Non-Thermal Plasma for Process and Energy Intensification in Dry Reforming of Methane
Abstract
1. Introduction
2. State of the Art in DRM
2.1. Conventional Thermo-Catalytic Methane Dry Reforming
2.2. Application of Non-Thermal Plasma and Catalysis for DRM
2.3. Dissociation Mechanisms in Different Plasma Reactors
2.4. Configurations of Plasma Reactors
3. Characteristics of Plasma Reactors
3.1. Main Efficiency Parameters
3.2. The Effect of Reduced Electric Field on the DRM Reactor Choice
4. Dielectric Barrier Discharge Reactors
4.1. AC Mode
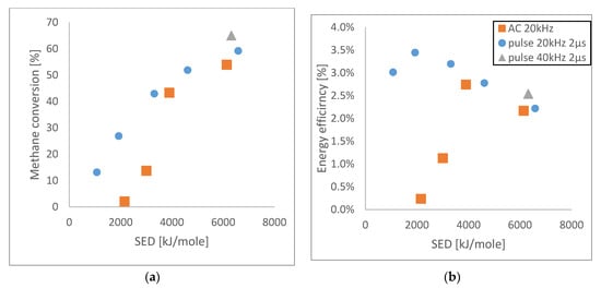
4.2. Pulsed Discharge Mode
5. Effect of Ferroelectric Materials on the Plasma Discharge
6. Plasma–Catalysis Synergy
6.1. In-Plasma Catalysis Mode
6.2. Post-Plasma Catalysis Mode
7. Time-Resolved Characterization of Plasma Intermediates
7.1. Optical Emission Spectroscopy (OES)
7.1.1. Excitation and Electron Temperatures
7.1.2. Rotational Temperature
7.1.3. Vibrational Temperature
7.2. FTIR-Spectroscopy
7.3. Tunable Diode Laser Absorption Spectroscopy (TDLAS)
8. Summary and Outlook
Author Contributions
Funding
Acknowledgments
Conflicts of Interest
List of Abbreviations:
| AC | alternate current |
| APPJ | atmospheric pressure plasma jet reactor |
| DBD | dielectric barrier discharge |
| DAS | direct absorption spectroscopy |
| DRM | dry reforming of methane |
| EE | energy efficiency |
| FPA | focal planar array |
| FTIR spectroscopy | Fourier Transform Infrared Spectroscopy |
| GA | gliding arc |
| GHSV | gas hourly space velocity, h–1 |
| LTE | local thermodynamic equilibrium |
| NTP-plasma | non-thermal plasma |
| OES | optical emission spectroscopy |
| PZT | lead zirconate titanate |
| PPC | post-plasma catalysis |
| RF | radio frequency |
| SED | specific energy density |
| SPS | second positive system |
| TDLAS | tunable diode laser absorption spectroscopy |
| UV | ultraviolet |
| WMS | wavelength modulation spectroscopy |
References
- Faramawy, S.; Zaki, T.; Sakr, A.A.-E. Natural gas origin, composition, and processing: A review. J. Nat. Gas Sci. Eng. 2016, 34, 34–54. [Google Scholar] [CrossRef]
- Atsonios, K.; Panopoulos, K.D.; Kakaras, E. Investigation of technical and economic aspects for methanol production through CO2 hydrogenation. Int. J. Hydrog. Energy 2016, 41, 2202–2214. [Google Scholar] [CrossRef]
- Ashcroft, A.T.; Cheetham, A.K.; Foord, J.S.; Green, M.L.H.; Grey, C.P.; Murrell, A.J.; Vernon, P.D.F. Selective oxidation of methane to synthesis gas using transition metal catalysts. Nature 1990, 344, 319–321. [Google Scholar] [CrossRef]
- Ashcroft, A.T.; Cheetham, A.K.; Green, M.L.H.; Vernon, P.D.F. Partial oxidation of methane to synthesis gas using carbon dioxide. Nature 1991, 352, 225–226. [Google Scholar] [CrossRef]
- Maitra, A. Critical performance evaluation of catalysts and mechanistic implications for oxidative coupling of methane. Appl. Catal. A Gen. 1993, 104, 11–59. [Google Scholar] [CrossRef]
- de Vekki, A.V.; Marakaev, S.T. Catalytic partial oxidation of methane to formaldehyde. Russ. J. Appl. Chem. 2009, 82, 521–536. [Google Scholar] [CrossRef]
- Peter, A.; Mihaly-Cozmuta, A.; Nicula, C.; Mihaly-Cozmuta, L.; Jastrzębska, A.; Olszyna, A.; Baia, L. UV Light-Assisted Degradation of Methyl Orange, Methylene Blue, Phenol, Salicylic Acid, and Rhodamine B: Photolysis Versus Photocatalyis. Water Air Soil Pollut. 2017, 228, 41. [Google Scholar] [CrossRef]
- Tuller, H.L. Solar to fuels conversion technologies: A perspective. Mater. Renew. Sustain. Energy 2017, 6, 1–16. [Google Scholar] [CrossRef]
- Song, H.; Meng, X.; Wang, Z.J.; Liu, H.; Ye, J. Solar-Energy-Mediated Methane Conversion. Joule 2019, 3, 1606–1636. [Google Scholar] [CrossRef]
- Wang, L.; Yi, Y.; Wu, C.; Guo, H.; Tu, X. One-Step Reforming of CO2 and CH4 into High-Value Liquid Chemicals and Fuels at Room Temperature by Plasma-Driven Catalysis. Angew. Chem. Int. Ed. 2017, 56, 13679–13683. [Google Scholar] [CrossRef]
- Sentek, J.; Krawczyk, K.; Młotek, M.; Kalczewska, M.; Kroker, T.; Kolb, T.; Schenk, A.; Gericke, K.-H.; Schmidt-Szałowski, K. Plasma-catalytic methane conversion with carbon dioxide in dielectric barrier discharges. Appl. Catal. B Environ. 2010, 94, 19–26. [Google Scholar] [CrossRef]
- Chung, W.C.; Chang, M.B. Dry reforming of methane by combined spark discharge with a ferroelectric. Energy Convers. Manag. 2016, 124, 305–314. [Google Scholar] [CrossRef]
- Puliyalil, H.; Jurković, D.L.; Dasireddy, V.D.B.C.; Likozar, B. A review of plasma-assisted catalytic conversion of gaseous carbon dioxide and methane into value-added platform chemicals and fuels. RSC Adv. 2018, 8, 27481–27508. [Google Scholar] [CrossRef]
- Shao, T.; Wang, R.; Zhang, C.; Yan, P. Atmospheric-pressure pulsed discharges and plasmas: Mechanism, characteristics and applications. High Volt. 2018, 3, 14–20. [Google Scholar] [CrossRef]
- Lavoie, J.-M. Review on dry reforming of methane, a potentially more environmentally-friendly approach to the increasing natural gas exploitation. Front. Chem. 2014, 2, 81. [Google Scholar] [CrossRef]
- Arman, A.; Hagos, F.Y.; Abdullah, A.A.; Mamat, R.; Aziz, A.R.A.; Cheng, C.K. Syngas production through steam and CO2 reforming of methane over Ni-based catalyst—A Review. IOP Conf. Ser. Mater. Sci. Eng. 2020, 736, 042032. [Google Scholar] [CrossRef]
- Abdullah, B.; Abd Ghani, N.A.; Vo, D.V.N. Recent advances in dry reforming of methane over Ni-based catalysts. J. Clean. Prod. 2017, 162, 170–185. [Google Scholar] [CrossRef]
- Argyle, M.; Bartholomew, C. Heterogeneous Catalyst Deactivation and Regeneration: A Review. Catalysts 2015, 5, 145–269. [Google Scholar] [CrossRef]
