Efficacy and Safety of Oral Progestogens (Megestrol Acetate and Medroxyprogesterone Acetate) in Heavily Pretreated Oestrogen Receptor-Positive Metastatic Breast Cancer: A 10-Year Multi-Site Study
Simple Summary
Abstract
1. Introduction
2. Materials and Methods
2.1. Study Design and Setting
2.2. Eligibility Criteria
2.3. Data Collection
2.4. Treatment and Dosage
2.5. Outcomes
2.6. Statistical Analysis
3. Results
3.1. Patient Characteristics and Treatment Exposure
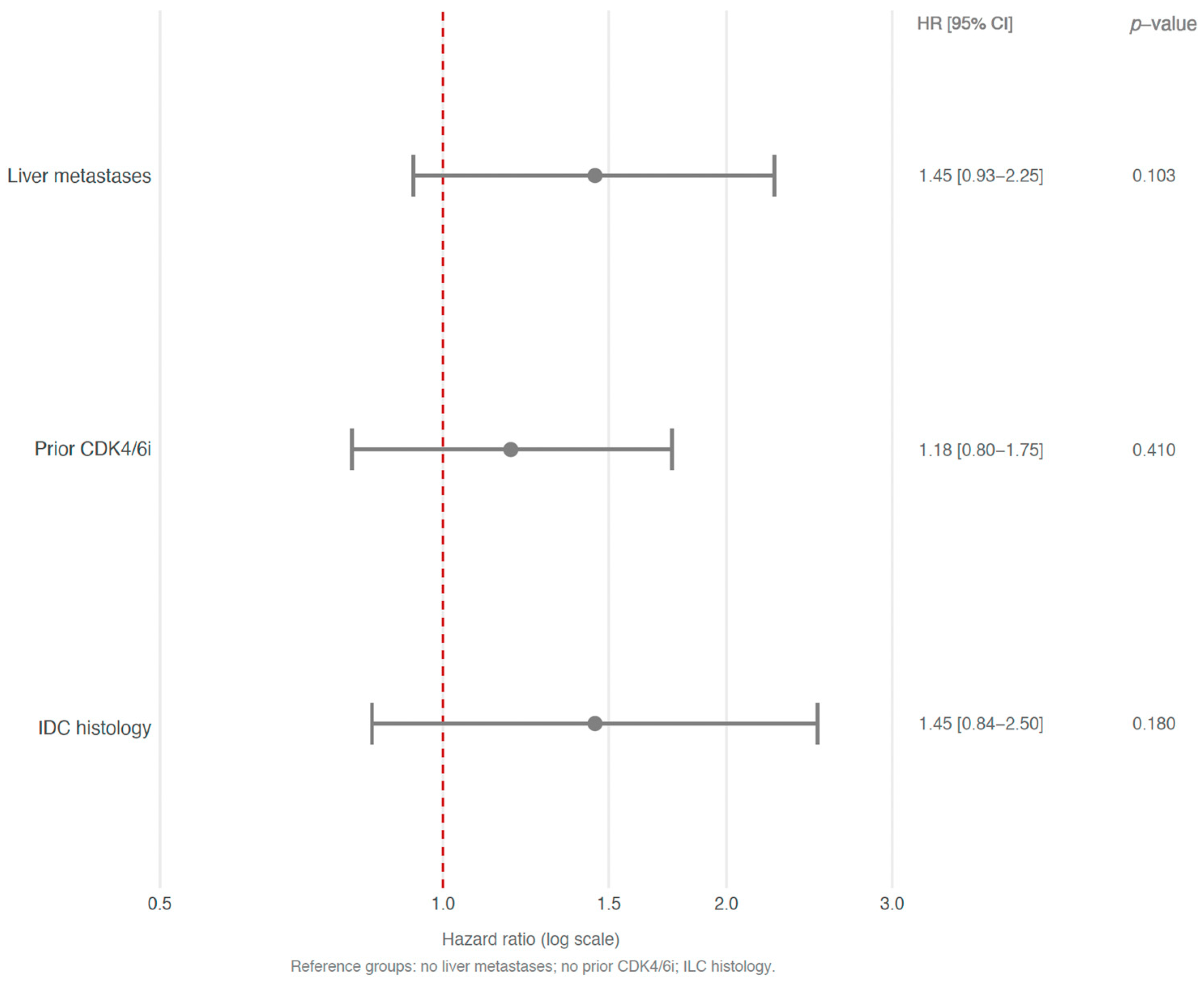
3.2. Survival Results
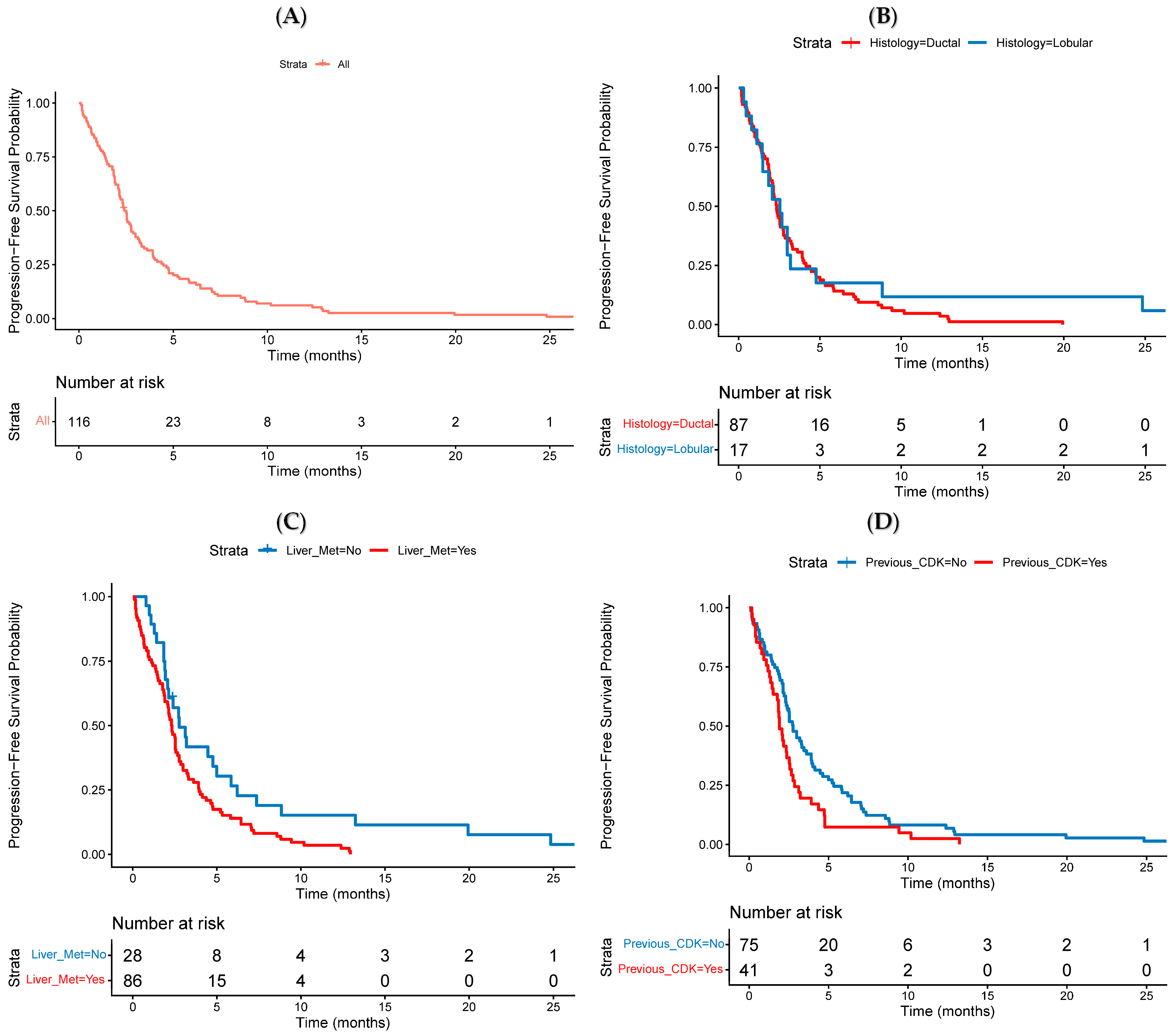
3.2.1. Progression-Free Survival
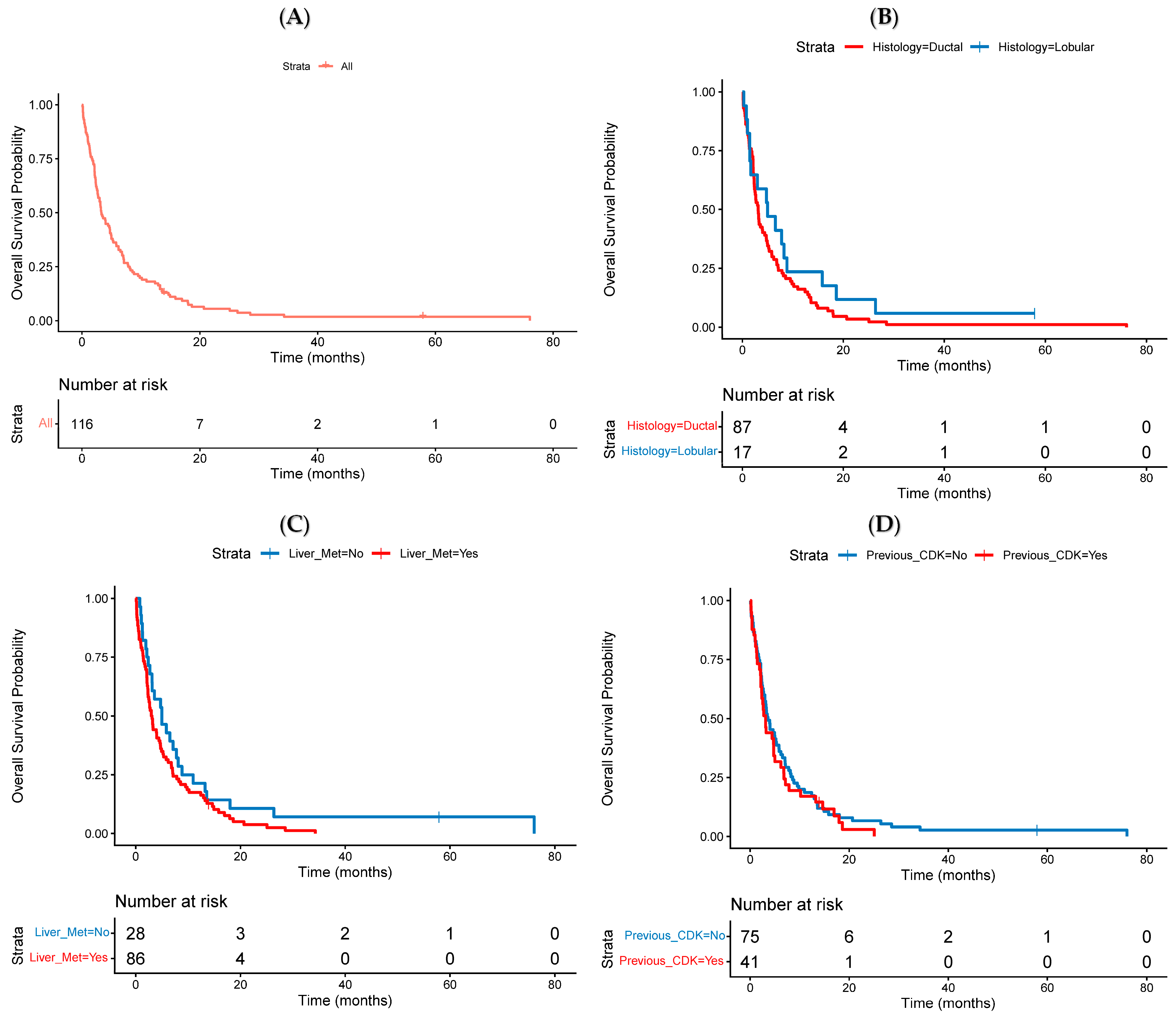
3.2.2. Overall Survival
3.3. Patients with Prolonged Disease Control
3.4. Toxicity
4. Discussion
5. Conclusions
Author Contributions
Funding
Institutional Review Board Statement
Informed Consent Statement
Data Availability Statement
Conflicts of Interest
Abbreviations
| MA | Megestrol Acetate |
| MPA | Medroxyprogesterone Acetate |
| SERD | Selective Oestrogen Receptor Degrader |
| ER-positive | Oestrogen Receptor-Positive |
| PFS | Progression-Free Survival |
| OS | Overall Survival |
| CI | Confidence Interval |
| HR | Hazard Ratio |
| AI | Aromatase Inhibitor |
| ECOG | Eastern Cooperative Oncology Group |
| CTCAE | Common Terminology Criteria for Adverse Events version 5.0 |
| IDC | Invasive Ductal Carcinoma |
| ILC | Invasive Lobular Carcinoma |
| CDK4/6i | CDK4/6 inhibitor |
References
- Robertson, J.F.R.; Bondarenko, I.M.; Trishkina, E.; Dvorkin, M.; Panasci, L.; Manikhas, A.; Shparyk, Y.; Cardona-Huerta, S.; Cheung, K.-L.; Philco-Salas, M.J.; et al. Fulvestrant 500 mg versus anastrozole 1 mg for hormone receptor-positive advanced breast cancer (FALCON): An international, randomised, double-blind, phase 3 trial. Lancet 2016, 388, 2997–3005. [Google Scholar] [CrossRef]
