Abstract
Over the past decade, Unmanned Aerial Vehicles (UAVs) have begun to be increasingly used due to their untapped potential. Li-ion batteries are the most used to power electrically operated UAVs for their advantages, such as high energy density and the high number of operating cycles. Therefore, it is necessary to estimate the Remaining Useful Life (RUL) and the prediction of the Li-ion batteries’ capacity to prevent the UAVs’ loss of autonomy, which can cause accidents or material losses. In this paper, the authors propose a method of prediction of the RUL for Li-ion batteries using a data-driven approach. To maximize the performance of the process, the performance of three machine learning models, Support Vector Machine for Regression (SVMR), Multiple Linear Regression (MLR), and Random Forest (RF), were compared to estimate the RUL of Li-ion batteries. The method can be implemented within UAVs’ Predictive Maintenance (PdM) systems.
1. Introduction
Due to their advantages, high power/energy density, a high number of charge–discharge cycles, low self-discharge rate, wide operating temperature range, etc., Li-ion batteries are used in various applications [1,2].
In recent years, Unmanned Aerial Vehicles (UAVs) have begun to be used in many applications in various fields such as transport, environmental surveillance, military, hobby, etc. [3,4,5].
Estimating the Remaining Useful Life (RUL) and predicting the capacity of the Li-ion batteries used within the UAV is essential to prevent several problems, such as loss of autonomy, which can lead to accidents or malfunctions. With information such as the capacity and RUL value of the battery, responsible staff can monitor cell performance and schedule maintenance or replacement operations in advance.
Within the UAVs, the discharge current of the batteries is modified by the travel speed. Thus, the discharge current varies from one flight to another depending on the load carried, the atmospheric conditions, and the rate of movement.
The degradation of Li-ion batteries is a nonlinear process that is influenced by battery chemistry and operating conditions [6,7].
During operation, a battery goes through several charge cycles, complete or incomplete discharge with different discharge currents as well as other states that diminish the capacity. The storage, idle time, and temperature also contribute to the decrease in the power of Li-ion batteries. All these factors lead to nonlinear aging throughout life [8]. The main factors contributing to battery damage are a high charge percentage approaching 100% and temperature [9]. At the chemical level, the aging process of Li-ion batteries can be seen by increasing the solid electrolyte interface called the Solid Electrolyte Interface (SEI), increasing the active material, and increasing impedance. Finally, it was found that the thickness of the SEI film is proportional to the square root of the time [10,11,12].
1.1. Methods Used for RUL Prediction of Li-Ion Batteries
Battery capacity prediction methods can be divided into model-based, data-driven, and hybrid approaches.
Model-based methods depend on the realization of a mathematical model of the process of batteries’ degradation over time, which is sometimes difficult to achieve [13].
The main disadvantage of model-based methods is that they cannot be extended directly to other batteries because of their different structure. Therefore, the accuracy of model-based methods depends on the underlying degradation patterns [14].
Data-driven methods do not require a mathematical model to describe the dynamics of the aging process of Li-ion batteries; they consider batteries as black boxes [10]. The most common techniques used by data-driven methods to make predictions use supervised machine learning. RUL estimations of Li-ion batteries using machine learning can be generalized to other accumulators.
In most specialized work, with the help of machine learning, aging indicators such as the State of Health (SoH) and battery capacity are first estimated. The RUL is predicted by additional calculations, extrapolating the degradation model to a fault threshold [9,10]. Data-driven machine learning methods use historical data on battery degradation over time to train their model to extract aging indicators [9,10]. These first extract the degradation features from the measured data; then, they learn the nonlinear relationship between these features and the aging indicators using machine learning methods [2]. The components used can be the variation of the battery capacity concerning the number of operating cycles, the slope of the discharge voltage and current, etc. The data are taken from cases of actual aging or can be generated from aging tests. Unsupervised machine learning algorithms use input data that are not labeled to identify interesting trends or patterns.
The RUL and battery health prediction methods that use data-driven methods use supervised machine learning algorithms such as Artificial Neural Networks (ANNs), Support Vector Machine (SVM), Autoencoder (AE), fuzzy logic, etc., [2,8,10,15].
1.2. Literature Review
The number of specialist papers dealing with the RUL prediction of Li-ion batteries from UAVs is exceedingly small and can be considered non-existent. Among the specialized works that address the RUL prediction of Li-ion batteries that are used in various applications, we can specify the following:
Wei and Chena proposed a method in [2] that a model uses to predict the RUL and the charge level of the Li-ion batteries.
Sang-Jin and Jang-Wook conducted a comparative study in which they used Long Short-Term Memory (LSTM) and Gated Recurrent Unit (GRU) networks to predict the RUL of Li-ion batteries. Data on capacity variation, voltages, and State of Health (SoH) concerning the number of discharge cycles, from the database provided by NASA, were used to train the model. Experimental results show LSTM networks have a higher prediction accuracy [16].
Zraibi et al. use a model that is formed using Convolutional Neural Network (CNN) and LSTM networks to predict the RUL of Li-Ion batteries. The model is validated using NASA training data. The capacity variation for the number of discharge cycles was used as training data. Experimental results show that the model has better accuracy than others [17].