- Usman, M.; Wan Daud, W.M.A.; Abbas, H.F. Dry reforming of methane: Influence of process parameters—A review. Renew. Sustain. Energy Rev. 2015, 45, 710–744. [Google Scholar] [CrossRef]
- Jang, W.J.; Shim, J.O.; Kim, H.M.; Yoo, S.Y.; Roh, H.S. A review on dry reforming of methane in aspect of catalytic properties. Catal. Today 2019, 324, 15–26. [Google Scholar] [CrossRef]
- Aramouni, N.A.K.; Touma, J.G.; Tarboush, B.A.; Zeaiter, J.; Ahmad, M.N. Catalyst design for dry reforming of methane: Analysis review. Renew. Sustain. Energy Rev. 2018, 82, 2570–2585. [Google Scholar] [CrossRef]
- Abdulrasheed, A.; Jalil, A.A.; Gambo, Y.; Ibrahim, M.; Hambali, H.U.; Shahul Hamid, M.Y. A review on catalyst development for dry reforming of methane to syngas: Recent advances. Renew. Sustain. Energy Rev. 2019, 108, 175–193. [Google Scholar] [CrossRef]
- Pakhare, D.; Spivey, J. A review of dry (CO2) reforming of methane over noble metal catalysts. Chem. Soc. Rev. 2014, 43, 7813–7837. [Google Scholar] [CrossRef] [PubMed]
- da Fonseca, R.O.; Rabelo-Neto, R.C.; Simões, R.C.C.; Mattos, L.V.; Noronha, F.B. Pt supported on doped CeO2/Al2O3 as catalyst for dry reforming of methane. Int. J. Hydrog. Energy 2020, 45, 5182–5191. [Google Scholar] [CrossRef]
- Zhang, R.J.; Xia, G.F.; Li, M.F.; Wu, Y.; Nie, H.; Li, D.D. Effect of support on catalytic performance of Ni-based catayst in methane dry reforming. J. Fuel Chem. Technol. 2015, 43, 1359–1365. [Google Scholar] [CrossRef]
- Omoregbe, O.; Danh, H.T.; Abidin, S.Z.; Setiabudi, H.D.; Abdullah, B.; Vu, K.B.; Vo, D.V.N. Influence of Lanthanide Promoters on Ni/SBA-15 Catalysts for Syngas Production by Methane Dry Reforming. Procedia Eng. 2016, 148, 1388–1395. [Google Scholar] [CrossRef]
- Rahbar Shamskar, F.; Meshkani, F.; Rezaei, M. Preparation and characterization of ultrasound-assisted co-precipitated nanocrystalline La-, Ce-, Zr –promoted Ni-Al2O3 catalysts for dry reforming reaction. J. CO2 Util. 2017, 22, 124–134. [Google Scholar] [CrossRef]
- Yao, L.; Galvez, M.E.; Hu, C.; Da Costa, P. Mo-promoted Ni/Al2O3 catalyst for dry reforming of methane. Int. J. Hydrog. Energy 2017, 42, 23500–23507. [Google Scholar] [CrossRef]
- Zhang, S.; Shi, C.; Chen, B.; Zhang, Y.; Zhu, Y.; Qiu, J.; Au, C. Catalytic role of β-Mo2C in DRM catalysts that contain Ni and Mo. Catal. Today 2015, 258, 676–683. [Google Scholar] [CrossRef]
- Abdollahifar, M.; Haghighi, M.; Babaluo, A.A.; Talkhoncheh, S.K. Sono-synthesis and characterization of bimetallic Ni–Co/Al2O3–MgO nanocatalyst: Effects of metal content on catalytic properties and activity for hydrogen production via CO2 reforming of CH4. Ultrason. Sonochem. 2016, 31, 173–183. [Google Scholar] [CrossRef]
- Ma, Q.; Sun, J.; Gao, X.; Zhang, J.; Zhao, T.; Yoneyama, Y.; Tsubaki, N. Ordered mesoporous alumina-supported bimetallic Pd–Ni catalysts for methane dry reforming reaction. Catal. Sci. Technol. 2016, 6, 6542–6550. [Google Scholar] [CrossRef]
- Fu, X.; Su, H.; Yin, W.; Huang, Y.; Gu, X. Bimetallic molybdenum nitride Co3Mo3N: A new promising catalyst for CO2 reforming of methane. Catal. Sci. Technol. 2017, 7, 1671–1678. [Google Scholar] [CrossRef]
- Ray, K.; Sengupta, S.; Deo, G. Reforming and cracking of CH4 over Al2O3 supported Ni, Ni-Fe and Ni-Co catalysts. Fuel Process. Technol. 2017, 156, 195–203. [Google Scholar] [CrossRef]
- Farooqi, A.S.; Al-Swai, B.M.; Binti Ruslan, F.H.; Mohd Zabidi, N.A.; Saidur, R.; Faua’Ad Syed Muhammad, S.A.; Abdullah, B. Syngas production via dry reforming of methane over Nibased catalysts. IOP Conf. Ser. Mater. Sci. Eng. 2020, 736, 042007. [Google Scholar] [CrossRef]
- Habibi, N.; Wang, Y.; Arandiyan, H.; Rezaei, M. Biogas Reforming for Hydrogen Production: A New Path to High-Performance Nickel Catalysts Supported on Magnesium Aluminate Spinel. ChemCatChem 2016, 8, 3600–3610. [Google Scholar] [CrossRef]
- Akbari, E.; SM, A.; Rezaei, M. Synthesis gas production over highly active and stable nanostructured Ni-MgO-Al2O3 catalysts in dry reforming of methane: Effects of Ni contents. Fuel 2017, 194, 171–179. [Google Scholar] [CrossRef]
- Lanzafame, P.; Perathoner, S.; Centi, G.; Gross, S.; Hensen, E.J.M. Grand challenges for catalysis in the Science and Technology Roadmap on Catalysis for Europe: Moving ahead for a sustainable future. Catal. Sci. Technol. 2017, 7, 5182–5194. [Google Scholar] [CrossRef]
- Capezzuto, P.; Cramarossa, F.; D’Agostino, R.; Molinari, E. Contribution of vibrational excitation to the rate of carbon dioxide dissociation in electrical discharges. J. Phys. Chem. 1976, 80, 882–888. [Google Scholar] [CrossRef]
- Czernichowski, A. Electrically assisted conversion of carbon dioxide into synthesis gas. In Greenhouse Gas Control Technologies; Eliasson, B., Riemer, P., Wokaun, A., Eds.; Elsevier: Amsterdam, Switzerland, 1999; pp. 385–443. ISBN 9780080553030. [Google Scholar]
- Grosu, F.P.; Bologa, A.M.; Paur, H.R.; Bologa, M.K.; Motorin, O.V. Generalization of the Townsend current-voltage characteristics of a corona discharge. Surf. Eng. Appl. Electrochem. 2014, 50, 306–310. [Google Scholar] [CrossRef]
- Chung, W.-C.; Chang, M.-B. Review of catalysis and plasma performance on dry reforming of CH4 and possible synergistic effects. Renew. Sustain. Energy Rev. 2016, 62, 13–31. [Google Scholar] [CrossRef]
- Yang, Y. Methane conversion and reforming by nonthermal plasma on pins. Ind. Eng. Chem. Res. 2002, 41, 5918–5926. [Google Scholar] [CrossRef]
- Li, M.W.; Tian, Y.L.; Xu, G.H. Characteristics of carbon dioxide reforming of methane via alternating current (AC) corona plasma reactions. Energy Fuels 2007, 21, 2335–2339. [Google Scholar] [CrossRef]
