Ripple Evolution Optimizer: A Novel Nature-Inspired Metaheuristic
Abstract
1. Introduction
2. Related Work
3. Ripple Evolution Optimizer: A Novel Nature-Inspired Metaheuristic
3.1. Inspiration from Nature (Ocean Ripples, Tides, and Undertow)
3.1.1. Ripple Superposition
3.1.2. Tide and Undertow
3.1.3. Elite Crest
3.2. Mathematical Model
3.3. Initialization and Fitness
3.4. Rank- and Time-Aware Pulls
3.5. Ripple (Swell) and Amplitude Decay
3.6. Self-Adaptive Parameters (jDE)
3.7. Elite Crest and Mutant Construction
3.8. Crossover, Lévy Drift, and Selection
3.9. High-Level Pseudocode
| Algorithm 1 REO: Ripple Evolution with adaptive and diversified movement |
|
3.10. Movement Strategy
3.11. Exploration and Exploitation Behavior
3.12. Ripple Evolution Optimizer (REO) Novelty
3.12.1. Rank-Aware Undertow
3.12.2. Time-Growing Tide Toward Elite Mean
3.12.3. Zero-Mean Range-Scaled Swell
3.12.4. Complementary Schedules and Two-Anchor Dynamics
3.12.5. Analytical Expectation of the Search Bias
3.13. Standard-Terms Presentation and Comparative Analysis with DE and PSO
3.13.1. Notation and Baseline Updates
JADE (Current-to-p-best/1) [38]
PSO (Global Best Variant)
- Here is the personal best, is inertia, are cognitive/social coefficients, and are i.i.d. uniform vectors.
3.13.2. REO Update in Standard Terms
3.13.3. REO Mechanism in Comparison to PSO or JADE
3.13.4. REO Operator Mapping with Standard Terms
3.14. Rationale for Component Design and Expected Advantages
3.14.1. Initialization and Diversity Preservation
3.14.2. Differential and Rank-Conditioned Exploitation
3.14.3. Time-Dependent Collective Guidance
3.14.4. Structured Exploration via the Swell
3.14.5. Complementary Scheduling of Operators
- early iterations: large , small ⇒ exploration dominant;
- mid-phase: balanced undertow and tide ⇒ exploration–exploitation equilibrium;
- late iterations: small , large ⇒ refined exploitation.
3.14.6. Theoretical Analysis of the Outperforming Performance
- faster descent on smooth unimodal functions due to rank-aware undertow;
- improved robustness on rotated multimodal and hybrid functions through oscillatory exploration;
- superior consistency on constrained engineering problems via the tide’s collective stabilization.
3.15. Computational Cost
Operation Counts per Iteration
Cheap Objectives (Closed-Form Mathematical Relations)
Expensive Objectives (Simulators, Black-Box Models, or API Calls)
Asynchronous and Batched Execution
4. Experimental Setup
5. Statistical Comparison Results over CEC2022
5.1. Evaluation Metrics
5.2. Performance of the REO Optimizer Compared with Other Optimizers
5.3. REO vs. Traditional Optimizers on CEC2022
6. Visual Results over CECC2022
6.1. Search History, Trajectory, Fitness and Convergence Curve Comparison Comparison of Different Population Sizes
6.2. Final Objective Values
6.3. Final Objective Scatter Plot
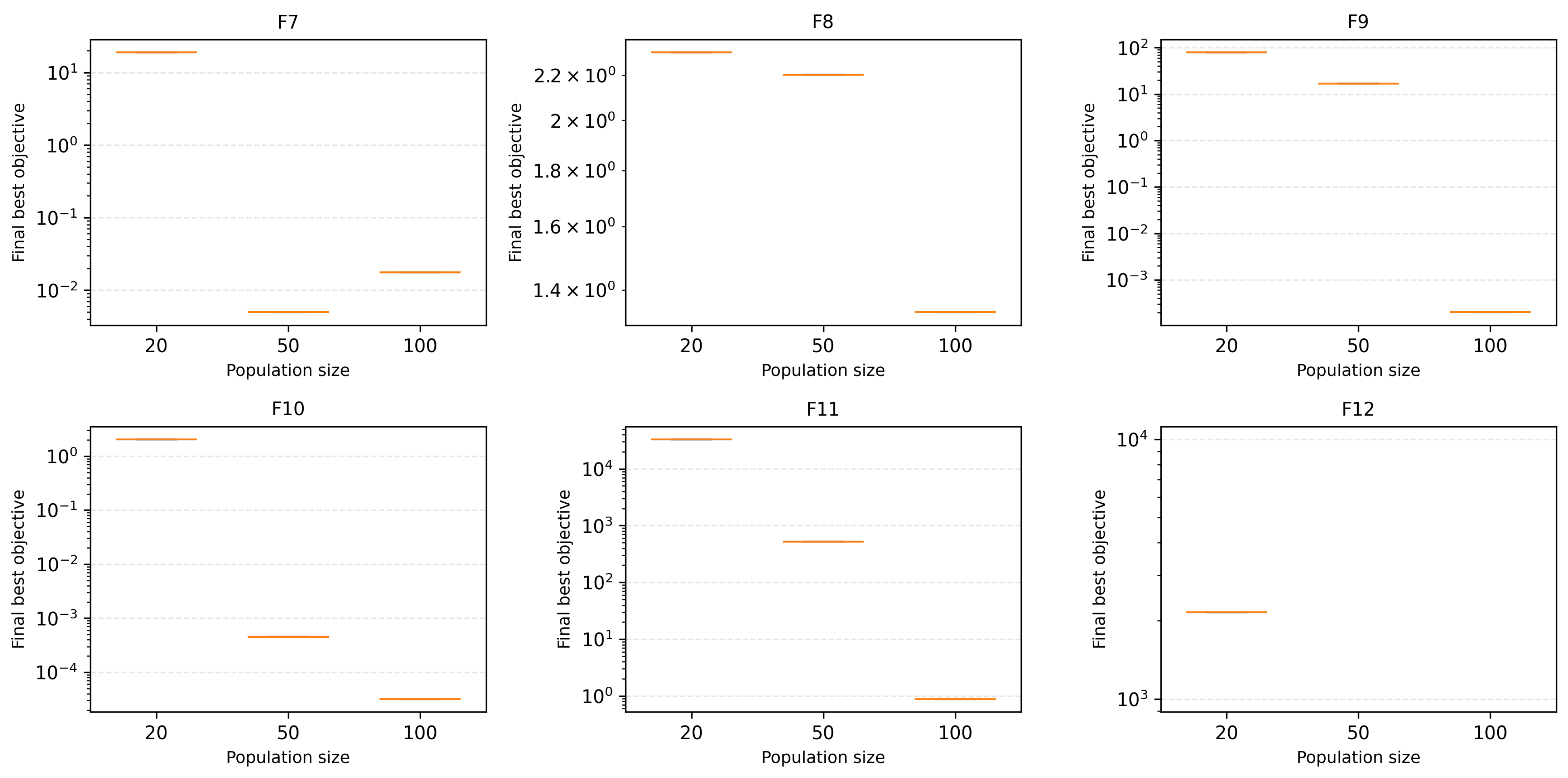
6.4. Impact of Population Size on Optimization
6.5. Performance Profile
6.6. Sensitivity Analysis
- Amplitude decay rate : controls how quickly the ripple amplitude diminishes over iterations.
- Pull strength : scales the attraction of each individual toward the current global best.
6.7. Sensitivity to the Amplitude Decay Rate
6.8. Sensitivity to the Pull Strength
6.9. Wilcoxon Signed-Rank Summary for REO
7. Applications of REO in Solving Engineering Design Problems
7.1. Welded Beam Engineering Design Problem
7.2. Spring Engineering Design Problem
7.3. Three-Bar Truss Engineering Design Problem
7.4. Cantilever Stepped Beam Engineering Design Problem
7.5. Ten Bar Planar Truss Engineering Design Problem
7.6. Pressure-Vessel Design Problem
7.7. Stepped Transmission-Shaft Design
8. Conclusions
Author Contributions
Funding
Data Availability Statement
Conflicts of Interest
Appendix A. Results in Comparison with State-of-the-Art Optimizers over CEC2022
| Function | Measure | REO | SMA | GBO | RTH | CPO | COA | SCSO | DOA | ZOA | SPBO | TSO | AO | TTHHO |
|---|---|---|---|---|---|---|---|---|---|---|---|---|---|---|
| F1 | mean | 300.000 | 16,900.597 | 7868.615 | 300.000 | 981.508 | 317.024 | 1801.966 | 1895.276 | 697.862 | 26,176.837 | 4750.826 | 872.700 | 312.415 |
| Std. | 0.000 | 16,600.597 | 7568.615 | 0.000 | 681.508 | 17.024 | 1501.966 | 1595.276 | 397.862 | 25,876.837 | 4450.826 | 572.700 | 12.415 | |
| error measure | 0.000 | 11,874.182 | 4956.494 | 0.000 | 1451.845 | 26.010 | 2273.235 | 2553.890 | 935.614 | 6927.866 | 5508.664 | 463.019 | 19.171 | |
| F1 | rank | 1 | 33 | 25 | 1 | 15 | 12 | 16 | 17 | 13 | 34 | 24 | 14 | 11 |
| F2 | mean | 402.581 | 452.966 | 444.742 | 411.699 | 423.869 | 406.033 | 433.995 | 491.903 | 431.409 | 1094.518 | 424.986 | 418.084 | 470.581 |
| Std. | 3.940 | 52.966 | 44.742 | 11.699 | 23.869 | 6.033 | 33.995 | 91.903 | 31.409 | 694.518 | 24.986 | 18.084 | 70.581 | |
| error measure | 2.581 | 31.299 | 25.924 | 20.353 | 32.345 | 2.949 | 26.176 | 106.030 | 30.078 | 274.228 | 32.515 | 26.194 | 94.370 | |
| F2 | rank | 1 | 23 | 22 | 7 | 12 | 3 | 19 | 26 | 18 | 30 | 13 | 10 | 24 |
| F3 | mean | 600.000 | 620.655 | 620.413 | 611.848 | 637.061 | 603.206 | 615.503 | 623.220 | 616.166 | 668.404 | 631.587 | 612.471 | 628.735 |
| Std. | 0.000 | 20.655 | 20.413 | 11.848 | 37.061 | 3.206 | 15.503 | 23.220 | 16.166 | 68.404 | 31.587 | 12.471 | 28.735 | |
| error measure | 0.000 | 13.196 | 9.874 | 10.923 | 11.770 | 4.874 | 12.032 | 11.162 | 7.298 | 9.788 | 12.698 | 6.659 | 12.167 | |
| F3 | rank | 1 | 17 | 16 | 10 | 26 | 4 | 14 | 18 | 15 | 34 | 23 | 12 | 21 |
| F4 | mean | 810.083 | 838.870 | 836.529 | 822.457 | 832.587 | 828.879 | 827.825 | 824.514 | 812.466 | 902.295 | 844.571 | 823.668 | 825.772 |
| Std. | 1.432 | 38.870 | 36.529 | 22.457 | 32.587 | 28.879 | 27.825 | 24.514 | 12.466 | 102.295 | 44.571 | 23.668 | 25.772 | |
| error measure | 10.083 | 11.420 | 9.979 | 9.812 | 1.764 | 5.820 | 6.430 | 9.526 | 3.611 | 12.137 | 16.366 | 8.681 | 7.384 | |
| F4 | rank | 1 | 25 | 23 | 10 | 19 | 17 | 16 | 12 | 2 | 34 | 29 | 11 | 13 |
| F5 | mean | 900.000 | 1484.652 | 1050.145 | 1049.876 | 1551.412 | 1019.747 | 1010.111 | 1173.483 | 1014.690 | 3451.315 | 1827.040 | 997.873 | 1388.892 |
| Std. | 0.000 | 584.652 | 150.145 | 149.876 | 651.412 | 119.747 | 110.111 | 273.483 | 114.690 | 2551.315 | 927.040 | 97.873 | 488.892 | |
| error measure | 0.000 | 472.104 | 152.080 | 90.371 | 199.784 | 215.990 | 117.853 | 195.992 | 66.519 | 667.842 | 874.950 | 52.252 | 143.077 | |
| F5 | rank | 1 | 28 | 15 | 14 | 30 | 13 | 11 | 17 | 12 | 34 | 33 | 9 | 23 |
| F6 | mean | 1809.765 | 5677.840 | 33,919.673 | 1826.654 | 3120.834 | 4423.698 | 3854.209 | 67,336,761.737 | 3597.939 | 426,332,821.762 | 4031.066 | 11,087.131 | 6258.135 |
| Std. | 13.852 | 3877.840 | 32,119.673 | 26.654 | 1320.834 | 2623.698 | 2054.209 | 67,334,961.737 | 1797.939 | 426,331,021.762 | 2231.066 | 9287.131 | 4458.135 | |
| error measure | 9.765 | 2616.177 | 35816.917 | 22.403 | 1543.796 | 1990.347 | 1606.781 | 301127840.444 | 1798.520 | 282,125,839.580 | 1352.132 | 6922.344 | 3597.598 | |
| F6 | rank | 1 | 19 | 25 | 2 | 3 | 15 | 10 | 31 | 6 | 33 | 12 | 24 | 21 |
| F7 | mean | 2004.235 | 2052.650 | 2069.420 | 2037.401 | 2115.933 | 2020.408 | 2046.890 | 2063.633 | 2039.307 | 2161.409 | 2073.196 | 2039.008 | 2071.799 |
| Std. | 8.827 | 52.650 | 69.420 | 37.401 | 115.933 | 20.408 | 46.890 | 63.633 | 39.307 | 161.409 | 73.196 | 39.008 | 71.799 | |
| error measure | 4.235 | 26.499 | 18.999 | 15.013 | 52.264 | 4.312 | 24.979 | 41.437 | 14.054 | 40.985 | 22.249 | 13.079 | 23.743 | |
| F7 | rank | 1 | 17 | 22 | 8 | 29 | 2 | 15 | 19 | 13 | 34 | 24 | 11 | 23 |
| F8 | mean | 2219.091 | 2228.475 | 2240.069 | 2233.442 | 2278.199 | 2223.370 | 2227.916 | 2228.705 | 2231.548 | 2348.422 | 2237.610 | 2226.484 | 2234.139 |
| Std. | 5.552 | 28.475 | 40.069 | 33.442 | 78.199 | 23.370 | 27.916 | 28.705 | 31.548 | 148.422 | 37.610 | 26.484 | 34.139 | |
| error measure | 19.091 | 6.876 | 27.160 | 36.711 | 65.027 | 7.685 | 4.280 | 13.281 | 27.091 | 139.749 | 9.133 | 3.117 | 12.334 | |
| F8 | rank | 1 | 14 | 23 | 20 | 28 | 2 | 12 | 15 | 16 | 31 | 22 | 9 | 21 |
| F9 | mean | 2529.284 | 2594.821 | 2571.185 | 2529.284 | 2552.204 | 2536.631 | 2572.129 | 2560.766 | 2599.920 | 2766.442 | 2567.088 | 2567.694 | 2609.746 |
| Std. | 0.000 | 294.821 | 271.185 | 229.284 | 252.204 | 236.631 | 272.129 | 260.766 | 299.920 | 466.442 | 267.088 | 267.694 | 309.746 | |
| error measure | 229.284 | 47.874 | 27.707 | 0.000 | 46.950 | 32.855 | 33.585 | 47.179 | 46.939 | 63.028 | 61.840 | 33.092 | 55.262 | |
| F9 | rank | 1 | 24 | 20 | 1 | 11 | 8 | 21 | 15 | 25 | 32 | 16 | 17 | 27 |
| F10 | mean | 2531.034 | 2581.995 | 2541.277 | 2550.504 | 2634.426 | 2573.403 | 2555.738 | 2579.061 | 2559.907 | 2573.886 | 2603.991 | 2536.191 | 2572.175 |