- Bidard, F.-C.; Kaklamani, V.G.; Neven, P.; Streich, G.; Montero, A.J.; Forget, F.; Mouret-Reynier, M.-A.; Sohn, J.H.; Taylor, D.; Harnden, K.K.; et al. Elacestrant (oral selective estrogen receptor degrader) Versus Standard Endocrine Therapy for Estrogen Receptor–Positive, Human Epidermal Growth Factor Receptor 2–Negative Advanced Breast Cancer: Results From the Randomized Phase III EMERALD Trial. J. Clin. Oncol. 2022, 40, 3246–3256. [Google Scholar] [CrossRef]
- André, F.; Ciruelos, E.; Rubovszky, G.; Campone, M.; Loibl, S.; Rugo, H.S.; Iwata, H.; Conte, P.; Mayer, I.A.; Kaufman, B.; et al. Alpelisib for PIK3CA-Mutated, Hormone Receptor–Positive Advanced Breast Cancer. N. Engl. J. Med. 2019, 380, 1929–1940. [Google Scholar] [CrossRef] [PubMed]
- Turner, N.C.; Oliveira, M.; Howell, S.J.; Dalenc, F.; Cortes, J.; Gomez Moreno, H.L.; Hu, X.; Jhaveri, K.; Krivorotko, P.; Loibl, S.; et al. Capivasertib in Hormone Receptor-Positive Advanced Breast Cancer. N. Engl. J. Med. 2023, 388, 2058–2070. [Google Scholar] [CrossRef] [PubMed]
- Rugo, H.S.; Bardia, A.; Marmé, F.; Cortés, J.; Schmid, P.; Loirat, D.; Trédan, O.; Ciruelos, E.; Dalenc, F.; Gómez Pardo, P.; et al. Overall survival with sacituzumab govitecan in hormone receptor-positive and human epidermal growth factor receptor 2-negative metastatic breast cancer (TROPiCS-02): A randomised, open-label, multicentre, phase 3 trial. Lancet 2023, 402, 1423–1433. [Google Scholar] [CrossRef] [PubMed]
- Childs, S.; Semba, R.; Haggstrom, L.; Lim, E. Integrating Molecular Phenotyping into Treatment Algorithms for Advanced Oestrogen Receptor-Positive Breast Cancer. Cancers 2025, 17, 3174. [Google Scholar] [CrossRef]
