Polarization and Segregation through Conformity Pressure and Voluntary Migration: Simulation Analysis of Co-Evolutionary Dynamics
Abstract
1. Introduction
2. The Base Model
3. Results
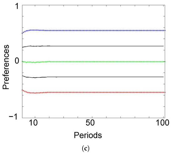
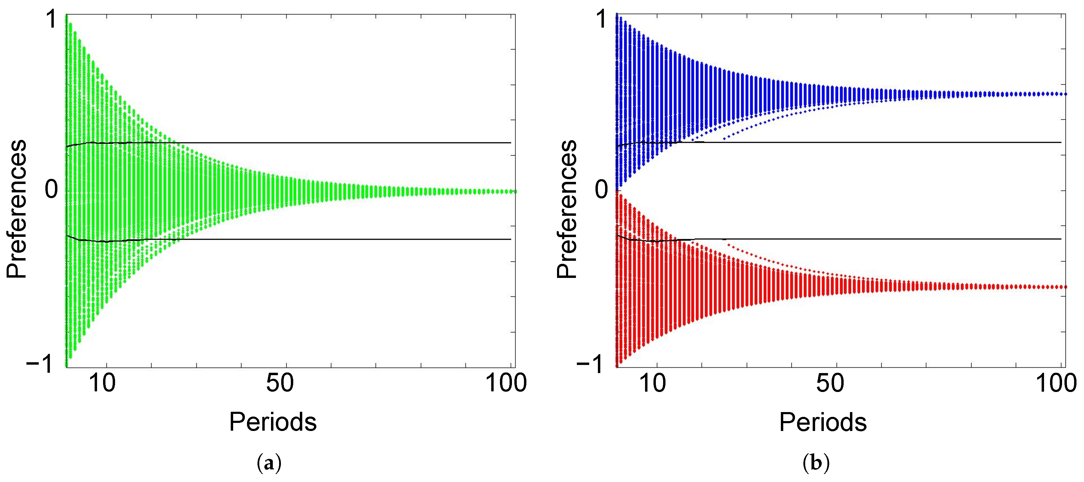
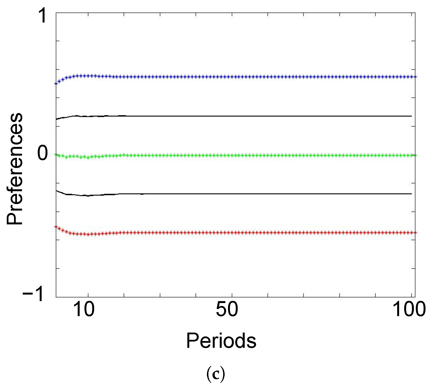
3.1. One-Shot Simulation
3.2. Monte Carlo Comparative Statics
3.2.1. Frequency of Switching Opportunity
3.2.2. Asymmetry in Population Distributions
3.2.3. Extension: Exogenous Utility of City
4. Conclusions
Acknowledgments
Author Contributions
Conflicts of Interest
References
- Appiah, K.A. Cosmopolitanism: Ethics in a World of Strangers (Issues of Our Time); WW Norton & Company: New York, NY, USA, 2010. [Google Scholar]
- National Terrorism Advisory System Bulletin (NTAS); U.S. Department of Homeland Security: Washington, DC, USA, 2017. Available online: https://www.dhs.gov/ntas/advisory/ntas_17_0515_0001 (accessed on 21 November 2017).