- Seyed-Matin, N.; Jalili, A.H.; Jenab, M.H.; Zekordi, S.M.; Afzali, A.; Rasouli, C.; Zamaniyan, A. DC-pulsed plasma for dry reforming of methane to synthesis gas. Plasma Chem. Plasma Process. 2010, 30, 333–347. [Google Scholar] [CrossRef]
- Aziznia, A.; Bozorgzadeh, H.R.; Seyed-Matin, N.; Baghalha, M.; Mohamadalizadeh, A. Comparison of dry reforming of methane in low temperature hybrid plasma-catalytic corona with thermal catalytic reactor over Ni/γ-Al2O3. J. Nat. Gas Chem. 2012, 21, 466–475. [Google Scholar] [CrossRef]
- Kogelschatz, U. Dielectric-barrier Discharges: Their History, Discharge Physics, and Industrial Applications. Plasma Chem. Plasma Process. 2003, 23, 1–46. [Google Scholar] [CrossRef]
- Zou, J.J.; Zhang, Y.P.; Liu, C.J.; Li, Y.; Eliasson, B. Starch-enhanced Synthesis of Oxygenates from Methane and Carbon Dioxide using Dielectric-barrier Discharges. Plasma Chem. Plasma Process. 2003, 23, 69–82. [Google Scholar] [CrossRef]
- Wang, Q.; Yan, B.-H.; Jin, Y.; Cheng, Y. Dry Reforming of Methane in a Dielectric Barrier Discharge Reactor with Ni/Al2O3 Catalyst: Interaction of Catalyst and Plasma. Energy Fuels 2009, 23, 4196–4201. [Google Scholar] [CrossRef]
- Morgan, W.L. A critical evaluation of low-energy electron impact cross sections for plasma processing modeling. II: Cl4, SiH4, and CH4. Plasma Chem. Plasma Process. 1992, 12, 477–493. [Google Scholar] [CrossRef]
- McConkey, J.W.; Malone, C.P.; Johnson, P.V.; Winstead, C.; McKoy, V.; Kanik, I. Electron impact dissociation of oxygen-containing molecules-A critical review. Phys. Rep. 2008, 466, 1–103. [Google Scholar] [CrossRef]
- Leclair, L.R.; Mc Conkey, J.W. On O(1S) and CO(a 3 Pi) production from electron impact dissociation of CO2. J. Phys. B At. Mol. Opt. Phys. 1994, 27, 4039–4055. [Google Scholar] [CrossRef]
- Kozàk, T.; Bogaerts, A. Splitting of CO2 by vibrational excitation in non-equilibrium plasmas: A reaction kinetics model. Plasma Sources Sci. Technol. 2014, 23, 045004. [Google Scholar] [CrossRef]
- Yao, S.L.; Okumoto, M.; Nakayama, A.; Suzuki, E. Plasma Reforming and Coupling of Methane with Carbon Dioxide. Energy Fuels 2001, 15, 1295–1299. [Google Scholar] [CrossRef]
- Li, X.-S.; Zhu, B.; Shi, C.; Xu, Y.; Zhu, A.-M. Carbon dioxide reforming of methane in kilohertz spark-discharge plasma at atmospheric pressure. AIChE J. 2011, 57, 2854–2860. [Google Scholar] [CrossRef]
- Chung, W.C.; Lee, Y.E.; Chang, M.B. Syngas production via plasma photocatalytic reforming of methane with carbon dioxide. Int. J. Hydrog. Energy 2019, 44, 19153–19161. [Google Scholar] [CrossRef]
- Tu, X.; Whitehead, J.C. Plasma-catalytic dry reforming of methane in an atmospheric dielectric barrier discharge: Understanding the synergistic effect at low temperature. Appl. Catal. B Environ. 2012, 125, 439–448. [Google Scholar] [CrossRef]
- Xu, C.; Tu, X. Plasma-assisted methane conversion in an atmospheric pressure dielectric barrier discharge reactor. J. Energy Chem. 2013, 22, 420–425. [Google Scholar] [CrossRef]
- Khoja, A.H.; Tahir, M.; Amin, N.A.S. Dry reforming of methane using different dielectric materials and DBD plasma reactor configurations. Energy Convers. Manag. 2017, 144, 262–274. [Google Scholar] [CrossRef]
- Tu, X.; Whitehead, J.C. Plasma dry reforming of methane in an atmospheric pressure AC gliding arc discharge: Co-generation of syngas and carbon nanomaterials. Int. J. Hydrog. Energy 2014, 39, 9658–9669. [Google Scholar] [CrossRef]
- Mao, S.; Tan, Z.; Zhang, L.; Huang, Q. Plasma-assisted biogas reforming to syngas at room temperature condition. J. Energy Inst. 2018, 91, 172–183. [Google Scholar] [CrossRef]
- Khoja, A.H.; Tahir, M.; Amin, N.A.S. Recent developments in non-thermal catalytic DBD plasma reactor for dry reforming of methane. Energy Convers. Manag. 2019, 183, 529–560. [Google Scholar] [CrossRef]
- Snoeckx, R.; Bogaerts, A. Plasma technology—A novel solution for CO2 conversion? Chem. Soc. Rev. 2017, 46, 5805–5863. [Google Scholar] [CrossRef] [PubMed]
- Takaki, K.; Chang, J.; Kostov, K.G. Atmospheric pressure of nitrogen plasmas in a ferroelectric packed bed barrier discharge reactor. Part I. Modeling. IEEE Trans. Dielectr. Electr. Insul. 2004, 11, 481–490. [Google Scholar] [CrossRef]
- Kanazawa, S.; Akamine, S.; Hirakawa, H.; Nomoto, Y. Decomposition of Toluene by a Dielectric Barrier Discharge Reactor with a Catalytic Coating Electrode. Fluid Flow Mach. 2000, 107, 65–74. [Google Scholar]
- Butterworth, T.; Allen, R.W.K. Plasma-catalyst interaction studied in a single pellet DBD reactor: Dielectric constant effect on plasma dynamics. Plasma Sources Sci. Technol. 2017, 26, 065008. [Google Scholar] [CrossRef]
- Mehta, P.; Barboun, P.; Go, D.B.; Hicks, J.C.; Schneider, W.F. Catalysis Enabled by Plasma Activation of Strong Chemical Bonds: A Review. ACS Energy Lett. 2019, 4, 1115–1133. [Google Scholar] [CrossRef]
- Peeters, F.J.J.; Yang, R.; van de Sanden, M.C.M. The relation between the production efficiency of nitrogen atoms and the electrical characteristics of a dielectric barrier discharge. Plasma Sources Sci. Technol. 2015, 24, 045006. [Google Scholar] [CrossRef]
- Hrycak, B.; Czylkowski, D.; Jasiński, M.; Dors, M.; Mizeraczyk, J. Hydrogen Production via Synthetic Biogas Reforming in Atmospheric-Pressure Microwave (915 MHz) Plasma at High Gas-Flow Output. Plasma Chem. Plasma Process. 2019, 39, 695–711. [Google Scholar] [CrossRef]
- Czylkowski, D.; Hrycak, B.; Jasiński, M.; Dors, M.; Mizeraczyk, J. Microwave plasma-based method of hydrogen production via combined steam reforming of methane. Energy 2016, 113, 653–661. [Google Scholar] [CrossRef]
- Czylkowski, D.; Hrycak, B.; Jasiński, M.; Dors, M.; Mizeraczyk, J. Atmospheric pressure low-power microwave microplasma source for deactivation of microorganisms. Eur. Phys. J. Appl. Phys. 2013, 61. [Google Scholar] [CrossRef]