- Fanucci, K.; Giordano, A.; Erick, T.; Tolaney, S.M.; Sammons, S. Practical treatment strategies and novel therapies in the phosphoinositide 3-kinase (PI3K)/protein kinase B (AKT)/mammalian target of rapamycin (mTOR) pathway in hormone receptor-positive/human epidermal growth factor receptor 2 (HER2)-negative (HR+/HER2−) advanced breast cancer. ESMO Open 2024, 9, 103997. [Google Scholar] [CrossRef]
- Browne, I.M.; Pascual, J.; Cutts, R.J.; Kingston, B.; Hrebien, S.; Kilburn, L.S.; Pearson, A.; Moretti, L.; Wardley, A.M.; Macpherson, I.R.; et al. The Prognostic and Predictive Impact of ctDNA Levels in Patients with Advanced Breast Cancer Enrolled on the plasmaMATCH Trial. Clin. Cancer Res. 2026, 32, 148–158. [Google Scholar] [CrossRef]
- O’Leary, B.; Hrebien, S.; Morden, J.P.; Beaney, M.; Fribbens, C.; Huang, X.; Liu, Y.; Bartlett, C.H.; Koehler, M.; Cristofanilli, M.; et al. Early circulating tumor DNA dynamics and clonal selection with palbociclib and fulvestrant for breast cancer. Nat. Commun. 2018, 9, 896. [Google Scholar] [CrossRef]
- Raheem, F.; Karikalan, S.A.; Batalini, F.; El Masry, A.; Mina, L. Metastatic ER+ Breast Cancer: Mechanisms of Resistance and Future Therapeutic Approaches. Int. J. Mol. Sci. 2023, 24, 16198. [Google Scholar] [CrossRef]
- Jeselsohn, R.; Buchwalter, G.; De Angelis, C.; Brown, M.; Schiff, R. ESR1 mutations—A mechanism for acquired endocrine resistance in breast cancer. Nat. Rev. Clin. Oncol. 2015, 12, 573–583. [Google Scholar] [CrossRef]
- Algethami, M.; Shoqafi, A.; Lashen, A.; Alqahtani, S.; Spicer, J.; Altayyar, A.; Tosun, Ç.; Jeyapalan, J.N.; Mongan, N.P.; James, V.; et al. Investigation of ribociclib, abemaciclib and palbociclib resistance in ER+ breast cancer cells reveal potential therapeutic opportunities. Sci. Rep. 2025, 15, 28579. [Google Scholar] [CrossRef] [PubMed]