- Sandler, T. Terrorism and counterterrorism: An overview. Oxf. Econ. Pap. 2015, 67, 1. [Google Scholar] [CrossRef]
- Hafez, M.; Mullins, C. The radicalization puzzle: A theoretical synthesis of empirical approaches to homegrown extremism. Stud. Confl. Terror. 2015, 38, 958–975. [Google Scholar] [CrossRef]
- Klausen, J.; Campion, S.; Needle, N.; Nguyen, G.; Libretti, R. Toward a behavioral model of “Homegrown” radicalization trajectories. Stud. Confl. Terror. 2016, 39, 67–83. [Google Scholar] [CrossRef]
- Constant, A.F.; Zimmermann, K.F. International Handbook on the Economics of Migration; Edward Elgar Publishing: Cheltenham, UK, 2013. [Google Scholar]
- Luttmer, E.F.; Singhal, M. Culture, context, and the taste for redistribution. Am. Econ. J. Econ. Policy 2011, 3, 157–179. [Google Scholar] [CrossRef]
- Aleksynska, M. Civic participation of immigrants in Europe: Assimilation, origin, and destination country effects. Eur. J. Political Econ. 2011, 27, 566–585. [Google Scholar] [CrossRef]
- Fernandez, R.; Fogli, A. Culture: An empirical investigation of beliefs, work, and fertility. Am. Econ. J. Macroecon. 2009, 1, 146–177. [Google Scholar] [CrossRef]
- Algan, Y.; Cahuc, P. Inherited trust and growth. Am. Econ. Rev. 2010, 100, 2060–2092. [Google Scholar] [CrossRef]
- Manz, C.C.; Sapienza, P.; Zingales, L. Does culture affect economic outcomes? J. Econ. Perspect. 2006, 20, 23–48. [Google Scholar]
- Brehm, S.S.; Kassin, S.M.; Fein, S. Social Psychology, 5th ed.; Houghton Mifflin: Boston, MA, USA, 2002. [Google Scholar]
- Bisin, A.; Verdier, T. The economics of cultural transmission and the dynamics of preferences. J. Econ. Theory 2001, 97, 298–319. [Google Scholar] [CrossRef]
- Bisin, A.; Verdier, T. The economics of cultural transmission and socialization. In Handbook of Social Economics; Benhabib, J., Bisin, A., Jackson, M.O., Eds.; Elsevier BV: Amsterdam, The Netherlands, 2011; Volume 1A, pp. 339–416. [Google Scholar]
- Boyd, R.; Richerson, P.J. Voting with your feet: Payoff biased migration and the evolution of group beneficial behavior. J. Theor. Biol. 2009, 257, 331–339. [Google Scholar] [CrossRef] [PubMed]
- McElreath, R.; Boyd, R.; Richerson, P.J. Shared norms and the evolution of ethnic markers. Curr. Anthropol. 2003, 44, 122–130. [Google Scholar] [CrossRef]
- Kuran, T.; Sandholm, W.H. Cultural integration and its discontents. Rev. Econ. Stud. 2008, 75, 201–228. [Google Scholar] [CrossRef]
- Buechel, B.; Hellmann, T.; Pichler, M.M. The dynamics of continuous cultural traits in social networks. J. Econ. Theory 2014, 154, 274–309. [Google Scholar] [CrossRef]
- Cheung, M.W.; Wu, J. On the Probabilistic Transmission of Continuous Cultural Traits; Working paper; University of Oregon: Eugene, OR, USA, 2017. [Google Scholar]
- Dressler, W.W.; Borges, C.D.; Balieiro, M.C.; dos Santos, J.E. Measuring cultural consonance: Examples with special reference to measurement theory in anthropology. Field Methods 2005, 17, 331–355. [Google Scholar] [CrossRef]
- Dressler, W.W.; Balieiro, M.C.; Ribeiro, R.P.; Santos, J.E.D. Cultural consonance and psychological distress: Examining the associations in multiple cultural domains. Cult. Med. Psychiatry 2007, 31, 195–224. [Google Scholar] [CrossRef] [PubMed]
- Dressler, W.W.; Bindon, J.R. The health consequences of cultural consonance: Cultural dimensions of lifestyle, social support, and arterial blood pressure in an African American Community. Am. Anthropol. 2000, 102, 244–260. [Google Scholar] [CrossRef]
- Dressler, W.W.; Oths, K.S.; Gravlee, C.C. Race and ethnicity in public health research: Models to explain health disparities. Annu. Rev. Anthropol. 2005, 34, 231–252. [Google Scholar] [CrossRef]
- Schelling, T.C. Dynamic models of segregation. J. Math. Sociol. 1971, 1, 143–186. [Google Scholar] [CrossRef]