| Std. | 59.074 | 181.995 | 141.277 | 150.504 | 234.426 | 173.403 | 155.738 | 179.061 | 159.907 | 173.886 | 203.991 | 136.191 | 172.175 | |
| error measure | 153.034 | 67.972 | 63.625 | 62.531 | 215.038 | 61.563 | 62.708 | 72.968 | 60.981 | 34.190 | 258.399 | 55.028 | 94.052 | |
| F10 | rank | 1 | 22 | 5 | 9 | 28 | 19 | 12 | 21 | 14 | 20 | 26 | 3 | 18 |
| F11 | mean | 2600.000 | 2874.215 | 2926.663 | 2815.979 | 2785.229 | 2732.789 | 2775.718 | 2885.080 | 2757.808 | 3716.126 | 2796.474 | 2693.787 | 2755.431 |
| Std. | 0.000 | 274.215 | 326.663 | 215.979 | 185.229 | 132.789 | 175.718 | 285.080 | 157.808 | 1116.126 | 196.474 | 93.787 | 155.431 | |
| error measure | 0.000 | 191.420 | 212.963 | 171.395 | 181.294 | 121.744 | 184.306 | 313.356 | 153.406 | 303.444 | 195.562 | 89.838 | 135.942 | |
| F11 | rank | 1 | 23 | 26 | 20 | 15 | 8 | 13 | 25 | 12 | 33 | 18 | 4 | 11 |
| F12 | mean | 2860.196 | 2872.729 | 2871.544 | 2869.085 | 2898.136 | 2864.921 | 2866.041 | 2911.859 | 2932.846 | 2884.343 | 2892.856 | 2866.018 | 2896.950 |
| Std. | 0.382 | 172.729 | 171.544 | 169.085 | 198.136 | 164.921 | 166.041 | 211.859 | 232.846 | 184.343 | 192.856 | 166.018 | 196.950 | |
| error measure | 65.196 | 11.690 | 13.426 | 13.582 | 34.722 | 1.912 | 4.841 | 99.275 | 27.037 | 6.855 | 33.902 | 1.916 | 29.487 | |
| F12 | rank | 1 | 15 | 14 | 11 | 23 | 4 | 9 | 26 | 28 | 17 | 20 | 8 | 21 |
| Function | Measure | HHO | SSOA | RUN | GWO | MVO | AOA | GJO | HLOA | WOA | RSA | SHO | FLO | DO |
|---|---|---|---|---|---|---|---|---|---|---|---|---|---|---|
| F1 | mean | 301.806 | 11,293.075 | 300.000 | 2029.523 | 300.010 | 8697.436 | 2066.980 | 300.014 | 16,022.132 | 8777.105 | 2539.039 | 8917.237 | 300.003 |
| Std. | 1.806 | 10,993.075 | 0.000 | 1729.523 | 0.010 | 8397.436 | 1766.980 | 0.014 | 15,722.132 | 8477.105 | 2239.039 | 8617.237 | 0.003 | |
| error measure | 1.071 | 2433.432 | 0.000 | 1697.369 | 0.005 | 6884.058 | 1447.968 | 0.025 | 8428.573 | 2347.469 | 1764.691 | 1273.796 | 0.005 | |
| F1 | rank | 10 | 30 | 6 | 18 | 8 | 27 | 19 | 9 | 32 | 28 | 21 | 29 | 7 |
| F2 | mean | 426.318 | 1438.447 | 409.757 | 420.801 | 406.559 | 826.861 | 438.023 | 406.872 | 427.450 | 1102.226 | 435.404 | 1634.352 | 413.445 |
| Std. | 26.318 | 1038.447 | 9.757 | 20.801 | 6.559 | 426.861 | 38.023 | 6.872 | 27.450 | 702.226 | 35.404 | 1234.352 | 13.445 | |
| error measure | 33.210 | 400.643 | 21.266 | 20.970 | 2.671 | 323.795 | 41.151 | 3.126 | 30.346 | 653.659 | 57.937 | 423.507 | 23.044 | |
| F2 | rank | 14 | 32 | 6 | 11 | 4 | 29 | 21 | 5 | 15 | 31 | 20 | 33 | 8 |
| F3 | mean | 630.755 | 655.976 | 612.156 | 600.303 | 601.182 | 637.163 | 606.660 | 648.059 | 634.659 | 645.812 | 609.226 | 645.670 | 604.583 |
| Std. | 30.755 | 55.976 | 12.156 | 0.303 | 1.182 | 37.163 | 6.660 | 48.059 | 34.659 | 45.812 | 9.226 | 45.670 | 4.583 | |
| error measure | 8.743 | 7.434 | 5.689 | 0.516 | 1.545 | 7.722 | 4.496 | 11.397 | 13.674 | 3.335 | 5.510 | 9.529 | 5.516 | |
| F3 | rank | 22 | 32 | 11 | 2 | 3 | 27 | 8 | 30 | 25 | 29 | 9 | 28 | 5 |
| F4 | mean | 826.076 | 855.488 | 821.889 | 814.461 | 817.482 | 832.485 | 821.232 | 844.108 | 841.133 | 848.923 | 820.322 | 849.216 | 825.810 |
| Std. | 26.076 | 55.488 | 21.889 | 14.461 | 17.482 | 32.485 | 21.232 | 44.108 | 41.133 | 48.923 | 20.322 | 49.216 | 25.810 | |
| error measure | 8.522 | 11.615 | 6.226 | 6.750 | 7.823 | 8.321 | 7.655 | 18.068 | 16.793 | 6.373 | 5.834 | 11.961 | 11.096 | |
| F4 | rank | 15 | 33 | 8 | 3 | 5 | 18 | 7 | 28 | 26 | 31 | 6 | 32 | 14 |
| F5 | mean | 1319.910 | 1604.662 | 978.973 | 907.954 | 900.057 | 1308.511 | 962.528 | 1402.142 | 1423.981 | 1441.385 | 1072.166 | 1456.632 | 983.810 |
| Std. | 419.910 | 704.662 | 78.973 | 7.954 | 0.057 | 408.511 | 62.528 | 502.142 | 523.981 | 541.385 | 172.166 | 556.632 | 83.810 | |
| error measure | 145.528 | 193.921 | 36.631 | 12.782 | 0.154 | 157.513 | 70.099 | 232.996 | 286.952 | 158.522 | 113.335 | 191.607 | 118.720 | |
| F5 | rank | 21 | 32 | 7 | 3 | 2 | 20 | 5 | 24 | 25 | 26 | 16 | 27 | 8 |
| F6 | mean | 3806.335 | 166,665,619.625 | 3182.351 | 6395.797 | 5971.458 | 4037.837 | 7945.659 | 3861.126 | 4434.161 | 53,751,268.631 | 4464.440 | 22,703,425.419 | 4761.776 |
| Std. | 2006.335 | 166,663,819.625 | 1382.351 | 4595.797 | 4171.458 | 2237.837 | 6145.659 | 2061.126 | 2634.161 | 53,749,468.631 | 2664.440 | 22,701,625.419 | 2961.776 | |
| error measure | 1747.588 | 221,589,176.904 | 1335.925 | 1871.969 | 2008.888 | 1192.688 | 1293.822 | 2850.706 | 2188.785 | 24,335,005.208 | 1647.107 | 27,640,219.168 | 1754.379 | |
| F6 | rank | 9 | 32 | 4 | 22 | 20 | 13 | 23 | 11 | 16 | 30 | 17 | 29 | 18 |
| F7 | mean | 2052.247 | 2131.198 | 2037.971 | 2024.498 | 2035.516 | 2093.584 | 2041.290 | 2105.708 | 2064.570 | 2124.884 | 2026.420 | 2103.249 | 2027.173 |
| Std. | 52.247 | 131.198 | 37.971 | 24.498 | 35.516 | 93.584 | 41.290 | 105.708 | 64.570 | 124.884 | 26.420 | 103.249 | 27.173 | |
| error measure | 24.262 | 26.348 | 9.137 | 9.185 | 39.677 | 26.763 | 16.680 | 29.136 | 23.912 | 22.848 | 10.415 | 20.378 | 6.669 | |
| F7 | rank | 16 | 32 | 10 | 3 | 7 | 26 | 14 | 28 | 20 | 31 | 4 | 27 | 5 |
| F8 | mean | 2232.476 | 2355.481 | 2223.899 | 2224.083 | 2228.138 | 2248.708 | 2226.523 | 2296.505 | 2233.059 | 2253.877 | 2223.942 | 2244.260 | 2223.770 |
| Std. | 32.476 | 155.481 | 23.899 | 24.083 | 28.138 | 48.708 | 26.523 | 96.505 | 33.059 | 53.877 | 23.942 | 44.260 | 23.770 | |
| error measure | 13.226 | 96.688 | 1.278 | 5.163 | 28.368 | 37.895 | 3.170 | 62.612 | 6.456 | 21.895 | 1.830 | 24.891 | 5.450 | |
| F8 | rank | 18 | 32 | 4 | 7 | 13 | 26 | 10 | 29 | 19 | 27 | 5 | 25 | 3 |
| F9 | mean | 2568.046 | 2787.297 | 2529.285 | 2560.093 | 2536.647 | 2690.040 | 2569.191 | 2531.502 | 2557.904 | 2719.079 | 2587.331 | 2758.261 | 2529.284 |
| Std. | 268.046 | 487.297 | 229.285 | 260.093 | 236.647 | 390.040 | 269.191 | 231.502 | 257.904 | 419.079 | 287.331 | 458.261 | 229.284 | |
| error measure | 30.923 | 49.753 | 0.000 | 39.037 | 32.851 | 38.995 | 23.473 | 6.142 | 35.698 | 27.554 | 22.182 | 44.256 | 0.000 | |
| F9 | rank | 18 | 33 | 5 | 14 | 9 | 29 | 19 | 7 | 12 | 30 | 23 | 31 | 4 |
| F10 | mean | 2597.987 | 2708.862 | 2552.328 | 2535.133 | 2569.878 | 2609.437 | 2561.466 | 2679.896 | 2536.786 | 2643.823 | 2547.393 | 2658.647 | 2549.937 |
| Std. | 197.987 | 308.862 | 152.328 | 135.133 | 169.878 | 209.437 | 161.466 | 279.896 | 136.786 | 243.823 | 147.393 | 258.647 | 149.937 | |
| error measure | 133.827 | 107.957 | 58.762 | 62.167 | 87.109 | 115.888 | 61.797 | 342.143 | 63.867 | 128.505 | 58.188 | 127.829 | 62.602 | |
| F10 | rank | 25 | 32 | 11 | 2 | 17 | 27 | 15 | 31 | 4 | 29 | 7 | 30 | 8 |
| F11 | mean | 2754.203 | 3675.586 | 2635.064 | 2810.817 | 2675.451 | 3217.882 | 2818.181 | 2724.192 | 2780.018 | 3175.503 | 2823.400 | 3345.298 | 2791.527 |
| Std. | 154.203 | 1075.586 | 35.064 | 210.817 | 75.451 | 617.882 | 218.181 | 124.192 | 180.018 | 575.503 | 223.400 | 745.298 | 191.527 | |
| error measure | 177.997 | 364.810 | 97.513 | 173.872 | 155.101 | 372.814 | 188.813 | 139.182 | 183.967 | 459.242 | 253.988 | 367.387 | 201.031 | |
| F11 | rank | 9 | 32 | 2 | 19 | 3 | 29 | 21 | 7 | 14 | 28 | 22 | 31 | 17 |
| F12 | mean | 2898.851 | 3069.755 | 2863.450 | 2865.382 | 2862.361 | 2986.633 | 2870.383 | 2901.851 | 2891.004 | 2952.150 | 2891.185 | 3077.339 | 2867.937 |
| Std. | 198.851 | 369.755 | 163.450 | 165.382 | 162.361 | 286.633 | 170.383 | 201.851 | 191.004 | 252.150 | 191.185 | 377.339 | 167.937 | |
| error measure | 44.926 | 77.570 | 1.580 | 4.235 | 2.294 | 49.548 | 10.404 | 43.709 | 36.930 | 109.831 | 26.590 | 104.473 | 6.752 | |
| F12 | rank | 24 | 32 | 3 | 6 | 2 | 30 | 12 | 25 | 18 | 29 | 19 | 33 | 10 |
| Function | Measure | FOX | ROA | ALO | AVOA | Chimp | SHIO | OHO | HGSO |
|---|---|---|---|---|---|---|---|---|---|
| F1 | mean | 300.000 | 8477.647 | 300.000 | 300.000 | 2274.443 | 3701.791 | 14,724.679 | 4246.992 |
| Std. | 0.000 | 8177.647 | 0.000 | 0.000 | 1974.443 | 3401.791 | 14,424.679 | 3946.992 | |
| error measure | 0.000 | 1280.074 | 0.000 | 0.000 | 1154.214 | 3884.769 | 6187.418 | 1236.568 | |
| F1 | rank | 5 | 26 | 3 | 4 | 20 | 22 | 31 | 23 |
| F2 | mean | 415.301 | 753.296 | 403.980 | 431.224 | 567.695 | 431.257 | 2451.052 | 482.848 |
| Std. | 15.301 | 353.296 | 3.980 | 31.224 | 167.695 | 31.257 | 2051.052 | 82.848 | |
| error measure | 24.232 | 324.950 | 4.089 | 33.680 | 117.304 | 30.103 | 996.906 | 15.775 | |
| F2 | rank | 9 | 28 | 2 | 16 | 27 | 17 | 34 | 25 |
| F3 | mean | 649.560 | 633.858 | 606.490 | 614.177 | 627.504 | 605.393 | 660.693 | 626.433 |
| Std. | 49.560 | 33.858 | 6.490 | 14.177 | 27.504 | 5.393 | 60.693 | 26.433 | |
| error measure | 9.920 | 12.257 | 6.739 | 9.534 | 7.169 | 4.151 | 4.013 | 4.909 | |
| F3 | rank | 31 | 24 | 7 | 13 | 20 | 6 | 33 | 19 |