Ali et al. use a method that combines the quantum-behaved particle swarm optimization (QPSO) algorithm with the incremental support vector regression (ISVR) technique to estimate the RUL of the battery. For the model’s training, the capacity curve was used for the number of discharge cycles of the Li-ion batteries. The method was validated based on the dataset of NASA Li-ion batteries, which use Li-ion cells of type 18650 [18].
Wu et al. use ensemble learning methods to predict the RUL of Li-ion batteries. The ensemble learning method contains five primary learners (models) to achieve better prediction performance, such as Relevance Vector Machine (RVM), Random Forest (RF), Elastic Net (EN), the Autoregressive model (AR), and LSTM. The simulations were made on the dataset of the Li-ion CS2_35 batteries. Genetic algorithms were used to find the weights of neurons. When training the model, the capacity curve was used with the number of discharge cycles of the Li-ion batteries. From the results obtained by the authors, it is found that the method proposed in this paper has a RMSE lower than the five individual methods [19].
Chen et al. use a model consisting of CNN and LSTM, called CNN-LSTM, to determine the RUL of Li-ion batteries. Data on the variation of the discharge capacity in relation to the number of operating cycles were used to train the model. Experimental results indicate that the model performs better than a single model formed using an LSTM-type network [20].
Yang, to predict the RUL of Li-ion batteries, uses a hybrid CNN network formed using a three-dimensional CNN network and a two-dimensional CNN network as training data, voltage, current, and temperature at charging were used. Experimental results show that the model has a test error of 3.6% for estimating the RUL of Li-ion batteries [21].
Machine learning models can be used to predict both health and RUL indicators.
Zhu et al. use CNN, Bidirectional Long Short-Term Memory (BiLSTM), and the Attention Mechanism (AM) to develop a hybrid model that allows the estimation of the capacity, SOH, and RUL of Li-ion batteries. Battery health indicators were extracted using Li-ion battery capacity degradation data from the Center for Advanced Life Cycle Engineering. Thus, for the model’s training, data were used to vary the capacity concerning the number of discharge cycles, the load/unloading voltage regarding the time, and the charging/unloading current in relation to the time. The results show that the model achieves a mean battery capacity estimation error of 1.5% [22].
Wei et al. use Graph Convolutional Networks (GCNs) to estimate SOH and RUL of batteries. The study considers the variation of current, voltage and temperature on the operating cycles, and for its realization, the datasets made available by NASA and Oxford University were used. Also, within this study, correlation between features and SOH/RUL or just correlation between features was also studied. In the RUL prediction of batteries, the average RMSE of the Conditional Graph Convolutional Network (CGCN) and Graph Convolutional Network with Dilated Convolutional Operations (GCN-DCO) is 16.32 and 11.18, respectively [23].
Lee et al. perform a comparative analysis of seven types of ANN in predicting the RUL of Li-ion batteries. Each architecture was optimized in terms of hyperparameters. To train the models, 30% of the data of a dataset capturing the degradation of 124 Li-ion batteries was used. The experimental results show that the 1D-CNN architecture has the best value for the RMSE index: 107.19 [24].
Li et al. proposed a new hybrid model based on Temporal Convolutional Network-Long Short-Term Memory (TCN-LSTM) for the prediction of SOH and RUL of Li-ion batteries. Using the Bayesian optimization algorithm, the hyperparameters of each layer in the model were optimized. The performance of the TCN-LSTM model was compared with the Convolutional Neural Network-Long Short-Term Memory (CNN-LSTM) model, Temporal Convolutional Network (TCN) model and Long Short-Term Memory (LSTM) model. The models were tested using datasets provided by NASA and Oxford University. Regarding the prediction of the RUL index of Li-ion batteries, on the dataset provided by NASA, the performances of the TCN-LSTM and CNN-LSTM models are superior to the other models, and on the dataset provided by Oxford University, the performances of the LSTM models and CNN-LSTM are superior to the other models [25].
1.3. Contribution and Structure of the Work
The innovation of this paper is the development of a machine learning model to predict the RUL of Li-ion batteries from UAVs. The model was trained using historical data from an experimental stand that degrades Li-ion batteries according to the degradation regimes of Li-ion batteries from UAVs. The performance of the model developed for the prediction of the RUL of Li-ion batteries from UAVs was compared with the performance of the models developed for the prediction of the RUL of general-use Li-ion batteries.
The procedure considers electrical parameters and can be implemented in Predictive Maintenance (PdM) systems of UAVs.
The work is organized as follows. Section 1 presents the need to estimate the RUL of Li-ion batteries within the UAV and the methods used to estimate the RUL of Li-ion batteries. Also, in Section 1, the main concerns of researchers in the specialized literature are presented regarding finding the optimal method for estimating the RUL of Li-ion batteries with high precision. Section 2 offers the proposed plan and the machine learning algorithms used to estimate the RUL of Li-ion batteries. The performance of several machine learning algorithms, such as SVMR, Multiple Linear Regression (MLR), and RF, was compared to identify the best algorithm for calculating the RUL of Li-ion batteries. Section 3 presents the experimental stand from which the experimental data originated and the methodology by which the data were obtained. Section 4 presents the experimental setup; it contains the data obtained from monitoring the Li-ion batteries, which were used to train the machine learning models. Finally, Section 5 presents the experimental results obtained. Section 6 sets out the conclusions of this study.
