First You Get the Money, Then You Get the Power: The Effect of Cheating on Altruism
Abstract
1. Introduction
2. Background
3. Theory
4. Design
- (LIE-SELF) How much did you lie about your test score? Answers: 0 = “I would/did not lie”; 1 = “Very Little”; 2 = “Little”; 3 = “Moderately”; 4 = “A Lot”; 5 = “Completely”.
- (LIE-OTHERS) How much do you think other subjects lied about their test score? Answers: 0 = “They would not lie”; 1 = “Very Little”; 2 = “A Little”; 3 = “Moderately”; 4 = “A Lot”; 5 = “Completely”.
- (RELATIVE) Do you think other subjects lied more or less than you? Answers: 1 = “More”; 2 = “Less”.
- (REASON) Which aspect of the experiment was most tempting you to cheat? The role assignment or quiz earnings? Answers: 1 = “Role”; 2 = “Quiz Earnings”; 3 = “Both”.
5. Hypotheses
6. Experimental Results
6.1. Main Results
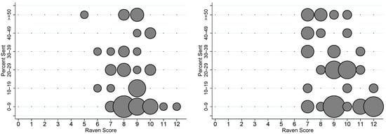
6.2. Population Differences
7. Conclusions
Author Contributions
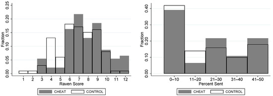
Funding
Institutional Review Board Statement
Informed Consent Statement
Data Availability Statement
Conflicts of Interest
Appendix A. Online Appendix
| Obs. | Mean | Std. Dev. | Min | Max | |
|---|---|---|---|---|---|
| Percentage sent | 92 | 19.22 | 17.93 | 0 | 50 |
| Calgary | 92 | 0.52 | 0.50 | 0 | 1 |
| Male | 92 | 0.62 | 0.49 | 0 | 1 |
| Score | 92 | 7.82 | 2.20 | 3 | 12 |
| Age | 92 | 20.45 | 2.16 | 17 | 31 |
| LIE-SELF | 92 | 0.37 | 1.07 | 0 | 5 |
| LIE-OTHERS | 92 | 2.47 | 1.28 | 0 | 5 |
| RELATIVE | 92 | 1.10 | 0.30 | 1 | 2 |
| Obs. | Mean | Std. Dev. | Min | Max | |
|---|---|---|---|---|---|
| PERCENT SENT | 100 | 16.54 | 17.67 | 0 | 50 |
| Calgary | 100 | 0.46 | 0.50 | 0 | 1 |
| Male | 100 | 0.53 | 0.50 | 0 | 1 |
| Score | 100 | 6.88 | 2.15 | 1 | 12 |
| Age | 100 | 20.63 | 2.28 | 17 | 32 |
| LIE-SELF | 100 | 0.93 | 1.27 | 0 | 5 |
| LIE-OTHERS | 100 | 2.44 | 1.06 | 0 | 5 |
| RELATIVE | 100 | 1.16 | 0.37 | 1 | 2 |
| Obs. | Mean | Std. Dev. | Min | Max | |
|---|---|---|---|---|---|
| Percentage sent | 94 | 23.51 | 17.38 | 0 | 50 |
| CHEAT | 94 | 0.51 | 0.50 | 0 | 1 |
| Male | 94 | 0.60 | 0.49 | 0 | 1 |
| Score | 94 | 6.68 | 2.00 | 1 | 11 |
| Age | 94 | 20.72 | 2.79 | 17 | 32 |
| LIE-SELF | 94 | 0.52 | 1.11 | 0 | 5 |
| LIE-OTHERS | 94 | 2.35 | 1.21 | 0 | 5 |
| RELATIVE | 94 | 1.15 | 0.36 | 1 | 2 |
| Obs. | Mean | Std. Dev. | Min | Max | |
|---|---|---|---|---|---|
| PERCENT SENT | 98 | 12.37 | 16.51 | 0 | 50 |
| CHEAT | 98 | 0.45 | 0.50 | 0 | 1 |
| Male | 98 | 0.55 | 0.50 | 0 | 1 |
| Score | 98 | 7.95 | 2.26 | 2 | 12 |
| Age | 98 | 20.37 | 1.47 | 18 | 23 |
| LIE-SELF | 98 | 0.80 | 1.29 | 0 | 5 |
| LIE-OTHERS | 98 | 2.55 | 1.12 | 0 | 5 |
| RELATIVE | 98 | 1.11 | 0.32 | 1 | 2 |

| Calgary | |
|---|---|
| A white lie that makes someone else feel good is only positive. | −0.20 |
| (0.16) | |
| I could lie to help someone else even if it hurts me. | −0.46 *** |
| (0.16) | |
| I could lie to get revenge even if it hurts me. | −0.18 |
| (0.16) | |
| I am more inclined to lie, the more I have to gain from the lie. | −0.24 |
| (0.16) | |
| I am less inclined to lie, the more others have to lose from the lie. | −0.19 |
| (0.16) | |
| I am less inclined to lie, the greater the risk of discovery. | −0.04 |
| (0.17) | |
| You either lie or you don’t, there are no degrees of lying. | 0.32 ** |