| F4 | mean | 838.068 | 844.107 | 821.908 | 833.631 | 836.525 | 816.676 | 845.389 | 832.948 |
| Std. | 38.068 | 44.107 | 21.908 | 33.631 | 36.525 | 16.676 | 45.389 | 32.948 | |
| error measure | 10.857 | 8.865 | 10.448 | 12.201 | 8.195 | 7.972 | 2.933 | 4.052 | |
| F4 | rank | 24 | 27 | 9 | 21 | 22 | 4 | 30 | 20 |
| F5 | mean | 1486.474 | 1370.511 | 974.625 | 1215.933 | 1269.705 | 948.649 | 1581.290 | 1000.787 |
| Std. | 586.474 | 470.511 | 74.625 | 315.933 | 369.705 | 48.649 | 681.290 | 100.787 | |
| error measure | 60.739 | 219.527 | 136.945 | 219.161 | 182.519 | 94.230 | 83.253 | 29.627 | |
| F5 | rank | 29 | 22 | 6 | 18 | 19 | 4 | 31 | 10 |
| F6 | mean | 4294.815 | 988,112.679 | 3333.468 | 3718.850 | 855,099.288 | 3759.744 | 813,540,668.079 | 1,638,867.010 |
| Std. | 2494.815 | 986,312.679 | 1533.468 | 1918.850 | 853,299.288 | 1959.744 | 813,538,868.079 | 1,637,067.010 | |
| error measure | 2067.655 | 2,044,013.325 | 1541.820 | 1853.750 | 548,275.257 | 1754.143 | 501,380,245.039 | 1,071,348.661 | |
| F6 | rank | 14 | 27 | 5 | 7 | 26 | 8 | 34 | 28 |
| F7 | mean | 2152.445 | 2074.398 | 2037.702 | 2031.001 | 2059.501 | 2039.192 | 2123.132 | 2067.928 |
| Std. | 152.445 | 74.398 | 37.702 | 31.001 | 59.501 | 39.192 | 123.132 | 67.928 | |
| error measure | 53.509 | 34.532 | 15.691 | 8.508 | 10.688 | 19.596 | 9.035 | 8.958 | |
| F7 | rank | 33 | 25 | 9 | 6 | 18 | 12 | 30 | 21 |
| F8 | mean | 2405.798 | 2243.123 | 2227.573 | 2223.952 | 2304.731 | 2226.446 | 2457.029 | 2232.235 |
| Std. | 205.798 | 43.123 | 27.573 | 23.952 | 104.731 | 26.446 | 257.029 | 32.235 | |
| error measure | 116.963 | 17.001 | 6.147 | 3.212 | 61.602 | 5.090 | 139.094 | 2.024 | |
| F8 | rank | 33 | 24 | 11 | 6 | 30 | 8 | 34 | 17 |
| F9 | mean | 2549.245 | 2660.820 | 2529.928 | 2529.284 | 2558.473 | 2585.655 | 2824.990 | 2608.553 |
| Std. | 249.245 | 360.820 | 229.928 | 229.284 | 258.473 | 285.655 | 524.990 | 308.553 | |
| error measure | 36.709 | 57.006 | 1.842 | 0.000 | 20.854 | 40.159 | 107.423 | 30.530 | |
| F9 | rank | 10 | 28 | 6 | 3 | 13 | 22 | 34 | 26 |
| F10 | mean | 2875.742 | 2596.302 | 2559.364 | 2568.017 | 2592.985 | 2551.934 | 2965.790 | 2544.649 |
| Std. | 475.742 | 196.302 | 159.364 | 168.017 | 192.985 | 151.934 | 565.790 | 144.649 | |
| error measure | 556.849 | 86.167 | 60.672 | 69.926 | 349.904 | 58.524 | 266.220 | 61.169 | |
| F10 | rank | 33 | 24 | 13 | 16 | 23 | 10 | 34 | 6 |
| F11 | mean | 2717.808 | 2978.927 | 2710.784 | 2754.540 | 3317.333 | 2879.024 | 4231.245 | 2786.157 |
| Std. | 117.808 | 378.927 | 110.784 | 154.540 | 717.333 | 279.024 | 1631.245 | 186.157 | |
| error measure | 128.091 | 168.036 | 148.480 | 150.486 | 149.370 | 203.864 | 435.998 | 13.195 | |
| F11 | rank | 6 | 27 | 5 | 10 | 30 | 24 | 34 | 16 |
| F12 | mean | 2994.919 | 2923.412 | 2865.555 | 2865.009 | 2871.482 | 2880.102 | 3238.549 | 2896.966 |
| Std. | 294.919 | 223.412 | 165.555 | 165.009 | 171.482 | 180.102 | 538.549 | 196.966 | |
| error measure | 87.264 | 46.929 | 2.565 | 1.297 | 12.838 | 23.264 | 135.905 | 5.975 | |
| F12 | rank | 31 | 27 | 7 | 5 | 13 | 16 | 34 | 22 |
| Function | Measure | REO | PSO | CMAES | GA | DE | CS | ABC |
|---|---|---|---|---|---|---|---|---|
| F1 | mean | 300.000 | 625.402 | 27,818.803 | 35,989.483 | 1927.604 | 17,652.882 | 5828.933 |
| Std. | 0.000 | 1029.013 | 13,531.172 | 8055.384 | 564.140 | 13,285.973 | 2065.394 | |
| error measure | 0.000 | 325.402 | 27,518.803 | 35,689.483 | 1627.604 | 17,352.882 | 5528.933 | |
| F1 | rank | 1 | 2 | 6 | 7 | 3 | 5 | 4 |
| F2 | mean | 402.581 | 460.904 | 651.355 | 640.462 | 402.615 | 411.132 | 405.085 |
| Std. | 3.940 | 34.327 | 93.846 | 204.299 | 1.731 | 10.361 | 0.069 | |
| error measure | 2.581 | 60.904 | 251.355 | 240.462 | 2.615 | 11.132 | 5.085 | |
| F2 | rank | 1 | 5 | 7 | 6 | 2 | 4 | 3 |
| F3 | mean | 600.000 | 601.413 | 614.347 | 655.913 | 600.000 | 607.309 | 600.000 |
| Std. | 0.000 | 1.353 | 21.044 | 14.131 | 0.000 | 7.738 | 0.000 | |
| error measure | 0.000 | 1.413 | 14.347 | 55.913 | 0.000 | 7.309 | 0.000 | |
| F3 | rank | 1 | 4 | 6 | 7 | 1 | 5 | 3 |
| F4 | mean | 810.083 | 818.356 | 821.340 | 878.501 | 817.500 | 855.322 | 823.101 |
| Std. | 1.432 | 8.993 | 7.804 | 11.314 | 2.612 | 25.330 | 7.211 | |
| error measure | 10.083 | 18.356 | 21.340 | 78.501 | 17.500 | 55.322 | 23.101 | |
| F4 | rank | 1 | 3 | 4 | 7 | 2 | 6 | 5 |
| F5 | mean | 900.000 | 923.360 | 900.000 | 1570.241 | 900.159 | 1210.375 | 1088.901 |
| Std. | 0.000 | 73.173 | 0.000 | 372.009 | 0.121 | 471.622 | 124.480 | |
| error measure | 0.000 | 23.360 | 0.000 | 670.241 | 0.159 | 310.375 | 188.901 | |
| F5 | rank | 1 | 4 | 1 | 7 | 3 | 6 | 5 |
| F6 | mean | 1809.765 | 5967.520 | 10,971,599.786 | 47,007,215.646 | 2295.720 | 245,240.607 | 1922.310 |
| Std. | 13.852 | 1781.664 | 26,588,179.508 | 79,306,727.240 | 275.759 | 612,571.849 | 101.382 | |
| error measure | 9.765 | 4167.520 | 10,969,799.786 | 47,005,415.646 | 495.720 | 243,440.607 | 122.310 | |
| F6 | rank | 1 | 4 | 6 | 7 | 3 | 5 | 2 |
| F7 | mean | 2004.235 | 2022.144 | 2093.553 | 2124.336 | 2005.567 | 2035.599 | 2007.375 |
| Std. | 8.827 | 1.149 | 65.357 | 50.292 | 0.626 | 18.355 | 0.455 | |
| error measure | 4.235 | 22.144 | 93.553 | 124.336 | 5.567 | 35.599 | 7.375 | |
| F7 | rank | 1 | 4 | 6 | 7 | 2 | 5 | 3 |
| F8 | mean | 2219.091 | 2222.901 | 2253.049 | 2252.068 | 2212.126 | 2230.522 | 2212.797 |
| Std. | 5.552 | 7.842 | 15.460 | 27.558 | 3.367 | 7.595 | 7.194 | |
| error measure | 19.091 | 22.901 | 53.049 | 52.068 | 12.126 | 30.522 | 12.797 | |
| F8 | rank | 3 | 4 | 7 | 6 | 1 | 5 | 2 |
| F9 | mean | 2529.284 | 2556.692 | 2569.673 | 2697.656 | 2529.284 | 2531.657 | 2556.563 |
| Std. | 0.000 | 51.959 | 52.862 | 42.942 | 0.000 | 6.327 | 70.619 | |
| error measure | 229.284 | 256.692 | 269.673 | 397.656 | 229.284 | 231.657 | 256.563 | |
| F9 | rank | 1 | 5 | 6 | 7 | 2 | 3 | 4 |
| F10 | mean | 2531.034 | 2542.240 | 2790.693 | 2742.117 | 2500.748 | 2545.071 | 2570.119 |
| Std. | 59.074 | 57.933 | 463.781 | 374.060 | 0.246 | 69.988 | 0.046 | |
| error measure | 153.034 | 142.240 | 390.693 | 342.117 | 100.748 | 145.071 | 170.119 | |
| F10 | rank | 2 | 3 | 7 | 6 | 1 | 4 | 5 |
| F11 | mean | 2600.000 | 2964.193 | 2963.725 | 3277.093 | 2648.544 | 2788.517 | 2601.718 |
| Std. | 0.000 | 248.061 | 134.297 | 346.909 | 54.081 | 219.091 | 2.413 | |
| error measure | 0.000 | 364.193 | 363.725 | 677.093 | 48.544 | 188.517 | 1.718 | |
| F11 | rank | 1 | 6 | 5 | 7 | 3 | 4 | 2 |
| F12 | mean | 2860.196 | 2871.808 | 2875.160 | 3037.545 | 2864.518 | 2864.013 | 2865.237 |
| Std. | 0.382 | 10.508 | 4.307 | 41.264 | 0.411 | 0.700 | 1.373 | |
| error measure | 65.196 | 171.808 | 175.160 | 337.545 | 164.518 | 164.013 | 165.237 | |
| F12 | rank | 1 | 5 | 6 | 7 | 3 | 2 | 4 |
| Function | RUN | ALO | MVO | DO | COA | GWO | AVOA | AO | SHIO | SCSO | SHO |
|---|---|---|---|---|---|---|---|---|---|---|---|
| F1 | 8.86 | 8.86 | 8.86 | 8.86 | 8.86 | 8.86 | 8.86 | 8.86 | 8.86 | 8.86 | 8.86 |
| T+: 210, T-: 0 | T+: 210, T-: 0 | T+: 210, T-: 0 | T+: 210, T-: 0 | T+: 210, T-: 0 | T+: 210, T-: 0 | T+: 210, T-: 0 | T+: 210, T-: 0 | T+: 210, T-: 0 | T+: 210, T-: 0 | T+: 210, T-: 0 | |
| Z: −3.9199, SRN: 0.0000 | Z: −3.9199, SRN: 0.0000 | Z: −3.9199, SRN: 0.0000 | Z: −3.9199, SRN: 0.0000 | Z: −3.9199, SRN: 0.0000 | Z: −3.9199, SRN: 0.0000 | Z: −3.9199, SRN: 0.0000 | Z: −3.9199, SRN: 0.0000 | Z: −3.9199, SRN: 0.0000 | Z: −3.9199, SRN: 0.0000 | Z: −3.9199, SRN: 0.0000 | |
| F2 | 0.501591 | 0.411465 | 0.851925 | 0.433048 | 0.167184 | 0.000681 | 0.147416 | 0.000593 | 0.002821 | 0.005734 | 0.000681 |
| T+: 87, T-: 123 | T+: 83, T-: 127 | T+: 100, T-: 110 | T+: 126, T-: 84 | T+: 142, T-: 68 | T+: 196, T-: 14 | T+: 146, T-: 64 | T+: 197, T-: 13 | T+: 185, T-: 25 | T+: 179, T-: 31 | T+: 196, T-: 14 | |
| Z: 0.6720, SRN: 123.0000 | Z: 0.8213, SRN: 127.0000 | Z: 0.1867, SRN: 110.0000 | Z: −0.7840, SRN: 84.0000 | Z: −1.3813, SRN: 68.0000 | Z: −3.3973, SRN: 14.0000 | Z: −1.4487, SRN: 59.0000 | Z: −3.4346, SRN: 13.0000 | Z: −2.9866, SRN: 25.0000 | Z: −2.7626, SRN: 31.0000 | Z: −3.3973, SRN: 14.0000 | |
| F3 | 8.86 | 8.86 | 8.86 | 8.86 | 8.86 | 8.86 | 8.86 | 8.86 | 8.86 | 8.86 | 8.86 |
| T+: 210, T-: 0 | T+: 210, T-: 0 | T+: 210, T-: 0 | T+: 210, T-: 0 | T+: 210, T-: 0 | T+: 210, T-: 0 | T+: 210, T-: 0 | T+: 210, T-: 0 | T+: 210, T-: 0 | T+: 210, T-: 0 | T+: 210, T-: 0 | |
| Z: −3.9199, SRN: 0.0000 | Z: −3.9199, SRN: 0.0000 | Z: −3.9199, SRN: 0.0000 | Z: −3.9199, SRN: 0.0000 | Z: −3.9199, SRN: 0.0000 | Z: −3.9199, SRN: 0.0000 | Z: −3.9199, SRN: 0.0000 | Z: −3.9199, SRN: 0.0000 | Z: −3.9199, SRN: 0.0000 | Z: −3.9199, SRN: 0.0000 | Z: −3.9199, SRN: 0.0000 | |
| F4 | 8.86 | 0.000219 | 0.000593 | 8.86 | 8.86 | 0.000293 | 8.86 | 8.86 | 0.00012 | 8.86 | 8.86 |
