The degradation ratio is noted to be the maximum at 60 °C. The reason for the observed phenomenon is that as the temperature increases, the •OH groups produced by the reaction of H2O2 and iron oxides also increase, thus subsequently increasing the degradation ratio of ciprofloxacin in the heterogeneous reaction. As the temperature reaches 70 °C, it results in an ineffective decomposition of H2O2 into water H2O and O2 [] owing to too high temperature, thus the degradation ratio of ciprofloxacin is reduced. At the same time, the excessively high temperature leads to a waste of reagents. Overall, too high or low temperature is not suitable for the degradation of ciprofloxacin by Fe2O3/RGO-ATP catalyst. Thus, 60 °C was selected as the optimal temperature in subsequent experiments.

Figure 4.
Effects of (a) temperature, (b) reacting time, (c) pH value, (d) initial ciprofloxacin concentration, and (e) H2O2 concentration on the degradation of ciprofloxacin by Fe2O3/RGO-ATP catalyst. (f) The recyclability of Fe2O3/RGO-ATP catalyst.
The ability of the catalyst to degrade ciprofloxacin as a function of the reaction time is shown in Figure 4b. It shows that the degradation ratio of ciprofloxacin by the catalyst initially increased with reaction time, followed by its stabilization. Increasing the reaction time for the Fe2O3/RGO-ATP/H2O2 system leads to a gradual enhancement in the amount of •OH produced from H2O2 catalyzed by Fe2O3/RGO-ATP, thus the ciprofloxacin molecules degraded by •OH also enhanced correspondingly. The available amount of H2O2 is gradually consumed, and the amount of •OH is correspondingly decreased with time, thus the rate of catalytic degradation of ciprofloxacin gradually decreases. After reaction time of 60 min, the degradation ratio of ciprofloxacin is noted to reach 90%.
pH is another important factor affecting the catalytic performance of the catalyst. Figure 4c shows the ciprofloxacin degradation ability of the catalyst under different pH conditions along with the reaction time. It is observed that the degradation ratio at pH 1, 3, 5 and 7 is significantly higher than that at pH 9, 11 and 13, demonstrating that the catalyst Fe2O3/RGO-ATP has an excellent catalytic ability under acidic conditions. However, the degradation ratio of ciprofloxacin by the catalyst Fe2O3/RGO-ATP can still reach more than 70% under strong alkaline conditions, which shows that Fe2O3/RGO-ATP can achieve the degradation of ciprofloxacin in a wide pH range, which significantly expands the application of the catalyst for water treatment.
The initial concentration of ciprofloxacin has a vital influence on the ciprofloxacin degradation by Fe2O3/RGO-ATP. Fe2O3/RGO-ATP was added to the solutions with different ciprofloxacin concentrations and the concentration was measured as a function of the reaction time, as shown in Figure 4d. As the concentration of ciprofloxacin increased, the degradation ratio initially increased, followed by its decrease. The maximum degradation ratio was noted at the initial concentration of 50 mg/L. The reason for the observed phenomenon is the enhancement of the reaction rate between the ciprofloxacin molecules and •OH radicals on increasing ciprofloxacin concentration. As the concentration of ciprofloxacin reaches a certain extent, the amount of catalyst and H2O2 required for the reaction does not increase, thus resulting in an insufficient generation of •OH radicals in the aqueous solution. Furthermore, the adsorption sites on the catalyst did not increase with the initial concentration of ciprofloxacin [], thus leading to a drop in the degradation rate of ciprofloxacin by the catalyst Fe2O3/RGO-ATP.
Figure 4e shows the ciprofloxacin degradation as a function of different H2O2 concentration conditions (from 0.2477 mmol/L to 2.9724 mmol/L). The absorbance intensity for ciprofloxacin was measured after 60 min reaction time by a three-dimensional fluorescence spectrometer. The intensity of ciprofloxacin was observed to decrease on increasing initial H2O2 concentration. The characteristic peak at 275 nm is observed to vanish at H2O2 concentration of 2.9724 mmol/L. The reason for this phenomenon is that the increasing amount of H2O2 leads to the generation of more •OH radicals in the solution, resulting in a high extent of catalytic degradation of ciprofloxacin. However, as the amount of H2O2 is enhanced, the side reaction process H2O2 + •OH → HO2• + H2O, HO2• + •OH → H2O + O2 is significantly strengthened. Low activity of HO2• during the side reaction reduces the possibility of •OH to attack the organic pollution molecules [,], and leads to a reduction in the degradation rate of ciprofloxacin.
The recyclability of Fe2O3/RGO-ATP catalyst was studied by continuous reusability experiments, as shown in Figure 4f. The catalyst Fe2O3/RGO-ATP was reused after washing with distilled water, without any further treatment. The results are shown in Figure 4f. After four cycles, the degradation ratio of ciprofloxacin was decreased from 88.27% to 52.84%, indicating that the catalyst Fe2O3/RGO-ATP can be reused several times. However, the degradation ratio decreased due to the decreasing active sites on the surface of Fe2O3/RGO-ATP.
