K-Modified Co–Mn–Al Mixed Oxide—Effect of Calcination Temperature on N2O Conversion in the Presence of H2O and NOx
Abstract
1. Introduction
2. Results and Discussion
2.1. Chemical, Structural and Textural Properties of Catalysts
2.2. XPS
2.3. TPR-H2
2.4. TPD-CO2
2.5. TPD-NO
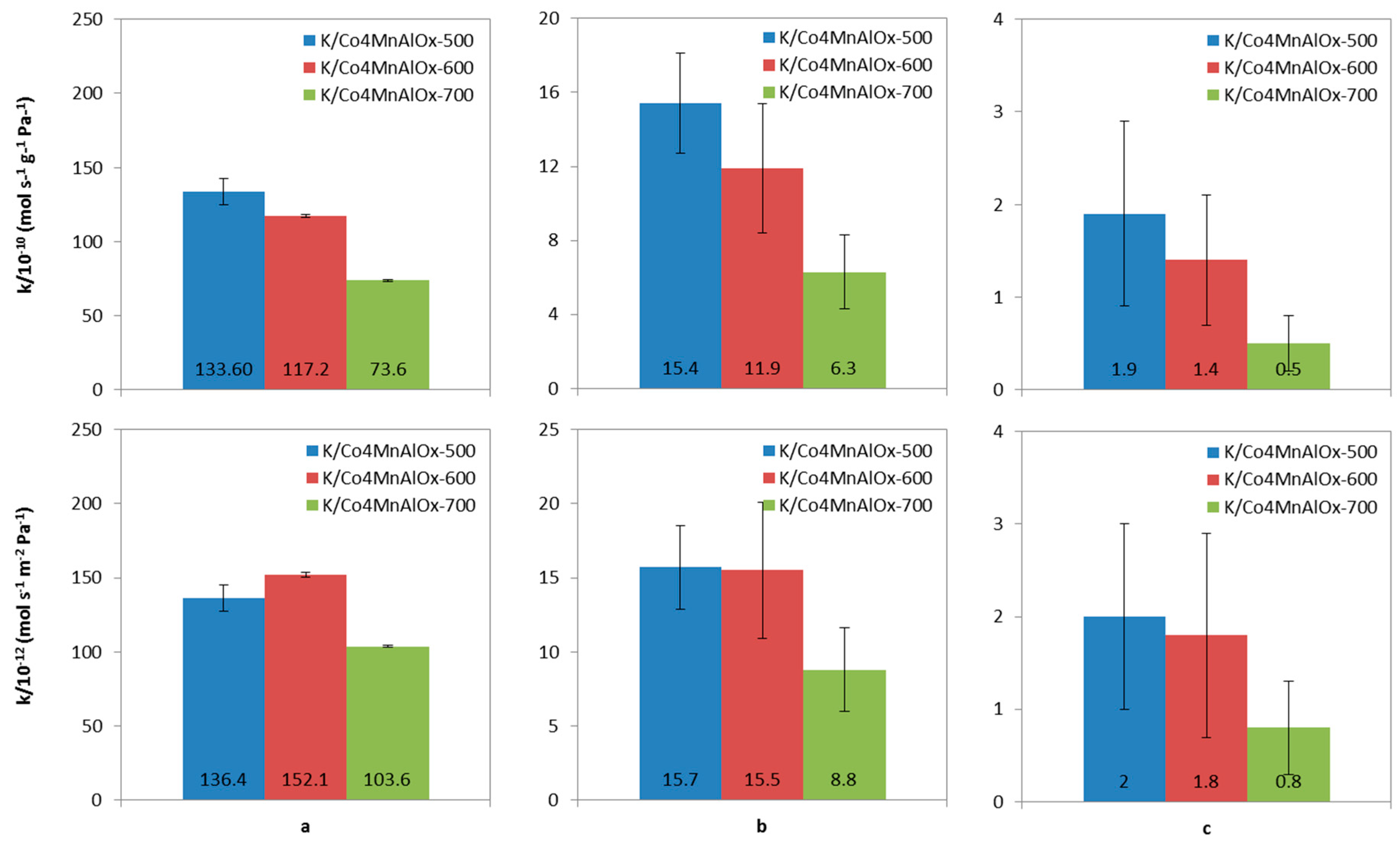
2.6. N2O Catalytic Decomposition
3. Materials and Methods
3.1. Catalyst Preparation
3.2. Catalyst Characterization
3.3. N2O Catalytic Decomposition
4. Conclusions
Supplementary Materials
Author Contributions
Funding
Acknowledgments
Conflicts of Interest
References
- Konsolakis, M. Recent Advances on Nitrous Oxide (N2O) Decomposition over Non-Noble-Metal Oxide Catalysts: Catalytic Performance, Mechanistic Considerations, and Surface Chemistry Aspects. ACS Catal. 2015, 5, 6397–6421. [Google Scholar] [CrossRef]
- Karásková, K.; Obalová, L.; Jirátová, K.; Kovanda, F. Effect of promoters in Co-Mn-Al mixed oxide catalyst on N2O decomposition. Chem. Eng. J. 2010, 160, 480–487. [Google Scholar] [CrossRef]
- Obalová, L.; Jirátová, K.; Kovanda, F.; Pacultová, K.; Lacný, Z.; Mikulová, Z. Catalytic decomposition of nitrous oxide over catalysts prepared from Co/Mg-Mn/Al hydrotalcite-like compounds. Appl. Catal. B Environ. 2005, 60, 289–297. [Google Scholar] [CrossRef]
- Obalová, L.; Kovanda, F.; Jirátová, K.; Pacultová, K.; Lacný, Z. Application of calcined layered double hydroxides as catalysts for abatement of N2O emissions. Collect. Czech. Chem. Commun. 2008, 73, 1045–1060. [Google Scholar] [CrossRef]
- Piskorz, W.; Zasada, F.; Stelmachowski, P.; Kotarba, A.; Sojka, Z. Decomposition of N2O over the surface of cobalt spinel: A DFT account of reactivity experiments. Catal. Today 2008, 137, 418–422. [Google Scholar] [CrossRef]
- Stelmachowski, P.; Ciura, K.; Grzybek, G. Morphology-dependent reactivity of cobalt oxide nanoparticles in N2O decomposition. Catal. Sci. Technol. 2016, 6, 5554–5560. [Google Scholar] [CrossRef]
- Wojcik, S.; Grzybek, G.; Stelmachowski, P.; Sojka, Z.; Kotarba, A. Bulk, Surface and Interface Promotion of Co3O4 for the Low-Temperature N2O Decomposition Catalysis. Catalysts 2020, 10, 41. [Google Scholar] [CrossRef]
- Wojcik, S.; Thersleff, T.; Gebska, K.; Grzybek, G.; Kotarba, A. Atomic-Level Dispersion of Bismuth over Co3O4 Nanocrystals-Outstanding Promotional Effect in Catalytic DeN2O. Catalysts 2020, 10, 51. [Google Scholar] [CrossRef]
- Cavani, F.; Trifirò, F.; Vaccari, A. Hydrotalcite-type anionic clays: Preparation, properties and applications. Catal. Today 1991, 11, 173–301. [Google Scholar] [CrossRef]
- Vaccari, A. Clays and catalysis: A promising future. Appl. Clay Sci. 1999, 14, 161–198. [Google Scholar] [CrossRef]