| T+: 210, T-: 0 | T+: 204, T-: 6 | T+: 197, T-: 13 | T+: 210, T-: 0 | T+: 210, T-: 0 | T+: 202, T-: 8 | T+: 210, T-: 0 | T+: 210, T-: 0 | T+: 208, T-: 2 | T+: 210, T-: 0 | T+: 210, T-: 0 | |
| Z: −3.9199, SRN: 0.0000 | Z: −3.6959, SRN: 6.0000 | Z: −3.4346, SRN: 13.0000 | Z: −3.9199, SRN: 0.0000 | Z: −3.9199, SRN: 0.0000 | Z: −3.6213, SRN: 8.0000 | Z: −3.9199, SRN: 0.0000 | Z: −3.9199, SRN: 0.0000 | Z: −3.8453, SRN: 2.0000 | Z: −3.9199, SRN: 0.0000 | Z: −3.9199, SRN: 0.0000 | |
| F5 | 8.86 | 8.86 | 8.86 | 8.86 | 8.86 | 8.86 | 8.86 | 8.86 | 8.86 | 8.86 | 8.86 |
| T+: 210, T-: 0 | T+: 210, T-: 0 | T+: 210, T-: 0 | T+: 210, T-: 0 | T+: 210, T-: 0 | T+: 210, T-: 0 | T+: 210, T-: 0 | T+: 210, T-: 0 | T+: 210, T-: 0 | T+: 210, T-: 0 | T+: 210, T-: 0 | |
| Z: −3.9199, SRN: 0.0000 | Z: −3.9199, SRN: 0.0000 | Z: −3.9199, SRN: 0.0000 | Z: −3.9199, SRN: 0.0000 | Z: −3.9199, SRN: 0.0000 | Z: −3.9199, SRN: 0.0000 | Z: −3.9199, SRN: 0.0000 | Z: −3.9199, SRN: 0.0000 | Z: −3.9199, SRN: 0.0000 | Z: −3.9199, SRN: 0.0000 | Z: −3.9199, SRN: 0.0000 | |
| F6 | 8.86 | 8.86 | 8.86 | 8.86 | 8.86 | 8.86 | 8.86 | 8.86 | 8.86 | 8.86 | 8.86 |
| T+: 210, T-: 0 | T+: 210, T-: 0 | T+: 210, T-: 0 | T+: 210, T-: 0 | T+: 210, T-: 0 | T+: 210, T-: 0 | T+: 210, T-: 0 | T+: 210, T-: 0 | T+: 210, T-: 0 | T+: 210, T-: 0 | T+: 210, T-: 0 | |
| Z: −3.9199, SRN: 0.0000 | Z: −3.9199, SRN: 0.0000 | Z: −3.9199, SRN: 0.0000 | Z: −3.9199, SRN: 0.0000 | Z: −3.9199, SRN: 0.0000 | Z: −3.9199, SRN: 0.0000 | Z: −3.9199, SRN: 0.0000 | Z: −3.9199, SRN: 0.0000 | Z: −3.9199, SRN: 0.0000 | Z: −3.9199, SRN: 0.0000 | Z: −3.9199, SRN: 0.0000 | |
| F7 | 8.86 | 8.86 | 0.000338 | 0.000103 | 0.178956 | 0.00078 | 0.00014 | 8.86 | 0.000103 | 0.00014 | 0.000219 |
| T+: 210, T-: 0 | T+: 210, T-: 0 | T+: 201, T-: 9 | T+: 209, T-: 1 | T+: 141, T-: 69 | T+: 195, T-: 15 | T+: 207, T-: 3 | T+: 210, T-: 0 | T+: 209, T-: 1 | T+: 207, T-: 3 | T+: 204, T-: 6 | |
| Z: −3.9199, SRN: 0.0000 | Z: −3.9199, SRN: 0.0000 | Z: −3.5839, SRN: 9.0000 | Z: −3.8826, SRN: 1.0000 | Z: −1.3440, SRN: 69.0000 | Z: −3.3599, SRN: 15.0000 | Z: −3.8079, SRN: 3.0000 | Z: −3.9199, SRN: 0.0000 | Z: −3.8826, SRN: 1.0000 | Z: −3.8079, SRN: 3.0000 | Z: −3.6959, SRN: 6.0000 | |
| F8 | 0.00078 | 0.000103 | 0.001507 | 0.000254 | 0.00014 | 0.000254 | 0.000254 | 0.000681 | 0.000103 | 8.86 | 0.00039 |
| T+: 195, T-: 15 | T+: 209, T-: 1 | T+: 190, T-: 20 | T+: 203, T-: 7 | T+: 207, T-: 3 | T+: 203, T-: 7 | T+: 203, T-: 7 | T+: 196, T-: 14 | T+: 209, T-: 1 | T+: 210, T-: 0 | T+: 200, T-: 10 | |
| Z: −3.3599, SRN: 15.0000 | Z: −3.8826, SRN: 1.0000 | Z: −3.1733, SRN: 20.0000 | Z: −3.6586, SRN: 7.0000 | Z: −3.8079, SRN: 3.0000 | Z: −3.6586, SRN: 7.0000 | Z: −3.6586, SRN: 7.0000 | Z: −3.3973, SRN: 14.0000 | Z: −3.8826, SRN: 1.0000 | Z: −3.9199, SRN: 0.0000 | Z: −3.5466, SRN: 10.0000 | |
| F9 | 8.86 | 8.86 | 8.86 | 8.86 | 8.86 | 8.86 | 8.86 | 8.86 | 8.86 | 8.86 | 8.86 |
| T+: 210, T-: 0 | T+: 210, T-: 0 | T+: 210, T-: 0 | T+: 210, T-: 0 | T+: 210, T-: 0 | T+: 210, T-: 0 | T+: 210, T-: 0 | T+: 210, T-: 0 | T+: 210, T-: 0 | T+: 210, T-: 0 | T+: 210, T-: 0 | |
| Z: −3.9199, SRN: 0.0000 | Z: −3.9199, SRN: 0.0000 | Z: −3.9199, SRN: 0.0000 | Z: −3.9199, SRN: 0.0000 | Z: −3.9199, SRN: 0.0000 | Z: −3.9199, SRN: 0.0000 | Z: −3.9199, SRN: 0.0000 | Z: −3.9199, SRN: 0.0000 | Z: −3.9199, SRN: 0.0000 | Z: −3.9199, SRN: 0.0000 | Z: −3.9199, SRN: 0.0000 | |
| F10 | 8.86 | 8.86 | 8.86 | 0.000103 | 0.00012 | 0.000189 | 8.86 | 8.86 | 0.000103 | 0.000103 | 8.86 |
| T+: 210, T-: 0 | T+: 210, T-: 0 | T+: 210, T-: 0 | T+: 209, T-: 1 | T+: 208, T-: 2 | T+: 205, T-: 5 | T+: 210, T-: 0 | T+: 210, T-: 0 | T+: 209, T-: 1 | T+: 209, T-: 1 | T+: 210, T-: 0 | |
| Z: −3.9199, SRN: 0.0000 | Z: −3.9199, SRN: 0.0000 | Z: −3.9199, SRN: 0.0000 | Z: −3.8826, SRN: 1.0000 | Z: −3.8453, SRN: 2.0000 | Z: −3.7333, SRN: 5.0000 | Z: −3.9199, SRN: 0.0000 | Z: −3.9199, SRN: 0.0000 | Z: −3.8826, SRN: 1.0000 | Z: −3.8826, SRN: 1.0000 | Z: −3.9199, SRN: 0.0000 | |
| F11 | 8.86 | 8.86 | 8.86 | 8.86 | 8.86 | 8.86 | 8.86 | 8.86 | 8.86 | 8.86 | 8.86 |
| T+: 210, T-: 0 | T+: 210, T-: 0 | T+: 210, T-: 0 | T+: 210, T-: 0 | T+: 210, T-: 0 | T+: 210, T-: 0 | T+: 210, T-: 0 | T+: 210, T-: 0 | T+: 210, T-: 0 | T+: 210, T-: 0 | T+: 210, T-: 0 | |
| Z: −3.9199, SRN: 0.0000 | Z: −3.9199, SRN: 0.0000 | Z: −3.9199, SRN: 0.0000 | Z: −3.9199, SRN: 0.0000 | Z: −3.9199, SRN: 0.0000 | Z: −3.9199, SRN: 0.0000 | Z: −3.9199, SRN: 0.0000 | Z: −3.9199, SRN: 0.0000 | Z: −3.9199, SRN: 0.0000 | Z: −3.9199, SRN: 0.0000 | Z: −3.9199, SRN: 0.0000 | |
| F12 | 0.000681 | 8.86 | 0.011129 | 0.00012 | 8.86 | 0.000103 | 0.000517 | 8.86 | 8.86 | 8.86 | 8.86 |
| T+: 196, T-: 14 | T+: 210, T-: 0 | T+: 173, T-: 37 | T+: 208, T-: 2 | T+: 210, T-: 0 | T+: 209, T-: 1 | T+: 198, T-: 12 | T+: 210, T-: 0 | T+: 210, T-: 0 | T+: 210, T-: 0 | T+: 210, T-: 0 | |
| Total | +:11, -:0, =:1 | +:11, -:0, =:1 | +:11, -:0, =:1 | +:11, -:0, =:1 | +:10, -:0, =:2 | +:12, -:0, =:0 | +:11, -:0, =:1 | +:12, -:0, =:0 | +:12, -:0, =:0 | +:12, -:0, =:0 | +:12, -:0, =:0 |
| Function | ZOA | GJO | HHO | WOA | HGSO | HLOA | TTHHO | GBO | CPO | DOA | FOX |
|---|---|---|---|---|---|---|---|---|---|---|---|
| F1 | 8.86 | 8.86 | 8.86 | 8.86 | 8.86 | 8.86 | 8.86 | 8.86 | 8.86 | 8.86 | 8.86 |
| T+: 210, T-: 0 | T+: 210, T-: 0 | T+: 210, T-: 0 | T+: 210, T-: 0 | T+: 210, T-: 0 | T+: 210, T-: 0 | T+: 210, T-: 0 | T+: 210, T-: 0 | T+: 210, T-: 0 | T+: 210, T-: 0 | T+: 210, T-: 0 | |
| Z: −3.9199, SRN: 0.0000 | Z: −3.9199, SRN: 0.0000 | Z: −3.9199, SRN: 0.0000 | Z: −3.9199, SRN: 0.0000 | Z: −3.9199, SRN: 0.0000 | Z: −3.9199, SRN: 0.0000 | Z: −3.9199, SRN: 0.0000 | Z: −3.9199, SRN: 0.0000 | Z: −3.9199, SRN: 0.0000 | Z: −3.9199, SRN: 0.0000 | Z: −3.9199, SRN: 0.0000 | |
| F2 | 0.001019 | 8.86 | 0.002204 | 8.86 | 8.86 | 0.001713 | 0.005111 | 8.86 | 0.016881 | 8.86 | 0.036561 |
| T+: 193, T-: 17 | T+: 210, T-: 0 | T+: 187, T-: 23 | T+: 210, T-: 0 | T+: 210, T-: 0 | T+: 189, T-: 21 | T+: 180, T-: 30 | T+: 210, T-: 0 | T+: 169, T-: 41 | T+: 210, T-: 0 | T+: 161, T-: 49 | |
| Z: −3.2853, SRN: 17.0000 | Z: −3.9199, SRN: 0.0000 | Z: −3.0613, SRN: 23.0000 | Z: −3.9199, SRN: 0.0000 | Z: −3.9199, SRN: 0.0000 | Z: −3.1359, SRN: 21.0000 | Z: −2.8000, SRN: 30.0000 | Z: −3.9199, SRN: 0.0000 | Z: −2.3893, SRN: 41.0000 | Z: −3.9199, SRN: 0.0000 | Z: −2.0906, SRN: 49.0000 | |
| F3 | 8.86 | 8.86 | 8.86 | 8.86 | 8.86 | 8.86 | 8.86 | 8.86 | 8.86 | 8.86 | 8.86 |
| T+: 210, T-: 0 | T+: 210, T-: 0 | T+: 210, T-: 0 | T+: 210, T-: 0 | T+: 210, T-: 0 | T+: 210, T-: 0 | T+: 210, T-: 0 | T+: 210, T-: 0 | T+: 210, T-: 0 | T+: 210, T-: 0 | T+: 210, T-: 0 | |
| Z: −3.9199, SRN: 0.0000 | Z: −3.9199, SRN: 0.0000 | Z: −3.9199, SRN: 0.0000 | Z: −3.9199, SRN: 0.0000 | Z: −3.9199, SRN: 0.0000 | Z: −3.9199, SRN: 0.0000 | Z: −3.9199, SRN: 0.0000 | Z: −3.9199, SRN: 0.0000 | Z: −3.9199, SRN: 0.0000 | Z: −3.9199, SRN: 0.0000 | Z: −3.9199, SRN: 0.0000 | |
| F4 | 0.000681 | 8.86 | 8.86 | 8.86 | 8.86 | 8.86 | 0.000103 | 8.86 | 8.86 | 0.000103 | 8.86 |
| T+: 196, T-: 14 | T+: 210, T-: 0 | T+: 210, T-: 0 | T+: 210, T-: 0 | T+: 210, T-: 0 | T+: 210, T-: 0 | T+: 209, T-: 1 | T+: 210, T-: 0 | T+: 210, T-: 0 | T+: 209, T-: 1 | T+: 210, T-: 0 | |
| Z: −3.3973, SRN: 14.0000 | Z: −3.9199, SRN: 0.0000 | Z: −3.9199, SRN: 0.0000 | Z: −3.9199, SRN: 0.0000 | Z: −3.9199, SRN: 0.0000 | Z: −3.9199, SRN: 0.0000 | Z: −3.8826, SRN: 1.0000 | Z: −3.9199, SRN: 0.0000 | Z: −3.9199, SRN: 0.0000 | Z: −3.8826, SRN: 1.0000 | Z: −3.9199, SRN: 0.0000 | |
| F5 | 8.86 | 8.86 | 8.86 | 8.86 | 8.86 | 8.86 | 8.86 | 8.86 | 8.86 | 8.86 | 8.86 |
| T+: 210, T-: 0 | T+: 210, T-: 0 | T+: 210, T-: 0 | T+: 210, T-: 0 | T+: 210, T-: 0 | T+: 210, T-: 0 | T+: 210, T-: 0 | T+: 210, T-: 0 | T+: 210, T-: 0 | T+: 210, T-: 0 | T+: 210, T-: 0 | |
| Z: −3.9199, SRN: 0.0000 | Z: −3.9199, SRN: 0.0000 | Z: −3.9199, SRN: 0.0000 | Z: −3.9199, SRN: 0.0000 | Z: −3.9199, SRN: 0.0000 | Z: −3.9199, SRN: 0.0000 | Z: −3.9199, SRN: 0.0000 | Z: −3.9199, SRN: 0.0000 | Z: −3.9199, SRN: 0.0000 | Z: −3.9199, SRN: 0.0000 | Z: −3.9199, SRN: 0.0000 | |
| F6 | 8.86 | 8.86 | 8.86 | 8.86 | 8.86 | 8.86 | 8.86 | 8.86 | 8.86 | 8.86 | 8.86 |
| T+: 210, T-: 0 | T+: 210, T-: 0 | T+: 210, T-: 0 | T+: 210, T-: 0 | T+: 210, T-: 0 | T+: 210, T-: 0 | T+: 210, T-: 0 | T+: 210, T-: 0 | T+: 210, T-: 0 | T+: 210, T-: 0 | T+: 210, T-: 0 | |
| Z: −3.9199, SRN: 0.0000 | Z: −3.9199, SRN: 0.0000 | Z: −3.9199, SRN: 0.0000 | Z: −3.9199, SRN: 0.0000 | Z: −3.9199, SRN: 0.0000 | Z: −3.9199, SRN: 0.0000 | Z: −3.9199, SRN: 0.0000 | Z: −3.9199, SRN: 0.0000 | Z: −3.9199, SRN: 0.0000 | Z: −3.9199, SRN: 0.0000 | Z: −3.9199, SRN: 0.0000 | |
| F7 | 8.86 | 0.000103 | 8.86 | 8.86 | 8.86 | 8.86 | 8.86 | 8.86 | 8.86 | 8.86 | 8.86 |
| T+: 210, T-: 0 | T+: 209, T-: 1 | T+: 210, T-: 0 | T+: 210, T-: 0 | T+: 210, T-: 0 | T+: 210, T-: 0 | T+: 210, T-: 0 | T+: 210, T-: 0 | T+: 210, T-: 0 | T+: 210, T-: 0 | T+: 210, T-: 0 | |
