Real-World Comparison of PD-1 and PD-L1 Inhibitor Monotherapy in Metastatic Non-Small Cell Lung Cancer with High PD-L1 Expression
Simple Summary
Abstract
1. Introduction
2. Materials and Methods
2.1. Ethics Approval
2.2. Statistical Analysis
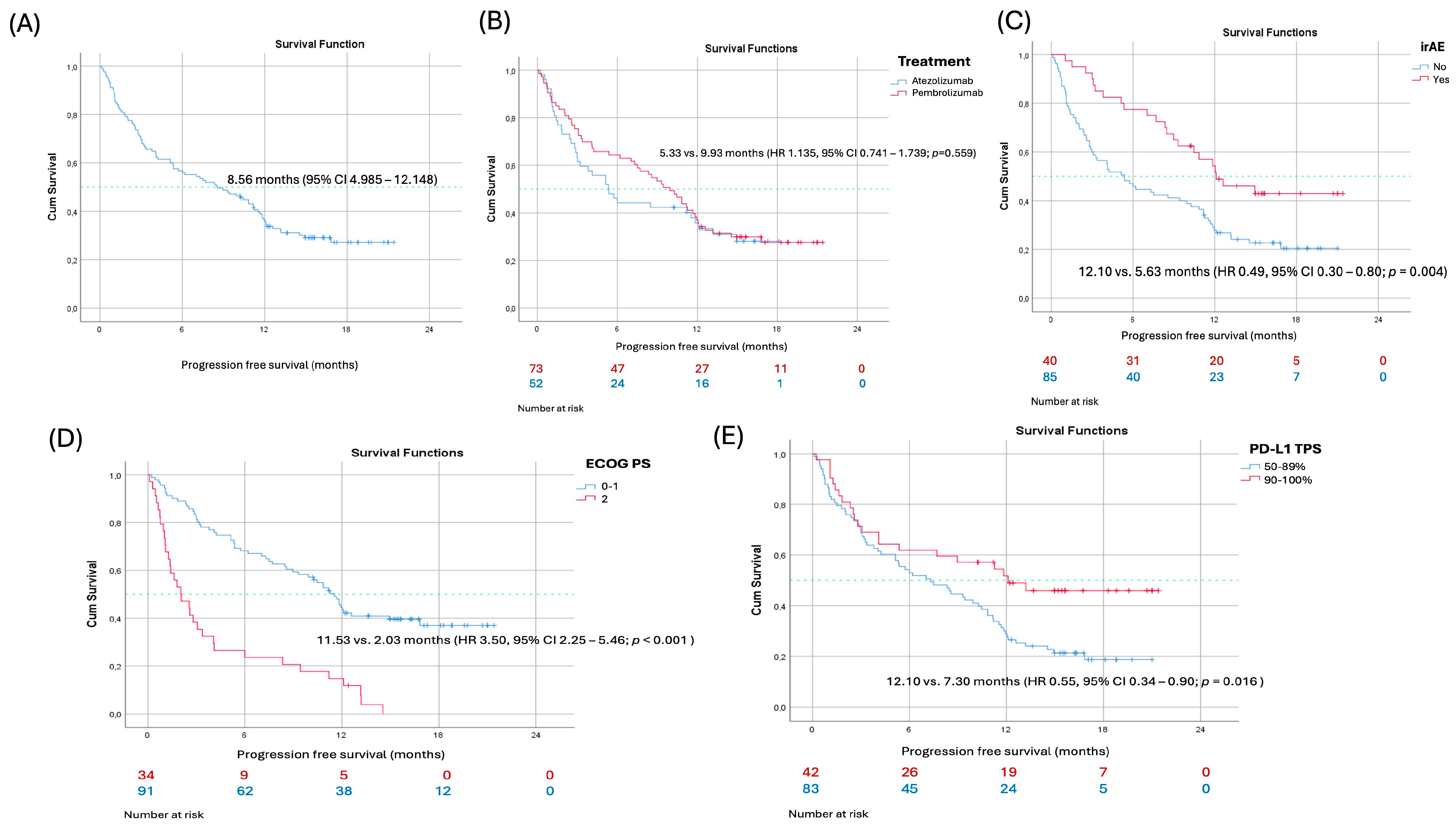
3. Results
4. Discussion
Limitations
5. Conclusions
Author Contributions
Funding
Institutional Review Board Statement
Informed Consent Statement
Data Availability Statement
Conflicts of Interest
References
- Bray, F.; Laversanne, M.; Sung, H.; Ferlay, J.; Siegel, R.L.; Soerjomataram, I.; Jemal, A. Global cancer statistics 2022: GLOBOCAN estimates of incidence and mortality worldwide for 36 cancers in 185 countries. CA Cancer J. Clin. 2024, 74, 229–263. [Google Scholar] [CrossRef]
- Abughanimeh, O.; Kaur, A.; El Osta, B.; Ganti, A.K. Novel targeted therapies for advanced non-small lung cancer. Semin. Oncol. 2022, 49, 326–336. [Google Scholar] [CrossRef]
- American Cancer Society. Lung Cancer Statistics How Common Is Lung Cancer? Available online: https://www.cancer.org/cancer/types/lung-cancer/about/key-statistics.html (accessed on 11 December 2024).
