Next Article in Journal
An Evolutionary Theory of Suicide
Previous Article in Journal
An Experimental Analysis of Asymmetric Power in Conflict Bargaining
 
 
Font Type:
Arial Georgia Verdana
Font Size:
Aa Aa Aa
Line Spacing:
Column Width:
Background:
Article

Institutional Inertia and Institutional Change in an Expanding Normal-Form Game

Institute of Institutional and Innovation Economics, University of Bremen, Hochschulring 4,28359 Bremen, Germany
*
Author to whom correspondence should be addressed.
Games 2013, 4(3), 398-425; https://doi.org/10.3390/g4030398
Submission received: 4 June 2013 / Revised: 23 July 2013 / Accepted: 2 August 2013 / Published: 12 August 2013

Abstract

:
We investigate aspects of institutional change in an evolutionary game-theoretic framework, in principle focusing on problems of coordination in groups when new solutions to a problem become available. In an evolutionary game with an underlying dilemma structure, we let a number of new strategies become gradually available to the agents. The dilemma structure of the situation is not changed by these. Older strategies offer a lesser payoff than newly available ones. The problem that agents have to solve for realizing improved results is, therefore, to coordinate on newly available strategies. Strategies are taken to represent institutions; the coordination on a new strategy by agents, hence, represents a change in the institutional framework of a group. The simulations we run show a stable pattern regarding such institutional changes. A number of institutions are found to coexist, with the specific number depending on the relation of payoffs achievable through the coordination of different strategies. Usually, the strategies leading to the highest possible payoff are not among these. This can be taken to reflect the heterogeneity of rules in larger groups, with different subgroups showing different behavior patterns.

1. Introduction

Questions of stability and change in institutional frameworks have increasingly been addressed through the use of game theoretic methods. The main framework has been that of the new institutional economics and its interpretations of institutions. We believe that an integration of original (old, American) institutionalist conceptions offers the possibility for arriving at additional insights.
It has been more than 100 years since T. B. Veblen formulated his theory of technology and institutions and their effects on and in socio-economic systems [1,2]. Many contemporary economic models flourished and have enjoyed much attention to the present day. Veblen’s writings, however—alongside much of original institutionalism—continue to receive the attention of only a small circle of economists interested either in the history of thought or, particularly, in original institutionalism. The most likely reason for this is the lack of mathematical formalization, which neither Veblen nor his followers felt necessary or had the tools to provide. Developments in game theory and, here, especially, in evolutionary game theory, that have taken place over the last few decades now offer tools that have repeatedly been employed in the broader research program of evolutionary economics [3]. Still, in general, game theorists, as well as behavioral and experimental economists, have largely been unaware of Veblen’s theories or, at least, have not integrated them openly into their arguments and research approaches. Lately, however, one can observe an increased interest in the possible insights that may be gained by approaching some of Veblen’s arguments through game theoretic methods [4,5,6,7], which, in turn, should allow their broader accessibility and utilization. Here, we investigate aspects of the processes of institutional change and inertia in an evolutionary game-theoretic framework. Reinforcement learning of agents strengthens their use of certain strategies or acceptance of certain institutions, thus integrating the strengthening of expectations about others, which rules permit in a group. At the same time, a conservative tendency is built into the model by allowing strategies yielding lower payoffs in the case of coordination to have a relative advantage over higher yielding ones when coordination on a specific strategy fails.
The less severe rationality assumptions in evolutionary game theory and the possibility for integrating learning into the interpretation of the processes described by such models make them particularly attractive for approaching some aspects of social systems. By allowing new strategies to become available periodically in the model we formulate below, the learning aspect of the interpretation of the results is further underlined. These newly available strategies permit the integration of a second aspect of institutional change, namely, the loss of problem-solving capacities of behavior over time, which is a constitutive aspect of original institutionalist conceptions. This is combined with a mechanism that adds a certain inertia to institutional change in situations characterized by problems of coordination and cooperation in the interdependent decision-setting of a group. It should be noted that there are many other mechanisms of institutional change, many of them analyzed by Veblen, and even a number of distinct aspects that do probably play a role in institutional inertia, such as rigid behavioral patterns, technological-institutional lock-ins and vested interests, which he particularly stressed, as well. Some of these would require heterogeneous interests among agents to be included. In this paper, we refrain from expanding the model in this direction, in order not to overload it. We may hence consider the model shown as a baseline formulation. Further mechanisms may be included or added in a discussion, as they may make the observed patterns more pronounced, e.g., slow the process of change further down by adding additional interests in keeping the structure as it is in place, as in the case of vested interests, as, of course, none of these mechanisms exists and works independently from the others.
In the following sections, we discuss the two principal conceptions of institutions in economics (Section 2) and aspects of the understanding and modeling of institutions employing game theoretic methods (Section 3). In Section 4, we outline the model that forms the basis for the simulation we present in Section 5. Section 6 offers a discussion of the results obtained. Finally, some tentative examples and conclusions are offered.

2. Institutions in Economics

As far as the analysis of institutions in economic contexts is concerned, one can distinguish between original and new institutional economics (OIE and NIE, respectively). In both approaches, institutions serve a function of stabilizing agents’ expectations regarding others’ behavior in directly interdependent decision situations. The conceptions of the socio-economic system behind these formulations differ, however. The OIE sees these as continuously developing in a holistic perspective, characterized by true uncertainty as a constitutive factor. The NIE, on the other hand, seeking a close connection to the neoclassical core-model, accepts the reference point of the perfect market outcome. It understands institutions’ functions as supporting agents in reaching that outcome, focusing on reductions of risk and transaction costs. Another major point of distinction is the conception of the individual agent, understood as boundedly rational in her decision-making in the NIE and responding to broader motivational influences and often habituated behavior patterns in the OIE.
Accordingly, the variously formulated definitions of institutions differ. They are ’socially constructed, routine-reproduced (ceteris paribus), program or rule systems... constraining environments and are accompanied by taken-for-granted accounts’ [8, p.149], to draw on a sociologist’s definition that shows a substantial overlap with OIE conceptions. In general, sociological theories concur that institutions provide the human being with social and cultural capital that, in turn, serve a number of purposes, among others, group-identity and signaling [9]. Note that this approach complements the OIE conception of institutions: people usually do not perceive group identity as a matter of choice; they do, in fact, find it very hard to unlearn their convictions, affiliations and prejudices. Further, modern psychology has found that human decision-making relies heavily on known solutions—in other words, ad hoc institutions—to arising decision problems [10,11,12]. In essence, instead of continuously computing payoff opportunities, people tend to reproduce learned behavior, as long as it works sufficiently well for them. In North’s [13] NIE terms institutions are ’the rules of the game’, formal and informal rules and their enforcement mechanisms. Their purpose is to change cost-benefit calculations related to certain actions and, thus, change agents’ incentive structures.
These rules or rule systems structure decision problems for agents and, thereby, enable decision-making by these agents. As with the term ’institution’, the understanding of an ’enabling’ of agents differs between different branches of institutional economics. For the OIE scholar, enabling means the establishment of a common framework for agents for interpreting their environment and stabilizing their expectations about others’ behavior in situations characterized by strategic uncertainty as a prerequisite to, in fact, allow strategic interactions. Within the NIE, enabling is taken to mean a broadening of the set of possible transactions by adequately reducing risk that is due to asymmetric information (and the cheating of agents exploiting information advantages) and, thereby, an enabling of a Pareto-improved market result. The ’market’ as an optimal solution device in the socio-economic sphere is, however, not questioned in the latter.1
Especially in modern times, the institutional environment has not been static. We observe the continuous, if slow (depending on the level of analysis), emergence and disappearance of institutions, which needs to be reflected in a theory of institutional change. This is one aspect of institutional change, as the change of the rules proper. A second aspect is concerned with the shift of the character of institutions as adequate for allowing agents to find good solutions to social problems.
The habituation of behavior, a core aspect in the OIE, as something guided by institutions (even if unconsciously) means behavior can be removed from a (continuous) reassessment of its usefulness and increasingly accepted as a natural condition as the result of an ’internalization of norms’ (e.g., Gintis [18]). This is further strengthened by a process of establishing an ideological framework within which agents are socialized, justifying an existing order [19]. In such a set-up, the shifting nature of the character of institutions over time, from (potentially purely) problem-solving, ’instrumental’, at the outset, towards increasingly ’ceremonial’ (status-quo conserving), with a concurrent loss of problem-solving capacities, becomes an integral part of the system [20]. Besides the change of the institution proper, there is, thus, the second direction of institutional change, in the instrumental-ceremonial dimension, following a development of the idea from Veblen’s original distinction between institutions and technology to the integration of said ceremonial and instrumental aspects of institutions and their intricate link to technology understood as a combination of skill and equipment [19,21].
We will analyze institutional inertia and institutional change under a perspective that is closer to the OIE view on institutions. For this, we will take technological change as given and investigate patterns of the adaptation of new behavior by agents. The interpretation of the formal structure we choose suggests an experimentation with the newly available options by some agents combined with a general conservative bias in most agents’ outlook. The inertia that results in our setting includes an increased ceremonialization of institutions, and we, therefore, take it as a possibility for formalizing aspects of the Veblenian institutional dichotomy and embed the model into an interpretation following these general lines. However, the relatively open frame would permit a shift in focus on other aspects of institutional inertia, as well.