| Z: −3.9199, SRN: 0.0000 | Z: −3.8826, SRN: 1.0000 | Z: −3.9199, SRN: 0.0000 | Z: −3.9199, SRN: 0.0000 | Z: −3.9199, SRN: 0.0000 | Z: −3.9199, SRN: 0.0000 | Z: −3.9199, SRN: 0.0000 | Z: −3.9199, SRN: 0.0000 | Z: −3.9199, SRN: 0.0000 | Z: −3.9199, SRN: 0.0000 | Z: −3.9199, SRN: 0.0000 | |
| F8 | 0.000219 | 0.000189 | 8.86 | 0.00014 | 8.86 | 8.86 | 8.86 | 8.86 | 0.000103 | 8.86 | 8.86 |
| T+: 204, T-: 6 | T+: 205, T-: 5 | T+: 210, T-: 0 | T+: 207, T-: 3 | T+: 210, T-: 0 | T+: 210, T-: 0 | T+: 210, T-: 0 | T+: 210, T-: 0 | T+: 209, T-: 1 | T+: 210, T-: 0 | T+: 210, T-: 0 | |
| Z: −3.6959, SRN: 6.0000 | Z: −3.7333, SRN: 5.0000 | Z: −3.9199, SRN: 0.0000 | Z: −3.8079, SRN: 3.0000 | Z: −3.9199, SRN: 0.0000 | Z: −3.9199, SRN: 0.0000 | Z: −3.9199, SRN: 0.0000 | Z: −3.9199, SRN: 0.0000 | Z: −3.8826, SRN: 1.0000 | Z: −3.9199, SRN: 0.0000 | Z: −3.9199, SRN: 0.0000 | |
| F9 | 8.86 | 8.86 | 8.86 | 8.86 | 8.86 | 8.86 | 8.86 | 8.86 | 8.86 | 8.86 | 8.86 |
| T+: 210, T-: 0 | T+: 210, T-: 0 | T+: 210, T-: 0 | T+: 210, T-: 0 | T+: 210, T-: 0 | T+: 210, T-: 0 | T+: 210, T-: 0 | T+: 210, T-: 0 | T+: 210, T-: 0 | T+: 210, T-: 0 | T+: 210, T-: 0 | |
| Z: −3.9199, SRN: 0.0000 | Z: −3.9199, SRN: 0.0000 | Z: −3.9199, SRN: 0.0000 | Z: −3.9199, SRN: 0.0000 | Z: −3.9199, SRN: 0.0000 | Z: −3.9199, SRN: 0.0000 | Z: −3.9199, SRN: 0.0000 | Z: −3.9199, SRN: 0.0000 | Z: −3.9199, SRN: 0.0000 | Z: −3.9199, SRN: 0.0000 | Z: −3.9199, SRN: 0.0000 | |
| F10 | 8.86 | 8.86 | 8.86 | 8.86 | 8.86 | 8.86 | 8.86 | 8.86 | 8.86 | 8.86 | 8.86 |
| T+: 210, T-: 0 | T+: 210, T-: 0 | T+: 210, T-: 0 | T+: 210, T-: 0 | T+: 210, T-: 0 | T+: 210, T-: 0 | T+: 210, T-: 0 | T+: 210, T-: 0 | T+: 210, T-: 0 | T+: 210, T-: 0 | T+: 210, T-: 0 | |
| Z: −3.9199, SRN: 0.0000 | Z: −3.9199, SRN: 0.0000 | Z: −3.9199, SRN: 0.0000 | Z: −3.9199, SRN: 0.0000 | Z: −3.9199, SRN: 0.0000 | Z: −3.9199, SRN: 0.0000 | Z: −3.9199, SRN: 0.0000 | Z: −3.9199, SRN: 0.0000 | Z: −3.9199, SRN: 0.0000 | Z: −3.9199, SRN: 0.0000 | Z: −3.9199, SRN: 0.0000 | |
| F11 | 8.86 | 8.86 | 8.86 | 8.86 | 8.86 | 8.86 | 8.86 | 8.86 | 8.86 | 8.86 | 8.86 |
| T+: 210, T-: 0 | T+: 210, T-: 0 | T+: 210, T-: 0 | T+: 210, T-: 0 | T+: 210, T-: 0 | T+: 210, T-: 0 | T+: 210, T-: 0 | T+: 210, T-: 0 | T+: 210, T-: 0 | T+: 210, T-: 0 | T+: 210, T-: 0 | |
| Z: −3.9199, SRN: 0.0000 | Z: −3.9199, SRN: 0.0000 | Z: −3.9199, SRN: 0.0000 | Z: −3.9199, SRN: 0.0000 | Z: −3.9199, SRN: 0.0000 | Z: −3.9199, SRN: 0.0000 | Z: −3.9199, SRN: 0.0000 | Z: −3.9199, SRN: 0.0000 | Z: −3.9199, SRN: 0.0000 | Z: −3.9199, SRN: 0.0000 | Z: −3.9199, SRN: 0.0000 | |
| F12 | 8.86 | 8.86 | 8.86 | 8.86 | 8.86 | 8.86 | 8.86 | 8.86 | 8.86 | 8.86 | 8.86 |
| T+: 210, T-: 0 | T+: 210, T-: 0 | T+: 210, T-: 0 | T+: 210, T-: 0 | T+: 210, T-: 0 | T+: 210, T-: 0 | T+: 210, T-: 0 | T+: 210, T-: 0 | T+: 210, T-: 0 | T+: 210, T-: 0 | T+: 210, T-: 0 | |
| Total | +:12, -:0, =:0 | +:12, -:0, =:0 | +:12, -:0, =:0 | +:12, -:0, =:0 | +:12, -:0, =:0 | +:12, -:0, =:0 | +:12, -:0, =:0 | +:12, -:0, =:0 | +:12, -:0, =:0 | +:12, -:0, =:0 | +:12, -:0, =:0 |
| Function | SMA | TSO | Chimp | AOA | ROA | RSA | FLO | SPBO | SSOA | OHO |
|---|---|---|---|---|---|---|---|---|---|---|
| F1 | 8.86 | 8.86 | 8.86 | 8.86 | 8.86 | 8.86 | 8.86 | 8.86 | 8.86 | 8.86 |
| T+: 210, T-: 0 | T+: 210, T-: 0 | T+: 210, T-: 0 | T+: 210, T-: 0 | T+: 210, T-: 0 | T+: 210, T-: 0 | T+: 210, T-: 0 | T+: 210, T-: 0 | T+: 210, T-: 0 | T+: 210, T-: 0 | |
| Z: −3.9199, SRN: 0.0000 | Z: −3.9199, SRN: 0.0000 | Z: −3.9199, SRN: 0.0000 | Z: −3.9199, SRN: 0.0000 | Z: −3.9199, SRN: 0.0000 | Z: −3.9199, SRN: 0.0000 | Z: −3.9199, SRN: 0.0000 | Z: −3.9199, SRN: 0.0000 | Z: −3.9199, SRN: 0.0000 | Z: −3.9199, SRN: 0.0000 | |
| F2 | 0.004045 | 0.027621 | 8.86 | 8.86 | 8.86 | 8.86 | 8.86 | 8.86 | 8.86 | 8.86 |
| T+: 182, T-: 28 | T+: 164, T-: 46 | T+: 210, T-: 0 | T+: 210, T-: 0 | T+: 210, T-: 0 | T+: 210, T-: 0 | T+: 210, T-: 0 | T+: 210, T-: 0 | T+: 210, T-: 0 | T+: 210, T-: 0 | |
| Z: −2.8746, SRN: 28.0000 | Z: −2.2026, SRN: 46.0000 | Z: −3.9199, SRN: 0.0000 | Z: −3.9199, SRN: 0.0000 | Z: −3.9199, SRN: 0.0000 | Z: −3.9199, SRN: 0.0000 | Z: −3.9199, SRN: 0.0000 | Z: −3.9199, SRN: 0.0000 | Z: −3.9199, SRN: 0.0000 | Z: −3.9199, SRN: 0.0000 | |
| F3 | 8.86 | 8.86 | 8.86 | 8.86 | 8.86 | 8.86 | 8.86 | 8.86 | 8.86 | 8.86 |
| T+: 210, T-: 0 | T+: 210, T-: 0 | T+: 210, T-: 0 | T+: 210, T-: 0 | T+: 210, T-: 0 | T+: 210, T-: 0 | T+: 210, T-: 0 | T+: 210, T-: 0 | T+: 210, T-: 0 | T+: 210, T-: 0 | |
| Z: −3.9199, SRN: 0.0000 | Z: −3.9199, SRN: 0.0000 | Z: −3.9199, SRN: 0.0000 | Z: −3.9199, SRN: 0.0000 | Z: −3.9199, SRN: 0.0000 | Z: −3.9199, SRN: 0.0000 | Z: −3.9199, SRN: 0.0000 | Z: −3.9199, SRN: 0.0000 | Z: −3.9199, SRN: 0.0000 | Z: −3.9199, SRN: 0.0000 | |
| F4 | 8.86 | 8.86 | 8.86 | 8.86 | 8.86 | 8.86 | 8.86 | 8.86 | 8.86 | 8.86 |
| T+: 210, T-: 0 | T+: 210, T-: 0 | T+: 210, T-: 0 | T+: 210, T-: 0 | T+: 210, T-: 0 | T+: 210, T-: 0 | T+: 210, T-: 0 | T+: 210, T-: 0 | T+: 210, T-: 0 | T+: 210, T-: 0 | |
| Z: −3.9199, SRN: 0.0000 | Z: −3.9199, SRN: 0.0000 | Z: −3.9199, SRN: 0.0000 | Z: −3.9199, SRN: 0.0000 | Z: −3.9199, SRN: 0.0000 | Z: −3.9199, SRN: 0.0000 | Z: −3.9199, SRN: 0.0000 | Z: −3.9199, SRN: 0.0000 | Z: −3.9199, SRN: 0.0000 | Z: −3.9199, SRN: 0.0000 | |
| F5 | 8.86 | 8.86 | 8.86 | 8.86 | 8.86 | 8.86 | 8.86 | 8.86 | 8.86 | 8.86 |
| T+: 210, T-: 0 | T+: 210, T-: 0 | T+: 210, T-: 0 | T+: 210, T-: 0 | T+: 210, T-: 0 | T+: 210, T-: 0 | T+: 210, T-: 0 | T+: 210, T-: 0 | T+: 210, T-: 0 | T+: 210, T-: 0 | |
| Z: −3.9199, SRN: 0.0000 | Z: −3.9199, SRN: 0.0000 | Z: −3.9199, SRN: 0.0000 | Z: −3.9199, SRN: 0.0000 | Z: −3.9199, SRN: 0.0000 | Z: −3.9199, SRN: 0.0000 | Z: −3.9199, SRN: 0.0000 | Z: −3.9199, SRN: 0.0000 | Z: −3.9199, SRN: 0.0000 | Z: −3.9199, SRN: 0.0000 | |
| F6 | 8.86 | 8.86 | 8.86 | 8.86 | 8.86 | 8.86 | 8.86 | 8.86 | 8.86 | 8.86 |
| T+: 210, T-: 0 | T+: 210, T-: 0 | T+: 210, T-: 0 | T+: 210, T-: 0 | T+: 210, T-: 0 | T+: 210, T-: 0 | T+: 210, T-: 0 | T+: 210, T-: 0 | T+: 210, T-: 0 | T+: 210, T-: 0 | |
| Z: −3.9199, SRN: 0.0000 | Z: −3.9199, SRN: 0.0000 | Z: −3.9199, SRN: 0.0000 | Z: −3.9199, SRN: 0.0000 | Z: −3.9199, SRN: 0.0000 | Z: −3.9199, SRN: 0.0000 | Z: −3.9199, SRN: 0.0000 | Z: −3.9199, SRN: 0.0000 | Z: −3.9199, SRN: 0.0000 | Z: −3.9199, SRN: 0.0000 | |
| F7 | 8.86 | 8.86 | 8.86 | 8.86 | 8.86 | 8.86 | 8.86 | 8.86 | 8.86 | 8.86 |
| T+: 210, T-: 0 | T+: 210, T-: 0 | T+: 210, T-: 0 | T+: 210, T-: 0 | T+: 210, T-: 0 | T+: 210, T-: 0 | T+: 210, T-: 0 | T+: 210, T-: 0 | T+: 210, T-: 0 | T+: 210, T-: 0 | |
| Z: −3.9199, SRN: 0.0000 | Z: −3.9199, SRN: 0.0000 | Z: −3.9199, SRN: 0.0000 | Z: −3.9199, SRN: 0.0000 | Z: −3.9199, SRN: 0.0000 | Z: −3.9199, SRN: 0.0000 | Z: −3.9199, SRN: 0.0000 | Z: −3.9199, SRN: 0.0000 | Z: −3.9199, SRN: 0.0000 | Z: −3.9199, SRN: 0.0000 | |
| F8 | 8.86 | 8.86 | 8.86 | 8.86 | 8.86 | 8.86 | 8.86 | 8.86 | 8.86 | 8.86 |
| T+: 210, T-: 0 | T+: 210, T-: 0 | T+: 210, T-: 0 | T+: 210, T-: 0 | T+: 210, T-: 0 | T+: 210, T-: 0 | T+: 210, T-: 0 | T+: 210, T-: 0 | T+: 210, T-: 0 | T+: 210, T-: 0 | |
| Z: −3.9199, SRN: 0.0000 | Z: −3.9199, SRN: 0.0000 | Z: −3.9199, SRN: 0.0000 | Z: −3.9199, SRN: 0.0000 | Z: −3.9199, SRN: 0.0000 | Z: −3.9199, SRN: 0.0000 | Z: −3.9199, SRN: 0.0000 | Z: −3.9199, SRN: 0.0000 | Z: −3.9199, SRN: 0.0000 | Z: −3.9199, SRN: 0.0000 | |
| F9 | 8.86 | 8.86 | 8.86 | 8.86 | 8.86 | 8.86 | 8.86 | 8.86 | 8.86 | 8.86 |
| T+: 210, T-: 0 | T+: 210, T-: 0 | T+: 210, T-: 0 | T+: 210, T-: 0 | T+: 210, T-: 0 | T+: 210, T-: 0 | T+: 210, T-: 0 | T+: 210, T-: 0 | T+: 210, T-: 0 | T+: 210, T-: 0 | |
| Z: −3.9199, SRN: 0.0000 | Z: −3.9199, SRN: 0.0000 | Z: −3.9199, SRN: 0.0000 | Z: −3.9199, SRN: 0.0000 | Z: −3.9199, SRN: 0.0000 | Z: −3.9199, SRN: 0.0000 | Z: −3.9199, SRN: 0.0000 | Z: −3.9199, SRN: 0.0000 | Z: −3.9199, SRN: 0.0000 | Z: −3.9199, SRN: 0.0000 | |
| F10 | 8.86 | 8.86 | 8.86 | 8.86 | 8.86 | 8.86 | 8.86 | 8.86 | 8.86 | 8.86 |
| T+: 210, T-: 0 | T+: 210, T-: 0 | T+: 210, T-: 0 | T+: 210, T-: 0 | T+: 210, T-: 0 | T+: 210, T-: 0 | T+: 210, T-: 0 | T+: 210, T-: 0 | T+: 210, T-: 0 | T+: 210, T-: 0 | |
| Z: −3.9199, SRN: 0.0000 | Z: −3.9199, SRN: 0.0000 | Z: −3.9199, SRN: 0.0000 | Z: −3.9199, SRN: 0.0000 | Z: −3.9199, SRN: 0.0000 | Z: −3.9199, SRN: 0.0000 | Z: −3.9199, SRN: 0.0000 | Z: −3.9199, SRN: 0.0000 | Z: −3.9199, SRN: 0.0000 | Z: −3.9199, SRN: 0.0000 | |
| F11 | 8.86 | 8.86 | 8.86 | 8.86 | 8.86 | 8.86 | 8.86 | 8.86 | 8.86 | 8.86 |
| T+: 210, T-: 0 | T+: 210, T-: 0 | T+: 210, T-: 0 | T+: 210, T-: 0 | T+: 210, T-: 0 | T+: 210, T-: 0 | T+: 210, T-: 0 | T+: 210, T-: 0 | T+: 210, T-: 0 | T+: 210, T-: 0 | |
| Z: −3.9199, SRN: 0.0000 | Z: −3.9199, SRN: 0.0000 | Z: −3.9199, SRN: 0.0000 | Z: −3.9199, SRN: 0.0000 | Z: −3.9199, SRN: 0.0000 | Z: −3.9199, SRN: 0.0000 | Z: −3.9199, SRN: 0.0000 | Z: −3.9199, SRN: 0.0000 | Z: −3.9199, SRN: 0.0000 | Z: −3.9199, SRN: 0.0000 | |