- Clark, W.A.V. Residential preferences and neighborhood racial segregation: A test of the schelling segregation model. Demography 1991, 28, 1–19. [Google Scholar] [CrossRef] [PubMed]
- Schuman, H.; Steeh, C.; Bobo, L.; Krysan, M. Racial Attitudes in America, rev. ed.; Harvard University Press: Cambridge, MA, USA, 1997. [Google Scholar]
- Bruch, E.E.; Mare, R.D. Neighborhood choice and neighborhood change. Am. J. Sociol. 2006, 112, 667–709. [Google Scholar] [CrossRef]
- Pancs, R.; Vriend, N.J. Schelling’s spatial proximity model of segregation revisited. J. Public Econ. 2007, 91, 1–24. [Google Scholar] [CrossRef]
- Dokumacı, E.; Sandholm, W.H. Schelling Redux: An eVolutionary Dynamic Model of Residential Segregation; Working paper; University of Wisconsin-Madison: Madison, WI, USA, 2007. [Google Scholar]
- Zhang, J. Tipping and residential segregation: A unified schelling model. J. Reg. Sci. 2011, 51, 167–193. [Google Scholar] [CrossRef]
- Willis, P.E. Learning to Labor: How Working Class Kids Get Working Class Jobs; Columbia University Press: New York, NY, USA, 1977. [Google Scholar]
- Gilboa, I.; Matsui, A. Social stability and equilibrium. Econometrica 1991, 59, 859–867. [Google Scholar] [CrossRef]
- Hofbauer, J. Stability for the Best Response Dynamics; Working paper; University of Vienna: Vienna, Austria, 1995. [Google Scholar]
- Roth, G.; Sandholm, W.H. Stochastic approximations with constant step size and differential inclusions. SIAM J. Control Optim. 2013, 51, 525–555. [Google Scholar] [CrossRef]
- De, S.; Gelfand, M.J.; Nau, D.; Roos, P. The inevitability of ethnocentrism revisited: Ethnocentrism diminishes as mobility increases. Sci. Rep. 2015, 5, 17963. [Google Scholar] [CrossRef] [PubMed]
- Hammond, R.A.; Axelrod, R. The evolution of ethnocentrism. J. Confl. Resolut. 2006, 50, 926–936. [Google Scholar] [CrossRef]
- Johnson, T. Threat of Homegrown Islamist Terrorism; Council on Foreign Relations: New York, NY, USA, 2011. [Google Scholar]
- Sageman, M. Leaderless Jihad: Terror Networks in the Twenty-First Century; University of Pennsylvania Press: Philadelphia, PA, USA, 2011. [Google Scholar]
- Springer, N.R. Patterns of Radicalization Indentifying the Markers and Warning Signs of Domestic Lone Wolf Terrorists in Our Midst. Ph.D. Thesis, Naval Postgraduate School, Monterey, CA, USA, 2009. [Google Scholar]
- Mufson, S. How Belgian prisons became a breeding ground for Islamic extremism. The Washington Post, 27 March 2016. [Google Scholar]
| 1 | For example, see the discussion by moral philosophers and social advocates for global citizenship, such as Appiah [1]. |
| 2 | For example, the U.S. Department of Homeland Security [2] issued a concern on homegrown terrorists and states that the nation is facing “one of the most serious terror threat environments since the 9/11 attacks.” The survey by [3] compares domestic and transnational terrorism in empirical data. Hafez and Mullins [4] summarize socio-psychological causes of homegrown radicalism. The research note by international political scientists Klausen et al. [5] provides a behavioral framework to assess the risk of homegrown terrorists and analyzes 68 cases. |
| 3 | See Bisin and Verdier [14] for survey and summary of their papers. |
| 4 | McElreath et al. [16] also consider the evolution of social norms in a stag hunt game, while they introduce a kind of asymmetric assortative matching between different types of agents into the model. Our model also exhibits such an asymmetric matching structure, since city residents are matched with those of different ethnicities while hometown residents are matched only with those of the same ethnicity. |
| 5 | Notice that in their choice of parameters, migration even occurs from a payoff-disadvantageous community to a payoff-advantageous community. This assumption of migration may lie somewhere between ours and Kuran and Sandholm [17], as we will see. |
| 6 | |