| (0.16) | |
| I am less inclined to lie, the greater the lie has to be for me to be believed. | 0.06 |
| (0.16) | |
| If I promise someone to tell the truth, that makes it very difficult for me to lie to that person. | −0.11 |
| (0.174) | |
| There are degrees of promises, some formulations contain a greater promise than others. | −0.08 |
| (0.16) |
| Calgary | |
|---|---|
| Betting a day’s income at the horse races. | −0.22 |
| (0.17) | |
| Investing 10% of your annual income in a blue chip (well established and financially sound) stock. | −0.03 |
| (0.15) | |
| Investing 10% of your annual income in a very speculative stock. | 0.03 |
| (0.152) | |
| Lending a friend an amount of money equivalent to one month’s income. | −0.06 |
| (0.15) | |
| Spending money impulsively. | −0.05 |
| (0.15) | |
| Taking a job where you get paid exclusively on a commission basis. | −0.15 |
| (0.15) | |
| Not having a smoke alarm in or outside of your bedroom. | −0.54 *** |
| (0.15) | |
| Not wearing a seatbelt in a taxi. | −0.71 *** |
| (0.16) | |
| Not wearing sunscreen when you sunbathe. | −0.18 |
| (0.15) | |
| Ignoring some persistent physical pain by not going to the doctor. | <−0.001 |
| (0.15) | |
| Eating expired food products that still look and smell okay. | 0.13 |
| (0.15) | |
| Walking across the street at a busy intersection, when the light has already turned red. | −0.56 *** |
| (0.15) | |
| Exploring an unknown city or section of town alone. | −0.26 * |
| (0.15) | |
| Going camping in the wild. | 0.05 |
| (0.152) | |
| Taking up mountain climbing or sky diving as a hobby. | −0.21 |
| (0.15) | |
| Showing up to a major event (like a concert or game) without a ticket. | −0.29 * |
| (0.16) | |
| Openly disagreeing with your boss in front of your coworkers (or with your professor in front of the class). | −0.40 *** |
| (0.15) |
Appendix A.1. Experimental Instructions
Appendix A.2. Questionnaires
Appendix A.2.1. Lie Aversion
- 1.
- A white lie that makes someone else feel good is only positive.
- 2.
- I could lie to help someone else even if it hurts me.
- 3.
- I could lie to get revenge even if it hurts me.
- 4.
- I am more inclined to lie, the more I have to gain from the lie.
- 5.
- I am less inclined to lie, the more others have to lose from the lie.
- 6.
- I am less inclined to lie, the greater the risk of discovery.
- 7.
- You either lie or you don’t, there are no degrees of lying.
- 8.
- I am less inclined to lie, the greater the lie has to be for me to be believed.
- 9.
- If I promise someone to tell the truth, that makes it very difficult for me to lie to that person.
- 10.
- There are degrees of promises, some formulations contain a greater promise than others.
Appendix A.2.2. Risk
- 1.
- Betting a day’s income at the horse races.
- 2.
- Investing 10% of your annual income in a blue chip (well established and financially sound) stock.
- 3.
- Investing 10% of your annual income in a very speculative stock.
- 4.
- Lending a friend an amount of money equivalent to one month’s income.
- 5.
- Spending money impulsively.
- 6.
- Taking a job, where you get paid exclusively on a commission basis.
- 7.
- Not having a smoke alarm in or outside of your bedroom.
- 8.
- Not wearing a seatbelt in a taxi.
- 9.
- Not wearing sunscreen, when you sunbathe.
- 10.