| F12 | 8.86 | 8.86 | 8.86 | 8.86 | 8.86 | 8.86 | 8.86 | 8.86 | 8.86 | 8.86 |
| T+: 210, T-: 0 | T+: 210, T-: 0 | T+: 210, T-: 0 | T+: 210, T-: 0 | T+: 210, T-: 0 | T+: 210, T-: 0 | T+: 210, T-: 0 | T+: 210, T-: 0 | T+: 210, T-: 0 | T+: 210, T-: 0 | |
| Total | +:12, -:0, =:0 | +:12, -:0, =:0 | +:12, -:0, =:0 | +:12, -:0, =:0 | +:12, -:0, =:0 | +:12, -:0, =:0 | +:12, -:0, =:0 | +:12, -:0, =:0 | +:12, -:0, =:0 | +:12, -:0, =:0 |
Appendix A.1. Cantilever Stepped Beam
Appendix A.2. Three-Bar Truss
Appendix A.3. Welded Beam
Appendix A.4. Planetary Gear Train
Appendix A.5. Robot Gripper
References
- Bhandari, A.; Kumar, A.; Chaudhary, S.; Singh, G. A novel color image multilevel thresholding based segmentation using nature inspired optimization algorithms. Expert Syst. Appl. 2016, 63, 112–133. [Google Scholar] [CrossRef]
- Oftadeh, R.; Mahjoob, M.; Shariatpanahi, M. A novel meta-heuristic optimization algorithm inspired by group hunting of animals: Hunting search. Comput. Math. Appl. 2010, 60, 2087–2098. [Google Scholar] [CrossRef]
- Christy, A.; Raj, P.A.D.V.; Padmanaban, S.; Selvamuthukumaran, R.; Ertas, A.H. A bio-inspired novel optimization technique for reactive power flow. Eng. Sci. Technol. Int. J. 2016, 19, 1682–1692. [Google Scholar] [CrossRef]
- Dhiman, G.; Kumar, V. Spotted hyena optimizer: A novel bio-inspired based metaheuristic technique for engineering applications. Adv. Eng. Softw. 2017, 114, 48–70. [Google Scholar] [CrossRef]
- Chopra, N.; Mohsin Ansari, M. Golden jackal optimization: A novel nature-inspired optimizer for engineering applications. Expert Syst. Appl. 2022, 198, 116924. [Google Scholar] [CrossRef]
- Li, S.; Sun, Y. A novel numerical optimization algorithm inspired from garden balsam. Neural Comput. Appl. 2020, 32, 16783–16794. [Google Scholar] [CrossRef]
- Chou, J.S.; Truong, D.N. A novel metaheuristic optimizer inspired by behavior of jellyfish in ocean. Appl. Math. Comput. 2021, 389. [Google Scholar] [CrossRef]
- Zhao, W.; Wang, L.; Zhang, Z. Supply-Demand-Based Optimization: A Novel Economics-Inspired Algorithm for Global Optimization. IEEE Access 2019, 7, 73182–73206. [Google Scholar] [CrossRef]
- Abdel-Basset, M.; Mohamed, R.; Sallam, K.M.; Chakrabortty, R.K. Light Spectrum Optimizer: A Novel Physics-Inspired Metaheuristic Optimization Algorithm. Mathematics 2022, 10, 3466. [Google Scholar] [CrossRef]
- Braik, M.; Al-Hiary, H.; Alzoubi, H.; Hammouri, A.; Azmi Al-Betar, M.; Awadallah, M.A. Tornado optimizer with Coriolis force: A novel bio-inspired meta-heuristic algorithm for solving engineering problems. Artif. Intell. Rev. 2025, 58, 123. [Google Scholar] [CrossRef]
- Tao, L.; Yang, X.; Zhou, Y.; Yang, L. A novel transformers fault diagnosis method based on probabilistic neural network and bio-inspired optimizer. Sensors 2021, 21, 3623. [Google Scholar] [CrossRef]
- Hou, G.; Fan, Y.; Wang, J. Application of a novel dynamic recurrent fuzzy neural network with rule self-adaptation based on chaotic quantum pigeon-inspired optimization in modeling for gas turbine. Energy 2024, 290, 130188. [Google Scholar] [CrossRef]
- Ghanbari, S.; Ghasabehi, M.; Asadi, M.R.; Shams, M. An inquiry into transport phenomena and artificial intelligence-based optimization of a novel bio-inspired flow field for proton exchange membrane fuel cells. Appl. Energy 2024, 376, 124260. [Google Scholar] [CrossRef]
- Chiang, H.S.; Sangaiah, A.K.; Chen, M.Y.; Liu, J.Y. A Novel Artificial Bee Colony Optimization Algorithm with SVM for Bio-inspired Software-Defined Networking. Int. J. Parallel Program. 2020, 48, 310–328. [Google Scholar] [CrossRef]
- Panigrahi, B.S.; Nagarajan, N.; Prasad, K.D.V.; Sathya; Salunkhe, S.S.; Kumar, P.D.; Kumar, M.A. Novel nature-inspired optimization approach-based svm for identifying the android malicious data. Multimed. Tools Appl. 2024, 83, 71579–71597. [Google Scholar] [CrossRef]
- Wang, H.; Hu, Z.; Sun, Y.; Su, Q.; Xia, X. A novel modified BSA inspired by species evolution rule and simulated annealing principle for constrained engineering optimization problems. Neural Comput. Appl. 2019, 31, 4157–4184. [Google Scholar] [CrossRef]
- Lin, N.; Fu, L.; Zhao, L.; Hawbani, A.; Tan, Z.; Al-Dubai, A.; Min, G. A novel nomad migration-inspired algorithm for global optimization. Comput. Electr. Eng. 2022, 100, 107862. [Google Scholar] [CrossRef]
- Alvarez-Alvarado, M.S.; Alban-Chacón, F.E.; Lamilla-Rubio, E.A.; Rodríguez-Gallegos, C.D.; Velásquez, W. Three novel quantum-inspired swarm optimization algorithms using different bounded potential fields. Sci. Rep. 2021, 11, 11655. [Google Scholar] [CrossRef]
- Pandya, S.B.; Kalita, K.; Jangir, P.; Ghadai, R.K.; Abualigah, L. Multi-objective Geometric Mean Optimizer (MOGMO): A Novel Metaphor-Free Population-Based Math-Inspired Multi-objective Algorithm. Int. J. Comput. Intell. Syst. 2024, 17, 91. [Google Scholar] [CrossRef]
- Yang, Y.; Yang, Z.; Yang, Z. Improved Graph Neural Network with Graph Filtering Kernel and Generalized Nonconvex Norm Inspired by a Novel Unified Optimization Framework. Circuits Syst. Signal Process. 2024, 44, 1239–1259. [Google Scholar] [CrossRef]
- Amiri, M.H.; Mehrabi Hashjin, N.; Montazeri, M.; Mirjalili, S.; Khodadadi, N. Hippopotamus optimization algorithm: A novel nature-inspired optimization algorithm. Sci. Rep. 2024, 14, 5032. [Google Scholar] [CrossRef] [PubMed]
- Sherif, A.; Haci, H. A Novel Bio-Inspired Energy Optimization for Two-Tier Wireless Communication Networks: A Grasshopper Optimization Algorithm (GOA)-Based Approach. Electronics 2023, 12, 1216. [Google Scholar] [CrossRef]
- Anaraki, M.V.; Farzin, S. Humboldt Squid Optimization Algorithm (HSOA): A Novel Nature-Inspired Technique for Solving Optimization Problems. IEEE Access 2023, 11, 122069–122115. [Google Scholar] [CrossRef]
- Sun, X.X.; Pan, J.S.; Chu, S.C.; Hu, P.; Tian, A.Q. A novel pigeon-inspired optimization with QUasi-Affine TRansformation evolutionary algorithm for DV-Hop in wireless sensor networks. Int. J. Distrib. Sens. Netw. 2020, 16, 1550147720932749. [Google Scholar] [CrossRef]
- Prajna, K.; Mukhopadhyay, C. Acoustic Emission Denoising Based on Bio-inspired Antlion Optimization: A Novel Technique for Structural Health Monitoring. J. Vib. Eng. Technol. 2024, 12, 7671–7687. [Google Scholar] [CrossRef]
- Zhou, X.; Guo, Y.; Yan, Y.; Huang, Y.; Xue, Q. Migration Search Algorithm: A Novel Nature-Inspired Metaheuristic Optimization Algorithm. J. Netw. Intell 2023, 8, 324–345. [Google Scholar]
- Kumar, V.; Rao, R.N.; Singh, A.; Shekher, V.; Paul, K.; Sinha, P.; Alghamdi, T.A.; Abdelaziz, A.Y. A novel nature-inspired nutcracker optimizer algorithm for congestion control in power system transmission lines. Energy Explor. Exploit. 2024, 42, 2056–2091. [Google Scholar] [CrossRef]
- Rathee, M.; Kumar, S.; Dilip, K.; Dohare, U.; Aanchal; Parveen. Towards energy balancing optimization in wireless sensor networks: A novel quantum inspired genetic algorithm based sinks deployment approach. Ad Hoc Netw. 2024, 153, 103350. [Google Scholar] [CrossRef]
- Nemati, M.; Zandi, Y.; Agdas, A.S. Application of a novel metaheuristic algorithm inspired by stadium spectators in global optimization problems. Sci. Rep. 2024, 14, 3078. [Google Scholar] [CrossRef]
- Haddadi, Y.R.; Mansouri, B.; Khodja, F.Z.D. A novel bio-inspired optimization algorithm for medical image restoration using Enhanced Regularized Inverse Filtering. Res. Biomed. Eng. 2023, 39, 233–244. [Google Scholar] [CrossRef]
- Maroosi, A.; Muniyandi, R.C. A novel membrane-inspired multiverse optimizer algorithm for quality of service-aware cloud web service composition with service level agreements. Int. J. Commun. Syst. 2023, 36, e5483. [Google Scholar] [CrossRef]
- Jiang, Y.; Wu, Q.; Zhu, S.; Zhang, L. Orca predation algorithm: A novel bio-inspired algorithm for global optimization problems. Expert Syst. Appl. 2022, 188, 116026. [Google Scholar] [CrossRef]
- Attaran, B.; Ghanbarzadeh, A.; Moradi, S. A novel evolutionary optimization algorithm inspired in the intelligent behaviour of the hunter spider. Int. J. Comput. Math. 2021, 98, 627–655. [Google Scholar] [CrossRef]
- Sivakumar, N.; Kanagasabapathy, H. Optimization of parameters of cantilever beam using novel bio-inspired algorithms: A comparative approach. J. Comput. Theor. Nanosci. 2018, 15, 66–77. [Google Scholar] [CrossRef]
- Zhou, B.; Zhang, H.; Han, S.; Ji, X. Crashworthiness analysis and optimization of a novel thin-walled multi-cell structure inspired by bamboo. Structures 2024, 59, 105827. [Google Scholar] [CrossRef]
