Course-Bound and Beyond-Course Interaction in Higher Education: Exploring the Latent Structure of a Perception Scale
Abstract
1. Introduction
Interactions Inside and Outside the Classroom
2. Methodology
2.1. Research Design
2.2. Research Population and Sample
2.3. Instrument
2.4. The Items
2.5. Reliability Tests
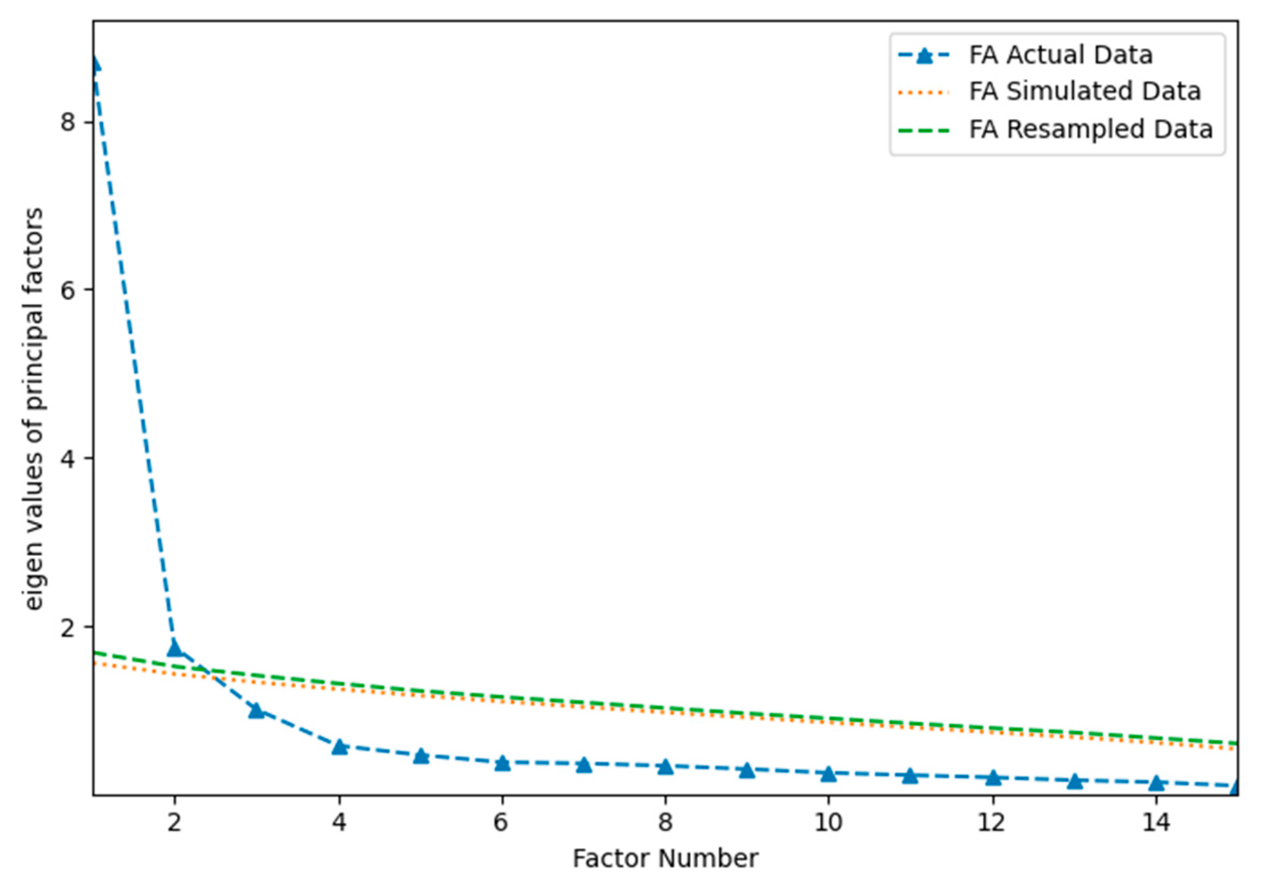
3. Results
4. Discussion
Comparison with Previous Studies
5. Conclusions
Limitations
Supplementary Materials
Author Contributions
Funding
Institutional Review Board Statement
Data Availability Statement
Acknowledgments
Conflicts of Interest
Appendix A
| RESEARCH INSTRUMENT Questionnaire Perception of Interaction in Learning Environments. |
|
| Questionnaire Perception of Interaction in Learning Environments |
| Dear Student, We ask you to please answer the following survey that aims to know the perception of interaction of students of the Bogotá campus of the Cooperative University of Colombia (UCC), in learning environments. This instrument is an input to the project with code INV3289 of the Research Information System (Sínfoni) of the Cooperative University of Colombia, and which aims to “Analyze the relationship between the development of specific competencies and the perception of interaction of students of the Bogotá campus of the Cooperative University of Colombia, in learning environments”. We are sending you this survey because you are an active student in one of the undergraduate programs of the Bogotá campus of the Universidad Cooperativa de Colombia and through them you can give an insight into the phenomenon of study. Thank you in advance. |
Appendix A.1. Consent to Use of Information
Appendix A.2. Characterization
Academic Program you are studying
|
Semester you are studying:
|
Appendix A.3. Actors with Whom One Interacts
| Description | Very Low | Low | Middle | High | Very High |
| Among students enrolled in courses in which you have participated | |||||
| Between students enrolled in the courses in which you have participated and the professors of the same courses | |||||
| Between students and the thematic content proposed by the teachers of the courses in which you have participated (documents, platform, audiovisual resources, etc.) | |||||
| Among the students and content different from those proposed by the teachers of the courses in which they have been enrolled (videos, free courses, documents) | |||||
| Between students and people from other areas of the University (only applies if in some way they contribute to their training and can be a library, laboratories, practical learning environments, research, among others.) | |||||
| Between students of the courses in which you have participated and students of other faculties or campuses of the University (only applicable if they contribute in some way to your training) | |||||
| Between students of the courses in which you have participated and professors from other faculties or campuses of the University (only applicable if they contribute in some way to your training) | |||||
| Between students and people outside the University (only applies if in some way they contribute to their education and can be parents, friends, partners, among others) |
Appendix A.4. Encouraging Interaction in the Course
| Description | Very Low | Low | Middle | High | Very High |
| Plan the interaction between the actors of the course | |||||
| Foster closeness with students | |||||
| Motivate students to interact with content | |||||
| Motivate students to interact with other students | |||||
