In-Situ FT-IR Spectroscopy Investigation of CH4 and CO2 Reaction
Abstract
1. Introduction
2. Results
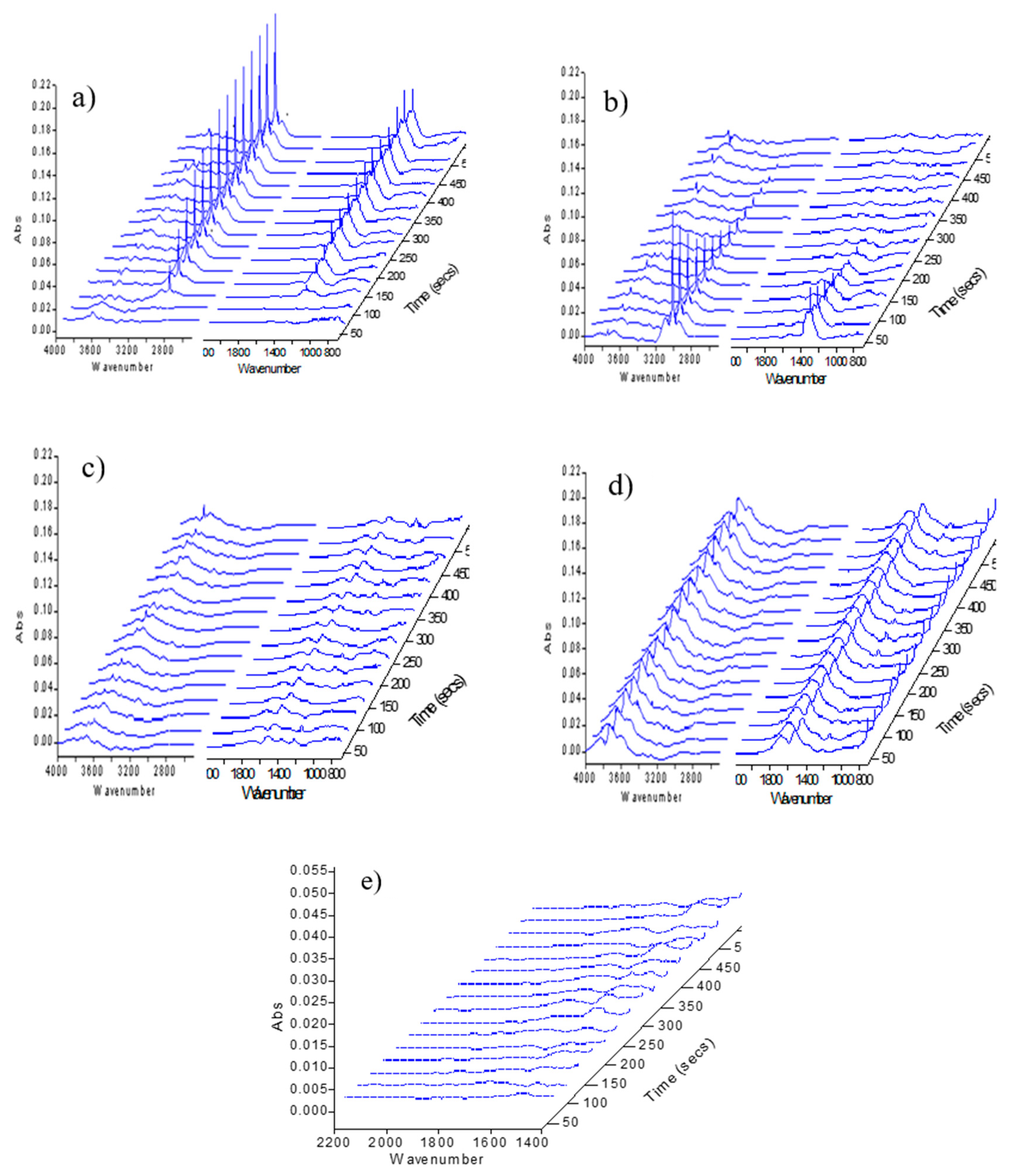
2.1. Blank Experiment
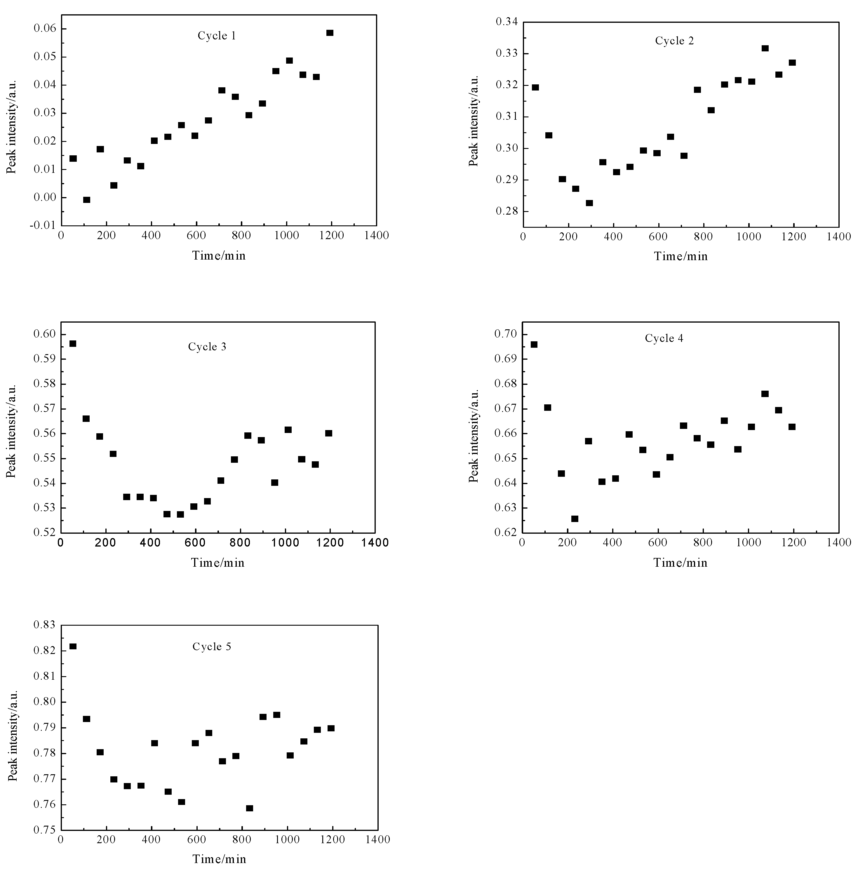
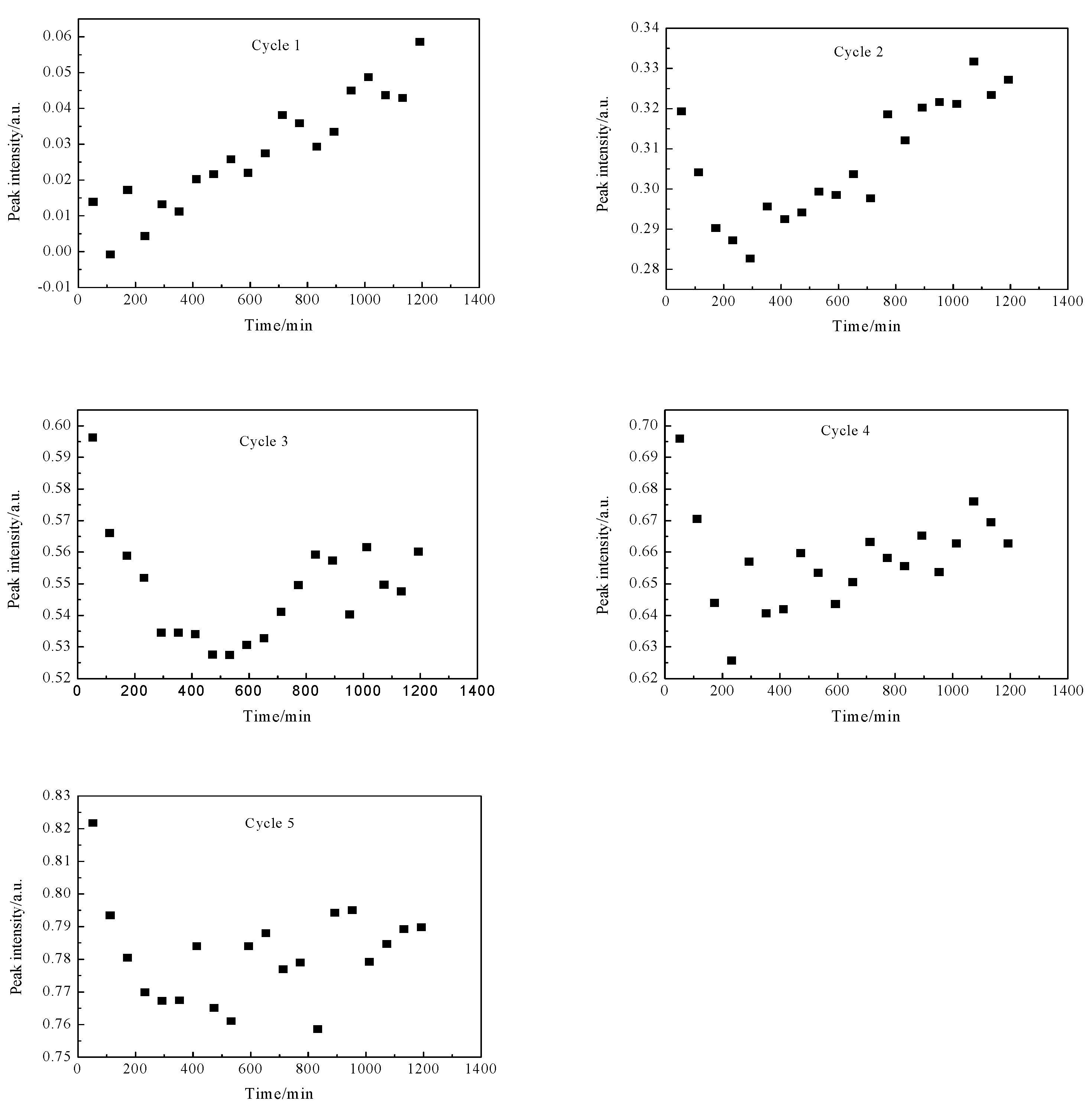
2.2. Cu-Co Catalyst Sample Experiment
3. Discussion
3.1. Activation of CH4 on “Clean”Catalyst Surface
3.2. Reaction of Adsorbed CH4 and CO2
3.3. Activation of CH4 on “Polluted” Catalyst Surface
4. Experimental
4.1. Catalyst Preparation
4.2. Test of In-Situ FT-IR
5. Conclusions
Author Contributions
Funding
Conflicts of Interest
References
- Song, Q.W.; Zhou, Z.H.; He, L.N. Efficient, selective and sustainable catalysis of carbon dioxide. Green Chem. 2017, 19, 3707–3728. [Google Scholar] [CrossRef]
- Álvarez, A.; Bansode, A.; Urakawa, A.; Bavykina, A.V.; Wezendonk, T.A.; Makkee, M.; Gascon, J.; Kapteijn, F. Challenges in the greener production of formates/formic acid, methanol, and DME by heterogeneously catalyzed CO2 hydrogenation processes. Chem. Rev. 2017, 117, 9804–9838. [Google Scholar] [CrossRef] [PubMed]
- Zhao, Y.T.; Wang, H.; Han, J.Y.; Zhu, X.L.; Ge, Q.F. Active site ensembles enabled C-C coupling of CO2 and CH4 for acetone production. J. Phys. Chem. C 2018, 122, 9570–9577. [Google Scholar] [CrossRef]
- Zhao, Y.T.; Cui, C.N.; Han, J.Y.; Wang, H.; Zhu, X.L.; Ge, Q.F. Direct C-C coupling of CO2 and the methyl group from CH4 activation through facile insertion of CO2 into Zn-CH3 σ‑Bond. J. Am. Chem. Soc. 2016, 138, 10191–10198. [Google Scholar] [CrossRef] [PubMed]