Ciprofloxacin has strong auto-fluorescence characteristics [,]; thus, its fluorescence intensity was measured before and after the 60 min reaction by three-dimensional fluorescence spectrophotometry, as shown in Figure 5. Figure 5a presents the three-dimensional fluorescence image of ciprofloxacin with initial concentration of 50 mg/L, and the red block clearly demonstrates the high concentration of ciprofloxacin. Figure 5b presents the fluorescence image of ciprofloxacin after 60 min catalytic degradation by the Fe2O3/RGO-ATP/H2O2 system. The red block could not be observed in Figure 5b which means that ciprofloxacin was truly catalytically degraded by Fe2O3/RGO-ATP/H2O2 system. Meanwhile, yellow and green blocks still can be seen because certain intermediate products are generated during the catalytic degradation of ciprofloxacin in the heterogeneous Fenton system, and the intermediate product also exhibits fluorescent characteristics.

Figure 5.
(a) Three-dimensional fluorescence image of ciprofloxacin with concentration of 50 mg/L; (b) Three-dimensional fluorescence image of ciprofloxacin after 60 min degradation by Fe2O3/RGO-ATP/H2O2 system.
Several current methods for the degradation of ciprofloxacin were compared in the study, as shown in Table 2. It can be seen that the effect of the photocatalytic method is poor [], but the degradation of ciprofloxacin by the Fenton oxidation and the ozone oxidation method in the advanced oxidation method is very good, and the degradation rate can reach more than 70%, The ozonation process even reached 98.7% [,]. However, many studies have been carried out under low ciprofloxacin concentration, and some of the catalysts cannot be recycled. In this study, the catalyst Fe2O3/RGO-ATP can effectively achieve the degradation of ciprofloxacin at a high ciprofloxacin concentration, over a wide pH range for several cycles.

Table 2.
Degradation of ciprofloxacin by different methods
2.3. Mechanism of Ciprofloxacin Degradation by Fe2O3/RGO-ATP Catalyst
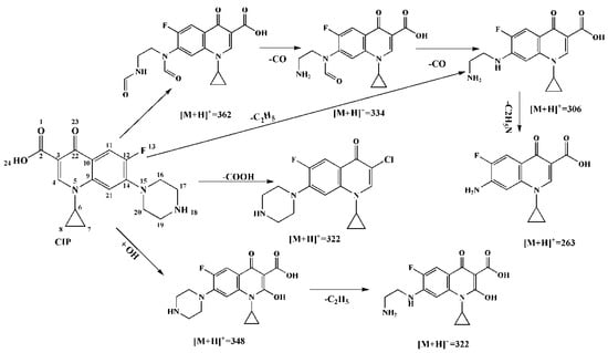
Based on previous studies focusing on advanced oxidation, ciprofloxacin is most likely to degrade at the quinolone moiety and piperazine ring, as shown in Figure 6 []. The product at [M+H]+ = 362 should be attributed to the oxidation of piperazine. N15 and N18 of the piperazine ring are attacked by the hydroxyl radicals to form two ketogroups []. [M+H]+ = 344 is formed by the CO loss of [M+H]+ = 362 []. The product at [M+H]+ = 306 is devinylciprofloxacin, caused by the net loss of C2H5 of the ciprofloxacin piperazinyl substituent or [M+H]+ = 334. Intermediate products are formed by the secondary loss of –CO [], and literature studies have suggested that devinylciprofloxacin was formed directly from ciprofloxacin through an unknown mechanism involving an attack by the hydroxyl radicals []. The product at [M+H]+ = 263 was aniline formed by the loss of –C2H5N from devinylciprofloxacin []. The product at [M+H]+ = 362 is also considered to result from the hydroxylation and carbonylation of an uncleaved piperazinyl ring [] due to the initial attack on the carbon–carbon double bonds by the hydroxyl radicals []. According to the study of Cheng et al., the first addition of the hydroxyl radicals may take place on the atom with the highest FED2 HOMOb2FED2 LUMO value, observed on the quinolone ring. Thus, the most reasonable addition of the hydroxyl radicals can occur at the positions C4 and C11. The intermediate product [M+H]+ = 348 is generated by the hydroxyl radical attacking the C4 atom []. Wang et al. also concluded that the hydroxyl group is most likely to attack the quinolone ring, and [M+H]+ = 348 is considered to be the product of the hydroxylation process []. [M+H]+ = 322 is the product of [M+H]+ = 348 losing –C2H2, however, there is also a possibility that the quinolone ring in the ciprofloxacin structure loses –COOH and is replaced by Cl []. Figure 7 shows a possible pathway for the catalytic degradation of ciprofloxacin by the Fe2O3/RGO-ATP/H2O2 system.

Figure 6.
Structural formula of ciprofloxacin, where the blue box is the quinolone structure of ciprofloxacin and the red circle is the piperazine ring.

Figure 7.
Possible pathways for catalytic degradation of ciprofloxacin (CIP) in Fe2O3/RGO-ATP/H2O2 system.
3. Materials and Methods
3.1. Preparation of Three-Dimensional Graphene-Based Catalysts
In order to obtain Fe2O3/RGO-ATP, graphene oxide was first prepared by the Hummers method [,,]. The procedures were as follows: 60 mL of concentrated sulfuric acid was taken in a flask, and 1 g of graphite powder and 1 g of sodium nitrate were added. The mixture was vigorously stirred in a low temperature water bath, followed by slow adding of 6 g potassium permanganate and stirring for 3 h. The reaction mixture was transferred to a water bath of 35 °C and stirred for another 3 h, and 140 mL of deionized water was added and stirred at room temperature for 12 h. A total of 200 mL of deionized water was added to the above mixture, followed by slow addition of 20 mL hydrogen peroxide. Subsequently, the mixture was stirred for 1 h and allowed to stand for 5 h. After precipitation, it was washed with 5% dilute hydrochloric acid, followed by deionized water to achieve neutral conditions. The contents were sonicated using an ultrasonicator at 100 Hz for 2 h to obtain the graphene oxide solution.
