You are currently viewing a new version of our website. To view the old version click .
Catalysts
  • Feature Paper
  • Review
  • Open Access

3 October 2020

Solvent-Free Approaches in Carbohydrate Synthetic Chemistry: Role of Catalysis in Reactivity and Selectivity

,
,
and
Department of Chemical Sciences University of Naples Federico II, Via Cinthia 4, I-80126 Naples, Italy
*
Authors to whom correspondence should be addressed.
This article belongs to the Special Issue Catalytic Approaches to Selective Elaboration of Organic Molecules

Abstract

Owing to their abundance in biomass and availability at a low cost, carbohydrates are very useful precursors for products of interest in a broad range of scientific applications. For example, they can be either converted into basic chemicals or used as chiral precursors for the synthesis of potentially bioactive molecules, even including nonsaccharide targets; in addition, there is also a broad interest toward the potential of synthetic sugar-containing structures in the field of functional materials. Synthetic elaboration of carbohydrates, in both the selective modification of functional groups and the assembly of oligomeric structures, is not trivial and often entails experimentally demanding approaches practiced by specialized groups. Over the last years, a large number of solvent-free synthetic methods have appeared in the literature, often being endowed with several advantages such as greenness, experimental simplicity, and a larger scope than analogous reactions in solution. Most of these methods are catalytically promoted, and the catalyst often plays a key role in the selectivity associated with the process. This review aims to describe the significant recent contributions in the solvent-free synthetic chemistry of carbohydrates, devoting a special critical focus on both the mechanistic role of the catalysts employed and the differences evidenced so far with corresponding methods in solution.

1. Introduction

Carbohydrates are molecules very abundant in nature owing to their high biomass content. In view of the urgent need to develop evermore greener and sustainable processes, a key scientific issue of current interest concerns valorization of the biomass as an alternative source to fossil feedstock and the recyclability of waste. In this frame, processes required for the chemical re-elaboration of bioderived products must conform to parameters of sustainability and greenness [1,2], and the development of reactions avoiding the use of toxic and hazardous organic solvents may provide a significant contribution to this goal.
Carbohydrates are well-known for their involvement in several biological processes. Owing to the broad availability at a low cost, as well as the density of functional groups at defined stereo-centers, they are ideal starting materials for the preparation of products of interest in a broad range of scientific applications. Sugars can indeed be convenient chiral precursors for the synthesis of potentially bioactive molecules [3,4,5], even including nonsaccharide targets [4], and there is also a broad interest in the potential of tailored sugar-containing structures in the field of functional materials [6]. The synthetic elaboration of carbohydrates, in both the selective modification of functional groups and the assembly of oligomeric structures, is not trivial and often relies on experimentally demanding approaches practiced by specialized research groups [7,8,9]. Over the last years in the literature, an elevated number of solvent-free synthetic methods have appeared for the elaboration of sugars, which have often proved competitive; they can indeed be greener, experimentally simpler, and with a larger scope than analogous reactions in solutions. A large number of these methods are catalytically promoted, and the catalyst often plays a pivotal role in the selectivity associated with the process (regio-, chemo-, or stereoselectivity). This review aims to describe the significant recent contributions (from 2010) in the solvent-free synthetic chemistry of carbohydrates, devoting a special critical focus on both the mechanistic role of the catalysts employed and the differences evidenced so far with corresponding methods in solution.
This review is organized in two general sections: in the first one (the largest), solvent-free reactions useful for the synthesis of oligosaccharides, glycoconjugates, or more in general, chiral products derivable from saccharide building-blocks are described; the latter section instead offers an overview of significant solvent-free transformations enabling either the degradation of biomass polysaccharides or the conversion of sugars into useful organic precursors. More in detail, the first part of the review will be dedicated to transformations aimed at selective re-functionalization of sugars, including protecting-group synthetic chemistry. The second one will be focused on glycosidation chemistry. The third part will describe solvent-free transformations useful for glycoconjugation reactions. The fourth part will summarize other reactions described for free sugars. The last section will be dedicated to the depolymerization of polysaccharides, as well as the conversion of sugars into derivatives for base-chemistry.

2. Protecting-Group Chemistry and Selective Modification of Saccharide Hydroxyls

2.1. Acylation Reactions

The most described transformation of sugars is likely peracetylation, traditionally conducted with pyridine and acetic anhydride. In order to avoid the use of malodorous and toxic pyridine, several solvent-free procedures have been elaborated, based on a slight stoichiometric excess of liquid acetic anhydride (Ac2O) and a catalyst. This latter activates the electrophilic character of the acyl moiety of the Ac2O and can be either a protic/Lewis acid (more frequently) or a nucleophilic catalyst. Representative examples [10] of acetylation catalysts are: Dy(OTf)3 [11], Cu(ClO4)2 [12], iodine [13], silica sulfuric acid (SSA) [14,15], DABCO (1,4-diazabicyclo[2.2.2]octane) [16], diazepinium perchlorate [17], methanesulfonic acid [18], In(OTf)3 [19], Sm(OTf)3 [20], Sc(OTf)3 [21], sulfamic acid [22], and sulfonic acid functionalized nano γ-Al2O3 [23]. These approaches yield peracetylation products, which in turn, are precursors for the synthesis of useful building-blocks.
Some of the above-mentioned methods can be compatible with a further selective transformation of the peracetylated intermediate, upon adjustment of experimental conditions in the reaction medium (Scheme 1). For example, the crude per-O-acetylated intermediate obtained with a minute loading of Dy(OTf)3 (0.1% mol) and a slight excess of acetic anhydride can be submitted to the selective anomeric de-O-acetylation upon addition of methanol and a catalytic amount of both NaHCO3 and Dy(OTf)3 (5% mol overall for both) [11] (Scheme 1, path a). A preliminary removal of the residual amount of acetic anhydride under vacuo was found critical for good yields to be achieved. Another very useful application is the direct synthesis of thioglycosides, very useful glycosyl donors in oligosaccharide synthesis [7,8,9]; in the case of the Cu(ClO4)2-catalyzed acetylation, thioaryl glycosides can be directly obtained upon addition of the requisite thiophenol and excess BF3. OEt2 (2 equiv.) to the acetylation mixture, although a prolonged 48 h time is needed for this step [12] (Scheme 1, path b). Another useful synthetic process is the direct transformation of peracetylated products (from I2-catalyzed acetylations) [13] into glycosyl iodides, very versatile compounds amenable to a very large set of fast modifications [24,25] (Scheme 1, path c). Anomeric iodination can be accomplished upon addition of iodine and hexamethyldisilane (HMDS) [26], or iodine and triethylsilane [27]. With the former protocol, a further conversion in situ of the obtained glycosyl iodide into a thiomethyl glycoside is even described [26].
Scheme 1. Solvent-free acetylation of sugars and examples of direct modifications thereof ([11] for path a; [12] for path b; [13], [24,25,26,27] for path c).
Another acetylation catalyst, silica sulfuric acid (SSA), proved useful in the microwave-assisted conversion of sialic acid methyl ester into the corresponding peracetylated intermediate, which undergoes a spontaneous elimination, yielding a 2,3-glycal featuring a carbon–carbon double-bond conjugated to the C-1 carbonyl [15] (Scheme 2). In this process, the catalyst plays a dual role: It promotes acetylation of hydroxy groups (activating acetic anhydride) and then promotes the release of the anomeric acetate (as acetic acid) necessary for the elimination.
Scheme 2. Solvent-free one-pot acetylation/elimination of sialic acid methyl ester [15].
As already observed, solvent-free acetylations are typically described for saccharide per-O-acetylations; however, in a few cases, it is even possible to conduct the regioselective partial acetylation of sugars by suitably adjusting the stoichiometry of acetic anhydride. With diazepinium perchlorate, acting as a mild acid activator of Ac2O [17], the acetylation of all free positions but the least reactive 4-OH is possible with a variety of precursors. With sulfamic acid (H3NSO3) [22], and with triethyl orthoacetate in place of Ac2O, the regioselective axial O-acetylation is, in turn, possible for a cis-diol incorporated into a pyranoside system (Scheme 3).
Scheme 3. Regioselective axial acetylation of a sugar 1,2-cis diol via an orthoester intermediate [22].
This reaction proceeds with an initial solvent-free, acid-catalyzed ortho-esterification of the cis-diol, upon exposure of the sugar to sulfamic acid and triethyl orthoacetate; subsequent addition of water to the mixture allows the acid-catalyzed orthoester ring opening, with concomitant acetylation of the axial position and regeneration of a free equatorial hydroxyl (Scheme 3).
Another interesting solvent-free approach for selective acylation of saccharide units was described in the frame of a study aimed at developing new emulsifiers generated from cationization of bio-based alcohols (mixtures of long-chain alcohols and alkyl glucosides) [28].
The key acylation step, a trans-esterification in this case, was conducted with betaine glycine butyl ester (Scheme 4), a cationic acylating agent prepared from the corresponding zwitterion via Fischer esterification with butanol and an excess of methanesulfonic acid. The trans-esterification was conducted at a moderately high temperature with NaHCO3 as the catalyst, and vacuum was applied to shift the equilibrium toward products.
Scheme 4. Cationization of alkyl glucosides via transesterification with betaine glycine butyl ester [28].
These conditions led to a very high extent of cationization of the substrates, and NMR analysis evidenced (through detection of down-shifted signals at 1H NMR) the preferential esterification at O-6 and O-3 glucoside positions. Interestingly, the solvent-free method of cationization proved viable also with oligosaccharide-based amphiphilic substrates.
Selective acylation of sugars under solvent-free conditions was also described with enzyme catalysis. A study was focused on Novozym 435, Candida Antarctica lipase immobilized on an acrylic resin, and examined the synthesis of lauric acid esters with trehalose (nonreducing glucose-disaccharide) and glucose. Lauric acid and the corresponding ethyl ester were shown to be viable acylating agents, and the optimal reaction temperature was found to be critically dependent on the nature of the sugar substrate, highlighting the importance of an amorphous physical state to reach optimal conditions for the solvent-free reactions on sugars [29]. In another solvent-free esterification protocol, the importance of micro-sized sugar particles for successful enzymatic acylations was evidenced, and the procedure was optimized through the implementation of a suitable bioreactor, allowing the high yielding preparation of sucrose and fructose oleic esters [30,31,32,33,34].
Mechanochemistry has enjoyed tremendous advances over the last years and represents a useful tool to be employed in solvent-free reactions [35,36]; significant applications have already been reported in synthetic carbohydrate chemistry and examples will be discussed throughout this review. The first one described herein is represented by the synthesis of sucrose esters through a K2CO3-catalyzed trans-esterification with fatty acid methyl esters [37]. An especially interesting result of the investigation was the remarkable increase in the yields associated with a sand-milling pretreatment, which caused a reduction in the particle sizes and then a beneficial effect on the reaction kinetics.