| Motivate students to interact with the teacher | |||||
| Recognize student participation | |||||
| Analyze the situations of cooperation and competition that arise in the course |
Appendix A.5. Levels of Interaction
| Description | Very Low | Low | Middle | High | Very High |
| I work with colleagues, but without communication | |||||
| Messages (written or oral) such as greetings, goodbyes or thanks | |||||
| Messages (written or oral) about topics other than what is being discussed at the moment | |||||
| Response through gestures or emoticons to express agreement or disagreement | |||||
| Verbal or written response to express agreement or disagreement, without mentioning the arguments that support the opinion | |||||
| Proposal of a new topic of conversation related to the topic of the class | |||||
| Verbal or written response to express agreement or disagreement, with arguments that support the opinion | |||||
| Ask about the topic being discussed at the moment | |||||
| Conversation in which there are more than two responses between the people participating at that moment |
| Item (This Study) | Section | Status | What Was Adapted | Rationale |
| ACT1–ACT3 | ACT (Interaction targets within course) | Retained (reworded) | Aligned with the original targets (student–student within the course; student–teacher; student–course content), with wording adjusted for the higher-education setting and English version. | Preserve construct equivalence for course-bound interaction targets. |
| ACT4–ACT5 | ACT (Targets beyond teacher-provided content/other university units) | Expanded | Items were specified to distinguish interaction with non-instructor-provided resources (ACT4) and with other university units (ACT5), extending the target coverage beyond the immediate course environment. | Increase conceptual granularity to capture extra-course interaction opportunities in technology-mediated learning. |
| ACT6–ACT7 | ACT (Other faculties/campuses) | New (context-driven extension) | Added to differentiate interactions with students and teachers from other faculties/campuses (beyond the focal course). | Capture cross-program/cross-campus interaction patterns relevant in university settings. |
| ACT8 | ACT (External individuals) | Retained (reworded) | Maintains the “outside the university” target, with clarifying wording (“only applies if…”). | Preserve equivalence for external interaction targets while improving interpretability. |
| FOM1–FOM5 | FOM (Encouraging interaction) | Retained (reworded) | Correspond to the original “encouraging interaction” practices (planning interaction; promoting closeness; motivating interaction with content/peers/teacher), with wording adjusted for English and higher education. | Preserve the core facilitation practices of the source instrument. |
| FOM6–FOM7 | FOM | Expanded/New | Added practices not explicitly listed in the 5-item source block (recognizing participation; analyzing cooperation/competition dynamics). | Improve content coverage of facilitation practices commonly emphasized in collaborative learning research and practice. |
| FOM8 (duplicate item) | FOM | Removed prior to analysis | Appeared twice in the administered questionnaire; the first occurrence was retained and the second duplicate column was removed prior to analysis. Duplicate responses showed substantial association (Spearman’s ρ = 0.740; exact agreement = 64.8%). | Quality control: avoid redundancy and potential inflation of reliability due to repeated content. |