Then, 15 mL of 5 mg/mL graphene oxide solution was weighed, and 75 mg of ATP was added, followed by the addition of 3 mL of 0.005 mol/L ferric nitrate solution. The mixture was homogeneously mixed and ultrasonicated at room temperature for 20 min. Afterwards, the mixture was placed in a 50 mL reaction kettle at 170 °C for 12 h. Subsequently, the product was rinsed with an excess amount of distilled water, followed by freeze-drying for 24 h to obtain Fe2O3/RGO-ATP aerogel.
3.2. Methods of Catalytic Degradation by Fe2O3/RGO-ATP Catalyst
Fluoroquinolone (FQs) antibiotic ciprofloxacin was selected as a target pollutant to evaluate the catalytic degradation ability of the as-synthesized catalyst. For the determination of the catalytic degradation, 50 mL of ciprofloxacin solution with an initial concentration of 50 mg/L was added in a conical flask, followed by the dispersion of 50 mg of the catalyst Fe2O3/RGO-ATP in the ciprofloxacin solution, along with a specific amount of H2O2. The absorbance was measured by a three-dimensional fluorescence spectrometer at 0, 1, 2, 5, 10, 20, 30, 40, 50 and 60 min, and then the absorbance was converted into ciprofloxacin concentration based on its calibration curve. The degradation products of ciprofloxacin were determined by Fourier-transform ion cyclotron resonance mass spectrometer (FT). The initial pH of the ciprofloxacin solution was 5, which was adjusted with sulfuric acid (1:9) or sodium hydroxide (0.1 mol/L). The degradation ratio of ciprofloxacin by Fe2O3/RGO-ATP can be calculated using the following equation,
where C0 is the initial concentration of ciprofloxacin and Ct is the concentration at contact time t.
η = (C0 − Ct)/C0 × 100%
3.3. Materials
Attapulgite clay was obtained from Xuyi, Jiangsu, China (specific surface area 150 m2/g), with ATP content of 90%, hydromica and montmorillonite content of 5%~8%, dolomite and quartz content of 1%~5%, dolomite and montmorillonite content of trace; nano graphite powder was purchased from Aladdin, Los Angeles, Southern California, USA; iron nitrate was purchased from Tianjin Kaixin Chemical Industry Co, Ltd, Tianjin, China; concentrated hydrochloric acid, concentrated hydrochloric acid, hydrogen peroxide, and ethanol were purchased from Sinopharm Chemical Reagent Co, Ltd, Shanghai, China; and potassium dichromate was purchased from Sinopharm Chemical Reagent Co., Ltd, Shanghai, China. Sodium nitrate was purchased from Tianjin Kaixin Chemical Industry Co, Ltd, Tianjin, China; ciprofloxacin was purchased from Aladdin, Los Angeles, Southern California, USA. All chemical reagents were of analytical grade and were not further purified before use.
3.4. Characterization
Scanning electron microscopy (SEM, JSM-5500, Tokyo, Japan) was used to characterize the microstructure of Fe2O3/RGO-ATP. The samples were treated with gold spray before observation, and the acceleration voltage was 20 kV. Fourier infrared spectrometer (FTIR, Nicolet AVTAR 360, Madison, Wisconsin, USA), with a scanning range of 4500 cm−1–400cm−1, was used to characterize the chemical composition of the three-dimensional graphene-based catalysts. X-ray diffraction (XRD, Panalytical X Pert PRO, Heracles Almelo, Holland) was used to characterize the structure of the catalyst, and the operating voltage and current were 40 KV and 150 mA respectively, with diffraction angle range of 5°–75° and scanning step of 0.02°/s. Three-dimensional fluorescence spectrum was measured using a three-dimensional fluorescence spectrum analyzer (HORIBA Scientific-Aqudog). Fourier-transform ion cyclotron resonance mass spectrometer(FT, Solarix X 7.0 T, Bremen, Germany) was used to determine the intermediate products of ciprofloxacin degradation by the catalyst. Prior to the test, the solution was first enriched and subsequently eluted. Thermo Scientific Escalab 250Xi photoelectron spectrometer (XPS, Massachusetts, USA) was used to analyze the chemical composition of the prepared catalyst surface. The obtained data was subjected to peak fitting by XPspeak41 software for analysis of functional groups contained on the surface. The Raman detection was performed on parable Raman Spectroscopy (BWS465-785H, BWTEK, Ltd., Bremen, Germany).
4. Conclusions
This study demonstrates the preparation of a three-dimensional reduced graphene oxide-attapulgite-based (RGO-ATP) supported Fe2O3 catalyst for the degradation of ciprofloxacin. The catalyst was characterized by BET surface area, SEM, FTIR, XRD and XPS, which prove that Fe2O3/RGO-ATP catalyst possessed higher adsorption capacity and smaller pore sizes than ATP. Overall, a stable three-dimensional porous structure of RGO-ATP with successful loading of the iron oxide was confirmed. The effect of variables such as temperature, reacting time, pH and the amount of H2O2 on the catalytic degradation of ciprofloxacin by Fe2O3/RGO-ATP was studied. The results confirmed that the catalyst could degrade ciprofloxacin by more than 90% under the optimal conditions of 60 °C, pH 5, H2O2 concentration 2.9724 mmol/L and initial ciprofloxacin concentration 50 mg/L. The catalyst could be reused several times with a reduction in the catalytic capacity. Possible mechanism and pathways of ciprofloxacin degradation by using the Fe2O3/RGO-ATP/H2O2 system were proposed based on the observed findings. Direct hydroxyl oxidation was noted to be the main pathway of ciprofloxacin degradation, and no de-F reaction was observed during the degradation process. The results showed that the heterogeneous Fenton catalyst Fe2O3/RGO-ATP can effectively degrade ciprofloxacin, thus presenting a promising approach for the degradation of antibiotics in wastewater.