- Wang, L.; Yi, Y.H.; Wu, C.F.; Guo, H.C.; Tu, X. One-step reforming of CO2 and CH4 into high-value liquid chemicals and fuels at room temperature by plasma-driven catalysis. Angew. Chem. Int. Ed. 2017, 56, 13679–13683. [Google Scholar] [CrossRef] [PubMed]
- Montejo-Valencia, B.D.; Pagan-Torres, Y.J.; Martínez-Inesta, M.M.; Curet-Arana, M.C. Density functional theory (DFT) study to unravel the catalytic properties of M-exchanged MFI, (M = Be, Co, Cu, Mg, Mn, Zn) for the conversion of methane and carbon dioxide to acetic acid. ACS Catal. 2017, 7, 6719–6728. [Google Scholar] [CrossRef]
- Shavi, R.; Ko, J.; Cho, A.; Han, J.W.; Seo, J.G. Mechanistic insight into the quantitative synthesis of acetic acid by direct conversion of CH4 and CO2: An experimental and theoretical approach. Appl. Catal. B Environ. 2018, 229, 237–248. [Google Scholar] [CrossRef]
- Weng, W.Z.; Chen, M.S.; Yan, Q.G.; Wu, T.H.; Chao, Z.S.; Liao, Y.Y.; Wan, H.L. Mechanistic study of partial oxidation of methane to synthesis gas over supported rhodium and ruthenium catalysts using in situ time-resolved FTIR spectroscopy. Catal. Today 2000, 63, 317–326. [Google Scholar] [CrossRef]
- Lobree, L.J.; Aylor, A.W.; Reimer, J.A.; Bell, A.T. NO reduction by CH4 in the presence of O2 over Pd-H-ZSM-5. J. Catal. 1999, 181, 189–204. [Google Scholar] [CrossRef]
- Kantcheva, M.; Cayirtepe, I. FT-IR spectroscopic investigation of the surface reaction of CH4 with NOx species adsorbed on Pd/WO3-ZrO2 catalyst. Catal. Lett. 2007, 115, 148–162. [Google Scholar] [CrossRef]