- Mizeraczyk, J.; Urashima, K.; Jasinski, M.; Dors, M. Hydrogen production from gaseous fuels by plasmas—A review. Int. J. Plasma Environ. Sci. Technol. 2014, 8, 89–97. [Google Scholar]
- Homola, T.; Pongrác, B.; Zemánek, M.; Šimek, M. Efficiency of Ozone Production in Coplanar Dielectric Barrier Discharge. Plasma Chem. Plasma Process. 2019, 39, 1227–1242. [Google Scholar] [CrossRef]
- Corke, T.C.; Post, M.L.; Orlov, D.M. Single dielectric barrier discharge plasma enhanced aerodynamics: Physics, modeling and applications. Exp. Fluids 2009, 46, 1–26. [Google Scholar] [CrossRef]
- Goujard, V.; Tatibouët, J.-M.; Batiot-Dupeyrat, C. Use of a non-thermal plasma for the production of synthesis gas from biogas. Appl. Catal. A Gen. 2009, 353, 228–235. [Google Scholar] [CrossRef]
- Li, Y.; Liu, C.-J.; Eliasson, B.; Wang, Y. Synthesis of Oxygenates and Higher Hydrocarbons Directly from Methane and Carbon Dioxide Using Dielectric-Barrier Discharges: Product Distribution. Energy Fuels 2002, 16, 864–870. [Google Scholar] [CrossRef]
- Wang, Q.; Yan, B.-H.; Jin, Y.; Cheng, Y. Investigation of Dry Reforming of Methane in a Dielectric Barrier Discharge Reactor. Plasma Chem. Plasma Process. 2009, 29, 217–228. [Google Scholar] [CrossRef]
- Song, H.K.; Lee, H.; Choi, J.W.; Na, B.K. Effect of electrical pulse forms on the CO2 reforming of methane using atmospheric dielectric barrier discharge. Plasma Chem. Plasma Process. 2004, 24, 57–72. [Google Scholar] [CrossRef]
- Scapinello, M.; Martini, L.M.; Dilecce, G.; Tosi, P. Conversion of CH4/CO2 by a nanosecond repetitively pulsed discharge. J. Phys. D Appl. Phys. 2016, 49. [Google Scholar] [CrossRef]
- Wang, X.; Gao, Y.; Zhang, S.; Sun, H.; Li, J.; Shao, T. Nanosecond pulsed plasma assisted dry reforming of CH4: The effect of plasma operating parameters. Appl. Energy 2019, 243, 132–144. [Google Scholar] [CrossRef]
- Cheng, H.; Fan, J.; Zhang, Y.; Liu, D.; Ostrikov, K.K. Nanosecond pulse plasma dry reforming of natural gas. Catal. Today 2020, 351, 103–112. [Google Scholar] [CrossRef]
- Kim, H.-H.; Teramoto, Y.; Negishi, N.; Ogata, A. A multidisciplinary approach to understand the interactions of nonthermal plasma and catalyst: A review. Catal. Today 2015, 256, 13–22. [Google Scholar] [CrossRef]
- Chung, W.-C.; Pan, K.-L.; Lee, H.-M.; Chang, M.-B. Dry Reforming of Methane with Dielectric Barrier Discharge and Ferroelectric Packed-Bed Reactors. Energy Fuels 2014, 28, 7621–7631. [Google Scholar] [CrossRef]
- Takaki, K.; Takahashi, S.; Mukaigawa, S.; Fujiwara, T.; Sugawara, K.; Sugawara, T. Influence of Pellet Shape of Ferro-Electric Packed-Bed Plasma Reactor on Ozone Generation and NO Removal. Int. J. Plasma Environ. Sci. Technol. 2009, 3, 28–34. [Google Scholar]
- Gómez-Ramírez, A.; Cotrino, J.; Lambert, R.M.; González-Elipe, A.R. Efficient synthesis of ammonia from N2 and H2 alone in a ferroelectric packed-bed DBD reactor. Plasma Sources Sci. Technol. 2015, 24, 065011. [Google Scholar] [CrossRef]
- Gómez-Ramírez, A.; Montoro-Damas, A.M.; Cotrino, J.; Lambert, R.M.; González-Elipe, A.R. About the enhancement of chemical yield during the atmospheric plasma synthesis of ammonia in a ferroelectric packed bed reactor. Plasma Process. Polym. 2017, 14, 1600081. [Google Scholar] [CrossRef]
- Taheraslani, M.; Gardeniers, H. High-Resolution SEM and EDX Characterization of Deposits Formed by CH4+Ar DBD Plasma Processing in a Packed Bed Reactor. Nanomaterials 2019, 9, 589. [Google Scholar] [CrossRef] [PubMed]
- Cheng, D.; Zhu, X.; Ben, Y.; He, F.; Cui, L.; Liu, C. Carbon dioxide reforming of methane over Ni/Al2O3 treated with glow discharge plasma. Catal. Today 2006, 115, 205–210. [Google Scholar] [CrossRef]
- Liu, C.; Zou, J.; Yu, K.; Cheng, D.; Han, Y.; Zhan, J.; Ratanatawanate, C.; Jang, B.W.-L. Plasma application for more environmentally friendly catalyst preparation. Pure Appl. Chem. 2006, 78, 1227–1238. [Google Scholar] [CrossRef]
- Taheraslani, M.; Gardeniers, H. Coupling of CH4 to C2 hydrocarbons in a packed bed DBD plasma reactor: The effect of dielectric constant and porosity of the packing. Energies 2020, 13, 468. [Google Scholar] [CrossRef]
- Tu, X.; Gallon, H.J.; Whitehead, J.C. Plasma-assisted reduction of a NiO/Al2O3 catalyst in atmospheric pressure H2/Ar dielectric barrier discharge. Catal. Today 2013, 211, 120–125. [Google Scholar] [CrossRef]
- Chang, J.-S.; Kostov, K.G.; Urashima, K.; Yamamoto, T.; Okayasu, Y.; Kato, T.; Iwaizumi, T.; Yoshimura, K. Removal of NF/sub 3/ from semiconductor-process flue gases by tandem packed-bed plasma and adsorbent hybrid systems. IEEE Trans. Ind. Appl. 2000, 36, 1251–1259. [Google Scholar] [CrossRef]
- Carreon, M.L. Plasma catalysis: A brief tutorial. Plasma Res. Express 2019, 1, 043001. [Google Scholar] [CrossRef]
- Zhu, F.; Zhang, H.; Yan, X.; Yan, J.; Ni, M.; Li, X.; Tu, X. Plasma-catalytic reforming of CO2-rich biogas over Ni/γ-Al2O3 catalysts in a rotating gliding arc reactor. Fuel 2017, 199, 430–437. [Google Scholar] [CrossRef]
- Song, H.K.; Choi, J.-W.; Yue, S.H.; Lee, H.; Na, B.-K. Synthesis gas production via dielectric barrier discharge over Ni/γ-Al2O3 catalyst. Catal. Today 2004, 89, 27–33. [Google Scholar] [CrossRef]
- Brune, L.; Ozkan, A.; Genty, E.; Visart De Bocarmé, T.; Reniers, F. Dry reforming of methane via plasma-catalysis: Influence of the catalyst nature supported on alumina in a packed-bed DBD configuration. J. Phys. D Appl. Phys. 2018, 51. [Google Scholar] [CrossRef]
- Ozkan, A.; Dufour, T.; Silva, T.; Britun, N.; Snyders, R.; Bogaerts, A.; Reniers, F. The influence of power and frequency on the filamentary behavior of a flowing DBD—Application to the splitting of CO2. Plasma Sources Sci. Technol. 2016, 25, 025013. [Google Scholar] [CrossRef]