- Ignoring some persistent physical pain by not going to the doctor.
- 11.
- Eating expired food products that still look and smell okay.
- 12.
- Walking across the street at a busy intersection, when the light has already turned red.
- 13.
- Exploring an unknown city or section of town alone.
- 14.
- Going camping in the wild.
- 15.
- Taking up mountain climbing or sky diving as a hobby.
- 16.
- Showing up to a major event (like a concert or game) without a ticket.
- 17.
- Openly disagreeing with your boss in front of your coworkers (or with your professor in front of the class).
| 1 | “Lance Armstrong’s Confession” Oprah. com 17 January 2013. Web. 12 January 2016. |
| 2 | Livestrong Foundation. No title. No Date. Web. 12 January 2016. http://www.livestrong.org/what-we-do/ (accessed on 10 April 2023). |
| 3 | Feuer, Alan and Haughney, Christine. “Standing Accused: A Pillar of Finance and Charity” The New York Times. N.p., 12 December 2008. Web. 12 January 2016. |
| 4 | For example, when deciding whether or not to promote an assistant professor, departments want to reward faculty who will remain productive. But Faria and McAdam [12] find all faculty have the incentive to signal that they will be productive, though not all will. |
| 5 | Paying workers to take sick leave may encourage absenteeism, but it can also keep ill employees from showing up and infecting others, thus resulting in more loss to the company [13]. |
| 6 | A cognitive dissonance is an internal tension from holding two conflicting ideas concurrently. |
| 7 | We use the term “game” here, as it is standard in the literature, but technically the dictator game really is not a game, as there is no interaction between the players. |
| 8 | |
| 9 | At the time of the sessions, these piece rates converted to USD 0.45 and USD 0.54, respectively. |
| 10 | It was important to not run the CHEAT treatment electronically, as we needed subjects to trust that they were completely free to cheat, without the possibility of detection. |
| 11 | Raw data and code can be found at https://osf.io/zqx9f/ (accessed on 10 April 2023). Experimental materials are available upon request. This project was not pre-registered as it was started in 2013, before the pre-registration norm was established. |
| 12 | Payments at both locations were calibrated to compensate subjects for their opportunity cost of participation. |
| 13 | So for instance, circles on the lowest line represent the percentage of offers sent by dictators that are greater than zero but less than 10 percent of the endowment. |
| 14 | Interestingly, subjects in both treatments find their cohorts equally suspicious. When subjects in CHEAT are asked “How much do you think other subjects lied about their test score?”, the expected level of cheating is no different than what subjects in CONTROL report when asked the same question but posed in terms of the hypothetical (ordered probit: coef = 0.05; robust standard errors, ). This suggests that expectations of dishonest behavior are independent of its possibility of occurring. |
| 15 | |
| 16 | Dictators in CHEAT are significantly more likely to answer more than 10 questions correctly than dictators in CONTROL (test of proportions: 0.24 vs. 0.04; ). |
| 17 | HIGH SCORE dictators in CHEAT also indicated that they answered two fewer questions on average in the post-experiment survey, than they reported in the experiment. This is significantly greater than 0.31, which was the average difference between the reported score in the experiment and the post-experiment survey for the non-HIGH SCORE dictators. |