3. Institutions and Game Theory

The use of game-theoretic methods in the NIE, in contrast to the OIE, has already become relatively wide-spread over the last few decades. Assumptions regarding the rationality of agents that overlap in game theory and NIE, as well as the equilibrium-focus in both fields have lent themselves to an easier adaptation of classical game-theoretic methods to questions regarding institutions from an NIE perspective. As a result, game theory, at times combined with experimental economics, has provided interesting insights to an economic theory of institutions (for instance, Aoki [22], Axelrod [23], Bowles [24], Greif and Laitin [25], Ostrom et al. [26]).
In this context, following Aoki [22], we can distinguish between a general ’rules-of-the-game’ approach [13] and a ’shared-believes cum equilibrium-summary-representation’ view of institutions in economics (an early exponent being [27]) and, in NIE, analyses applying game-theoretic methods more specifically. The two approaches are connected by the understanding of a stabilizing function of the institutional environment in the economic sphere. In fact, adapting games with a view on structuring the rules of the game, so as to result in endogenously enforcing institutions (equilibrium-strategies) would allow the integration of these two perspectives.
Choosing repeated games as the foundation for an analysis of institutions usually departs from dilemma games. As the Nash outcome is a non-Pareto-optimal outcome in the one-shot game, these types of games have been found to be of particular interest. An indefinite repetition of the one-shot game in continuing interactions of agents introduces the possibility for agents to formulate strategies in which future choices can be made conditional on other players’ past behavior [28]. As the folk theorem tells us, this allows the agents to realize Pareto-improvements in the eventual results they reach.
Particularly attractive strategies in this type of research are cooperative, but cautious, strategies (nice and retaliatory strategies) that facilitate the development of solutions to social problems in dilemma-prone social situations [23,29,30,31]. Solutions refer to ways that enable agents to achieve a Pareto-superior result. These solutions, as strategy choices, can be interpreted to be embodied by institutions. The credible threat of retaliatory punishment serves as a device to stabilize such institutions [32,33]. These analyses provide the foundation for an understanding of factors supporting cooperative environments.
Repeated games do not only allow the possibility that a Pareto-optimal (or, at least, superior) result is reached where the aggregation of one-shot results would be Pareto-inferior. As institutions fulfill functions of stabilizing expectations and allowing agents to take consistent decisions, they are more convincingly understood as emerging in repeated interactions. The repetition of the game allows the establishment of stable patterns (strategy combinations in Nash equilibria) that can be interpreted as institutions. Still, the nature of repeated games integrating fixed game plans that agents follow limits the method’s reach in this respect. The severe requirements regarding agents’ rationality and understanding of the situation are likewise problematic.
Thus, non-evolutionary analyses based on repeated games may provide insights into the stability of institutional arrangements. They do not, however, offer predictions, at which Nash equilibrium out of the available set the system settles. Given the different sets of institutions that have developed in real-world systems, this does not appear to be a problematic characteristic of these analyses, though. It simply limits the scope of questions that can be addressed (as with every model formulation). The resulting specific models then are used for visualizing specific instances and explaining their reasonableness and stressing the factors supporting their stability over time in integrating historical analyses that may further help in identifying specific factors, which lead to the development of a system in one direction or another (e.g., Greif [34], Greif et al. [35], Knight [36], Milgrom et al. [37]).
As such studies are focusing on the function of social systems, or parts thereof, that are assumed to be isolatable, and the institutional framework structuring these systems and exchange-relations therein, a wider basis for their interpretation, drawing on OIE concepts, seems fruitful. Institutions here shape the form and functioning of socio-economic systems, how agents perceive situations and what are the means they generally consider appropriate for addressing potential problems. Institutions are, in that way, crucial for the existence of a society and its economic base. Still, they are not usually constructed following a well-planned design; rather, they emerge from a dynamic process that arises from different responses to the problems the socio-economic system faces and, therefore, need not lead to particularly good coordination outcomes in the first place. Most importantly, however, they do not cease to exist when the problem they helped to solve fades away, but may continue to thrive, a possibility that, in turn, gives rise to the ceremonial character of institutions referred to above.
For addressing questions of institutions, institutional change and an integration with original institutional economics, as we set out to do here, an evolutionary setting, consequently, appears more appropriate. Villena and Villena [6] point to a number of aspects in which Veblen’s conception of economics as an evolutionary science and the principal concepts of evolutionary game theory, namely evolutionary stability and replicator dynamics, can, in fact, be brought to coincide in socio-economic contexts in which institutions become the focus of analyses. These include the less severe rationality requirements; the possibility of an integration of learning and imitation in behavior or the interpretations of the dynamics of the systems analyzed, as well as the integration of the notion of cumulative causation and, hence, historical time and the importance of initial conditions for eventual developments.
In evolutionary approaches, population compositions change over time, depending on the relative success of strategies, which governs the replication of the different types of agents present. Thus, stable behavioral rules may evolve over time and be self-perpetuating, independently of an assessment of their suitability for addressing underlying economic problems [38]. Nonetheless, they follow well-defined fitness criteria and are, thus, able to provide an efficiency-development device independent of the assumption of rational optimization on the part of the agents. The concepts of evolutionary stability and replicator dynamics provide fertile concepts for analyses in this context, allowing one to address issues of the capacity of strategies to persist and of dynamic selection processes of behavior patterns. As a result, we have tools at hand that permit an approach to analyses of changing socio-economic environments with a view on institutional change achieved by agents in interdependent social decision-situations.
These processes do not necessarily result in efficient outcomes. Rather, numerous examples have been found for inefficient results in evolutionary games. Well-known among these is Young’s [1998] demonstration that risk-dominant, though inefficient, strategies tend to be the outcome in evolutionary coordination games. An integration of the NIE approaches above into this formal framework is, of course, possible, but would require a change in interpretation as the classical game theoretic approaches require strong rationality assumptions and extensive knowledge and understanding of the specific problem situation by the agents; whereas the requirements in these areas are less severe when adapting an evolutionary framework, allowing us to interpret changing strategy compositions in a population as the result of reinforcement learning, for instance.
Still, the evolutionary setting is of course not without limitations either. Hodgson and Huang [3] review these in their discussion of evolutionary game theory and evolutionary economics. They stress the absence of calculated strategic threats and the myopic outlook of agents therein. They likewise point to the problem of conceptualizing fitness in the socio-economic realm and restate the more general question to what degree real social processes can, in fact, be better understood based on models formulated under this perspective. While these points are well taken, we believe that the model presented below can, in fact, contribute to an understanding of dynamics of institutional inertia and change in real-world settings. The general possibility to interpret changing population compositions as the result of a learning process, albeit an admittedly simple reinforcement learning, opens space for integrating proper dynamics of change. In addition to this, the general weakness of a limited strategy space in game theoretic formulations is, in fact, something we address in our formulation. Learning resulting in the copying of behavior patterns that promise an improved outcome for the agents appears to be an acceptable first foundation for addressing possible dynamics of institutional change in response to changing patterns of technological possibilities.