2. RUL Prediction Methodology Using Machine Learning
Machine learning methods can predict the RUL of a Li-ion battery. They can learn patterns from data to make predictions. Figure 1 shows the necessary steps to use machine learning to predict the RUL of a Li-ion battery. The method uses historical data to make predictions.
Figure 1.
Diagram of the process used to estimate the RUL in real time.
In the first step, historical data will be collected from the sensors that monitor the Li-ion battery. The data used in this study were obtained by studying the degradation process of two Li-ion batteries. Throughout 1200 charge/discharge cycles, the discharge voltage and current were monitored on each cycle. During each discharge cycle, the discharged capacity up to that point was calculated in real time, and at the end, the total discharge capacity of that cycle was extracted.
In step two, the collected data will be preprocessed. Data preprocessing involves cleaning the data (removing outlier values, filling in the missing values), scaling, and extracting the features of the aging process.
In step three, the model will be trained using the training data. Machine learning algorithms aim to learn to represent output data according to input data with an acceptable error. The input data of machine learning algorithms are the values of voltages, current, and discharged capacity at the time l that correspond to cycle k. The input data are labeled with the life-cycle number k. The model will be trained to represent the nonlinear relationship between voltage, current, and battery capacity at time l, data obtained during battery monitoring, and the number of each cycle elapsed k, as shown in Table 1. Each cycle elapsed k will also be tagged with the total battery capacity for that cycle C_totk.
Table 1.
Parameters used to train the model.
Predicting the number of cycles elapsed k is a regression problem. The total number of cycles of the batteries can be extracted from the capacity variation curve per the number of cycles analyzed. The capacity variation curve over the number of cycles was established as the mean of the discharge curves of the two Li-ion batteries. The two Li-ion batteries were charged/discharged 1200 times, and discharge parameters were recorded. The RUL index of the Li-ion batteries can be estimated, taking into account the fault threshold. In this study, the fault threshold is set to 170 [mAh], which is 66% of the total battery capacity and is reached in cycle 1127 (the average of the two batteries). The number of cycles remaining no_c_r can be determined in (1):
where no_c_f_t is the cycle of the fault threshold.
The remaining capacity C_rem can be determined by subtracting from the total capacity of that cycle C_totk (corresponding to the predicted cycle) the capacity discharged until now, Cnew, in (2):
Discharged capacity until now can be determined using sensor modules.
After the model has been trained, we can predict the number of cycles elapsed k. Knowing the voltage, current and capacity discharged at the time l, we can determine the number of cycles remaining in life, the RUL cycles and the capacity remaining in the Li-ion battery. Due to the fact that machine learning algorithms produce good results on small volumes of data, with a small number of variables, having small calculation times, in this study, machine learning algorithms were used for the prediction of RUL of Li-ion batteries in the detriment of deep learning algorithms. To increase the prediction accuracy, the performances of three of the most used machine learning algorithms in regression problems were compared: SVMR, MLR, and RF.
2.1. The Li-Ion Battery RUL Prediction Using SVMR
SVMs are supervised machine learning algorithms that can be used in classification and regression problems. In the field of regression, the method is called SVRM. Regression machines with supporting vectors work for linear and nonlinear regression [26,27].
Compared to other methods, SVMR converges faster, and thanks to its ability to detect correlations between input and output data, it can more effectively solve problems in estimating multidimensional functions [28]. Considering a set of training points (x1,y1)... (xn,yn) where xi ∈ Rn are input values, yi ∈ Rn are output target values and n is the number of data points, the relationship between input and output points can be defined using the function (3) [26,28]:
Here, w is the vector of the weights and b is the bias input. Based on the minimization of structural risk, w can be extracted from [26,29]:
Here, C is a constant known as the penalty factor, ξi and ξ′i are slack variables that show the difference between the estimated value and the target value, and ε is the cost function (ε > 0) [26,29].
2.2. The Li-ion Battery RUL Prediction Using MLR
MLR is a parametric machine learning technique intensely used in statistics that uses supervised machine learning [30].
The MLR aims to model the linear relationship between the independent xij variables and the dependent (response) yi variable. The variable we want to predict is the dependent variable, and the variables we use to predict the value of the dependent variable are known as independent variables [30,31].
So, MLR tries to fit a line that explains the relationship between the independent variables and the dependent variable by (5) [32]:
Here, yPi is the predicted value of the dependent variable (or the response variable); xij represents the independent variables; i represents the feature number; j represents the number of the input variable; p represents the total number of the input variable; β0 represents the constant coefficient; βi represents the regression coefficients (i > 0); ꞇ represents the pattern error (that is, how much variation there is in our estimate of yPi); β1, xi1 represent the regression coefficient β1 of the first independent variable xi1; βp xp represent the regression coefficient βp of the last independent variable xip [32].
Although the algorithm is simple, in most cases, it produces satisfactory and speedy results due to its simple form.
2.3. The Li-Ion Battery RUL Prediction Using RF
RF is a supervised ensemble machine learning algorithm. It can be used in both regression and classification problems [33,34].
An RF consists of multiple weak machine learning, such as DT. During each decision tree (the training process), the algorithm randomly selects from the original dataset data instances with replacement by bagging (Bootstrap Aggregation). This means that within a subset, an instance can be chosen multiple times, while others cannot be chosen at all. The number of data subsets created is equal to the number of DTs. Even if some data are lost, the overall accuracy can still be maintained. Typically, about two-thirds of the data instances of each DT are used for training and one-third are used for testing [35].