| 18 | We use the tobit regression here, as the data is censored from below 0. Some dictators may like to send negative amounts (outright steal from the receiver), but the game does not allow this. |
| 19 | We note that the significance here is marginal. We choose to report it because, by the nature of the question, it likely under-reports actual dishonesty. |
| 20 | This result should be taken with some skepticism because there is an element of risk here too. |
| 21 | There is one exception here. In Model 1, the coefficient estimate on HIGH SCORE is positive and significant. However, this is being driven by one observation, i.e., only one subject in the Calgary sessions got more than 10 questions correct on the IQ test and this subject participated in a CHEAT session. |
| 22 | While cultural norms may have influenced gameplay, we purposefully avoid such analysis, because doing so would be misleading. Both universities where the experiments were run, have a substantial international presence. Thus, attributing gameplay differences to cultural norms in the two countries, would be misleading. |
| 23 | The distribution of IQ test scores by treatment and location is found in Figure A1 of Appendix A. |
| 24 | We also note that Abu Dhabi subjects had a higher GPA on average (t-test 3.93 vs. 3.60 h: ; U-test: ). |
| 25 | The reasoning behind this behavior is laid out in [51]. Essentially, deviations from the own monetary payoff maximizing prediction, are more likely to be made by those with lower cognitive ability. |
| 26 | While Abu Dhabi subjects had higher test scores, the presence of scores above 10 were almost certainly largely due to cheating. Only two subjects in CONTROL in Abu Dhabi had a score above 10 in CONTROL, while 10 answered more than 10 questions in CHEAT. |
| 27 | The causality may go in either direction c.f., [52]. |
| 28 | When asked to self-report their actual scores, HIGH SCORE dictators in CHEAT reported having correctly answered 9.63 questions correctly, while non-HIGH SCORE dictators in CHEAT reported that their actual score was 8.25. This difference is statistically significant (t-test: ). Note, we are assuming that the biggest cheaters are also later being honest. |
References
- Engel, C. Dictator games: A meta study. Exp. Econ. 2011, 14, 583–610. [Google Scholar] [CrossRef]
- Hoffman, E.; McCabe, K.; Shachat, K.; Smith, V. Preferences, Property Rights, and Anonymity in Bargaining Games. Games Econ. Behav. 1994, 7, 346–380. [Google Scholar] [CrossRef]
- Schurter, K.; Wilson, B.J. Justice and fairness in the dictator game. South. Econ. J. 2009, 76, 130–145. [Google Scholar] [CrossRef]
- Mazar, N.; Amir, O.; Ariely, D. The dishonesty of honest people: A theory of self-concept maintenance. J. Mark. Res. 2008, 45, 633–644. [Google Scholar] [CrossRef]
- Aquino, K.; Reed, A., II. The self-importance of moral identity. J. Personal. Soc. Psychol. 2002, 83, 1423. [Google Scholar] [CrossRef] [PubMed]
- Ayal, S.; Gino, F. Honest rationales for dishonest behavior. In The Social Psychology of Morality: Exploring the Causes of Good and Evil; American Psychological Association: Washington, DC, USA, 2011. [Google Scholar]
- Barkan, R.; Ayal, S.; Gino, F.; Ariely, D. The pot calling the kettle black: Distancing response to ethical dissonance. J. Exp. Psychol. Gen. 2012, 141, 757. [Google Scholar] [CrossRef]
- Thielmann, I.; Hilbig, B.E. No gain without pain: The psychological costs of dishonesty. J. Econ. Psychol. 2019, 71, 126–137. [Google Scholar] [CrossRef]
- Becker, G.S. Crime and punishment: An economic approach. In Essays in the Economics of Crime and Punishment; UMI: Anaheim, CA, USA, 1974; pp. 1–54. [Google Scholar]