- Kettner, N.M.; Bui, T.N.; Navarro-Yepes, J.; Ghotbaldini, S.; Quintela, B.; Luo, C.K.; Lam, N.; Rao, X.; Raghavendra, A.S.; Wang, Y.; et al. IL-6 predicts CDK4/6 inhibitor resistance, identifying STAT3 as a target in HR + /HER2-negative metastatic breast cancer. Npj Precis. Oncol. 2025, 9, 260. [Google Scholar] [CrossRef]
- Griffiths, J.I.; Chen, J.; Cosgrove, P.A.; O’Dea, A.; Sharma, P.; Ma, C.; Trivedi, M.; Kalinsky, K.; Wisinski, K.B.; O’Regan, R.; et al. Serial single-cell genomics reveals convergent subclonal evolution of resistance as patients with early-stage breast cancer progress on endocrine plus CDK4/6 therapy. Nat. Cancer 2021, 2, 658–671. [Google Scholar] [CrossRef]
- Blossey, H.C.; Wander, H.E.; Koebberling, J.; Nagel, G.A. Pharmacokinetic and pharmacodynamic basis for the treatment of metastatic breast cancer with high-dose medroxyprogesterone acetate. Cancer 1984, 54, 1208–1215. [Google Scholar] [CrossRef] [PubMed]
- Lundgren, S.; Kvinnsland, S.; Varhaug, J.E.; Utaaker, E. The influence of progestins on receptor levels in breast cancer metastasis. Anticancer Res. 1987, 7, 119–123. [Google Scholar]
- Braunsberg, H.; Coldham, N.G.; Leake, R.E.; Cowan, S.K.; Wong, W. Actions of a progestogen on human breast cancer cells: Mechanisms of growth stimulation and inhibition. Eur. J. Cancer Clin. Oncol. 1987, 23, 563–571. [Google Scholar] [CrossRef]
- Muss, H.B.; Wells, H.B.; Paschold, E.H.; Black, W.R.; Cooper, M.R.; Capizzi, R.L.; Christian, R.; Cruz, J.M.; Jackson, D.V.; Powell, B.L. Megestrol acetate versus tamoxifen in advanced breast cancer: 5-year analysis--a phase III trial of the Piedmont Oncology Association. J. Clin. Oncol. Off. J. Am. Soc. Clin. Oncol. 1988, 6, 1098–1106. [Google Scholar] [CrossRef]