In a decision tree, the first node is called the root node, the nodes at the bottom are called leaf nodes (terminal nodes), the node in the front of a node is called its parent node, the node behind a node is called the child node, and the parallel nodes are called sibling nodes [33].
A regression model using RF consists of several regression trees that are not related to each other. The output of this model is calculated by aggregating the results from each DT in the forest [36]. The value predicted by an RF is given by (6) [37]:
where Vi(x) is the output of the prediction model i and m is the number of DTs.
Compared to other machine learning algorithms, RF has fewer parameters and less training time. Before the learning process, the RF algorithm needs three parameters to be set, i.e., ntree (number of DTs), mtry (number of variables) and nodesize (number of terminal nodes). These parameters greatly influence the model prediction results [38].
To calculate the importance of feature variables, RF uses the out-of-bag (OOB) error, and to improve the accuracy of the regression and classification results, RF sorts and filters the feature variables [39].
2.4. Performance Evaluation of Regression Algorithms
The performance of machine learning algorithms used in regression problems is most frequently evaluated through indicators such as MSE, RMSE, Mean Absolute Error (MAE) and R2 score. The closer the MAE, RMSE and MSE values are to 0, the better the model performs. The R2 score ranges from 0 to 1; the best value is 1 [40,41,42,43,44,45].
3. Experimental Stand
The experimental stand is used to extract the degradation features of Li-ion batteries. It performs automatic charging and discharging of Li-ion batteries. On each cycle of discharge of Li-ion batteries (Figure 2(4,6)), the discharge voltage and the current are monitored, and then the discharged capacity is extracted in real time. Experimental data were generated using two 3.7 V Li-Ion batteries with a 500 mAh capacity.
Figure 2.
The experimental stand, top view: 1—Li-ion battery charger; 2—relay; 3—INA219 module; 4—Li-ion battery 2; 5—Step-up converter MT3608; 6—Li-ion battery 1; 7—NodeMCU-32S module.
For charging batteries, the NodeMCU-32S module (Figure 2(7)) commands switching the position of the relay (Figure 2(2)) on the charging position of the Li-ion battery. The Li-ion battery is charged from the power source (Figure 2(1)).
After the Li-ion battery is charged, the relay is commanded to switch to the discharge position, during which the discharge voltage and current are monitored. We used a BLDC motor for this experimental stand, A2208 (Figure 3(8)), whose speeds are controlled by the NodeMCU-32S module via the ESC (Figure 3(9)). Since the supply voltage of the ESC is at least 7.4 V and the discharged voltage is a maximum of 3.7 V, to obtain the supply voltage, we used a step-up converter MT3608 (Figure 2(5)).
Figure 3.
Experimental stand, front view: 8—BLDC A2208 motor; 9—ESC; 10—Raspberry Pi 4.
The NodeMCU-32S monitors the discharge voltage and the current that closes through the motor via the INA219 module (Figure 2(3)). The variation in voltage, current, and capacity is transmitted by the NodeMCU-32S module further to the Raspberry Pi 4 (Figure 3(10)) for storing them. This study monitored the voltage and current for two Li-ion batteries over 1200 discharge cycles. During each cycle through integration, the discharged capacity was calculated in real time.
The speed of rotation of the engine was controlled to be constant. For this study, it was considered that one cycle consists of charging batteries at 3.7 V and discharging them up to 3.1 V.
4. Experimental Setup
This section presents the data obtained from monitoring Li-ion batteries, which were used to train machine learning models. Charging and discharging the batteries was performed at a constant temperature of 21 °C. After acquiring data from the sensors during the 1200 discharge cycles for the two batteries, we can represent the following variation graphs.
The voltage variation concerning the time, from 0:100:1200 discharge cycle, is visualized in Figure 4.
Figure 4.
Voltage variation in relation to time on the discharge cycles analyzed. (a) Li-ion battery 1, (b) Li-ion battery 2.
The voltage variation concerning the discharged capacity, for 0:100:1200 discharge cycles, is visualized in Figure 5.
Figure 5.
Voltage variation in relation to the discharged capacity on the discharge cycles analyzed. (a) Li-ion battery 1, (b) Li-ion battery 2.
Figure 4 and Figure 5 show that the process of battery degradation during the 1200 discharge cycles is not linear. The stored capacity of the battery decreases with the increase in the number of operating cycles.
The change in discharge capacity for the discharge cycles is shown in Figure 6.
Figure 6.
Change in discharge capacity to discharge cycles. (a) Li-ion battery 1, (b) Li-ion battery 2.
Figure 6 shows that with the increase in the number of discharge load cycles, the capacity decreases. The capacity decreases during the cycles of operation due to the aging process. After about 800 cycles of charging discharge, the capacity of Li-ion batteries drops by about half.
The variation of the current intensity concerning the time, for 0:100:1200 discharge cycles, is visualized in Figure 7.
Figure 7.
Change in current intensity concerning time. (a) Li-ion battery 1, (b) Li-ion battery 2.
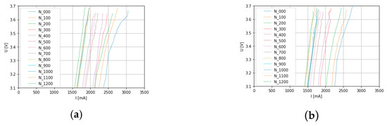
The variation of the voltage concerning current intensity on each discharge cycle, for 0:100:1200 discharge cycles, is shown in Figure 8.