2.2. Acetalation Reactions

Acetalation is another popular protective option broadly exploited in carbohydrate chemistry and, more in general, in organic synthesis. Benzylidene and isopropylidene are indeed often used for protection of diol motifs present in the polyol sugar structures [38], and a high selectivity is frequently recorded but is dependent on multiple factors such as the nature of the substrate, acetalating agent, and catalyst, and the experimental conditions. A broad investigation was devoted to the development of experimentally simple solvent-free conditions to carry out the acetalation of sugars, and three alternative protocols were eventually developed [39]. In the first one (Scheme 5, left-hand path a), an unusual acid-catalyzed acetolysis approach was designed to promote activation of the requisite carbonyl component (aldehyde or ketone) through the transfer of its carbonyl oxygen to acetic anhydride, ultimately yielding acetic acid as a side product. As the activation of acetic anhydride also causes a competitive partial O-acetylation of saccharide alcohols, an in situ acetylation was added to the procedure in order to obtain all products in a peracetylated form. After a screening of several Lewis acids, the use of a minute loading (1%) of ytterbium (III) triflate provided the best performing catalytic condition to trigger acetolysis.
Scheme 5. Three solvent-free approaches for acetal/ketal carbohydrate protection [39].
In the second approach (Scheme 5, path b), an aldehyde/orthoester combination was applied to generate in situ an active acetalating species. In this case, the deoxygenation of the carbonyl component, necessary for the condensation, is likely triggered by the generation of a cationic dioxonium species from the orthoester upon acid activation. After a screening of conditions, methyl orthoformate turned out to be the best performing orthoester, whereas camphorsulfonic acid (CSA) and ytterbium triflate served as the most efficient catalysts.
In the last approach (Scheme 5, right-hand path c), the typically applied trans-acetalation mechanism was exploited in a solvent-free version, upon direct exposure of the sugar to the requisite dimethyl acetal or ketal in the presence of an acid catalyst. Under these conditions, protic camphorsulfonic acid (CSA) at 90 °C proved to be the best catalyst.
These methodologies offered interesting opportunities compared to described methods in solution, with successful applications also with unusual carbonyl precursors as acetalating/ketalating agents: cyclohexanone, furfural, nonanal, o-vanillin, and 2-naphtyl aldehyde. A direct comparison with a standard in-solvent protocol emphasized that the (2-naphthyl)methylidene installation, a useful protection in synthetic carbohydrate chemistry, is better performed with the above-mentioned aldehyde/orthoester method, and this approach was recently exploited in synthetic projects aimed at the preparation of oligosaccharides of biological interest [40,41].

2.3. Selective Modifications Based on Formation of Ether Linkages (Benzylation, Allylation, Silylation, Tritylation)

A variety of hydroxy protections of carbohydrates are based on the construction of ether linkages, and for these transformations, too, simplified solvent-free versions have been elaborated in the last years, often in the presence of catalysts.
Benzyl is the most applied protecting group, along with the acetyl group, in the derivatization of carbohydrates. In this frame, an especially important issue pertains to the regioselective benzylation of polyfunctionalized sugar units, which is indeed a nontrivial problem. The most popular strategy is based on stannylene acetal intermediates, which are preferentially formed with Bu2SnO on cis-oriented vicinal diols to yield a five-membered ring (see Scheme 6 for an example of this mechanistic pathway with a galactoside model compound). In the presence of a halide source such as tetrabutylammonium bromide (TBAB) or iodide (TBAI), these intermediates generate an anionic pentacoordinated tin-complex amenable to ring-opening in the presence of a reactive alkylating agent such as benzyl bromide. This latter is preferentially attacked by the equatorial oxygen engaged in the complex [42], reasonably because of the higher accessibility, whereas the tin is transferred to the axial oxygen (and removed with work-up).
Scheme 6. Stannylene-mediated regioselective equatorial mono-benzylation of a pyranoside cis-diol.
For over 30 years, this procedure was performed in a laborious stepwise manner, adopting a stoichiometric amount of the requisite tin reagent to generate the stannylene acetal, which is then submitted, after changing the solvent, to the alkylation step with the requisite benzyl/allyl halide [43,44]. In 2014, a solvent-free protocol was described for this sort of reaction, with the additional advantages of being catalytic (for the first time) in tin, and based on a single step, with mixing from the start of all the needed reagents (diisopropylethyl amine, TBAB, catalytic dibutyltin oxide, and benzyl/allyl bromide) [45].
In Scheme 7, in the left-hand path a, an example of mono-benzylation applied to a mannoside precursor is shown; the selective protection at secondary O-3, occurring at 70 °C, highlights that the nucleophilicity induced by the transient stannylene acetal (activating, in this case, equatorial O-3) overcomes the inherent higher nucleophilicity of primary alcohol at C-6, sterically more accessible. The method exhibited a reproducible equatorial selectivity with all screened sugars bearing a cis-diol in the pyranoside ring, whereas with terminal diols installed on linear chains, the primary position at the extremity was selectively benzylated.
Scheme 7. Stannylene-mediated regioselective benzylation and allylation of a mannoside [45].
This publication was preceded by another article concerning a tin-free and solvent-free procedure to carry out the regioselective benzylation of primary saccharide alcohols from carbohydrates [46]. The procedure was, in turn, inspired by a solvent-free procedure described by Maki et al. with the high-temperature benzylation of alcohols in the presence of tertiary amines and eventual catalytic additives [47]; this latter paper reported all examples with nonsaccharide alcohols but one with a partially protected sugar diol. Extension of this approach to the regioselective protection of sugar primary alcohols proved viable after a substantial adjustment of the temperature (90 °C rather than 150 °C described by Maki); the simplest effective protocol entailed the use of stoichiometric DIPEA (diisopropylethyl amine, as the base) and benzyl bromide (as alkylating agent), but a useful catalytic effect of tetrabutylammonium iodide (TBAI) was indeed observed (Scheme 8) [46], and this might be ascribed to either the generation in situ of a more reactive benzylating agent (benzyl iodide) and/or a kinetic effect related to an increased ionic strength of the reaction medium.
Scheme 8. Tin-free regioselective benzylation of primary saccharide alcohols [46].
Both the above-described benzylation strategies in Scheme 7 and Scheme 8 (with or without tin catalysis) can be sequenced to carry out a regioselective double benzylation of sugars at both the primary position and an equatorial hydroxyl flanked by an axially oriented one. In path b of Scheme 7, an application of this double benzylation approach is shown, which entails a change in the temperature as the benzyl incorporation proceeds; the reaction is initially performed at 70 °C to favor tin-catalyzed 3-O-benzylation, and the temperature is then gradually raised up to 90 °C to maximize the selective benzylation at primary O-6 [45]. In the same paper, the stannylene catalytic approach was also found useful to achieve products with a higher extent of benzyl groups (working at a higher temperature), and the catalytic effect of the tin was surprisingly evident even with glucopyranoside substrates, albeit lacking a cis-diol in their structure. Another important application of this solvent-free catalytic strategy [45] was in the regioselective mono-allylation reaction (Scheme 7, right-hand mono-allylation path c), whereas the double allylation did not prove as effective as with the benzylations. Last, but not least, unlike the traditional stoichiometric approach, the tin-catalyzed solvent-free benzylation also proved effective with totally deprotected sugars in a hemiacetal form [45], the nature of the products being strongly dependent on the starting sugar. In particular, 1,6-O-protected furanosides were recovered from glucose and galactose, and 1,3-di-O-protected β-pyranosides were instead provided by mannose. An intriguing common mechanistic feature of all these catalytic protections via stannylene acetals lies in the feasible tin-transfer among the saccharide molecules present in the reaction medium, which is indeed a key event to make the reaction catalytic.
It is pertinent to specify at this stage that some tin-catalyzed approaches in solution have appeared after the described report on the solvent-free conditions, with considerable simplification over the traditional stepwise stoichiometric method [48,49,50,51,52]. It is also worth observing that solvent-free benzylation protocols described herein have already been incorporated into a variety of synthetic projects [53,54,55,56], to testify their practical scope.
A mechanochemical approach, with the planetary ball mill technique, was also found applicable to the regioselective alkylation of galactosides and lactosides via stannylene-acetal intermediates, preliminarily prepared in solution with a stoichiometric amount of stannylating agent [57]. On the other hand, a distinctive advantage of this mechanochemical application was in the feasible use of a very slight excess of alkylating agents.
Recently, a solvent-free version was also developed to achieve further regioselective protective etherifications on sugars. Primary positions can be preferentially protected with bulky electrophiles, and they can be tritylated [58] or silylated [59] in the presence of a slight stoichiometric excess of pyridine (2.2–3.0 equiv., not sufficient for dissolving the polyol substrate) and the requisite trityl (Tr) or silyl chloride (in particular, tert-butyldimethylsilyl or tert-butyldiphenylsilyl chloride, namely TBDMSCl or TBDPSCl, respectively) (Scheme 9).
Scheme 9. Solvent-free tritylation [58] and silylation [59] of primary saccharide alcohols.
A significant catalytic effect played by TBAB [59] has been evidenced in silylations, which might be ascribed once again to several mechanisms such as the generation of a more reactive silylating agent and/or a beneficial kinetic effect resulting from an increased ionic-strength in the reaction medium. These kinds of protections at primary positions can also be performed, with moderate to good yields, with a mechanochemical ball milling activation [60]. In addition, it has been demonstrated that total protection of saccharides through the solvent-free, non-mechanochemical installation of trimethylsilyl groups (TMS) is possible with hexamethyldisilazane activated by a catalytic amount of iodine [61].
An interesting extension in the scope of some of the above-described procedures was achieved through the development of fully solvent-free, one-pot sequential schemes allowing regioselective installation of orthogonal protecting-groups. In most cases, tin-catalyzed steps of benzylation or allylation were incorporated into such sequences, making the following sequential protections feasible: Tritylation/benzylation [58], tritylation/allylation [58], benzylation/silylation [59], and allylation/silylation [59]. A conceptually interesting further extension in the scope of these streamlined strategies was recently reported with a sequential, fully solvent-free scheme, relying on an initial regioselective alkylation (benzylation, silylation) followed by an acetalation (ketalation) step [62]. The former step occurs under mildly basic conditions (DIPEA or pyridine), affording a stoichiometric amount of ammonium (or pyridinium) side-products that are sufficiently reactive to catalyze the subsequent acetalation step.
In Scheme 10, two examples are shown evidencing that commonly used benzylidene (path a) and isopropylidene (path b) protecting-groups can both be employed for diol protection in the second step. This work highlighted that buffered systems, composed of comparable amounts of DIPEA (or pyridine) and the corresponding conjugated acids, can be effective catalysts for acid-triggered processes in highly concentrated media; this behavior may be potentially useful for designing acid-promoted reactions on substrates requiring exposure to mild conditions.
Scheme 10. Fully solvent-free sequences of benzylation/acetalation or silylation/ketalation [62].