- Ray, D.; Nepak, D.; Vinodkumar, T.; Subrahmanyam, C. g-C3N4 promoted DBD plasma assisted dry reforming of methane. Energy 2019, 183, 630–638. [Google Scholar] [CrossRef]
- Michielsen, I.; Uytdenhouwen, Y.; Bogaerts, A.; Meynen, V. Altering conversion and product selectivity of dry reforming of methane in a dielectric barrier discharge by changing the dielectric packing material. Catalysts 2019, 9, 51. [Google Scholar] [CrossRef]
- Nguyen, H.H.; Kim, K.S. Combination of plasmas and catalytic reactions for CO2 reforming of CH4 by dielectric barrier discharge process. Catal. Today 2015, 256, 88–95. [Google Scholar] [CrossRef]
- Mei, D.; Ashford, B.; He, Y.L.; Tu, X. Plasma-catalytic reforming of biogas over supported Ni catalysts in a dielectric barrier discharge reactor: Effect of catalyst supports. Plasma Process. Polym. 2017, 14, 1600076. [Google Scholar] [CrossRef]
- Khoja, A.H.; Tahir, M.; Saidina Amin, N.A. Evaluating the Performance of a Ni Catalyst Supported on La2O3-MgAl2O4 for Dry Reforming of Methane in a Packed Bed Dielectric Barrier Discharge Plasma Reactor. Energy Fuels 2019, 33, 11630–11647. [Google Scholar] [CrossRef]
- Chung, W.C.; Tsao, I.Y.; Chang, M.B. Novel plasma photocatalysis process for syngas generation via dry reforming of methane. Energy Convers. Manag. 2018, 164, 417–428. [Google Scholar] [CrossRef]
- Khoja, A.H.; Tahir, M.; Amin, N.A.S.; Javed, A.; Mehran, M.T. Kinetic study of dry reforming of methane using hybrid DBD plasma reactor over La2O3 co-supported Ni/MgAl2O4 catalyst. Int. J. Hydrog. Energy 2020, 45, 12256–12271. [Google Scholar] [CrossRef]
- Zheng, X.; Tan, S.; Dong, L.; Li, S.; Chen, H. Plasma-assisted catalytic dry reforming of methane: Highly catalytic performance of nickel ferrite nanoparticles embedded in silica. J. Power Sources 2015, 274, 286–294. [Google Scholar] [CrossRef]
- Khoja, A.H.; Tahir, M.; Amin, N.A.S. Cold plasma dielectric barrier discharge reactor for dry reforming of methane over Ni/ɤ-Al2O3-MgO nanocomposite. Fuel Process. Technol. 2018, 178, 166–179. [Google Scholar] [CrossRef]
- Krawczyk, K.; Młotek, M.; Ulejczyk, B.; Schmidt-Szałowski, K. Methane conversion with carbon dioxide in plasma-catalytic system. Fuel 2014, 117, 608–617. [Google Scholar] [CrossRef]
- Jin, L.; Li, Y.; Lin, P.; Hu, H. CO2 reforming of methane on Ni/γ-Al2O3 catalyst prepared by dielectric barrier discharge hydrogen plasma. Int. J. Hydrog. Energy 2014, 39, 5756–5763. [Google Scholar] [CrossRef]
- Ray, D.; Manoj Kumar Reddy, P.; Subrahmanyam, C. Glass Beads Packed DBD-Plasma Assisted Dry Reforming of Methane. Top. Catal. 2017, 60, 869–878. [Google Scholar] [CrossRef]
- Chen, G. Progress in Plasma-Assisted Catalysis for Carbon Dioxide Reduction. In Plasma Chemistry and Gas Conversion; Wang, L., Ed.; IntechOpen: Rijeka, Croatia, 2018; ISBN 978-1-78984-841-0. [Google Scholar]
- Whitehead, J.C.; Nozaki, T. Plasma Catalysis. Fundamentals and Applications; Springer: Cham, Switzerland, 2019. [Google Scholar]
- Whitehead, J.C. Plasma catalysis: A solution for environmental problems. Pure Appl. Chem. 2010, 82, 1329–1336. [Google Scholar] [CrossRef]
- Allah, Z.A.; Whitehead, J.C. Plasma-catalytic dry reforming of methane in an atmospheric pressure AC gliding arc discharge. Catal. Today 2015, 256, 76–79. [Google Scholar] [CrossRef]
- Tu, X.; Gallon, H.J.; Twigg, M.V.; Gorry, P.A.; Whitehead, J.C. Dry reforming of methane over a Ni/Al2O3 catalyst in a coaxial dielectric barrier discharge reactor. J. Phys. D Appl. Phys. 2011, 44, 274007. [Google Scholar] [CrossRef]
- Einaga, H.; Ogata, A. Benzene oxidation with ozone over supported manganese oxide catalysts: Effect of catalyst support and reaction conditions. J. Hazard. Mater. 2009, 164, 1236–1241. [Google Scholar] [CrossRef] [PubMed]
- Xi, Y.; Reed, C.; Lee, Y.-K.; Oyama, S.T. Acetone Oxidation Using Ozone on Manganese Oxide Catalysts. J. Phys. Chem. B 2005, 109, 17587–17596. [Google Scholar] [CrossRef] [PubMed]
- Ye, Z.; Giraudon, J.-M.; De Geyter, N.; Morent, R.; Lamonier, J.-F. The Design of MnOx Based Catalyst in Post-Plasma Catalysis Configuration for Toluene Abatement. Catalysts 2018, 8, 91. [Google Scholar] [CrossRef]
- Fan, X.; Zhu, T.; Sun, Y.; Yan, X. The roles of various plasma species in the plasma and plasma-catalytic removal of low-concentration formaldehyde in air. J. Hazard. Mater. 2011, 196, 380–385. [Google Scholar] [CrossRef] [PubMed]
- Kim, H.H.; Tsubota, S.; Daté, M.; Ogata, A.; Futamura, S. Catalyst regeneration and activity enhancement of Au/TiO2 by atmospheric pressure nonthermal plasma. Appl. Catal. A Gen. 2007, 329, 93–98. [Google Scholar] [CrossRef]
- Huang, H.B.; Ye, D.Q.; Fu, M.L.; Feng, F. Da Contribution of UV light to the decomposition of toluene in dielectric barrier discharge plasma/photocatalysis system. Plasma Chem. Plasma Process. 2007, 27, 577–588. [Google Scholar] [CrossRef]
- Mei, D.; Zhu, X.; Wu, C.; Ashford, B.; Williams, P.T.; Tu, X. Plasma-photocatalytic conversion of CO2 at low temperatures: Understanding the synergistic effect of plasma-catalysis. Appl. Catal. B Environ. 2016, 182, 525–532. [Google Scholar] [CrossRef]
- Meng, S.; Wang, A.; He, P.; Song, H. Nonthermal Plasma-Assisted Photocatalytic Conversion of Simulated Natural Gas for High-Quality Gasoline Production near Ambient Conditions. J. Phys. Chem. Lett. 2020, 11, 3877–3881. [Google Scholar] [CrossRef]
- Ma, J.; Ashfold, M.N.R.; Mankelevich, Y.A. Validating optical emission spectroscopy as a diagnostic of microwave activated CH4/Ar/H2 plasmas used for diamond chemical vapor deposition. J. Appl. Phys. 2009, 105, 043302. [Google Scholar] [CrossRef]