4. A Formal Model

One possible way of transforming a dilemma problem is through indefinitely or infinitely repeated interactions. Instead of repeating interactions, we let agents play connected games, in which a basic dilemma game and a second game affecting overall payoffs are linked in a way that lets us arrive at a coordination game. Adherence to a commonly agreed set of behaviors may be maintained this way through social mechanisms that strengthen the stability of existing structures.
The formalism we have chosen is rather general. It permits one to accommodate a number of cases, principally, a change in payoffs, due to the agents’ perceptions of these results, and cases in which lower-yielding strategies (referring to the payoff achieved in the case of successful coordination) actively harm higher yielding ones. That is, we approach situations in which agents perceive a result as less good, because others behave differently (a conservative bias for earlier learned behavior and adopted values), as well as situations in which the actual payoff is reduced when others behave differently (which may of course be connected to the first effect, but likewise, be due to technological properties or the seizing of opportunities for exploiting others).
When interpreting the effect of the second game as describing a change in the perception of results, we can follow Sugden [38, p.96], who argues that ’(f)or most of us, being the focus of another person’s ill-will, resentment or anger is a source of unease—something we prefer to avoid. This is a psychological externality: one person’s state of mind... can affect (another) person’s happiness or utility. This is not to be confused with punishment, which is an act by which one person harms another’. That way, if two agents meet who have opted for following the same institutional rule, this source of unease and perceived loss does not have an important bearing in their overall result. If, however, they meet someone following a different institution and expectations are disappointed, they can be expected to experience a reduction in the payoffs they perceive. Our assumptions, specified in more detail below, lead to a more pronounced reduction for some agents (namely, those applying newer behavioral rules) than for others. We, thereby, introduce a conservative element to the situation.
Another aspect connecting our approach to the OIE is the understanding therein of technological advances as a driver of institutional change (e.g., Ayres [19], Veblen [39]). New technological possibilities require changes in behavior patterns for them to be employed effectively (or employed at all). We integrate this aspect by allowing new strategies, offering higher payoffs if coordination on them is achieved, to periodically become available to the agents. The coordination on strategies leading to these improved results can then be interpreted as the establishment of a new institution, a new behavioral rule, being applied in the context of a certain problem structure. The alteration of institution’s problem-solving capacity, thus, results as a consequence of changing conditions in the technological and socio-economic environments. The principal problem is overcoming the conservative bias and coordinating on a new behavioral pattern from the newly available options promising better results. In the OIE view, technology and institutions are integrated. By letting technology change exogenously, we thus move away from the concept somewhat. The focus on an identification of dynamics of institutional inertia and change permits, in our view, the separation of these two aspects in this setting.
We consider a dynamic game starting with a common prisoners’ dilemma with strategies, J 1 (defection) and J 2 (cooperation); see Table 1.
Table 1. The basic dilemma game.
Table 1. The basic dilemma game.
Agent 2
J 2 J 1
Agent 1 J 2 V 2 = α V 1 ( α + 1 ) V 1
V 2 = α V 1 V 1 α
J 1 V 1 α V 1
( α + 1 ) V 1 V 1
The payoffs of the strategies against themselves are valued as V 1 and V 2 , where, according to the structure of a prisoners’ dilemma, V 2 > V 1 , specifically, α V 1 = V 2 with α > 1 . The two remaining payoff values are also set as functions of α and V 1 that satisfy the required incentive structure for the above game to be a prisoners’ dilemma. As the game is symmetric (and will with all further changes stay a symmetric game), it can, for convenience, be written as an evolutionary game matrix, A , containing only the payoffs of the first agent:
A = V 2 V 1 α ( α + 1 ) V 1 V 1 = α V 1 V 1 α ( α + 1 ) V 1 V 1 .
To this basic game, we gradually add a sequence of new strategies, J 3 , J 4 , J 5 ,.... Two agents playing a new strategy, J i + 1 , gain α-times the payoffs that two agents playing the predecessor strategy, J i , get. When an agent playing the new strategy, J i + 1 , and an agent playing the predecessor strategy, J i , are matched, the payoff for J i + 1 is lower than that for J i , while J i enjoys an increased payoff, thereby putting the agents playing J i in a free rider, defecting or exploiting position and creating an overall dilemma structure. In addition to the above, we may also imagine this effect as being due to costs related to switching to a new strategy that have a particularly pronounced impact when they have to be borne by an agent alone, while other agents can profit from the attempt to switch, even though they have not contributed to bearing the related cost.
Ranking strategies by the payoffs agents receive when they coordinate on them, the first strategy (the Nash equilibrium-strategy in the underlying dilemma game) is connected to the lowest payoff. The sequence of newly available strategies may then be interpreted as describing the continuous technological progress that enables the population to use better and more efficient ways of production or generally solving problems. The integration of that new technological potential requires behavioral adjustments. A failure to achieve the cooperation needed for reaching an improved outcome would then account for a lack of problem-solving capacities in behavioral decisions (strategy choices) of the agents who continue to follow the older institutions.
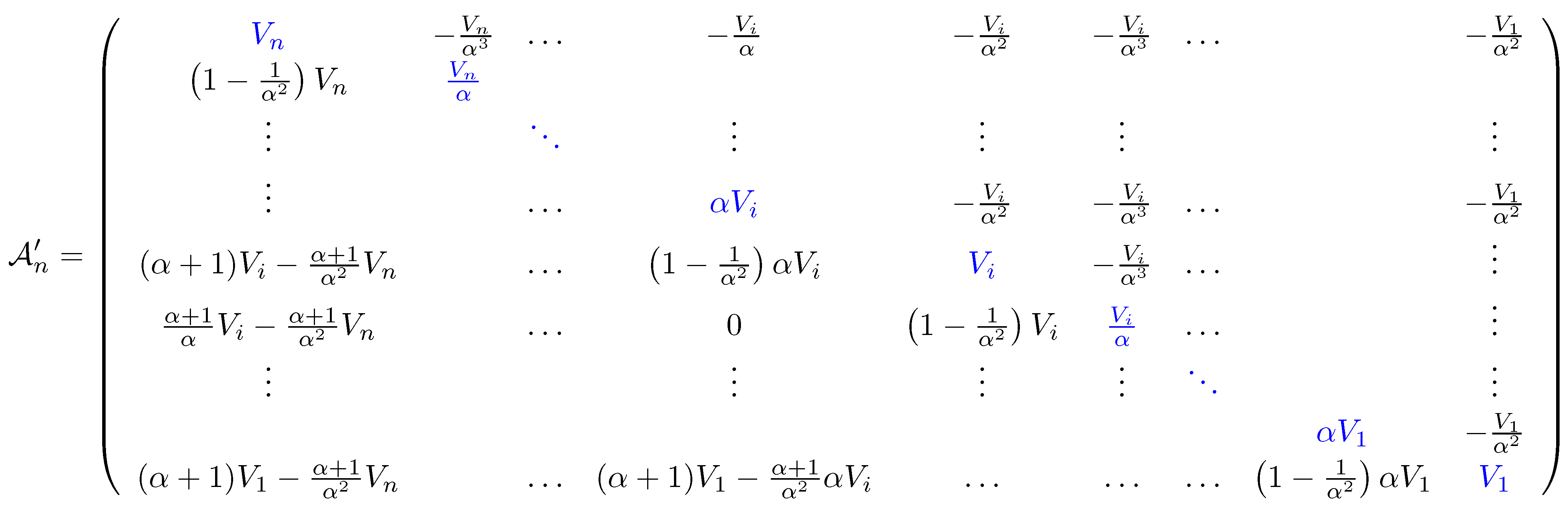
The relation of the multidimensional payoff-values of strategies relative to the cooperative payoff (of J i + 1 against J i + 1 ) is proportional to the incentive structure in the basic game above. That is, for the i-th strategy, J i generates a payoff, V i , against J i . J i may be exploited by J i - 1 , yielding ( α + 1 ) / α V i = V i + V i α for the exploiting agents and V i α 2 for the exploited one. However, the capacity to efficiently exploit other strategies shall be limited by the strategies’ own technological stage. Strategy J i may inflict the same losses on all strategies, J i + x , but the agent will gather no higher payoff than what she would receive from the exploitation of the immediate successor strategy, J i + 1 . We arrive at a series of games, A n , which, in their one-shot form, preserve a dilemma structure. The resulting extended series of games, A n , is given by the matrix:
A n = V n V n α 2 V i V i α V i α 2 V 1 α α + 1 α V n V n α α V i V i α V i α 2 V 1 α ( α + 1 ) V i ( α + 1 ) V i V i V i α 2 α + 1 α V i α + 1 α V i α + 1 α V i V i α α V 1 V 1 α ( α + 1 ) V 1 ( α + 1 ) V 1 ( α + 1 ) V 1 V 1 .
Now, as pointed out above, instead of letting agents meet in supergames, we introduce a second-stage game in the background, the strategies of which are combined with the respective strategies, J i , in the game, A n . This second-stage game induces a reduction of payoffs when agents do not coordinate. The reduction experienced is assumed to be higher for agents playing a new strategy in such interactions than for the ones sticking to lower ranking ones. Thereby, cooperative strategy-choices can be brought about, as the eventual game-matrix may then be representing a coordination problem. A conservative bias results from the original PD, as the lower ranked strategies achieve a higher payoff against the higher ranking ones and vice versa.
We call the value of coordinated outcomes the norm value of the strategy (and/or the accordingly institutionalized rule); what follows is the progression, V i = α i - 1 V 1 :
V = α V i V i V i α α 2 V 1 α V 1 V 1 .
Let the reduction in payoff resulting from non-coordination follow the function, L ( V ) :
L ( V ) = α + 1 α 2 α V i V i V i α α 2 V 1 α V 1 V 1
which turns the situation into a coordination problem, when applied to the above n-dimensional dilemma game by subtraction from the corresponding payoffs. The result is shown in Figure 1.
Figure 1. Extended evolutionary game matrix of the combined game A n and punishment P.
Figure 1. Extended evolutionary game matrix of the combined game A n and punishment P.
Games 04 00398 g001
Consider as an illustrative example the case V 1 = 1 and α = 2 , yielding a game-matrix, A (given here up to the sixth dimension):
A = 32 8 4 2 1 0 . 5 48 16 4 2 1 0 . 5 24 24 8 2 1 0 . 5 12 12 12 4 1 0 . 5 6 6 6 6 2 0 . 5 3 3 3 3 3 1
with the norm value progression:
V = 32 16 8 4 2 1
and the according reduction from non-coordination as:
L ( V ) = 24 12 6 3 1 . 5 0 . 75 .
According to our specifications, the reductions in payoffs from non-coordination take the following form:
P = 0 - 12 - 6 - 3 - 1 . 5 - 0 . 75 - 24 0 - 6 - 3 - 1 . 5 - 0 . 75 - 24 - 12 0 - 3 - 1 . 5 - 0 . 75 - 24 - 12 - 6 0 - 1 . 5 - 0 . 75 - 24 - 12 - 6 - 3 0 - 0 . 75 - 24 - 12 - 6 - 3 - 1 . 5 0 .
The combination of these components of the game results in the following overall matrix, including the effects of non-cooperative strategy choices:
A = 32 - 4 - 2 - 1 - 0 . 5 - 0 . 25 24 16 - 2 - 1 - 0 . 5 - 0 . 25 0 12 8 - 1 - 0 . 5 - 0 . 25 - 12 0 6 4 - 0 . 5 - 0 . 25 - 18 - 6 0 3 2 - 0 . 25 - 21 - 9 - 3 0 1 . 5 1 .
Note that only the main diagonal and the first lower diagonal (which, in the underlying game, A n , gives the exploitation of the immediate successor strategy/institution) are positive.