3. Solvent-Free Halogenation of Saccharide Substrates

Besides reactions concerning protecting-group chemistry, other solvent-free protocols were developed for the halogenation of carbohydrates, a process allowing the functionalization with useful leaving groups. The combination of a moderate excesses of iodine, triphenyl phosphine, and lutidine proved useful for the selective iodination of primary alcohols of carbohydrates (for an example, see the first step of Scheme 11) [63]. Iodinated products thus obtained can be further elaborated in situ through solvent-free processes.
Scheme 11. Fully solvent-free synthesis of iodinated sugars and examples of direct modifications thereof [63].
For example, substitution processes with azide and sulfur anions can be readily conducted by direct addition of the requisite nucleophile (Scheme 11, path a). An alternative possible modification of transient iodides can once again take advantage of tin-catalysis; as shown in Scheme 11 (path b), the 6-iodo mannopyranoside intermediate can be directly converted into 3,6-anhydro products in the presence of a catalytic amount of dibutyltin oxide, able to enhance the nucleophilic character of O-3 as evidenced by the lack of reactivity in absence of the tin catalyst. This can be easily explained with the generation, as described above, of stannylene acetal intermediates. An application within a synthetic project toward a bioactive target was also reported for this iodination methodology [64].
Another solvent-free, noncatalytic approach was developed to carry out the anomeric chlorination of hemiacetal sugars to yield useful glycosyl donors for the synthesis of glycosides. The method relies on the use of a moderate excess of hexachloroacetone and triphenyphosphine at 70 °C, a procedure that appears compatible with both acid- and base-labile protecting groups [65]. As will be shown below, this step can be incorporated into one-pot sequences leading to glycoside synthesis.