Author Contributions
Conceptualization, C.Q.; methodology and validation, L.D.; formal analysis, C.Q. and T.Z.; investigation, G.B. and Q.G.; project management, T.Z.; funding, T.Z. and P.G.; resources, P.G. and S.G.; writing—review and editing, C.Q. All authors have read and agreed to the published version of the manuscript.
Funding
This research was funded by the National Natural Science Foundation of China (Grant No. 51302123) and Funding of Guangdong Provincial Key Laboratory of Emergency Test for Dangerous Chemicals (KF2018001).
Acknowledgments
This work was financially supported by the National Natural Science Foundation of China (Grant No. 51302123) and Funding of Guangdong Provincial Key Laboratory of Emergency Test for Dangerous Chemicals (KF2018001).
Conflicts of Interest
The authors declare no conflict of interest.
References
- Qiao, M.; Ying, G.G.; Singer, A.C.; Zhu, Y.G. Review of antibiotic resistance in China and its environment. Environ. Int. 2018, 110, 160–172. [Google Scholar] [CrossRef] [PubMed]
- Schuetz, P.; Wirz, Y.; Sager, R.; Christ-Crain, M.; Mueller, B. Effect of procalcitonin-guided antibiotic treatment on mortality in acute respiratory infections: A patient level meta-analysis. Lancet Infect. Dis. 2018, 18, 95–107. [Google Scholar] [CrossRef]
- Zhu, Y.-G.; Zhu, Y.G.; Johnson, T.A.; Su, J.Q.; Qiao, M.; Guo, G.X.; Stedtfeld, R.D.; Hashsham, S.A.; Tiedje, J.M. Diverse and abundant antibiotic resistance genes in Chinese swine farms. Proc. Natl. Acad. Sci. USA 2013, 110, 3435–3440. [Google Scholar] [CrossRef] [PubMed]
- Zhang, Q.Q.; Ying, G.G.; Pan, C.G.; Liu, Y.S.; Zhao, J.L. Comprehensive evaluation of antibiotics emission and fate in the river basins of China: Source analysis, multimedia modeling, and linkage to bacterial resistance. Environ. Sci. Technol. 2015, 49, 6772–6782. [Google Scholar] [CrossRef] [PubMed]
- Smith, R.; Russo, J.; Fiegel, J.; Brogden, N. Antibiotic Delivery Strategies to Treat Skin Infections When Innate Antimicrobial Defense Fails. Antibiotics. 2020, 9, 56. [Google Scholar] [CrossRef]
- Guo, J.; Selby, K.; Boxall, A.B. Assessment of the risks of mixtures of major use veterinary antibiotics in European surface waters. Environ. Sci. Technol. 2016, 50, 8282–8289. [Google Scholar] [CrossRef] [PubMed]
- Corcoran, J.; Winter, M.J.; Tyler, C.R. Pharmaceuticals in the aquatic environment: A critical review of the evidence for health effects in fish. Crit. Rev. Toxicol. 2010, 40, 287–304. [Google Scholar] [CrossRef] [PubMed]
- Jones, O.A.; Lester, J.N.; Voulvoulis, N. Pharmaceuticals: A threat to drinking water? Trends Biotechnol. 2005, 23, 163–167. [Google Scholar] [CrossRef] [PubMed]
- Zhang, G.F.; Liu, X.; Zhang, S.; Pan, B.; Liu, M.L. Ciprofloxacin derivatives and their antibacterial activities. Eur. J. Med. Chem. 2018, 146, 599–612. [Google Scholar] [CrossRef]
- Hassani, A.; Khataee, A.; Karaca, S.; Karaca, C.; Gholami, P. Sonocatalytic degradation of ciprofloxacin using synthesized TiO2 nanoparticles omontmorillonite. Ultrason. Sonochem. 2017, 35, 251–262. [Google Scholar] [CrossRef] [PubMed]
- Salma, A.; Thor E-Boveleth, S.; Schmidt, T.C.; Tuerk, J. Dependence of transformation product formation on pH during photolytic and photocatalytic degradation of ciprofloxacin. J. Hazard. Mater. 2016, 313, 49–59. [Google Scholar] [CrossRef]
- Xiong, J.Q.; Kurade, M.B.; Kim, J.R.; Roh, H.S.; Jeon, B.H. Ciprofloxacin toxicity and its co-metabolic removal by a freshwater microalga Chlamydomonas mexicana. J. Hazard. Mater. 2017, 323, 212–219. [Google Scholar] [CrossRef] [PubMed]
- Luo, K.; Yang, Q.; Pang, Y.; Wang, D.B.; Li, X.; Lei, M.; Huang, Q. Unveiling the mechanism of biochar-activated hydrogen peroxide on the degradation of ciprofloxacin. Chem. Eng. J. 2019, 374, 520–530. [Google Scholar] [CrossRef]
- Li, S.; Zhang, X.; Huan, Y. Zeolitic imidazolate framework-8 derived nanoporous carbon as an effective and recyclable adsorbent for removal of ciprofloxacin antibiotics from water. J. Hazard. Mater. 2017, 321, 711–719. [Google Scholar] [CrossRef]