Figure 8.
The variation of the voltage concerning current intensity. (a) Li-ion battery 1, (b) Li-ion battery 2.
From Figure 8, we observe that the intensity of the current decreases once the voltage decreases and with the decrease in the battery’s remaining capacity.
5. Results
The proposed method was implemented using Python 3.6 with TensorFlow and Pandas packages. Experimental results were obtained using a PC with an i7-6500U CPU @ 2.50GHz processor and 12.0 GB of RAM.
This study compared the performance of three machine learning algorithms, SVMR, MLR, and RF, to predict the number of battery discharge cycles to extract the remaining RUL cycles. The hyperparameter values of the machine learning algorithms used are presented in Table 2.
Table 2.
The hyperparameter values of the machine learning algorithms.
The performance of the algorithms used to estimate the number of used life cycles of Li-ion batteries from UAVs was analyzed through the MAE, MSE, RMSE and R2 score indicators, and the results are presented in Table 3. K-Fold cross-validation with n_splits = 20 and n_repeats = 20 was used to evaluate the performance of each algorithm.
Table 3.
Performance of the models used to predict the used life cycles of Li-Ion batteries.
Features extracted from data that capture the degradation of two Li-ion batteries over 1200 operating cycles were used to train the models. Thus, during each discharge cycle, the discharge voltage and current were monitored, and the discharged capacity was extracted up to the moment j of the discharge.
When evaluating how well a model fits a dataset, it is useful to calculate the MAE, MSE, RMSE, and R2 score.
MAE and MSE report the average difference between predicted and actual values, while RMSE reports the same information but in the same unit as the objective variable. When it comes to evaluating the accuracy of a regression model, the parameters MAE, MSE, and RMSE are more useful to consider. A lower value of MAE, MSE, and RMSE implies a higher regression model accuracy.
The R2 score tells us how well the predictor variables can explain the variation in the response variable. From Table 3, the values for R2 score tell us that the predictor variables explain 99% (SVMR, RF) and 93% (MLR) of the variation in the response variable.
By analyzing the results obtained for MAE, MSE, RMSE, and R2 score indicators, as presented in Table 3, it is found that when the SVMR and RF algorithms are used to estimate the used life cycles of Li-ion batteries, the values obtained are closest to the actual values. Hence, the error has a lower value.
Regarding the estimation of the RUL of Li-ion batteries from UAVs, the number of specialized works is small. Most authors, like [46,47], focus on estimating the State of Health (SOH) and State of Charge (SOC) of Li-ion batteries from UAVs.
This study shows that the proposed method has more realistic or similar predictions to other existing methods such as [21,48,49,50].
Table 4 shows the performances of the machine learning algorithms used in the specialized literature in the prediction of the RUL of Li-ion batteries.
Table 4.
The performance of the machine learning algorithms used in the specialized literature in the prediction of the RUL of Li-ion batteries.
6. Conclusions
In this paper, a new approach to predicting the RUL of Li-ion batteries from UAVs using a data-driven method was presented. The proposed method uses machine learning to estimate the RUL.
In order to maximize the performance of the proposed method, the performance of three machine learning models, SVMR, MLR, and RF, which can be used to estimate the RUL of batteries, was analyzed through four performance indicators, MAE, MSE, RMSE, and R2 score. To train the machine learning models, the data from the experimental stand developed for studying the degradation process of Li-ion batteries were used.
After analyzing the experimental results, it was found that the SVMR and RF algorithms have the best performances in predicting the RUL of Li-ion batteries from UAV.
Machine learning methods are gaining increased attention to RUL prediction problems and health estimation, as they have reliable results in modeling nonlinear dynamical systems.
This article also presents the primary papers that use model-driven methods and data-driven methods that can be used to estimate the RUL of Li-ion batteries. The main disadvantage of model-based methods in estimating the RUL of accumulators would be given by the fact that the models made cannot be used on other accumulators with different structures. Unlike model-based methods, the use of data-based methods has generalizability in estimating the RUL of accumulators. The model’s generalization capacity will increase if trained with training data containing the discharge features of a more significant number of batteries.
The RUL prediction of Li-ion batteries is an essential means of ensuring the regular operation and safe use of the equipment they power.
The study shows that the proposed method has more realistic or similar predictions to other methods in the specialized literature. Analyzing the value of R2 score, it can also be found that the SVMR and RF models have a fit on the training dataset of 0.99%.
The methods can be implemented within a PdM system of a UAV to predict the RUL of Li-ion batteries. Likewise, the RUL prediction of Li-ion batteries can be used for other devices powered by Li-ion batteries, such as electric cars, electric scooters, etc.
7. Future Work
To increase the accuracy of the developed data-based method, research in future studies will focus on the influence of temperature on the degradation process of Li-ion batteries. Thus, the developed method will also consider the temperature of the battery. The study will hold data from a larger number of accumulators and the models will be created using deep learning algorithms.
Author Contributions
Conceptualization, D.A.A. and G.C.; Data curation, D.A.A. and V.G.G.; Formal analysis, D.A.A., V.G.G., G.C. and I.V.B.; Funding acquisition, D.A.A.; Investigation, D.A.A. and V.G.G.; Methodology, D.A.A. and V.G.G.; Project administration, D.A.A.; Resources, D.A.A.; Software, D.A.A. and V.G.G.; Visualization, D.A.A., V.G.G., G.C. and I.V.B.; Validation, D.A.A. and G.C.; Writing—original draft, D.A.A.; Writing—review and editing, V.G.G. and G.C. All authors have read and agreed to the published version of the manuscript.