- Gill, P.G.; Gebski, V.; Snyder, R.; Burns, I.; Levi, J.; Byrne, M.; Coates, A. Randomized comparison of the effects of tamoxifen, megestrol acetate, or tamoxifen plus megestrol acetate on treatment response and survival in patients with metastatic breast cancer. Ann. Oncol. 1993, 4, 741–744. [Google Scholar] [CrossRef]
- Mouridsen, H.; Gershanovich, M.; Sun, Y.; Pérez-Carrión, R.; Boni, C.; Monnier, A.; Apffelstaedt, J.; Smith, R.; Sleeboom, H.P.; Jänicke, F.; et al. Superior Efficacy of Letrozole Versus Tamoxifen as First-Line Therapy for Postmenopausal Women With Advanced Breast Cancer: Results of a Phase III Study of the International Letrozole Breast Cancer Group. J. Clin. Oncol. 2001, 19, 2596–2606. [Google Scholar] [CrossRef] [PubMed]
- Nabholtz, J.M.; Buzdar, A.; Pollak, M.; Harwin, W.; Burton, G.; Mangalik, A.; Steinberg, M.; Webster, A.; Von Euler, M. Anastrozole Is Superior to Tamoxifen as First-Line Therapy for Advanced Breast Cancer in Postmenopausal Women: Results of a North American Multicenter Randomized Trial. J. Clin. Oncol. 2000, 18, 3758–3767. [Google Scholar] [CrossRef] [PubMed]
- Finn, R.S.; Martin, M.; Rugo, H.S.; Jones, S.; Im, S.-A.; Gelmon, K.; Harbeck, N.; Lipatov, O.N.; Walshe, J.M.; Moulder, S.; et al. Palbociclib and Letrozole in Advanced Breast Cancer. N. Engl. J. Med. 2016, 375, 1925–1936. [Google Scholar] [CrossRef]
- Hortobagyi, G.N.; Stemmer, S.M.; Burris, H.A.; Yap, Y.-S.; Sonke, G.S.; Hart, L.; Campone, M.; Petrakova, K.; Winer, E.P.; Janni, W.; et al. Overall Survival with Ribociclib plus Letrozole in Advanced Breast Cancer. N. Engl. J. Med. 2022, 386, 942–950. [Google Scholar] [CrossRef]
- Johnston, S.; O’Shaughnessy, J.; Martin, M.; Huober, J.; Toi, M.; Sohn, J.; André, V.A.M.; Martin, H.R.; Hardebeck, M.C.; Goetz, M.P. Abemaciclib as initial therapy for advanced breast cancer: MONARCH 3 updated results in prognostic subgroups. Npj Breast Cancer 2021, 7, 80. [Google Scholar] [CrossRef] [PubMed]