- Hendriks, L.E.; Kerr, K.M.; Menis, J.; Mok, T.S.; Nestle, U.; Passaro, A.; Peters, S.; Planchard, D.; Smit, E.F.; Solomon, B.J.; et al. Non-oncogene-addicted metastatic non-small-cell lung cancer: ESMO Clinical Practice Guideline for diagnosis, treatment and follow-up 5 behalf of the ESMO Guidelines Committee. Ann. Oncol. 2023, 34, 358–376. [Google Scholar] [CrossRef]
- Lin, X.; Kang, K.; Chen, P.; Zeng, Z.; Li, G.; Xiong, W.; Yi, M.; Xiang, B. Regulatory mechanisms of PD-1/PD-L1 in cancers. Mol. Cancer 2024, 23, 108. [Google Scholar] [CrossRef] [PubMed]
- Benelli, N.D.; Brandon, I.; Hew, K.E. Immune Checkpoint Inhibitors: A Narrative Review on PD-1/PD-L1 Blockade Mechanism, Efficacy, and Safety Profile in Treating Malignancy. Cureus 2024, 16, e58138. [Google Scholar] [CrossRef] [PubMed]
- Han, Y.; Liu, D.; Li, L. PD-1/PD-L1 pathway: Current researches in cancer. Am. J. Cancer Res. 2020, 10, 727–742. [Google Scholar]
- Xiong, A.; Wang, J.; Zhou, C. Immunotherapy in the First-Line Treatment of NSCLC: Current Status and Future Directions in China. Front. Oncol. 2021, 11, 757993. [Google Scholar] [CrossRef] [PubMed]
- Rizwan, N.; Khaki, A.R.; Desai, A.; Warner, J.; Krell, J.; Lythgoe, M. 427 Approval timings and review speed of immune checkpoint inhibitors (ICIs) in cancer therapy between the Food and Drug Administration (FDA) and the European Medicines Agency (EMA) from 2010–2022. J. Immunother. Cancer 2022, 10, A448. [Google Scholar] [CrossRef]
- Isla, D.; Majem, M.; Viñolas, N.; Artal, A.; Remon, J.; Felip, E.; Garrido, P.; de Castro, J.; Nadal, E.; Lianes, P. PD-1/PD-L1 Inhibitors as Monotherapy in the First-Line Treatment of Advanced Non-Small Cell Lung Cancer Patients with High PD-L1 Expression: An Expert Position Statement. J. Clin. Med. 2023, 12, 5063. [Google Scholar] [CrossRef]
- Eisenhauer, E.A.; Therasse, P.; Bogaerts, J.; Schwartz, L.H.; Sargent, D.; Ford, R.; Dancey, J.; Arbuck, S.; Gwyther, S.; Mooney, M.; et al. New response evaluation criteria in solid tumours: Revised RECIST guideline (version 1.1). Eur. J. cancer 2009, 45, 228–247. [Google Scholar] [CrossRef]
- National Cancer Institute. Common Terminology Criteria for Adverse Events (CTCAE) Common Terminology Criteria for Adverse Events (CTCAE) v5.0. 2017. Available online: https://dctd.cancer.gov/research/ctep-trials/for-sites/adverse-events/ctcae-v5-5x7.pdf (accessed on 11 December 2024).