4. Solvent-Free Glycosidations

Glycosidation reaction represents a key step in carbohydrate chemistry [7,8,9,66] and (Scheme 12) is mechanistically a nucleophilic substitution process committing an electrophilic glycosyl donor (saccharide derivative equipped with an activatable leaving group at the anomeric position) and a nucleophilic glycosyl acceptor (typically an alcohol, but other nucleophilic functionalities can be employed in dependence on the type of the glycoside bond to be assembled). The process is nearly always triggered by a promoter, most commonly a Lewis or protic acid capable of inducing the heterolytic expulsion of the leaving group.
Scheme 12. General scheme of a glycosidation reaction.
The process must be stereocontrolled, either the α- or the β-anomer of the target glycoside being generally required. As will be discussed below, the reactivity of the saccharide substrates and the stereo-control in glycosidations is strongly dependent on the nature of protecting groups present.
From an experimental point of view, glycosidations are a demanding step, especially when partially protected saccharide derivatives are adopted as glycosyl acceptors. Owing to the moisture sensitivity of these reactions, a strict control of experimental conditions is mandatory for good yields to be achieved. On this basis, it is not surprising to observe that oligosaccharide synthesis is often practiced by highly specialized groups. The availability of experimentally simplified solvent-free approaches for glycosidations is thereby a high-impact topic also in consideration of the implications of oligosaccharides in multiple scientific sectors.
As a preliminary consideration, it should be noted that the traditional Fischer glycosidation, based on an acid-catalyzed condensation of unprotected sugars with liquid alcohols, may formally appear as a solvent-free process. In practice, in most procedures, a large excess of the liquid alcohol is used, which may be considered a solvent as well as a reagent. On this basis, Fischer glycosidation will not be specifically focused on in this review.
Mechanochemical approaches have been broadly examined in this area, especially with the ball mill technique. Glycosyl bromides were first tested as glycosyl donors and successfully coupled with phenols using K2CO3 as a solid base [67]; the scope of the ball milling activation was then explored with a variety of simple (nonsaccharide) alcohols, in the presence of moderate stoichiometric excesses of inorganic carbonates, the best performing of which were Cd(CO3)2, Zn(CO3)2 [68], and (BiO)2CO3 [69] (Scheme 13, path a). An example was also reported with cholesterol as a structurally complex acceptor, and a 35% yield was recorded, comparable with the result of the analogous coupling in solution. A conceptually related approach was also applied to the synthesis of curcumin glycosides [70]. In all these examples, per-O-acylated glycosyl bromides were employed and 1,2-trans glycosides were obtained with high selectivity, in keeping with the well-established participating effect of 2-O-acyl groups in the donor, capable of directing the nucleophilic attack of the acceptor through the generation of a cyclic dioxonium intermediate [7,8,9].
Scheme 13. Base-promoted mechanochemical glycosidation with glycosyl bromides as the donors ([68,69] for path a; [69] for path b).
The method was also extended to the synthesis of thioarylglycosides (Scheme 13, path b), useful donors for oligosaccharide synthesis. Alternative routes to thioglycosides, based on substitution reactions on glycosyl halides with thiourea or potassium thioacetate as the nucleophiles, also proved viable under ball milling conditions [71]. It is worth pointing out in all these examples the lack of 1,2-orthoester coupling products, typically obtained as side-products when glycosidations with 2-O-acylated donors are conducted in solution under basic conditions. This is another example of the significant differences that may be found in synthetic methods when applied in either solvent-free or solution conditions.
A catalytic mechanochemical strategy for oligosaccharide synthesis was also developed, taking advantage of the versatile reactivity of In(OTf)3 in glycoside synthesis; in the first place, this Lewis acid is capable of catalyzing the 6-O-detritylation of protected carbohydrate building-blocks under ball mill conditions, a useful step for the generation of saccharide glycosyl acceptors (Scheme 14, path a) [72].
Scheme 14. In(OTf)3 as a catalyst in mechanochemical detritylation and glycosidation [72].
The vibratory ball-milling mode provided better deprotection conditions than planetary milling, with sensibly faster reactions. The actual detritylation does indeed occur with addition of water to the mixture, evidencing that under mechanochemical conditions, the catalytic Lewis acid is somehow capable of activating the whole amount of RO-Tr linkages to the heterolytic cleavage. Unlike typical de-O-tritylations in solution, no detectable 4-O to 6-O acetyl rearrangement was observed.
In(OTf)3 can also promote activation of thioglycoside donors, among the most used donors in glycoside synthesis [72]. The catalyst is active, particularly with “armed” thioglycosides, protected with benzyl groups. The high reactivity of these donors [7,8,9], in comparison with acyl-protected “disarmed” donors, is a consequence of the lower electron-withdrawing character of the benzyl group, less disfavoring the electron-deficient transition states typical of the rate-determining steps in glycosidations. Besides reactivity, another distinctive feature of O-benzylated donors is the poor stereocontrol of the glycosidations, whereas, as already exemplified above, less reactive acylated donors are favoring 1,2-trans glycosidation. As shown in Scheme 14 (path b), In(OTf)3 catalyzed the ball mill activation of a perbenzylated thiogalactoside for disaccharide synthesis, and this step could even be performed sequentially after the generation of the glycosyl acceptor via a detritylation step promoted by the same catalyst. As expected, anomeric mixtures were obtained, and the anomeric composition was both dependent on specific parameters of the experiment (speed of grinding) and the time of exposure to the milling; a gradual increase in the most stable α-anomer was observed, to indicate the feasible partial anomerization of the β-counterpart. Interestingly, for a model glycosidation reaction, it was demonstrated that In(OTf)3 alone proved catalytically efficient only with the mechanochemical approach, whereas a suitable stoichiometric co-reagent (N-iodosuccinimide, NIS) was necessary in solution for a successful coupling.
An interesting application of this catalytic, fully mechanochemical deprotection/glycosidation sequence lies in the synthesis of a library of oligosaccharides (including cyclic oligomers), starting from a single building-block equipped with both an activatable anomeric thiophenyl group and a transient trityl group at the primary site (Scheme 15) [72].
Scheme 15. In(OTf)3-catalyzed oligomerization of a tritylated thiogalactoside [72].
In(OTf)3 was found to act as an effective catalyst also in the mechanochemical conversion of peracetylated glycosyl donors into thioglycosides (Scheme 16) [73]. This result is especially appreciable taking into account that standard methods for the analogous conversion require a stoichiometric amount of strong Lewis acids such as BF3. OEt2, as well as much longer times.
Scheme 16. In(OTf)3-catalyzed thioglycoside synthesis in a planetary ball mill [73].
The scope of the method was also examined with long-chain thiols, which were glycosylated in high yield with the expected β-selectivity, though minor amounts (about 10%) of the corresponding α-anomers could be isolated. An interesting ancillary result of this study was the discovery of a different self-assembly behavior for either thioglycoside anomer.
Per-O-acetylated glucose and galactose can also be activated by Fe-β zeolite to achieve O-glycosylation of long-chain alcohol acceptors; in addition to the expected peracetylated β-glycosides, the reaction also yields the corresponding α-glycosides deprotected at O-2 [74].
Another catalytic, non-mechanochemical approach described for solvent-free glycosidations relies on the polymeric catalyst polyvinyl-bound trisulfonate ethylamine chloride (PV-TSEAC) (Scheme 17) [75]. This is synthesized from polyvinyl chloride (PVC) in a stepwise manner to allow installation of three hydroxyethyl branches, which are functionalized with sulfuric groups in the last step.
Scheme 17. Synthesis of polyvinyl-bound trisulfonate ethylamine chloride (PV-TSEAC) from PVC [75].
This catalyst was capable of promoting the Fischer glycosidation of unprotected sugars at 60 °C, but also revealed an excellent reactivity in the activation of broadly used trichloroacetimidate donors [66], making possible the synthesis of disaccharides, as well as simpler glycosides (Scheme 18).
Scheme 18. Solvent-free synthesis of disaccharides catalyzed by PV-TSEAC [75].
As shown in the two examples in Scheme 18, the glycosidation of a model glucoside acceptor (free at O-3) was studied with either an acetylated or benzylated glucosyl trichloroacetimidate donor, and a surprising high β-selectivity was achieved in both cases, in spite of the poor stereo-directing effect exerted by the nonparticipating benzyl groups [75]. What is also interesting were the similar reaction times reported for both donors, in spite of their large difference in reactivity. In the same paper, other polymeric catalysts of the same series with a lower number of sulfuric branches were screened, and a lower activity was recorded. This highlights the important role played on the reactivity by the density of the sulfuric groups. The polymeric nature of the catalyst allowed its simple recyclability, and no loss of activity was observed after running the reactions several times.
Another heterogenous catalyst, easily accessible sulfonated graphene oxide, also proved useful to catalyze Fischer glycosidations and reactions with trichloroacetimidate donors, with examples focused essentially on simple nonsaccharide alcohol acceptors [76].
Another strategy for the solvent-free synthesis of oligosaccharides was recently proposed and also aimed to achieve high-selectivity in α-glycosidations. Indeed, selective α-glycosidations with gluco- and galacto-donors are still a demanding issue in the current state-of-the-art of oligosaccharide synthesis, as for these linkages, it is not yet known as a reliable strategy of stereo-control as the neighboring acyl participation (useful for accessing β-gluco and -galactosides) [7,8,9]. It has been long known that glycosyl halides (easily obtained as α-anomers) are anomerized, in the presence of exogenous bromide anions, to β-glycosyl bromides; these latter are much more reactive than the α-counterparts (stabilized by the anomeric effect) (Scheme 19) [77]. When nonparticipating groups are placed at donor O-2, this reactivity difference can be exploited, taking advantage of the faster nucleophilic attack of the alcohol acceptor to the β-halide transient species, ultimately leading, via a SN2 process, to α-glycosides. Other nucleophilic catalysts alternative to bromide anions were shown to be useful in this scheme, generating an activated β-adduct similarly amenable to a SN2 process. These reactions are generally conducted in the presence of a mild base useful to scavenge the proton released by the alcohol acceptor. This scheme, when applied in solution chemistry, generally entails long reaction times and is indeed restricted to especially reactive glycosyl donors [77].
Scheme 19. Halide-promoted synthesis of α-glycosides.
A thorough screening of conditions has indeed demonstrated that the scope of such a strategy can be significantly expanded under solvent-free conditions, resorting to relatively stable and chromatographable armed glycosyl chloride donors. The optimization led to an activation system based on two exogenous nucleophilic activators (triethyl phosphite and tetrabutylammonium bromide) and a mild base such as DIPEA (Scheme 20) [78].
Scheme 20. Solvent-free synthesis of α-glycosides [78].
The nucleophilic activators can be used in sub-stoichiometric/catalytic amounts, and their combined use was found functional for optimizing the α-selectivity of the process, as well as the overall yield. The scope of the methodology was demonstrated with the preparation of a large set of biorelevant antigen fragments with reactions taking a few hours under air conditions. Further, in the same paper, it was demonstrated that glycosyl chlorides can be generated in situ from corresponding hemiacetals and directly used for the glycosidations. This procedure is solvent-free in all the steps and takes advantage of the availability (see above) of solvent-free protocols for the anomeric chlorination of sugar hemiacetals. This one-pot variant is especially useful in the case of perbenzylated fucosyl chloride (Scheme 21), whose labile nature impedes isolation at useful yields.
Scheme 21. Solvent-free synthesis of α-fucosides with in situ generation of the donor [78].
A last example of solvent-free glycosidations was reported for the synthesis of 2-deoxyglycosides, important structural motifs included in numerous bioactive molecules. As shown in the example in Scheme 22, the overall process entails the addition of a saccharide alcohol to a 1,2-glycal (1,2-unsaturated sugar) mediated by trimethylsilyl bromide (TMSBr) and triphenylphosphinoxide, both in a stoichiometric amount [79]. The former reagent causes the deprotonation of the alcohol necessary to trigger the coupling through protonation at C-2 of the glycal; triphenylphosphinoxide, analogous to what is described in Scheme 19, instead has a stereodirecting effect by forming a transient β-adduct that induces a preferential attack of the acceptor from the α-face.
Scheme 22. Solvent-free synthesis of 2-deoxyglycosides [79].

5. Application of Solvent-Free Approaches to Glycoconjugation Reactions

Incorporation of sugars in molecules of potential usefulness in the field of materials and life sciences spurred the development of solvent-free methods for the synthesis of glycoconjugates. The Huisgen cycloaddition-reaction has become a very popular synthetic tool to carry out the functionalization of water-soluble molecules with suitable conjugating agents [80]. This copper-catalyzed process is typically conducted in polar solvents and proceeds under mild conditions with high regioselectivity. In the frame of a project aimed at developing new useful self-assembling glycosylated materials, Kharta et al. investigated the cycloaddition reaction of fully acylated propargyl glycosides and molecules based on an aromatic/aliphatic core exposing a variable number of chains equipped with primary azides (Scheme 23) [81].
Scheme 23. Mechanochemical Huisgen cycloaddition [81].
Owing to the poor solubility of both the coupling partners in polar solvent, the authors implemented a solvent-free approach based on the planetary ball mill technique, performed in the presence of a catalytic amount of copper sulfate and sodium ascorbate, namely the typical catalysts of the Huisgen click reaction [80]. Owing to the good yields obtained, a large set of glycosylated molecules were prepared and examined for their self-assembling properties. With a similar approach, the same group synthesized glycotriazololipids [82], adopting in this case long-chain alkyl azides in the key cycloaddition, and potential glycosidase inhibitors equipped with a triazole ring [83].
It is pertinent to observe at this stage that use of the Huisgen reaction is dependent on the easy access to azido-functionalized substrates. Mechanochemistry was indeed usefully exploited also for this purpose, with differentiated examples of azidation reactions. It is possible, for example, to use this solvent-free technique to carry out azidation of 6-O-tosylated compounds [82,84] with a high grinding speed, and conditions of selective anomeric azidation (via substitution on glycosyl bromides) in the presence of 6-O-tosylated groups have been reported [83,85]. Further, it is possible to introduce an azide functionality via epoxide ring-opening, an example being described on an epoxidated pentenyl glycoside [68].
Synthesis of amides is a key step in organic synthesis frequently employed for the assembly of glycoconjugates. Generation of activated acylating agents is the mandatory step in this process, and the ball mill technique was found useful for the formation in situ of reactive N-acyl imidazole intermediates (Scheme 24), through the condensation of the requisite carboxylic acid and carbonyl diimidazole (CDI) [84]. Upon addition of an amine, it is possible to exploit the mechanochemical application also for the amidation step (Scheme 24).
Scheme 24. Mechanochemical amidation reactions via N-acyl imidazole intermediates [84].
The amidation protocol was shown to be effective with either a 6-amino sugar (example in Scheme 24) and aromatic amines present in p-aminoaryl glycosides. Following an analogous approach, the condensation of an amine with CDI also allowed the synthesis of symmetrical ureas [84].