- Bines, J.; Dienstmann, R.; Obadia, R.M.; Branco, L.G.P.; Quintella, D.C.; Castro, T.M.; Camacho, P.G.; Soares, F.A.; Costa, M.E.F. Activity of megestrol acetate in postmenopausal women with advanced breast cancer after nonsteroidal aromatase inhibitor failure: A phase II trial. Ann. Oncol. 2014, 25, 831–836. [Google Scholar] [CrossRef]
- Reinert, T.; Paula, B.d.; Shafaee, M.N.; Souza, P.H.; Ellis, M.J.; Bines, J. Endocrine therapy for ER-positive/HER2-negative metastatic breast cancer. Chin. Clin. Oncol. 2018, 7, 25. [Google Scholar] [CrossRef]
- Roeland, E.J.; Bohlke, K.; Baracos, V.E.; Bruera, E.; Del Fabbro, E.; Dixon, S.; Fallon, M.; Herrstedt, J.; Lau, H.; Platek, M.; et al. Management of Cancer Cachexia: ASCO Guideline. J. Clin. Oncol. 2020, 38, 2438–2453. [Google Scholar] [CrossRef]
- Blum, J.L.; Jones, S.E.; Buzdar, A.U.; LoRusso, P.M.; Kuter, I.; Vogel, C.; Osterwalder, B.; Burger, H.U.; Brown, C.S.; Griffin, T. Multicenter phase II study of capecitabine in paclitaxel-refractory metastatic breast cancer. J. Clin. Oncol. 1999, 17, 485–493. [Google Scholar] [CrossRef]
- Fumoleau, P.; Delgado, F.M.; Delozier, T.; Monnier, A.; Gil Delgado, M.A.; Kerbrat, P.; Garcia-Giralt, E.; Keiling, R.; Namer, M.; Closon, M.T.; et al. Phase II trial of weekly intravenous vinorelbine in first-line advanced breast cancer chemotherapy. J. Clin. Oncol. 1993, 11, 1245–1252. [Google Scholar] [CrossRef] [PubMed]
- Wilcken, N.; Hornbuckle, J.; Ghersi, D. Chemotherapy alone versus endocrine therapy alone for metastatic breast cancer. Cochrane Database Syst. Rev. 2003, 2003, CD002747. [Google Scholar] [CrossRef]




| Variable | N (%) or Median (Range) |
|---|---|
| Median age, years | 69 (32–94) |
| Median ECOG Performance Status | 2 (0–4) |
| Median prior lines of treatment | 5 (1–11) |