- Sun, Y.; Yue, Q.; Gao, B.; Gao, Y.; Wang, Y. Adsorption and cosorption of ciprofloxacin and Ni (II) on activated arbon-mechanism study. J. Taiwan Inst. Chem. Eng. 2014, 45, 681–688. [Google Scholar] [CrossRef]
- Nguyen, L.N.; Nghiem, L.D.; Seungdae, O.H. Aerobic biotransformation of the antibiotic ciprofloxacin by Bradyrhizobium sp. isolated from activated sludge. Chemosphere 2018, 211, 600–607. [Google Scholar] [CrossRef] [PubMed]
- Ma, Y.; Li, M.; Wu, M.; Li, Z.; Liu, X. Occurrences and regional distributions of 20 antibiotics in water bodies during groundwater recharge. Sci. Total Environ. 2015, 518, 498–506. [Google Scholar] [CrossRef]
- Miao, X.S.; Bishay, F.; Chen, M.; Metcalfe, C.D. Occurrence of antimicrobials in the final effluents of wastewater treatment plants in Canada. Environ. Sci. Technol. 2004, 38, 3533–3541. [Google Scholar] [CrossRef] [PubMed]
- He, K.; Soares, A.D.; Adejumo, H.; McDiarmid, M.; Squibb, K.; Blaney, L. Detection of a wide variety of human and veterinary fluoroquinolone antibiotics in municipal wastewater and wastewater-impacted surface water. J. Pharm. Biomed. Anal. 2015, 106, 136–143. [Google Scholar] [CrossRef] [PubMed]
- Thomas, S.; Wolfgang, K.; Bernd, J.; Ursula, O. Detection of antibiotic-resistant bacteria and their resistance genes in wastewater, surface water, and drinking water biofilms. FEMS Microbiol. Ecol. 2003, 43, 325–335. [Google Scholar]
- Wei, Z.; Liu, J.; Fang, W.; Guo, W.; Zhu, Y.; Xu, M.Q.; Jiang, Z.; Shangguan, W.F. Photocatalytic hydrogen energy evolution from antibiotic wastewater via metallic bi nanosphere doped g-c3n4: Performances and mechanisms. Catal. Sci. Technol. 2019, 9. [Google Scholar] [CrossRef]
- Wang, H.; Wang, X.J.; Ma, J.X.; Xia, P.; Zhao, J.F. Removal of cadmium (II) from aqueous solution: A comparative study of raw attapulgite clay and a reusable waste–struvite/attapulgite obtained from nutrient-rich wastewater. J. Hazard. Mater. 2017, 329, 66–76. [Google Scholar] [CrossRef] [PubMed]
- Shi, X.; Tian, A.; You, J.H.; Yang, H.; Wang, Y.Z.; Xue, X.X. Degradation of organic dyes by a new heterogeneous Fenton reagent-Fe2GeS4 nanoparticle. J. Hazard. Mater. 2018, 353, 182–189. [Google Scholar] [CrossRef]
- Singh, J.; Sharma, S.; Basu, S. Synthesis of Fe2O3/TiO2 monoliths for the enhanced degradation of industrial dye and pesticide via photo-Fenton catalysis. J. Photochem. Photobiol. A Chem. 2019, 376, 32–42. [Google Scholar] [CrossRef]
- Cheng, M.; Lai, C.; Liu, Y.; Zeng, G.; Huang, D.; Zhang, C.; Qin, L.; Hu, L.; Zhou, C.Y.; Xiong, W.P. Metal-organic frameworks for highly efficient heterogeneous Fenton-like catalysis. Coord. Chem. Rev. 2018, 368, 80–92. [Google Scholar] [CrossRef]
- Smith, A.T.; LaChance, A.M.; Zeng, S.S.; Liu, B.; Sun, L.Y. Synthesis, properties, and applications of graphene oxide/reduced graphene oxide and their nanocomposites. Nano Mater. Sci. 2019, 1, 31–47. [Google Scholar] [CrossRef]
- Wang, X.; Guo, B.; Fu, W.; Yang, H. Triethylenetetramine promoted rGO-Fe3O4 nanocomposites for highly efficient Fenton-like reaction. J. Water Process Eng. 2019, 31, 100814. [Google Scholar] [CrossRef]
- Gu, M.; Farooq, U.; Lu, S.; Zhang, X.; Qiu, Z.; Sui, Q. Degradation of trichloroethylene in aqueous solution by rGO supported nZVI catalyst under several oxic environments. J. Hazard. Mater. 2018, 349, 35–44. [Google Scholar] [CrossRef]
- Trapalis, A.; Todorova, N.; Giannakopoulou, T.; Boukos, N.; Speliotis, T.; Dimotikali, D.; Yu, J. TiO2/graphene composite photocatalysts for NOx removal: A comparison of surfactant-stabilized graphene and reduced graphene oxide. Appl. Catal. B Environ. 2016, 180, 637–647. [Google Scholar] [CrossRef]
- Hung, C.M.; Van Duy, N.; Van Quang, V.; Van Toan, N.; Van Hieu, N.; Hoa, N.D. Facile synthesis of ultrafine rGO/WO3 nanowire nanocomposites for highly sensitive toxic NH3 gas sensors. Mater. Res. Bull. 2020, 110810. [Google Scholar] [CrossRef]
- Vellaichamy, B.; Prakash, P.; Thomas, J. Synthesis of AuNPs@ RGO nanosheets for sustainable catalysis toward nitrophenols reduction. Ultrason. Sonochem. 2018, 48, 362–369. [Google Scholar] [PubMed]