- Bashir, M.; Rees, J.M.; Bashir, S.; Zimmerman, W.B. Characterization of atmospheric pressure microplasma produced from argon and a mixture of argon-ethylenediamine. Phys. Lett. Sect. A Gen. At. Solid State Phys. 2014, 378, 2395–2405. [Google Scholar] [CrossRef]
- Zhou, H.; Watanabe, J.; Miyake, M.; Ogino, A.; Nagatsu, M.; Zhan, R. Optical and mass spectroscopy measurements of Ar/CH4/H2 microwave plasma for nano-crystalline diamond film deposition. Diam. Relat. Mater. 2007, 16, 675–678. [Google Scholar] [CrossRef]
- Kane, S.N.; Mishra, A.; Dutta, A.K. Preface: International Conference on Recent Trends in Physics (ICRTP 2016). J. Phys. Conf. Ser. 2016, 755, 011001. [Google Scholar] [CrossRef]
- Denysenko, I.B.; Xu, S.; Long, J.D.; Rutkevych, P.P.; Azarenkov, N.A.; Ostrikov, K. Inductively coupled Ar/CH4/H2 plasmas for low-temperature deposition of ordered carbon nanostructures. J. Appl. Phys. 2004, 95, 2713–2724. [Google Scholar] [CrossRef]
- Liu, D.; Fisher, E.R. Surface interactions of C3 radicals during the deposition of fluorocarbon and hydrocarbon films. J. Vac. Sci. Technol. A Vac. Surf. Film. 2007, 25, 1519–1523. [Google Scholar] [CrossRef]
- Gordillo-Vázquez, F.J.; Camero, M.; Gómez-Aleixandre, C. Spectroscopic measurements of the electron temperature in low pressure radiofrequency Ar/H2/C2H2 and Ar/H2/CH4 plasmas used for the synthesis of nanocarbon structures. Plasma Sources Sci. Technol. 2006, 15, 42–51. [Google Scholar] [CrossRef]
- Griem, H.R. Principles of Plasma Spectroscopy; Cambridge University Press: Cambridge, UK, 1997; ISBN 9780521455046. [Google Scholar]
- Sohbatzadeh, F.; Safari, R.; Etaati, G.R.; Asadi, E.; Mirzanejhad, S.; Hosseinnejad, M.T.; Samadi, O.; Bagheri, H. Characterization of diamond-like carbon thin film synthesized by RF atmospheric pressure plasma Ar/CH4 jet. Superlattices Microstruct. 2016, 89, 231–241. [Google Scholar] [CrossRef]
- Fisher, A.; Hill, S. Alternative and Mixed Gas Plasmas. In Inductively Coupled Plasma Spectrometry and Its Applications; Hill, S.J., Ed.; Blackwell: Hoboken, NJ, USA, 2007; pp. 226–245. ISBN 978-1-4051-3594-8. [Google Scholar]
- Laux, C.O.; Spence, T.G.; Kruger, C.H.; Zare, R.N. Optical diagnostics of atmospheric pressure air plasmas. Plasma Sources Sci. Technol. 2003, 12, 125–138. [Google Scholar] [CrossRef]
- Yuan, X.; Ding, X.; Zhao, Z.; Zhan, X.; Duan, Y. Performance evaluation of a newly designed DC microplasma for direct organic compound detection through molecular emission spectrometry. J. Anal. At. Spectrom. 2012, 27, 2094–2101. [Google Scholar] [CrossRef]
- Stere, C.E.; Adress, W.; Burch, R.; Chansai, S.; Goguet, A.; Graham, W.G.; Hardacre, C. Probing a non-thermal plasma activated heterogeneously catalyzed reaction using in situ DRIFTS-MS. ACS Catal. 2015, 5, 956–964. [Google Scholar] [CrossRef]
- Sakamoto, T.; Matsuura, H.; Akatsuka, H. Spectroscopic study on the vibrational populations of N2 C Π3 and B Π3 states in a microwave nitrogen discharge. J. Appl. Phys. 2007, 101, 023307. [Google Scholar] [CrossRef]
- Kinoshita, M.; Fuyuto, T.; Akatsuka, H. Measurement of vibrational and rotational temperature in spark-discharge plasma by optical emission spectroscopy: Change in thermal equilibrium characteristics of plasma under air flow. Int. J. Engine Res. 2019, 20, 746–757. [Google Scholar] [CrossRef]
- Akatsuka, H. Optical Emission Spectroscopy Measurement of Processing Plasmas. IEEJ Trans. Fundam. Mater. 2010, 130, 892–898. [Google Scholar] [CrossRef]
- Rodrigues, A.; Tatibouët, J.-M.; Fourré, E. Operando DRIFT Spectroscopy Characterization of Intermediate Species on Catalysts Surface in VOC Removal from Air by Non-thermal Plasma Assisted Catalysis. Plasma Chem. Plasma Process. 2016, 36, 901–915. [Google Scholar] [CrossRef]
- Jia, Z.; Rousseau, A. Sorbent track: Quantitative monitoring of adsorbed VOCs under in-situ plasma exposure. Sci. Rep. 2016, 6, 31888. [Google Scholar] [CrossRef]
- Stere, C.; Chansai, S.; Gholami, R.; Wangkawong, K.; Singhania, A.; Goguet, A.; Inceesungvorn, B.; Hardacre, C. A design of a fixed bed plasma DRIFTS cell for studying the NTP-assisted heterogeneously catalysed reactions. Catal. Sci. Technol. 2020, 10, 1458–1466. [Google Scholar] [CrossRef]
- Nair, S.A.; Nozaki, T.; Okazaki, K. In situ Fourier Transform Infrared (FTIR) study of nonthermal-plasma- assisted methane oxidative conversion. Ind. Eng. Chem. Res. 2007, 46, 3486–3496. [Google Scholar] [CrossRef]
- Sumizawa, H.; Yamada, H.; Tonokura, K. Real-time monitoring of nitric oxide in diesel exhaust gas by mid-infrared cavity ring-down spectroscopy. Appl. Phys. B 2010, 100, 925–931. [Google Scholar] [CrossRef]
- Sur, R.; Sun, K.; Jeffries, J.B.; Socha, J.G.; Hanson, R.K. Scanned-wavelength-modulation-spectroscopy sensor for CO, CO2, CH4 and H2O in a high-pressure engineering-scale transport-reactor coal gasifier. Fuel 2015, 150, 102–111. [Google Scholar] [CrossRef]
- Goldenstein, C.S.; Spearrin, R.M.; Jeffries, J.B.; Hanson, R.K. Infrared laser-absorption sensing for combustion gases. Prog. Energy Combust. Sci. 2017, 60, 132–176. [Google Scholar] [CrossRef]
- Chang, L.S.; Jeffries, J.B.; Hanson, R.K. Mass Flux Sensing via Tunable Diode Laser Absorption of Water Vapor. AIAA J. 2010, 48, 2687–2693. [Google Scholar] [CrossRef]
- Liu, X.; Jeffries, J.B.; Hanson, R.K.; Hinckley, K.M.; Woodmansee, M.A. Development of a tunable diode laser sensor for measurements of gas turbine exhaust temperature. Appl. Phys. B 2006, 82, 469–478. [Google Scholar] [CrossRef]