- Kantcheva, M.; Vakkasoglu, A.S. Cobalt supported on zirconia and sulfated zirconia I.: FT-IR spectroscopic characterization of the NOx species formed upon NO adsorption and NO/O2 coadsorption. J. Catal. 2004, 223, 352–363. [Google Scholar] [CrossRef]
- Tsyntsarski, B.; Averska, V.; Kolev, H.; Marinova, T.; Klissurski, D.; Hadjiivanov, K. FT-IR study of the nature and reactivity of surface NOx compounds formed after NO adsorption and NO + O2 coadsorption on zirconia- and sulfated zirconia-supported cobalt. J. Mol. Catal. A 2003, 193, 139–149. [Google Scholar] [CrossRef]
- Huang, W.; Xie, K.C.; Wang, J.P.; Gao, Z.H.; Yin, L.H.; Zhu, Q.M. Possibility of direct conversion of CH4 and CO2 to high-value products. J. Catal. 2001, 201, 100–104. [Google Scholar] [CrossRef]
- Huang, W.; Sun, W.Z.; Li, F. Efficient synthesis of ethanol and acetic acid from methane and carbon dioxide with a continuous, stepwise reactor. AIChE J. 2010, 56, 1279–1284. [Google Scholar] [CrossRef]
- Ding, Y.H.; Huang, W.; Wang, Y.G. Direct synthesis of acetic acid from CH4 and CO2 by a step-wise route over Pd/SiO2 and Rh/SiO2 catalysts. Fuel Process. Technol. 2007, 88, 319–324. [Google Scholar] [CrossRef]
- Driessen, M.D.; Grassian, V.H. Methyl spillover on silica-supported copper catalysts from the dissociative adsorption of methyl halides. J. Catal. 1996, 161, 810–818. [Google Scholar] [CrossRef]
- Wu, T.H.; Lin, D.M.; Wu, Y.; Zhou, X.P.; Yan, Q.G.; Weng, W.Z.; Wan, H.L. In-situ FT-IR investigation of partial oxidation of methane to syngas over Rh/SiO2 catalyst. J. Nat. Gas Chem. 2007, 16, 316–321. [Google Scholar] [CrossRef]