- Haanen, J.; Carbonnel, F.; Robert, C.; Kerr, K.M.; Peters, S.; Larkin, J.; Jordan, K.; ESMO Guidelines Committee. Management of toxicities from immunotherapy: ESMO Clinical Practice Guideline for diagnosis, treatment and follow-up 5 behalf of the ESMO Guidelines Committee. Ann. Oncol. 2022, 33, 1217–1238. [Google Scholar] [CrossRef]
- Ham, A.; Lee, Y.; Kim, H.S.; Lim, T. Real-World Outcomes of Nivolumab, Pembrolizumab, and Atezolizumab Treatment Efficacy in Korean Veterans with Stage IV Non-Small-Cell Lung Cancer. Cancers 2023, 15, 4198. [Google Scholar] [CrossRef]
- Alonso-García, M.; Esteban, E.; Majem, M.; Isla, D.; Felip, E. Real-World Analysis of Nivolumab and Atezolizumab Efficacy in Previously Treated Patients with Advanced Non-Small Cell Lung Cancer. Pharmaceuticals 2022, 15, 533. [Google Scholar] [CrossRef] [PubMed]
- Kim, J.; Cho, J.; Lee, M.H.; Lim, J.H. Relative Efficacy of Checkpoint Inhibitors for Advanced NSCLC According to Programmed Death-Ligand-1 Expression: A Systematic Review and Network Meta-Analysis. Sci. Rep. 2018, 8, 11738. [Google Scholar] [CrossRef] [PubMed]
- Marković, F.; Stjepanović, M.; Samardžić, N.; Kontić, M. The Association of Immune-Related Adverse Events with the Efficacy of Atezolizumab in Previously Treated Advanced Non-Small-Cell Lung Cancer Patients: A Single-Center Experience. Cancers 2024, 16, 2995. [Google Scholar] [CrossRef] [PubMed]
- Marković, F.; Stjepanović, M.; Rančić, M.; Cekić, M.; Kontić, M. Real-World Outcomes of First-Line Pembrolizumab Monotherapy in Metastatic NSCLC with High PD-L1 Expression (TPS ≥ 50%): A Multicenter Study from Serbia. Biomedicines 2025, 13, 1175. [Google Scholar] [CrossRef]
- Marković, F.; Stjepanović, M.; Rančić, M.; Cekić, M.; Kontić, M. The Efficacy of First-Line Pembrolizumab Monotherapy in Patients with Metastatic NSCLC Aged ≥70 Years with High PD-L1 (TPS ≥ 50%) Expression: A Multicenter Real-World Study. Cancers 2025, 17, 2190. [Google Scholar] [CrossRef]
- Kontić, M.; Marković, F.; Stjepanović, M.; Rančić, M.; Cekić, M. Efficacy of Atezolizumab in Subsequent Lines of Therapy for NSCLC Patients: Insights from Real-World Data. Cancers 2024, 16, 3696. [Google Scholar] [CrossRef]
- Descourt, R.; Besse, B.; Chouaid, C.; Barlesi, F.; Lena, H.; Quoix, E.; Mezquita, L.; Planchard, D.; Rouquette, I.; Wislez, M.; et al. First-line single-agent pembrolizumab for PD-L1-positive (tumor proportion score ≥ 50%) advanced non-small cell lung cancer in the real world: Impact in brain metastasis: A national French multicentric cohort (ESCKEYP GFPC study). Cancer Immunol. Immunother. 2022, 72, 91. [Google Scholar] [CrossRef]
- Tibaldi, C.; Frega, S.; Rofi, E.; Quaini, F.; Bruzzone, M.; Franchina, T.; Rossi, G.; Gori, S.; Gamucci, T.; Di Maio, M. Pembrolizumab for First-Line Treatment of Advanced Non-Small-Cell Lung Cancer: Analysis of Prognostic Factors of Outcomes. Anticancer. Agents Med. Chem. 2022, 22, 1278–1285. [Google Scholar] [CrossRef]
- Cortellini, A.; Nardone, V.; Gelibter, A.; Crinò, L.; Tiseo, M.; Aieta, M.; De Giglio, A.; Vincenzi, B.; Frega, S.; Tibaldi, C.; et al. Determinants of 5-year survival in patients with advanced NSCLC with PD-L1≥50% treated with first-line pembrolizumab outside of clinical trials: Results from the Pembro-real 5Y global registry. J. Immunother. Cancer 2025, 13, e010674. [Google Scholar] [CrossRef] [PubMed]