6. Other Solvent-Free Condensation Reactions on Free Carbohydrates

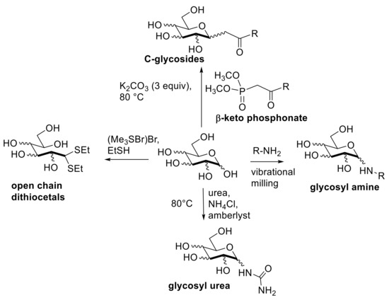
In addition to the very large set of reactions already described, sparse examples of condensation processes occurring with free sugars under solvent-free conditions can be found in recent literature, summarized in Scheme 25. N-glycosidic bonds can be simply assembled with the solvent-free synthesis of glycosyl amines, which can occur through the direct condensation of a primary amine and a deprotected sugar under vibrational milling [86]. Occasional use of silica as a grinding auxiliary was found beneficial for amines in a liquid state. Melting conditions can instead be exploited for the synthesis of N-glycosyl ureas, where the use of acidic catalysts was found beneficial for improved yields [87,88]. Interestingly, an excellent anomeric selectivity was observed when pyranoside products were obtained [87].
Scheme 25. Summary of solventless condensation reactions committing free sugars [86,87,88,89,90].
Another interesting reaction is the synthesis of sugar dithioacetals catalyzed by bromodimethylsulfonium bromide (Me2SBr)Br, easily obtained by reaction of dimethylsulfide with bromine [89]. The reaction is likely promoted by HBr generated in situ and provides an interesting entry to useful sugar building-blocks in an acyclic form. Another approach allows direct synthesis of C-glycosides through the Horner–Wadsworth–Emmons reaction of the free sugar with β-keto phosphonates in the presence of K2CO3 at 80 °C [90]. The protocol required a large excess of reactant (15 equiv.), but synthetically useful yields could also be obtained with long-chain phosphonates to afford amphiphilic C-glycosides.
Finally, a solvent-free method of conducting Fischer esterifications (also intramolecular) on the carboxyl moiety at C-6 of glucuronic acid was also described. These reactions were catalyzed by sulfuric acid impregnated on silica and exploited microwave activation [91].

7. Solvent-Free Approaches for Recovery and Elaboration of Biomass-Derived Carbohydrates

The degradation of lignocellulose and depolymerization of abundant oligosaccharides in biomass represent key steps for the reconversion of carbohydrates into products of application interest [92,93,94]. A growing interest is of course devoted toward the valorization of solvent-free methods efficient for this purpose, and several studies in the last years have evidenced that mechanochemical ball milling is often a powerful tool to aid acid-catalyzed depolymerization.
In view of the dense network of hydrogen bonds in the core of the cellulose structure, the direct chemical attack is difficult, and so a common degradation strategy is based on an initial partial depolymerization, with generation of water-soluble oligosaccharides that are then completely hydrolyzed with a subsequent treatment.
A study aimed at the preliminary depolymerization of microcrystalline cellulose, without resorting to a mechano-assisted activation, revealed the feasible use of nonthermal atmospheric plasma that allowed, after a hydrolytic treatment in water with the acid resin Amberlyst 35 and microwaves, a 22% recovery of glucose [95]. The method proved effective also with alternative important polysaccharides such as starch and inuline.
Other approaches were instead based on mechanochemical activation; the ball mill technique was investigated in combination with a variety of clays, whose layered structure can be suitable for the decomposition of solid materials. Kaolinite (Al2Si2O7·2H2O) provided the best result with formation of a water-soluble fraction from cellulose, exceeding 80% of the starting material [96]. More recently, another layered solid, protonated niobium molybdate catalyst (HNbMoO.), was found to be especially performing in cellulose depolymerization [97].
In another mechano-chemical strategy, the lignocellulose material was impregnated with strong acids such as H2SO4 or HCl as a solution in volatile diethyl ether, which can be easily removed; the resulting mixture was then subjected to a solid-state reaction in a ball mill. Hydrolysis at 130 °C of the resulting material provided glucose in a yield exceeding 90% [98]. Recently, it was also shown that a commercial perfluorosulfonic acid polymer can catalyze both the mechanochemical fractionation of cellulose and the subsequent conversion of oligosaccharides to amphiphilic products upon exposure to excess dodecanol [99].
Several examples of the application of these methods directly to raw materials have been reported in recent years. A study evidenced oxalic acid as a useful solid acid for the fractionation in a ball mill of barley straw polysaccharides [100]. Impregnation with H2SO4 was instead adopted for the treatment of fiber sludge [101], saw dust [102], and willow [103], avoiding in these cases the use of volatile solvents for the addition of the catalyst.
A solvent free-approach was also described for the conversion of glucose (or fructose) to lactic acid, a process also conducted in a planetary ball-mill, adopting barium hydroxide as the catalyst [104]. The solvent-free strategy has also been reported for the conversion of nonsaccharide basic chemicals derived from biomass sugars, and numerous examples can be found in a recent review [105].

8. Conclusions

This review has shown that solvent-free chemistry, associated or not with a mechanochemical assistance, can be a powerful tool in the chemical transformation of carbohydrates. Although most of the results described herein are relatively recent, solvent-free approaches can already cover a broad range of applications, being useful both in synthetic schemes based on saccharide precursors and in the degradative chemistry aimed at the fruitful reconversion of biomass macromolecules.
As to the use of the solvent-free conditions in the assembly of molecules of application interest, it can be noted that current methods are already encompassing the most important reactions of sugars, such as the installation of a broad range of protecting groups, the glycosidation reaction, and some glycoconjugation approaches. As observed in most examples in this review, the solvent-free method can even offer a broader scope and/or an improved selectivity in comparison to solution methods. In addition, it is worth mentioning that solvent-free methods are often associated with cheap processes and a remarkable experimental simplification, advantages of which should contribute to their practical appeal. As a matter of fact, successful applications of these methods to target-addressed synthetic projects have already appeared and an increasing number of examples is expected in the future.

Author Contributions

Bibliographical research, S.T., E.B., G.V., A.I.; manuscript organization, S.T., E.B., G.V., A.I.; Writing, S.T., A.I.; Revision, S.T., E.B., G.V., A.I. All authors have read and agreed to the published version of the manuscript.

Funding

S.T. acknowledges the Department of Chemical Sciences of the University of Naples Federico II for supporting a fellowship. E.B. thanks MIUR (Ministero dell’Istruzione, dell’Università e della Ricerca, Rome, Italy) for funding (FFABR-2017 grant).

Conflicts of Interest

The authors declare no conflict of interest.