- Srivastava, A.K.; Pandey, A.K.; Jain, S.N. FT-IR spectroscopy, intra-molecular CHO interactions, HOMO, LUMO, MESP analysis and biological activity of two natural products, triclisine and rufescine: DFT and QTAIM approaches. Misra Spectrochim. Acta A 2015, 136, 682–689. [Google Scholar] [CrossRef] [PubMed]
- Raskó, J.; Solymosi, F. Reactions of adsorbed CH3 species with CO2 on Rh/SiO2 catalyst. Catal. Lett. 1997, 46, 153–157. [Google Scholar] [CrossRef]
- Raskó, J.; Solymosi, F. Adsorption of CH3 and its reactions with CO2 over TiO2. Catal. Lett. 1998, 54, 49–54. [Google Scholar] [CrossRef]






© 2020 by the authors. Licensee MDPI, Basel, Switzerland. This article is an open access article distributed under the terms and conditions of the Creative Commons Attribution (CC BY) license (http://creativecommons.org/licenses/by/4.0/).
Share and Cite
Liu, Y.; Cui, N.; Jia, P.; Huang, W. In-Situ FT-IR Spectroscopy Investigation of CH4 and CO2 Reaction. Catalysts 2020, 10, 131. https://doi.org/10.3390/catal10010131
Liu Y, Cui N, Jia P, Huang W. In-Situ FT-IR Spectroscopy Investigation of CH4 and CO2 Reaction. Catalysts. 2020; 10(1):131. https://doi.org/10.3390/catal10010131
Chicago/Turabian StyleLiu, Yongjun, Nan Cui, Penglong Jia, and Wei Huang. 2020. "In-Situ FT-IR Spectroscopy Investigation of CH4 and CO2 Reaction" Catalysts 10, no. 1: 131. https://doi.org/10.3390/catal10010131
APA StyleLiu, Y., Cui, N., Jia, P., & Huang, W. (2020). In-Situ FT-IR Spectroscopy Investigation of CH4 and CO2 Reaction. Catalysts, 10(1), 131. https://doi.org/10.3390/catal10010131