- Preston, I.; Szymanski, S. Cheating in contests. Oxf. Rev. Econ. Policy 2003, 19, 612–624. [Google Scholar] [CrossRef]
- Kleven, H.J.; Knudsen, M.B.; Kreiner, C.T.; Pedersen, S.; Saez, E. Unwilling or unable to cheat? Evidence from a tax audit experiment in Denmark. Econometrica 2011, 79, 651–692. [Google Scholar]
- Faria, J.R.; McAdam, P. Academic productivity before and after tenure: The case of the ‘specialist’. Oxf. Econ. Pap. 2015, 67, gpv002. [Google Scholar] [CrossRef]
- Chatterji, M.; Tilley, C.J. Sickness, absenteeism, presenteeism, and sick pay. Oxf. Econ. Pap. 2002, 54, 669–687. [Google Scholar] [CrossRef]
- Schweitzer, M.E.; Hsee, C.K. Stretching the truth: Elastic justification and motivated communication of uncertain information. J. Risk Uncertain. 2002, 25, 185–201. [Google Scholar] [CrossRef]
- El Hazzouri, M.; Carvalho, S.W.; Main, K.J. An Investigation of the Emotional Outcomes of Business Students’ Cheating “Biological Laws” to Achieve Academic Excellence. Acad. Manag. Learn. Educ. 2015, 14, 440–460. [Google Scholar] [CrossRef]
- Hugh-Jones, D. Honesty, beliefs about honesty, and economic growth in 15 countries. J. Econ. Behav. Organ. 2016, 127, 99–114. [Google Scholar] [CrossRef]
- Erat, S.; Gneezy, U. White Lies. Manag. Sci. 2012, 58, 723–733. [Google Scholar] [CrossRef]
- Rettinger, D.A.; Jordan, A.E. The relations among religion, motivation, and college cheating: A natural experiment. Ethics Behav. 2005, 15, 107–129. [Google Scholar] [CrossRef]
- Fischbacher, U.; Föllmi-Heusi, F. Lies in disguise—An experimental study on cheating. J. Eur. Econ. Assoc. 2013, 11, 525–547. [Google Scholar] [CrossRef]
- Festinger, L. A Theory of Cognitive Dissonance; Stanford University Press: Redwood City, CA, USA, 1962; Volume 2. [Google Scholar]
- List, J.A. On the interpretation of giving in dictator games. J. Political Econ. 2007, 115, 482–493. [Google Scholar] [CrossRef]
- Hoffman, E.; McCabe, K.; Smith, V.L. Social distance and other-regarding behavior in dictator games. Am. Econ. Rev. 1996, 86, 653–660. [Google Scholar]
- Bolton, G.E.; Katok, E.; Zwick, R. Dictator game giving: Rules of fairness versus acts of kindness. Int. J. Game Theory 1998, 27, 269–299. [Google Scholar] [CrossRef]
- Brañas-Garza, P.; Cobo-Reyes, R.; Espinosa, M.P.; Jiménez, N.; Kovářík, J.; Ponti, G. Altruism and social integration. Games Econ. Behav. 2010, 69, 249–257. [Google Scholar] [CrossRef]
- Leider, S.; Möbius, M.M.; Rosenblat, T.; Do, Q.A. Directed altruism and enforced reciprocity in social networks. Q. J. Econ. 2009, 124, 1815–1851. [Google Scholar] [CrossRef]
- Charness, G.; Rabin, M. Understanding social preferences with simple tests. Q. J. Econ. 2002, 117, 817–869. [Google Scholar] [CrossRef]
- Cochard, F.; Le Gallo, J.; Georgantzis, N.; Tisserand, J.C. Social preferences across different populations: Meta-analyses on the ultimatum game and dictator game. J. Behav. Exp. Econ. 2021, 90, 101613. [Google Scholar] [CrossRef]
- Cherry, T.L. Mental accounting and other-regarding behavior: Evidence from the lab. J. Econ. Psychol. 2001, 22, 605–615. [Google Scholar] [CrossRef]
- Oxoby, R.J.; Spraggon, J. Mine and Yours: Property Rights in Dictator Games. J. Econ. Behav. Organ. 2008, 65, 703–713. [Google Scholar] [CrossRef]
- Carr, M.D.; Mellizo, P. Entitlement in a Real Effort Ultimatum Game; Working Paper; University of Massachusetts Boston: Boston, MA, USA, 2013. [Google Scholar]
- Ruffle, B.J. More is better, but fair is fair: Tipping in dictator and ultimatum games. Games Econ. Behav. 1998, 23, 247–265. [Google Scholar] [CrossRef]