- Rao, W.; Wen, M.; Xin, M.; Song, J.; Feng, G.; Wang, G. Simultaneous temperature, H2O concentration and pressure measurement in a scramjet combustor with combined operation mode using wavelength modulation spectroscopy. In Proceedings of the Fifth International Symposium on Laser Interaction with Matter, Changsha, China, 11–14 November 2018; Volume 11046. [Google Scholar]
- Song, L.; Liu, L.; Yang, Y.; Guo, Q.; Xi, J. An optical sensor for hydrogen sulfide detection in open path using WMS-2f/1f technique. Optoelectron. Lett. 2016, 12, 465–468. [Google Scholar] [CrossRef]
- Kamimoto, T.; Deguchi, Y.; Zhang, N.; Nakao, R.; Takagi, T.; Zhang, J.-Z. Real-time 2D Concentration Measurement of CH4 in Oscillating Flames Using CT Tunable Diode Laser Absorption Spectroscopy. J. Appl. Nonlinear Dyn. 2015, 4, 295–303. [Google Scholar] [CrossRef]
- Deguchi, Y.; Kamimoto, T.; Kiyota, Y. Time resolved 2D concentration and temperature measurement using CT tunable laser absorption spectroscopy. Flow Meas. Instrum. 2015, 46, 312–318. [Google Scholar] [CrossRef]
- Slaets, J.; Aghaei, M.; Ceulemans, S.; Van Alphen, S.; Bogaerts, A. CO2 and CH4 conversion in “real” gas mixtures in a gliding arc plasmatron: How do N2 and O2 affect the performance? Green Chem. 2020, 22, 1366–1377. [Google Scholar] [CrossRef]
- Yang, T.; Shen, J.; Ran, T.; Li, J.; Chen, P.; Yin, Y. Understanding CO2 decomposition by thermal plasma with supersonic expansion quench. Plasma Sci. Technol. 2018, 20, 065502. [Google Scholar] [CrossRef]









| Catalysts | Temp (°C) | TOS (h) | GHSV (L gcat−1h−1) | Conversion (%) | H2/CO Ratio (Molar) | Ref. | |
|---|---|---|---|---|---|---|---|
| CH4 | CO2 | ||||||
| Mo-Ni/Al2O3 | 600 | 7 | 200 | 22 | 30 | 0.60 | [28] |
| Co-Zr/AC | 600 | 45 | 7 | 89 | 89 | – | [29] |
| Co-Ni/Al2O3-MgO | 850 | 20 | 24 | 92 | 95 | 0.97 | [30] |
| Pd-Ni/Al2O3 | 750 | 100 | 8 | 85 | 83 | 1.03 | [31] |
| Co3Mo3N | 800 | 50 | 6 | 87 | 98 | 0.83 | [32] |
| Co-Ni/Al2O3 | 600 | 180 | – | 16 | 18 | 0.46 | [33] |
| Pt/Al2O3 | 800 | 24 | – | 17 | 20 | 0.53 | [24] |
| Pt/CePr/Al2O3 | 800 | 24 | – | 59 | 69 | 0.81 | [24] |
| Pt/CeNb/Al2O3 | 800 | 24 | – | 40 | 52 | 0.59 | [24] |
| Pt/CeZr/Al2O3 | 800 | 24 | – | 42 | 55 | 0.70 | [24] |
| Ni/Al2O3 | 800 | 8 | 120 | 65 | 70 | 0.89 | [34] |
| Ni/Al2O3-CeO2 | 800 | 8 | 120 | 82 | 89 | 0.94 | [34] |
| Ni/Al2O3-La2O3 | 800 | 8 | 120 | 67 | 80 | 0.87 | [34] |
| Ni/MgAl2O4 | 700 | 15 | 18 | 70.6 | 81.2 | – | [35] |
| Ni-MgO-Al2O3 | 700 | 12 | 180 | 71.4 | 79.8 | 0.92 | [36] |
| Reactor Type | Schematic View | Key Reactor Characteristics | Ref. |
|---|---|---|---|
| 1. Point-to-point reactor | ![]() | Two stainless steel electrodes with sharp ends. Gap distance: 2.5 mm.Frequency: 4 kHz (pulsed). Voltage: 17 kV. The electrodes are inserted in a quartz tube. | [53] |
| 2. AC disc-and-tube spark discharge | No picture was provided by the authors | Ground electrode: a disc (diameter: 30 mm. HV electrode: stainless steel tube, i.d.: 1 mm, o.d.: 2 mm. Gap distance: 2.5 mm. The electrodes are inserted in a quartz tube with a diameter 100 mm. Frequency: 5 kHz. Voltage was not reported. | [54] |
| 3. Tube in tube | ![]() | Metal tube: i.d. = 3 mm O.d. = 6 mm. Metal rod 8mm. The gap size: 8 mm. The volume: 0.23 mL. Frequency: 20 kHz. Voltage:16 kV. | [55] |
| 4. Tube in tube with a ferroelectric layer | ![]() | The same as in [55], except the gap between two electrodes, which was 5 mm. | [12] |
| 5. Annular channel with mesh electrodes | ![]() | Two coaxial quartz tubes. The HV electrode is a stainless steel mesh. The length: 55 mm. The discharge gap: 3 mm. The discharge volume: 11.4 cm3. | [56] |
| 6. Coaxial DBD reactor | ![]() | Discharge gap of 3 mm. Discharge volume of 13.6 cm3. Peak voltage of 40 kV. Frequency range 20−50 kHz. Gas flow rate is varied from 50 to 300 mL·min−1 | [57] |
| 7. Coaxial DBD reactor | ![]() ![]() | Cylindrical dielectric tube (quartz or alumina). L = 400 mm, ID = 10 mm, OD = 12 mm. Inner electrode—stainless steel rods of different diameters | [58] |
| 8. AC GA plasma | ![]() | Two 50 mm × 30 mm metal electrodes. The electrode gap: 3.2 mm. 10 kV high voltage. Frequency: 50 Hz | [59] |
| 9. Reactor with central and diffuser-like electrodes | ![]() | Central electrode o.d. 10 mm. Diffuser electrode i.d: 2 mm. The gap: 0.6 mm. Frequency 50 Hz. Voltage: of 4.5–8 kV | [60] |
| Plasma Type | Reactor Type | Packing Material | Reaction Conditions | SED [J/mL] | Conversion (%) | Selectivity (%) | EE (mol/kWh) | Ref. | ||
|---|---|---|---|---|---|---|---|---|---|---|
| CH4 | CO2 | H2 | CO | |||||||
| DBD | Annular channel | Ni/γ-Al2O3 | lgap = 3 mm, Q = 50 mL/min, 30–40 kHz, 24kV, 8 kV/mm, 50W | 60.0 | 38.0 | 21.0 | 28.0 | 45.0 | 1.17 | [56] |
| Spark | – | Q = 150 mL/min, 45W | 18.0 | 65.0 | 55.0 | 62.0 | 87.0 | 6.61 | [54] | |
| RF | – | Q = 200 mL/min, 36.2W | 10.9 | 65.9 | 57.8 | 85.9 | 8.64 | [53] | ||
| GA | 2D | – | lgap = 3.2 mm, Q = 7500 mL/min, 0.05 kHz, 24kV, 6.25 kV/mm, 165 W | 1.3 | 13.1 | 8.4 | 31.4 | 69.5 | 11.16 | [56] |
| Spark | Tube in tube | C-BZT 1 | lgap = 5 mm, Q = 200 mL/min, 22 kHz, 24kV, 3.6 kV/mm, 39.3 W | 11.8 | 86.9 | 83.3 | 90.1 | 66.0 | 16.53 | [12] |
| Spark | Tube in tube | – | lgap = 8 mm, Q = 350 mL/min, 20 kHz, 24kV, 2 kV/mm, 41.4 W | 7.1 | 42.3 | 30.2 | 76.9 | 67.1 | 14.38 | [55] |
| Spark | Tube in tube | LFO600 2 | lgap = 8 mm, Q = 350 mL/min, 20 kHz, 24kV, 2 kV/mm, 44.6 W | 7.6 | 53.5 | 40.0 | 85.0 | 71.8 | 18.42 | [55] |
| Production Method | Initial Composition (Molar Ratio) | H2 Production Rate [g(H2)/h] | EE [g(H2)/kWh] | CH4 Conversion (H2 Selectivity) [%] |
|---|---|---|---|---|
| CH4 steam reforming | CH4 + H2O + Air | large scale | 60 | Benchmark case |
| Corona | CH4/CO2 (1.00) | 0.46 | 12.6 | 12.6 27.8 (55.1) |