| NIV1–NIV9 | NIV (Levels of interaction) | Collected, not analyzed | Not included in the analyses reported in this manuscript. | Out of scope for the present research questions, which focus on interaction targets (ACT) and facilitation practices (FOM). |
References
- Trevelyan, J. Reconstructing engineering from practice. Eng. Stud. 2010, 2, 175–195. [Google Scholar] [CrossRef]
- Child, S.; Shaw, S. Towards an operational framework for establishing and assessing collaborative interactions. Res. Pap. Educ. 2019, 34, 276–297. [Google Scholar] [CrossRef]
- Koudenburg, N.; Jetten, J.; Enz, K.F.; Haslam, S.A. The social grounds of personal self: Interactions that build a sense of ‘we’ help clarify who ‘I’ am. Eur. J. Soc. Psychol. 2024, 54, 1153–1167. [Google Scholar] [CrossRef]
- Raufelder, D.; Nitsche, L.; Breitmeyer, S.; Keßler, S.; Herrmann, E.; Regner, N. Students’ perception of “good” and “bad” teachers—Results of a qualitative thematic analysis with German adolescents. Int. J. Educ. Res. 2016, 75, 31–44. [Google Scholar] [CrossRef]
- Sarwar, M.A.; Sherief, S.R. Effect of Social Interaction on Learning Performance of Handicapped Students. Int. J. Res. Publ. Rev. 2024, 5, 4768–4773. [Google Scholar] [CrossRef]
- Ciudad, D.M.; Mañgulamas, M.; Mañgulamas, S.; Toquero, C.M. Analysis of online engagement of students in emergency online learning. Int. J. Educ. Res. Innov. 2023, 20, 1–15. [Google Scholar] [CrossRef]
- Samouei, R.; Nazari-Kamal, M.; Golshiri, P.; Samouei, S. Strategies to increase social capital and interaction of faculty members of medical universities. J. Educ. Health Promot. 2022, 11, 300. [Google Scholar] [CrossRef]
- Trinidad, J.E.; Raz, M.D.; Magsalin, I.M. “More than professional skills:” student perspectives on higher education’s purpose. Teach. High. Educ. 2021, 28, 1380–1394. [Google Scholar] [CrossRef]
- Jeram, S. Fostering Social Connection in Large Lecture Classes. Coll. Teach. 2023, 72, 379–387. [Google Scholar] [CrossRef]
- Miao, J.; Ma, L. Students’ online interaction, self-regulation, and learning engagement in higher education: The importance of social presence to online learning. Front. Psychol. 2022, 13, 815220. [Google Scholar] [CrossRef]
- Ayalew, M. Socialization Experiences Among Undergraduate Students in Higher Learning Institutions (HLI); IntechOpen: London, UK, 2022. [Google Scholar] [CrossRef]
- Jia, J.; Stapa, M. The use of english interaction strategies in cooperative learning: A case study of four chinese college students’ spoken discourse. J. Nusant. Stud. 2024, 9, 25–52. [Google Scholar] [CrossRef]
- Cattaruzza, E.; Kloetzer, L.; Iannaccone, A. Boundary-Crossing Movements: A Resource for Student Learning. Front. Educ. 2022, 7, 730263. [Google Scholar] [CrossRef]
- Atalay, A.; Seylim, E.; Balci, A. Socialization at Universities: A Case Study. Eur. J. Educ. Sci. 2022, 9, 19–43. [Google Scholar] [CrossRef]
- Nguyen, N. The Vital Role of Student Social Interaction Outside Class in the University Environment. Cent. Eur. Manag. J. 2021, 30, 461–468. [Google Scholar] [CrossRef]
- Akçay, A.; Çoklar, A.N. Interaction in Online Learning Environments: A View From Theory to Practice. In Handbook of Research on Managing and Designing Online Courses in Synchronous and Asynchronous Environments; Durak, G., Çankaya, S., Eds.; IGI Global: Hershey, PA, USA, 2022; pp. 214–232. [Google Scholar] [CrossRef]
- Al Mamun, M.; Lawrie, G. Student-content interactions: Exploring behavioural engagement with self-regulated inquiry-based online learning modules. Smart Learn. Environ. 2023, 10, 1. [Google Scholar] [CrossRef]