- Cherry, T.L.; Frykblom, P.; Shogren, J.F. Hardnose the Dictator. Am. Econ. Rev. 2002, 92, 1218–1221. [Google Scholar] [CrossRef]
- Frohlich, N.; Oppenheimer, J.; Kurki, A. Modeling Other-regarding Preferences and an Experimental Test. Public Choice 2004, 119, 91–117. [Google Scholar] [CrossRef]
- Konow, J. Fair Shares: Accountability and Cognitive Dissonance in Allocation Decisions. Am. Econ. Rev. 2000, 90, 1072–1091. [Google Scholar] [CrossRef]
- Schurr, A.; Ritov, I. Winning a competition predicts dishonest behavior. Proc. Natl. Acad. Sci. USA 2016, 113, 201515102. [Google Scholar] [CrossRef] [PubMed]
- Andreoni, J. Giving with Impure Altruism: Applications to Charity and Ricardian Equivalence. J. Political Econ. 1989, 97, 1447–1458. [Google Scholar] [CrossRef]
- Fehr, E.; Schmidt, K. A Theory of Fairness, Competition, and Cooperation. Q. J. Econ. 1999, 144, 817–868. [Google Scholar] [CrossRef]
- Bolton, G.; Ockenfels, A. ERC: A theory of equity, reciprocity, and competition. Am. Econ. Rev. 2000, 90, 166–193. [Google Scholar] [CrossRef]
- Raven, J. The Raven Progressive Matrices: A review of national norming studies and ethnic and socioeconomic variation within the United States. J. Educ. Meas. 1989, 26, 1–16. [Google Scholar] [CrossRef]
- Raven, J. Psychometrics, cognitive ability, and occupational performance. Rev. Psychol. 2000, 7, 51–74. [Google Scholar]
- Greiner, B. An online recruitment system for economic experiments. Forsch. Wiss. Rechn. 2004, 63, 79–93. [Google Scholar]
- Bock, O.; Baetge, I.; Nicklisch, A. hroot: Hamburg registration and organization online tool. Eur. Econ. Rev. 2014, 71, 117–120. [Google Scholar] [CrossRef]
- DePaulo, B.M.; Kashy, D.A.; Kirkendol, S.E.; Wyer, M.M.; Epstein, J.A. Lying in everyday life. J. Personal. Soc. Psychol. 1996, 70, 979. [Google Scholar] [CrossRef]
- Fischbacher, U. z-Tree: Zurich toolbox for ready-made economic experiments. Exp. Econ. 2007, 10, 171–178. [Google Scholar] [CrossRef]
- Tenbrunsel, A.E.; Diekmann, K.A.; Wade-Benzoni, K.A.; Bazerman, M.H. The ethical mirage: A temporal explanation as to why we are not as ethical as we think we are. Res. Organ. Behav. 2010, 30, 153–173. [Google Scholar] [CrossRef]
- McCabe, D.L.; Trevino, L.K.; Butterfield, K.D. Cheating in academic institutions: A decade of research. Ethics Behav. 2001, 11, 219–232. [Google Scholar] [CrossRef]
- Zhang, J.; Casari, M. How groups reach agreement in risky choices: An experiment. Econ. Inq. 2012, 50, 502–515. [Google Scholar] [CrossRef]
- Zeiner, A.R.; Schell, A.M. Individual differences in orienting, conditionability, and skin resistance responsivity. Psychophysiology 1971, 8, 612–622. [Google Scholar] [CrossRef] [PubMed]
- Andreoni, J.; Petrie, R. Beauty, gender and stereotypes: Evidence from laboratory experiments. J. Econ. Psychol. 2008, 29, 73–93. [Google Scholar] [CrossRef]
- Fréchette, G.R. Session-effects in the laboratory. Exp. Econ. 2012, 15, 485–498. [Google Scholar] [CrossRef]
- Ben-Ner, A.; Kong, F.; Putterman, L. Share and share alike? Gender-pairing, personality, and cognitive ability as determinants of giving. J. Econ. Psychol. 2004, 25, 581–589. [Google Scholar] [CrossRef]
- Ross, L.; Greene, D.; House, P. The “false consensus effect”: An egocentric bias in social perception and attribution processes. J. Exp. Soc. Psychol. 1977, 13, 279–301. [Google Scholar] [CrossRef]
- Mazar, N.; Amir, O.; Ariely, D. More Ways to Cheat-Expanding the Scope of Dishonesty. J. Mark. Res. 2008, 45, 651–653. [Google Scholar]


| Obs. | Mean | Std. Dev. | Min | Max | |
|---|---|---|---|---|---|
| Percent Sent | 96 | 17.82 | 17.78 | 0 | 50 |