- Pérez-Ramírez, J.; Overeijnder, J.; Kapteijn, F.; Moulijn, J.A. Structural promotion and stabilizing effect of Mg in the catalytic decomposition of nitrous oxide over calcined hydrotalcite-like compounds. Appl. Catal. B Environ. 1999, 23, 59–72. [Google Scholar] [CrossRef]
- Obalová, L.; Karásková, K.; Jirátová, K.; Kovanda, F. Effect of potassium in calcined Co-Mn-Al layered double hydroxide on the catalytic decomposition of N2O. Appl. Catal. B Environ. 2009, 90, 132–140. [Google Scholar] [CrossRef]
- Klyushina, A.; Pacultová, K.; Karásková, K.; Jirátová, K.; Ritz, M.; Fridrichová, D.; Volodarskaja, A.; Obalová, L. Effect of preparation method on catalytic properties of Co-Mn-Al mixed oxides for N2O decomposition. J. Mol. Catal. A Chem. 2016, 425, 237–247. [Google Scholar] [CrossRef]
- Obalová, L.; Karásková, K.; Wach, A.; Kustrowski, P.; Mamulová-Kutláková, K.; Michalik, S.; Jirátová, K. Alkali metals as promoters in Co-Mn-Al mixed oxide for N2O decomposition. Appl. Catal. A Gen. 2013, 462, 227–235. [Google Scholar] [CrossRef]
- Abu-Zied, B.M.; Soliman, S.A.; Abdellah, S.E. Enhanced direct N2O decomposition over CuxCo1−xCo2O4 (0.0 ≤ x ≤ 1.0) spinel-oxide catalysts. J. Ind. Eng. Chem. 2015, 21, 814–821. [Google Scholar] [CrossRef]
- De Roy, A.; Forano, C.; Besse, J.P. Layered Double Hydroxides: Present and Future; Nova Science Publishers: New York, NY, USA, 2001; pp. 1–39. [Google Scholar]
- Chmielarz, L.; Rutkowska, M.; Kustrowski, P.; Drozdek, M.; Piwowarska, Z.; Dudek, B.; Dziembaj, R.; Michalik, M. An influence of thermal treatment conditions of hydrotalcite-like materials on their catalytic activity in the process of N2O decomposition. J. Therm. Anal. Calorim. 2011, 105, 161–170. [Google Scholar] [CrossRef]
- Kovanda, F.; Rojka, T.; Dobešová, J.; Machovič, V.; Bezdička, P.; Obalová, L.; Jirátová, K.; Grygar, T. Mixed oxides obtained from Co and Mn containing layered double hydroxides: Preparation, characterization, and catalytic properties. J. Solid State Chem. 2006, 179, 812–823. [Google Scholar] [CrossRef]
- Roman-Martinez, M.C.; Kapteijn, F.; Cazorla-Amoros, D.; Perez-Ramirez, J.; Moulijn, J.A. A TEOM-MS study on the interaction of N2O with a hydrotalcite-derived multimetallic mixed oxide catalyst. Appl. Catal. A Gen. 2002, 225, 87–100. [Google Scholar] [CrossRef]
- Tao, Y.X.; Yu, J.J.; Liu, C.C.; Hao, Z.P. N2O catalytic decomposition over mixed oxides derived from Co-Mg/Al hydrotalcite-like compounds. Acta Phys. Chim. Sin. 2007, 23, 162–168. [Google Scholar]