References and Notes

  1. Varma, R.S. Greener and sustainable trends in synthesis of organics and nanomaterials ACS Sustain. Chem. Eng. 2016, 4, 5866–5878. [Google Scholar]
  2. Si, A.; Misra, A.K. Recent Trends in Carbohydrate Chemistry, Volume 1: Synthesis, Structure and Function of Carbohydrates; Elsevier: Amsterdam, The Netherlands, 2020; pp. 3–71. [Google Scholar]
  3. Boons, G.J.; Hale, K.J. Organic Synthesis with Carbohydrates; Sheffield Academic Press: Sheffield, UK, 2000. [Google Scholar]
  4. Nicolaou, K.; Hale, C.R.H.; Nilewskia, C.; Ioannidou, H.A. Constructing molecular complexity and diversity: Total synthesis of natural products of biological and medicinal importance. Chem. Soc. Rev. 2012, 41, 5185–5238. [Google Scholar] [CrossRef] [PubMed]
  5. Fernandez-Tejada, A.; Canada, F.J.; Jimenez-Barbero, J. Recent developments in synthetic carbohydrate-based diagnostics, vaccines, and therapeutics. Chem. Eur. J. 2015, 21, 10616–10628. [Google Scholar] [CrossRef]
  6. Prathap, A.; Sureshan, K.M. Sugar-based organogelators for various applications. Langmuir 2019, 35, 6005–6014. [Google Scholar] [CrossRef]
  7. Hsu, C.H.; Hung, S.C.; Wu, C.Y.; Wong, C.H. Toward automated oligosaccharide synthesis. Angew. Chem. Int. Ed. 2011, 50, 11872–11923. [Google Scholar] [CrossRef]
  8. Das, R.; Mukhopadhyay, B. Chemical O-glycosylations: An overview. ChemistryOpen 2016, 5, 401–433. [Google Scholar] [CrossRef]
  9. Kulkarni, S.S.; Wang, C.C.; Sabbavarapu, N.M.; Podilapu, A.R.; Liao, P.H.; Hung, S.C. “One-pot” protection, glycosylation, and protection–glycosylation strategies of carbohydrates. Chem. Rev. 2018, 118, 8025–8104. [Google Scholar] [CrossRef]
  10. Adinolfi, M.; Iadonisi, A.; Schiattarella, M. An easy approach for the acetylation of saccharidic alcohols. Applicability for regioselective protections. Tetrahedron Lett. 2003, 44, 4661–4663. [Google Scholar]
  11. Yan, Y.L.; Guo, J.R.; Liang, C.F. Sequential Dy(OTf)3-catalyzed solvent-free per-O-acetylation and regioselective anomeric de-O-acetylation of carbohydrates. Chem. Asian J. 2017, 12, 2471–2479. [Google Scholar] [CrossRef]
  12. Chatterjee, D.; Paul, A.; Rajkamala; Yadav, S. Cu(ClO4)2.6H2O catalyzed solvent free per-O-acetylation and sequential one-pot conversions of sugars to thioglycosides. RSC Adv. 2015, 5, 29669–29674. [Google Scholar] [CrossRef]
  13. Kartha, K.P.R.; Field, R.A. Iodine: A versatile reagent in carbohydrate chemistry. IV. Per-O-acetylation, regioselective acylation and acetolysis. Tetrahedron 1997, 53, 11753–11766. [Google Scholar] [CrossRef]
  14. Zhang, J.; Zhang, B.; Zhou, J.; Li, J.; Shi, C.; Huang, T.; Wang, Z.; Tang, J. H2SO4-SiO2: Highly efficient and reusable catalyst for per-O-acetylation of aarbohydrates under solvent-free conditions. J. Carbohydr. Chem. 2011, 30, 165–177. [Google Scholar] [CrossRef]
  15. Paragas, E.M.; Monreal, I.A.; Vasil, C.M.; Saludes, J.P. One-pot SSA-catalyzed beta-elimination: An efficient and inexpensive protocol for easy access to the glycal of sialic acid. Carbohydr. Res. 2015, 402, 77–80. [Google Scholar] [CrossRef] [PubMed][Green Version]
  16. Ch, R.; Tyagi, M.; Patil, P.R.; Kartha, K.P.R. DABCO: An efficient promoter for the acetylation of carbohydrates and other substances under solvent-free conditions. Tetrahedron Lett. 2011, 52, 5841–5846. [Google Scholar] [CrossRef]
  17. Giri, S.K.; Gour, R.; Kartha, K.P.R. Diazepinium perchlorate: A neutral catalyst for mild, solvent-free acetylation of carbohydrates and other substances. RSC Adv. 2017, 7, 13653–13667. [Google Scholar] [CrossRef]
  18. Giri, S.K.; Kartha, K.P.R. Acyl transfer reactions of carbohydrates, alcohols, phenols, thiols and thiophenols under green reaction conditions. RSC Adv. 2015, 5, 11687–11696. [Google Scholar] [CrossRef]
  19. Giri, S.K.; Verma, M.; Kartha, K.P.R. Indium(III) triflate: A highly efficient catalyst for reactions of sugars. J. Carbohydr. Chem. 2008, 27, 464–478. [Google Scholar] [CrossRef]
  20. Roy, B.; Dasgupta, S.; Rajput, V.K.; Mukhopadhyay, B. Samarium trifluoromethanesulfonate: An efficient moisture tolerant acylation catalyst under solvent-free condition. J. Carbohydr. Chem. 2008, 27, 1–9. [Google Scholar] [CrossRef]
  21. Lee, J.C.; Taic, C.A.; Hung, S.C. Sc(OTf)3-catalyzed acetolysis of 1,6-anhydro-β-hexopyranoses and solvent-free per-acetylation of hexoses. Tetrahedron Lett. 2002, 43, 851–855. [Google Scholar] [CrossRef]
  22. Santra, A.; Guchhait, G.; Misra, A.K. Efficient acylation and sulfation of carbohydrates using sulfamic acid, a mild, eco-friendly catalyst under organic solvent-free conditions. Green Chem. 2011, 13, 1345–1351. [Google Scholar] [CrossRef]
  23. Wu, L.; Yin, Z. Sulfonic acid functionalized nano γ-Al2O3 catalyzed per-O-acetylated of carbohydrates. Carbohydr. Res. 2013, 365, 14–19. [Google Scholar] [CrossRef]
  24. Meloncelli, P.J.; Martin, A.D.; Lowary, T.L. Glycosyl iodides. History and recent advances. Carbohydr. Res. 2009, 344, 1110–1122. [Google Scholar] [CrossRef] [PubMed]
  25. Adinolfi, M.; Iadonisi, A.; Pastore, A.; Valerio, S. The I2/Et3SiH system: A versatile combination with multiple applications in carbohydrate chemistry. Pure Appl. Chem. 2012, 84, 1–10. [Google Scholar] [CrossRef]
  26. Mukhopadhyay, B.; Kartha, K.P.R.; Russell, D.A.; Field, R.A. Streamlined synthesis of per-O-acetylated sugars, glycosyl iodides, or thioglycosides from unprotected reducing sugars. J. Org. Chem. 2004, 69, 7758–7760. [Google Scholar] [CrossRef] [PubMed]
  27. Valerio, S.; Iadonisi, A.; Adinolfi, M.; Ravidà, A. Novel approaches for the synthesis and activation of thio- and selenoglycoside donors. J. Org. Chem. 2007, 72, 6097–6106. [Google Scholar] [CrossRef]
  28. Perusse, D.; Guegan, J.P.; Rolland, H.; Guilbotc, J.; Benvegnu, T. Efficient solvent-free cationization of alkylpolyglycoside based surfactant compositions using natural glycine betaine. Green Chem. 2016, 18, 1664–1673. [Google Scholar] [CrossRef]
  29. Ogawa, S.; Endo, A.; Kitahara, N.; Yamagishi, T.; Aoyagi, S.; Hara, S. Factors determining the reaction temperature of the solvent-free enzymatic synthesis of trehalose esters. Carbohydr. Res. 2019, 482, 107739. [Google Scholar] [CrossRef]
  30. Ye, R.; Pyo, S.H.; Hayes, D.G. Lipase-catalyzed synthesis of saccharide–fatty acid esters using suspensions of saccharide crystals in solvent-free media. J. Am. Oil Chem. Soc. 2010, 87, 281–293. [Google Scholar] [CrossRef]
  31. Ye, R.; Hayes, D.G. Optimization of the solvent-free lipase-catalyzed synthesis of fructose-oleic acid ester through programming of water removal. J. Am. Oil Chem. Soc. 2011, 88, 1351–1359. [Google Scholar] [CrossRef]
  32. Ye, R.; Hayes, D.G. Lipase-catalyzed synthesis of saccharide-fatty acid esters utilizing solvent-free suspensions: Effect of acyl donors and acceptors, and enzyme activity retention. J. Am. Oil Chem. Soc. 2012, 89, 455–463. [Google Scholar] [CrossRef]
  33. Ye, R.; Hayes, D.G. Solvent-free lipase-catalysed synthesis of saccharide-fatty acid esters: Closed-loop bioreactor system with in situ formation of metastable suspensions. Biocatal. Biotransform. 2012, 30, 209–216. [Google Scholar] [CrossRef]
  34. Ye, R.; Hayes, D.G.; Burton, R.; Liu, A.J.; Harte, F.M.; Wang, Y.M. Solvent-free lipase-catalyzed synthesis of technical-grade sugar esters and evaluation of their physicochemical and bioactive properties. Catalysts 2016, 6, 78. [Google Scholar] [CrossRef]
  35. Strukil, V. Mechanochemical organic synthesis: The art of making chemistry green. Synlett 2018, 29, 1281–1288. [Google Scholar] [CrossRef]
  36. Perez-Venegas, M.; Juaristi, E. Mechanochemical and mechanoenzymatic synthesis of pharmacologically active compounds: A green perspective. ACS Sustain. Chem. Eng. 2020, 8, 8881–8893. [Google Scholar] [CrossRef]
  37. Chen, J.; ·Li, Y.; Chen, X.; Mai, Y.; Gao, M.; Zhang, J.; Wang, X. Efficient solvent-free synthesis of sucrose esters via sand-milling pretreatment on solid-liquid mixtures. J. Surfact. Deterg. 2019, 22, 1515–1520. [Google Scholar] [CrossRef]