| 7 | Precisely, this is a reduced form of the KS model. Originally, each agent in the KS model chooses action from . The agents’ preference represents an individually ideal action, though there is a conformity pressure to not differ from the average action of the society. Thus, the agent’s utility from taking action is formulated as , where w denotes the strength of conformity pressure; the optimal action is just the weighted average of the agent’s individualistic ideal and the average action: . Then, unconscious psychological assimilation drives the preference to fill the gap from the current action: . This reduces to a continuous-time version of our reduced-form preference dynamic (3). |
| 8 | |
| 9 | As we all know, Schelling [24] is the seminal work on theoretical framework of segregation. See Clark [25], Schuman et al. [26], Bruch and Mare [27] for classical and recent empirical studies of racial segregation in U.S. From simulations and theoretical analysis of best response dynamics, Pancs and Vriend [28] strengthen Schelling’s results on the checkerboard model by allowing agents to have a discontinuous strict preference for perfect integration (exact equal proportion of each race in the agent’s neighborhood) and finding that this still leads to segregation. Dokumacı and Sandholm [29] provide a rigorous foundation of evolutionary dynamics in the Schelling’s tipping model and remove its underlying assumption of out-of-equilibrium sorting. Zhang [30] integrates the idea of tipping in the checkerboard model. |
| 10 | To show off its identity, there may even be hostile attitudes toward the social norm of different groups, especially if the opposite group is considered as an establishment: [31] for classical socioeconomic ethnology. |
| 11 | Although we add a circle to + and − to distinguish ethnic groups from their hometowns, we ignore this notational difference when relating them: for example, “hometown of ethnicity p” means hometown + of ethnicity ⊕ and hometown − of ethnicity ⊖. |
| 12 | The theoretical result of Kuran and Sandholm [17] may be parallel to the simulation result of De et al. [35]. They modified the local interaction model of a repeated Prisoner’s Dilemma as in [36] to add an observable group identity to each agent and also force agents to move their positions occasionally. From a simulation of replicator dynamics, they found that high mobility results in less discrimination against agents from a different group. |
| 13 | Springer [39] argues that many lone wolf terrorists once sought acceptance for themselves in the majority of society, but refusals and failures turned them to extremism. |
| 14 | Sageman [38] argues that online social networks contribute to the current emergence of domestic terrorism. |








© 2017 by the authors. Licensee MDPI, Basel, Switzerland. This article is an open access article distributed under the terms and conditions of the Creative Commons Attribution (CC BY) license (http://creativecommons.org/licenses/by/4.0/).
Share and Cite
Zusai, D.; Lu, F. Polarization and Segregation through Conformity Pressure and Voluntary Migration: Simulation Analysis of Co-Evolutionary Dynamics. Games 2017, 8, 51. https://doi.org/10.3390/g8040051
Zusai D, Lu F. Polarization and Segregation through Conformity Pressure and Voluntary Migration: Simulation Analysis of Co-Evolutionary Dynamics. Games. 2017; 8(4):51. https://doi.org/10.3390/g8040051
Chicago/Turabian StyleZusai, Dai, and Futao Lu. 2017. "Polarization and Segregation through Conformity Pressure and Voluntary Migration: Simulation Analysis of Co-Evolutionary Dynamics" Games 8, no. 4: 51. https://doi.org/10.3390/g8040051
APA StyleZusai, D., & Lu, F. (2017). Polarization and Segregation through Conformity Pressure and Voluntary Migration: Simulation Analysis of Co-Evolutionary Dynamics. Games, 8(4), 51. https://doi.org/10.3390/g8040051