5. A Computer Simulation of Institutional Change in a Changing Environment

The computer simulations of the model discussed in the previous section are run starting with just two institutions, as explained above. The pace of progress is considered as an exogenous variable, since the central aspect to be studied is not so much the speed, but rather, the patterns of institutional change. Every 32 iterations, a new institution becomes available (an influence of institutions on technological change might be captured as longer periods without newly available options in strongly ceremonially dominated environments, where the motivation for maintaining existing hierarchies and the limitation of search and learning dynamics is, thus, stronger). This institution leads to α times the payoff of the best previously available one if mutually applied. As mentioned, these may be thought of as technological innovations that make institutions available, which could not have been applied or would not have made sense without the innovation.
To keep the ratio of the numbers of institutions to agents roughly constant (at 1 : 32 ), new agents are continuously introduced to the system. The simulations are run for a total of 512 iterations.
Agents choose their institutions randomly for each period according to a preference vector containing one element for each institution, which indicates the probability that the agent will choose this institution. The preference vector is modified by reinforcement learning: if an agent obtains satisfying results from an institution (at least, on average, the payoff the institution awards in the case of mutual adherence), the preference is increased; if an agent obtains a negative average payoff, the preference is reduced (underlining the importance of institutions for coordinating behavior).2 For newly introduced institutions, all agents have a neutral preference (equal to 1 n u m b e r o f i n s t i t u t i o n s ) at the time it is introduced.
Agents interact, on average, 16 times per period. For each interaction, the participants are randomly matched. For comparison, two alternative settings have also been studied: one with interactions only occurring in a predefined neighborhood of the respective agents (Figure 8) and one with a stochastic uniform distribution, α = U n i f o r m ( 1 . 0 , 3 . 0 ) , instead of a fixed value for α (Figure 9). However, there are no significant changes in the development of the system, which may suggest that the obtained results are robust.
Figure 2. Development of the number of adherents to the different institutions (shown in different colors) for α = 1 . 1 .
Figure 2. Development of the number of adherents to the different institutions (shown in different colors) for α = 1 . 1 .
Games 04 00398 g002
The results for six different values for α ( 1 . 1 , 1 . 3 , 1 . 4 , 1 . 5 , 2 . 0 , 3 . 0 ) are shown in Figure 2 through Figure 7. What is immediately obvious is that most of the time, one institution has absolute domination. Further, that institution changes occasionally (these events tend to be more frequent with higher α). However, it is never the latest and, in our setup, the most socially favorable institution that dominates the population, but always some predecessor and, in some cases, a combination of several older institutions (for a closer analysis of this pattern, see the following section). Finally, not every institution—in fact, for most settings, only a minority—gets to occupy the dominant position at some time.