- dos Santos, C.P.; Nicot, Y.E. A interatividade no processo de ensino e aprendizagem de ciências. Rede Amaz. De Educ. Em Ciências E Matemática 2020, 8, 98–112. [Google Scholar] [CrossRef]
- Ellinger, J.; Mess, F.; Bachner, J.; von Au, J.; Mall, C. Changes in social interaction, social relatedness, and friendships in Education Outside the Classroom: A social network analysis. Front. Psychol. 2023, 14, 1031693. [Google Scholar] [CrossRef]
- Reason, R.; Terenzini, P.; Domingo, R. First things first: Developing competence in the first year of college. Res. High. Educ. 2006, 47, 149–176. [Google Scholar] [CrossRef]
- Manrique, H.; Valle, C. Teacher-Student Interaction and Decision-Making: A Theoretical Approach. Educ. Y Educ. 2023, 25, e2532. [Google Scholar] [CrossRef]
- Douwes, R.; Metselaar, J.; Pijnenborg, G.; Boonstra, N. Well-being of students in higher education: The importance of a student perspective. Cogent Educ. 2023, 10, 2190697. [Google Scholar] [CrossRef]
- Cuseo, J. The Power of Student-Faculty Contact Outside The Classroom: Supporting Evidence Underlying Explanations; ResearchGate: Berlin, Germany, 2015. [Google Scholar] [CrossRef]
- Tsymbalaru, A. Organization of educational interaction of students with the objects of the educational environment: The state of school practice. Ukr. Educ. J. 2019, 4, 79–85. [Google Scholar] [CrossRef]
- Pineda, K.; Morales, M.; Ortiz, M. Models and Mechanisms of University-Industry-Government Interaction: Challenges for Colombian Universities. Equidad Y Desarro. 2011, 15, 41–67. [Google Scholar] [CrossRef]
- Cox, B.E.; McIntosh, K.L.; Terenzini, P.T.; Reason, R.D.; Lutovsky Quaye, B.R. Pedagogical Signals of Faculty Approachability: Factors Shaping Faculty–Student Interaction Outside the Classroom. Res. High. Educ. 2010, 51, 767–788. [Google Scholar] [CrossRef]
- Cox, B.; Orehovec, E. Faculty-Student Interaction Outside the Classroom: A Typology from a Residential College. Rev. High. Educ. 2007, 30, 343–362. [Google Scholar] [CrossRef]
- Volkwein, J.F.; King, M.C.; Terenzini, P.T. Student–faculty relationships and intellectual growth among transfer students. J. High. Educ. 1986, 57, 413–430. [Google Scholar] [CrossRef]
- Vygotsky, L. The Development of Higher Psychological Processes, 2009th ed.; Furió, S., Translator; Crítica: Barcelona, Spain, 1978. [Google Scholar]
- Tarrant, S.; Thiele, L. Enhancing and promoting interdisciplinarity in higher education. J. Environ. Stud. Sci. 2017, 7, 355–360. [Google Scholar] [CrossRef]
- Christensen, J.; Ekelund, N.G.; Melin, M.; Widén, P. The Beautiful Risk of Collaborative and Interdisciplinary Research. A Challenging Collaborative and Critical Approach toward Sustainable Learning Processes in Academic Profession. Sustainability 2021, 13, 4723. [Google Scholar] [CrossRef]
- Chen, Y.; Gan, N. Sustainable Development of Employability of University Students Based on Participation in the Internship Promotion Programme of Zhejiang Province. Sustainability 2021, 13, 13454. [Google Scholar] [CrossRef]
- Astin, A. Student Development Involvement: A Developmental Theory for Higher Education. J. Coll. Stud. Dev. 1999, 40, 518–529. [Google Scholar]
- Abril Caro, J.A.; Alvarado Díaz, N.C. Collaborative Learning Environment Without Group-Based Collaboration in Physical Education. Master’s Thesis, Universidad Cooperativa de Colombia, Bogotá, Colombia, 2020. Available online: https://repository.ucc.edu.co/entities/publication/42e2baaa-bb97-42c2-81f8-16f77c616a5f (accessed on 17 March 2026).