- Xu, X.-L.; Xu, X.-F.; Zhang, G.-T.; Niu, X.-J. Preparation of Co-Al mixed oxide-supported gold catalysts and their catalytic activity for N2O decomposition. J. Fuel Chem. Technol. 2009, 37, 595–600. [Google Scholar] [CrossRef]
- Cheng, H.; Huang, Y.; Wang, A.; Li, L.; Wang, X.; Zhang, T. N2O decomposition over K-promoted Co-Al catalysts prepared from hydrotalcite-like precursors. Appl. Catal. B Environ. 2009, 89, 391–397. [Google Scholar] [CrossRef]
- Pacultová, K.; Bílková, T.; Klegova, A.; Karásková, K.; Fridrichová, D.; Jirátová, K.; Kiška, T.; Balabánová, J.; Koštejn, M.; Kotarba, A.; et al. Co-Mn-Al Mixed Oxides Promoted by K for Direct NO Decomposition: Effect of Preparation Parameters. Catalysts 2019, 9, 593. [Google Scholar] [CrossRef]
- Grzybek, G.; Wójcik, S.; Legutko, P.; Gryboś, J.; Indyka, P.; Leszczyński, B.; Kotarba, A.; Sojka, Z. Thermal stability and repartition of potassium promoter between the support and active phase in the K-Co2.6Zn0.4O4|α-Al2O3 catalyst for N2O decomposition: Crucial role of activation temperature on catalytic performance. Appl. Catal. B Environ. 2017, 205, 597–604. [Google Scholar] [CrossRef]
- Obalová, L.; Jirátová, K.; Kovanda, F.; Valášková, M.; Balabánová, J.; Pacultová, K. Structure–activity relationship in the N2O decomposition over Ni-(Mg)-Al and Ni-(Mg)-Mn mixed oxides prepared from hydrotalcite-like precursors. J. Mol. Catal. A Chem. 2006, 248, 210–219. [Google Scholar] [CrossRef]
- Obalová, L.; Pacultová, K.; Balabánová, J.; Jirátová, K.; Bastl, Z.; Valášková, M.; Lacný, Z.; Kovanda, F. Effect of Mn/Al ratio in Co–Mn–Al mixed oxide catalysts prepared from hydrotalcite-like precursors on catalytic decomposition of N2O. Catal. Today 2007, 119, 233–238. [Google Scholar] [CrossRef]
- Obalová, L.; Maniak, G.; Karásková, K.; Kovanda, F.; Kotarba, A. Electronic nature of potassium promotion effect in Co-Mn-Al mixed oxide on the catalytic decomposition of N2O. Catal. Commun. 2011, 12, 1055–1058. [Google Scholar] [CrossRef]
- Pacultová, K.; Karásková, K.; Kovanda, F.; Jirátová, K.; Šramek, J.; Kustrowski, P.; Kotarba, A.; Chromčáková, Ž.; Kočí, K.; Obalová, L. K-doped Co-Mn-Al mixed oxide catalyst for N2O abatement from nitric acid plant waste gases: Pilot plant studies. Ind. Eng. Chem. Res. 2016, 55, 7076–7084. [Google Scholar] [CrossRef]
- Kovanda, F.; Grygar, T.; Dorničák, V.; Rojka, T.; Bezdička, P.; Jirátová, K. Thermal behaviour of Cu–Mg–Mn and Ni–Mg–Mn layered double hydroxides and characterization of formed oxides. Appl. Clay Sci. 2005, 28, 121–136. [Google Scholar] [CrossRef]
- Kannan, S.; Swamy, C.S. Catalytic decomposition of nitrous oxide over calcined cobalt aluminum hydrotalcites. Catal. Today 1999, 53, 725–737. [Google Scholar] [CrossRef]