6. Discussion of the Results

The simulations show regular and non-trivial patterns of institutional change in the setup we have chosen for the analysis. These patterns concern the emergence of new institutions that take a dominant position in the decision-structures of the group, as well as the length of the period of domination of a single institution. When a newly available strategy attains a position of domination, the change happens quickly.
Regarding the length of the period of domination of an institution, this is reversely proportional to the increase in payoffs offered by the newly available institutions, α. The greater the advantage that new institutions offer, the shorter the time-period becomes during which earlier institutions retain a position
Figure 3. Development of the number of adherents to the different institutions (shown in different colors) for α = 1 . 3 .
Figure 3. Development of the number of adherents to the different institutions (shown in different colors) for α = 1 . 3 .
Games 04 00398 g003
Figure 4. Development of the number of adherents to the different institutions (shown in different colors) for α = 1 . 4 .
Figure 4. Development of the number of adherents to the different institutions (shown in different colors) for α = 1 . 4 .
Games 04 00398 g004
Figure 5. Development of the number of adherents to the different institutions (shown in different colors) for α = 1 . 5 .
Figure 5. Development of the number of adherents to the different institutions (shown in different colors) for α = 1 . 5 .
Games 04 00398 g005
Figure 6. Development of the number of adherents to the different institutions (shown in different colors) for α = 2 . 0 .
Figure 6. Development of the number of adherents to the different institutions (shown in different colors) for α = 2 . 0 .
Games 04 00398 g006
Figure 7. Development of the number of adherents to the different institutions (shown in different colors) for α = 3 . 0 .
Figure 7. Development of the number of adherents to the different institutions (shown in different colors) for α = 3 . 0 .
Games 04 00398 g007
Figure 8. Development of the number of adherents to the different institutions (shown in different colors) for α = 2 . 0 , with interactions being limited to agent’s neighborhoods on a regular grid network (compare to Figure 6).
Figure 8. Development of the number of adherents to the different institutions (shown in different colors) for α = 2 . 0 , with interactions being limited to agent’s neighborhoods on a regular grid network (compare to Figure 6).
Games 04 00398 g008
Figure 9. Development of the number of adherents to the different institutions (shown in different colors) for stochastic progress factors, α, distributed uniformly between 1 . 0 and 3 . 0 (compare to Figure 6).
Figure 9. Development of the number of adherents to the different institutions (shown in different colors) for stochastic progress factors, α, distributed uniformly between 1 . 0 and 3 . 0 (compare to Figure 6).
Games 04 00398 g009
of domination. Conversely, the smaller the advantage that a newly available strategy offers, the longer the periods of domination become. For instance, for α = 3 . 0 , the period of domination is, on average, 32 turns (every new institution causes a change in the domination patterns); for α = 2 . 0 , it is ca. 96 turns (every third new institution), for α = 1 . 5 , every 160 turns, for α = 1 . 4 , every 224 turns and for α = 1 . 3 , every 288 turns; for α = 1 . 1 , the period of domination is longer than the length of the conducted simulation.
Not every strategy (institution) can establish itself in a dominant position. This only happens once the differences in payoffs achievable from coordinating on new strategies relative to the currently dominating one become sufficiently large (about a factor of eight). Still, even in that case, new strategies do not take over the population directly. They can maintain themselves in a population, but only rise to a more prominent position later on, after more successor strategies have been introduced. In Figure 7 (setup with α = 3 . 0 ), for instance, every new strategy will retain a base of about 50–60 adherent agents; when a successor strategy is introduced (which, in turn, also claims 50 to 60 agents), the institution will suddenly rise to domination, while the previously dominant institution’s (its immediate predecessor’s) adherent numbers collapse. Why institutional change may follow this pattern can be seen from the example matrix in Equation (9): only two diagonals contain positive values, the main diagonal (representing mutual adherence to the same institution) and the diagonal immediately below it. That is, an institution can be successfully exploited by its immediate predecessor, but by no other strategy. The agent applying the other strategy would gain; when the distance between strategies gets larger, both agents lose. While this explains the pattern seen in this setup, it is by no means the only possible way, as evidenced by very different patterns observed with different values of α. For α = 1 . 1 (Figure 2), no institutional change could be observed. For α = 2 . 0 (Figure 6), new institutions (but only every third of them) immediately rise to domination, but are subsequently challenged by their predecessor strategy. A coordination game ensues, with the balance gradually shifting towards the exploiting strategy as the adherent base of that strategy also grows. This process starts over after ca. 96 iterations, when a sufficiently improved institution becomes available and the current institution’s networks collapse. Obviously, in this setting, there is substantially more room for random effects, specifically those of the random matching of agents during the coordination games early in the domination periods. Sometimes, the exploiting institution achieves a dominating position for itself rather quickly, sometimes slower; often, the exploited institution retains a substantial number of users, effectively yielding a mixed population. For the settings, α = 1 . 3 , α = 1 . 4 and α = 1 . 5 (Figure 3 through Figure 5), the patterns are even more complex, and the random influences more pronounced. The population may be mixed and shared between up to five different institutions that attain substantial numbers of followers. In effect, events during crucial phases of change and transition when the old domination pattern collapses may determine the development of the institutional structure during the next period of domination, in an instance of path dependence. The period of domination is then not so much characterized by one dominating institution, but rather, a domination regime involving several coexisting institutions. Section 7 discusses the relevance of this result by identifying examples of similar patterns of institutions exploiting other more instrumental institutions throughout history.
In order to get a more general perspective, the population structure and its development for different simulation setups was measured using the normalized Herfindahl-Hirschman Index, which is computed for systems with d shares s i   for   i = 1 , . . . , d (in our case, the institutions):
H H I = i s i 2 - 1 d 1 - 1 d
High levels of the HHIcorrespond to very homogeneous populations; low values indicate more mixed situations.
Figure 10 through Figure 15 show the development of the H H I and its change rates ( H H I t + 1 - H H I t H H I t ) for the setups with α = 1 . 1 , α = 2 . 0 and α = 3 . 0 . As seen from the above analysis, the population structure settles at a certain level, which is different for the three setups and is interrupted by periods of transition in the latter two setups ( α = 2 . 0 , α = 3 . 0 ). In the former ( α = 1 . 1 ), there are only minor fluctuations caused by the introduction of new (and invariably unsuccessful) strategies every 32 periods. The analysis of the respective frequency spectra in these time series underlines this. A frequency spectrum assigns (usually logarithmic) intensity values to certain repetitive patterns that repeat every r periods (the frequency is 1 r ). Fast Fourier transformations were used to obtain the frequency spectra.
Indeed, for a l p h a = 1 . 1 (Figure 10 and Figure 11), stronger intensities are found for frequencies of about 0 . 03125 —corresponding to 32 periods and multiples of 0 . 03125 (representing patterns that repeat two times, three times, etc., in 32 periods). The same can be seen for the HHI for α = 3 . 0 (Figure 14), this time, however, with decreasing intensity the higher the frequency is (the highest corresponding to 32 iterations). Here, it does not just represent the addition of a new unsuccessful institution, but also a transition in the institutional structure. The analysis of the change of the HHI in this setting yields a complex pattern of strong intensities for many frequencies (Figure 15). For α = 2 . 0 (Figure 12 and Figure 13),
Figure 10. Development of the heterogeneity of the population (with respect to adherence to institutions) measured by the Herfindahl-Hirschman Index and the frequency spectrum of the Herfindahl Index time series for α = 1 . 1 (see, also, Figure 2).
Figure 10. Development of the heterogeneity of the population (with respect to adherence to institutions) measured by the Herfindahl-Hirschman Index and the frequency spectrum of the Herfindahl Index time series for α = 1 . 1 (see, also, Figure 2).
Games 04 00398 g010
both signals (frequency 0 . 03125 for new institutions and 0 . 01 for institutional change) can be observed; however, they are much less pronounced and have a much lower intensity, both absolutely and compared to background noise, which can be attributed to more stochastic influence and complex path dependence in this setup.
Considering the nature of the model and the type of the results of the present simulations— particularly that they consider abstract concepts and very long timescales—it is obvious that clear unequivocal empirical evidence would be very difficult to obtain. While this is not the main purpose of the current study, we would like to show the practical relevance of this Veblenian analysis of institutional change by briefly considering a number of examples from economic history.