Funding
This research of Andrioaia Dragos-Alexandru was supported by the project “PROINVENT”, Contract no. 62487/03.06.2022—POCU/993/6/13—Code 153299, financed by The Human Capital Operational Programme 2014–2020 (POCU) Romania. The Vasile Alecsandri University of Bacau funded the APC.
Data Availability Statement
Data are contained within the article.
Conflicts of Interest
The authors declare no conflicts of interest.
Correction Statement
This article has been republished with a minor correction to the existing affiliation information. This change does not affect the scientific content of the article.
References
- Xu, T.; Peng, Z.; Wu, L. A novel data-driven method for predicting the circulating capacity of lithium-ion battery under random variable current. Energy 2021, 218, 119530. [Google Scholar] [CrossRef]
- Wei, J.; Chen, C. A multi-timescale framework for state monitoring and lifetime prognosis of lithium-ion batteries. Energy 2021, 229, 120684. [Google Scholar] [CrossRef]
- Sun, Z.; Wang, N.; Lin, H.; Zhou, X. Persistent coverage of UAVs based on deep reinforcement learning with wonderful life utility. Neurocomputing 2023, 521, 137–145. [Google Scholar] [CrossRef]
- Cheng, Z.; Liwang, M.; Chen, N.; Huang, L.; Du, X.; Guizani, M. Deep reinforcement learning-based joint task and energy offloading in UAV-aided 6G intelligent edge networks. Comput. Commun. 2022, 192, 234–244. [Google Scholar] [CrossRef]
- Xue, J.; Zhang, H.; Hu, Q. A low-cost communication security scheme of UAV based on multi-round reverse auction model. Pervasive Mob. Comput. 2022, 85, 101652. [Google Scholar] [CrossRef]
- Astaneh, M.; Dufo-López, R.; Roshandel, R.; Bernal-Agustin, J.L. A novel lifetime prediction method for lithium-ion batteries in the case of stand-alone renewable energy systems. Int. J. Electr. Power Energy Syst. 2018, 103, 115–126. [Google Scholar] [CrossRef]
- Lam, D.H.C.; Lim, Y.S.; Wong, J.; Allahham, A.; Patsios, C. A novel characteristic-based degradation model of Li-ion batteries for maximum financial benefits of energy storage system during peak demand reductions. Appl. Energy 2023, 343, 121206. [Google Scholar] [CrossRef]
- Hosen, M.S.; Jaguemont, J.; Van Mierlo, J.; Berecibar, M. Battery lifetime prediction and performance assessment of different modeling approaches. iScience 2021, 24, 102060. [Google Scholar] [CrossRef] [PubMed]
- Li, Y.; Liu, K.; Foley, A.M.; Zülke, A.; Berecibar, M.; Nanini-Maury, E.; Van Mierlo, J.; Hoster, H.E. Data-driven health estimation and lifetime prediction of lithium-ion batteries: A review. Renew. Sustain. Energy Rev. 2019, 113, 109254. [Google Scholar] [CrossRef]
- Fei, Z.; Yang, F.; Tsui, K.-L.; Li, L.; Zhang, Z. Early prediction of battery lifetime via a machine learning based framework. Energy 2021, 225, 120205. [Google Scholar] [CrossRef]
- Meng, Y.; Li, J.; Gu, S.; Fu, Y.; Wang, Z.; Liu, J.; Gong, X. Li-ion complex enhances interfacial lowest unoccupied molecular orbital for stable solid electrolyte interface of natural graphite anode. Electrochim. Acta 2023, 449, 142262. [Google Scholar] [CrossRef]
- Li, H.; Liu, W.; Yang, X.; Xiao, J.; Li, Y.; Sun, L.; Ren, X.; Zhang, P.; Mi, H. Fluoroethylene carbonate-Li-ion enabling composite solid-state electrolyte and lithium metal interface self-healing for dendrite-free lithium deposition. Chem. Eng. J. 2021, 408, 127254. [Google Scholar] [CrossRef]
- Wlodarczak, P. Machine Learning and Its Applications; CRC Press: Boca Raton, FL, USA, 2020. [Google Scholar]
- Cheng, Y.; Lu, C.; Li, T.; Tao, L. Residual lifetime prediction for lithium-ion battery based on functional principal component analysis and Bayesian approach. Energy 2015, 90, 1983–1993. [Google Scholar] [CrossRef]
- Narayanan, S.S.S.; Thangavel, S. A novel static model prediction method based on machine learning for Li-ion batteries operated at different temperatures. J. Energy Storage 2023, 61, 106789. [Google Scholar] [CrossRef]
- Jung, S.J.; Hur, J.W. Deep Learning Approaches to RUL Prediction of Lithium-ion Batteries. Korean Soc. Manuf. Process Eng. 2020, 19, 21–27. [Google Scholar] [CrossRef]
- Zraibi, B.; Mansouri, M.; Okar, C. Comparing Single and Hybrid methods of Deep Learning for Remaining Useful Life Prediction of Lithium-ion Batteries. E3S Web Conf. 2021, 297, 01043. [Google Scholar] [CrossRef]