- Xu, X.; Qin, J.; Wei, Y.; Ye, S.; Shen, J.; Yao, Y.; Ding, B.; Shu, Y.R.; He, G.Y.; Chen, H. Heterogeneous activation of persulfate by NiFe2− xCoxO4-RGO for oxidative degradation of bisphenol A in water. Chem. Eng. J. 2019, 365, 259–269. [Google Scholar] [CrossRef]
- MA, J.; Zou, J.; Li, L.L.; Yao, C.; Kong, Y.; Cui, B.Y.; Zhu, R.L.; Li, D.L. Nanocomposite of attapulgite–Ag3PO4 for Orange II photodegradation. Appl. Catal. B Environ. 2014, 144, 36–40. [Google Scholar] [CrossRef]
- Cai, J.; Lei, M.; He, J.R.Z.; Chen, T.; Fei, P. Electrospun composite nanofiber mats of Cellulose@ Organically modified montmorillonite for heavy metal ion removal: Design, characterization, evaluation of absorption performance. Compos. Part A Appl. Sci. Manuf. 2017, 92, 10–16. [Google Scholar] [CrossRef]
- Ahmad, T.; Guria, C.; Mandal, A. Synthesis, characterization and performance studies of mixed-matrix poly (vinyl chloride)-bentonite ultrafiltration membrane for the treatment of saline oily wastewater. Process Saf. Environ. Prot. 2018, 116, 703–717. [Google Scholar] [CrossRef]
- Tang, J.; Mu, B.; Zong, L.; Wang, A. From waste hot-pot oil as carbon precursor to development of recyclable attapulgite/carbon composites for wastewater treatment. J. Environ. Sci. 2019, 75, 346–358. [Google Scholar] [CrossRef] [PubMed]
- Takase, M.; Pappoe, A.N.M.; Afrifa, E.A.; Miyittah, M. High performance heterogeneous catalyst for biodiesel production from non-edible oil. Renew. Energy Focus 2018, 25, 24–30. [Google Scholar] [CrossRef]
- Zhu, Z.; Fan, W.Q.; Liu, Z.; Dong, H.J.; Yan, Y.S.; Huo, P.W. Construction of an attapulgite intercalated mesoporous g-C3N4 with enhanced photocatalytic activity for antibiotic degradation. J. Photochem. Photobiol. A Chem. 2018, 359, 102–110. [Google Scholar]
- Ren, B.; Xu, Y.L.; Zhang, C.H.; Zhang, L.H.; Zhao, J.P.; Liu, Z.F. Degradation of methylene blue by a heterogeneous Fenton reaction using an octahedron-like, high-graphitization, carbon-doped Fe2O3 catalyst. J. Taiwan Inst. Chem. Eng. 2019, 97, 170–177. [Google Scholar] [CrossRef]
- Vu, A.-T.; Xuan, T.N.; Lee, C.-H. Preparation of mesoporous Fe2O3· SiO2 composite from rice husk as an efficient heterogeneous Fenton-like catalyst for degradation of organic dyes. J. Water Process Eng. 2019, 28, 169–180. [Google Scholar] [CrossRef]
- Liang, H.; Zhou, S.; Chen, Y.T.; Zhou, F.; Yan, C.J. Diatomite coated with Fe2O3 as an efficient heterogeneous catalyst for degradation of organic pollutant. J. Taiwan Inst. Chem. Eng. 2015, 49, 105–112. [Google Scholar] [CrossRef]
- Guo, S.; Zhang, G.; Wang, J. Photo-Fenton degradation of rhodamine B using Fe2O3–Kaolin as heterogeneous catalyst: Characterization, process optimization and mechanism. J. Colloid Interface Sci. 2014, 433, 1–8. [Google Scholar] [CrossRef] [PubMed]
- Zhang, T.; Nan, Z.-R. Decolorization of Methylene Blue and Congo Red by attapulgite-based heterogeneous Fenton catalyst. Desalin. Water Treat. 2016, 57, 4633–4640. [Google Scholar] [CrossRef]
- Zhang, T.; Chen, M.; Yu, S. Decolorization of methylene blue by an attapulgite-based heterogeneous Fenton catalyst: Process optimization. Desalin. Water Treat. 2017, 63, 275–282. [Google Scholar] [CrossRef]
- Ting, Z. Sodium dodecyl benzene sulfonate (SDBS) degradation by heterogeneous Fenton-like reactions on two types of catalysts: Experimental and comparison. Res. J. Chem. Environ. 2013, 17, 32–39. [Google Scholar]
- Shang, E.; Li, Y.; Niu, J.; Li, S.; Zhang, G.; Wang, X. Photocatalytic degradation of perfluorooctanoic acid over Pb-BiFeO3/rGO catalyst: Kinetics and mechanism. Chemosphere 2018, 211, 34–43. [Google Scholar] [CrossRef]
- Li, W.; Yu, R.; Li, M.; Guo, N.; Yu, H.; Yu, Y. Photocatalytical degradation of diclofenac by Ag-BiOI-rGO: Kinetics, mechanisms and pathways. Chemosphere 2019, 218, 966–973. [Google Scholar] [CrossRef]