| Median prior lines of endocrine therapy | 3 (0–5) |
| Median prior lines of chemotherapy | 3 (0–7) |
| Prior CDK4/6i exposure | |
| Yes | 41 (35%) |
| No | 75 (65%) |
| Histology | |
| IDC | 87 (75%) |
| ILC | 17 (15%) |
| Other | 12 (10%) |
| Allred Score | |
| 0–2 | 4 (4%) |
| 3–5 | 3 (3%) |
| 6–8 | 85 (73%) |
| Unknown | 24 (20%) |
| Liver metastases | |
| Yes | 86 (74%) |
| No | 28 (24%) |
| Unknown | 2 (2%) |
| Median duration of progestogen therapy, months | 2.4 (0.1–26.4) |
| Variable | Prolonged Disease Control | Rest of Cohort |
|---|---|---|
| Median age, years (range) | 78 (65–88) | 69 (32–94) |
| Median ECOG Performance Status (range) | 2.5 (1–3) | 2 (0–4) |
| Median prior lines of treatment (range) | 4 (1–8) | 5 (1–11) |
| Median prior lines of endocrine therapy (range) | 3 (1–4) | 3 (0–5) |
| Median prior lines of chemotherapy (range) | 2 (0–5) | 3 (0–7) |
| Prior CDK4/6i exposure | 1/7 (14%) | 41/112 (37%) |
| Histology | ||
| IDC | 4/7 (57%) | 83/109 (76%) |
| ILC | 2/7 (29%) | 16/109 (15%) |
| Other | 1/7 (14%) | 10/109 (9%) |
| Liver metastases | 3/7 (43%) | 83/109 (76%) |
| Reported Side-Effect | N (%) |
|---|---|
| Thromboembolic Events | 10 (9) |
| Peripheral Oedema | 13 (11) |
| Fatigue | 9 (8) |
| Gastrointestinal Effects | 9 (8) |
| Neurological (Headache/Dizziness) | 8 (7) |
| Musculoskeletal Pain | 5 (4) |
| Mood Changes | 4 (3) |
| Hot Flushes | 2 (2) |
| Menorrhagia | 1 (1) |
Disclaimer/Publisher’s Note: The statements, opinions and data contained in all publications are solely those of the individual author(s) and contributor(s) and not of MDPI and/or the editor(s). MDPI and/or the editor(s) disclaim responsibility for any injury to people or property resulting from any ideas, methods, instructions or products referred to in the content. |