- Ben Ali, J.; Azizi, C.; Saidi, L.; Bechhoefer, E.; Benbouzid, M. Reliable State of Health Condition Monitoring of Li-ion Batteries based on Incremental Support Vector Regression with Parameters Optimization. Proc. Inst. Mech. Eng. Part I J. Syst. Control Eng. 2023, 237, 717–727. [Google Scholar] [CrossRef]
- Wu, J.; Kong, L.; Cheng, Z.; Yang, Y.; Zuo, H. RUL Prediction for Lithium Batteries Using a Novel Ensemble Learning Method. Energy Rep. 2022, 8, 313–326. [Google Scholar] [CrossRef]
- Chen, D.; Zheng, X.; Chen, C.; Zhao, W. Remaining useful life prediction of the lithium-ion battery based on CNN-LSTM fusion model and grey relational analysis. Electron. Res. Arch. 2023, 31, 633–655. [Google Scholar] [CrossRef]
- Yang, Y. A machine-learning prediction method of lithium-ion battery life based on charge process for different applications. Appl. Energy 2021, 292, 116897. [Google Scholar] [CrossRef]
- Zhu, Z.; Yang, Q.; Liu, X.; Gao, D. Attention-based CNN-BiLSTM for SOH and RUL estimation of lithium-ion batteries. J. Algorithms Comput. Technol. 2022, 16, 17483026221130598. [Google Scholar] [CrossRef]
- Wei, Y.; Wu, D. State of health and remaining useful life prediction of lithium-ion batteries with conditional graph convolutional network. Expert Syst. Appl. 2024, 238, 122041. [Google Scholar] [CrossRef]
- Lee, J.; Sun, H.; Liu, Y.; Li, X. A machine learning framework for remaining useful lifetime prediction of li-ion batteries using diverse neural networks. Energy AI 2024, 15, 100319. [Google Scholar] [CrossRef]
- Li, C.; Han, X.; Zhang, Q.; Li, M.; Rao, Z.; Liao, W.; Liu, X.; Liu, X.; Li, G. State-of-health and remaining-useful-life estimations of lithium-ion battery based on temporal convolutional network-long short-term memory. J. Energy Storage 2023, 74, 109498. [Google Scholar] [CrossRef]
- Li, S.; Fang, H.; Shi, B. Remaining useful life estimation of Lithium-ion battery based on interacting multiple model particle filter and support vector regression. Reliab. Eng. Syst. Saf. 2021, 210, 107542. [Google Scholar] [CrossRef]
- Zhang, G.; Wang, J.; Chang, S. Predicting running-in wear volume with a SVMR-based model under a small amount of training samples. Tribol. Int. 2018, 128, 349–355. [Google Scholar] [CrossRef]
- Balogun, A.-L.; Rezaie, F.; Pham, Q.B.; Gigović, L.; Drobnjak, S.; Aina, Y.A.; Panahi, M.; Yekeen, S.T.; Lee, S. Spatial prediction of landslide susceptibility in western Serbia using hybrid support vector regression (SVR) with GWO, BAT and COA algorithms. Geosci. Front. 2021, 12, 101104. [Google Scholar] [CrossRef]
- Liu, M.; Luo, K.; Zhang, J.; Chen, S. A stock selection algorithm hybridizing grey wolf optimizer and support vector regression. Expert Syst. Appl. 2021, 179, 115078. [Google Scholar] [CrossRef]
- Çerçi, K.N.; Hürdoğan, E. Comparative study of multiple linear regression (MLR) and artificial neural network (ANN) techniques to model a solid desiccant wheel. Int. Commun. Heat Mass Transf. 2020, 116, 104713. [Google Scholar] [CrossRef]
- Souyei, B.; Meneceur, S.; Khechekhouche, A. QSPR study on thermal energy of aliphatic Aldehydes using molecular descriptors and MLR technique. Mater. Today Proc. 2022, 51, 2157–2162. [Google Scholar] [CrossRef]
- Egbueri, J.C.; Igwe, O.; Omeka, M.E.; Agbasi, J.C. Development of MLR and variedly optimized ANN models for forecasting the detachability and liquefaction potential index of erodible soils. Geosystems Geoenviron. 2023, 2, 100104. [Google Scholar] [CrossRef]
- Fan, G.-F.; Zhang, L.-Z.; Yu, M.; Hong, W.-C.; Dong, S.-Q. Applications of random forest in multivariable response surface for short-term load forecasting. Int. J. Electr. Power Energy Syst. 2022, 139, 108073. [Google Scholar] [CrossRef]
- Prasojo, R.A.; Putra, M.A.A.; Ekojono; Apriyani, M.E.; Rahmanto, A.N.; Ghoneim, S.S.M.; Mahmoud, K.; Lehtonen, M.; Darwish, M.M.F. Precise transformer fault diagnosis via random forest model enhanced by synthetic minority over-sampling technique. Electr. Power Syst. Res. 2023, 220, 109361. [Google Scholar] [CrossRef]
- Huang, M.; Wang, Q.; Jing, R.; Lou, W.; Hong, Y.; Wang, L. Tropical cyclone full track simulation in the western North Pacific based on random forests. J. Wind Eng. Ind. Aerodyn. 2022, 228, 105119. [Google Scholar] [CrossRef]