- Meyers, D.E.; Pasternak, M.; Dolter, S.; Grosjean, H.A.I.; Lim, C.A.; Stukalin, I.; Goutam, S.; Navani, V.; Heng, D.Y.C.; Cheung, W.Y.; et al. Impact of Performance Status on Survival Outcomes and Health Care Utilization in Patients With Advanced NSCLC Treated With Immune Checkpoint Inhibitors. JTO Clin. Res. Rep. 2023, 4, 100482. [Google Scholar] [CrossRef] [PubMed]
- Lee, S.M.; Schulz, C.; Prabhash, K.; Kowalski, D.; Szczesna, A.; Han, B.; Rittmeyer, A.; Talbot, T.; Vicente, D.; Califano, R.; et al. First-line atezolizumab monotherapy versus single-agent chemotherapy in patients with non-small-cell lung cancer ineligible for treatment with a platinum-containing regimen (IPSOS): A phase 3, global, multicentre, open-label, randomised controlled study. Lancet 2023, 402, 451–463. [Google Scholar] [CrossRef]
- Aguilar, E.J.; Ricciuti, B.; Gainor, J.F.; Kehl, K.L.; Kravets, S.; Dahlberg, S.; Nishino, M.; Sholl, L.M.; Adeni, A.; Subegdjo, S.; et al. Outcomes to first-line pembrolizumab in patients with non-small-cell lung cancer and very high PD-L1 expression. Ann. Oncol. 2019, 30, 1653–1659. [Google Scholar] [CrossRef] [PubMed]
- Alessi, J.V.; Elkrief, A.; Ricciuti, B.; Wang, X.; Cortellini, A.; Vaz, V.R.; Lamberti, G.; Frias, R.L.; Venkatraman, D.; Fulgenzi, C.A.M.; et al. Clinicopathologic and Genomic Factors Impacting Efficacy of First-Line Chemoimmunotherapy in Advanced NSCLC. J. Thorac. Oncol. 2023, 18, 731. [Google Scholar] [CrossRef]
- Shah, M.; Hubbard, R.A.; Mamtani, R.; Marmarelis, M.E.; Hennessy, S. Very high PD-L1 expression as a prognostic indicator of overall survival among patients with advanced non-small cell lung cancer receiving anti-PD-(L)1 monotherapies in routine practice. Pharmacoepidemiol. Drug Saf. 2022, 31, 1121–1126. [Google Scholar] [CrossRef]
- Chen, L.; Zhu, X.Z.; Zhao, S.J.; Yang, Q.W. PD-L1 as a predictive factor for non-small-cell lung cancer prognosis. Lancet Oncol. 2024, 25, e233. [Google Scholar] [CrossRef]

| Characteristic | Overall Cohort |
|---|---|
| Sex | |
| Male | 70 (56.0%) |
| Female | 55 (44.0%) |
| Smoking status | |
| Ever smoker | 106 (84.8%) |
| Never smoker | 19 (15.2%) |
| ECOG performance status | |
| ECOG 0–1 | 91 (72.8%) |
| ECOG 2 | 34 (27.2%) |
| Age at treatment initiation | |
| <70 years | 75 (60.0%) |
| ≥70 years | 50 (40.0%) |
| Histology | |
| Non-squamous | 95 (76.0%) |
| Squamous | 30 (24.0%) |
| PD-L1 tumor proportion score | |
| 50–89% | 83 (66.4%) |
| ≥90% | 42 (33.6%) |
| Central nervous system metastases at baseline | |
| Present | 24 (19.2%) |
| Absent | 101 (80.8%) |
| Radiotherapy during immunotherapy | |
| Yes | 34 (27.2%) |
| No | 91 (72.8%) |
| Any immune-related adverse event | |
| Yes | 40 (32.0%) |
| No | 85 (68.0%) |
| Treatment group | |
| Atezolizumab | 52 (41.6%) |
| Pembrolizumab | 73 (58.4%) |
| Variable | Atezolizumab (n = 52) | Pembrolizumab (n = 73) | p Value |
|---|---|---|---|
| Sex | 0.201 | ||
| Male | 33 (63.5%) | 37 (50.7%) | |
| Female | 19 (36.5%) | 36 (49.3%) | |
| Smoking status | 0.206 | ||
| Ever smoker | 47 (90.4%) | 59 (80.8%) | |
| Never smoker | 5 (9.6%) | 14 (19.2%) | |
| ECOG performance status | 0.106 | ||
| ECOG 0–1 | 42 (80.8%) | 49 (67.1%) | |
| ECOG 2 | 10 (19.2%) | 24 (32.9%) | |
| CNS metastases | 0.071 | ||
| Present | 14 (26.9%) | 10 (13.7%) | |
| Absent | 38 (73.1%) | 63 (86.3%) | |
| Age at treatment start | 1.000 | ||