- Atribak, I.; Guillén-Hurtado, N.; Bueno-López, A.; García-García, A. Influence of the physico-chemical properties of CeO2–ZrO2 mixed oxides on the catalytic oxidation of NO to NO2. Appl. Surf. Sci. 2010, 256, 7706–7712. [Google Scholar] [CrossRef]
- Biesinger, M.C.; Payne, B.P.; Grosvenor, A.P.; Lau, L.W.M.; Gerson, A.R.; Smart, R.S. Resolving surface chemical states in XPS analysis of first row transition metals, oxides and hydroxides: Cr, Mn, Fe, Co and Ni. Appl. Surf. Sci. 2011, 257, 2717–2730. [Google Scholar] [CrossRef]
- Hagelin-Weaver, H.A.E.; Hoflund, G.B.; Minahan, D.A.; Salaita, G.N. Electron energy loss spectroscopic investigation of Co metal, CoO, and Co3O4 before and after Ar+ bombardment. Appl. Surf. Sci. 2004, 235, 420–448. [Google Scholar] [CrossRef]
- Chromčáková, Ž.; Obalová, L.; Kovanda, F.; Legut, D.; Titov, A.; Ritz, M.; Fridrichová, D.; Michalik, S.; Kuśtrowski, P.; Jirátová, K. Effect of precursor synthesis on catalytic activity of Co3O4 in N2O decomposition. Catal. Today 2015, 257, 18–25. [Google Scholar] [CrossRef]
- Langell, M.A.; Gevrey, F.; Nydegger, M.W. Surface composition of MnxCo1-xO solid solutions by X-ray photoelectron and Auger spectroscopies. Appl. Surf. Sci. 2000, 153, 114–127. [Google Scholar] [CrossRef]
- Iablokov, V.; Barbosa, R.; Pollefeyt, G.; Van Driessche, I.; Chenakin, S.; Kruse, N. Catalytic CO Oxidation over Well-Defined Cobalt Oxide Nanoparticles: Size-Reactivity Correlation. ACS Catal. 2015, 5, 5714–5718. [Google Scholar] [CrossRef]
- Wang, Y.Z.; Hu, X.B.; Zheng, K.; Wei, X.H.; Zhao, Y.X. Effect of SnO2 on the structure and catalytic performance of Co3O4 for N2O decomposition. Catal. Commun. 2018, 111, 70–74. [Google Scholar] [CrossRef]
- Abu-Zied, B.M.; Bawaked, S.M.; Kosa, S.A.; Schwieger, W. Effect of microwave power on the thermal genesis of Co3O4 nanoparticles from cobalt oxalate micro-rods. Appl. Surf. Sci. 2015, 351, 600–609. [Google Scholar] [CrossRef]
- Lykaki, M.; Papista, E.; Kaklidis, N.; Carabineiro, S.A.C.; Konsolakis, M. Ceria Nanoparticles’ Morphological Effects on the N2O Decomposition Performance of Co3O4/CeO2 Mixed Oxides. Catalysts 2019, 9, 233. [Google Scholar] [CrossRef]
- Kim, S.C.; Shim, W.G. Catalytic combustion of VOCs over a series of manganese oxide catalysts. Appl. Catal. B Environ. 2010, 98, 180–185. [Google Scholar] [CrossRef]
- Moulder, J.F.; Stickle, W.F.; Sobol, P.E.; Bomben, K.D. Handbookof X-ray Photoeletron Spectroscopy: A Reference Book of Standard Spectra for Identification and Interpretation of XPS Data; Perkin-Elmer Corporation: Eden Prairie, MN, USA, 1995. [Google Scholar]