- Janizadeh, S.; Thi Kieu Tran, T.; Bateni, S.M.; Jun, C.; Kim, D.; Trauernicht, C.; Heggy, E. Advancing the LightGBM approach with three novel nature-inspired optimizers for predicting wildfire susceptibility in Kaua’i and Moloka’i Islands, Hawaii. Expert Syst. Appl. 2024, 258, 124963. [Google Scholar] [CrossRef]
- Brest, J.; Greiner, S.; Boskovic, B.; Mernik, M.; Zumer, V. Self-Adapting Control Parameters in Differential Evolution: A Comparative Study on Numerical Benchmark Problems. IEEE Trans. Evol. Comput. 2006, 10, 646–657. [Google Scholar] [CrossRef]
- Zhang, J.; Sanderson, A.C. JADE: Adaptive Differential Evolution with Optional External Archive. IEEE Trans. Evol. Comput. 2009, 13, 945–958. [Google Scholar] [CrossRef]
- Mantegna, R.N. Fast, Accurate Algorithm for Numerical Simulation of Lévy Stable Stochastic Processes. Phys. Rev. E 1994, 49, 4677–4683. [Google Scholar] [CrossRef]
- Yang, X.; Deb, S. Engineering Optimization by Cuckoo Search. In Proceedings of the International Conference on Nature & Biologically Inspired Computing (NaBIC), Coimbatore, India, 9–11 December 2009; IEEE: New York, NY, USA, 2009; pp. 210–214. [Google Scholar] [CrossRef]
- Lampinen, J. A Constraint Handling Approach for Differential Evolution. In Proceedings of the 2002 Congress on Evolutionary Computation (CEC), Honolulu, HI, USA, 12–17 May 2002; IEEE: New York, NY, USA, 2002; pp. 1468–1473. [Google Scholar] [CrossRef]
























| Aspect | JADE (DE) | PSO | REO |
|---|---|---|---|
| State | Positions only | Positions + velocities | Positions only |
| Primary move | JADE core + rank-aware + time-growing + | ||
| Anchors | Single sampled p-best | Personal best + global best | Global best + elite mean (two anchors) |
| Scheduling | jDE for | Optional annealing of | jDE for ; rank-conditioned; increases with t; decays |
| Exploration source | Differential term | Random coefficients + inertia | Differential term + structured + early Lévy |
| Exploitation source | p-best term | Cognitive/social pulls | Rank-aware best pull + time-growing elite-mean pull |
| Selection | Greedy, binomial crossover | None (direct state update) | Greedy, binomial crossover |
| Avg. Mean | Avg. Std | Avg. Error | Avg. Rank | |
|---|---|---|---|---|
| REO | 1630.522 | 7.755 | 41.106 | 1.000 |
| RUN | 1762.260 | 178.927 | 131.167 | 6.417 |
| ALO | 1780.948 | 197.615 | 161.287 | 6.917 |
| MVO | 1992.062 | 408.728 | 197.207 | 7.750 |
| DO | 1906.588 | 323.255 | 182.939 | 8.917 |
| COA | 1879.176 | 295.843 | 206.338 | 8.917 |
| GWO | 2182.404 | 599.070 | 325.335 | 9.167 |
| RTH | 1671.519 | 88.186 | 37.758 | 9.417 |
| AVOA | 1840.468 | 257.135 | 196.813 | 10.417 |
| AO | 2478.426 | 895.092 | 639.601 | 11.000 |
| SHIO | 2118.822 | 535.489 | 510.489 | 12.750 |
| SCSO | 1965.670 | 382.337 | 363.100 | 14.000 |
| SHO | 2086.689 | 503.356 | 330.634 | 14.083 |
| ZOA | 1857.656 | 274.322 | 264.262 | 14.500 |
| GJO | 2327.343 | 744.010 | 264.127 | 14.500 |
| HHO | 1867.917 | 284.584 | 197.485 | 16.750 |
| WOA | 3237.238 | 1653.905 | 942.996 | 18.833 |
| HGSO | 138,432.792 | 136,849.459 | 89,396.787 | 19.417 |
| HLOA | 1891.831 | 308.498 | 311.604 | 19.500 |
| TTHHO | 2085.397 | 502.064 | 352.049 | 19.500 |
| GBO | 4996.690 | 3413.356 | 3444.596 | 19.667 |
| CPO | 1900.950 | 317.616 | 319.717 | 19.917 |
| DOA | 5,613,083.270 | 5,611,499.936 | 25,094,275.378 | 20.167 |
| FOX | 1973.348 | 390.015 | 262.732 | 21.500 |
| SMA | 3431.706 | 1848.372 | 1280.892 | 21.667 |
| TSO | 2306.774 | 723.441 | 698.201 | 21.667 |
| Chimp | 73,031.639 | 71,448.306 | 45,862.493 | 21.750 |
| AOA | 2682.215 | 1098.881 | 768.000 | 25.083 |
| ROA | 84,639.090 | 83,055.757 | 170,522.389 | 25.750 |
| RSA | 4,481,662.783 | 4,480,079.450 | 2,028,245.370 | 29.083 |
| FLO | 1,894,426.298 | 1,892,842.965 | 2,303,568.232 | 29.583 |
| SPBO | 35,531,797.147 | 35,530,213.813 | 23,511,193.308 | 30.500 |
| SSOA | 13,891,516.288 | 13,889,932.954 | 18,466,078.923 | 32.000 |
| OHO | 67,798,230.993 | 67,796,647.660 | 41,782,384.436 | 32.750 |
| Algorithm | W/D/L vs. REO | Top-3 Finishes | ||
|---|---|---|---|---|
| W | D | L | (Rank ) | |
| RUN | 0 | 0 | 12 | 2 |
| ALO | 0 | 0 | 12 | 2 |
| MVO | 0 | 0 | 12 | 4 |
| DO | 0 | 0 | 12 | 1 |
| COA | 0 | 0 | 12 | 3 |
| GWO | 0 | 0 | 12 | 5 |
| RTH | 0 | 2 | 10 | 3 |
| AVOA | 0 | 0 | 12 | 1 |
| AO | 0 | 0 | 12 | 1 |
| SHIO | 0 | 0 | 12 | 0 |
| SCSO | 0 | 0 | 12 | 0 |
| SHO | 0 | 0 | 12 | 0 |
| ZOA | 0 | 0 | 12 | 1 |
| GJO | 0 | 0 | 12 | 0 |
| HHO | 0 | 0 | 12 | 0 |
| WOA | 0 | 0 | 12 | 0 |
| HGSO | 0 | 0 | 12 | 0 |
| HLOA | 0 | 0 | 12 | 0 |
| TTHHO | 0 | 0 | 12 | 0 |
| GBO | 0 | 0 | 12 | 0 |
| CPO | 0 | 0 | 12 | 1 |
| DOA | 0 | 0 | 12 | 0 |
| FOX | 0 | 0 | 12 | 0 |
| SMA | 0 | 0 | 12 | 0 |
| TSO | 0 | 0 | 12 | 0 |
| Chimp | 0 | 0 | 12 | 0 |
| AOA | 0 | 0 | 12 | 0 |
| ROA | 0 | 0 | 12 | 0 |
| RSA | 0 | 0 | 12 | 0 |
| FLO | 0 | 0 | 12 | 0 |
| SPBO | 0 | 0 | 12 | 0 |
| SSOA | 0 | 0 | 12 | 0 |
| OHO | 0 | 0 | 12 | 0 |
| Algorithm | Avg. | Med. | SD | Wins | Top-3 | Top-5 | Bottom-3 | |
|---|---|---|---|---|---|---|---|---|
| REO | 1.00 | 1.0 | 0.00 | 12 | 12 | 12 | 0 | 0.00 |
| RUN | 6.42 | 6.0 | 2.93 | 0 | 2 | 5 | 0 | 5.42 |
| ALO | 6.92 | 6.5 | 3.04 | 0 | 2 | 4 | 0 | 5.92 |
| MVO | 7.75 | 6.0 | 5.76 | 0 | 4 | 6 | 0 | 6.75 |
| COA | 8.92 | 8.0 | 5.85 | 0 | 3 | 5 | 0 | 7.92 |
| DO | 8.92 | 8.0 | 4.75 | 0 | 1 | 4 | 0 | 7.92 |
| GWO | 9.17 | 6.5 | 7.06 | 0 | 5 | 5 | 0 | 8.17 |
| RTH | 9.42 | 9.5 | 6.14 | 2 | 3 | 3 | 0 | 8.42 |
| AVOA | 10.42 | 8.5 | 5.88 | 0 | 1 | 3 | 0 | 9.42 |
| AO | 11.00 | 10.5 | 5.37 | 0 | 1 | 2 | 0 | 10.00 |
| SHIO | 12.75 | 11.0 | 6.94 | 0 | 0 | 2 | 0 | 11.75 |
| SCSO | 14.00 | 13.5 | 3.44 | 0 | 0 | 0 | 0 | 13.00 |
| CPO | 15.17 | 15.0 | 8.36 | 0 | 0 | 0 | 0 | 14.17 |
| TSO | 21.67 | 22.5 | 5.99 | 0 | 0 | 0 | 1 | 20.67 |
| SMA | 21.67 | 22.5 | 5.34 | 0 | 0 | 0 | 1 | 20.67 |
| Chimp | 21.75 | 21.0 | 5.51 | 0 | 0 | 0 | 0 | 20.75 |
| ROA | 25.75 | 26.5 | 1.83 | 0 | 0 | 0 | 0 | 24.75 |
| AOA | 25.08 | 27.0 | 5.04 | 0 | 0 | 0 | 0 | 24.08 |
| RSA | 29.08 | 29.0 | 1.55 | 0 | 0 | 0 | 0 | 28.08 |
| FLO | 29.58 | 29.5 | 2.43 | 0 | 0 | 0 | 3 | 28.58 |
| SPBO | 30.50 | 33.0 | 5.55 | 0 | 0 | 0 | 8 | 29.50 |
| SSOA | 32.00 | 32.0 | 0.71 | 0 | 0 | 0 | 11 | 31.00 |
| OHO | 32.75 | 34.0 | 1.64 | 0 | 0 | 0 | 8 | 31.75 |
| FOX | 21.50 | 26.5 | 11.17 | 0 | 0 | 1 | 3 | 20.50 |
| DOA | 20.17 | 18.5 | 5.44 | 0 | 0 | 0 | 0 | 19.17 |
| ZOA | 18.50 | 15.0 | 6.79 | 0 | 0 | 1 | 0 | 17.50 |
| TTHHO | 19.50 | 21.0 | 4.39 | 0 | 0 | 0 | 0 | 18.50 |
| HHO | 18.92 | 17.0 | 7.02 | 0 | 0 | 0 | 0 | 17.92 |
| GJO | 17.42 | 16.0 | 6.01 | 0 | 0 | 0 | 0 | 16.42 |
| HLOA | 19.92 | 18.0 | 10.14 | 0 | 0 | 0 | 0 | 18.92 |
| WOA | 23.92 | 23.5 | 7.16 | 0 | 0 | 0 | 1 | 22.92 |
| SHO | 24.50 | 24.0 | 6.99 | 0 | 0 | 0 | 0 | 23.50 |
| GBO | 16.75 | 16.0 | 4.83 | 0 | 0 | 1 | 0 | 15.75 |
| HGSO | 17.75 | 16.5 | 7.08 | 0 | 0 | 1 | 0 | 16.75 |
| Function | Winner(s) |
|---|---|
| F1 | REO, RTH |
| F2 | REO |
| F3 | REO |
| F4 | REO |
| F5 | REO |
| F6 | REO |
| F7 | REO |
| F8 | REO |
| F9 | REO, RTH |
| F10 | REO |
| F11 | REO |
| F12 | REO |
| Function | |||
|---|---|---|---|
| Sphere (F1) | 0.0890 | 9.6981 | 46.7919 |
| Schwefel (F2) | 3648.03 | 3655.35 | 3656.01 |
| Rosenbrock (F3) | 1654.72 | 0.3182 | 16,250.39 |
| Rastrigin (F4) | 48.01 | 62.20 | 109.09 |
| Griewank (F5) | 0.4143 | 0.5039 | 0.6817 |
| Ackley (F6) | 19.32 | 19.96 | 19.98 |
| Alpine (F7) | 10.67 | 14.26 | 15.86 |
| Schaffer (F8) | 2.70 | 2.73 | 2.64 |
| Zakharov (F9) | 914.20 | 974.44 | 964.53 |
| Levy (F10) | 141.76 | 269.82 | 570.13 |
| Dixon–Price (F11) | 629.94 | 1838.14 | 2338.68 |
| Styblinski–Tang (F12) | 1.09 | 0.59 | 0.44 |
| Function | |||
|---|---|---|---|
| Sphere (F1) | 5.30 | 5.68 | 6.23 |
| Schwefel (F2) | 3663.03 | 3658.88 | 3684.40 |
| Rosenbrock (F3) | 1626.17 | 0.3217 | 12,256.93 |
| Rastrigin (F4) | 67.48 | 59.22 | 63.12 |
| Griewank (F5) | 0.5501 | 0.2693 | 0.2768 |
| Ackley (F6) | 19.45 | 19.38 | 15.98 |
| Alpine (F7) | 20.11 | 14.06 | 10.50 |
| Schaffer (F8) | 3.17 | 3.03 | 2.72 |
| Zakharov (F9) | 1138.79 | 598.88 | 262.22 |
| Levy (F10) | 357.16 | 144.19 | 227.18 |
| Dixon–Price (F11) | 645.50 | 186.41 | 625.33 |
| Styblinski–Tang (F12) | 0.29 | 137.30 | 536.70 |
| Algorithm | Best | Mean | Std | Sem | Ranking |
|---|---|---|---|---|---|
| REO | 1.72485 | 1.72485 | 6.84344 | 4.83904 | 1 |
| POA | 1.73003 | 1.73117 | 0.00161066 | 0.00113891 | 2 |
| ChOA | 1.73599 | 1.74053 | 0.00641954 | 0.0045393 | 3 |
| MFO | 1.7303 | 1.74362 | 0.0188384 | 0.0133208 | 4 |
| TTHHO | 2.02435 | 2.18608 | 0.228711 | 0.161723 | 5 |
| ZOA | 1.89849 | 2.31309 | 0.586327 | 0.414596 | 6 |
| SCA | 2.07043 | 2.31321 | 0.343332 | 0.242772 | 7 |
| TSO | 1.8501 | 2.42664 | 0.815356 | 0.576544 | 8 |
| RSA | 2.95651 | 2.96356 | 0.00997739 | 0.00705508 | 9 |
| SHO | 2.47667 | 3.03139 | 0.7845 | 0.554725 | 10 |