- Fang, Z.; Yu, X.; Zeng, Q. Random forest algorithm-based accurate prediction of chemical toxicity to Tetrahymena pyriformis. Toxicology 2022, 480, 153325. [Google Scholar] [CrossRef] [PubMed]
- Li, J.; Li, C.; Zhang, S. Application of Six Metaheuristic Optimization Algorithms and Random Forest in the uniaxial compressive strength of rock prediction. Appl. Soft Comput. 2022, 131, 109729. [Google Scholar] [CrossRef]
- Saha, S.; Bera, B.; Shit, P.K.; Bhattacharjee, S.; Sengupta, N. Prediction of forest fire susceptibility applying machine and deep learning algorithms for conservation priorities of forest resources. Remote Sens. Appl. Soc. Environ. 2023, 29, 100917. [Google Scholar] [CrossRef]
- Hua, L.; Zhang, C.; Sun, W.; Li, Y.; Xiong, J.; Nazir, M.S. An evolutionary deep learning soft sensor model based on random forest feature selection technique for penicillin fermentation process. ISA Trans. 2022, 136, 139–151. [Google Scholar] [CrossRef]
- Yuzer, E.O.; Bozkurt, A. Deep learning model for regional solar radiation estimation using satellite images. Ain Shams Eng. J. 2022, 14, 102057. [Google Scholar] [CrossRef]
- Khan, Z.A.; Hussain, T.; Baik, S.W. Boosting energy harvesting via deep learning-based renewable power generation prediction. J. King Saud Univ. Sci. 2022, 34, 101815. [Google Scholar] [CrossRef]
- Lee, Y.; Ha, B.; Hwangbo, S. Generative model-based hybrid forecasting model for renewable electricity supply using long short-term memory networks: A case study of South Korea’s energy transition policy. Renew. Energy 2022, 200, 69–87. [Google Scholar] [CrossRef]
- Karunasingha, D.S.K. Root mean square error or mean absolute error? Use their ratio as well. Inf. Sci. 2022, 585, 609–629. [Google Scholar] [CrossRef]
- Wang, N.; Guo, Y.; Wei, X.; Zhou, M.; Wang, H.; Bai, Y. UAV-based remote sensing using visible and multispectral indices for the estimation of vegetation cover in an oasis of a desert. Ecol. Indic. 2022, 141, 109155. [Google Scholar] [CrossRef]
- Raja, M.N.A.; Abdoun, T.; El-Sekelly, W. Smart prediction of liquefaction-induced lateral spreading. J. Rock Mech. Geotech. Eng. 2023, in press. [Google Scholar] [CrossRef]
- Dou, Z.; Li, J.; Yan, H.; Zhang, C.; Liu, F. Real-Time Online Estimation Technology and Implementation of State of Charge State of Uncrewed Aerial Vehicle Lithium Battery. Energies 2024, 17, 803. [Google Scholar] [CrossRef]
- Wang, X.; Guo, H.; Wang, J.; Wang, L. Predicting the Health Status of an Unmanned Aerial Vehicles Data-Link System Based on a Bayesian Network. Sensors 2018, 18, 3916. [Google Scholar] [CrossRef]
- Ezzouhri, A.; Charouh, Z.; Ghogho, M.; Guennoun, Z. A Data-Driven-Based Framework for Battery Remaining Useful Life Prediction. IEEE Access 2023, 11, 76142–76155. [Google Scholar] [CrossRef]
- Severson, K.A.; Attia, P.M.; Jin, N.; Perkins, N.; Jiang, B.; Yang, Z.; Chen, M.H.; Aykol, M.; Herring, P.K.; Fraggedakis, D.; et al. Data-driven prediction of battery cycle life before capacity degradation. Nat. Energy 2019, 4, 383–391. [Google Scholar] [CrossRef]
- Jiang, Y.; Song, W. Predicting the Cycle Life of Lithium-Ion Batteries Using Data-Driven Machine Learning Based on Discharge Voltage Curves. Batteries 2023, 9, 413. [Google Scholar] [CrossRef]
- Mansouri, S.S.; Karvelis, P.; Georgoulas, G.; Nikolakopoulos, G. Remaining Useful Battery Life Prediction for UAVs based on Machine Learning. IFAC-Pap. 2017, 50, 4727–4732. [Google Scholar] [CrossRef]
- Eleftheroglou, N.; Zarouchas, D.; Loutas, T.; Mansouri, S.S.; Georgoulas, G.; Karvelis, P.; Benedictus, R. Real time Diagnostics and Prognostics of UAV Lithium-Polymer Batteries. Proc. Annu. Conf. Progn. Health Manag. Soc. 2019, 11, 785. [Google Scholar] [CrossRef]
Disclaimer/Publisher’s Note: The statements, opinions and data contained in all publications are solely those of the individual author(s) and contributor(s) and not of MDPI and/or the editor(s). MDPI and/or the editor(s) disclaim responsibility for any injury to people or property resulting from any ideas, methods, instructions or products referred to in the content. |
© 2024 by the authors. Licensee MDPI, Basel, Switzerland. This article is an open access article distributed under the terms and conditions of the Creative Commons Attribution (CC BY) license (https://creativecommons.org/licenses/by/4.0/).