- Dupin, J.C.; Gonbeau, D.; Vinatier, P.; Levasseur, A. Systematic XPS studies of metal oxides, hydroxides and peroxides. Phys. Chem. Chem. Phys. 2000, 2, 1319–1324. [Google Scholar] [CrossRef]
- Piumetti, M.; Bensaid, S.; Russo, N.; Fino, D. Nanostructured ceria-based catalysts for soot combustion: Investigations on the surface sensitivity. Appl. Catal. B Environ. 2015, 165, 742–751. [Google Scholar] [CrossRef]
- Chuang, T.J.; Brundle, C.R.; Rice, D.W. Interpretation of X-ray Photoemission spectra of cobalt oxides and cobalt oxide surfaces. Surf. Sci. 1976, 59, 413–429. [Google Scholar] [CrossRef]
- Li, W.; Yang, S.S.; Wang, K.L.; Tu, S.H.; Lu, M.J.; Wu, P.X. Evaluation of the physiochemical properties and catalytic performance of CuCoMnAl mixed oxides derived from layered double hydroxides precursors with different mole ratios of Cu/Co on the oxidation of toluene. React. Kinet. Mech. Catal. 2019, 128, 965–977. [Google Scholar] [CrossRef]
- Chen, H.H.; Yang, M.; Tao, S.; Chen, G.W. Oxygen vacancy enhanced catalytic activity of reduced Co3O4 towards p-nitrophenol reduction. Appl. Catal. B Environ. 2017, 209, 648–656. [Google Scholar] [CrossRef]
- Luo, Y.J.; Zheng, Y.B.; Zuo, J.C.; Feng, X.S.; Wang, X.Y.; Zhang, T.H.; Zhang, K.; Jiang, L.L. Insights into the high performance of Mn-Co oxides derived from metal organic frameworks for total toluene oxidation. J. Hazard. Mater. 2018, 349, 119–127. [Google Scholar] [CrossRef]
- Kaczmarczyk, J.; Zasada, F.; Janas, J.; Indyka, P.; Piskorz, W.; Kotarba, A.; Sojka, Z. Thermodynamic Stability, Redox Properties, and Reactivity of Mn3O4, Fe3O4, and Co3O4 Model Catalysts for N2O Decomposition: Resolving the Origins of Steady Turnover. ACS Catal. 2016, 6, 1235–1246. [Google Scholar] [CrossRef]
- Jung, D.H.; Umirov, N.; Kim, T.; Bakenov, Z.; Kim, J.S.; Kim, S.S. Thermal and Structural Stabilities of LixCoO2 Cathode for Li Secondary Battery Studied by a Temperature Programmed Reduction. Eurasian Chem. Technol. J. 2019, 21, 3–12. [Google Scholar] [CrossRef]
- Lin, H.Y.; Chen, Y.W. The mechanism of reduction of cobalt by hydrogen. Mater. Chem. Phys. 2004, 85, 171–175. [Google Scholar] [CrossRef]
- Calgaro, C.O.; Perez-Lopez, O.W. Decomposition of methane over Co3-xAlxO4 (x = 0-2) coprecipitated catalysts: The role of Co phases in the activity and stability. Int. J. Hydrog. Energy 2017, 42, 29756–29772. [Google Scholar] [CrossRef]
- Wang, Z.; Jiang, Z.; Shangguan, W. Simultaneous catalytic removal of NOx and soot particulate over Co–Al mixed oxide catalysts derived from hydrotalcites. Catal. Commun. 2007, 8, 1659–1664. [Google Scholar] [CrossRef]