- Zhao, Y.; Kuai, L.; Liu, Y.G.; Wang, P.P.; Arandiyan, H.; Cao, S.F.; Zhang, J.; Li, F.Y.; Wang, Q.; Geng, B.Y.; et al. Well-constructed single-layer molybdenum disulfide nanorose cross-linked by three dimensional-reduced graphene oxide network for superior water splitting and lithium storage property. Sci. Rep. 2015, 5, 8722. [Google Scholar] [CrossRef]
- Li, X.; Wang, G.H.; Yang, H.F.; Zhang, Z.R. Effect of TiO2 on the Raman scattering effect of α-Fe2O3 nanoparticles. J. Light Scatt. 2004, 16, 15–20. [Google Scholar]
- Boucherit, N.; Hugot-LE Goff, A.; Joire, S. Raman studies of corrosion films grown on Fe and Fe-6Mo in pitting conditions. Corros. Sci. 1991, 32, 497–507. [Google Scholar] [CrossRef]
- Tiwari, J.N.; Mahesh, K.; Le, N.H.; Kemp, K.C.; Timilsina, R.; Tiwari, R.N.; Kim, K.S. Reduced graphene oxide-based hydrogels for the efficient capture of dye pollutants from aqueous solutions. Carbon 2013, 56, 173–182. [Google Scholar] [CrossRef]
- Cheng, G.; Liu, Y.L.; Wang, Z.G.; Zhang, J.L.; Sun, D.H.; Ni, J.Z. The GO/rGO-Fe3O4 composites with good water-dispersibility and fast magnetic response for effective immobilization and enrichment of biomolecules. J. Mater. Chem. 2012, 22, 21998–22004. [Google Scholar] [CrossRef]
- Li, X.; Zhang, Z.; Yao, C.; Lu, X.; Zhao, X.; Ni, C. Attapulgite-CeO2/MoS2 ternary nanocomposite for photocatalytic oxidative desulfurization. Appl. Surf. Sci. 2016, 364, 589–596. [Google Scholar] [CrossRef]
- Cheng, W.; Ding, C.; Sun, Y.; Wang, X. Fabrication of fungus/attapulgite composites and their removal of U (VI) from aqueous solution. Chem. Eng. J. 2015, 269, 1–8. [Google Scholar] [CrossRef]
- Li, X.; Zhu, W.; Lu, X.; Zuo, S.; Yao, C.; Ni, C. Integrated nanostructures of CeO2/attapulgite/g-C3N4 as efficient catalyst for photocatalytic desulfurization: Mechanism, kinetics and influencing factors. Chem. Eng. J. 2017, 326, 87–98. [Google Scholar] [CrossRef]
- Zhang, T.; Liu, J.; Chen, M.; Wang, Y. Preparation of heterogeneous Fenton catalyst Fe/organo-attapulgite and its performance in sodium humate degradation. Desalin. Water Treat. 2018, 107, 91–99. [Google Scholar] [CrossRef]
- Kurt, B.Z.; Durmus, Z.; Sevgi, E. In situ reduction of graphene oxide by different plant extracts as a green catalyst for selective hydrogenation of nitroarenes. Int. J. Hydrog. Energy. 2019, 44, 26322–26337. [Google Scholar] [CrossRef]
- Yan, Y.; Yan, Y.; Sun, S.; Song, Y.; Yan, X.; Guan, W.; Liu, X.; Shi, W. Microwave-assisted in situ synthesis of reduced graphene oxide-BiVO4 composite photocatalysts and their enhanced photocatalytic performance for the degradation of ciprofloxacin. J. Hazard. Mater. 2013, 250, 106–114. [Google Scholar] [CrossRef]
- Stankovich, S.; Dikin, D.A.; Piner, R.D.; Kohlhaas, K.A.; Kleinhammes, A.; Jia, Y.; Wu, Y.; Nguyen, S.T.; Ruoff, R.S. Synthesis of graphene-based nanosheets via chemical reduction of exfoliated graphite oxide. Carbon 2007, 45, 1558–1565. [Google Scholar] [CrossRef]
- Thang, G.; Jiang, Z.G.; Li, X.; Zhang, H.B.; Dasari, A.; Yu, Z.Z. Three dimensional graphene aerogels and their electrically conductive composites. Carbon 2014, 77, 592–599. [Google Scholar] [CrossRef]
- Li, J.-S.; Wang, Y.; Liu, C.H.; Li, S.L.; Wang, Y.G.; Dong, L.Z.; Dai, Z.H.; Li, Y.F.; Lan, Y.Q. Coupled molybdenum carbide and reduced graphene oxide electrocatalysts for efficient hydrogen evolution. Nat. Commun. 2016, 7, 11204. [Google Scholar] [CrossRef] [PubMed]
- Xu, A.; He, P.; Huang, T.; Li, J.; Hu, X.; Xiang, P.; Chen, D.; Yang, S.; Wang, G.; Ding, G. Selective supramolecular interaction of ethylenediamine functionalized graphene quantum dots: Ultra-sensitive photoluminescence detection for nickel ion in vitro. Synth. Met. 2018, 244, 106–112. [Google Scholar] [CrossRef]
- Ortiz, B.; Saby, C.; Champagne, G.Y.; Bélanger, D. Electrochemical modification of a carbon electrode using aromatic diazonium salts. 2. Electrochemistry of 4-nitrophenyl modified glassy carbon electrodes in aqueous media. J. Electroanal. Chem. 1998, 455, 75–81. [Google Scholar] [CrossRef]
- Ling, L.-L.; Liu, W.J.; Zhang, S.; Jiang, H. Magnesium oxide embedded nitrogen self-doped biochar composites: Fast and high-efficiency adsorption of heavy metals in an aqueous solution. Environ. Sci. Technol. 2017, 51, 10081–10089. [Google Scholar] [CrossRef] [PubMed]