7. The Role of the Mechanism under Consideration in Explaining Institutional Inertia and Institutional Change

We have focused on a combination of specific mechanisms for approaching problems of institutional change and inertia, namely, reinforcement learning for stabilizing expectations in dilemma and coordination situations. These may lead to an increasing loss of instrumentality of prevailing institutions in a group. A number of other mechanisms work towards the same end: behavioral institutional inertia (people cannot unlearn habitualized behavior), generic institutional inertia (network externalities in
Figure 11. Development of the growth (rates) of the Herfindahl-Hirschman Index and the frequency spectrum of that time series for α = 1 . 1 ).
Figure 11. Development of the growth (rates) of the Herfindahl-Hirschman Index and the frequency spectrum of that time series for α = 1 . 1 ).
Games 04 00398 g011
Figure 12. Development of the heterogeneity of the population (with respect to adherence to institutions) measured by the Herfindahl-Hirschman Index and the frequency spectrum of the Herfindahl Index time series for α = 2 . 0 (see, also, Figure 6).
Figure 12. Development of the heterogeneity of the population (with respect to adherence to institutions) measured by the Herfindahl-Hirschman Index and the frequency spectrum of the Herfindahl Index time series for α = 2 . 0 (see, also, Figure 6).
Games 04 00398 g012
Figure 13. Development of the growth (rates) of the Herfindahl-Hirschman Index and the frequency spectrum of that time series for α = 2 . 0 ).
Figure 13. Development of the growth (rates) of the Herfindahl-Hirschman Index and the frequency spectrum of that time series for α = 2 . 0 ).
Games 04 00398 g013
Figure 14. Development of the heterogeneity of the population (with respect to adherence to institutions) measured by the Herfindahl-Hirschman Index and the frequency spectrum of the Herfindahl index time series for α = 3 . 0 (see, also, figure 7).
Figure 14. Development of the heterogeneity of the population (with respect to adherence to institutions) measured by the Herfindahl-Hirschman Index and the frequency spectrum of the Herfindahl index time series for α = 3 . 0 (see, also, figure 7).
Games 04 00398 g014
Figure 15. Development of the growth (rates) of the Herfindahl-Hirschman Index and the frequency spectrum of that time series for α = 3 . 0 ).
Figure 15. Development of the growth (rates) of the Herfindahl-Hirschman Index and the frequency spectrum of that time series for α = 3 . 0 ).
Games 04 00398 g015
institutions, lock-ins), vested interests and deliberate retention of traditional institutions for ritual value, as well as a number of others.
The mechanism considered in this paper has several intriguing properties that make it particularly worth studying. First, as shown, it can be modeled as a strikingly simple mathematical model; an expanding game with exogenous progress in the form of new strategies. Applying a simple replicator leads to the discussed institutional inertia (with different properties depending on the progress parameter, α). Nonetheless, it does not inhibit progress altogether. Instead, the slow progress of the continuous expansion of the game is translated into a stairway pattern. The reason for this, however, is not (only) that established institutions are difficult to replace, but that well-performing social institutions are instantly exploited and replaced by other alternatives, thereby triggering the ascent of these previously less successful institutions. The mechanism, as such, is a general one for technical progress and institutional change and similar settings. It has a clockwork-like precision (in spite of stochastic random matching of the agents) and is stable, even under far-reaching modifications, such as stochastic α or s different neighborhood structure.
This would make it very likely to also be present and stable in the institutional developments observed throughout history, though these would, of course, lack the clockwork-like repetition. It is also quite likely that it does not exist isolated from the other mechanisms mentioned above, but does, instead, interact and intermingle. This does certainly not make the task easier to identify the current mechanism in historical cases. However, it is possible to recognize and identify some of the mentioned characteristics in historical examples: institutional inertia and temporary regress from better, socially preferable institutions to simpler, less well-performing ones. We are fully aware that this does not constitute compelling evidence. Still, there are phenomena that may plausibly be explained using the mechanism in question.
Examples include the century-old obstruction of inter-regional trade and transportation by third parties for the purpose of extorting a share of the earnings in these commercial activities. This strategy is not directed at abolishing trade altogether, as this is what it draws its profits from, but it nevertheless shifts the strategic situation to a less desirable equilibrium. Furthermore, it can historically only have emerged after (or perhaps at the same time as) the development of flourishing trade networks. Specifically, trade in Europe had long been compromised by the interference of robber barons, piracy, as well as excessive road tolls and river tolls collected by unchecked local rulers in feudalist states. Piracy3, in fact, has continued long after and even to the present day, with analysts observing that pirates in history often did not and continue not to perceive their activity as illegitimate4 and that piracy will probably continue, as long as there is opportunity for it. It is reported that privateering brought the economy of the whole American continent, the revenues of which had essentially fueled the European economy for two centuries by then, to a standstill in the early 18th century [40]. Still, it is evident that the times in which the institutions on which trade is based (such as confidence in the safe passage of goods along certain trade routes) could be exploited by piracy on a large scale have since passed. There are, however, different exploiting strategies that did work or continue to work on later institutional settings in which trade routes, as such, are better protected. Among them are bank robbery, insurance fraud, commercial interference in democratic political processes5, online crime, identity theft, carelessly running risks in corporations that are too big to fail6, and many more. All of those target a specific subset of commonly applied institutions and the corresponding necessary technologies; none of them would have been suitable against different institutional settings that lack the respective weak point; all of them obstruct the functioning of institutions and lead to their partial replacement by a less instrumental set of institutions.
A more colorful example can be found in the history of sovereign defaults, which accompanied the development of modern financial markets and bank houses. In this case, the colliding institutions are those of contracts between equal parties and all-powerful monarchs and sovereigns that do not necessarily feel committed to uphold the contract. Consider the case of Felipe II7, king of a large number of countries, among them Spain (Castilla and Aragon at the time) and the Netherlands, in the late 16th century. Felipe II had involved himself in too many costly wars and was running a large debt. His crown had managed to roll over the debt for a while, but was unable to reduce the deficit; finally, in 1575, the interest rates Genoese bankers demanded rose sharply, at which point Felipe’s deficit spending came to a sudden halt. Felipe conceived, however, the cunning idea to declare by decree that the crown will not continue to serve the debt, but instead, use the funds set aside for this purpose to meet its daily expenses. In the philosophy of his time, he was an absolute sovereign and, therefore, perfectly entitled to do so, i.e., his learned behavior and acquired values led to the exploitation of his lenders, due to different views and values, or, his acting under a different set of institutions. Only the Genoese did not agree, which put Felipe—given that he already had many enemies—into a difficult situation internationally and prevented, among other things, that funds could be shipped to the Netherlands to pay his mercenaries there, which, in turn, eventually led to severe outbreaks of violence. His position improved only after he agreed to restructure the debt he owed to the Genoese. While this was not the first default of a modern sovereign state and also not Felipe’s only one, it was one with particularly severe consequences and a widely acknowledged example for an early modern sovereign default. Credit lending is doubtlessly a concept that involves a complex set of institutions, particularly when it is conducted over huge geographic distances. The outright refusal of a debtor to serve and repay the debt is clearly another example for the exploitation of institutions, even if this exploiting strategy has not always worked well and is certainly included by the lenders in their risk analyses. The different set of institutions guiding the behavior of an actor like Felipe II may, thus, conceivably have led to the retardation of the establishment of another set that was enabling what was to become a middle class to enter into business relations under a reduced risk of facing losses.