- Arnoldy, P.; van Oers, E.M.; Bruinsma, O.S.L.; de Beer, V.H.J.; Moulijn, J.A. Temperature-Programmed Reduction of Al2O3-, SiO2-, and carbon-supported Re2O7 catalysts. J. Catal. 1985, 93, 231–245. [Google Scholar] [CrossRef]
- Wu, M.; Zhan, W.; Guo, Y.; Guo, Y.; Wang, Y.; Wang, L.; Lu, G. An effective Mn-Co mixed oxide catalyst for the solvent-free selective oxidation of cyclohexane with molecular oxygen. Appl. Catal. A Gen. 2016, 523, 97–106. [Google Scholar] [CrossRef]
- Kapteijn, F.; Singoredjo, L.; Andreini, A.; Moulijn, J.A. Activity and selectivity of pure manganese oxides in the selective catalytic reduction of nitric-oxide with ammonia. Appl. Catal. B Environ. 1994, 3, 173–189. [Google Scholar] [CrossRef]
- Arena, F.; Torre, T.; Raimondo, C.; Parmaliana, A. Structure and redox properties of bulk and supported manganese oxide catalysts. Phys. Chem. Chem. Phys. 2001, 3, 1911–1917. [Google Scholar] [CrossRef]
- Royer, S.; Bérubé, F.; Kaliaguine, S. Effect of the synthesis conditions on the redox and catalytic properties in oxidation reactions of LaCo1−xFexO3. Appl. Catal. A Gen. 2005, 282, 273–284. [Google Scholar] [CrossRef]
- Smoláková, L.; Frolich, K.; Troppová, I.; Kutálek, P.; Kroft, E.; Čapek, L. Determination of basic sites in Mg-Al mixed oxides by combination of TPD-CO2 and CO2 adsorption calorimetry. J. Therm. Anal. Calorim. 2017, 127, 1921–1929. [Google Scholar] [CrossRef]
- Kotarba, A.; Bieniasz, W.; Kuśtrowski, P.; Stadnicka, K.; Sojka, Z. Composite ferrite catalyst for ethylbenzene dehydrogenation: Enhancement of potassium stability and catalytic performance by phase selective doping. Appl. Catal. A Gen. 2011, 407, 100–105. [Google Scholar] [CrossRef]
- Kotarba, A.; Kruk, I.; Sojka, Z. Energetics of Potassium Loss from Styrene Catalyst Model Components: Reassignment of K Storage and Release Phases. J. Catal. 2002, 211, 265–272. [Google Scholar] [CrossRef]
- Pinho, P.V.B.; Grybos, J.; Hudy, C.; Janas, J.; Gora-Marek, K.; Zasada, F.; Sojka, Z. Interaction of nitric oxide with the (100) surface of cobalt spinel nanocubes—A comprehensive DFT, atomistic thermodynamic, IR and TPD account. Appl. Surf. Sci. 2020, 513, 10. [Google Scholar] [CrossRef]
- Pacultová, K.; Klegová, A.; Karásková, K.; Fridrichová, D.; Bílková, T.; Obalová, L. Oxygen effect in NO direct decomposition over K/Co-Mg-Mn-Al mixed oxide catalyst-temperature programmed desorption study. J. Catal. 2020. submitted. [Google Scholar]
- Bílková, T.; Pacultová, K.; Karásková, K.; Fridrichová, D.; Obalová, L.; Haneda, M. Reaction mechanism of NO direct decomposition over K-promoted Co-Mn-Al mixed oxides–DRIFTS, TPD and transient kinetic studies. Appl. Surf. Sci. submitted. 2020. [Google Scholar]