  38. Wutts, P.G.M. Greene’s Protective Groups in Organic Synthesis, 5th ed.; John Wiley and Sons: Hoboken, NJ, USA, 2014. [Google Scholar]
  39. Traboni, S.; Bedini, E.; Giordano, M.; Iadonisi, A. Three solvent-free catalytic approaches to the acetal functionalization of carbohydrates and their applicability to one-pot generation of orthogonally protected building blocks. Adv. Synth. Catal. 2015, 357, 3562–3572. [Google Scholar] [CrossRef]
  40. Vessella, G.; Casillo, A.; Fabozzi, A.; Traboni, S.; Iadonisi, A.; Corsaro, M.M.; Bedini, E. Synthesis of the tetrasaccharide repeating unit of the cryoprotectant capsular polysaccharide from Colwellia psychrerythraea 34H. Org. Biomol. Chem. 2019, 17, 3129–3140. [Google Scholar] [CrossRef]
  41. Zhu, Y.; Tyrikos-Ergas, T.; Schiefelbein, K.; Grafmueller, A.; Seeberger, P.H.; Delbianco, M. Automated access to well-defined ionic oligosaccharides. Org. Biomol. Chem. 2020, 18, 1349–1353. [Google Scholar] [CrossRef]
  42. Lu, S.; Boyd, R.J.; Grindley, T.B. Role of fluoride in accelerating the reactions of dialkylstannylene. J. Org. Chem. 2015, 80, 2989–3002. [Google Scholar] [CrossRef]
  43. David, S.; Hanessian, S. Regioselective manipulation of hydroxyl groups via organotin derivatives. Tetrahedron 1985, 41, 643–663. [Google Scholar] [CrossRef]
  44. Grindley, T.B. Applications of tin-containing intermediates to carbohydrate chemistry. Adv. Carbohydr. Chem. Biochem. 1998, 53, 17–142. [Google Scholar]
  45. Giordano, M.; Iadonisi, A. Tin-mediated regioselective benzylation and allylation of polyols: Applicability of a catalytic approach under solvent-free conditions. J. Org. Chem. 2014, 79, 213–222. [Google Scholar] [CrossRef] [PubMed]
  46. Giordano, M.; Iadonisi, A. A practical approach to regioselective O-benzylation of primary positions of polyols. Tetrahedron Lett. 2013, 54, 1550–1552. [Google Scholar] [CrossRef]
  47. Gathirwa, J.W.; Maki, T. Benzylation of hydroxy groups with tertiary amine as a base. Tetrahedron 2012, 68, 370–375. [Google Scholar] [CrossRef]
  48. Xu, H.; Lu, Y.; Zhou, Y.; Ren, B.; Pei, Y.; Dong, H.; Pei, Z. Regioselective benzylation of diols and polyols by catalytic amounts of an organotin reagent. Adv. Synth. Catal. 2014, 356, 1735–1740. [Google Scholar] [CrossRef]
  49. Saikam, V.; Dara, S.; Yadav, M.; Singh, P.P.; Vishwakarma, R.A. Dimethyltin dichloride catalyzed regioselective alkylation of cis-1,2-diols at room temperature. J. Org. Chem. 2015, 80, 11916–11925. [Google Scholar] [CrossRef]
  50. Xu, H.; Ren, B.; Zhao, W.; Xin, X.; Lu, Y.; Pei, Y.; Dong, H.; Pei, Z. Regioselective mono and multiple alkylation of diols and polyols catalyzed by organotin and its applications on the synthesis of value-added carbohydrate intermediates. Tetrahedron 2016, 72, 3490–3499. [Google Scholar] [CrossRef]
  51. Li, X.; Yang, Q. Scalable Sn-catalyzed regioselective allylation of 1-methyl-L-α-rhamnopyranoside. Org. Proc. Res. Dev. 2017, 21, 1653–1658. [Google Scholar] [CrossRef]
  52. Xu, H.; Zhang, Y.; Dong, H.; Lu, Y.; Pei, Y.; Pei, Z. Organotin-catalyzed regioselective benzylation of carbohydrate trans-diols. Tetrahedron Lett. 2017, 58, 4039–4042. [Google Scholar] [CrossRef]
  53. Gavale, K.S.; Chavan, S.R.; Khan, A.; Joshi, R.; Dhavale, D.D. Azetidine- and N-carboxylic azetidine-iminosugars as amyloglucosidase inhibitors: Synthesis, glycosidase inhibitory activity and molecular docking studies. Org. Biomol. Chem. 2015, 13, 6634–6646. [Google Scholar] [CrossRef]
  54. Baradzenka, A.G.; Barysau, B.M.; Hurski, A.L.; Zhabinskii, V.N.; Khripach, V.A. Synthesis of brassinosteroids with a keto group in the side chain. Steroids 2015, 101, 90–95. [Google Scholar] [CrossRef]
  55. Almond, M.; Suleiman, M.G.; Hawkins, M.; Winder, D.; Robshaw, T.; Waddoups, M.; Humphreys, P.N.; Laws, A.P. Developing cellulosic waste products as platform chemicals: Protecting group chemistry of α-glucoisosaccharinic acid. Carbohydr. Res. 2018, 455, 97–105. [Google Scholar] [CrossRef] [PubMed]
  56. Maity, S.K.; Yim, C.B.; Jadhav, S.; Verhassel, A.; Tuomela, J.; Solin, O.; Groenroos, T.J.; Virta, P. Synthesis of an alkyne-modified bleomycin disaccharide precursor, conversion to a 18F-labeled radiotracer, and preliminary in vivo-PET imaging studies. Eur. J. Org. Chem. 2019, 156–163. [Google Scholar] [CrossRef]
  57. Sethi, K.P.; Kartha, K.P.R. Stannylene acetal-mediated solvent-free mechanochemical regioselective alkylation of galactosides and lactosides. Trends Carbohydr. Res. 2016, 8, 29–32. [Google Scholar]
  58. Traboni, S.; Bedini, E.; Iadonisi, A. Solvent-free one-pot diversified protection of saccharide polyols via regioselective tritylation. ChemistrySelect 2017, 2, 4906–4911. [Google Scholar] [CrossRef]
  59. Traboni, S.; Bedini, E.; Iadonisi, A. Orthogonal protection of saccharide polyols through solvent-free one-pot sequences based on regioselective silylations. Beilstein J. Org. Chem. 2016, 12, 2748–2756. [Google Scholar] [CrossRef]
  60. Patil, P.R.; Karth, K.P.R. Application of ball billing technology to carbohydrate reactions: I. regioselective primary hydroxyl protection of hexosides and nucleoside by planetary ball milling. J. Carbohydr. Chem. 2008, 27, 279–293. [Google Scholar] [CrossRef]
  61. Jereb, M. Highly atom economical uncatalyzed and I2-catalyzed silylation of phenols, alcohols and carbohydrates, using HMDS under solvent-free reaction conditions. Tetrahedron 2012, 68, 3861–3867. [Google Scholar] [CrossRef]
  62. Traboni, S.; Bedini, E.; Giordano, M.; Iadonisi, A. One-pot synthesis of orthogonally protected sugars through sequential base-promoted/acid-catalyzed steps: A solvent-free approach with self-generation of a catalytic species. Tetrahedron Lett. 2019, 60, 1777–1780. [Google Scholar] [CrossRef]
  63. Traboni, S.; Bedini, E.; Iadonisi, A. Solvent-free conversion of alcohols to alkyl iodides and one-pot elaborations thereof. ChemistrySelect 2018, 3, 1616–1622. [Google Scholar] [CrossRef]
  64. Manzo, E.; Gallo, C.; Fioretto, L.; Nuzzo, G.; Barra, G.; Pagano, D.; Krauss, I.R.; Paduano, L.; Ziaco, M.; DellaGreca, M.; et al. Diasteroselective colloidal self-assembly affects the immunological response of the molecular adjuvant sulfavant. ACS Omega 2019, 4, 7807–7814. [Google Scholar] [CrossRef]
  65. Traboni, S.; Liccardo, F.; Bedini, E.; Giordano, M.; Iadonisi, A. Solvent-free synthesis of glycosyl chlorides based on the triphenyl phosphine/hexachloroacetone system. Tetrahedron Lett. 2017, 58, 1762–1764. [Google Scholar] [CrossRef]
  66. Nielsen, M.M.; Pedersen, C.M. Catalytic glycosylations in oligosaccharide synthesis. Chem. Rev. 2018, 118, 8285–8358. [Google Scholar] [CrossRef] [PubMed]
  67. Patil, P.R.; Kartha, K.P.R. Solvent-free mechanochemical synthesis of aryl glycosides. J. Carbohydr. Chem. 2008, 27, 411–419. [Google Scholar] [CrossRef]
  68. Tyagi, M.; Khurana, D.; Kartha, K.P.R. Solvent-free mechanochemical glycosylation in ball mill. Carbohydr. Res. 2013, 379, 55–59. [Google Scholar] [CrossRef] [PubMed]
  69. Sethi, K.P.; Kartha, K.P.R. Solvent-free bismuth oxycarbonate-mediated mechanochemical glycosylation: A simple greener alternative to access O-/S-glycosides efficiently. Carbohydr. Res. 2016, 434, 132–135. [Google Scholar] [CrossRef]
  70. Sarala, G.; Kartha, K.P.R. Solvent -free mechanochemical synthesis of glycosylated curcumin. Trends Carboh. Res. 2016, 8, 19–28. [Google Scholar]
  71. Patil, P.R.; Kartha, K.P.R. Solvent-free synthesis of thioglycosides by ball milling. Green Chem. 2009, 11, 953–956. [Google Scholar] [CrossRef]
  72. Kumar, V.; Yadav, N.; Kartha, K.P.R. In(III) triflate-catalyzed detritylation and glycosylation by solvent-free ball milling. Carbohydr. Res. 2014, 397, 18–26. [Google Scholar] [CrossRef]