| Glow discharge | CH4/CO2 (1.00) | 0.28 | 12.2 | 61 (77) |
| DBD | CH4/CO2 (2.33) | 0.25 | 5.5 | 11 (98) |
| DBD | CH4/CO2 (1.00) | 0.06 | 0.42 | 62 (75) |
| AC-pulsed arc plasma | CH4/CO2 + Air (1.5 +3.3) | 13.1 | 394 | 80 (54) |
| Rotating GA | CH4/CO2 (0.43) | 12.4 | 25.2 | 58.5 (35.3) |
| Coaxial-line-based microwave (2.45 GHz) | CH4/N2 (2.0) | 50 | 14.6 | 40.1 (30) |
| Metal-cylinder-based microwave (2.45 GHz) | CH4/CO2 (1.0) | 66 | 19 | 32.5 (40.9) |
| Metal-cylinder-based microwave (2.45 GHz) | CH4 + CO2 + H2O (30:12:25) | 192 | 43 | 22 (n.d) |
| Quartz-cylinder-based microwave (2.45 GHz) | CH4 + CO2 (1.00) | 112 | 19 | 96.8 (77.2) |
| Metal-cylinder-based microwave (915 MHz) | CH4 + CO2 (0.66) | 156 | 21 | 61.4 (63.7) |
| Material | Dielectric Constant | Reference |
|---|---|---|
| Zeolites | 1.5–5.0 | [81] |
| SiO2 | 4 | [65] |
| Al2O3 | 9–10 | [65] |
| YSZ | 27 | [65] |
| TiO2 | 48 | [81] |
| CaTiO3 | 200–300 | [65] |
| BaTiO3 | 4000–15,000 | [65] |
| Ferroelectric packed-bed DBD (radial gap) | ![]() | HV electrode diameter: 2 mm. Glass tube diameter: 31 mm. Gap: 10 mm. Discharge area: 25 mm. The pulse mode: 1 kHz. Voltage: 20 kV. Packed with BaTiO3. | [83] |
| Ferroelectric packed-bed DBD (axial gap) | ![]() | Two mesh electrodes. The gap: 20 mm. Glass tube diameter: 30 mm. Frequency: AC 60 Hz. Voltage: 15 kV. Packed with 3 mm ferroelectric particles with a dielectric constant of 10,000, 5000 or 660. | [63] |
| Single pellet DBD reactor | ![]() | A 5.8 mm alumina ‘collar’ is perforated with 150 μm holes for gas flow. Frequency: AC 10 kHz. Voltage: 10 kV. A single pellet is positioned between the electrodes. | [65] |
| Two parallel plates reactor | ![]() | HV electrode: 7.5 cm in diameter). Frequency: AC 0.5–5 kHz. Voltage: 2.5–5.5 kV. Packed with BaTiO3 or PZT | [84,85] |
| Catalyst | Reactor | Reaction Conditions | SED [J/mL] | Conversion [%] | Selectivity | EE [%, (eV/Molecule)] | Reference | |||
|---|---|---|---|---|---|---|---|---|---|---|
| CH4 | CO2 | H2 | H2/CO Ratio | Oxygenates and Hydrocarbons | ||||||
| Cu/γ-Al2O3 | DBD AC, lgap = 2.5 mm, Vd = 25 mL | GHSV = 242 h−1 | 34 | 90 | 6 | - | - | 14.5% | [95] | |
| LaFeO3 | DC pulse DBD, lgap = 8 mm, Vd = 0.23 mL | GHSV = 53,000h−1,16 kV, 20 kHz | 16 | 82 | 0 | 73.1 | 1 | - | 28% | [102] |
| La2O3 Ni/MgAl2O4 | DBD AC, lgap = 3 mm, Vd = 13.2 mL | GHSV = 436 h−1, 7.5 kHz | 360 | 81 | 48.1 | 1.01 | - | 1.2% | [103] | |
| NiFe2O4/SiO2 | AC DBD. lgap = 2 mm | GHSV = 110 h−1 | 240 | 80 | 70 | 81 | 0.9 | - | 1.9 (74) | [104] |
| 10%Ni/Al2O3-MgO | DBD AC, lgap = 3 mm, Vd = 13mL | GHSV = 436 h−1 | 300 | 74 | 46.0 | - | - | 1.4% | [105] | |
| Ferroelectrics BaFe0.5Nb0.5O3 | DBD AC quasi-pulse power supply, lg = 6 mm, Vd = 11.8 mL | GHSV = 202 h−1 | 34 | 68 | 56 | 66.0 | 1.81 | - | 11% (12.5) | [82] |
| LaNi2O3/SiO2 nano particles | lgap = 2 mm | GHSV = 176 h−1, 40kV | 192 | 67 | 72.0 | - | 1.9% | [104] | ||
| Na-ZSM-5 | AC. cylindrical DBD with ext. heater, lgap = 3 mm | GHSV = 30 h−1, 240 °C, 6 kHz | 72 | 65 | 21.3 | Among the organic products, ethane and propane were dominant + alcohols | 2.5% | [106] | ||
| 10%Ni/Al2O3 | lgap = 0.4 mm | GHSV = 21,600 h−1, 40kV | 13 | 63 | 35.0 | - | 11.6% | [107] | ||
| 10%Ni/γ-Al2O3 | DBD AC, lgap = 3 mm, Vd = 11.4ml | GHSV = 103 h−1, 40kV, T = 300 °C | 60 | 56 | 30 | 31 | 0.6 | - | 5.1% (32) | [56] |
| Zeolite 4A | AC DBD. cylinder-wire-type DBD, lgap = 15 mm, Vd = 330 mL | GHSV = 109 h−1, 12 kV, 0.9 kHz | 7 | 50 | 59.6 | 1.28 | - | 41% | [99] | |
| 5% TiO2/g-C3N4 | DBD AC, lgap = 6 mm, Vd = 18.4 mL | GHSV = 62 h−1 | 5.4 | 38.7 | 9 | 21 | 0.45 | - | 39.5% | [97] |
| glass beads (zero surface) | DBD AC, lgap = 4.5 mm, Vd = 18.4 mL | GHSV = 97 h−1, 0.05 kHz | 6 | 29 | 37.2 | 0.74 | - | 25% | [108] | |
| BaTiO2 | DBD AC, lgap = 4.5 mm, Vd = 14 mL | GHSV = 210 h−1, 23.5 kHz | 120 | 14 | 7 | 8.9 | 6.9 | C2H6 12.9%, C2H2 2.2%, C3H8 2.9%, DME + EtOH + CH2O + MeOH = 1.44 | 0.6% | [98] |
| γAl2O3 | 32 | 14 | 8.5 | 8.3 | C2H6 15.4%, C2H2 2%, C3H8 0.4%, DME + EtOH + CH2O + MeOH = 3% | 1.5% | ||||
| αAl2O3 | 33 | 23 | 8.0 | 9 | C2H6 12.9%, C2H2 2.2%, C3H8 2.9%, DME + EtOH + CH2O + MeOH = 1.44% | 1.5% | ||||
| Ni/γ-Al2O3 | DBD, lgap = 2.5 mm, Vd = 11.6 ml | GHSV = 257 h−1 | 9 | 20 | 9 | 34.0 | 1.08 | 23% C2H6 | 12% (22.2) | [104] |
Publisher’s Note: MDPI stays neutral with regard to jurisdictional claims in published maps and institutional affiliations. |
© 2020 by the authors. Licensee MDPI, Basel, Switzerland. This article is an open access article distributed under the terms and conditions of the Creative Commons Attribution (CC BY) license (http://creativecommons.org/licenses/by/4.0/).
Share and Cite
Abiev, R.S.; Sladkovskiy, D.A.; Semikin, K.V.; Murzin, D.Y.; Rebrov, E.V. Non-Thermal Plasma for Process and Energy Intensification in Dry Reforming of Methane. Catalysts 2020, 10, 1358. https://doi.org/10.3390/catal10111358
Abiev RS, Sladkovskiy DA, Semikin KV, Murzin DY, Rebrov EV. Non-Thermal Plasma for Process and Energy Intensification in Dry Reforming of Methane. Catalysts. 2020; 10(11):1358. https://doi.org/10.3390/catal10111358
Chicago/Turabian StyleAbiev, Rufat Sh., Dmitry A. Sladkovskiy, Kirill V. Semikin, Dmitry Yu. Murzin, and Evgeny V. Rebrov. 2020. "Non-Thermal Plasma for Process and Energy Intensification in Dry Reforming of Methane" Catalysts 10, no. 11: 1358. https://doi.org/10.3390/catal10111358
APA StyleAbiev, R. S., Sladkovskiy, D. A., Semikin, K. V., Murzin, D. Y., & Rebrov, E. V. (2020). Non-Thermal Plasma for Process and Energy Intensification in Dry Reforming of Methane. Catalysts, 10(11), 1358. https://doi.org/10.3390/catal10111358