- Alvarez, P.; Aguila, G.; Guerrero, S.; Araya, P. Thermal stability of the Cu-CeO2 interface on silica and alumina, and its relation with activity in the oxidation reaction of Co and the decomposition of N2O. J. Chil. Chem. Soc. 2018, 63, 4102–4108. [Google Scholar] [CrossRef]
- Pacultová, K.; Karásková, K.; Strakošová, J.; Jirátová, K.; Obalová, L. Supported Co–Mn–Al mixed oxides as catalysts for N2O decomposition. Comptes Rendus Chim. 2015, 18, 1114–1122. [Google Scholar] [CrossRef]
- Obalová, L.; Fíla, V. Kinetic analysis of N2O decomposition over calcined hydrotalcites. Appl. Catal. B Environ. 2007, 70, 353–359. [Google Scholar] [CrossRef]
- Zasada, F.; Stelmachowski, P.; Maniak, G.; Paul, J.F.; Kotarba, A.; Sojka, Z. Potassium Promotion of Cobalt Spinel Catalyst for N2O Decomposition-Accounted by Work Function Measurements and DFT Modelling. Catal. Lett. 2009, 127, 126–131. [Google Scholar] [CrossRef]
- Del Río, L.; Marbán, G. Stainless steel wire mesh-supported potassium-doped cobalt oxide catalysts for the catalytic decomposition of nitrous oxide. Appl. Catal. B Environ. 2012, 126, 39–46. [Google Scholar] [CrossRef]
- Stelmachowski, P.; Zasada, F.; Piskorz, W.; Kotarba, A.; Paul, J.-F.; Sojka, Z. Experimental and DFT studies of N2O decomposition over bare and Co-doped magnesium oxide—Insights into the role of active sites topology in dry and wet conditions. Catal. Today 2008, 137, 423–428. [Google Scholar] [CrossRef]
- Asano, K.; Ohnishi, C.; Iwamoto, S.; Shioya, Y.; Inoue, M. Potassium-doped Co3O4 catalyst for direct decomposition of N2O. Appl. Catal. B Environ. 2008, 78, 242–249. [Google Scholar] [CrossRef]
- Nguyen, H.P.; Del Valle, S.P.; Marie, O. NOx adsorption on K and Ba loaded on zirconia-titania NSR catalysts: A comparative study by in situ and operando IR spectroscopy. Appl. Catal. B Environ. 2018, 231, 391–399. [Google Scholar] [CrossRef]







| Sample | K/Co4MnAlOx-500 | K/Co4MnAlOx-600 | K/Co4MnAlOx-700 |
|---|---|---|---|
| Co (wt.%) | 52.2 | 54.5 | 56.1 |
| Mn (wt.%) | 11.0 | 11.5 | 11.8 |
| Al (wt.%) | 5.0 | 5.2 | 5.2 |
| K (wt.%) | 2.2 | 2.3 | 2.3 |
| SBET (m2 g−1) | 98 | 77 | 71 |
| Vmeso (cm3 g−1) | 0.37 | 0.35 | 0.36 |
| Lc a (nm) | 8.7 | 9.8 | 11.7 |
| TPR-H2 (25–1000 °C) (mmol g−1) | 10.9 | 13.6 | 12.4 |
| TPR-H2 (25–500 °C) (mmol g−1) | 3.6 | 4.5 | 3.8 |
| Tmax b (°C) | 173; 387; 589; 776 | 218; 434; 604; 754; 856 | 229; 434; 625; 759; 856 |
| (Co + Mn) mean oxidation state | 2.4 | 2.8 | 2.5 |
| TPD-CO2 (28–650 °C) (mmol g−1) | 1.9 | 3.2 | 3.7 |