- Dedryvere, R.; Maccario, M.; Croguennec, L.; Cras, F.L.; Gonbeau, D. X-Ray Photoelectron Spectroscopy Investigations of Carbon-Coated Li x FePO4 Materials. Chem. Mater. 2008, 20, 7164–7170. [Google Scholar] [CrossRef]
- YamashitaA, T.; Hayes, P. Analysis of XPS spectra of Fe2+ and Fe3+ ions in oxide materials. Appl. Surf. Sci. 2008, 254, 2441–2449. [Google Scholar] [CrossRef]
- Liming, D.; Jingping, W.; Yanhong, L. Study on Fluorescence Characteristics of Ciprofloxacin Based on Charge Transfer Reaction. Chin. J. Anal. Chem. 2002, 30, 658–660. [Google Scholar]
- Inagawa, H.; Ishizawa, K.; Mitsuhashi, T.; Shimizu, M.; Adachi, J.; Nishikawa, R.; Matsutani, M.; Hirose, T. Giant invasive pituitary adenoma extending into the sphenoid sinus and nasopharynx. Acta Cytol. 2005, 49, 452–456. [Google Scholar] [CrossRef]
- Li, N.; Zhang, J.; Yu, T.; Zhao, J.; Jian, Z.; Wei, Z. Precisely controlled fabrication of magnetic 3D γ-Fe2O3@ ZnO core-shell photocatalyst with enhanced activity: Ciprofloxacin degradation and mechanism insight. Chem. Eng. J. 2017, 308, 377–385. [Google Scholar] [CrossRef]
- Giri, A.S.; Golder, A.K. Ciprofloxacin degradation from aqueous solution by Fenton oxidation: Reaction kinetics and degradation mechanisms. RSC Adv. 2014, 4, 6738–6745. [Google Scholar] [CrossRef]
- Wajahat, R.; Yasar, A.; Khan, A.M.; Tabinda, A.B.; Bhatti, S.G. Ozonation and photo-driven oxidation of ciprofloxacin in pharmaceutical wastewater: Degradation kinetics and energy requirements. Pol. J. Environ. Stud. 2019, 28, 1–6. [Google Scholar] [CrossRef]
- Wang, Y.; Shen, C.C.; Zhang, M.M.; Zhang, B.T.; Yu, Y.G. The electrochemical degradation of ciprofloxacin using a SnO2-Sb/Ti anode: Influencing factors, reaction pathways and energy demand. Chem. Eng. J. 2016, 296, 79–89. [Google Scholar] [CrossRef]
- Chen, M.; Yao, J.; Huang, Y.; Gong, H.; Chu, W. Enhanced photocatalytic degradation of ciprofloxacin over Bi2O3/(BiO) 2CO3 heterojunctions: Efficiency, kinetics, pathways, mechanisms and toxicity evaluation. Chem. Eng. J. 2018, 334, 453–461. [Google Scholar] [CrossRef]
- Zhang, X.X.; Li, R.; Jia, M.; Wang, S.; Huang, Y.; Chen, C.C. Degradation of ciprofloxacin in aqueous bismuth oxybromide (BiOBr) suspensions under visible light irradiation: A direct hole oxidation pathway. Chem. Eng. J. 2015, 274, 290–297. [Google Scholar] [CrossRef]
- Dewitie, B.; Dewulf, J.; Demeestere, K.; Van De Vyvere, V.; De Wispelaere, P.; Van Langenhove, H. Ozonation of ciprofloxacin in water: HRMS identification of reaction products and pathways. Environ. Sci. Technol. 2008, 42, 4889–4895. [Google Scholar] [CrossRef]
- An, T.; Yang, H.; Li, G.Y.; Song, W.H.; Nie, X.P. Kinetics and mechanism of advanced oxidation processes (AOPs) in degradation of ciprofloxacin in water. Appl. Catal. B Environ. 2010, 94, 288–294. [Google Scholar] [CrossRef]
- Wei, H.; Yang, H.; Li, K.B.; Ma, H.; Zhang, Y.H.; Li, W.Y. Effect and path analysis of CCl4 enhanced ciprofloxacin degradation by ultrasound. J. Chem. Eng. Chin. Univ. 2015, 29, 703–708. [Google Scholar]
- Chen, J.; Yao, B.; Li, C.; Shi, G.Q. An improved Hummers method for eco-friendly synthesis of graphene oxide. Carbon 2013, 64, 225–229. [Google Scholar] [CrossRef]
- Botas, C.; Álvarez, P.; Blanco, P.; Granda, M.; Blanco, C.; Santamaría, R.; Romasanta, L.J.; Verdejo, R.; López-Manchado, M.A.; Menéndez, R. Graphene materials with different structures prepared from the same graphite by the Hummers and Brodie methods. Carbon 2013, 65, 156–164. [Google Scholar] [CrossRef]
- Shahriary, L.; Athwalf, A.A. Graphene oxide synthesized by using modified hummers approach. Int. J. Renew. Energy Environ. Eng. 2014, 2, 58–63. [Google Scholar]
© 2020 by the authors. Licensee MDPI, Basel, Switzerland. This article is an open access article distributed under the terms and conditions of the Creative Commons Attribution (CC BY) license (http://creativecommons.org/licenses/by/4.0/).