| SMA | 3.07915 | 3.0883 | 0.0129357 | 0.0091469 | 11 |
| FLO | 2.90831 | 3.22846 | 0.45276 | 0.320149 | 12 |
| MPA | 3.32489 | 3.33212 | 0.0102287 | 0.00723282 | 13 |
| BOA | 2.83457 | 3.49045 | 0.927553 | 0.655879 | 14 |
| WOA | 3.8404 | 4.81798 | 1.38252 | 0.977588 | 15 |
| ROA | 2.41104 | 5.40773 | 4.23796 | 2.99669 | 16 |
| SSOA | 112,592 | 188,975 | 108,022 | 76,382.9 | 17 |
| Algorithm | Best | Mean | Std | Sem | Ranking |
|---|---|---|---|---|---|
| REO | 180,806 | 180,806 | 0.0263029 | 0.018599 | 1 |
| POA | 180,806 | 180,806 | 0.959752 | 0.678647 | 2 |
| ChOA | 180,945 | 181,057 | 157.649 | 111.474 | 3 |
| WOA | 181,491 | 182,103 | 864.784 | 611.495 | 4 |
| MFO | 180,865 | 182,564 | 2402.46 | 1698.8 | 5 |
| ZOA | 183,473 | 183,547 | 104.832 | 74.1274 | 6 |
| TSO | 180,806 | 198,341 | 24,798.2 | 17,535 | 7 |
| SCA | 197,590 | 198,388 | 1129.08 | 798.383 | 8 |
| TTHHO | 206,916 | 211,573 | 6586.4 | 4657.29 | 9 |
| MPA | 236,266 | 236,304 | 54.0556 | 38.2231 | 10 |
| SHO | 268,748 | 276,016 | 10,279.4 | 7268.63 | 11 |
| ROA | 221,451 | 333,833 | 158,931 | 112,381 | 12 |
| SMA | 284,594 | 428,570 | 203,612 | 143,976 | 13 |
| RSA | 269,537 | 431,878 | 229,585 | 162,341 | 14 |
| BOA | 428,572 | 439,556 | 15,533.2 | 10,983.6 | 15 |
| FLO | 483,334 | 505,207 | 30,933.2 | 21,873.1 | 16 |
| SSOA | 489,755 | 583,727 | 132,897 | 93,972.6 | 17 |
| Algorithm | Best | Mean | Std | Sem | Ranking |
|---|---|---|---|---|---|
| RE | 263.896 | 263.896 | 1.32176 | 9.34624 | 1 |
| POA | 263.896 | 263.896 | 8.93859 | 6.32054 | 2 |
| MPA | 263.898 | 263.901 | 0.00315227 | 0.00222899 | 3 |
| ZOA | 263.899 | 263.907 | 0.0118833 | 0.00840275 | 4 |
| ChOA | 263.951 | 263.972 | 0.0292866 | 0.0207087 | 5 |
| MFO | 263.905 | 263.988 | 0.117595 | 0.083152 | 6 |
| SCA | 263.933 | 264.087 | 0.21749 | 0.153788 | 7 |
| TTHHO | 263.978 | 264.286 | 0.436233 | 0.308464 | 8 |
| BOA | 264.282 | 264.609 | 0.461766 | 0.326518 | 9 |
| FLO | 264.624 | 264.828 | 0.287783 | 0.203493 | 10 |
| SHO | 265.164 | 265.35 | 0.263387 | 0.186243 | 11 |
| SSOA | 265.062 | 265.478 | 0.588168 | 0.415898 | 12 |
| ROA | 265.129 | 265.923 | 1.12373 | 0.794598 | 13 |
| WOA | 264.383 | 266.118 | 2.45444 | 1.73555 | 14 |
| RSA | 267.161 | 267.293 | 0.186617 | 0.131958 | 15 |
| SMA | 266.368 | 268.523 | 3.04693 | 2.15451 | 16 |
| TSO | 264.158 | 273.5 | 13.2124 | 9.34259 | 17 |
| Algorithm | Best | Mean | Std | Sem | Ranking |
|---|---|---|---|---|---|
| RE | 62,772.8 | 62,795.2 | 31.7591 | 22.457 | 1 |
| POA | 64,036 | 64,110.5 | 105.417 | 74.541 | 2 |
| ChOA | 64,047.7 | 64,722.5 | 954.266 | 674.768 | 3 |
| ZOA | 64,971.2 | 65,964.9 | 1405.33 | 993.715 | 4 |
| MPA | 70,538.5 | 71,321.5 | 1107.4 | 783.047 | 5 |
| MFO | 63,969.8 | 71,935.2 | 11,264.7 | 7965.37 | 6 |
| TTHHO | 71,948.2 | 72,510 | 794.495 | 561.793 | 7 |
| ROA | 76,904.5 | 78,652.3 | 2471.8 | 1747.83 | 8 |
| FLO | 78,149.8 | 80,258.7 | 2982.47 | 2108.93 | 9 |
| SHO | 70,568.4 | 82,051 | 16,238.9 | 11,482.6 | 10 |
| SMA | 82,673.8 | 86,060 | 4788.74 | 3386.15 | 11 |
| SCA | 86,389.5 | 86,715.6 | 461.139 | 326.074 | 12 |
| WOA | 82,236.8 | 87,037.6 | 6789.28 | 4800.75 | 13 |
| TSO | 87,611.3 | 92,027.4 | 6245.26 | 4416.07 | 14 |
| SSOA | 88,391.3 | 103,404 | 21,230.5 | 15,012.2 | 15 |
| RSA | 107,990 | 121,050 | 18,469.2 | 13,059.7 | 16 |
| BOA | 107,209 | 385,248 | 393,207 | 278,040 | 17 |
| Algorithm | Best | Mean | Std | Sem | Ranking |
|---|---|---|---|---|---|
| RE | 597.999 | 598.153 | 0.217428 | 0.153745 | 1 |
| REA | 609.626 | 614.41 | 6.76587 | 4.78419 | 2 |
| ChOA | 629.66 | 631.075 | 2.00103 | 1.41495 | 3 |
| SCA | 618.151 | 638.098 | 28.2097 | 19.9472 | 4 |
| POA | 639.131 | 690.144 | 72.1435 | 51.0132 | 5 |
| TTHHO | 726.011 | 772.247 | 65.3875 | 46.2359 | 6 |
| BOA | 756.704 | 796.892 | 56.8347 | 40.1882 | 7 |
| ZOA | 802.904 | 822.195 | 27.2823 | 19.2915 | 8 |
| MFO | 598.581 | 829.543 | 326.63 | 230.962 | 9 |
| RSA | 816.156 | 842.873 | 37.783 | 26.7166 | 10 |
| FLO | 908.464 | 910.248 | 2.52336 | 1.78428 | 11 |
| ROA | 941.918 | 968.643 | 37.796 | 26.7258 | 12 |
| SHO | 910.257 | 1043.38 | 188.268 | 133.126 | 13 |
| WOA | 606.65 | 1059.41 | 640.303 | 452.763 | 14 |
| MPA | 1652.48 | 1699.17 | 66.0339 | 46.693 | 15 |
| TSO | 1754.83 | 2092.94 | 478.167 | 338.115 | 16 |
| SSOA | 2947.66 | 3022.2 | 105.415 | 74.5397 | 17 |
| SMA | 3896.64 | 4206.47 | 438.152 | 309.82 | 18 |
| Algorithm | Mean | Std | Sem | Best_ Objective | x1 | x2 | x3 | x4 | Ranking |
|---|---|---|---|---|---|---|---|---|---|
| RE | 6106.462 | 88.44507 | 62.54011 | 6043.922 | 0.834645 | 0.421283 | 43.13177 | 164.7269 | 1 |
| TTHHO | 6389.283 | 80.42098 | 56.86622 | 6332.417 | 0.937164 | 0.489922 | 48.51611 | 110.572 | 2 |
| MFO | 6468.769 | 308.4362 | 218.0973 | 6250.672 | 0.950479 | 0.469907 | 49.24617 | 104.4488 | 3 |
| ChOA | 6615.45 | 173.0552 | 122.3685 | 6493.082 | 0.893977 | 0.488128 | 46.7041 | 133.4076 | 4 |
| MPA | 6728.932 | 902.8383 | 638.4031 | 6090.529 | 0.871793 | 0.433362 | 45.13376 | 142.7826 | 5 |
| ZOA | 6850.71 | 259.4634 | 183.4684 | 6667.241 | 1.08779 | 0.539701 | 56.33734 | 54.87912 | 6 |
| BOA | 7431.184 | 318.6951 | 225.3515 | 7205.833 | 1.123468 | 0.565372 | 55.30213 | 64.37156 | 7 |
| SHO | 7457.611 | 221.8144 | 156.8465 | 7300.764 | 1.092471 | 0.644523 | 56.00177 | 56.87267 | 8 |
| SCA | 8563.674 | 527.8143 | 373.2211 | 8190.453 | 0.945005 | 0.669178 | 41.81536 | 195.794 | 9 |
| FLO | 9325.825 | 253.9611 | 179.5776 | 9146.247 | 1.199675 | 0.850448 | 52.88779 | 77.33427 | 10 |
| ROA | 10,007.93 | 392.8583 | 277.7927 | 9730.138 | 1.090717 | 1.070255 | 55.8731 | 59.24966 | 11 |
| WOA | 10,691.29 | 4116.735 | 2910.971 | 7780.319 | 1.221813 | 0.491293 | 50.61004 | 93.5787 | 12 |
| TSO | 12,007.79 | 7287.183 | 5152.817 | 6854.969 | 0.959659 | 0.597251 | 49.20803 | 104.7554 | 13 |
| SMA | 12,727.88 | 8309.569 | 5875.752 | 6852.123 | 0.900551 | 0.518306 | 45.92008 | 147.3161 | 14 |
| RSA | 17,493.81 | 6137.341 | 4339.756 | 13,154.06 | 1.387056 | 1.355401 | 61.74348 | 27.09978 | 15 |
| SSOA | 31,657.96 | 5171.079 | 3656.505 | 28,001.45 | 1.666317 | 3.576956 | 54.34977 | 95.46167 | 16 |
| Algorithm | Mean | Std | Sem | Best Objective | x1 | x2 | Ranking |
|---|---|---|---|---|---|---|---|
| RE | 0.002086 | 0.000259 | 0.000183 | 0.001903 | 0.087247 | 0.25 | 1 |
| FLO | 0.002268 | 0 | 0 | 0.002268 | 0.067356 | 0.5 | 2 |
| MFO | 0.002268 | 4.33 | 3.06 | 0.002268 | 0.067356 | 0.5 | 3 |
| TSO | 0.002268 | 4.68 | 3.31 | 0.002268 | 0.067356 | 0.5 | 4 |
| TTHHO | 0.002268 | 2.4 | 1.7 | 0.002268 | 0.067356 | 0.5 | 5 |
| WOA | 0.002268 | 1.39 | 9.83 | 0.002268 | 0.067356 | 0.5 | 6 |
| SHO | 0.002268 | 9.39 | 6.64 | 0.002268 | 0.067356 | 0.5 | 7 |
| MPA | 0.002269 | 2.06 | 1.46 | 0.002268 | 0.067356 | 0.5 | 8 |
| ZOA | 0.002269 | 8.95 | 6.33 | 0.002269 | 0.067359 | 0.5 | 9 |
| BOA | 0.002272 | 3.22 | 2.28 | 0.002269 | 0.067371 | 0.5 | 10 |
| ChOA | 0.002272 | 1.19 | 8.4 | 0.002272 | 0.067402 | 0.5 | 11 |
| SCA | 0.002292 | 2.62 | 1.85 | 0.002274 | 0.067437 | 0.5 | 12 |
| SSOA | 0.002308 | 4.16 | 2.94 | 0.002279 | 0.06751 | 0.5 | 13 |
| SMA | 0.002317 | 1.24 | 8.79 | 0.002316 | 0.067888 | 0.502561 | 14 |
| ROA | 0.002763 | 0.000684 | 0.000484 | 0.00228 | 0.067521 | 0.5 | 15 |
| RSA | 0.005168 | 0.000204 | 0.000144 | 0.005024 | 0.081003 | 0.765617 | 16 |
Disclaimer/Publisher’s Note: The statements, opinions and data contained in all publications are solely those of the individual author(s) and contributor(s) and not of MDPI and/or the editor(s). MDPI and/or the editor(s) disclaim responsibility for any injury to people or property resulting from any ideas, methods, instructions or products referred to in the content. |
© 2025 by the authors. Licensee MDPI, Basel, Switzerland. This article is an open access article distributed under the terms and conditions of the Creative Commons Attribution (CC BY) license (https://creativecommons.org/licenses/by/4.0/).
Share and Cite
Fakhouri, H.N.; Rashaideh, H.; Alrousan, R.; Hamad, F.; Khrisat, Z. Ripple Evolution Optimizer: A Novel Nature-Inspired Metaheuristic. Computers 2025, 14, 486. https://doi.org/10.3390/computers14110486
Fakhouri HN, Rashaideh H, Alrousan R, Hamad F, Khrisat Z. Ripple Evolution Optimizer: A Novel Nature-Inspired Metaheuristic. Computers. 2025; 14(11):486. https://doi.org/10.3390/computers14110486
Chicago/Turabian StyleFakhouri, Hussam N., Hasan Rashaideh, Riyad Alrousan, Faten Hamad, and Zaid Khrisat. 2025. "Ripple Evolution Optimizer: A Novel Nature-Inspired Metaheuristic" Computers 14, no. 11: 486. https://doi.org/10.3390/computers14110486
APA StyleFakhouri, H. N., Rashaideh, H., Alrousan, R., Hamad, F., & Khrisat, Z. (2025). Ripple Evolution Optimizer: A Novel Nature-Inspired Metaheuristic. Computers, 14(11), 486. https://doi.org/10.3390/computers14110486