| TPD-CO2 (28–650 °C) (mmol m−2) | 0.02 | 0.04 | 0.05 |
| TPD-NO (50–650 °C) (a.u. g−1) c | 2.4; 8.3; 7.0; 11.8; 1.4 | n.d. | 1.2; 5.5; 14.7; 6.1 |
| TPD-NO (50–650 °C) (a.u. m−2) | 0.30 | n.d. | 0.39 |
| Ea (J mol−1) d | 104,423 e 117,626 f 188,013 g | 88,452 e 107,907 f 160,576 g | 97,315 e 136,848 f 167,477 g |
| Sample | Co 2p3/2 a | Mn 2p3/2 b | O 1s | O 1s | Co2+/Co3+ | Mn3+/Mn4+ |
|---|---|---|---|---|---|---|
| K/Co4MnAlOx-500 | 780.0 | 641.9 | 530.1 | 531.8 | 1.32 | 2.88 |
| K/Co4MnAlOx-600 | 779.9 | 641.6 | 529.7 | 531.3 | 1.30 | 2.72 |
| K/Co4MnAlOx-700 | 779.9 | 641.5 | 529.7 | 531.4 | 1.26 | 2.68 |
| Sample | K/Co4MnAlOx-500 | K/Co4MnAlOx-600 | K/Co4MnAlOx-700 |
|---|---|---|---|
| Co 2p (at. %) | 13.16 | 12.56 | 11.78 |
| Mn 2p (at. %) | 3.76 | 5.05 | 5.24 |
| Al 2p(at. %) | 7.72 | 7.44 | 7.86 |
| O 1s (at. %) | 55.08 | 51.80 | 51.68 |
| C 1s (at. %) | 13.50 | 18.68 | 18.21 |
| K 2p (at. %) | 4.04 | 3.82 | 4.48 |
| K (atoms nm−2) | 6.4 | 7.6 | 9.7 |
| Na 1s (at. %) | 1.24 | 0.64 | 0.75 |
| N 1s (at. %) | 1.51 | 0 | 0 |
| Surface/Bulk Molar Ratio | K/Co4MnAlOx-500 | K/Co4MnAlOx-600 | K/Co4MnAlOx-700 |
|---|---|---|---|
| Co | 0.5 | 0.4 | 0.4 |
| Mn | 0.6 | 0.7 | 0.7 |
| Al | 1.3 | 1.2 | 1.2 |
| K | 2.3 | 2.0 | 2.3 |
© 2020 by the authors. Licensee MDPI, Basel, Switzerland. This article is an open access article distributed under the terms and conditions of the Creative Commons Attribution (CC BY) license (http://creativecommons.org/licenses/by/4.0/).
Share and Cite
Karásková, K.; Pacultová, K.; Jirátová, K.; Fridrichová, D.; Koštejn, M.; Obalová, L. K-Modified Co–Mn–Al Mixed Oxide—Effect of Calcination Temperature on N2O Conversion in the Presence of H2O and NOx. Catalysts 2020, 10, 1134. https://doi.org/10.3390/catal10101134
Karásková K, Pacultová K, Jirátová K, Fridrichová D, Koštejn M, Obalová L. K-Modified Co–Mn–Al Mixed Oxide—Effect of Calcination Temperature on N2O Conversion in the Presence of H2O and NOx. Catalysts. 2020; 10(10):1134. https://doi.org/10.3390/catal10101134
Chicago/Turabian StyleKarásková, Kateřina, Kateřina Pacultová, Květuše Jirátová, Dagmar Fridrichová, Martin Koštejn, and Lucie Obalová. 2020. "K-Modified Co–Mn–Al Mixed Oxide—Effect of Calcination Temperature on N2O Conversion in the Presence of H2O and NOx" Catalysts 10, no. 10: 1134. https://doi.org/10.3390/catal10101134
APA StyleKarásková, K., Pacultová, K., Jirátová, K., Fridrichová, D., Koštejn, M., & Obalová, L. (2020). K-Modified Co–Mn–Al Mixed Oxide—Effect of Calcination Temperature on N2O Conversion in the Presence of H2O and NOx. Catalysts, 10(10), 1134. https://doi.org/10.3390/catal10101134