- Mena, A. Aprendizaje Red Como Alternativa Teórica y Metodológica para el Fomento de la Interacción en Escenarios de Aprendizaje Universitarios de Modalidad Virtual. Doctoral Dissertation, UNED, Universidad Nacional de Educación a Distancia, Madrid, Spain, 2018. Available online: https://dialnet.unirioja.es/servlet/cittes?codigo=205419 (accessed on 17 March 2026).
- Farrelly, M.J.; Sinwongsuwat, K. Strategies Used and Challenges Faced by Thai EFL Teachers When Eliciting Talk During Classroom Interactions in High School Contexts. SAGE Open 2021, 11, 215824402110503. [Google Scholar] [CrossRef]
- Kang, J.; Yang, W. Research on Teaching Strategies to Promote Classroom Interaction in Smart Classroom Environment. In Proceedings of the 2023 International Symposium on Educational Technology (ISET), Hong Kong, China, 17–20 July 2023; pp. 121–123. [Google Scholar] [CrossRef]
- Wibowo, A.Y.; Pratolo, B.W.; Sari, O.W.; Fahmi, F.; Ihsan, N. The Strategies in Building an Active Learning Environment in English Classroom: Pre-service Teachers’ Perceptions. Univers. J. Educ. Res. 2020, 8, 7583–7595. [Google Scholar] [CrossRef]
- Ncube, C.; Newlin, M. Interaction strategies used by English first additional language teachers in the Libode education district in South Africa. Int. J. Sci. Res. 2021, 77, 48–67. [Google Scholar]
- Nafea, I.T. Active Learning Multi-Strategies. Int. J. Innov. Technol. Explor. Eng. 2020, 10, 87–94. [Google Scholar] [CrossRef]
- Rossi, P.G.; Ranieri, M.; Li, Y.; Perifanou, M.A. Interaction, feedback and active learning: Where we are and where we want to go. Form@Re Open J. Per La Form. Rete 2019, 19, 1–5. [Google Scholar] [CrossRef]
- Hurst, B.; Wallace, R.; Nixon, S. The Impact of Social Interaction on Student Learning. Read. Horiz. 2013, 52, 375–398. [Google Scholar]
- Komarraju, M.; Musulkin, S.; Bhattacharya, G. Role of Student–Faculty Interactions in Developing College Students’ Academic Self-Concept, Motivation, and Achievement. J. Coll. Stud. Dev. 2010, 51, 332–342. [Google Scholar] [CrossRef]
- Anaya, G.; Cole, D.G. Latina/o student achievement: Exploring the influence of student-faculty interactions on college grades. J. Coll. Stud. Dev. 2001, 42, 3–15. [Google Scholar]
- Chen, S.; Hsiao, H.; Chang, J.; Chou, C.; Chen, C.; Shen, C. Can the entrepreneurship course improve the entrepreneurial intentions of students? Int. Entrep. Manag. J. 2013, 11, 557–569. [Google Scholar] [CrossRef]
- Burns, C.; Chopra, S. A Meta-Analysis of the Effect of Industry Engagement on Student Learning in Undergraduate Programs. 2017. Available online: https://www.semanticscholar.org/paper/A-Meta-analysis-of-the-Effect-of-Industry-on-in-Burns-Chopra/2e8d09b0e169ebb5123b12ae55411cae70ffea38 (accessed on 17 March 2026).