  73. Kumar, V.; Taxak, N.; Jangir, R.; Bharatam, P.V.; Kartha, K.P.R. In(III) triflate-mediated solvent-free synthesis and activation of thioglycosides by ball milling and structural analysis of long chain alkyl thioglycosides by TEM and quantum chemical methods. J. Org. Chem. 2014, 79, 3427–3439. [Google Scholar] [CrossRef]
  74. Aich, U.; Loganathan, D. Zeolite-catalyzed Helferich-type glycosylation of long-chain alcohols. Synthesis of acetylated alkyl 1,2-trans glycopyranosides and alkyl 1,2-cis C2-hydroxy-glycopyranosides. Carbohydr. Res. 2007, 342, 704–709. [Google Scholar] [CrossRef]
  75. Chaugule, A.A.; Jadhav, A.R.; Kim, H. Polyvinyl trisulfonate ethylamine based solid acid catalyst for the efficient glycosylation of sugars under solvent free conditions. RSC Adv. 2015, 5, 104715–104724. [Google Scholar] [CrossRef]
  76. Thombal, R.S.; Jadha, V.H. Sulfonated graphene oxide as highly efficient catalyst for glycosylation. J. Carbohydr. Chem. 2016, 35, 57–68. [Google Scholar] [CrossRef]
  77. Lemieux, R.U.; Hendriks, K.B.; Stick, R.V.; James, K.J. Halide ion catalyzed glycosidation reactions. Syntheses of alpha-linked disaccharides. Am. Chem. Soc. 1975, 97, 4056–4062. [Google Scholar] [CrossRef]
  78. Traboni, S.; Vessella, G.; Bedini, E.; Iadonisi, A. Solvent-free, under air selective synthesis of α-glycosides adopting glycosyl chlorides as donors. Org. Biomol. Chem. 2020, 18, 5157–5163. [Google Scholar] [CrossRef]
  79. Hsu, M.Y.; Liu, Y.P.; Lam, S.; Lin, S.C.; Wang, C.C. TMSBr-mediated solvent- and work-up-free synthesis of α-2-deoxyglycosides from glycals. Beilstein J. Org. Chem. 2016, 12, 1758–1764. [Google Scholar] [CrossRef]
  80. Breugst, M.; Reissig, H.U. The Huisgen reaction: Milestones of the 1,3-dipolar cycloaddition. Angew. Chem. Int. Ed. 2020, 59, 12293–12307. [Google Scholar] [CrossRef]
  81. Tyagi, M.; Taxak, N.; Bharatam, P.V.; Nandanwar, H.; Kartha, K.P.R. Mechanochemical click reaction as a tool for making carbohydrate-based triazole-linked self-assembling materials (CTSAMs). Carbohydr. Res. 2015, 407, 137–147. [Google Scholar] [CrossRef]
  82. Tyagi, M.; Kartha, K.P.R. Synthesis of glycotriazololipids and observations on their self-assembly properties. Carbohydr. Res. 2015, 413, 85–92. [Google Scholar] [CrossRef]
  83. Mahajan, N.; Giri, S.K.; Kartha, K.P.R. Solvent-free mechanochemical synthesis of triazole-sugar conjugates as potential glycosidase inhibitors. Trends Carbohydr. Res. 2019, 11, 33–43. [Google Scholar]
  84. Kumar, V.; Giri, S.K.; Venugopalan, P.; Kartha, K.P.R. Synthesis of cross-linked glycopeptides and ureas by a mechanochemical, solvent-free reaction and determination of their structural properties by TEM and X-ray crystallography. ChemPlusChem 2014, 79, 1605–1613. [Google Scholar] [CrossRef]
  85. Mugunthan, G.; Kartha, K.P.R. Application of ball milling technology to carbohydrate reactions-II. Solvent-free mechanochemical synthesis of glycosyl azides. J. Carbohydr. Chem. 2008, 27, 294–299. [Google Scholar] [CrossRef]
  86. Lingome, C.E.; Pourceau, G.; Gobert-Deveauxb, V.; Wadouachi, A. Efficient synthesis of glycosylamines in solventless conditions promoted by mechanical milling. RSC Adv. 2014, 4, 36350. [Google Scholar] [CrossRef]
  87. Russ, C.; Ilgen, F.; Reil, C.; Luff, C.; Haji, B.A.; Koenig, B. Efficient preparation of β-D-glucosyl and β-D-mannosyl ureas and other N-glucosides in carbohydrate melts. Green Chem. 2011, 13, 156–161. [Google Scholar] [CrossRef]
  88. Cheetham, N.W.H.; Tran, T.D. Direct formation and isolation of unprotected α-and β-D-ribopyranosyl urea, α-and β-D-ribofuranosyl urea, and a ribosyl-1,2-cyclic carbamate in carbohydrate melts. Carbohydr. Res. 2020, 492, 108021. [Google Scholar] [CrossRef] [PubMed]
  89. Khan, A.T.; Khan, M.M. Bromodimethylsulfonium bromide (BDMS) mediated dithioacetalization of carbohydrates under solvent-free conditions. Carbohydr. Res. 2010, 345, 2139–2145. [Google Scholar] [CrossRef]
  90. Ranoux, A.; Lemiegre, L.; Benoit, M.; Guegan, J.-P.; Benvegnu, T. Horner-Wadsworth-Emmons reaction of unprotected sugars in water or in the absence of any solvent: One-step access to C-glycoside amphiphiles. Eur. J. Org. Chem. 2010, 1314–1323. [Google Scholar] [CrossRef]
  91. Richel, A.; Nicks, F.; Laurent, P.; Wathelet, B.; Wathelet, J.-P.; Paquot, M. Efficient microwave-promoted synthesis of glucuronic and galacturonic acid derivatives using sulfuric acid impregnated on silica. Green Chem. Lett. Rev. 2012, 5, 179–186. [Google Scholar] [CrossRef]
  92. Mika, L.T.; Cséfalvay, E.; Némeththe, A. Catalytic conversion of carbohydrates to initial platform chemicals: Chemistry and sustainability. Chem. Rev. 2018, 118, 506–613. [Google Scholar] [CrossRef]
  93. Zhang, Z.; Song, J.; Han, B. Catalytic transformation of lignocellulose into chemicals and fuel products in ionic liquids. Chem. Rev. 2017, 117, 6834–6880. [Google Scholar] [CrossRef]
  94. Tomaszewska, J.; Bielinski, D.; Binczarski, M.; Berlowska, J.; Dziugan, P.; Piotrowski, J.; Stanishevskye, A.; Witonska, I.A. Products of sugar beet processing as raw materials for chemicals and biodegradable polymers. RSC Adv. 2018, 8, 3161–3177. [Google Scholar] [CrossRef]
  95. Benoit, M.; Rodrigues, A.; Zhang, Q.; Fourrè, E.; Vigier, K.O.; Tatibou, J.-M.; Jerome, F. Depolymerization of cellulose assisted by a nonthermal atmospheric plasma. Angew. Chem. Int. Ed. 2011, 50, 8964–8967. [Google Scholar] [CrossRef] [PubMed]
  96. Hick, S.M.; Griebel, C.; Restrepo, D.T.; Truitt, J.H.; Buker, E.J.; Bylda, C.; Blair, R.G. Mechanocatalysis for biomass-derived chemicals and fuels. Green Chem. 2010, 12, 468–474. [Google Scholar] [CrossRef]
  97. Furusato, S.; Takagaki, A.; Hayashi, S.; Miyazato, A.; Kikuchi, R.; Oyama, S.T. Mechanochemical decomposition of crystalline cellulose in the presence of protonated layered niobium molybdate solid acid catalyst. ChemSusChem 2018, 11, 888–896. [Google Scholar] [CrossRef] [PubMed]
  98. Meine, N.; Rinaldi, R.; Schüth, F. Solvent-free catalytic depolymerization of cellulose to water-soluble oligosaccharides. ChemSusChem 2012, 5, 1449–1454. [Google Scholar] [CrossRef] [PubMed]
  99. Karam, A.; De Oliveira Vigier, K.; Marinkovic, S.; Estrine, B.; Oldani, C.; Jerome, F. Conversion of cellulose into amphiphilic alkyl glycosides catalyzed by aquivion, a perfluorosulfonic acid polymer. ChemSusChem 2017, 10, 3604–3610. [Google Scholar] [CrossRef]
  100. Schneider, L.; Haverinen, J.; Jaakkola, M.; Lassi, U. Solid acid-catalyzed depolymerization of barley straw driven by ball milling. Bioresour. Technol. 2016, 206, 204–210. [Google Scholar] [CrossRef]
  101. Dong, Y.; Schneider, L.; Hu, T.; Jaakkola, M.; Holm, J.; Leveque, J.M.; Lassi, U. Direct acid-catalysed mechanical depolymerisation of fibre sludge to reducing sugars using planetary milling. Biomass Bioenerg. 2016, 86, 36–42. [Google Scholar] [CrossRef]
  102. Dong, Y.; Haverinen, J.; Tuuttila, T.; Jaakkola, M.; Holm, J.; Leveque, J.M.; Lassi, U. Rapid one-step solvent-free acid-catalyzed mechanical depolymerization of pine sawdust to high-yield water-soluble sugars. Biomass Bioenerg. 2017, 102, 23–30. [Google Scholar] [CrossRef]
  103. Lempiainen, H.; Lappalainen, K.; Haverinen, J.; Tuuttila, T.; Hu, T.; Jakkola, M.; Lassi, U. The effect of mechanocatalytic pretreatment on the structure and depolymerization of willow. Catalysts 2020, 10, 255. [Google Scholar] [CrossRef]
  104. Li, L.Y.; Yan, L.L.; Shen, F.; Qiu, M.; Qi, X.H. Mechanocatalytic production of lactic acid from glucose by ball milling. Catalysts 2017, 7, 170. [Google Scholar] [CrossRef]
  105. Zang, H.J.; Wang, K.; Zhang, M.C.; Xie, R.R.; Wang, L.; Chen, E.Y.X. Catalytic coupling of biomass-derived aldehydes into intermediates for biofuels and materials. Catal. Sci. Technol. 2018, 8, 1777–1798. [Google Scholar] [CrossRef]

Article Metrics

Citations

Article Access Statistics

Multiple requests from the same IP address are counted as one view.