| CHEAT | 192 | 0.48 | 0.50 | 0 | 1 |
| Calgary | 192 | 0.40 | 0.50 | 0 | 1 |
| Male | 192 | 0.57 | 0.50 | 0 | 1 |
| Score | 192 | 7.33 | 2.22 | 1 | 12 |
| Age | 192 | 20.54 | 2.22 | 17 | 32 |
| LIE-SELF | 192 | 0.66 | 1.21 | 0 | 5 |
| LIE-OTHERS | 192 | 2.45 | 1.17 | 0 | 5 |
| RELATIVE | 192 | 1.13 | 0.34 | 1 | 2 |
| M1 | M2 | M3 | M4 | M5 | M6 | M7 | M8 | M9 | |
|---|---|---|---|---|---|---|---|---|---|
| CHEAT | 4.29 | 8.27 | 9.35 * | 9.83 * | 10.55 ** | 10.73 ** | 8.66 * | ||
| (5.39) | (5.42) | (5.24) | (5.26) | (5.25) | (5.25) | (4.97) | |||
| Score | −4.66 *** | −5.36 *** | −2.60 | −2.88 | −2.64 | −0.59 | |||
| (1.55) | (1.61) | (2.27) | (2.31) | (2.40) | (2.51) | ||||
| HIGH SCORE | −23.66 *** | −27.79 *** | −19.89 * | −19.45 ** | −20.48 ** | −20.47 ** | |||
| (7.76) | (7.74) | (10.38) | (9.75) | (10.13) | (10.02) | ||||
| Male | −4.14 | −5.29 | |||||||
| (5.33) | (5.20) | ||||||||
| Age | 2.29 ** | 2.09 ** | 1.66 * | ||||||
| (0.97) | (1.01) | (0.99) | |||||||
| Calgary | 11.21 ** | ||||||||
| (5.398) | |||||||||
| Constant | 10.20 ** | 53.75 *** | 15.39 *** | 55.96 *** | 11.45 *** | 33.27 * | −11.87 | −7.46 | −20.65 |
| (4.04) | (13.94) | (2.98) | (13.68) | (3.86) | (18.98) | (30.84) | (30.93) | (30.56) | |
| P. R | 0.00 | 0.01 | 0.01 | 0.015 | 0.02 | 0.02 | 0.03 | 0.03 | 0.03 |
| Log. L. | −321.41 | −318.26 | −317.55 | −317.04 | −316.00 | −315.38 | −313.33 | −313.00 | −311.05 |
| CONTROL | CHEAT | ALL | |
|---|---|---|---|
| Abu Dhabi | 11.56 | 13.36 | 12.37 |
| (3.479) | (3.18) | (2.37) | |
| Calgary | 22.39 | 24.58 | 23.51 |
| (3.30) | (3.92) | (2.55) | |
| p-value | 0.03 | 0.033 | 0.0018 |
| Calgary | Abu Dhabi | |||
|---|---|---|---|---|
| M1 | M2 | M3 | M4 | |
| CHEAT | 0.82 | 1.82 | 16.66 * | 16.09 * |
| (6.35) | (6.16) | (9.12) | (9.44) | |
| Score | −2.55 | −2.31 | 2.86 | 3.00 |
| (2.61) | (2.91) | (5.36) | (4.86) | |
| HIGH SCORE | 15.10 * | 7.41 | −38.02 ** | −37.80 ** |
| (8.93) | (11.69) | (15.88) | (14.47) | |
| Male | −6.34 | −3.60 | ||
| (6.79) | (8.49) | |||
| Age | 1.00 | 2.45 | ||
| (1.12) | (2.28) | |||
| Constant | 41.48 * | 22.27 | −24.00 | −72.94 |
| (21.57) | (33.33) | (46.43) | (58.44) | |
| P R | 0.00 | 0.01 | 0.03 | 0.04 |
| Log L | −178.36 | −177.25 | −131.54 | −130.94 |
| OBS | 47 | 47 | 49 | 49 |
| LL | 9 | 9 | 24 | 24 |
Disclaimer/Publisher’s Note: The statements, opinions and data contained in all publications are solely those of the individual author(s) and contributor(s) and not of MDPI and/or the editor(s). MDPI and/or the editor(s) disclaim responsibility for any injury to people or property resulting from any ideas, methods, instructions or products referred to in the content. |
© 2023 by the authors. Licensee MDPI, Basel, Switzerland. This article is an open access article distributed under the terms and conditions of the Creative Commons Attribution (CC BY) license (https://creativecommons.org/licenses/by/4.0/).
Share and Cite
Johnson, D.B.; Rogers, J. First You Get the Money, Then You Get the Power: The Effect of Cheating on Altruism. Games 2023, 14, 40. https://doi.org/10.3390/g14030040
Johnson DB, Rogers J. First You Get the Money, Then You Get the Power: The Effect of Cheating on Altruism. Games. 2023; 14(3):40. https://doi.org/10.3390/g14030040
Chicago/Turabian StyleJohnson, David B., and Jonathan Rogers. 2023. "First You Get the Money, Then You Get the Power: The Effect of Cheating on Altruism" Games 14, no. 3: 40. https://doi.org/10.3390/g14030040
APA StyleJohnson, D. B., & Rogers, J. (2023). First You Get the Money, Then You Get the Power: The Effect of Cheating on Altruism. Games, 14(3), 40. https://doi.org/10.3390/g14030040