- Saukkonen, J.; Nukari, J.; Ballard, S.M.; Levie, J. Start-up entrepreneurs and university students in a co-learning mode. Ind. High. Educ. 2016, 30, 224–238. [Google Scholar] [CrossRef]
- Vasilyeva, E.; Samigullina, L.; Danilova, O. Interdisciplinarity as a Key Component Contributing to Sustainable Development of Modern Engineering Education. In Proceedings of the International Scientific Conference on Philosophy of Education, Law and Science in the Era of Globalization (PELSEG 2020), Ekaterinburg, Russia, 13–14 February 2020. [Google Scholar] [CrossRef]
- Ashby, I.V.; Exter, M.E. Designing for Interdisciplinarity in Higher Education: Considerations for Instructional Designers. TechTrends 2018, 63, 202–208. [Google Scholar] [CrossRef]
- Urea, R. The Perceived Significances of Interdisciplinarity at Students in Educational Sciences. Procedia Soc. Behav. Sci. 2015, 187, 228–233. [Google Scholar] [CrossRef]
- Godemann, J. Promotion of Interdisciplinarity Competence as a Challenge for Higher Education. J. Soc. Sci. Educ. 2006, 5, 51–61. [Google Scholar] [CrossRef]
- González-M, J.A.; Rodríguez-Paz, M.X.; Caballero-Montes, E. Virtual Reality and Collaborative Interdisciplinary Work in the Development of Competences. In Proceedings of the ICETC ‘19: 11th International Conference on Education Technology and Computers, Amsterdam, The Netherlands, 28–31 October 2019; pp. 100–104. [Google Scholar] [CrossRef]
- González-Carrasco, M.; Ortega, J.F.; Vila, R.D.C.; Vivas, M.C.; Molina, J.S.; Bonmati, J.M. The development of professional competences using the interdisciplinary project approach with university students. J. Technol. Sci. Educ. 2016, 6, 121–134. [Google Scholar] [CrossRef]
- Havis, L.R. Active Learning Strategies for Promoting Intercultural Competence Development in Students; Emerald Publishing Limited: Leeds, UK, 2020. [Google Scholar] [CrossRef]
- EL Hadri, O. Development of Moroccan University Students’ Intercultural Competence -Department of English Studies. Int. J. Lang. Lit. Stud. 2022, 4, 37–59. [Google Scholar] [CrossRef]
- Arnold, H.; Felgentreff, C.; Franz, M.; Higgs, B.M. The effects of interdisciplinarity and internationality of group compositions in student fieldwork. J. Geogr. High. Educ. 2022, 47, 451–466. [Google Scholar] [CrossRef]
- Berasategi, N.; Aróstegui, I.; Jaureguizar, J.; Aizpurua, A.; Guerra, N.; Arribillaga-Iriarte, A. Interdisciplinary Learning at University: Assessment of an Interdisciplinary Experience Based on the Case Study Methodology. Sustainability 2020, 12, 7732. [Google Scholar] [CrossRef]
- Gill, A.S.; Irwin, D.S.; Ng, R.Y.; Towey, D.A.; Wang, T.; Wells, R.; Zhang, Y. Breaking Boundaries: Students’ Motivation Toward. Interdisciplinary Learning in Higher Education. In Proceedings of the 2021 IEEE International Conference on Engineering, Technology Education (TALE), Wuhan, China, 5–8 December 2021; IEEE: New York, NY, USA, 2021; pp. 268–275. [Google Scholar] [CrossRef]
- Morales, A.; González, É.O. Interdisciplinariedad en la formación universitaria del diseño gráfico: Entre la teoría y la práctica. Educación 2021, 30, 228–249. [Google Scholar] [CrossRef]
- Binder, J.F.; Baguley, T.S.; Crook, C.J.; Miller, F. The academic value of internships: Benefits across disciplines and student backgrounds. Contemp. Educ. Psychol. 2015, 41, 73–82. [Google Scholar] [CrossRef]