8. Discussion

We have addressed institutional change and inertia in an evolutionary game theoretic model. Given that institutions serve as tools for coordinating agents’ activities and stabilizing their expectations in strategic settings, problems of coordination are always involved in processes of institutional change. Additionally, potentially superior behavior is not necessarily adapted if a critical mass of agents is not reached (also, Sen [45]). Beyond this, mechanisms that we interpret to signify a conservative bias of agents coupled with the negative effects of disappointing others’ expectations have introduced additional hurdles for processes of institutional change in our model. Overall, what we arrive at is a model for approaching processes of institutional inertia and change in changing socio-economic environments. We have chosen to embed the model into a setting that focuses on an interpretation along original institutionalist lines, including a steady loss of problem-solving capacities of a given institutional setting. The Veblenian perspective sees institutions and technology as intricately linked. We have taken technological change as given, in order to be able to focus on problems that emerge in relation to possibilities for improved results for agents and groups, once Pareto-improving options have become available.
Simulations confirm that institutions that have lost their optimal problem-solving capacity as better solutions have become available can still continue to dominate populations. However, we find for most settings a slow progress with the population dominated by one institution for some time before a later institution becomes dominant. What is more, we find that this institutional change follows very regular, but non-trivial, patterns. In fact, for a relatively large parameter range, we find ’social ecologies’ or mixed populations. Generally, the best possible option, in terms of coordinated payoffs, is not the dominant strategy in a population.
Results show that a certain minimum improvement (sufficiently high α) is necessary for agents to be able to adopt new modes of behavior and, thus, for institutional change. Furthermore, for many settings, we find clusters of institutions coexisting. Thus, the model presented here can account for a number of different possible dynamics in the institutional sphere, ranging from an inhibition of change to continuous change; for settings in between, the system is dominated by clusters of coexisting institutions. In all cases, but those where change takes place continuously as soon as a new institution (technology) becomes available, the dominant set of institutions tends not to include the one offering the highest payoff. We hence find a result akin to that of Young [46], albeit in a dynamic setting. If improvements in results are high enough, we find that a general trend of maintaining a certain instrumentality of an institutional environment can be identified, however, with ceremonial aspects continuously playing a role, as well, albeit more or less pronounced. This ceremonial aspect manifests in two related ways: the average payoff for the agents in the group is generally lower than it could be, because the best available institution cannot dominate in a group and is not even necessarily part of the institutional set applied in a group.
Behind a change in technology, we always find some process of learning. Therefore, beyond the incentive structure (reflecting attitudes towards novelty), further favorable conditions are needed for continuing change to be observable. Specifically, we need agents to be predisposed towards experimenting with behavior, willing to tolerate institutional change and work for progress. This is reflected in the share of agents with a willingness to experiment with a new strategy. In Veblen’s terms, there has to be room for agents to be influenced by ’workmanship’, ’curiosity’ and ’parental bend’, reflecting an interest in improving the effectiveness of production processes, for instance, or an interest in building up knowledge. We can exogenously integrate the relative strength of such motivations for or against change by changing the value of α (an increase in the probability of agents choosing a newly available strategy would be another option for approaching these motivations). This leads to the expected results, namely, a relatively faster or slower process of change. Given the certainty of the payoff structure, when payoffs get larger, the willingness to change increases; or it gets easier to implement changes, as fewer like-minded agents are necessary to make them worthwhile. The true uncertainty that prevails in real-world situations will provide an additional obstacle to change. The importance of its effects can already be appreciated in the set-up, including risk (figure 9). The availability of new technologies leading to changes in the institutional sphere likewise has to be the outcome of processes of learning, experimentation and communication among agents, but this remains outside the scope of the model for the reasons given above.
Numerous examples in recorded economic history may serve to illustrate key aspects of the model presented in this paper. This is not limited to Veblenian institutions with instrumental or ceremonial content, but does extend to the way in which institutional change takes place. Specifically, the above model found that for certain set-ups, institutions may successfully be replaced by less efficient institutions if the latter have the capacity to exploit the former. This seems to be supported by a number of historic examples, as, for instance, those referred to in Section 7.
Overall, we thus have a representation of institutional change, focusing on the problem-solving capacity of prevailing institutions, as well as changes of the institutions themselves. The regularity of patterns, of course, is the outcome of the way that potential technological and institutional change is exogenously formulated here. However, the fact that the stability of results is maintained in a number of different parameter settings, including stochastic set-ups, suggests that they may generally, in fact, play a role in processes of change. Especially, the results showing an ecology of institutions co-existing can also be found in real-world situations. Different institutions coexist in different (sub)groups of people and other socioeconomic entities, with different degrees of instrumental and ceremonial content. These regimes tend to be stable for some time, until some mechanism in an underlying part of the system triggers a noticeable change of regime and a transformation of the overall system. Every regime thus has its own set of institutions, including some that are able to benefit at the cost of others in that setting without, however, destroying the overall mix of institutions in that set-up.

Acknowledgments

The authors would like to thank Wolfram Elsner, Yinan Tang, Matthias Greiff, Frederic Jennings, the participants of the University of Bremen’s Economics brown bag seminar, as well as four anonymous referees. The usual disclaimers apply.

Conflict of Interest

The authors declare no conflict of interest.