© 2026 by the authors. Licensee MDPI, Basel, Switzerland. This article is an open access article distributed under the terms and conditions of the Creative Commons Attribution (CC BY) license.
Share and Cite
Browne, I.M.; Wong, H.C.; Irfan, T.; Chan, C.; Johnston, S.R.D.; Kemp, Z.; Kipps, E.; Parton, M.; Turner, N.C.; Okines, A.F.C. Efficacy and Safety of Oral Progestogens (Megestrol Acetate and Medroxyprogesterone Acetate) in Heavily Pretreated Oestrogen Receptor-Positive Metastatic Breast Cancer: A 10-Year Multi-Site Study. Cancers 2026, 18, 1191. https://doi.org/10.3390/cancers18081191
Browne IM, Wong HC, Irfan T, Chan C, Johnston SRD, Kemp Z, Kipps E, Parton M, Turner NC, Okines AFC. Efficacy and Safety of Oral Progestogens (Megestrol Acetate and Medroxyprogesterone Acetate) in Heavily Pretreated Oestrogen Receptor-Positive Metastatic Breast Cancer: A 10-Year Multi-Site Study. Cancers. 2026; 18(8):1191. https://doi.org/10.3390/cancers18081191
Chicago/Turabian StyleBrowne, Iseult M., Heng Chun Wong, Tazia Irfan, Chloe Chan, Stephen R. D. Johnston, Zoe Kemp, Emma Kipps, Marina Parton, Nicholas C. Turner, and Alicia F. C. Okines. 2026. "Efficacy and Safety of Oral Progestogens (Megestrol Acetate and Medroxyprogesterone Acetate) in Heavily Pretreated Oestrogen Receptor-Positive Metastatic Breast Cancer: A 10-Year Multi-Site Study" Cancers 18, no. 8: 1191. https://doi.org/10.3390/cancers18081191
APA StyleBrowne, I. M., Wong, H. C., Irfan, T., Chan, C., Johnston, S. R. D., Kemp, Z., Kipps, E., Parton, M., Turner, N. C., & Okines, A. F. C. (2026). Efficacy and Safety of Oral Progestogens (Megestrol Acetate and Medroxyprogesterone Acetate) in Heavily Pretreated Oestrogen Receptor-Positive Metastatic Breast Cancer: A 10-Year Multi-Site Study. Cancers, 18(8), 1191. https://doi.org/10.3390/cancers18081191