- Baert, B.S.; Neyt, B.; Siedler, T.; Tobback, I.; Verhaest, D. Student Internships and Employment Opportunities after Graduation: A Field Experiment. Econ. Educ. Rev. 2021, 83, 102141. [Google Scholar] [CrossRef]
- Ramírez, M.Á.; Ciriza, E.A.; Gil, C.R.; Cabestre, F.J. Satisfaction with External Internships: Do Students Acquire the Professional Skills Necessary to Improve their Employability? Int. J. Hum. Cap. Inf. Technol. Prof. 2017, 8, 42–50. [Google Scholar] [CrossRef]
- Hergert, M.L. Student Perceptions of The Value of Internships in Business Education. Am. J. Bus. Educ. 2009, 2, 9–14. [Google Scholar] [CrossRef]
- Vukić, M.D.; Kuzmanović, M.; Vukić, M. Students’ perspective of internship in vocational higher education. Manag. J. Sustain. Bus. Manag. Solut. Emerg. Econ. 2022, 27, 11–20. [Google Scholar] [CrossRef]
- Angelique, H.L. Linking the Academy to the Community Through Internships: A Model of Service Learning, Student Empowerment, and Transformative Education. Sociol. Pract. 2001, 3, 37–53. [Google Scholar] [CrossRef]



| Program | n | % |
| Public Accounting | 30 | 19 |
| Business Administration | 29 | 18.4 |
| Psychology | 28 | 17.7 |
| International Business | 12 | 7.6 |
| Systems Engineering | 10 | 6.3 |
| Other undergraduate program | 9 | 5.7 |
| Marketing | 8 | 5.1 |
| Law | 7 | 4.4 |
| Industrial Engineering | 5 | 3.2 |
| Economics | 4 | 2.5 |
| Social Communication | 4 | 2.5 |
| Environmental Engineering | 3 | 1.9 |
| Electronic Engineering | 3 | 1.9 |
| Dentistry | 3 | 1.9 |
| Telecommunications Engineering | 2 | 1.3 |
| Postgraduate | 1 | 0.6 |
| Total | 158 | 100 |
| Semester | n | % |
| Fourth | 14 | 8.9 |
| Tenth | 14 | 8.9 |
| Ninth | 1 | 0.6 |
| Eighth | 23 | 14.6 |
| First | 28 | 17.7 |
| Fifth | 22 | 13.9 |
| Second | 3 | 1.9 |
| Sixth | 30 | 19 |
| Seventh | 20 | 12.7 |
| Third | 3 | 1.9 |
| Total | 158 | 100 |
| # | Item |
|---|---|
| 1 | Among the students enrolled in the courses in which you have participated |
| 2 | Between students enrolled in the courses in which you have participated and the teachers of those courses |
| 3 | Between students and the thematic content proposed by the teachers of the courses in which you have participated (documents, platforms, audiovisual resources, etc.) |
| 4 | Between students and content different from that proposed by the teachers of the courses in which you have been enrolled (videos, open courses, documents) |
| 5 | Between students and people from other areas of the University (only applies if they somehow contribute to your training and can be libraries, laboratories, practical learning environments, research, among others.) |
| 6 | Between students of the courses in which you have participated and students from other faculties or campuses of the University (only applies if they somehow contribute to your training) |
| 7 | Between students of the courses in which you have participated and teachers from other faculties or campuses of the University (only applies if they somehow contribute to your training) |
| 8 | Between students and external individuals to the University (only applies if they somehow contribute to your training and can be parents, friends, partners, among others) |
| # | Item |
|---|---|
| 1 | To plan the interaction among the course actors |
| 2 | To promote closeness with students |
| 3 | To motivate students to interact with the content |
| 4 | To motivate students to interact with other students |
| 5 | To motivate students to interact with the teacher |