| ≥70 years | 21 (40.4%) | 29 (39.7%) | |
| <70 years | 31 (59.6%) | 44 (60.3%) | |
| PD-L1 TPS | 0.344 | ||
| ≥90% | 20 (38.5%) | 22 (30.1%) | |
| 50–89% | 32 (61.5%) | 51 (69.9%) | |
| Any immune-related adverse event | 0.437 | ||
| Yes | 19 (36.5%) | 21 (28.8%) | |
| No | 33 (63.5%) | 52 (71.2%) | |
| Histology | 0.144 | ||
| Non-squamous | 36 (69.2%) | 59 (80.8%) | |
| Squamous | 16 (30.8%) | 14 (19.2%) | |
| Radiotherapy during treatment | 1.000 | ||
| Yes | 14 (26.9%) | 20 (27.4%) | |
| No | 38 (73.1%) | 53 (72.6%) |
| irAE Category | n (%) | Atezolizumab | Pembrolizumab |
|---|---|---|---|
| Any irAE | 40 (32.0) | 19 | 21 |
| Thyroid irAE | 23 (18.4) | 14 | 9 |
| Skin irAE | 12 (9.6) | 5 | 7 |
| Gastrointestinal irAE | 6 (4.8) | 2 | 4 |
| Hepatic irAE | 6 (4.8) | 2 | 4 |
| Pneumonitis | 3 (2.4) | 1 | 2 |
| Rheumatologic irAE | 3 (2.4) | 3 | 0 |
| Univariate Regression Analysis | Multivariate Regression Analysis | |||||
|---|---|---|---|---|---|---|
| HR | 95% CI | p | HR | 95% CI | p | |
| Sex (male vs. female) | 1.294 | 0.851–1.967 | 0.227 | |||
| Radiotherapy (Yes vs. No) | 0.946 | 0.595–1.504 | 0.814 | |||
| Smoking status (ever vs. never-smoker) | 1.112 | 0.778–1.588 | 0.560 | |||
| ECOG PS (2 vs. 0–1) | 3.503 | 2.248–5.459 | <0.001 | 3.221 | 2.024–5.124 | <0.001 |
| CNS metastases (yes vs. no) | 1.510 | 0.916–2.488 | 0.106 | |||
| irAE (yes vs. no) | 0.492 | 0.303–0.798 | 0.004 | 0.705 | 0.422–1.176 | 0.180 |
| PD-L1 TPS (90–100% vs. 50–89%) | 0.552 | 0.340–0.895 | 0.016 | 0.567 | 0.348–0.926 | 0.023 |
| Histology (squamous vs. non-squamous) | 1.072 | 0.656–1.072 | 0.782 | |||
| Age (≥70 years vs. <70 years) | 0.842 | 0.547–1.297 | 0.436 | |||
| Treatment (atezolizumab vs. pembrolizumab) | 1.135 | 0.741–1.739 | 0.559 | |||
Disclaimer/Publisher’s Note: The statements, opinions and data contained in all publications are solely those of the individual author(s) and contributor(s) and not of MDPI and/or the editor(s). MDPI and/or the editor(s) disclaim responsibility for any injury to people or property resulting from any ideas, methods, instructions or products referred to in the content. |
© 2026 by the authors. Licensee MDPI, Basel, Switzerland. This article is an open access article distributed under the terms and conditions of the Creative Commons Attribution (CC BY) license.
Share and Cite
Marković, F.; Bojić, Z.; Stjepanović, M.; Kontić, M. Real-World Comparison of PD-1 and PD-L1 Inhibitor Monotherapy in Metastatic Non-Small Cell Lung Cancer with High PD-L1 Expression. Cancers 2026, 18, 1153. https://doi.org/10.3390/cancers18071153
Marković F, Bojić Z, Stjepanović M, Kontić M. Real-World Comparison of PD-1 and PD-L1 Inhibitor Monotherapy in Metastatic Non-Small Cell Lung Cancer with High PD-L1 Expression. Cancers. 2026; 18(7):1153. https://doi.org/10.3390/cancers18071153
Chicago/Turabian StyleMarković, Filip, Zlatan Bojić, Mihailo Stjepanović, and Milica Kontić. 2026. "Real-World Comparison of PD-1 and PD-L1 Inhibitor Monotherapy in Metastatic Non-Small Cell Lung Cancer with High PD-L1 Expression" Cancers 18, no. 7: 1153. https://doi.org/10.3390/cancers18071153
APA StyleMarković, F., Bojić, Z., Stjepanović, M., & Kontić, M. (2026). Real-World Comparison of PD-1 and PD-L1 Inhibitor Monotherapy in Metastatic Non-Small Cell Lung Cancer with High PD-L1 Expression. Cancers, 18(7), 1153. https://doi.org/10.3390/cancers18071153