References

  1. Veblen, T. Theory of the Leisure Class; Project Gutenberg: Salt Lake City, UT, USA, 2008 [1899]; Available online: http://www.gutenberg.org/ebooks/833 (accessed on 16 May 2011).
  2. Veblen, T.B. Why is economics not an evolutionary science? Q. J. Econ. 1898, 12, 373–397. [Google Scholar] [CrossRef]
  3. Hodgson, G.M.; Huang, K. Evolutionary game theory and evolutionary economics: Are they different species? J. Evol. Econ. 2012, 22, 345–366. [Google Scholar] [CrossRef]
  4. Elsner, W. The theory of institutional change revisited: The institutional dichotomy, its dynamic, and its policy implications in a more formal analysis. J. Econ. Issues 2012, 46, 1–44. [Google Scholar] [CrossRef]
  5. Hédoin, C. Did veblen generalize darwinism (and why does it matter)? J. Econ. Issues 2010, 44, 963–990. [Google Scholar] [CrossRef]
  6. Villena, M.G.; Villena, M.J. Evolutionary game theory and thorstein veblen’s evolutionary economics: Is egt veblenian? J. Econ. Issues 2004, 38, 585–610. [Google Scholar]
  7. Watkins, J.P. Mainstream efforts to tell a better story–natural selection as a misplaced metaphor: The problem of corporate power. J. Econ. Issues 2010, 44, 991–1008. [Google Scholar] [CrossRef]
  8. Jepperson, R.L. Institutions, Institutional Effects, and Institutionalism. In The New Institutionalism in Organizational Analysis; Powell, W.W., DiMaggio, P.J., Eds.; University of Chicago Press: Chicago, IL, USA, 1991; pp. 143–163. [Google Scholar]
  9. Bourdieu, P. The Forms of Capital. In Readings in Economic Sociology; Biggart, N.W., Ed.; Blackwell Publishers Ltd.: Malen, MA, USA, 1986; pp. 280–291. [Google Scholar]
  10. Kahneman, D. Thinking, Fast and Slow; Farrar, Straus and Giroux: New York, NY, USA, 2011. [Google Scholar]
  11. Kahneman, D.; Tversky, A. Availability: A heuristic for judging frequency and probability. Cogn. Psychol. 1973, 5, 207–232. [Google Scholar]
  12. Tversky, A.; Kahneman, D. Subjective probability: A judgment of representativeness. Cogn. Psychol. 1972, 3, 430–454. [Google Scholar]
  13. North, D.C. Institutions, Institutional Change and Economic Performance; Cambridge University Press: Cambridge, UK, 1990. [Google Scholar]
  14. Denzau, A.T.; North, D.C. Shared mental models: Ideologies and institutions. Kyklos 1994, 47, 3–31. [Google Scholar]
  15. North, D.C. Understanding the Process of Economic Change; Princeton University Press: Princeton, NJ, USA; Oxford, UK, 2005. [Google Scholar]
  16. Groenewegen, J.; Kerstholt, F.T.; Nagelkerke, A.G. On integrating new and old institutionalism: Douglass North building bridges. J. Econ. Issues 1995, 29, 467–475. [Google Scholar]
  17. Hodgson, G.M. What is the essence of institutional economics? J. Econ. Issues 2000, 34, 317–329. [Google Scholar]
  18. Gintis, H. The hitchhiker’s guide to altruism: Gene-culture coevolution, and the internalization of norms. J. Theor. Biol. 2003, 220, 407–418. [Google Scholar] [CrossRef] [PubMed]
  19. Ayres, C.E. The Theory of Economic Progress; UMKC: Kansas City, MO, USA, 1996 [1978]; Available online: http://cas.umkc.edu/econ/Institutional/Readings/Ayres/tep/TEP.html (accessed on 25 February 2013).
  20. Bush, P.D. The theory of institutional change. J. Econ. Issues 1987, 21, 1075–1116. [Google Scholar]
  21. Waller, W.T. The evolution of the veblenian dichotomy: Veblen, hamilton, ayres, and foster. J. Econ. Issues 1982, 16, 757–771. [Google Scholar]
  22. Aoki, M. Toward a Comparative Institutional Analysis; MIT Press: Cambridge, MA, USA, 2001. [Google Scholar]
  23. Axelrod, R. The Evolution of Cooperation; Basic Books: New York, NY, USA, 1984. [Google Scholar]
  24. Bowles, S. Endogenous preferences: The cultural consequences of markets and other economic institutions. J. Econ. Lit. 1998, 36, 75–111. [Google Scholar]
  25. Greif, A.; Laitin, D.D. A theory of endogenous institutional change. Am. Polit. Sci. Rev. 2004, 98, 633–652. [Google Scholar] [CrossRef]
  26. Ostrom, E.; Walker, J.; Gardner, R. Covenants with and without a sword: Self-governance is possible. Am. Polit. Sci. Rev. 1992, 86, 404–417. [Google Scholar] [CrossRef]
  27. Schotter, A. An Economic Theory of Institutions; Cambridge University Press: Cambridge, UK; New York, NY, USA, 1981. [Google Scholar]
  28. Rubinstein, A. Equilibrium in supergames with the overtaking criterion. J. Econ. Theory 1979, 21, 1–9. [Google Scholar] [CrossRef]
  29. Lindgren, K. Evolutionary Dynamics in Game-theoretic Models. In The Economy as an Evolving Complex System II; Arthur, W.B., Durlauf, S., Lane, D., Eds.; Westview Press: Reading, MA, USA, 1997; pp. 337–367. [Google Scholar]
  30. Ostrom, E. Collective action and the evolution of social norms. J. Econ. Perspect. 2000, 14, 137–158. [Google Scholar] [CrossRef]
  31. Tesfatsion, L. How Economists can Get ALife. In The Economy as an Evolving Complex System II; Arthur, W.B., Durlauf, S., Lane, D., Eds.; Westview Press: Reading, MA, USA, 1997; pp. 533–564. [Google Scholar]
  32. Fehr, E.; Fischbacher, U.; Gächter, S. Strong reciprocity, human cooperation, and the enforcement of social norms. Hum. Nat. 2002, 13, 1–25. [Google Scholar] [CrossRef] [PubMed]
  33. Nowak, M.A.; Sigmund, K. Tit for tat in heterogeneous populations. Nature 1992, 355, 250–253. [Google Scholar] [CrossRef]
  34. Greif, A. Institutions and the Path to the Modern Economy: Lessons from Medieval Trade; Cambridge University Press: Cambridge, UK, 2006. [Google Scholar]
  35. Greif, A.; Milgrom, P.; Weingast, B.R. Coordination, commitment, and enforcement: The case of the merchant guild. J. Polit. Econ. 1994, 102, 745–76. [Google Scholar] [CrossRef]
  36. Knight, J. Models, Interpretations, and Theories: Constructing Explanations of Institutional Emergence and Change. In Explaining social institutions; Knight, J., Sened, I., Eds.; The University of Michigan Press: Ann Arbor, MI, USA, 1995; pp. 95–119. [Google Scholar]
  37. Milgrom, P.R.; North, D.C.; Weingast, B.R. The role of institutions in the revival of trade: The law merchant, private judges, and the champagne fairs. Econ. Polit. 1990, 2, 1–23. [Google Scholar] [CrossRef]
  38. Sugden, R. Spontaneous order. J. Econ. Perspect. 1989, 3, 85–97. [Google Scholar] [CrossRef]
  39. Veblen, T.B. The Instinct of Workmanship and the State of the Industrial Arts; McMillan: New York, NY, USA, 1914. [Google Scholar]
  40. Anderson, J.L. Piracy and world history: An economic perspective on maritime predation. J. World Hist. 1995, 6, 175–199. [Google Scholar]
  41. Konrad, K.A.; Skaperdas, S. Credible threats in extortion. J. Econ. Behav. Org. 1997, 33, 23–39. [Google Scholar] [CrossRef]
  42. Clark, J.C. The fox goes to france: Florida, secret codes, and the election of 1876. Florida Hist. Q. 1991, 69, 430–456. [Google Scholar]
  43. Taleb, N.N.; Tapiero, C.S. Risk externalities and too big to fail. Phys. A Stat. Mech. Appl. 2010, 389, 3503–3507. [Google Scholar] [CrossRef]
  44. Lovett, A.W. The castilian bankruptcy of 1575. Hist. J. 1980, 23, 899–911. [Google Scholar] [CrossRef]
  45. Sen, A.K. Isolation, assurance and the social rate of discount. Q. J. Econ. 1967, 81, 112–124. [Google Scholar] [CrossRef]
  46. Young, H.P. Individual Strategy and Social Structure; Princeton University Press: Princeton, NJ, USA, 1998. [Google Scholar]
  • 1Even though, the differentiation becomes increasingly difficult at times, as NIE scholars have started to incorporate selected OIE conceptions into their framework, as can, for instance, be appreciated from Denzau’s and North’s [14] ’mental models’ or North [15]; see, already, Groenewegen et al. [16], Hodgson [17].
  • 2All changes are, for simplicity, applied by multiplying the respective element of the vector by four (or, in the case of reduction, dividing by four) and, then, re-normalizing the vector, such that the relation of the preference values after modification remain the same, but add up to one again.
  • 3For a detailed historical analysis of piracy, see Anderson [40]; for an analysis from an economic and game theory perspective, see Konrad and Skaperdas [41].
  • 4The legitimation was usually based in either revenge or claims to a territory. In the former case, revenge is taken for an act committed by subjects of the same political entity, as the current victims are, thereby, giving the pirates the right to recover whatever value has been stolen or destroyed from the current victims (this being the case for early modern privateering and, arguably, for recent piracy off of Somalia). In the latter case, the territorial claim gives the pirates a right to extract a tribute or ’tax’ from the victims and the right to punish them if that tax is not paid accordingly (this being the case for, e.g., Viking piracy and acts of piracy between Christian and Muslim states in the Mediterranean since medieval times) [40].
  • 5Though there is not much hard evidence, there is one remarkable incident in the context of the 1876 presidential election in the USA: Western Union, then the monopoly operator of telegraph lines in America, officially promised absolute confidentiality of the contents of telegraphs. In the aftermath of the election, however, the company deployed a significant number of their employees to look through every single cable sent in fall 1876 and collected 30,000 cables with election-related content, most of them internal communications by the Republican and Democratic parties [42].
  • 6For a short and recent discussion of the problem, see Taleb and Tapiero [43].
  • 7For a historical analysis of the 1575 sovereign default of Felipe II of Spain, see, e.g., Lovett [44].

Share and Cite

MDPI and ACS Style

Heinrich, T.; Schwardt, H. Institutional Inertia and Institutional Change in an Expanding Normal-Form Game. Games 2013, 4, 398-425. https://doi.org/10.3390/g4030398

AMA Style

Heinrich T, Schwardt H. Institutional Inertia and Institutional Change in an Expanding Normal-Form Game. Games. 2013; 4(3):398-425. https://doi.org/10.3390/g4030398

Chicago/Turabian Style

Heinrich, Torsten, and Henning Schwardt. 2013. "Institutional Inertia and Institutional Change in an Expanding Normal-Form Game" Games 4, no. 3: 398-425. https://doi.org/10.3390/g4030398

APA Style

Heinrich, T., & Schwardt, H. (2013). Institutional Inertia and Institutional Change in an Expanding Normal-Form Game. Games, 4(3), 398-425. https://doi.org/10.3390/g4030398

Article Metrics

Back to TopTop