| 6 | To recognize the participation of the students |
| 7 | To analyze situations of cooperation and competition that occur in the course |
| Clarity | Length | Time Spent | |
|---|---|---|---|
| Very high | 24.5% | 24.5% | 30.2% |
| High | 54.7% | 56.6% | 52.8% |
| Medium | 15.1% | 13.2% | 13.2% |
| Low | 3.8% | 3.8% | 1.9% |
| Very low | 1.9% | 1.9% | 1.9% |
| TOTAL | 100% | 100% | 100% |
| Act1 | Act2 | Act3 | Act4 | Fom1 | Fom2 | Fom3 | Fom4 | Fom5 | Fom6 | Fom7 | |
|---|---|---|---|---|---|---|---|---|---|---|---|
| Act5 | 0.439 | 0.434 | 0.446 | 0.506 | 0.480 | 0.437 | 0.430 | 0.526 | 0.456 | 0.414 | 0.505 |
| Act6 | 0.460 | 0.402 | 0.422 | 0.494 | 0.449 | 0.411 | 0.430 | 0.517 | 0.404 | 0.315 | 0.484 |
| Act7 | 0.423 | 0.406 | 0.390 | 0.490 | 0.384 | 0.364 | 0.388 | 0.391 | 0.381 | 0.296 | 0.446 |
| Act8 | 0.464 | 0.445 | 0.381 | 0.476 | 0.432 | 0.432 | 0.426 | 0.456 | 0.409 | 0.370 | 0.486 |
| Act1 | Act2 | Act3 | Act4 | Act5 | Act6 | Act7 | Act8 | Fom1 | Fom2 | Fom3 | Fom4 | Fom5 | Fom6 | Fom7 |
|---|---|---|---|---|---|---|---|---|---|---|---|---|---|---|
| 0.89 | 0.89 | 0.93 | 0.94 | 0.95 | 0.83 | 0.83 | 0.95 | 0.95 | 0.94 | 0.96 | 0.91 | 0.95 | 0.96 | 0.96 |
| Item | MR1 | MR2 | h2 | u2 |
|---|---|---|---|---|
| Act1 | 0.506 | 0.437 | 0.447 | 0.553 |
| Act2 | 0.636 | 0.389 | 0.556 | 0.444 |
| Act3 | 0.645 | 0.351 | 0.539 | 0.461 |
| Act4 | 0.517 | 0.49 | 0.507 | 0.493 |
| Act5 | 0.349 | 0.664 | 0.562 | 0.438 |
| Act6 | 0.885 | 0.830 | 0.170 | |
| Act7 | 0.849 | 0.751 | 0.249 | |
| Act8 | 0.716 | 0.597 | 0.403 | |
| Fom1 | 0.772 | 0.3 | 0.686 | 0.314 |
| Fom2 | 0.811 | 0.712 | 0.288 | |
| Fom3 | 0.802 | 0.710 | 0.290 | |
| Fom4 | 0.756 | 0.331 | 0.680 | 0.320 |
| Fom5 | 0.875 | 0.816 | 0.184 | |
| Fom6 | 0.809 | 0.683 | 0.317 | |
| Fom7 | 0.798 | 0.341 | 0.754 | 0.246 |
Disclaimer/Publisher’s Note: The statements, opinions and data contained in all publications are solely those of the individual author(s) and contributor(s) and not of MDPI and/or the editor(s). MDPI and/or the editor(s) disclaim responsibility for any injury to people or property resulting from any ideas, methods, instructions or products referred to in the content. |
© 2026 by the authors. Licensee MDPI, Basel, Switzerland. This article is an open access article distributed under the terms and conditions of the Creative Commons Attribution (CC BY) license.
Share and Cite
Mena-Guacas, A.F.; Tovio-Martínez, E.; Muñoz, C.L.; López-Meneses, E. Course-Bound and Beyond-Course Interaction in Higher Education: Exploring the Latent Structure of a Perception Scale. Computers 2026, 15, 205. https://doi.org/10.3390/computers15040205
Mena-Guacas AF, Tovio-Martínez E, Muñoz CL, López-Meneses E. Course-Bound and Beyond-Course Interaction in Higher Education: Exploring the Latent Structure of a Perception Scale. Computers. 2026; 15(4):205. https://doi.org/10.3390/computers15040205
Chicago/Turabian StyleMena-Guacas, Andrés F., Eilien Tovio-Martínez, Claudia Liliana Muñoz, and Eloy López-Meneses. 2026. "Course-Bound and Beyond-Course Interaction in Higher Education: Exploring the Latent Structure of a Perception Scale" Computers 15, no. 4: 205. https://doi.org/10.3390/computers15040205
APA StyleMena-Guacas, A. F., Tovio-Martínez, E., Muñoz, C. L., & López-Meneses, E. (2026). Course-Bound and Beyond-Course Interaction in Higher Education: Exploring the Latent Structure of a Perception Scale. Computers, 15(4), 205. https://doi.org/10.3390/computers15040205

